| Скачать .docx |
Доклад: Ценовые стратегии компании в условиях формирования и становления рынка (на примере ООО «Три медведя»
Ценовые стратегии компании в условиях формирования и становления рынка (на примере ООО «Три медведя»
Дипломная работа
Студентки 4 курса факультета экономики, управления и финансов Комаровой Алёны Николаевны
НОУ ВПО «российский новый университет»
Тамбов 2011 г.
Введение
Актуальность исследования. Цена является сложной экономической категорией. В ней пересекаются практически все основные проблемы развития экономики страны. В первую очередь это относится к производству и реализации товаров и услуг, формированию их стоимости, к созданию, распределению и использованию валового внутреннего продукта и национального дохода. Экономисты потратили десятилетия на изучение цены.
Несмотря на это, ее установление по-прежнему основывается на предположениях, которые очень часто подвергаются ревизии, если они оказываются некорректными.
Кроме того, далеко не каждое предприятие в состоянии самостоятельно установить цену, по которой оно хочет продавать свой товар. Если, например, товар не дифференцирован, а конкуренция является интенсивной, предприятие не обладает рыночной силой и, соответственно, должно принять цену, которую определяет рынок. Если же предприятие имеет существенные конкурентные преимущества, которые позволили ему приобрести рыночную силу, установление цены это решение, имеющее большое значение для успеха предприятия на рынке. Ранее решения но ценам принимались, как правило, в рамках чисто финансового подхода, то есть определялись на основе издержек и нормы прибыли. Экономическая неопределенность изменила положение дел: рост цен на потребительские товары и факторы производства, государственный контроль над ценами, глобализация, рост интенсивности конкуренции все эти и другие факторы усилили стратегическую роль ценообразования в хозяйственной деятельности предприятия.
Таким образом, анализ сложившихся в отечественной и зарубежной практике подходов к ценообразованию и ценовых стратегий, исходящих из издержек, конкуренции и спроса, является чрезвычайно актуальным и имеет важное экономическое значение.
Автор в данном исследовании опирается на труды отечественных и зарубежных экономистов, посвященные макро- и микроэкономике, маркетингу, ценообразованию и финансам предприятий. Среди них такие авторы, как: А.С. Баздникин, В.Д, Газман, А.И. Деева, Т.М. Емельянова, и др.
Цель исследования состоит в том, чтобы на основе анализа основных подходов к установлению цен выявить и обосновать пути повышения эффективности процесса ценообразования в рыночной экономике.
Для реализации и осуществления выдвинутой цели необходимо решить следующие основные задачи:
определить понятие, виды и факторы, определяющие цену;
рассмотреть сущность и классификацию ценовых стратегий компаний;
раскрыть роль скидок в ценовой стратегии компании;
провести анализ финансового состояния ООО «Три медведя»;
описать организацию ценовой стратегии в ООО «Три медведя»;
оценить перспективы реализации метода полных затрат для исчисления цен в ООО «Три медведя»;
изучить механизм расчета цены в ООО «Три медведя» методом прямых затрат;
исследовать пути оптимизации системы ценообразования в ООО «Три медведя».
Объект исследования – экономические отношения, возникающие между субъектами рынка в процессе установления цен на товары и услуги.
Предмет исследования - процесс формирования ценовой стратегии ООО «Три толстяка» в условиях современного рынка.
В качестве основных методов исследования используются исторический и логический методы изучения социально экономических явлений, а также методы синтеза, индукции и дедукции. Кроме того, в исследовании использованы экономико-математические методы, графический и табличный методы и др.
Теоретическая значимость исследования заключается в разработке методического аппарата, который может быть внедрены в практическую деятельность отечественных предприятий для оптимизации ценовой стратегии.
Практическая значимость исследования заключается в подготовке предложений и рекомендаций для совершенствования ценовой стратегии ООО «Три медведя».
Представленная работа состоит из введения, три глав, включающих девять параграфов, заключения, списка используемой литературы и приложений.
ГЛАВА 1. ТЕОРЕТИЧЕСКИЕ ОСНОВЫ ФОРМИРОВАНИЯ И УПРАВЛЕНИЯ ЦЕНОВОЙ СТРАТЕГИЕЙ КОМПАНИИ
1.1. Понятие, виды и факторы, определяющие цену
Во многих словарях цена трактуется как денежное выражение стоимости единицы товара. Можно встретить и такую формулировку: «Цена отражает количество денег, за которое продавец согласен продать, а покупатель готов купить единицу товара, и является важнейшей экономической категорией». В данном определении идет речь о двух видах цен. Цена продавца (цена предложения товара) – это количество денег, которое продавец хочет получить от продажи товара. Цена покупателя (цена спроса на товар) - количество денег, которое покупатель способен и согласен уплатить за товар. Рыночная цена (цена продажи товара, цена сделки) – цена, согласованная продавцом и покупателем, то есть цена, по которой реально будет продан товар.
От уровня цены зависят:
величина прибыли коммерческой организации;
конкурентоспособность организации и продукции;
финансовая устойчивость предприятия [1] .
Цена как экономическая категория выполняет ряд важнейших функций.
Учетная функция цены отражает общественно необходимые затраты труда на выпуск и реализацию той или иной продукции. Цена определяет, сколько затрачено труда, сырья, материалов, комплектующих изделий на изготовление товара. В конечном счете, цена отражает не только величину совокупных издержек производства и обращения товаров, но и размер прибыли.
В учетной функции цена служит средством исчисления всех стоимостных показателей. К ним относят как количественные показатели – валовой внутренний продукт (ВВП), национальный доход, объем капитальных вложений, объем товарооборота, объем продукции фирм, предприятий и отраслей, так и качественные – рентабельность, производительность труда, фондоотдача и другие.
Таким образом, цена используется для определения эффективности производства, служит ориентиром принятия хозяйственных решений, важнейшим инструментом внутрифирменного планирования.
Распределительная функция цены состоит в том, что государство через ценообразование осуществляет перераспределение национального дохода между отраслями экономики, государственным и другими ее секторами, регионами, социальными группами населения.
Эта функция реализуется через включение в себестоимость многих налогов, которые затем являются источником накопления дорожных фондов, Пенсионного фонда, Фонда социального страхования, Фонда занятости населения и других, а также через включение в цену косвенных налогов (НДС и акцизов).
Функция сбалансирования спроса и предложения выражается в том, что через цены осуществляется связь производством и потреблением, предложением и спросом. Цена служит гибким инструментом для достижения соответствия спроса и предложения.
Функция цены как средства рационального размещения производства проявляется наиболее полно в условиях рыночной экономики. С помощью механизма цен происходит перелив капиталов в секторы экономики и производства с более высокой нормой прибыли.
Стимулирующая функция цены проявляется в том, что цена при определенных условиях может стимулировать ускорение НТП, улучшение качества продукции, увеличение выпуска продукции и спроса на нее. Это связано с тем, что цены дифференцированы в зависимости от технического уровня и качества продукции. По этим же причинам цены могут оказывать и дестимулирующее воздействие на производство.
Таким образом, цены играют исключительно важную роль в развитии экономики страны в целом и для каждого отдельно взятого субъекта хозяйствования. Отсюда вытекает значимость политики в области ценообразования.
Система цен характеризует собой взаимосвязь и взаимоотношение различных видов цен. Она состоит из различных элементов, среди которых можно выделить как отдельные цены, так и определенные их группы [2] .
Взаимосвязь цен обусловлена зависимостью отдельных предприятий, производств и отраслей, единым процессом формирования затрат на производство и другими факторами. Поэтому повышение или понижение одной цены может вызвать изменения в уровне других цен. Особую роль играют такие отрасли, как энергетика, транспорт, связь и другие. Повышение цен в этих отраслях приводит к их росту во всех других, поскольку продукция этих отраслей применима повсеместно. В свою очередь, рост цен в остальных отраслях возвращает в форме более дорогого оборудования, транспортных средств и так далее.
Цен, действующие в рыночной экономике страны, классифицируются по следующим основным признакам.
По характеру обслуживаемого оборота выделяют:
оптовые цены на продукцию промышленности, по которым предприятия реализуют произведенную продукцию другим предприятиям и сбытовым организациям;
закупочные цены, по которым производители сельскохозяйственной продукции реализуют ее фирмам, промышленным предприятиям для дальнейшей переработки;
цены на строительную продукцию, включающие сметную стоимость, усредненную сметную стоимость, договорные цены. По мере развития рыночных отношений сфера действия договорных цен расширяется;
розничные цены, по которым торговые организации реализуют продукцию населению, предприятиям, организациям;
тарифы грузового и пассажирского транспорта;
тарифы на платные услуги населению;
цены, обслуживающие внешнеторговый оборот [3] .
Любая цена включает ряд взаимосвязанных элементов. Соотношение отдельных элементов цены, выраженное в процентах, представляет собой структуру цены, которая позволяет судить о значимости элементов цены и их уровне.
Основу цены продукции составляет ее себестоимость. Она характеризует текущие издержки предприятия по производству и реализации продукции. Любое предприятие стремится к тому, чтобы полностью возместить затраты, связанные с выпуском продукции, и получить достаточную сумму прибыли. Прибыль предприятия должна обеспечивать не только финансирование текущих расходов (например, материальная помощь работникам, надбавки к пенсиям работающим на предприятии, единовременные пособия уходящим на пенсию ветеранам труда, дивиденды по акциям и так далее), но и развитие предприятия.
Важное место в структуре цены занимают налоги. Акцизы и налог ан добавленную стоимость являются косвенными налогами, которые оплачиваются конечными потребителями. Перечень подакцизных товаров устанавливается правительством. Он включает алкогольную продукцию, табачные изделия, легковые автомобили, минеральное сырье и прочие изделия.
Налог на добавленную стоимость имеет очень широкую базу обложения. По отдельным группам товаров установлены льготы по этому налогу (продовольственные товары, товары детского ассортимента и ряд других).
Наценки посреднических и торговых организаций обеспечивают им возмещение затрат, связанных с продвижением продукции от производителей к потребителям, и получение определенной суммы прибыли [4] .
