| Похожие рефераты | Скачать .docx |
Реферат: Налог на имущество предприятий и перспективы его развития
Министерство общего и профессионального
образования Российской федерации
КАЛИНИНГРАДСКИЙ ГОСУДАРСТВЕННЫЙ УНИВЕРСИТЕТ
Кафедра финансов, денежного
обращения и кредита
курсовая работа
налог на имущество предприятий и перспективы его развития
(по дисциплине «Основы налогообложения и налоговая политика»)
Студента 4 курса
экономического факультета
группы №1
Лукьянова Кирилла
Научный руководитель
к.э.н., доцент Прокопьев Д.В.
Калининград, 1999
Содержание
введение.............................................................................................................................. 3
1. Экономическая сущность налога на имущество предприятий4
1.1. Общая характеристика налога на имущество предприятий.................................. 4
1.2. Основные принципы налогообложения имущества предприятий-резидентов на территории РФ................................................................................................................................. 6
1.2.1. Плательщики и ставки налога........................................................................ 7
1.2.2. Объект налогообложения................................................................................ 8
1.2.3. Порядок учета и уплаты налога в бюджет................................................... 13
1.3. Особенности налогообложения имущества иностранных юридических лиц в Российской Федерации................................................................................................................. 16
2. Льготы по налогу на имущество предприятий.............................. 22
2.1. Имущество предприятия, не облагаемое налогом................................................ 22
2.2. Имущество предприятия, стоимость которого уменьшает налогооблагаемую базу 26
2.3. Вопросы, связанные с применением некоторых льгот по налогу на имущество предприятий.................................................................................................................................... 28
3. Перспективы налога на имущество предприятий....................... 32
3.1. Изменения по налогу на имущество, предлагаемые проектом налогового кодекса 32
3.2. Правовое регулирование налогов на имущество в зарубежных странах.......... 35
3.3. Налог на недвижимость – опыт Новгородской и Тверской области................. 41
Заключение.................................................................................................................... 45
Список использованных источников....................................................... 46
приложения.................................................................................................................... 48
В современных условиях для управления предприятием необходим багаж знаний во многих областях экономики. Наряду с менеджментом, маркетингом, бухгалтерским учетом и некоторыми другими направлениями основы налогообложения занимают одно из важнейших мест и являются неотъемлемой частью деятельности любого предприятия.
Налог на имущество юридических лиц является основным налогом субъектов Российской Федерации, поэтому его, наряду с налогом на прибыль, налогом на добавленную стоимость, другими видами налогов, обеспечивающими основные поступления в бюджеты различных уровней, необходимо рассматривать отдельно. К тому же налог на имущество предприятий занимает центральное место в системе имущественного налогообложения России и вызывает определенный интерес в свете возможных изменений в порядке расчета и уплаты данного налога на основе зарубежного опыта и опыта проведения эксперимента в Новгородской и Тверской областях, а также изменений, предусмотренных проектом Налогового кодекса Российской Федерации.
Данная курсовая работа посвящена основным аспектам, связанным с налогом на имущество юридических лиц, а также возможным перспективам его развития.
Первая глава работы раскрывает основные характеристики налога на имущество предприятий. В ней дается описание плательщиков налога, порядка его исчисления, ставок, порядка и сроков уплаты. Таким образом, эта часть носит как теоретический, так и частично методический характер.
Во второй главе сделан упор на льготы по налогу на имущество предприятий. Здесь будет дана характеристика и описание льгот, их классификация.
В третьей главе рассмотрены изменения налога на имущество, предусмотренные проектом Налогового кодекса, а также освещен зарубежный опыт имущественного налогообложения и опыт, полученный в ходе эксперимента в Новгородской и Тверской области.
Для наглядности в работе используются примеры для иллюстрации порядка расчета налогооблагаемой базы по налогу на имущество предприятий, определения среднегодовой стоимости имущества для целей налогообложения при различных ситуациях. Также в работе приведены два рисунка и шесть таблиц.
1. Экономическая сущность налога на имущество предприятий
1.1. Общая характеристика налога на имущество предприятий
Налог на имущество предприятий является региональным налогом. Это значит, что сумма платежей по налогу зачисляется равными долями в республиканский бюджет республики в составе РФ, краевой, областной бюджеты края, области, областной бюджет автономной области, окружной бюджет автономного округа, в районный бюджет района или городской бюджет города по месту нахождения предприятия.
Особенностью всех региональных налогов и налога на имущество в частности, является то, что общие принципы его исчисления и порядка перечисления по принадлежности устанавливаются на федеральном уровне, а конкретные ставки налога и состав предоставляемых по налогу льгот, определяются законодательством региона.
Вообще же, налогообложение имущества, в том числе недвижимого, общепринято в развитых странах. Поимущественный налог был известен с древнейших времен, когда-то рассматривался как самый справедливый из возможных налогов. Во все времена делалась попытка облагать имущество налогом в соответствии с его стоимостью. В России налог на имущество предприятий в его современном виде – это прямой налог, который берется от имущественного состояния юридического лица.
При введении поимущественного налога на территории Российской Федерации преследовались цели: создать у предприятий заинтересованность в реализации излишнего, неиспользуемого имущества; стимулировать эффективное использование имущества, находящегося на балансе предприятия. Таким образом, для финансов этот налог выполняет стимулирующую и контрольную функцию, а при пополнении бюджетов федерации и местных бюджетов – фискальную функцию.
Попытка ввести такие платежи предпринималась и ранее в нашей стране, так, например, в конце 1970-х гг. была введена плата за основные производственные фонды и нормируемые оборотные средства. Но она в корне отличалась от налога на имущество объектом налогообложения и размером ставки, и, что самое главное, источником платежа. Поэтому налог на имущество предприятий следует считать новым явлением во взаимоотношениях предприятий с государством. Новизна этого платежа в бюджет заключается не только в том, что он носит налоговый характер. При исчислении данного налога в состав налогооблагаемой стоимости имущества попадают принципиально новые стоимостные элементы, присущие рыночным условиям хозяйствования. К таким элементам относится рыночная стоимость основных фондов, нематериальных активов; применение механизма ускоренной амортизации и использование индексации в переоценке основных средств с учетом инфляционных процессов; залог имущества и другие формы его движения, обусловленные конъюнктурными колебаниями и поиском путем стабилизации финансового состояния.
По данным на 1 января 1995 г. налог на имущество предприятий не играл заметной роли в формировании доходов в бюджет. Являясь основной формой российского имущественного налогообложения, налог на имущество предприятий составил в 1994 г. в общей сумме поступлений государственных налогов и других обязательных платежей 3,6%, что на 1,15% было больше, чем в 1993 г. В 1997 г. фактические платежи по этому налогу по расчетам ГНС РФ были ниже запланированных примерно на 1,8%. Данные табл. 1 характеризуют динамику поступлений налога на имущество юридических лиц в разрезе федерального и регионального бюджетов.1
Таблица 1
Место налога на имущество в системе доходных источников бюджета РФ
(трлн. руб.)
| Доходы бюджета | 1994 г. | 1995 г. | 1996 г. | 1997 г. |
| 1. Всего поступлений, | 134,26 | 163,2 | 376,4 | 435,6 |
| из них: | ||||
| в федеральный бюджет | 47,31 | 68,7 | 146,8 | 194,8 |
| 2. Налог на имущество, всего | 4,83 | 5,01 | 9,43 | 10,4 |
| в том числе: | ||||
| в федеральный бюджет | 2,41 | 2,5 | 2,71 | 5,2 |
| в бюджеты субъектов | 2,42 | 2,51 | 2,72 | 5,2 |
| 3. Удельный вес налога в доходах бюджета, % | 3,6 | 3,07 | 2,5 | 2,4 |
Налог на имущество юридических лиц занимает в настоящее время центральное место в системе имущественного налогообложения России. Однако в доходных источниках бюджета он не играет существенной роли. Его удельный вес в общей сумме имущественных налогов в 1994 г. составил 99,1%, в 1995 г. – 99,01%, в 1996 г. – 99,6%. Темпы поступлений налога в бюджет за период с 1994 по 1997 г. не были стабильными, напротив, доля поступлений налога на имущество в общей сумме доходов бюджета снизилась на 1,2%.
Такое снижение связано в первую очередь с неотработанностью методических положений по переоценке основных фондов. Балансовая стоимость некоторых основных средств, числящихся на балансе предприятий и организаций, принимаемая к расчету налогооблагаемой базы по налогу на имущество, на несколько порядков ниже рыночной стоимости. Стоимость же прочих основных средств и другого имущества была безгранично завышена. Однако рост цен в большей степени сказывался на приросте общей суммы доходов бюджета, ибо эти доходы складываются из налогов с прибыли и выручки. Поэтому доходы бюджета росли опережающими темпами по сравнению с ростом поступлений в бюджет налога на имущество.
Оценка реальной стоимости основных фондов предприятий стала наиболее сложной для налогообложения имущества в период становления в России рыночных отношений проблемой. В постановлении Правительства РФ от 7 декабря 1996 года N 1442 «О переоценке основных фондов в 1997 году» предусматривалось, что переоценке подлежат основные фонды как находящиеся в собственности организаций, так и состоящие в их хозяйственном ведении, оперативном управлении и долгосрочной аренде с правом выкупа. Перечислялись и виды имущества, подлежащие переоценке, - здания, сооружения, машины, оборудование, транспортные средства и пр. Указывалось также, что балансовая стоимость основных фондов при их переоценке должна быть приведена в соответствие с рыночными ценами. Последнее положение было принципиально новым: в прошлом цены формировались по методу, который не имел никакого отношения к рыночному ценообразованию. Таким образом, с вступлением в силу этого постановления, стало возможным надеяться на более упорядоченные потоки налоговых отчислений с имущества в бюджеты различных уровней.
1.2. Основные принципы налогообложения имущества предприятий-резидентов на территории РФ
Порядок исчисления и уплаты налога на имущество предприятий регламентирован следующими основными нормативными документами:
· Закон РФ от 13 декабря 1991 г. № 2030-1 «О налоге на имущество предприятий» (с последующими изменениями и дополнениями);
· Инструкция Госналогслужбы РФ от 8 июня 1995 г. № 33 «О порядке исчисления и уплаты в бюджет налога на имущество предприятий» (с учетом изменений и дополнений);
· Инструкция Госналогслужбы РФ от 15 сентября 1995 г. № 38 «О порядке исчисления и уплаты налога на имущество иностранных юридических лиц в Российской Федерации» (с учетом изменений и дополнений).
1.2.1. Плательщики и ставки налога
Плательщиками налога на имущество являются:
¾ предприятия, учреждения (включая банки и другие кредитные организации) и организации, в том числе с иностранными инвестициями, считающиеся юридическими лицами по законодательству РФ;
¾ филиалы и другие аналогичные подразделения указанных предприятий, учреждений и организаций, имеющие отдельный баланс и расчетный (текущий) счет;
¾ компании, фирмы, любые другие организации (включая полные товарищества), образованные в соответствии с законодательством иностранных государств, международные организации и объединения, а также их обособленные подразделения, имеющие имущество на территории Российской Федерации, континентальном шельфе Российской Федерации и в исключительной экономической зоне Российской Федерации.[1]
Не является плательщиком налога на имущество Центральный банк РФ и его учреждения.
Структурные подразделения, являющиеся плательщиками налога на имущество (то есть, имеющие отдельный баланс и расчетный (текущий) счет), представляют налоговые отчеты и уплачивают налог на имущество по месту своего нахождения. При этом на учете в налоговом органе по месту нахождения филиала должно стоять юридическое лицо, его создавшее, на которое налоговым законодательством возложена обязанность уплачивать налоги.
Сумма налога зачисляется в соответствующие бюджеты по месту нахождения этих филиалов или приравненных к ним подразделений. При этом головная организация отражает в своем балансе стоимость имущества, выделенного на отдельный баланс структурного подразделения, на счете 79 «Внутрихозяйственные расчеты».