В зависимости от сферы регулирования различают:
свободные цены, которые устанавливаются производителями продукции и услуг на основе спроса и предложения. При этом покупатель и продавец ни до, ни после совершения сделки купли-продажи не связаны никакими обязательствами;
договорно-контрактные цены, которые устанавливаются по соглашению сторон. При этом продавец и покупатель, заключая договор-контракт, принимая на себя определенные обязательства;
цены в условиях частичной или полной монополизации рынка, которые вынуждают одну или обе стороны принимать какие-то принудительные условия;
регулируемые цены – цены, устанавливаемые под контролем государства или отдельных субъектов Федерации. Различают прямые и косвенные методы регулирования. Прямое регулирование осуществляется путем установления фиксированных цен, предельных цен, надбавок, предельных коэффициентов изменения цен, предельного уровня рентабельности.
В зависимости от территории действия различают:
единые и поясные цены;
региональные (зональные) цены.
Единые цены устанавливаются и регулируются федеральными органами исполнительной власти. Региональные цены устанавливаются органами исполнительной власти регионов и учитывают природно-климатические, географические, социально-экономические условия и особенности отдельных территорий.
Единые (поясные) регулируемые цены устанавливаются на следующие виды продукции и услуг:
газ природный (кроме реализуемого населению и жилищно-строительным кооперативам);
продукция ядерно-топливного цикла;
электроэнергия и теплоэнергия, тарифы на которые регулируются Федеральной энергетической комиссией;
продукция оборонного производства;
драгоценные металлы и сплавы;
перевозки грузов, погрузочно-разгрузочные работы на железнодорожном транспорте;
перевозки пассажиров, багажа, грузоперевозок и почты на железнодорожном транспорте (кроме перевозок в пригородном направлении) и другие.
В зависимости от метода включения транспортных расходов в цену товара выделяют:
цену «франко-склад поставщика»;
цену «франко-станция отправления»;
цену «франко-склад потребителя» и другие.
Система франкирования показывает, до какого пункта по пути продвижения товара от продавца к покупателю продавец возмещает транспортные расходы; они соответственно включаются в цену товара.
Так, цена «франко-склад поставщика» означает, что все расходы по доставке продукции несет покупатель. В цену «франко-станция отправления» продавец включает расходы по доставке продукции на станцию отправителя. Цена «франко-склад потребителя» означает, что все расходы по доставке продукции оплачивает поставщик.
По времени действия цены подразделяются на:
твердые (постоянные), которые не меняются в течение всего срока действия контракта;
текущие, меняющиеся в рамках одного контракта и отражающие изменение ситуации на рынке;
сезонные, действующие в пределах определенного периода времени;
скользящие, устанавливаемые на изделия с длительным сроком изготовления. Эти цены позволяют учитывать изменения в издержках производства за период времени, необходимый для их изготовления.
В классификации цен отдельно выделяются цены, используемые в статистике:
текущие;
средние;
сопоставимые;
неизменные.
Статистические цены являются обобщенными, агрегированными. Они позволяют анализировать и выявлять тенденции в динамике цен, устанавливать изменения в динамике физических объемов производства и реализации товаров, а также осуществлять анализ стоимостных показателей [5] .
Для выработки эффективной ценовой политики фирмы необходим всесторонний анализ факторов, влияющих на уровень цен. Основными из них являются:
спрос на продукцию;
государственное регулирование цен;
издержки по производству и реализации продукции;
конкуренция;
другие факторы.
Значительное влияние на цену товара оказывает спрос. Чем выше цена товара, тем меньше предлагаемых по этой цене изделий могут приобрести покупатели.
Кривая спроса показывает обратно пропорциональную зависимость между ценой товара и спросом на него [6] .
Если при росте цен кривая спроса падает, то кривая предложения, наоборот, возрастает. Это объясняется тем, что повышение цены заинтересовывает производителей в увеличении объемов продаж.
Цена, при которой спрос и предложение равны, называется равновесной ценой. Это именно та цена, по которой товар будет продан.
В действительности соотношение спроса и предложения постоянно меняется в результате воздействия на них различных факторов.
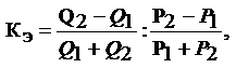
Для количественного измерения колебаний спроса и предложения под воздействием различных факторов используется понятие эластичности. Эластичность дает представление о том, в какой степени изменение цены воздействует на уровень спроса.
Степень ценовой эластичности измеряется на основе коэффициента эластичности (Кэ):
(1)
где Q1 – объем продаж по прежним ценам;
Q2 – объем продаж по новым ценам;
P1 – прежняя цена изделия;
P2 – новая цена изделия.
Спрос на различные товары может быть как эластичным, так и неэластичным. При эластичном спросе (незначительном изменении цены и значительным изменением спроса) значение коэффициента эластичности больше единицы. И наоборот, при неэластичном спросе, когда изменение цены не вызывает больших отклонений в спросе на данный товар, коэффициент эластичности менее единицы. К товарам неэластичного спроса относятся, например, товары повседневного спроса, относительно недорогие товары и другие.
Определенную роль в ценообразовании играет государство, осуществляя регулирующую функцию. В условиях несовершенного рынка возникающая равновесная цена не способствует оптимальному состоянию и стабильности в обществе. Поэтому государство путем установления регулируемых цен целенаправленно создает новые условия равновесия. Но при этом необходимо учитывать следующие моменты:
во-первых, устанавливаемая государством цена не может достаточно быстро меняться под влиянием изменений спроса и предложения, поэтому может возникать дефицит или затоваривание продукции, не находящей сбыта;
во-вторых, полный отказ государства от вмешательства в процесс ценообразования лишает общество возможности воздействовать на уровень цен отраслей и предприятий, а также лишает население социальной поддержки, особенно его малообеспеченных слоев.
Поэтому в условиях рынка, необходимость государственного регулирования ценообразования усиливается.
Основу цены изделия составляют издержки, связанные с его производством и реализацией, поэтому их размер во многом определяет уровень цены. Например, в промышленности доля себестоимости в отпускной цене предприятия (без НДС и акцизов) составляет 83, 8%, на железнодорожном транспорте – 85, 6%.
В состав издержек входят затраты как зависящие, так и независящие от деятельности предприятия. Например, стоимость сырья, материалов, топлива, энергии, транспортные тарифы – факторы, внешние по отношению к предприятию. Поэтому увеличение этих затрат вызывает рост цены товара.
Другая группа затрат – уровень использования сырья и материалов, степень загрузки производственных мощностей, производительность сырья и другие – непосредственно зависят от уровня их организации на предприятии. Поэтому фирма в зависимости от прочности своего положения на рынке может маневрировать ценами. Если положение фирмы недостаточно устойчивое и повышение цен на продукцию нежелательно, то удорожание, например, по сырью можно компенсировать в определенной степени снижением норм расхода сырья, использованием вторичных ресурсов так далее. Если же положение фирмы достаточно устойчивое, в этом случае увеличение издержек может быть перенесено на цену товара.
На уровень цен оказывает влияние конкуренция, которая подталкивает фирмы к совершенствованию своей продукции, детальному обоснованию цены на нее. При этом фирма может ориентироваться или на рынок продавца, или на рынок покупателя. На рынке продавца доминирующее положение занимает продавец – производитель товара. В таких условиях фирме легче функционировать, поскольку ее продукция находится вне конкуренции. На рынке покупателя доминирующее положение занимает покупатель. И от того, насколько фирма сумеет учесть меняющиеся запросы покупателя и вовремя удовлетворить их, зависит ее благополучие [7] .
На уровень цен оказывает влияние и ряд других факторов, стадия жизненного цикла изделия, организации – участники продвижения товара от производителя к потребителю и другие. Учет влияния всех факторов в комплексе позволит фирме выработать правильную политику ценообразования.
В условиях рыночной экономики цена является одним из наиболее важных синтетических показателей, существенно влияющих на финансовое положение предприятия. Поэтому, рассчитывая цену изделия, предприниматели стремятся к тому, чтобы она была оптимальной с точки зрения соответствия интересам собственника и рынка.
Уровень устанавливаемой предприятием цены на продукцию во многом определяется тем, какие цели ставит предприятие на ближайшее время и перспективу. Наиболее распространенными являются следующие ценовые стратегии предприятия:
сохранение стабильного положения на рынке при умеренной рентабельности;
получение сверхприбыли путем «снятия сливок» с рынка;
вытеснение конкурентов;
обеспечение выживаемости в условиях рынка и предотвращение банкротства;
внедрение на рынке новой продукции;
завоевание лидерства по показателям качества и другие.
Выбор политики цен основан на оценке приоритетов деятельности предприятия. Каждая ценовая стратегия обладает совокупностью как положительных, так и отрицательных характеристик. Поэтому, например, принятие одной из них ведет к отрицанию преимуществ другой. В результате реальная оценка действительности приводит к необходимости ориентации в деятельности предприятия на смешанные стратегии ценообразования [8] .
Процесс ценообразования на предприятии можно представить следующими основными этапами:
постановка цели (задачи) ценообразования;
определение уровня спроса на данный вид продукции;
оценка издержек производства и степени регулирования цен на продукцию;
анализ цен и товаров конкурентов;
выбор метода ценообразования;
расчет исходной цены изделия;
учет влияния на цену изделия дополнительных факторов;
установление окончательной цены.
Выбор и оценка стратегии предприятия в области ценообразования являются сложным, требующим большого внимания и коллективных усилий процессом. Делая выбор, предприятие тем самым отдает предпочтение тому или другому варианту развития. Между тем каждое из направлений развития имеет свои плюсы и минусы. Например, принятие предприятием стратегии на увеличение доли рынка в реализации продукции в основном связано со снижением цен против цен конкурентов. А это ведет к сокращению доходов, что нежелательно для предприятия. Фирма может ставить перед собой одновременно несколько целей, например увеличение объема сбыта продукции при улучшении ее качественных параметров и обеспечение определенного уровня дохода на вложенный капитал. В любом случае ценовая политика предприятия не является твердофиксированной, незыблемой. Она постоянно меняется с изменением ситуации на рынке.
Для эффективной реализации стратегии ценообразования и обоснования цен на товары необходимо определить рынки, на которых предприятие будет работать. Это позволит сопоставить возможности различных рынков и возможности предприятия в удовлетворении рыночного спроса [9] .