Предельный размер ставки налога на имущество предприятия не может превышать 2 процентов от налогооблагаемой базы. Конкретные ставки налога на имущество предприятий, определяемые в зависимости от видов их деятельности, устанавливаются законодательными (представительными) органами субъектов РФ.
Табл. 2 отражает ставки налога на имущество, установленные Областной Думой Калининградской области.[2]
Таблица 2
Ставки налога на имущество предприятий, установленные Областной Думой Калининградской области
| Плательщики налога | Ставка налога на имущество, % |
| 1. Предприятия, учреждения (включая банки и другие кредитные организации) и организации, в том числе с иностранными инвестициями, считающиеся юридическими лицами по законодательству РФ, а также филиалы и другие аналогичные подразделения указанных предприятий, учреждений и организаций, имеющие отдельный баланс и расчетный (текущий) счет, компании, фирмы, любые другие организации (включая полные товарищества), образованные в соответствии с законодательством иностранных государств, международные организации и объединения, а также их обособленные подразделения, имеющие имущество на территории РФ | 2 |
| 2. Предприятия бытового обслуживания населения, за исключением предприятий, оказывающих услуги по изготовлению и ремонту ювелирных изделий, ремонту и строительству жилья, ремонту и техническому обслуживанию транспортных средств при условии, если выручка от реализации бытовых услуг составляет не менее 70 процентов от общего объема | 0,05 |
При отсутствии решений законодательных (представительных) органов субъектов РФ об установлении конкретных ставок налога на имущество предприятий применяется максимальная ставка налога. Устанавливать ставку налога для отдельных предприятий не разрешается.
В разделе II инструкции ГНС № 33 определен объект налогообложения , им являются основные средства (в том числе арендованные и арендуемые, если они находятся на балансе предприятия), нематериальные активы, запасы и затраты, находящиеся на балансе плательщика. Основные средства, нематериальные активы, малоценные и быстроизнашивающиеся предметы для целей налогообложения учитываются по остаточной стоимости.
Для определения налогооблагаемой базы по предприятиям, применяющим План счетов бухгалтерского учета финансово-хозяйственной деятельности предприятий , утвержденной приказом Минфина СССР от 1 ноября 1991 г. № 56 (ред. от 17 февраля 1997 г.), принимаются отражаемые в активе баланса остатки по следующим счетам бухгалтерского учета:
¾ 01 «Основные средства» и 03 «Долгосрочно арендуемые основные средства» (за минусом суммы износа, учитываемого на счете 02 «Износ основных средств» ). На счете 03 могут учитываться как арендуемые так и арендованные основные средства (до окончания срока действия ранее заключенных договоров). Кроме того, на счете 03 теперь учитываются и предметы проката, ранее учитываемые на счете 41 ;
¾ 04 «Нематериальные активы» (за минусом суммы износа, учитываемого на счете 05 «Амортизация нематериальных активов» );
¾ 10 «Материалы» ;
¾ 11 «Животные на выращивании и откорме» ;
¾ 12 «Малоценные и быстроизнашивающиеся предметы» (за минусом суммы износа, учитываемого на счете 13 «Износ малоценных и быстроизнашивающихся предметов» );
¾ 15 «Заготовление и приобретение материалов» ;
¾ 16 «Отклонение в стоимости материалов» ;
¾ 20 «Основное производство» 1 ;
¾ 21 «Полуфабрикаты собственного производства» ;
¾ 23 «Вспомогательные производства» ;
¾ 29 «Обслуживающие производства и хозяйства» ;
¾ 30 «Некапитальные работы» ;
¾ 31 «Расходы будущих периодов» ;
¾ 36 «Выполненные этапы по незавершенным работам» 1 ;
¾ 40 «Готовая продукция» ;
¾ 41 «Товары» (покупная цена). Предприятия розничной торговли и общественного питания (и при аукционной продаже товаров) стоимость товаров, поступивших от поставщиков, учитывают в расчетах налогооблагаемой базы без налога на добавленную стоимость;
¾ 44 «Издержки обращения» ;
¾ 45 «Товары отгруженные».
В соответствии с п. 2 Инструкции ГНС РФ № 33 стоимость имущества, являющегося объектом налогообложения и объединенного предприятиями в целях осуществления совместной деятельности без образования юридического лица, для целей налогообложения принимается в расчет участниками договоров о совместной деятельности, внесшими это имущество, независимо от счетов бухгалтерского учета, на которых оно учитывается, а созданного (приобретенного) в результате этой деятельности – участниками договоров о совместной деятельности в соответствии с установленной долей собственности по договору.
Таким образом, организация-участник совместной деятельности должна включить в налогооблагаемую базу стоимость имущества, внесенного ею в качестве вклада в совместную деятельность (несмотря на то, что это имущество учитывается на ее балансе на счете 06 «Долгосрочные финансовые вложения» или на счете 58 «Краткосрочные финансовые вложения» , которые не указаны в перечне счетов, на которых учитывается налогооблагаемое имущество). При этом такое имущество должно учитываться по его фактической балансовой стоимости (то есть стоимости, по которой оно было оценено участниками согласно условиям договора и отражено на счетах 06 или 58 ).
Часто возникают вопросы также и по поводу налогообложения арендованного имущества. Согласно п. 4 Инструкции ГНС РФ № 33 сальдо по счету 01 «Основные средства» подлежит включению в налогооблагаемую базу при расчете налога на имущество. Таким образом, если по условиям договора арендованное имущество числится на балансе у арендатора на счете 01 (в соответствии с п. 8 Указаний об отражении в бухгалтерском учете операций по договору лизинга , утвержденных приказом Минфина РФ от 17 февраля 1997 г. № 15), то данные основные средства облагаются налогом на имущество. Если же арендованное имущество учитывается на забалансовом счете 001 «Арендованные основные средства» то в налогооблагаемую базу при расчете данного налога оно не включается (в этом случае имущество будет облагаться налогом у арендодателя).
Банки и другие кредитные организации, имеющие лицензию на банковскую деятельность и применяющие План счетов бухгалтерского учета банков , учитывают отражаемые в балансе остатки следующим образом (в скобках приведены счета по новому плану, применяемому с 1.01.98г.):
¾ 920 (60401) «Здания и сооружения», 921 (60402 и 60403) «Хозяйственный инвентарь» и 924 (60802 и 60803) «Машины, оборудование, транспортные и другие средства для сдачи в аренду (лизинг)» (за минусом суммы износа, учитываемого на балансовомсчете 015 (60601-60603 и 60803) «Износ основных средств») ;
¾ 925 (60902) «Нематериальные активы» ;
¾ 940 (61001-61003 и 61004-61006) «Хозяйственные материалы» ;
¾ 941 (61401-61402) «Расходы будущих периодов» ;
¾ 942 (61101) «Малоценные и быстроизнашивающиеся предметы» (за минусом суммы износа, учитываемого на отдельном лицевом счете балансового счета 012 «Специальные фонды» ).
Страховые и другие аналогичные организации, применяющие План счетов бухгалтерского учета финансово-хозяйственной деятельности страховых организаций , утвержденный приказом Государственного страхового надзора РФ от 27 ноября 1992 г. № 02-02/5, осуществляют это следующим образом:
¾ 01 «Основные средства» и03 «Долгосрочно арендуемые основные средства» (за вычетом суммы износа, учитываемого на счете 02 «Износ основных средств» );
¾ 04 «Нематериальные активы» (за вычетом суммы износа, учитываемого на счете 05 «Амортизация нематериальных активов» );
¾ 10 «Материалы» ;
¾ 12 «Малоценные и быстроизнашивающиеся предметы» (за минусом суммы износа, учитываемого на счете 13 «Износ малоценных и быстроизнашивающихся предметов» );
¾ 31 «Расходы будущих периодов».
В налогооблагаемой базе учитываются также запасы и затраты, отраженные по статье «Прочие материальные ценности и затраты» раздела II актива баланса.
Налогооблагаемая база налога на имущество предприятий исчисляется исходя из среднегодовой стоимости имущества предприятия. Среднегодовая стоимость имущества за отчетный период (квартал, полугодие, 9 месяцев, год) определяется путем деления на 4 суммы, полученной от сложения половины стоимости имущества на 1 января отчетного года и на первое число следующего за отчетным периодом месяца, а также суммы стоимости имущества на каждое первое число всех остальных кварталов отчетного периода.
Рассмотрим несколько условных примеров.
Пример 1
Предположим, стоимость имущества предприятия:
на 1 января 1998 г. 120 млн. руб.
на 1 апреля 1998 г. 110 млн. руб.
на 1 июля 1998 г. 124 млн. руб.
на 1 октября 1998 г. 132 млн. руб.
на 1 января 1999 г. 140 млн. руб.
Среднегодовая стоимость имущества предприятия за первый квартал 1998 года:
Среднегодовая стоимость имущества предприятия за первое полугодие 1998 года:
Среднегодовая стоимость имущества предприятия за 9 месяцев 1998 года:
Среднегодовая стоимость имущества предприятия за 1998 год:
Если предприятие создано с начала какого-либо квартала, кроме первого , то среднегодовая стоимость имущества рассчитывается как отношение суммы, полученной при сложении половины стоимости имущества на первое число квартала создания (1 апреля, 1 июля, 1 октября) и на первое число следующего за отчетным периодом месяца, а также суммы стоимости имущества на первое число всех остальных кварталов отчетного периода, к 4.
Если предприятие создано в первой половине квартала (до 15-го числа второго месяца квартала включительно), то при исчислении среднегодовой стоимости имущества период создания принимается за полный квартал.
Если предприятие создано во второй половине квартала , среднегодовая стоимость рассчитывается начиная с первого числа квартала, следующего за кварталом создания.
При этом следует иметь в виду, что в соответствии со ст. 51 ГК РФ юридическое лицо считается созданным с момента его государственной регистрации. Поэтому датой создания предприятия, учитываемой при расчете среднегодовой стоимости имущества, является дата регистрации учредительных документов.
Пример 2
Предположим, предприятие создано 12 августа 1998 г. Стоимость имущества предприятия:
на 12 августа 1998 г. 0 млн. руб.
на 1 октября 1998 г. 100 млн. руб.
на 1 января 1999 г. 108 млн. руб.
Среднегодовая стоимость имущества предприятия за первый квартал функционирования предприятия (третий квартал 1998 года):
Среднегодовая стоимость имущества предприятия за 1998 год:

Пример 3
Предположим, предприятие создано 8 октября 1998 года. Стоимость имущества предприятия:
на 8 октября 1998 г. 0 млн. руб.
на 1 января 1999 г. 70 млн. руб.
Среднегодовая стоимость имущества предприятия за 1998 год:

Пример 4
Предположим, предприятие создано 19 ноября 1998 года. Стоимость имущества предприятия:
на 19 ноября 1998 г. 0 млн. руб.
на 1 января 1999 г. 70 млн. руб.
В этом случае, поскольку предприятие создано во второй половине четвертого квартала, среднегодовую стоимость имущества предприятия необходимо рассчитывать начиная с 1999 года, то есть фактически налог на имущество за 1998 год не уплачивается.
1.2.3. Порядок учета и уплаты налога в бюджет
Налог на имущество подлежит начислению на финансовые результаты деятельности предприятия. Банки и другие кредитные организации относят суммы налога на операционные и разные расходы.
Учет расчетов предприятий с бюджетом по налогу на имущество ведется на балансовом счете 68 «Расчеты с бюджетом» на отдельном субсчете «Расчеты по налогу на имущество» . Сумма налога, рассчитанная в установленном порядке, отражается следующим образом:
| Начисление суммы налога на имущество | Д-т сч. 80 «Прибыли и убытки» К-т сч. 68 «Расчеты с бюджетом» (субсч . «Расчеты по налогу на имущество») |
| Перечисление суммы налога на имущество в бюджет | Д-т сч. 68 «Расчеты с бюджетом» К-т сч. 51 «Расчетный счет» |
Учет расчетов банков с бюджетом по налогу на имущество ведется на балансовом счете 904 «Прочие дебиторы и кредиторы» на отдельном субсчете «Расчеты по налогу на имущество» . Сумма налога, рассчитанная в установленном порядке, ежеквартально отражается банками по дебету балансового счета 970 «Операционные и разные расходы» по статье «Прочие расходы» и кредиту балансового счета 904 «Прочие дебиторы и кредиторы» .