При определении рынков сбыта необходимо учитывать:
сферы деятельности предприятия на внутреннем рынке страны и на внешнем рынке. Эти рынки существенно различаются по условиям деятельности и нормам правового регулирования;
территориальную географию рынков;
особенности городского и сельского рынков;
отличия рынков текущего спроса и рынка инвестиционного спроса. К рынкам текущего спроса относятся рынки, на которых реализуются товары, идущие на конечное потребление. Рынки инвестиционного спроса – рынки основных фондов и материальных оборотных средств. Эти рынки различаются как составом спроса на товары и услуги, так и различной эластичностью спроса.
На этапе установления влияния на цену спроса на продукцию определяется признание этой продукции рынком. Зависимость между ценой продукции и уровнем спроса на нее выражается кривой спроса. Цена и спрос на продукцию находятся в обратной зависимости, то есть чем выше цена, тем ниже спрос, и наоборот. Спрос, как правило, определяет максимальную цену, которую фирма может установить на свою продукцию. Минимальная цена изделия определяется по сумме валовых издержек.
Ценовая стратегия предприятия зависит от того, на какой фазе жизненного цикла находится товар. Цена на фазе внедрения нового товара, как правило, высокая; на фазе роста – несколько ниже; на фазе зрелости и упадка она продолжает снижаться.
Важным для предприятия является учет фактора государственного регулирования цен. Государство посредством активной ценовой политики может сделать прибыльным для производителей бизнес, не являющийся выгодным для чисто рыночного хозяйствования. Это осуществляется как через различные виды договорных цен, так и через государственные заказы и закупки.
Максимальная цена товара определяется спросом, а минимальная - издержками производства. Но значительное влияние на цену оказывают цены и качество товаров конкурентов. С этой целью могут осуществляться сравнительные покупки, на основе анализа которых делается заключение о качестве и цене продукции конкурентов [10] .
В условия конкуренции предприниматели при реализации своей продукции стремятся найти так называемую оптимальную цену товара. Реальная цена товара определяется на рынке на основе сопоставления спроса и предложения. Важно, чтобы оптимальная цена, рассчитанная предприятием, стремилась к уровню реальной цены.
На практике в зависимости от конкретных условий и целей предприятия используются различные методы расчета предполагаемой цены на товар. Все эти методы объединяются в две группы:
методы, основанные на затратном подходе;
методы, основанные на «целевом ценообразовании» [11] .
Первая группа методов отличается простотой расчетов. Основной принцип этих расчетов заключается в прибавлении к издержкам на производство товара определенной суммы прибыли, которую планирует получить фирма. Имеется несколько разновидностей расчета цен, основанных на затратном подходе.
В «целевом ценообразовании» издержки производства также являются исходным элементом расчетов. Но в отличие от затратного метода прибыль устанавливается не в процентном отношении к издержкам производства, а является индивидуальной величиной каждого конкретного товара. Данная методика основывается на анализе безубыточности производства. Это достигается путем сопоставления издержек с ожидаемыми поступлениями при различных уровнях объема продаж.
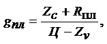
В рассматриваемом методе «целевого ценообразования» фирма должна рассчитать, при каком уровне цены будут достигнуты объемы продаж, позволяющие возместить валовые издержки и получить целевую прибыль. Если известны постоянные затраты, цена единицы изделия, переменные затраты на единицу изделия, а также сумма расчетной (желаемой) суммы прибыли, то объем продаж определяется по следующей формуле:
(2)
где gпл – объем продаж, обеспечивающий получение целевой прибыли;
Rпл – плановая сумма прибыли;
Zс – постоянные расходы на весь объем производства продукции;
Zv – переменные расходы в расчете на единицу изделия;
Ц – цена изделия.
На развитом рынке производитель свое положение обычно определяет спросом на продукцию, ее конкурентными качествами и рядом других показателей. Предприятия включают в цены товаров и услуг затраты не только нынешнего, но и будущего периода, учитывая дальнейшее повышение цен на сырье, комплектующие изделия, рабочую силу. В российской экономике устойчиво действует фактор затрат, а фактор спроса действует слабо. На динамику цен слабо влияет и конкуренция. Поэтому наиболее сильнодействующими факторами ценообразования являются структура и уровень затрат, образующих нижний предел цены, индексируемый с учетом инфляционных ожиданий [12] .
Для преодоления затратного характера ценообразования необходимо способствовать максимальному насыщению рынка товарами и капиталами, стимулировать накопления и инвестиции в промышленность.
На основе вышерассмотренных методов предприятие определяет исходную цену на свою продукцию.
Окончательная цена изделия может корректироваться с учетом, например, каких-либо его уникальных, редких свойств, а также уровня обслуживания, особых гарантий покупателям и так далее.
1.2. Сущность и классификация ценовых стратегий компаний
Ценовая стратегия — это стратегическая линия, проводимая продавцами товаров в отношении установления цен предложения на рынке.
Разработка ценовой стратегии предприятия осуществляется в три этапа:
сбор исходной информации (оценка затрат, уточнение финансовых целей предприятия, определение потенциальных покупателей и конкурентов);
стратегический анализ (финансовый, сегментный анализ рынка, анализ конкуренции и потребителей, оценка влияния государственного регулирования);
формирование окончательной стратегии.
Основные типовые стратегии ценообразования можно подразделить на три группы:
стратегия высоких цен;
стратегия средних цен;
стратегия низких цен.
Стратегию высоких цен называют иногда «премиальным ценообразованием» или стратегией «снятия сливок», в этом случае устанавливается цена несколько выше, чем у конкурентов.
Данная стратегия может быть выбрана, если есть сегмент рынка, в котором покупатели готовы платить за особые свойства данной продукции более высокую цену. Это может быть принципиально новый или запатентованный товар, товар повышенного спроса, неэластичного спроса [13] .
Стратегию можно применять, если фирма известна и имеет имидж высокого качества или проводит массированную рекламную компанию по запуску нового продукта. А возможно, фирма не располагает необходимыми оборотными средствами для широкого запуска нового товара, и продажа по высокой цене позволит их получить.
При этом следует предварительно оценить:
будет ли прирост объема прибыли за счет повышенной цены (при уменьшенном объеме продаж) по сравнению с прибылью, получаемой от реализации большего объема но более низким ценам;
позволит ли продажа продукции по высоким ценам создать предприятию рекламу производства высококачественной продукции;
возможно ли за счет сокращения объемов продаж продукции (а соответственно и производства) освободиться отчасти используемого оборудования, а также сократить объем запасов и оборотного капитала в целях повышения рентабельности продукции.
При захвате некоторого сегмента рынка фирма должна обладать средствами для его защиты. Таковыми могут служить: патенты, владение лучшим каналом сбыта, доступ к ограниченным ресурсам, репутация фирмы, репутация товара.
Иногда применить данную стратегию можно лишь единожды. Пример — товары разового потребления (билет на концерт зарубежной эстрадной звезды).
Иногда данная стратегия выглядит как кратковременное конъюнктурное завышение цен [14] .
Разновидностью премиального ценообразования является стратегия ступенчатых премий (скользящей падающей цены или стратегия «исчерпания»). После насыщения первоначально выбранного сегмента фирма может добиваться расширения рынка сбыта за счет установления цен с дискретно снижающейся величиной премиальной надбавки.
При выборе стратегии средних цен фирма устанавливает цену на уровне конкурентов (нейтральное ценообразование, стратегия средних цен или «справедливое ценообразование»).
В этом случае роль цены как инструмента маркетинговой политики предприятия сводится к минимуму, т. е. исследования рынка показали, что предприятие может достигнуть своих целей с помощью иных инструментов. В этом случае рыночный сектор, завоеванный предприятием, не увеличивается и не сокращается. Предприятие меньше рискует, так как выбирает цену, уже принятую рынком.
Данную стратегию иногда называют «справедливым» ценообразованием, поскольку она позволяет производителям получать справедливую отдачу в виде прибыли на вложенный капитал — с одной стороны, и не особенно переплачивать покупателям — с другой.
Нейтральное ценообразование можно рекомендовать предприятиям, действующим на рынке, где:
покупатели весьма чувствительны к уровню цены;
предприятия-конкуренты жестко отвечают на любую попытку изменить сложившиеся пропорции продаж на рынке;
каждому предприятию на рынке необходимо поддерживать определенные соотношения цен в рамках ценового ряда. Под ценовым рядом понимается существующие одновременно соотношения цен на различные модели или модификации одной и той же продукции.
Когда в отрасли присутствует ярко выраженный лидер, то данная стратегия модифицируется в стратегию «следования за лидером».
Если предприятие придерживается стратегии низких цен, то оно устанавливает цены несколько ниже, чем у конкурентов. Данная стратегия может называться стратегией или ценового прорыва, или пониженных цен, или «ценой проникновения».
Данный тип стратегий направлен на получение большей массы прибыли за счет увеличения объема продаж и захваченной доли рынка. При этом цена не обязательно должна быть низкой по абсолютной величине.
Данную ценовую стратегию можно применять, если есть основания предполагать, что потенциальные конкуренты по каким-то причинам не смогут ответить аналогичным снижением цен.
Это возможно в следующих ситуациях:
когда предприятие, снижающее цены, обладает более эффективной технологией и дешевыми ресурсами (в результате оно получит прибыль и при пониженных ценах);
когда предприятие только вступает на рынок, и объемы его продаж еще малы (крупным конкурентам не имеет смысла реагировать на это снижение);
когда покупатели на данном рынке особенно сильно реагируют на снижения цен и в то же время нет доказательств их особой приверженности к тем или иным маркам продукции.
Данная стратегия малоэффективна, если:
ее выбирают фирмы, производящие товары престижного спроса, с целью выпуска дешевых товаров под этой же маркой для захвата более широкого сегмента. Они рискуют лишиться прежних покупателей;
для товаров повседневного спроса даже большая относительная величина снижения может быть не замечена покупателями, так как она невелика в абсолютном значении;
для товаров, свойства которых трудно определить до потребления (услуги) [15] .
После применения стратегии ценового прорыва для повышения рентабельности и возмещения прошлых затрат возможно применение стратегии «роста проникающей цены». С целью сохранения захваченного рынка повышение цены должно быть обосновано, например, улучшением качества или дизайном. Повышение цены облегчается, если товар при запуске был снабжен наклейкой «скидка на новинку».
Применяются также различные виды стратегий, которые в основном являются модификациями предложенных. Например, стратегия «преимущественной цены» в двух вариантах: цена выше, чем у конкурента (преимущество по качеству), или цена ниже, чем у конкурента (преимущество по издержкам).
Кроме этого, существует ряд дополнительных стратегий поощрения покупателей к потреблению. Например, стратегия «неокругленных цен», или «дифференциации цен в рамках взаимосвязанных товаров».
Различные варианты последней стратегии:
низкая цена на ходовой товар (приманку), повышенные цены на другие товары ассортимента;
низкая цена на основной товар компенсируется завышением цен на дополняющий товар;
выпуск несколько версий товара для сегментов с разной эластичностью;
связывание в набор дополняющих или независимых товаров по льготной цене.
Большинство фирм используют, как правило, не одну-единственную цену, а целую систему ценовых модификаций на свои товары в зависимости от различных рыночных условий.
Модификация цен по географическому принципу известна в большей степени тем отечественным фирмам, которые занимаются внешнеэкономической деятельностью, связанной с транспортировкой продукции за пределы нашей страны или, наоборот, с ввозом ее из-за рубежа [16] .
Вопрос о географической модификации цен встает перед предпринимателем тогда, когда необходимо решить, какие цены следует устанавливать для потребителей, находящихся в различных регионах страны. Надо ли повышать цены для покупателей из наиболее отдаленных районов, чтобы покрыть повышенные транспортные издержки, рискуя при этом вообще потерять этих покупателей? Или надо, напротив, устанавливать единые цены для всех потребителей независимо от их территориальной удаленности от фирмы? В качестве способов решения этих проблем в практике сложилось пять основных географических ценовых стратегий:
1. Отпускная цена предприятия по месту изготовления товара. Предприятие-изготовитель может потребовать от каждого клиента взять на себя издержки по транспортировке продукции от предприятия до места пребывания заказчика. В этом случае товар отгружается со склада предприятия по отпускной цене.
2. Единая цена. Предприниматель устанавливает для всех потребителей независимо от их местоположения единую цену, включающую издержки по фрахту по усредненной ставке. При этом наиболее удаленный потребитель выигрывает в цене (поскольку он оплачивает меньшую величину издержек по доставке) по сравнению с наименее удаленным потребителем, который соответственно проигрывает.
3. Зональные цены. Предприниматель разделяет свой потенциальный рынок на две зоны или более. Для покупателя внутри одной зоны устанавливается на товар одинаковая общая цена. В более отдаленных зонах эта цена выше.
Стратегия зональной дифференциации цен применяется на практике как для установления отпускных цен торговым фирмам, так и при реализации товара конечному потребителю. Иногда для снижения возможных недостатков зональной дифференциации фирмы стремятся увеличить число зон, доходя почти до индивидуальных цен.
4. Цены базисного пункта. Продавец выбирает определенное место в качестве фрахтового базиса, или базисного пункта, и начисляет всем покупателям, независимо от фактического места отправки товара, дополнительные фрахтовые издержки к отпускной цене с учетом расстояния от места фрахтового базиса до местоположения каждого покупателя.
5. Оплата транспортных издержек (или их части) за счет фирмы-производителя. Эта стратегия используется как метод конкуренции за проникновение на новые рынки сбыта или как метод удержания своих позиций на рынке при растущей конкуренции. Если фирма-производитель хочет завоевать какого-то клиента Или проникнуть в новый регион, она может взять на себя полную или частичную оплату доставки товара на место назначения [17] .
Для оценки динамики цен используют индексы.
Сравнение цен одного товара осуществляется с помощью индивидуального индекса цен:
Ip = P1 / Ро (3)
где P1 — цена товара в отчетном периоде; Po— цена товара в базисном периоде.
Основной формой индекса цен для совокупности разнородных товаров является агрегатный индекс. Именно с помощью данного показателя и оценивается динамика общего уровня цен или уровень инфляции.
Однако понятие «рост цен» неравнозначно понятию «инфляционный рост цен», так как может включать рост цен, обусловленный изменением качества продукции и услуг. Не существует единого статистического показателя, способного разделить эти два значения, для оценки изменения качества товаров часто применяют экспертные методы.
Для определения общей динамики цен индексы цен строятся на основе определенного товарного набора, который, в свою очередь, состоит из товаров, представляющих значительное число других, не включенных в набор. К цене каждого товара, включенного в индексный набор, приписывается не вес данного товара, а вес той товарной группы, изменение цен которой он представляет в индексе, за исключением тех товаров, которые представляют только самих себя. Эффективность системы представительных весов полностью определяется тем, насколько представителен сам товарный набор [18] .
Индексы цен периодически подвергаются пересмотрам, так как с течением времени «устаревает» представительный товарный набор, изменяется и система взвешивания, реже — изменяется формула для расчета индекса.
Для оценки общего уровня инфляции используются два основных показателя.
1. Индекс потребительских цен (ИПЦ) оценивает уровень инфляции на потребительском рынке. В основу расчета положено понятие потребительской корзины, т. е. некоторого фиксированного набора товаров и услуг. ИПЦ позволяет установить, насколько выросла за рассматриваемый период стоимость потребительской корзины и, следовательно, показать, каков был в среднем рост цен за этот период.
2. Дефлятор валового национального продукта (ВНП; в России этот показатель называется дефлятор валового внутреннего продукта — ДВВП) оценивает степень инфляции по всей совокупности благ, производимых и потребляемых в государстве. Он учитывает не только изменение цен товаров народного потребления, но и цен товаров, используемых в государственных интересах, инвестиционных, экспортируемых и импортируемых товаров и услуг.
В большинстве стран ИПЦ публикуется ежемесячно, в кризисных условиях — еженедельно. Периодичность расчета ДВВП квартальная или годовая. Это связано с относительной сложностью его расчета.
В отличие от ИПЦ дефлятор ВВП не является результатом прямых наблюдений за динамикой цен, а рассчитывается как частное от деления объема ВВП в текущих ценах на объем этого показателя в сопоставимых ценах и характеризует не только изменение цен, но и изменение структуры «корзины» благ.
Кроме основных (обобщающих) показателей инфляции, статистика рассчитывает показатели, характеризующие уровень инфляции в отдельных секторах экономики: индекс цен производителей, индекс оптовых цен на отдельные товары, конечную и промежуточную продукцию, сырье и материалы [19] .
Превышение спроса над предложением; опережающие темпы роста заработной платы и фондовооруженности по сравнению с темпами роста производительности труда; рост монопольных цен без учета новых потребительских свойств и качества товара; возникновение дефицита бюджета; инфляция; неустойчивый рост цен на энергоносители; низкая эффективность использования инвестиций, оборудования, рабочей силы; ажиотажный спрос на товары, неуверенность потребителя из-за нестабильности рынка; рост и колебания курса иностранных валют на валютной бирже; дефицитность потребительского рынка; индексация зарплаты и доходов населения.
Если рыночное равновесие нарушается в сторону спроса, фирма может повысить цены своей продукции и получить больший объем прибыли. В условиях рыночной экономики такие ситуации встречаются крайне редко. Чаще всего фирме приходится повышать цену своей продукции в результате роста издержек, если они не вызывают соответствующего повышения производительности труда. Кроме того, фирмы часто повышают цены из-за ожидаемой активизации инфляционных процессов или изменений принципов государственной экономической политики.
В зависимости от внешних и внутренних условий развития фирмы, а также от характеристик и свойств выпускаемого товара фирма при повышении цены может получить дополнительную прибыль или, наоборот, понести значительные финансовые убытки. Повышение цен можно применить лишь в случае продажи товаров с соответствующей эластичностью спроса, когда незначительное изменение цены может привести к существенному увеличению прибыли.
Однако чаще всего повышение цены сокращает объемы сбыта продукции фирмы (особенно при продаже товаров с высокоэластичным спросом) и может привести не к увеличению, а к уменьшению прибыли.
Многие обстоятельства могут подтолкнуть фирму к снижению цен, однако при этом появляется опасность возникновения ценовой войны, чреватой разрушительными последствиями, в первую очередь для самой фирмы.
В условиях усиливающейся рыночной конкуренции весьма важным для предприятия является обеспечение стабильности поступления доходов, которая возможна при условии наличия постоянного спроса на производимую и реализуемую продукцию. Следовательно, важнейшей задачей менеджмента является удержание и расширение круга потребителей производимой продукции, что во многом определяется той практикой ценообразования, которую организация проводит в целях закрепления старых и привлечения новых покупателей [20] .
В структуре цены основные элементы — себестоимость и прибыль — могут быть достаточно точно рассчитаны на планируемый период, в то время как изменение предпочтений и вкусов потребителей достаточно сложно поддается прогнозированию. Формируя ценовую политику, стратегию и тактику, предприятие создает целую систему ценообразования, позволяющую устанавливать такие цены на товары, которые могут учитывать множественное влияние различных рыночных факторов, в том числе и требования конкретных потребителей продукции. Широко распространенным в ценовой борьбе за потребителя является применение различных скидок с цен, что должно найти отражение при формировании ценовой политики предприятия, ее стратегии и тактики.
1.3. Роль скидок в ценовой стратегии компании
Исторически скидки появились и стали использоваться в условиях уличной торговли товарами, когда продавец в результате торга предоставлял скидку тому покупателю, который приобретает больше товаров.
В настоящее время практика предоставления скидок используется крупными и средними компаниями, организациями малого бизнеса и индивидуальными предпринимателями.
В отечественной и зарубежной переводной литературе можно найти различные определения понятия «скидка».
В наиболее общем виде ценовая скидка представляет собой снижение цены продавцом с учетом складывающейся рыночной конъюнктуры, взаимоотношений с потребителями продукции, условиями ее поставки и платежа в момент заключения сделки [21] .
Предоставление скидок прежде всего стимулирует продажи, что, в свою очередь, влияет на объем получаемой выручки, поэтому формирование системы скидок является не только элементом маркетинговой политики, но и методом, используемым при разработке финансовой политики предприятия и оказывающим влияние на ее результаты. Значение скидок при формировании финансовой политики заключается в том, что они используются:
как средство формирования устойчивой клиентской базы на длительной основе, что способствует обеспечению стабильного поступления выручки и, следовательно, определяет финансовую устойчивость предприятия в долгосрочной перспективе;
как регулятор изменения цены, что, в свою очередь, сказывается на объеме поступающих в распоряжение предприятия денежных средств, способствует достижению эффекта масштаба производства, ускорению оборачиваемости, снижению влияния фактора сезонности;
в целях повышения конкурентоспособности предприятия и тем самым влияют на его инвестиционную привлекательность.