Перечисление суммы налога на имущество в бюджет отражается банками в бухгалтерском учете по дебету счета 904 «Прочие дебиторы и кредиторы» и кредиту счета 161 «Счета коммерческих, кооперативных и других кредитных учреждений».
Плательщики налога на имущество предприятий обязаны исчислять сумму налога самостоятельно, ежеквартально, нарастающим итогом с начала года. Сумма налога, подлежащая уплате в бюджет, определяется с учетом ранее начисленных платежей за отчетный период. Это положение можно пояснить на примере.
Пример 5
Предположим, необходимо рассчитать суммы налога, подлежащие уплате в бюджет за первый квартал, за первое полугодие, за 9 месяцев 1998 года и за весь 1998 год с учетом ранее начисленных платежей.
Данные о среднегодовой стоимости имущества предприятия возьмем из Примера 1.
Ставка налога на имущество – 2%.
Среднегодовая стоимость имущества предприятия за первый квартал – 28,75 млн. руб.
Среднегодовая стоимость имущества предприятия за первое полугодие 1998 года – 58 млн. руб.
Среднегодовая стоимость имущества предприятия за 9 месяцев 1998 года – 90 млн. руб.
Среднегодовая стоимость имущества предприятия за 1998 год – 124 млн. руб.
Таким образом, сумма налога на имущество, подлежащая уплате за первый квартал 1998 года:
В марте 1998 года на счетах бухгалтерского учета делается запись:
Д-т сч. 80 «Прибыли и убытки» К-т сч. 68 «Расчеты с бюджетом» (субсч . «Расчеты по налогу на имущество») – 0,575 млн. руб. – начисление суммы налога на имущество .
Сумма налога на имущество за первое полугодие 1998 года:
Сумма налога на имущество, подлежащая уплате за первое полугодие 1998 года с учетом ранее начисленных платежей за первый квартал:
1,16 – 0,575 = 0,585 млн. руб.
В июне 1998 года на счетах бухгалтерского учета делается запись:
Д-т сч. 80 «Прибыли и убытки» К-т сч. 68 «Расчеты с бюджетом» (субсч . «Расчеты по налогу на имущество») – 0,585 млн. руб. – начисление суммы налога на имущество .
Сумма налога на имущество за 9 месяцев 1998 года:
Сумма налога на имущество, подлежащая уплате за 9 месяцев 1998 года с учетом ранее начисленных платежей за первое полугодие:
1,8 – 1,16 = 0,640 млн. руб.
В сентябре 1998 года на счетах бухгалтерского учета делается запись:
Д-т сч. 80 «Прибыли и убытки» К-т сч. 68 «Расчеты с бюджетом» (субсч . «Расчеты по налогу на имущество») – 0,640 млн. руб. – начисление суммы налога на имущество .
Сумма налога на имущество за 1998 год:
Сумма налога на имущество, подлежащая уплате за 1998 год с учетом ранее начисленных платежей за 9 месяцев 1998 года:
2,48 – 1,8 = 0,680 млн. руб.
В декабре 1998 года на счетах бухгалтерского учета делается запись:
Д-т сч. 80 «Прибыли и убытки» К-т сч. 68 «Расчеты с бюджетом» (субсч . «Расчеты по налогу на имущество») – 0,680 млн. руб. – начисление суммы налога на имущество .
Необходимо, чтобы расчеты налога и среднегодовой стоимости имущества за отчетный период представлялись предприятиями в налоговые органы по месту нахождения вместе с бухгалтерским отчетом в сроки, установленные для представления квартальной и годовой отчетности, и составлялись по утвержденным формам согласно приложениям 1 и 2 Инструкции ГНС РФ № 33 (см. прил. 1, 2).
При этом предприятие, осуществляющее ведение бухгалтерского учета ценностей и операций, связанных с осуществлением совместной деятельности, должно сообщать участникам договора о совместной деятельности сведения о стоимости имущества, созданного (приобретенного) ими в результате деятельности и являющегося объектом налогообложения, до срока, установленного для предоставления вышеуказанных расчетов.
Уплата налога на имущество предприятий производится плательщиками по квартальным расчетам в пятидневный срок со дня, установленного для представления бухгалтерского отчета за квартал, а по годовым расчетам – в десятидневный срок со дня, установленного для предоставления годового бухгалтерского отчета.
Сумма платежей по налогу на имущество предприятий зачисляется равными долями в республиканский бюджет республики в составе РФ, краевой, областной бюджеты края, области, областной бюджет автономной области, окружной бюджет автономного округа, районный бюджет района или городской бюджет города по месту нахождения предприятия.[3]
Излишне внесенные суммы налога засчитываются в счет очередных платежей или должны возвращаться предприятию-плательщику в десятидневный срок со дня получения налоговым органом его письменного заявления.
Обычно зачет налоговые органы делают своевременно, а от возврата, как правило, ищут способы уклониться. Один из таких способов – зачет излишне уплаченных сумм в счет задолженности или очередных платежей по другим налогам. Это следует иметь в виду при планировании денежных потоков предприятия.
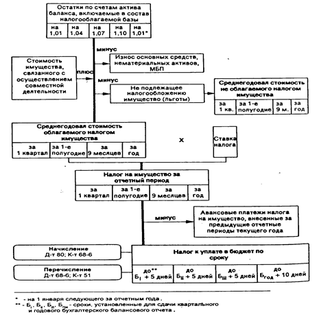
Общий же порядок исчисления налогооблагаемой базы и порядок уплаты налога на имущество юридических лиц можно представить в виде схемы:

Рис. 1. Исчисление налогооблагаемой базы и порядок уплаты налога на имущество юридических лиц
1.3. Особенности налогообложения имущества иностранных юридических лиц в Российской Федерации
Налогообложение имущества иностранных компаний в Росси отличается от общего порядка, установленного для российских предприятий. Как уже говорилось выше, плательщиками налога на имущество являются иностранные юридические лица – компании, фирмы, любые другие организации (включая полные товарищества), образованные в соответствии с законодательством иностранных государств, международные организации и объединения, а также их обособленные подразделения, имеющие имущество на территории Российской Федерации, континентальном шельфе РФ и в исключительной экономической зоне РФ.
Иностранные юридические лица, имеющие имущество в РФ подлежат постановке на налоговый учет в соответствии с Положением от 20 сентября 1996 г. № ВА-4-06/57н «Об особенностях учета в налоговых органах организаций, образованных в соответствии с законодательством иностранных государств, и международных организаций».
Иностранные компании, осуществляющие деятельность на территории РФ через отделения, могут вести бухгалтерский учет в головном офисе фирмы по стандартам, принятым в стране ее постоянного местопребывания.
Объектом налогообложения имущества иностранных юридических лиц являются основные средства, нематериальные активы, МБП, запасы, включая находящиеся в РФ на условиях временного ввоза, а также затраты по производству продукции (работ, услуг) указанных организаций в России и расходы будущих периодов.
К облагаемому налогом имуществу относится имущество, находящееся в собственности иностранного юридического лица, а также переданное иностранному юридическому лицу российским или иностранным лицом по договору аренды с последующим переходом права собственности к арендатору.[4]
Отнесение имущества к основным средствам, нематериальным активам, запасам, МБП и затратам производится в соответствии с нормативно-правовыми актами РФ. Налогом облагается остаточная стоимость указанного имущества, которая представляет собой первоначальную или восстановительную стоимость, уменьшенную на величину амортизационных отчислений и износа.
Порядок определения налогооблагаемой базы иностранными юридическими лицами имеет следующие отличия от установленного для российских организаций-налогоплательщиков.
1. Расчет амортизации по правилам страны постоянного местопребывания иностранного юридического лица. Иностранным компаниям на территории РФ разрешено исчислять амортизацию по основным средствам и нематериальным активам, а также износ МБП по законодательству страны постоянного местопребывания иностранного юридического лица.
Для целей налогообложения установлены следующие максимальные годовые нормы амортизационных отчислений по категориям имущества:
Таблица 3
Максимальные годовые нормы амортизационных отчислений для иностранных юридических лиц
| Категория имущества | Вид имущества | Предельная годовая норма амортизационных отчислений, % |
| А | Здания и сооружения | 5 |
| В | Автомобили легковые, конторская мебель и оборудование, компьютеры, информационные системы и средства обработки данных | 25 |
| С | Другое имущество | 15 |
Установленные максимальные нормы для начисления амортизации и износа не совпадают с нормами, применяемыми российскими юридическими лицами. Так, для иностранных юридических лиц установлен упрощенный (по сравнению с российскими юридическими лицами) порядок исчисления амортизации по объектам основных средств. Иностранные компании могут начислять амортизацию по основным средствам в размере, не превышающем ее величину, рассчитанную исходя из максимальных норм, тогда как российские юридические лица обязаны начислять амортизацию для целей налогообложения только по установленным нормам.
Амортизационные начисления по нематериальным активам и износ МБП рассчитываются иностранными юридическими лицами по соответствующим нормам в том же порядке, что и по основным средствам. Российскими же юридическими лицами нормы амортизационных отчислений по подлежащим погашению нематериальным активам определяются самостоятельно исходя из срока их полезного использования. По нематериальным активам, по которым невозможно определить срок полезного использования, нормы устанавливаются в расчете на 10 лет (но не более срока деятельности организации).
2. Особый порядок оценки имущества. Имущество, приобретенное иностранными юридическими лицами в РФ, оценивается в совокупности с имуществом, ввезенным ими из-за границы. Его стоимость может быть оценена в зависимости от способа приобретения[5] так, как показано в табл. 4.
Порядок же оценки имущества российских юридических лиц установлен в п.1 ст. 11 Федерального закона от 21 ноября 1996 г. № 129-ФЗ «О бухгалтерском учете» (см. табл. 5). Применение методов оценки имущества, отличных от приведенных в п.1 ст. 11 указанного закона, российскими юридическими лицами допускается в случаях, предусмотренных законодательством Российской Федерации и нормативными актами органов, регулирующих порядок ведения бухгалтерского учета.
Таблица 4
Способы оценки стоимости имущества для иностранных юридических лиц
| Способ приобретения имущества | Определение стоимости |
| За плату | По цене приобретения имущества |
| Получено безвозмездно от головного офиса | По стоимости этого имущества у головного офиса на момент передачи отделению в РФ с учетом фактически произведенных затрат по его транспортировке, установке, таможенных платежей и других затрат |
| При отсутствии документов о приобретении (нет счетов на приобретение имущества в РФ, стоимость имущества не отражена в выписке из головного офиса | По рыночным ценам |
Таблица 5
Способы оценки стоимости имущества для российских юридических лиц
| Способ приобретения имущества | Определение стоимости |
| За плату | Сумма фактически произведенных расходов на покупку имущества |
| Получено безвозмездно | По рыночной стоимости на дату оприходования |
| Произведено в самой организации | Стоимость изготовления имущества |
Различия в порядке оценки имущества российскими и иностранными юридическими лицами незначительны: для иностранных компаний существует особый порядок определения стоимости имущества, передаваемого от головного офиса, и не предусмотрена оценка созданного отделением имущества исходя из затрат по его изготовлению.