На сегодняшний день имеются попытки классифицировать скидки по определенным признакам. В частности, исходя из коммерческой природы, скидки могут быть классифицированы по двум видам: плановая («замаскированная») и тактическая.
Источником формирования плановых скидок являются накладные расходы предприятия. К такому виду скидок относят организацию рекламы компанией-производителем продукции с указанием списка дилеров, торгующих данной продукцией. Так как производитель за счет своих средств организует прямую рекламу компаний, выступающих посредниками в продвижении товара на рынок, то он экономит их средства, что и может считаться дополнительно предоставляемой дилерам скидкой.
Прочие скидки предоставляются за счет прибыли компании-производителя, поэтому их относят к категории тактических. Их предназначение определяется необходимостью формирования дополнительных условий для привлечения покупателей и увеличения объемов продаж.
При установлении скидок необходимо руководствоваться следующими принципами:
1. Применение скидки должно обеспечивать положительный эффект, который может выражаться как в увеличении клиентской базы, так и в достижении положительных экономических показателей.
2. Размер предоставляемой скидки должен учитывать как интересы покупателя, так и интересы продавца
3. При разработке системы скидок должен учитываться размер первоначально установленной (базовой) цены, которую изначально рекомендуется устанавливать максимально высокой.
4. При установлении скидок должен учитываться характер эластичности спроса на реализуемую продукцию, поскольку снижение цен не всегда может привести к увеличению объемов продаж, так как многие товары относятся к группе неэластичных [22] .
Простая скидка обычно формируется на основе прейскурантной или справочной цены. Диапазон скидок различается в зависимости от вида реализации товара: при поставке сырья скидки могут быть установлены в размере 2-5%, а при реализации машин, компьютеров и иного стандартного оборудования — 20-30% (иногда до 40%) по данным сайта www.skladrabot.ru.
Скидка «сконто» (за ускорение оплаты либо за платеж наличными средствами) предоставляется покупателям от стандартной цены реализации в том случае, если он осуществит оплату за товар ранее установленного контрактом срока либо использует при расчете наличные денежные средства.
Обычно в договоре при предоставлении скидки за ускорение оплаты отражаются следующие условия:
величина предоставляемой скидки;
срок, в течение которого покупатель может использовать возможность получения такой скидки;
срок, в течение которого необходимо осуществить платеж за поставляемую продукцию, если покупатель не будет рассчитываться ранее оговоренного контрактом срока, т. е. не использует возможность на получение скидки [23] .
При заключении договоров такая скидка обычно оформляется записью «3/10 нетто 30», что означает: покупатель получит 3% скидки в случае оплаты в течение 10 дней с момента получения товара. Однако если он не использует скидку за ускорение оплаты, его обязанностью является осуществление полной оплаты поставки в течение 30 календарных дней с момента получения товара.
Основным назначением скидки за ускорение оплаты является ускорение оборачиваемости оборотных средств за счет сокращения сроков погашения дебиторской задолженности. Ее размер зависит от двух факторов: уровня такого рода скидок, уже используемых на рынке, и уровня банковских процентных ставок за кредиты, предоставляемые на краткосрочной основе для пополнения оборотных средств.
Скидка за объем приобретаемого товара может предоставляться в том случае, если покупатель приобретает большое количество аналогичного товара. Такая скидка может быть установлена в процентах к общей стоимости партии товара либо в процентах к цене единицы от установленного объема продажи. Скидки за объем могут предоставляться на кумулятивной и некумулятивной основе либо в виде ступенчатого или пошагового дисконта.
Кумулятивные, или накопительные, скидки устанавливаются в зависимости от количества приобретенных изделий за определенный период и предполагают снижение цены в том случае, если в течение оговоренного срока объем закупок превысит установленную продавцом величину. Такая скидка предоставляется, даже если закупки осуществлялись небольшими партиями.
Некумулятивные скидки предоставляются за каждый размещенный заказ, т. е. устанавливаются на разовый объем закупки. Такого рода скидки стимулируют потребителей приобретать как можно большую по размеру партию.
Ступенчатые скидки используются на объем закупки, произведенной сверх установленного продавцом порогового значения партии.
Скидки за объем относятся к категории количественных. Они должны предлагаться всем покупателям, однако при этом необходимо отслеживать, чтобы сумма предоставляемых скидок не превышала сумму экономии по расходам от увеличения объема реализации.
Дилерская скидка обычно предоставляется производителями своим постоянным посредникам по сбыту либо партнерам или представителям компаний, в том числе и зарубежным. Такие скидки широко используются при реализации автомобилей и других видов техники и могут составлять до 15-20% розничной цены.
Функциональные скидки (или скидки розничным продавцам) могут использоваться для стимулирования розничного товарооборота. Они обычно предоставляются тем участникам товародвижения, которые выполняют те или иные функции в процессе продвижения товара на рынок, и связаны с хранением, учетом и сбытом реализуемой продукции. Такие скидки могут быть установлены различными но размерам для отдельных групп участников продвижения товара, однако они должны быть одинаковыми для участников одной группы для того, чтобы избежать ценовой дискриминации.
Специальные скидки предлагаются отдельным (эксклюзивным, либо привилегированным, либо престижным и «верным») покупателям, в отношении которых продавец имеет особый интерес. Такие скидки предоставляются исключительно на индивидуальной основе покупателям, регулярно осуществляющим покупки в течение длительного времени, и, как правило, оформляются в виде персональных карточек покупателя. Например, такие карточки выдаются покупателям крупных продовольственных и непродовольственных супермаркетов, на автозаправочных станциях, а также в сфере организации питания фаст-фуд, в престижных ресторанах [24] .
Предоставление скидок эксклюзивным покупателям осуществляется в рекламных целях. Размер таких скидок устанавливается в результате переговоров между продавцом и покупателем и, как правило, не афишируется, поскольку может стать предметом разбирательств с официальными органами на предмет существования ценовой дискриминации. К специальным скидкам относят также предоставление скидок за закупку пробных партий товаров.
Скидки за внесезонную покупку (сезонные скидки) устанавливаются на те виды товаров, спрос на которые имеет ярко выраженный сезонный характер, и только тем покупателям, которые приобретают их не в сезон, для которого они предназначены (зонты и вентиляторы — в зимний период, электрообогреватели — лето).
Размер таких скидок устанавливается дифференцированно в зависимости от приближения срока реализации к началу сезона: чем ближе такой срок, тем меньше скидка, и наоборот. Величина устанавливаемой сезонной скидки зависит от двух факторов:
1) величины затрат, которые потенциально может нести покупатель в связи с необходимостью хранения заранее купленного сезонного товара, в том числе и размера расходов за пользование краткосрочным кредитом, используемым на эти цели;
2) величины потерь, которые могут быть вызваны приостановкой производства сезонных товаров, и размера затрат, которые может иметь продавец в том случае, если товар до наступления сезона находится у него на хранении, а также расходов, связанных с привлечением кредитов на пополнение оборотных средств [25] .
Поэтому продавец не может устанавливать сезонные скидки выше размера потерь и расходов, которые он несет в связи с сокращением выручки и замедлением оборачиваемости оборотного капитала. В то же время он должен обеспечить покупателю такую скидку, которая покрывала бы его текущие расходы, вызванные приобретением внесезонных товаров.
Скидки, поощряющие продажи нового товара, можно отнести к категории плановых скидок, использование которых способствует продвижению новых товаров на рынке. Суть данной скидки заключается в том, что производитель товара предоставляет региональным торговым посредникам скидку от своей базовой цены на новый товар в виде компенсации затрат на его рекламу на местном уровне.
Разновидностью скидок за продвижение нового товара можно считать также предоставление на временной основе ценовых тактических скидок в одной из следующих форм: пробные предложения, купоны, предоставление бесплатных образцов. Последнее — один из наиболее эффективных и самых дорогих способов совершения сделки.
Скидки при продаже бывшего в употреблении оборудования предоставляются в размере до 50% и более от первоначальной цены на широко используемое типовое оборудование, машины, суда и т. д. При наличии хорошо налаженного сервисного обслуживания такое оборудование может использоваться достаточно долго.
Клубные скидки предоставляются при приобретении товаров и услуг членами национальных и международных дисконтных клубов, которыми могут являться как юридические, так и физические лица, а также и ассоциированные члены.
Как правило, члены клуба оплачивают вступительный и ежегодные членские взносы, получают именную пластиковую карточку и региональный справочник, включающий перечень и адреса предприятий, организаций и магазинов, предоставляющих дисконт по данной клубной карточке, а также информацию об условиях и размерах получения скидок, способах расчета. Члены клуба могут получать скидки до 50% от стоимости товаров или услуг.
Скидки при комплексной закупке товаров предоставляются тем покупателям, которые приобретают продукцию производителя вместе с другими товарами, являющимися сопутствующими по отношению к основному (фотоаппарат, пленка и бумага к ним, химические реактивы для проявки и печати фотографий и т. д.). Расчет скидки зависит от того, производятся ли такие товары на собственных производственных мощностях либо приобретаются для формирования линейки взаимодополняемых товаров от других поставщиков. В первом случае скидка рассчитывается на основе сопоставления эффектов объема и цены. Во втором случае размер предоставляемого дисконта зависит от суммы скидки, полученной данной компанией от фирм — поставщиков сопутствующих товаров [26] .
Скидки за качество предполагают их предложение тем компаниям, которые будут осуществлять работы по приспособлению товаров к требованиям рынка в части удовлетворения запросов потребителя в отношении технико-эксплуатационных характеристик отдельных агрегатов, узлов и тому подобных составляющих.
Скидки за сервисное обслуживание являются мерой, по своему смысловому содержанию противоположной организации послепродажного сервисного обслуживания. В данном случае производитель продукции отказывается предоставлять сервисные услуги своим покупателям, заменяя их сервисными скидками.
Экспортные скидки предназначены для стимулирования покупок иностранными покупателями и предоставляются сверх тех скидок, которые используются для потребителей продукции на внутреннем рынке.
Скидки, связанные с учетом национальных особенностей отдельных стран. Так, в арабских, отдельных балканских и закавказских государствах считается делом чести получение в результате торга существенной скидки, достигающей 1/3 цены предложения. Поэтому экспортеры зачастую до момента начала переговоров повышают цены на предполагаемый процент «скидки», а затем предоставляют ее в ходе переговоров, что и находит отражение в заключаемых контрактах.
ГЛАВА 2. АНАЛИЗ ЦЕНОВОЙ СТРАТЕГИИ ОРГАНИЗАЦИИ
(НА ПРИМЕРЕ ООО «ТРИ МЕДВЕДЯ»)
2.1. Экономико-правовая характеристика организации
Эксплуатация кабельной продукции в различных условиях налагает определенные требования на производство кабелей различных типов. Компания «Три медведя» давно работает на рынке кабельно-проводниковой продукции и сотрудничает со многими крупными заводами России и ближнего зарубежья. Современное оборудование и профессиональные кадры этих предприятий позволяют организовать производство кабелей очень высокого качества, соответствующих требованиям необходимых стандартов.
Номенклатура продукции:
- кабели-удлинители;
- кабели для промышленной автоматизации;
- кабели для охранной сигнализации;
- кабели для пожарной сигнализации;
- кабели для телевидения и радиовещания;
- кабели для видеонаблюдения.
Организации «Три толстяка» является обществом с ограниченной ответственностью и представляет собой юридическое лицо, действует в соответствии с принятыми его участниками уставом и учредительным договором, имеет собственное наименование с обязательным указанием в нем организационно-правовой формы.
Высшим органом общество с ограниченной ответственностью имеет собрание его участников, обладающее исключительной (не передаваемой исполнительным органам) компетенцией в решении некоторых основных вопросов жизни общества.
Общество с ограниченной ответственностью отдаёт своим исполнительным органам «остаточную компетенцию», т.е. вправе решать все вопросы управления и деятельности общества, не отнесенные к исключительной компетенции общего собрания.
Экспресс-анализ отчетности — первая стадия комплексного анализа финансового состояния коммерческой организации. В процессе чтения баланс подвергают разбору, чтобы составить себе первоначальное представление о деятельности коммерческой организации. Уже на этой стадии применяют некоторые элементарные приемы анализа, чтобы выявить взаимосвязи между показателями, изменения в составе средств и их источниках (сравнение, исчисление средних и относительных величин, сопоставление темпов изменения некоторых показателей и т. п.).
Целью экспресс-анализа является наглядная и несложная (по времени исполнения и трудоемкости реализации алгоритмов) оценка финансового благополучия и динамики развития коммерческой организации. В процессе анализа можно рассчитать десятки показателей.
Проведём экспресс-анализ ООО «Три медведя».
ООО «Три медведя» создано в соответствии с действующим законодательством РФ. Общество является юридическим лицом и действует на основании устава.
Предметом деятельности общества является перевозка грузов, оказание платных услуг населению, оказание торгово-закупочных и посреднических услуг.
Целью деятельности общества является извлечение прибыли в интересах общества и его участников.
По данным бухгалтерской отчетности (приложение 1) рассмотрим конкретные показатели деятельности предприятия.
Как видно из таблицы 1, имущественное положение предприятия ухудшилось. Общая сумма хозяйственных средств в распоряжении предприятия в конце отчётного года возросла с 23676 тыс.р. на начало года на 690 тыс. р. или на 16, 97% и составила на конец года 27694 тыс.р., что неблагоприятно для организации.
Таблица 1
Совокупность аналитических показателей для экспресс-анализа
финансово- хозяйственной деятельности ООО «Три медведя».
| 1. Оценка экономического потенциала субъекта хозяйствования |
|||
| 1.1. Оценка имущественного положения |
|||
| на н. г. |
на к.г. |
отклонение |
|
| 1. Общая сумма хозяйственных средств, находящаяся в распоряжении предприятия (тыс. р.) |
23676 |
27694 |
4018 |
| 2.Величина основных средств(тыс. р.) |
13390 |
12700 |
-690 |
| 3. Доля основных средств в общей сумме активов(%) |
56, 555161 |
45, 858309 |
-10, 696853 |
| 4. Коэффициент износа основных средств |
0, 7489171 |
0, 75549652 |
0, 00657942 |
| 1.2. Оценка финансового положения |
|||
| 1. Величина собственных средств (тыс. р.) |
22181 |
24278 |
2097 |
| 2. Доля собственных средств в общей сумме источников финансирования(%) |
93, 685589 |
87, 665198 |
-6, 020391 |
| 3. Коэффициент текущей ликвидности |
6, 88 |
4, 577 |
-2, 303 |
| 4.Доля собственных оборотных средств в общей их сумме(%) |
32, 704647 |
27, 444311 |
-5, 260336 |
| 5.Доля долгосрочных заёмных средств в общей сумме источников(%) |
0 |
0, 505525 |
0, 505525 |
| 1.3. Наличие «больных» статей в отчётности |
|||
| 1. Убытки (тыс. р.) |
|||
| 2. Ссуды и займы, не погашенные в срок (тыс. р.) |
|||
| 3. Просроченная дебиторская задолженность (тыс. р.) |
|||
| 4. Векселя выданные просроченные (тыс. р.) |
|||
| 5. Векселя полученные просроченные (тыс. р.) |
|||
| 2. Оценка результативности финансово-хозяйственной деятельности |
|||
| 2.1.Оценка прибыльности |
|||
| 1. Прибыль(тыс. р.) |
2152 |
357 |
-1795 |
| 2. Рентабельность продаж (%) |
6, 597 |
0, 891 |
-5, 706 |
| 3. Рентабельность основной деятельности (%) |
7, 063 |
0, 899 |
-6, 164 |
| 2.2.Оценка динамичности |
|||
| 1. Темпы роста балансовой прибыли (%) |
17, 4256506 |
||
| 2. Темпы роста выручки от реализации(%) |
122, 788302 |
||
| 3. Темпы роста авансируемого капитала(%) |
116, 97 |
||
| 4.Оборачиваемость активов (ресурсоотдача) |
1, 377 |
1, 446 |
0, 069 |
| 5. Продолжительность финансового цикла (дни) |
17, 51 |
30, 977 |
13, 467 |
| 6. Продолжительность операционного цикла(дни) |
97, 131 |
113, 058 |
15, 927 |
| 2.3. Оценка эффективности использования экономического потенциала |
|||
| 1. Доходность авансируемого капитала |
0, 13037138 |
0, 15201013 |
0, 02163876 |
| 2. Доходность собственного капитала |
0, 06045715 |
0, 09391218 |
0, 03345504 |
Рассмотрим изменения баланса, произошедшие в отчётном периоде.
Доля основных средств в сумме активов уменьшились на 10%. Также произошёл рост износа основных средств с 74, 89171% до 75, 54965%, что является негативной тенденцией.
Финансовое положение фирмы улучшилось, т.к. сумма собственных средств предприятия увеличилась с 22181 до 24278 тыс.р., или на 16, 97%, но их доля в общей сумме источников финансирования тем не менее снизилась. Доля заёмных средств возросла с 1482 до3276 тыс.р., на 17, 035%, что говорит о снижении финансовой устойчивости фирмы.
«Больные» статьи в отчётности отсутствуют, что благоприятно для данной организации.
Результаты хозяйственной деятельности ухудшаются, происходит снижение прибыли на 1795 тыс. р. или на 83%. и рентабельности продаж на 5, 706% основной деятельности на 6, 164%.
Деловая активность также ухудшается, о чём свидетельствует рост продолжительности финансового цикла (на 13дней) и операционного цикла (на 16 дней), а также снижение балансовой прибыли. Тем не менее, на предприятии наблюдается незначительный рост ресурсоотдачи (с 1, 377 до 1, 446).
Также происходит спад эффективности использования экономического потенциала, снижается доходность собственного и авансируемого капитала (на 2, 16 и 3, 35% соответственно).
2.2. Анализ финансового состояния ООО «Три медведя»
Составим сравнительно-аналитический баланс по изучаемому предприятию (см. Приложение 2).
Валюта баланса на конец года увеличилась, что говорит об увеличении имущества предприятия и является хорошим показателем его деятельности. Это увеличение произошло за счёт прироста оборотных активов на 4708 тыс. р. или на 45, 77% к началу года. Величина внеоборотных активов уменьшилась на 690 тыс. р. или на 10, 67% к началу года. В результате изменилась структура стоимости имущества предприятия: если на начало периода внеоборотные активы преобладали над оборотными (56, 55% и 43, 44% соответственно), то на конец года оборотных активов стало больше (45, 86%– оборотные и 54, 14%-внеоборотные). Такое изменение является благоприятным для предприятия.
Собственный оборотный капитал организации намного превышает заёмный, хотя темп прироста заёмного выше: к концу года собственный капитал вырос на 9, 45%, а заёмный на 130%. Это связано с маленькой величиной заёмных средств, т.к. даже небольшое их абсолютное изменение (1934 тыс.р.) приведёт к значительному приросту в процентах к началу года.
Темп роста дебиторской задолженности составляет 57, 147%, что ниже темпа прироста кредиторской. Такое несоответствие также происходит по вышеуказанной причине.
Доля собственных средств в оборотных активах предприятия и на начало, и на конец года больше 10%. В балансе нет статьи «Непокрытый убыток», что является признаком «Хорошего баланса».
Сведём результаты анализа ликвидности ООО «Три медведя» в таблицу 2.
Таблица 2
Анализ ликвидности баланса
| Актив |
на н. г., тыс. р. |
на к. г., тыс. р. |
Пассив |
на н.г., тыс. р. |
на к. г., тыс. р. |
Платёжный излишек или недостаток |
|
| на н.г., тыс. р. |
на к. г., тыс. р. |
||||||
| А1 |
1434 |
2370 |
П1 |
1482 |
3240 |
-48 |
-870 |
| А2 |
6922 |
10879 |
П2 |
13 |
36 |
6909 |
10843 |
| А3 |
1930 |
1745 |
П3 |
0 |
140 |
1930 |
1605 |
| А4 |
13390 |
12700 |
П4 |
22181 |
24278 |
-8791 |
-11578 |
| Баланс |
23676 |
27694 |
23676 |
27694 |
0 |
0 |
Как из неё видно, на данном предприятии наблюдается платёжный недостаток наиболее ликвидных активов для покрытия наиболее срочных обязательств: на начало года 48 тыс. р. и на конец года 870 тыс.р.