3. Возможность условного расчета затрат, учитываемых для целей налогообложения. Согласноп. 3.5. Инструкции ГНС РФ № 38, если невозможно определить затраты, отнесенные к завершенной продукции (работам, услугам) в отчетном периоде, то их налогооблагаемая величина (Зно ) рассчитывается исходя из общей суммы затрат (Зо ) в каждом отчетном периоде с применением коэффициента 0,25:
![]()
Затраты иностранного юридического лица, подлежащие налогообложению прямым способом (Зно ), рассчитываются как разница между суммой затрат отчетного периода, относимых на издержки производства и обращения и фактически отнесенными в отчетном периоде к завершенной производством продукции (работам, услугам):
Зно = Зр - Зин
где Зр – сумма затрат, подлежащая отнесению на себестоимость продукции (работ, услуг) в отчетном периоде по российскому законодательству,
Зин – фактически списанные на себестоимость продукции (работ, услуг) затраты иностранного юридического лица.
Российские юридические лица определяют налогооблагаемую базу исходя из остатков по счетам имущества, отражаемых в активе баланса; применение условных способов расчета стоимости имущества, подлежащего налогообложению, российскими плательщиками не допускается.
4. Особый порядок учета имущества, приобретенного за иностранную валюту. Иностранные юридические лица ведут учет в валюте приобретения. Стоимость имущества иностранного юридического лица, учитываемого в иностранной валюте, в каждом отчетном периоде пересчитывается в рубли по курсу Банка России или по курсу рубля к иностранным валютам, рассчитанному через курсы к третьей валюте (кросс-курсу), действующему на последний календарный день отчетного периода.[6]
Таким образом, стоимость имущества иностранных юридических лиц и, следовательно, величина налоговых обязательств зависят от курса валюты приобретения имущества. Российские же юридические лица не пересчитывают стоимость имущества после принятия его к бухгалтерскому учету в связи с изменением курса валюты приобретения по отношению к рублю.
Для целей налогообложения самостоятельно определяется среднегодовая стоимость имущества иностранного юридического лица, которая рассчитывается так же, как и среднегодовая стоимость имущества российских организаций-налогоплатель-щиков. Аналогичным образом решается и вопрос о ставке налога на имущества.
Если иностранное юридическое лицо не ведет деятельности в РФ, однако является плательщиком налога в связи с тем, что имеет имущество в РФ, в налоговый орган по месту нахождения этого имущества подается годовой расчет его стоимости. Такие иностранные юридические лица могут уплачивать налог со счетов в иностранных банках.
Иностранные юридические лица-плательщики налога на имущество, как осуществляющие, так и не осуществляющие какой-либо деятельности в России, однако имеющие имущество на территории РФ, представляют расчеты по формам, указанным в приложениях № 3 и 4 Инструкции ГНС РФ № 38.
Уплата налога производится: по квартальным расчетам – в 5-дневный срок со дня, установленного для представления расчета за квартал; по годовым отчетам – в 10-дневный срок со дня, установленного для представления годового расчета.
Итак, в первой главе была рассмотрена роль налога на имущество предприятий в системе доходов бюджета РФ и рассмотрены основные принципы налогообложения имущества предприятий-резидентов, а также некоторые вопросы налогообложения иностранных юридических лиц на территории РФ.
Плательщиками налога на имущество являются предприятия, учреждения (включая банки и другие кредитные организации) и организации, в том числе с иностранными инвестициями, считающиеся юридическими лицами по законодательству РФ, филиалы и другие аналогичные подразделения указанных предприятий, учреждений и организаций, имеющие отдельный баланс и расчетный (текущий) счет. Максимальная ставка налога 2% (конкретная ставка устанавливается на региональном уровне). Объект налогообложения – основные средства, нематериальные активы, запасы и затраты, находящиеся на балансе у плательщика, учитываемые по остаточной стоимости.
2. Льготы по налогу на имущество предприятий
Законом РФ от 13 декабря 1991 г. № 2030-1 «О налоге на имущество предприятий» (с последующими изменениями и дополнениями), а также Инструкцией Госналогслужбы РФ от 8 июня 1995 г. № 33 «О порядке исчисления и уплаты в бюджет налога на имущество предприятий» (с учетом изменений и дополнений) предусмотрен ряд льгот по налогу на имущество предприятий . В общем, все льготы можно разделить на те, которые освобождают предприятие от уплаты налога на имущество, и те, которые уменьшают налогооблагаемую базу.
2.1. Имущество предприятия, не облагаемое налогом [7]
Имущество, не облагаемое налогом , можно классифицировать следующим образом.
1. По принадлежности имущества:
а) районам, городам, различным органам и фондам, а также коллегиям адвокатов:
¾ районам (за исключением районов в городах);
¾ городам (за исключением городов районного подчинения);
¾ Российскому фонду федерального имущества;
¾ Фондам имущества субъектов РФ;
¾ органам законодательной (представительной) и исполнительной власти;
¾ органам местного самоуправления;
¾ Пенсионному фонду РФ;
¾ Фонду социального страхования РФ;
¾ Государственному фонду занятости населения РФ;
¾ Федеральному фонду обязательного медицинского страхования;
¾ коллегиям адвокатов и их структурным подразделениям.
б) предприятиям, учреждениям, организациям; службам и формированиям:
¾ жилищно-строительным, дачно-строительным и гаражным кооперативам, садоводческим товариществам;
¾ бюджетным учреждениям и организациям;
¾ общественным организациям инвалидов;
¾ предприятиям народных художественных промыслов[8] ;
¾ научно-исследовательским учреждениям, предприятиям и организациям, составляющим научно-исследовательскую, опытно-производственную или экспериментальную базу:
- Российской академии наук,
- Российской академии медицинских наук,
- Российской академии сельскохозяйственных наук,
- Российской академии образования,
- Российской академии архитектуры и строительных наук,
- Российской академии художеств;
¾ религиозным объединениям и организациям, национально-культурным обществам;
¾ предприятиям учреждений, исполняющих уголовные наказания в виде лишения свободы;
¾ специализированным протезно-ортопедическим предприятиям;
¾ специализированным предприятиям (по перечню, утверждаемому Правительством РФ), производящим медицинские и ветеринарные иммунобиологические препараты, предназначенные для борьбы с эпидемиями и эпизоотиями;
¾ профессиональным аварийно-спасательным службам и формированиям.
2. По цели использования имущества:
а) исключительно для нужд образования:
¾ дошкольных и других учреждений образования, учебно-производственных комбинатов и учебных участков, учебно-опытных, опытных хозяйств, мастерских, цехов, ведущих подготовку и переподготовку рабочих и специалистов;
¾ оздоровительных спортивных лагерей и лагерей труда и отдыха для детей и учащейся молодежи;
¾ центров, клубов и кружков (в сфере образования);
¾ в доле, относящейся к указанной ниже продукции, работам и услугам:
- предприятий и организаций, выпускающих или реализующих учебно-техническую продукцию, наглядные пособия и оборудование для учебных заведений,
- предприятий и организаций, осуществляющих снабжение, ремонт и хозяйственное обслуживание учреждений;
¾ курсовой сети по профессиональной подготовке и переподготовке населения;
¾ детских экскурсионно-туристических организаций,
¾ других учреждений и организаций, деятельность которых отвечает целям образования;
б) исключительно для нужд культуры:
¾ стационарных и передвижных клубов (домов и дворцов культуры);
¾ библиотек, музеев, зоопарков;
¾ парков культуры и отдыха;
¾ социально-культурных специализированных и многофункциональных комплексов и объединений;
¾ научно-методических центров творчества и культурно-просветительной работы;
¾ театров, стационарных и передвижных цирков;
¾ филармоний, кинопроката, кинотеатров, киноустановок, киностудий, планетариев.
в) для образования следующих запасов: [9]
¾ страхового и сезонного запасов на предприятиях, связанных с сезонным (природно-климатическим) циклом поставок и работ;
¾ запасов, созданных в соответствии с решениями федеральных органов исполнительной власти, соответствующих органов государственной власти субъектов РФ и органов местного самоуправления.
г) использование (предназначение) исключительно для отдыха или оздоровления детей в возрасте до 18 лет.
3. По предприятиям, учреждениям, организациям, имущество которых не облагается налогом при выполнении следующих условий:
а) общественных объединений, ассоциаций, осуществляющих свою деятельность за счет:
- целевых взносов граждан,
- отчислений предприятий и организаций из оставшейся в их распоряжении после уплаты налогов и других обязательных платежей прибыли на содержание указанных общественных объединений, ассоциаций,
если указанные организации не занимаются предпринимательской деятельностью; [10]
б) предприятий, учреждений и организаций,
если инвалиды составляют не менее 50 процентов от общего числа работников; [11]
в) органов управления и подразделений государственной противопожарной службы,
при осуществлении ими своих функций, установленных законодательством РФ;
г) - государственных научных центров,
- научно-исследовательских, конструкторских учреждений (организаций),
- опытных и опытно-экспериментальных предприятий,
- их филиалов и других аналогичных подразделений, имеющих отдельный баланс и расчетный (текущий) счет,
если в объеме работ указанных предприятий, организаций за отчетный год научно-исследовательских, опытно-конструкторские и экспериментальные работы составляют не менее 70%;
д) иностранных и российских юридических лиц,
от налога освобождается имущество указанных юрлиц, используемое за период:
- реализации целевых социально-экономических программ (проектов) жилищного строительства,
- создания, строительства и содержания центров профессиональной переподготовки военнослужащих, лиц, уволенных с военной службы, и членов их семей, осуществляемых за счет займов, кредитов и безвозмездной финансовой помощи, предоставляемых международными организациями и правительствами иностранных государств, иностранными юридическими и физическими лицами в соответствии с межправительственными и межгосударственными соглашениями, а также соглашениями, подписанными по поручению Правительства Российской Федерации уполномоченными им органами государственного управления.
2.2. Имущество предприятия, стоимость [12] которого уменьшает налогооблагаемую базу[13]
В свою очередь, имущество, стоимость которого уменьшает налогооблагаемую базу, также поддается классификации.
1. Объекты, используемые в определенных сферах деятельности:
а) объекты жилищно-коммунальной сферы, полностью или частично находящихся на балансе налогоплательщиков:
¾ жилой фонд;
¾ гостиницы (без туристических);
¾ дома и общежития для приезжих;
¾ коммунальное хозяйство:
- объекты внешнего благоустройства,
- улично-дорожная сеть;
¾ искусственные сооружения;
¾ объекты инженерной защиты города;
¾ зеленые насаждения общего пользования;
¾ уличное освещение;
¾ сооружения санитарной уборки городов; здания и подсобные сооружения дорожно-мостового, зеленого хозяйства и инженерной защиты городов;
¾ сооружения и оборудование пляжей и переправ;
¾ элементы простейшего водоснабжения;
¾ объекты коммунального и бытового водоснабжения:
- очистные сооружения водопровода и канализации со всем оборудованием, механизмами, арматурой и емкостями,
- все виды водозаборных сооружений,
- артезианские скважины, сети водопровода и канализации с сооружениями на них,
- насосные и воздуходувные станции,
- водонапорные башни;
¾ объекты газо-, тепло- и электроснабжения населения и для коммунально-бытовых нужд;
¾ районные и другие тепловые сети;
¾ районные и другие котельные;
¾ участки, цехи, базы, мастерские, гаражи, специальные машины и механизмы, складские помещения, предназначенные для технического обслуживания и ремонта объектов жилищно-коммунального хозяйства;
б) объекты социально-культурной сферы, полностью или частично находящихся на балансе налогоплательщиков:
¾ объекты культуры и искусства;
¾ объекты образования;
¾ объекты физкультуры и спорта;
¾ объекты здравоохранения;
¾ объекты социального обеспечения;
¾ объекты непроизводственных видов бытового обслуживания населения.
в) объекты, используемые исключительно для охраны природы, пожарной безопасности, гражданской обороны.
2. Имущество, используемое в определенных целях:
¾ имущество, используемое для производства, переработки и хранения сельскохозяйственной продукции;
¾ имущество, используемое для выращивания, лова и переработки рыбы.