Быстро и медленно реализуемые активы превышают краткосрочные и долгосрочные пассивы, но данный платёжный излишек по причине низкой ликвидности не может быть направлен на покрытие наиболее срочных обзательств.
В результате анализа ликвидности мы получили следующую систему неравенств:
А1 <П1
А2 >П2
А3 >П3
А4 <П4
Так как первое неравенство не соответствует нормативу, баланс не является абсолютно ликвидным.
Рассчитаем относительные показатели ликвидности по предприятию ООО «Три медведя»:
Коэффициент текущей ликвидности:
Ктлн.г.=![]()
Ктлк.г.=![]()
Коэффициент быстрой ликвидности:
Кблн.г.=![]()
Кблк.г.=![]()
Коэффициент абсолютной ликвидности:
Калн.г.=![]()
Калк.г.=![]()
Общий показатель платёжеспособности:
Lн.г.=![]()
Lк.г.=![]()
Функционирующий капитал:
Фкн.г.=1434+6922+1930-1482-13=8791 (тыс. р.)
Фкк.г.= 2370+10879+1745-3240-36=11718 (тыс.р.)
Маневренность функционирующего капитала:
Мфкн.г.=1434/8791=0, 163121
Мфкк.г.=2370/11718=0, 202253
Проанализируем расчёты:
Коэффициент текущей ликвидности и на начало, и на конец года более 2. Но, с другой стороны, большое значение этого коэффициента является следствием высокой дебиторской задолженности, т.е. свидетельствует о неэффективном использовании ресурсов. Коэффициент быстрой ликвидности значительно выше нормативного, на конец года несколько ниже, чем на начало. Коэффициент абсолютной ликвидности также очень высок. Общий показатель платёжеспособности также превышает нормативное значение, хотя на конец года снизился более чем на единицу. Показатель функционирующий капитал, наоборот, улучшился. Маневренность функционирующего капитала повысилась.
Рассчитаем коэффициент обеспеченности собственными средствами:
Коссн.г.=![]()
Косск.г.=![]()
Следовательно, структуру баланса предприятия можно назвать неудовлетворительной, т.к.
коэффициент текущей ликвидности на конец года намного выше нормативного;
коэффициент обеспеченности собственными средствами на конец года составляет 0, 772, что заметно больше 0, 1
При удовлетворительной структуре баланса для проверки устойчивости финансового положения рассчитывают коэффициент утраты платёжеспособности сроком на 3 месяца:
Кутр=![]()
На ООО «Три медведя он показывает возможность не утратить платёжеспособность в течение 3 месяцев.
Проанализируем абсолютные показатели финансовой устойчивости, характеризующие степень обеспеченности запасов и затрат источниками их формирования на ООО «Три медведя».
1).Наличие собственных оборотных средств
Ес н.г. =22181-13390=8791(тыс. р.)
Ес к.г.=24278-12700=11578(тыс. р.)
Увеличение показателя по сравнению с предыдущим периодом свидетельствует о дальнейшем развитии деятельности предприятия.
2).Наличие собственных и долгосрочных заемных источников формирования запасов и затрат:
Ет н..г.= 22181+0-13390=8791(тыс. р.)
Е т к.г.=24278+140-12700=11718(тыс. р.)
3).Общая величина основных источников формирования запасов и затрат
Е∑ н..г.= 22181+0+1495-13390=10286(тыс. р.)
Е∑ к.г.=24278+140+3276-12700=14994(тыс. р.)
Трем показателям наличия источников формирования запасов соответствуют три показателя обеспеченности запасов источниками их формирования:
1. Излишек (+) или недостаток (-) собственных оборотных средств:
+/-Ес н.г.= 8791-1632=7159(тыс. р.)
+/-Ес к.г.=11578-1528=10050(тыс. р.)
2.Излишек (+) или недостаток (-) собственных и долгосрочных источников формирования запасов:
+/-Ет н.г.=8791-1632=7159(тыс. р.)
+/-Е т к.г.=11718-1528=10190(тыс. р.)
3. Излишек (+) или недостаток (—) общей величины основных источников формирования запасов:
+/- Е∑ н.г. = 10286-1632=8654(тыс. р.)
+/- Е∑ к.г.= 14994-1528=13466(тыс. р.)
Определим тип финансовой устойчивости ООО «Три медведя», используя при этом трёхкомпонентный показатель:
+/-Ес ≥0
+/-Ет ≥0
+/-Е∑ ≥0
S = {1, 1, 1}
Таким образом, на предприятии все запасы и затраты покрываются за счёт собственных средств, т.е. наблюдается абсолютная устойчивость финансового состояния, встречающаяся в настоящих условиях развития экономики России крайне редко.
Рассчитаем относительные показатели финансовой устойчивости:
I группа:
Коэффициент обеспеченности собственными средствами
Косс н.г.=
0, 855
Косск.г.=
0, 772
Этот коэффициент намного больше 0, 1, что положительно характеризует степень обеспеченности СОС предприятия, необходимую для финансовой устойчивости.
2. Коэффициент обеспеченности материальных запасов собственными средствами.
Комз н.г.=
5, 387
Комз к.г.=
7, 577
Коэффициент значительно превышает нормальное значение, что говорит о высоком уровне обеспеченности материальных запасов собственными средствами.
3. Коэффициент маневренности собственного капитала.
Кмскн.г. =
=0, 396
Кмскк.г.=
=0, 477
Уровень данного показателя на начало года ниже нормального, но к концу года почти достигает его (Кмск ≈ 0, 5).
II группа:
Коэффициент автономии:
Ка н. г.=![]()
Ка к..г.=
=0, 877
Коэффициент выше нормы, т.е. степень финансовой независимости предприятия от кредиторов высокая.
2.Коэффициент концентрации заёмного капитала.
Ккзк н.г.=
=0, 0631
Ккзк к.г. =
=0, 123
Коэффициент показывает, что доля привлечённых средств в общей сумме средств предприятия мала, но на конец года повышается.
3. Коэффициент финансовой зависимости
Казн.г. =
=1, 0674
Казк.г.=
=1, 1407
Рост показателя означает увеличение доли заёмных средств на предприятии. Если на начало года в каждом вложенном в активы рубле было 7 заёмных копеек, то на конец года - 14 копеек.
4.Коэффициент структуры долгосрочных вложений:
Ксдв н.г.=
=0
Ксдв к.г.=
=0, 011
Таким образом, на начало года внеоборотные активы не финансировались за счёт долгосрочных заёмных средств, к концу года положение незначительно изменилось.
5. Коэффициент долгосрочного привлечения заёмных средств позволяет оценить долю заёмных средств при финансировании капитальных вложений.
Кдпзс н.г.= 0, т.к. строка 590=0
Кдпзс к.г.=
=0, 005
Рост данного показателя свидетельствует о незначительном увеличении зависимости организации от внешних инвесторов.
6. Коэффициент структуры заёмного капитала:
Ксзкн.г.= 0, т.к. строка 590=0
Ксзкк..г.=
=0, 041
На начало года долгосрочных пассивов в общей сумме заёмных средств не было, к концу года их доля несколько возросла.
7. Коэффициент соотношения заемных и собственных средств.
Кс/зн.г.=
=0, 067
Кс/зк.г. =
=0, 141
Рост в динамике свидетельствует об усилении зависимости предприятия от привлеченного капитала, но и на конец года коэффициент остаётся намного ниже 1
Рассмотрим деловую активность ООО «Три медведя».
Проверим, как выполняется «золотое правило экономики» на этом предприятии. Рассчитаем показатели, входящие в это правило:
1.Темп прироста чистой прибыли:
Тпр=2280/1341*100=171, 02%
2.Темп прироста выручки от реализации:
Твр=40056/32622*100=122, 788%
3. Темп прироста активов предприятия:
ТА=27694/23676*100=116, 97%
171, 02>122, 788>116, 97>100%
Таким образом, на рассматриваемом предприятии действует «золотое правило экономики».
Проведём анализ эффективности использования ресурсов организации. Рассчитаем показатели, характеризующие интенсивность использования ресурсов фирмы:
1. Ресурсоотдача:
Рн.г.=32622/23676=1, 377(р./р.)
Рк.г.=40056/27694=1, 446(р./р.)
Увеличение данного показателя свидетельствует о повышении эффективности использования экономического потенциала предприятия.
2. Фондоотдача:
Фон.г.=32622/13390=2, 436 (р./р.)
Фок.г.= 40056/12700=3, 154(р./р.)
Таким образом, предприятие стало эффективнее использовать свои основные фонды.
Фондоёмкость:
Фён.г.= 13390/32622=0, 41(р./р.)
Фёк.г.= 12700/40056=0, 317(р./р.)
Снижение данного показателя также говорит о более эффективном использовании ресурсов предприятия на конец года.
3. Производительность труда:
ПТн.г.=32622/242=134, 8 (тыс. р./чел.)
ПТк.г.=40056/251=159, 586(тыс. р./чел.)
Положительная динамика производительности труда означает более эффективное использовании трудовых ресурсов на предприятии на конец года.
Фондовооружённость:
Фвоор.н.г.=13390/242=55, 331(тыс. р./чел.)
Фвоор.к.г.=12700/251=50, 598(тыс. р./чел.)
Рост фондовооружённости означает увеличение основных средств, приходящихся на одного работника.
Рассчитаем показатели оборачиваемости оборотных средств:
1). Оборачиваемость дня:
СО=(10286+14994)/2=12640 (тыс. р.)
Дон.г.=
(дни)
Док.г.=
(дни)
Таким образом, число дней, в течение которых совершается полный кругооборот СО увеличилось.
2). Коэффициент оборачиваемости оборотных средств:
Кон.г.=32622/10286=3, 171 (обороты)
Кок.г.=40056/14994=2, 671(обороты)
Снижение этого показателя свидетельствует о замедлении оборачиваемости СО, что неблагоприятно для предприятия.