3. Другое имущество предприятия независимо от назначения и использования:
¾ ледоколы;
¾ суда с ядерными энергетическими установками;
¾ суда атомно-технологического обслуживания;
¾ магистральные трубопроводы;
¾ железнодорожные пути сообщения, в том числе подъездные пути, принадлежащие железной дороге;
¾ автомобильные дороги общего пользования;
¾ линии связи и энергопередачи;
¾ сооружения, предназначенные для поддержания в эксплуатационном состоянии указанных объектов;
¾ спутники связи;
¾ земля;
¾ специализированные суда, механизмы и оборудование, необходимые для использования не более трех месяцев в году для обеспечения нормального функционирования различных видов транспорта, а также автомобильных дорог общего пользования;
¾ эталонное и стендовое оборудование территориальных органов Комитета Российской Федерации по стандартизации, метрологии и сертификации;
¾ мобилизационный резерв и мобилизационные мощности.
2.3. Вопросы, связанные с применением некоторых льгот по налогу на имущество предприятий
Для получения перечисленных выше льгот, необходимо вести раздельный учет облагаемого и необлагаемого налогом имущества.
Также, законом предоставлено право законодательным (представительным) органам субъектов РФ, органов местного управления устанавливать для отдельных категорий плательщиков дополнительные льготы по налогу в пределах сумм, зачисляемых в бюджеты субъектов РФ. Это право на местах весьма активно используется.
Закон «Об условиях стимулирования инвестиций в Калининградской области (СЭЗ «Янтарь»)», принятый Областной Думой 27 апреля 1995 г., регламентирует порядок привлечения российских и иностранных инвестиций и устанавливает ряд льгот, в частности, льготы по налогу на имущество предприятий. Так, налог на имущество для юридических лиц, занимающихся производственной деятельностью, уплачивается в размере 50% от установленной законодательством ставки сроком на пять лет, если:
¾ сумма привлеченных инвестиций составляет 500 000 долларов США (в рублевом эквиваленте);
¾ выручка от производственной деятельности составляет не менее 70% от общей суммы выручки, полученной предприятием.
Предоставление льгот по налогу на законсервированное имущество. Согласно ст. 4 «ж» Закона РФ. № 2030-1 «О налоге на имущество предприятий» данным налогом не облагается имущество, используемое для образования страхового и сезонного запасов на предприятиях, связанных с сезонным (природно-климатическим) циклом поставок и работ, а также запасов, созданных в соответствии с решениями федеральных органов исполнительной власти, соответствующих органов государственной власти субъектов РФ и органов местного самоуправления. При этом к таким запасам относятся материальные ценности предприятий, законсервированные в соответствии с указанным порядком.
Имущество, законсервированное приказом директора предприятия, не подпадает под действие данной льготы, так как этот документ не является основанием для ее предоставления.
Расчет налогооблагаемой базы при осуществлении различных видов деятельности. Достаточно типичной является ситуация, когда одно и тоже здание используется для осуществления различных видов деятельности. При этом по имуществу, используемому для определенных видов деятельности, могут быть предоставлены льготы по уплате налога.
Например, часть здания дома культуры сдана в аренду коммерческой организации, которая открыла там, например, ресторан. Согласно Инструкции ГНС РФ №33 от налога на имущество, в частности, освобождается имущество, используемое исключительно для нужд образования и культуры. Таким образом, балансовая стоимость части здания, в которой размещен ресторан, при расчете налога льготироваться не должна (поскольку она не используется непосредственно для нужд образования и культуры).
Подлежащая включению в налогооблагаемую базу балансовая стоимость помещений, занимаемых такими подразделениями самой организации (или арендуемых сторонними организациями), определяется пропорционально доле занимаемой ими площади в общей площади здания:

где Сн – балансовая стоимость налогооблагаемой площади здания, за вычетом начисленного износа (то есть площади, используемой для размещения объектов, по которой не предоставляется льгота по уплате налога, например, в приведенной ситуации – площадь ресторана),
Со – балансовая стоимость всего здания,
S н – налогооблагаемая площадь здания,
S о – общая площадь здания.
Таким образом, поскольку плательщиком налога на имущество является его балансодержатель, то при установлении арендной платы организации-арендодателю целесообразно учесть в ее сумме размер расходов на уплату налога на предоставляемое имущество так, чтобы в конечном итоге сдача в аренду приносила бы прибыль, то есть арендная плата должна быть выше, чем налог на имущество.
Применение льготы предприятиями по переработке и хранению сельскохозяйственной продукции. Льготу по налогу на имущество имеют предприятия по производству, переработке и хранению сельскохозяйственной продукции при условии, что выручка от указанных видов деятельности составляет не менее 70% общей суммы выручки от реализации продукции (работ, услуг) за отчетный год.
Если по результатам работы за год выручка от льготируемых видов деятельности составит менее 70%, то льгота предоставляется только в части имущества, используемого для производства, переработки и хранения сельскохозяйственной продукции.
При использовании указанных льгот следует иметь ввиду, что к сельскохозяйственной продукции относится продукция, включенная в Общероссийский классификатор продукции ОК 005-93.
Согласно ст. 1 Закона плательщиками налога на имущество наряду с предприятиями, организациями, учреждениями являются их филиалы и другие аналогичные подразделения, имеющие отдельный баланс и расчетный (текущий) счет. Поэтому, если вышеперечисленное имущество находится на балансе такого подразделения, то льгота должна применяться при расчете налога на имущество именно подразделения.
Льготы в налогообложении иностранных юридических лиц на территории РФ. Льготы по налогу на имущество иностранным юридическим лицам предоставляются:
¾ согласно общим нормам международного права (на основе принципа взаимности). Например, от налога освобождается имущество дипломатических и приравненных к ним представительств;
¾ по международным договорам РФ (СССР) об избежании двойного налогообложения, ратифицированным в установленном порядке. Если имеется международное соглашение об избежании двойного налогообложения имущества между Российской Федерацией и страной постоянного местопребывания иностранного юридического лица, то последнее может получить освобождение от уплаты налога на имущество в России. Для этого в российские налоговые органы представляется заявление о предварительном освобождении от налога на имущество (приложение № 6 Инструкции ГНС РФ № 38);
¾ в соответствии с российским налоговым законодательством. Стоимость имущества иностранного юридического лица для целей налогообложения уменьшается на стоимость имущества, не подлежащего налогообложению в соответствии с законодательством РФ.
Итак, во второй главе была сделана попытка определенной классификации всех льгот по налогу на имущество предприятий, предусматриваемых нормативными документами. На сегодняшний день общее количество льгот довольно значительно, что затрудняет анализ возможностей их использования для различных предприятий. Однако, уже в проекте Налогового кодекса число предоставляемых льгот несколько сокращено. Интерес представляют также льготы в налогообложении имущества иностранных юридических лиц, связанные в основном с учетом положений международных соглашений об избежании двойного налогообложения доходов и имущества, что дает иностранным юридическим лицам широкий простор для использования различных льгот в налогообложении имущества.
3. Перспективы налога на имущество предприятий
3.1. Изменения по налогу на имущество, предлагаемые проектом налогового кодекса
Изменения, которые предложены внести в порядок исчисления и уплаты налога на имущество, нельзя назвать коренными, однако, по ряду позиций они являются весьма существенными.
Во-первых, предельная ставка налога повышена до 2,5 процентов. Вряд ли законодательные органы субъектов РФ, применившие ранее предельную ставку (2%) удержатся от соблазна поднять ее уровень.
Во-вторых, существенно изменена налогооблагаемая база. В соответствии с проектом Налогового кодекса предполагается включение в базу только амортизируемого имущества. Здесь следует оговориться, что Налоговый кодекс призван несколько изменить общее представление об амортизируемом имуществе. В его состав будут входить:
¾ основные средства;
¾ нематериальные объекты;
¾ малоценные и быстроизнашивающиеся предметы;
¾ капитализируемые затраты (затраты на ремонт, техническое обслуживание и модернизацию основных средств; затраты на освоение природных ресурсов; затраты на научные исследования и опытно-конструкторские разработки).
Таким образом, для правильного определения налогооблагаемой базы руководителям предприятий придется ждать очередной инструкции Госналогслужбы РФ и, по всей вероятности, вносить существенные изменения в налоговый учет.
В-третьих, предлагается изменить и порядок исчисления налога. Среднегодовая стоимость имущества, подлежащего налогообложению, определяется как одна тринадцатая суммы, полученной при сложении стоимостей такого имущества на первое число каждого месяца отчетного года и первое число следующего за ним года. Если продолжительность налогового периода составляет более одного года, усредненная по этому налоговому периоду стоимость такого имущества принимается равной средней стоимости этого имущества, определенной по итогам календарного года, входящего в этот налоговый период. При этом соответствующий коэффициент принимается равным 1/365 числа дней налогового периода. Если продолжительность налогового периода составляет менее одного года, усредненная по этому налоговому периоду стоимость такого имущества принимается равной сумме, полученной при сложении стоимостей этого имущества на первое число каждого начинающегося в налоговом периоде месяца и на первое число следующего за налоговым периодом года (если окончание налогового периода совпадает с окончанием календарного года), деленной на число слагаемых в этой сумме. При этом соответствующий коэффициент принимается равным 1/365 числа дней налогового периода.
Таким образом, предлагается вернуться к схеме, при которой в расчет принимаются остатки на начало каждого месяца, а не квартала, как сейчас. Эта схема существовала до 1995 года и, так как в расчете участвовали почти все статьи актива баланса, предприятию приходилось делать ежемесячный баланс, даже если производственные или финансовые обстоятельства его к этому не понуждали. В связи с переходом на новую налогооблагаемую базу (амортизируемое имущество) задача упрощается, но повышается вероятность ошибок или расхождений в трактовке периодов осуществления некоторых хозяйственных операций. Как, например, быть в случае, когда акт ввода в эксплуатацию подписан 1 августа, а поступил в бухгалтерию только 10 августа (непосредственные исполнители акта ориентируются на квартальный баланс и не видят последствий задержки представления документов в середине квартала. Тем более, что в данном случае начисление амортизации будет начинаться с сентября). Налоговой инспекцией дата, на которую должны быть учтены данные объекты основных средств, вряд ли будет определена в пользу налогоплательщика.
В-четвертых, определенные, хотя и небольшие изменения произведены в отношении льгот по налогу. Эти изменения касаются прежде всего сроков действия льгот – почти все они ограничены 31 декабря 2000 года. Другой тенденцией, прослеживаемой при анализе существующих и предлагаемых льгот, является значительное сужение области действия некоторых из них. Например, при применении льготы, по налогу на имущество, используемое (предназначенное) исключительно для отдыха или оздоровления детей в возрасте до 18 лет снижен возрастной ценз – до 16 лет. Возникает вопрос, что предполагалось при внесении изменений – отказ от льготы, перепрофилирование имеющихся лагерей с тем, чтобы дети старше 16 лет не могли в них находиться или введение возрастного ценза при приеме в эти лагеря, безотносительно к тому, учится ребенок в школе или нет.
В отношении льготы по предприятиям народных художественных промыслов введено условие, предполагающее производство изделий, образцы которых утверждены в установленном порядке художественными советами по декоративно-прикладному искусству либо иными уполномоченными органами. В данном случае создается ситуация, стимулирующая массовое производство изделий (по утвержденному шаблону). Исключена льгота для общественных объединений, ассоциаций, осуществляющих свою деятельность за счет целевых взносов граждан и отчислений предприятий и организаций из оставшейся в их распоряжении после уплаты налогов и других обязательных платежей прибыли.
Таким образом, проект налогового кодекса не предусматривает отнесение налога на землю к имущественному налогу. Также в качестве отдельного налога рассматривается и налог на имущество физических лиц. Такой вопрос, как объединение этих трех налогов в один налог на недвижимость на основе опыта зарубежных стран, а также на основе результатов эксперимента в Новгородской и Тверской области (где был опробован налог на недвижимость и выработан целый ряд рекомендаций по оценке имущества на основе рыночных цен и его налогообложению) проектом Налогового кодекса не рассматривается.[14]
Также не вводится дифференцируемая ставка налога, за которую высказываются некоторые экономисты.[15] Дело в том, что налог на имущество предприятий, начисляемый по его остаточной стоимости, в определенной степени не поощряет инвестиции в производственный основной капитал. Скорее, он подавляет стремление промышленников обновлять мощности, поскольку введение в действие новых средств труда означает мгновенное обложение авансированной в них стоимости высоким имущественным налогом.
Как показывают расчеты на основе статистической отчетности о движении основных фондов, в последние годы происходит быстрое устаревание машин и оборудования, зданий и сооружений в отраслях обрабатывающей промышленности в условиях стремительного свертывания капитальных затрат и вялой ликвидации старой техники. Так, например, на предприятиях практически всех отраслей народного хозяйства Калининградской области в последние годы основные фонды практически не вводились в эксплуатацию. Большая часть основных фондов физически и морально изношена, устарела. Средний фактический срок эксплуатации активной части основных производственных фондов составляет 25-30 лет. Степень износа основного капитала достигает 45-50%.[16]
Таким образом, фискальный доход от имущества неизбежно будет падать в результате более существенного износа активной и пассивной части основных средств, обедняя прежде всего региональные бюджеты. Это подталкивает к повышению ставки этого сбора, что усиливает осторожность предпринимателей в затратах в основной капитал.
Между тем налог на имущество можно превратить в дополнительный импульс для интенсификации инвестиционного процесса, что в конечном счете позитивно отразится на поступлениях в бюджет.
Такое возможно, если будет установлена минимальная ставка налога на имущество (0,5%) для обновленных основных фондов. Для остальной части имущества налог может достигать 2,5% по средней остаточной стоимости, подталкивая предприятия к его обновлению, быстрой ликвидации или консервации.
Подобная практика в целом могла бы значительно повысить расчетную экономическую эффективность и, следовательно, привлекательность инвестиционных проектов, особенно наиболее значительных.
3.2. Правовое регулирование налогов на имущество в зарубежных странах
Система имущественного налогообложения, сложившаяся к настоящему времени в большинстве стран мира, несколько отличается от российской системы. Однако отличается она и при сравнении между самими этими странами. Различия касаются их наименования, круга субъектов и видов облагаемого имущества, способов исчисления, порядка уплаты налогов и пр. Среди них есть как регулярные (систематические, текущие), взимаемые с определенной периодичностью в течение всего времени владения имуществом (например, земельный налог), так и разовые, уплата которых связывается с каким-либо событием (переход имущества в порядке наследования и дарения, сделки купли продажи и другие операции с имуществом).
Некоторые имущественные налоги относятся к обложению только отдельных граждан, другие – юридических лиц. Существуют и такие, субъектами уплаты которых являются как юридические, так и физические лица. Столь же различны и уровни обложения: среди налогов на имущество есть общенациональные (федеральные), которые взимаются на всей территории страны, а также региональные и местные.
По-разному комбинируется и обложение имущества в рамках отдельных налогов на имущество, хотя при всем этом круг подлежащих обложению видов имущества повсюду чрезвычайно широк. Объектом обложения может быть недвижимое имущество (главным образом земля, здания и строения), ценные бумаги, иностранная валюта, ювелирные изделия, произведения искусства, сбережения и пр. В некоторых странах законы о налогообложении недвижимости существуют отдельно от других видов налогов на имущество; в других - налогообложение отдельных видов недвижимого имущества включается в общие законы о налогах на имущество.
Трудности классификации налогов на имущество не в последнюю очередь обусловлены тем обстоятельством, что большинство их входит в число наиболее старых налогов. Они складывались в границах национальных государств и несут на себе отпечаток особенностей их исторического развития. В регулировании этого вида налогообложения в гораздо меньшей степени заметна тенденция к интернационализации, присущая другим областям (например, регулированию налога на добавленную стоимость, который появился сравнительно недавно в налоговой практике большинства современных государств).
При всех оговорках об условностях классификации и ограниченности сравнений представляется все же возможным говорить о нескольких основных группах налогов на имущество. В первую входят регулярные имущественные налоги, главным образом налог на недвижимость и налоги на другие виды имущества (за рубежом их именуют обычно налогами на чистое имущество, в России налогами на имущество предприятий и физических лиц). Вторую группу образуют разовые налоги, взимаемые в связи с переходом имущества. Главными в этой группе являются налог на имущество, переходящее в порядке наследования или дарения, и налог на прирост стоимости имущества.
Налоги на недвижимость существуют почти во всех промышленно развитых странах. В специальной литературе для их обозначения применяют обобщенные названия. Их именуют налогами на недвижимое имущество (taxes on immovable Property, Real Estate Property tax), а иногда просто налогами на имущество (Property taxes).
Налоги на недвижимость принадлежат, как правило, к числу местных. Субъектами обложения могут быть как отдельные лица, так и компании. Иногда налогообложение недвижимости и тех, и других осуществляется на основании единого закона, иногда - двух разных законов.
Главные объекты обложения - земля и строения. В некоторых странах один и тот же закон регулирует обложение как земли, так и строений (Германия, Испания, Турция, Швеция); в других - обложение земли и строений осуществляется на основании различных законов (Австралия, Дания, Новая Зеландия).
В Великобритании налог на имущество является основным местным налогом. Он взимается с собственников или арендаторов недвижимого имущества. В это понятие входит и земля. К числу плательщиков данного налога относятся и лица, снимающие жилье и оплачивающие квартирную плату. Оценка стоимости недвижимого имущества обычно производится раз в 10 лет. Она представляет собой предполагаемую сумму годового дохода от сдачи данного имущества в аренду. Ставку налогообложения устанавливает муниципалитет исходя из потребностей в финансовых ресурсах, поэтому ставка заметно колеблется по графствам и городам Великобритании.
Налоги на собственность приносят крупные доходы бюджету Франции . Здесь принято три отдельных закона, регулирующих налогообложение земли и строений. Налогообложению подлежат имущество, имущественные права и ценные бумаги, находящиеся в собственности на 1 января. К имуществу относятся здания, промышленные и сельскохозяйственные предприятия, движимое имущество, акции, облигации и т.д. Некоторые виды имущества полностью или частично освобождены от этого налога, в частности, имущество для использования в рамках профессиональной деятельности, отдельные виды сельскохозяйственного имущества, предметы старины, художественные и коллекционные изделия.
Налог на собственность носит прогрессивный характер. Ставки на начало 90-х годов:
Таблица 6
Ставка налога на собственность [17]
| Стоимость имущества, франки | Налоговая ставка, % |
| До 4 260 000 | 0 |
| 4 260 001 – 6 920 000 | 0,5 |
| 6 920 001 – 13 740 000 | 0,7 |
| 13 740 001 – 21 320 000 | 0,9 |
| 21 320 001 – 41 280 000 | 1,2 |
| Свыше 41 280 000 | 1,5 |
Земельный налог на застроенные участки взимается с обустроенных участков. Налог касается всей недвижимости – здания, сооружения, резервуары, силосные башни и т.д., а также участков, предназначенных для промышленного или коммерческого использования. Налогооблагаемая часть равна половине кадастровой арендной стоимости участка. От данного налога освобождаются государственная собственность; здания, находящиеся за пределами городов и предназначенные для сельскохозяйственного использования.
Налог на незастроенные участки затрагивает поля, луга, леса, карьеры, болота, солончаки, участки под застройку и т.д. Кадастровый доход, служащий базисом налога, установлен равным 80% кадастровой арендной стоимости участка. От налога освобождены участки, находящиеся в государственной собственности. Могут временно освобождаться от налога искусственные лесонасаждения, участки, предназначенные под развитие сельскохозяйственного производства.
В Германии поземельным налогом облагаются предприятия сельского и лесного хозяйства, земельные участки компаний и физических лиц. Обычная ставка – 1,2%. Это местный налог, освобождены от которого государственные предприятия, религиозные учреждения.
Давние традиции имеет в Германии налог на собственность. Его ввел в 1278 году Рудольф фон Габабург. Налоговая ставка на совокупное имущество промышленных предприятий – 0,6%. Необлагаемый минимум – 20 тыс. марок. Льготы в виде пониженной ставки распространяются на имущество в сельском и лесном хозяйствах. Переоценка имущества происходит каждые 3 года. Налог нельзя относить ни на издержки производства, ни вычитать из налогооблагаемой прибыли. Он подлежит уплате даже в том случае, если фирма завершит финансовый год с убытком.
Практически во всех штатах США взимается налог на имущество. Его уплачивают как физические, так и юридические лица. Ставки налога различаются по штатам. Минимальный ее размер составляет 0,5%, максимальный – 5%. Доля данного налога в общем объеме налоговых поступлений бюджета штаты составляет приблизительно 2%.
В различных штатах предоставляются разнообразные льготы по налогу на имущество. В некоторых штатах полностью освобождаются от обложения данным налогом компании, впервые зарегистрированные в данном штате. Другие штаты гарантируют стабильную ставку налога для вновь созданных фирм в течение определенного периода времени (вплоть до 10 лет). Преференции также предусматриваются для отдельных видов производств, развитие которых необходимо для конкретной отрасли. В большинстве штатов полностью освобождаются от налога на имущество и пользуются правом ускоренной амортизации корпорации по оборудованию, используемому для отчистки отходов производства и предотвращения загрязнений окружающей среды.
Как можно было заметить, в большинстве промышленно развитых стран существует примерно одинаковый перечень льгот, предоставляемых в связи с уплатой налога. Как правило, от уплаты освобождена недвижимость, находящаяся в собственности государства. Не платят налог государственные учреждения, посольства, предприятия транспорта и связи. Льготным является налогообложение образовательных, религиозных, благотворительных, спортивных организаций, а также организаций по оказанию социальных услуг. Правда, многое здесь зависит от того, в чьей собственности (государственной или частной) это имущество находится. Особо льготным повсюду является обложение сельскохозяйственной земли. Льготы предоставляются больницам.
Одна из сложных проблем обложения недвижимости связана с решением законодателем вопроса о том, на кого возлагается обязанность по уплате налога – на собственника или арендатора. Почти во всех странах обязанность уплаты лежит на собственнике недвижимости. Практически, правда, он перекладывает весь налог или его часть на арендатора. Лишь в немногих странах закон возлагает юридическую обязанность уплаты налога полностью на арендатора (Великобритания, Франция).
В большинстве зарубежных государств отдельно от регулярного налога на недвижимость есть так называемый налог на чистое имущество (Net Wealth Tax – NWT). Он также относится к числу регулярных налогов и взимается ежегодно с определенных видов имущества, главным образом движимого, за вычетом обязательств (долгов) в отношении этого имущества.
Налог на чистое имущество принадлежит к категории старых, издавна существующих налогов. В некоторых странах он был принят еще в конце прошлого века (Нидерланды – 1892 г.); в других – в начале нынешнего (Дания – 1903 г., Швеция – 1910 г., Норвегия – 1918 г., Финляндия – 1920 г., Австрия – 1923 г.). Его продолжали вводить и в годы второй мировой войны и после ее окончания (Люксембург – 1944 г., Япония – 1951 г.), а также в последние десятилетия (Ирландия – 1975 г., Испания – 1978 г., Франция – 1982 г.).
В настоящее время налог на чистое имущество существует почти во всех промышленно развитых странах-членах ОЭСР. Исключение из государств этой группы составляют Великобритания и США, а также Австралия, Бельгия, Греция, Канада, Португалия, Турция.
Обычно ежегодно взимаемый налог на чистое имущество рассматривается как постоянно действующее дополнение к подоходному. На раннем этапе главным мотивом его введения было стремление подчинить налогообложению те виды имущества, которые в отличие от дохода могли принимать видимую форму. В настоящее время устанавливающие этот налог государства руководствуются разными соображениями. Иногда с его помощью стремятся сократить чрезмерное неравенство в распределении богатств. Именно такой мотив выдвигался правительством Франции при введении налога. Другие государства объясняли это желанием повысить прогрессивность налоговой системы (Испания), а третьи – решить проблемы социального равенства (Финляндия).
Несмотря на некоторые отличия в налогообложении имущества за рубежом, в большинстве стран сложились определенные принципы имущественного обложения, которые и в той или иной степени нашли отражение в законодательстве этих стран. К ним можно отнести, в частности, следующее.
1. Объектом налогообложения как правило выступают именно земля, здания и сооружения, поскольку их в отличие от движимого имущества относительно легко выявить и идентифицировать.
2. В качестве основы для исчисления базы налога чаще всего выступает рыночная стоимость облагаемых объектов, что стимулирует их экономически наиболее рациональное использование.
3. При определении стоимости недвижимого имущества обычно используется не индивидуальная оценка каждого отдельного объекта, а массовая оценка на основе применения стандартных процедур расчета стоимости объектов для целей налогообложения. Это позволяет оценить большое число объектов при относительно небольших затратах. В настоящее время при проведении массовой оценки широко используются компьютеры.
4. Льготы предоставляются либо социально незащищенным налогоплательщикам, либо по типам недвижимости, обеспечивающим осуществление общественно-полезных видов деятельности, либо по объектам, находящимся в государственной (муниципальной) собственности. Преимущество обычно отдается льготированию объектов (типов недвижимости), а не налогоплательщиков, в соответствии с принципом: налогом непосредственно облагается сама недвижимость, а не ее владелец.
Вместе с тем конкретные особенности налогообложения недвижимости могут отличаться друг от друга по странам.
В целом налогообложение имущества в России и за рубежом имеет более или менее схожие основные принципы, кроме одного существенного отличия. Это отличие заключается в том, что в России не существует отдельного налога на недвижимость, который охватывал бы обложение главных видов недвижимого имущества – строений и земли (рис. 2). Налогообложение земли выделено в отдельный земельный налог, а обложение строений регулируется законами о налоге на имущество предприятий и физических лиц.
Это объясняется тем, что в российском законодательстве земля не является пока объектом свободной купли-продажи, окончательно не принята частная форма собственности на землю, не проведена кадастровая оценка всех земельных площадей, не решен целый ряд правовых проблем владения, распоряжения, пользования земельными участками.
В результате земля, хотя и является имущественным фактором создания стоимости, она как таковая не включается в состав недвижимости, учитываемой на балансе предприятий в целях налогообложения. Из этого следует, что до тех пор, пока не будут сняты проблемы правового регулирования земельных отношений, земельный налог не может характеризоваться в качестве имущественного налога.
В этом отношении полезным может оказаться опыт идущего в Новгороде и Твери эксперимента.

Рис. 2. Система имущественного налогообложения
3.3. Налог на недвижимость – опыт Новгородской и Тверской области
В настоящее время в рамках реформирования системы налогообложения в Российской Федерации и отработки концепции Налогового кодекса, принятого Государственной Думой, в ряде городов России осуществляется эксперимент по переходу от нескольких видов имущественных налогов к единому налогу на недвижимость. Государственная Дума 11 июня 1997 года одобрила внесенный Правительством проект федерального Закона «О проведении эксперимента по налогообложению недвижимости в городах Новгороде и Твери», который затем был также одобрен Советом Федерации и утвержден Президентом.
Проводимый в городах Твери и Новгороде эксперимент заключается в замене ряда имущественных налогов единым налогом на недвижимость. При этом концепция налога основана на целом ряде принципов, позволяющих сделать налогообложение недвижимости простым, прозрачным и справедливым.
Суть эксперимента по налогообложению недвижимости, который осуществляется в городах Твери и Новгороде, состоит в замене нескольких налогов – налога на имущество предприятий, на имущество физических лиц и земельного налога – единым налогом на недвижимость. Базой этого налога является оцененная рыночная стоимость объекта недвижимости или ее часть. Таким образом, номинальная ставка едина для всех видов недвижимости и не дифференцирована по налогоплательщикам, а база варьируется за счет применения различных коэффициентов налоговой оценки, на основе процента рыночной стоимости.
Цель эксперимента – стабилизация поступлений в местные бюджеты при снижении налогообложения активной части основных фондов.
Концепция налога базируется на следующих принципах:
¾ простота и прозрачность системы налогообложения недвижимости. База налога определяется, исходя из оценки рыночной стоимости объекта недвижимости.
¾ объектом налогообложения является земля, стоящие на ней здания и сооружения, а также другие объекты недвижимости. Хотя земля в большинстве случаев не является предметом продажи, в стоимости любого объекта недвижимости есть вклад земельной составляющей. Налог определяется в зависимости от стоимости земли и зданий;
¾ справедливость распределения налогового бремени. Различие между физическими и юридическими лицами в части промышленного и иного коммерческого использования недвижимости снимается. Ставка нового налога – единая для всех видов недвижимости. Но доля оцененной рыночной стоимости, которая подлежит налогообложению, варьируется в зависимости от типа недвижимости. Для коммерческой недвижимости эта доля составляет 70-100% рыночной стоимости, для промышленной недвижимости – 50-70%, для объектов социально-культурного назначения – 10-30%, для жилья – 2,5-10%;
¾ налоговое бремя в части жилья повышается незначительно. Налог на основное жилье в собственности граждан не превысит платы за найм аналогичных квартир;
¾ разумная и понятная система налоговых льгот и стимулов, построенная на основе анализа изменения налогового бремени при переходе к новому налогу.
Разработчики законопроекта видят в предлагаемом налоге следующие преимущества:
¾ создание более устойчивого и надежного источника доходов местной администрации для финансирования инфраструктуры;
¾ освобождение активной части основных фондов (в первую очередь, машин и оборудования) от налогообложения стимулирует в первую очередь инвестирование модернизации производства;
¾ постепенный перенос налогового бремени на физических лиц;
¾ стимулирование экономического развития путем снижения налогового бремени на предпринимателей;
¾ стимулирование эффективного использования ресурсов, в первую очередь, городских земель;
¾ повышение уровня собираемости налогов, поскольку налогооблагаемая недвижимость носит материальный и очевидный характер;
Основными параметрами, составляющими налог на недвижимость, заменяющего налог на имущество предприятий, плату за землю и налог на имущество физических лиц, определялись исходя из того, что доходы от нового налога не должны быть меньше, чем платежи от трех налогов по старой системе, поскольку это – необходимое условие реализации эксперимента в городах (со стороны местных бюджетов).
Важной функцией нового налога является выравнивание налогового бремени предприятий и физических лиц.
Решение о ставке, базе, льготах по налогу на недвижимость производится на основе расчетов. Анализ бюджетов городов Твери и Новгорода показал, что в составе имущественных и земельных платежей основная часть поступлений приходится на налог на имущество предприятий. При переходе от налога на имущество предприятий к налогу на недвижимость достаточно большая часть базы налога на имущество выходит из-под налогообложения (машины, оборудование, транспортные средства, запасы, нематериальные активы и прочее имущество, кроме зданий и сооружений). В то же время, балансовая стоимость зданий, сооружений и земли существенно отличается от их рыночной стоимости.
Система налогообложения недвижимости по ее рыночной стоимости сегодня действует во многих странах мира. Она хорошо зарекомендовала себя с точки зрения выполнения фискальной, стимулирующей и социальной функций.
При последовательном проведении концептуальных принципов налогообложения недвижимости эта система может быть успешно внедрена и в Российской Федерации.
По своему содержанию этот новый налог мог бы выполнять все три вышеперечисленные функции.
Фискальная функция. Налог на недвижимость способен обеспечить достаточный и устойчивый уровень поступлений в местные бюджеты, поскольку именно недвижимое имущество является наиболее стабильным объектом налогообложения по сравнению с другими видами активов или доходами. С другой стороны, создаются условия для повышения собираемости налогов, так как недвижимость и значительно труднее скрыть от налогообложения.
Стимулирующая функция. Во-первых, для предприятий обложению новым налогом подвергалось бы только недвижимое имущество, в то время как при существующей системе в базу налога на имущество предприятий включается и стоимость активной части основных фондов, а также товарно-материальные запасы. Это могло бы способствовать инвестициям в техническое перевооружение производства. Во-вторых, оценка недвижимости для налогообложения по ее рыночной стоимости ведет к более высоким налогам за более дорогие здания и землю, что стимулирует их более рациональное применение, заставляя тех собственников, которые используют недвижимость неэффективно, передавать ее в руки тех, кто сможет ее использовать с наибольшей выгодой. В-третьих, узаконенная государством оценка зданий и земли по их реальной стоимости будет способствовать развитию рыночных отношений в сфере недвижимости, и в четвертых - такая оценка способна улучшить планирование городской застройки.
Социальная функция. Взимание большей суммы налога за более ценную и более выгодно расположенную недвижимость распределяет налоговое бремя более справедливым образом, нежели другие виды платежей, не основанные на качестве и площади или использующие неадекватные оценки стоимости. В то же время при существующей системе существенной дифференциации величины налогов в зависимости от размера и качества недвижимости не происходит, так как не учитывается ее рыночная цена.
Итак, пользуясь зарубежным опытом и описанной концепцией нового налога на недвижимость, можно обеспечить новой системе налогообложения целый ряд преимуществ: повышение собираемости налогов, обеспечение устойчивого источника доходов для местных бюджетов, создание стимулов к инвестированию в производство и эффективному использованию ресурсов. К тому же объединение поимущественных налогов в единый налог на недвижимость способствует упрощению их администрирования, а информационное обеспечение рынков недвижимости, обязательное в рамках введения налога на недвижимость, стимулирует приток частных инвестиций.
Умелое управление налоговой политикой предприятия стало одной из основных функций общего менеджмента. В этой связи знание высшим уровнем управления предприятия налоговой системы страны может дать существенное преимущество для любой компании.
Среди основных налогов Российской Федерации налог на имущество предприятий занимает далеко не последнее место, так как практически всем юридическим лицам приходится иметь с ним дело. Согласно нормативным документам плательщиками налога на имущество являются предприятия, учреждения (включая банки и другие кредитные организации) и организации, в том числе с иностранными инвестициями, считающиеся юридическими лицами по законодательству РФ, филиалы и другие аналогичные подразделения указанных предприятий, учреждений и организаций, имеющие отдельный баланс и расчетный (текущий) счет. Максимальная ставка налога 2% (конкретная ставка устанавливается на региональном уровне). Объект налогообложения – основные средства, нематериальные активы, запасы и затраты, находящиеся на балансе у плательщика, учитываемые по остаточной стоимости. Федеральным законодательством предусматривается значительное количество льгот по налогу на имущество предприятий, с помощью которых имущество предприятия можно классифицировать следующим образом: необлагаемое налогом имущество и имущество, стоимость которого уменьшает налогооблагаемую базу. Необходимо также учитывать особенности законодательства субъектов Российской Федерации, которые имеют право самостоятельно устанавливать льготы по налогу на имущество юридических лиц.
Проект Налогового кодекса предлагает определенные изменения в порядке учета, исчисления и уплаты данного налога, однако революционными их назвать нельзя (пожалуй, за исключением изменения налогооблагаемой базы). Однако, сегодня необходим целый комплекс более глобальных мер по реформированию всей существующей системы налогообложения страны. В этой связи в качестве одной из составляющих налоговой реформы весьма перспективным представляется введение нового налога на недвижимость по ее рыночной стоимости с одновременной отменой существующих имущественных платежей (налог на имущество физических лиц, налог на имущество предприятий, плата за землю). В этих целях полезным мог бы стать опыт зарубежных стран, а также опыт проводимого в Новгородской и Тверской областях эксперимента по введению налога на недвижимость. При последовательном проведении концептуальных принципов налогообложения недвижимости такая система может быть успешно внедрена и во всей Российской Федерации.
Список использованных источников
1. Закон РФ от 13 декабря 1991 г. № 2030-1 «О налоге на имущество предприятий» (с изменениями и дополнениями от 16 июля, 22 декабря 1992 г., от 6 марта, 3 июня 1993 г., 11 ноября 1994 г., 25 апреля, 23 июня, 22 августа 1995 г.).
2. Инструкция Госналогслужбы РФ от 8 июня 1995 г. № 33 «О порядке исчисления и уплаты в бюджет налога на имущество предприятий» (с изменениями и дополнениями от 12 июля, 9 октября 1995 г., 29 мая 1997 г., 2 апреля 1998 г.).
3. Инструкция Госналогслужбы РФ от 15 сентября 1995 г. № 38 «О порядке исчисления и уплаты налога на имущество иностранных юридических лиц в Российской Федерации» (в редакции от 29 декабря 1995 г.).
4. Закон Российской Федерации «Об Особой экономической зоне в Калининградской области» № 13 – ФЗ от 22 января 1996 г.
5. Постановление Областной Думы от 30 мая 1996 г. № 46 «Об утверждении ставок налога на имущество предприятий и регистрационном сборе за регистрацию предприятий».
6. Действующие налоги. Комментарии / Под ред. В.В. Гусева – М.: Международный центр финансово-экономического развития, 1997.
7. Дудорин В.И. Управление экономикой и налоги. – М.: Менеджер, 1998.
8. Крылова Н. Правовое регулирование налогов на имущество в России и зарубежных государствах // Хозяйство и право, 1997, № 9.
9. Миляков Н.В. Налог на имущество предприятий // Бухгалтерский вестник, 1998, № 9.
10. Налоги: Учебное пособие / Под ред. Д.Г. Черника – 4-ое изд. – М.: Финансы и статистика, 1998.
11. Налоги и налоговое право: Учебное пособие / Под ред. А.В. Брызгалина – М.: Аналитика-Пресс, 1997.
12. Налоги и налоговое право в схемах. / Под ред. А.В. Брызгалина – М.: Аналитика-Пресс, 1997.
13. Новиков А.И., Гаврилова Н.А. Применение отдельных положений законодательных и нормативных актов по налогу на имущество предприятий // Консультант, 1998, № 17.
14. Полежарова Л. Налогообложение имущества иностранных компаний // Налоги, 1999, № 5.
15. Региональные финансы и кредит. / Под ред. Сергеева Л.И. – Калининград, 1998.
16. Семенова М.В. Особенности налогообложения имущества иностранных юридических лиц в Российской Федерации // Бухгалтерский учет, 1999, № 1.
17. Топольская Е., Котко А., Налог на имущество предприятий // Экономика и жизнь, Бухгалтерское приложение, 1998, № 11.
18. Черник Д.Г. Налоги в рыночной экономике, – М.: Финансы, ЮНИТИ, 1997.
19. Черник Д.Г. Основы налоговой системы: Учебное пособие – М.: Финансы, ЮНИТИ, 1998.
20. Юткина Т.Ф. Налоги и налогообложение: Учебное пособие для студентов вузов – М.: ИНФРА-М, 1998.
Приложение 1
Пример расчета налога на имущество предприятия за первое полугодие 1998 года в соответствии с требованиями Инструкции ГНС РФ № 33
Расчет налога на имущество предприятия
3а________ _1 полугодие ________ 199_8 _ г.
(квартал, полугодие, девять месяцев, год)
(млн. руб.)
| № п/п | Показатели | Код стр. |
Данные плательщика | Данные налогового органа |
| 1 | 2 | 3 | 4 | 5 |
| 1. | Среднегодовая стоимость облагаемого налогом имущества за отчетный период | 02300 | 58 | 58 |
| 2. | Установленная ставка налога | 02400 | 2 | 2 |
| 3. | Сумма налога на имущество по расчету за отчетный период (стр. 1 * стр. 2) : 100 | 02500 | 1,16 | 1,16 |
| 4. | Начислено в бюджет налога на имущество за отчетный период | 02600 | 1,16 | 1,16 |
| 5. | Причитается к уплате в бюджет налога на имущество по сроку (стр. 3 - стр. 4) | 02700 | 0,585 | 0,585 |
Приложение 2
Пример расчета среднегодовой стоимости имущества предприятия в соответствии с требованиями Инструкции ГНС РФ № 33
Расчет среднегодовой стоимости имущества предприятия
(млн. руб.)
| Счета бухгалтерского учета | Код стр. |
Отчетные данные на: | ||||
| 01.01 | 01.04 | 01.07 | 01.10 | 01.01 | ||
| 1 | 2 | 3 | 4 | 5 | 6 | |
| Основные средства по остаточной стоимости (01 + 03 - 02) | 00100 | 57 | 53 | 53 | 56 | 54 |
| 01 «Основные средства» | 00101 | 80 | 78 | 80 | 85 | 85 |
| 03 «Долгосрочные арендуемые средства» | 00103 | |||||
| 02 «Износ» | 00102 | 23 | 25 | 27 | 29 | 31 |
| Нематериальные активы по остаточной стоимости (04 – 05) | 00200 | 28 | 27 | 26 | 25 | 24 |
| 04 «Нематериальные активы» | 00204 | 38 | 38 | 38 | 38 | 38 |
| 05 «Амортизация нематериальных активов» | 00205 | 10 | 11 | 12 | 13 | 14 |
| 10 «Материалы» | 00310 | 9 | 8 | 12 | 18 | 25 |
| 11 «Животные на выращивании и откорме» | 00411 | |||||
| Малоценные и быстроизнашивающиеся предметы (12 – 13) | 00500 | 4 | 3 | 5 | 6 | 5 |
| 12 «Малоценные и быстроизнашивающиеся предметы» | 00512 | 9 | 8 | 11 | 12 | 12 |
| 13 «Износ» | 00513 | 5 | 5 | 6 | 6 | 7 |
| 15 «Заготовление и приобретение материалов» | 00615 | |||||
| 20 «Основное производство» | 00720 | 15 | 12 | 17 | 18 | 22 |
| 21 «Полуфабрикаты собственного производства» | 00821 | |||||
| 23 «Вспомогательные производства» | 00923 | |||||
| 29 «Обслуживающие производства и хозяйства» | 01029 | |||||
| 30 «Некапитальные работы» | 01130 | |||||
| 31 «Расходы будущих периодов» | 01231 | |||||
| 36 «Выполненные этапы по незавершенным работам» | 01236 | |||||
| 40 «Готовая продукция» | 01340 | 5 | 5 | 7 | 6 | 7 |
| 41 «Товары» (покупная цена) | 01441 | |||||
| 44 «Издержки обращения» | 01544 | |||||
| 45 «Товары отгруженные» | 01645 | 2 | 2 | 4 | 3 | 3 |
Продолжение прил. 2
| 1 | 2 | 3 | 4 | 5 | 6 | |
| 16 «Отклонения в стоимости материалов» | 01716 | |||||
| Прочие запасы и затраты | 01800 | |||||
| Стоимость имущества, связанного с осуществлением совместной деятельности | 01900 | |||||
| Всего (сумма строк 00100, 00200, 00310, 00411, 00500, 00615 … 01900) | 02000 | 120 | 110 | 124 | 132 | 140 |
| Стоимость имущества, исключаемого из налогооблагаемой базы | 02100 | |||||
| Итого налогооблагаемая база (стр. 02000 – стр. 02100) | 02200 | 120 | 110 | 124 | 132 | 140 |
| Среднегодовая стоимость необлагаемого налогом имущества за отчетный период | 02300 | |||||
| Среднегодовая стоимость облагаемого налогом имущества за отчетный период | 02400 | 28,75 | 58 | 90 | 124 |
Приложение 3
Общая схема налогообложения имущества предприятий

1 Юткина Т.Ф., Налоги и налогообложение, М.: Инфра-М, 1998
[1] ст. 1 Закона РФ от 13 декабря 1991 г. № 2030-1 «О налоге на имущество предприятий».
[2] Постановление Областной Думы от 30 мая 1996 г. № 46 «Об утверждении ставок налога на имущество предприятий и регистрационном сборе за регистрацию предприятий».
1 При определении налогооблагаемой базы остатки по счету 20 «Основное производство» и/или 36 «Выполненные этапы по незавершенным работам» следует уменьшать на стоимость незавершенного производства продукции и выполненные этапы работ по государственному заказу, дальнейшее производство которых приостановлено из-за отсутствия бюджетного финансирования.
[3] ст. 7 Закона РФ от 13 декабря 1991 г. № 2030-1 «О налоге на имущество предприятий».
[4] Инструкция Госналогслужбы РФ от 15 сентября 1995 г. № 38 «О порядке исчисления и уплаты налога на имущество иностранных юридических лиц в Российской Федерации».
[5] Согласно п. 3.4 Инструкции ГНС РФ № 38 «О порядке исчисления и уплаты налога на имущество иностранных юридических лиц в Российской Федерации».
[6] Согласно п. 3.6 Инструкции ГНС РФ № 38 «О порядке исчисления и уплаты налога на имущество иностранных юридических лиц в Российской Федерации».
[7] Согласно п. 5 Инструкции Госналогслужбы РФ от 8 июня 1995 г. № 33 «О порядке исчисления и уплаты в бюджет налога на имущество предприятий».
[8] Пунктом 2 Указа Президента РФ от 7 октября 1994 г. «О мерах государственной поддержки народных художественных промыслов» установлено, что к предприятиям народных художественных промыслов относятся предприятия, в объеме промышленной продукции которых изделия народных художественных промыслов составляют не менее 50%. При этом к народным художественным промыслам относятся все виды производства художественных изделий утилитарного или декоративного назначения, основанные на преемственности, исторически сложившихся традициях народного декоративно-прикладного искусства. К изделиям народных художественных промыслов относятся изделия признанного художественного достоинства, при изготовлении которых применяется ручной или механизированный творческий труд художников и мастеров, развиваются традиции народного искусства, сохраняются стилистические особенности данного промысла.
[9] К таким запасам относятся, в частности, материальные ценности предприятий, законсервированные в соответствии с указанным порядком.
[10] Общественные объединения, ассоциации, осуществляющие предпринимательскую деятельность, в том числе по ведению приносящих доход внереализационных операций, таких как сдача в аренду имущества или хранение средств на депозитных счетах в банках, являются плательщиками налога на имущество в общеустановленном порядке.
[11] Под общим числом работников понимается среднесписочная численность предприятия, учреждения и организации, в которую включаются работники, состоящие в штате, а также совместители (без внутренних) и работники, выполняющие работу по договору подряда и другим договорам гражданско-правового характера.
[12] Стоимость амортизируемого имущества учитывается за вычетом износа.
[13] Согласно п. 6 Инструкции Госналогслужбы РФ от 8 июня 1995 г. № 33 «О порядке исчисления и уплаты в бюджет налога на имущество предприятий».
[14] Подробнее опыт налогообложения имущества за рубежом и эксперимента в Новгороде и Твери рассмотрены ниже.
[15] Цыгичко А. Рационализация ставки налога на имущество предприятий // Экономист, 1998, №12.
[16] Бильчак В.С., Захаров В.Ф. Региональная экономика. – Калининград: Янтарный сказ, 1998.
[17] Налоговая система во Франции. 2-е изд. // Информационные и учебные материалы, Российско-французская серия, 1993, № 2
Похожие рефераты:
Налогообложение физических лиц
Земельно-имущественные отношения
Перспективы и дальнейшее развитие налога на имущество
Налоги и сборы, взымаемые в РБ на примере предприятия
Проблемы реформирования налоговой системы Российской Федерации
Взаимоотношение предприятий с бюджетом
Исследование роли местных налогов и сборов в формировании территориальных бюджетов
Налог на имущество в бюджетных орагнизациях
Принципы исчисления уплаты налогов и сборов в ОАО "Российские железные дороги"
Совершенствование учетной политики организации со смешанным бюджетом
Разработка проекта оптимизации платежей по налогу на прибыль организации
Налог на имущество организаций
Особенности и перспективы развития налоговой системы Республики Казахстан
Ответы по ГОСам налоги и налогобложение
Региональные и местные налоги: правовые проблемы и экономические ориентиры