3).Кзн.г.=10286/32622=0, 315
Кзк.г.=14994/40056=0, 374
Следовательно, сумма СО на рубль реализованной продукции возросла с 31 копеек до 37.
Рассчитаем оборачиваемость отдельных видов оборотных средств.
1). Оборачиваемость средств в расчётах (дебиторской задолженности):
Одзо н.г.=32622/6922=4, 713 (обороты)
Одзо к.г.=40056/10879=3, 683 (обороты)
Уменьшение данного показателя говорит о росте коммерческого кредита.
Одздн н.г=360/4, 713=76, 384(дни) Одздн к.г.=360/3, 683=97, 746(дни)
Следовательно, средний срок погашения дебиторской задолженности возрос.
2). Оборачиваемость запасов в оборотах:
Озо н.г.=30470/(1632+124)=17, 352(обороты)
Озо к.г.=39699/(1528+160)=23, 518(обороты)
Снижение показателя говорит об уменьшении производственных запасов на конец года.
3). Оборачиваемость запасов в днях:
Озд н.г.=360/17, 352=20, 747(дни)
Озд к.г.=360/23, 518=15, 307(дни)
Оборачиваемость запасов в днях снизилась.
4). Продолжительность операционного цикла:
Оцн.г.=76, 384+20, 747=97, 131(дни)
Оцк.г. =97, 746+15, 307=113, 058(дни)
Увеличение продолжительности производственного цикла является негативной тенденцией.
Определим показатели рентабельности ООО «Три медведя».
1).Коэффициент рентабельности всех активов предприятия:
Re акт.н.г.=(1341/23487)*100=5, 66%
Re акт.к.г.=(2280/27694)*100=8, 23%
За отчетный период рентабельность активов выросла, что является положительной тенденцией.
2). Рентабельность собственного капитала:
Re ск н.г.=(1341/22181)*100=6, 046%
Re ск к.г.=(2280/24278)*100=6, 391%
Рентабельность собственного капитала на изучаемом предприятии незначительно повысилась.
3). Коэффициент рентабельности от основной деятельности:
Re од н.г.=(2152/30490)*100=7, 063%
Re одк.г.=(357/39699)*100=0, 899%
Следовательно, количество прибыли от реализации на рубль затраченных средств на конец года резко упало.
4). Рентабельность от реализации продукции:
Re рпн.г.=(2152/32622)*100=6, 597%
Re рпк.г.=(357/40056)*100=0, 871%
Коэффициент показывает, что в полученной прибыли резко сократилось число копеек на рубль реализованной продукции.
Таким образом, деятельность фирмы на конец отчётного года находится на грани рентабельности.
2.3. Организация ценовой стратегии в ООО «Три медведя»
Цена, единственный элемент традиционного маркетинга, обеспечивающий Продавцу реальный доход. Рыночная цена не является независимой переменной, её значение зависит от значения других элементов маркетинга, а так же от уровня конкуренции на рынке и общего состояния экономики. Обычно другие элементы маркетинга также изменяются (например, при увеличении дифференциации продукции с целью максимально поднять цену или, как минимум, разницу между ценой и себестоимостью).
Основной задачей стратегии ценообразования ООО «Три медведя» является получение максимальной прибыли при запланированном объёме продаж. Ценовая стратегия должна обеспечить долговременное удовлетворение нужд Потребителей, путём оптимального сочетания внутренней стратегии развития предприятия и параметров внешней среды в рамках долгосрочной маркетинговой стратегии.
Следовательно, при разработке ценовой стратегии ООО «Три медведя» определило для себя её главные цели:
доведение до максимума выручки,
доведение до максимума цены,
доведение до максимума объёмов реализации продукции,
обеспечение определенной рентабельности.
Структура ценовой стратегии состоит из стратегии ценообразования и стратегии управления ценами.
Стратегия ценообразования позволяет определить с позиций маркетинга уровень цен и предельные цены на отдельные группы продукции. Ценообразование проводится в ООО «Три медведя» с учетом номенклатуры и качества продукции, её полезности, значимости и покупательной способности Потребителей и цен конкурентов. Стратегия управления ценами есть, комплекс мер по поддержанию условных цен при фактическом их регулировании в соответствии с разнообразием и особенностями спроса, конкуренции на рынке. Основные шаги разработки ценовой стратегии в ООО «Три медведя»:
1. Анализ цен:
Определены ли ценовые нормы.
Учтена ли характеристика Потребителя.
Обоснована ли дифференциация цен.
Учтена ли возможная тенденция изменения цен.
Достаточно ли ценовые нормы увязаны с другими маркетинговыми средствами.
Позволяют ли они участвовать в конкурентной борьбе.
Учтена ли гибкость спроса при установлении цены.
Учтена ли реакция конкурентов на цену данного вида продукции.
Соответствует ли цена имиджу продукции.
Учтен ли при установлении цены этап жизненного цикла продукции.
Правильно ли определены нормы скидок.
Предусматривается ли дифференциация цен (по регионам, категориям Потребителей, временам года и др.).
2. Определение задач ценовой стратегии.
3. Установление целей и направлений ценообразования.
4. Цели ценообразования (прибыль, выручка, поддержание цен, противодействие конкуренции).
5. Направления ценообразования (по уровню цен, по регулированию цен, по системе скидок).
6. Окончательное принятие решения по ценовой стратегии.
На каждом типе рынков с учетом задач, стоящих перед ООО «Три медведя» и складывающейся конъюнктуры, ценообразованием могут быть решены следующие задачи.
Обеспечение плановой нормы прибыли, гарантирующей конкурентоспособность и быструю реализацию продукции предприятия. Здесь надо быть достаточно осторожными, так как это может привести к тому, что цена перестанет играть положительную роль в маркетинге.
Полное использование производственных мощностей за счёт “не пикового” ценообразования. Это эффективно там, где сложились высокие “установившиеся» и низкие “меняющиеся» цены, где спрос меняется с определенной периодичностью.
Считается, что когда спрос низок, вместо того чтобы оставлять незагруженными производственные мощности, не окупая постоянной части стоимости, необходимо стимулировать спрос, оценивая продукцию более высоко, чем переменную составляющую спроса.
Так как ООО «Три медведя» поставляет свою продукцию в различные регионы России, то наиболее оптимальным и логичным вариантом перед расчётом региональных цен является деление всей территории страны на условные части (зоны), которое осуществлено, руководствуясь следующими критериями: территориальной близостью регионов, уровнем платежеспособного спроса и важностью регионов с точки зрения открытия дилерских центров.
С необходимостью введения региональных цен ООО «Три медведя» вплотную столкнулось в 2007 году, сотрудничая с предприятием ООО «Сетьстрой». Проведенный маркетинговый анализ рынка показал, что в ряде регионов цены на продукцию предприятия отличались от цен предприятия не на традиционные 20-25% торговой надбавки, а гораздо больше, порой и в несколько раз. Уровень покупательной способности в регионе и дефицит этой продукции позволял отдельным посредникам реально диктовать условия на рынке в регионе.
Розничная торговля, которая традиционно была заинтересована в поставках разнообразной продукции небольшими партиями в отсутствие традиционных оптовых баз, должна была либо заказывать продукцию контейнерами у предприятия по более низкой цене, либо брать небольшими партиями, но по высокой цене у этих посредников. В то время у ООО «Три медведя» не было ни одного дилера в регионах. Такое положение, когда предприятие полностью утрачивает контроль за ситуацией в регионе, отдавая её на откуп посредникам, было признано неверным и для его исправления нами была разработана стратегия региональных цен.
Базовым принципом этой стратегии стала дифференциация отпускных цен по регионам с учётом стоимости транспортных услуг, условий и сроков платежа и уровня покупательской способности населения в регионе. При этом для розничного звена торговли были предусмотрены льготы при формировании ассортимента заказываемой продукции и различные логистические схемы поставок её в регион. В частности, была введена практика доставки продукции ООО «Три медведя» нескольким магазинам в регионе одновременно транспортом предприятия, что позволяло каждому из них заказывать только необходимые им объёмы продукции и снизить при этом стоимость транспортных расходов для себя.
В случае, если розничная торговля приобретала продукцию непосредственно на предприятии и организовывала самостоятельно доставку в свой регион, на неё распространялась базовая, а не региональная отпускная цена. Введение ООО «Три медведя» региональных цен, которое предприятие обнародовало на Межрегиональной оптовой ярмарке первоначально вызвало неоднозначную реакцию торговли. Однако, вскоре торговое звено убедилось, что региональные цены с предоставлением льгот в формировании ассортимента и решением проблем доставки гораздо выгоднее для них, нежели то, что они имели через местных посредников, не являющихся официальными дилерами ООО «Три медведя».
Окончательные отпускные цены на продукцию для каждой зоны рассчитываются с учётом поправочных региональных коэффициентов, которые отражают: стоимость транспортных расходов (то есть чем дальше находится потребитель, тем больше цена), упущенную выгоду при поставке продукции с рассрочкой платежа, уровень платежеспособного спроса в регионе, сложившуюся конъюнктуру рынка и цены конкурентов и посредников.
Учёт в цене “транспортных расходов».
Как показала практика, Покупатель, тем более, если это розничная сеть торговли, заинтересован, чтобы доставка осуществлялась ООО «Три медведя», с оплатой транспортных расходов либо 50% на 50%, либо за счет Продавца. С другой стороны, бесплатная (включенная в стоимость продукции) доставка привлекает Покупателя как с точки зрения рекламного хода, так и с точки зрения элементарного удобства в бухгалтерских расчетах.
Расчёт цены с «отсрочкой платежа».
ООО «Три медведя» отгружает свою продукцию Потребителям с отсрочкой платежа на 30, а иногда и на 60 дней. Соответственно цена продаж на условиях отсрочки платежа должна быть выше, чем по предоплате. Коэффициент увеличения цены продаж в этом случае может быть рассчитан исходя из заведомо завышенной цены, чтобы стимулировать предварительную оплату со стороны Покупателя.
Окончательная цена дополнительно скорректирована с учетом маркетинговой оценки привлекательности регионального рынка.
Хотя цены на свою продукцию ООО «Три медведя» устанавливает с учётом принятой ценовой стратегией, на каждой стадии продвижения продукции на рынок необходимо регулировать цены в зависимости от объёмов и условий поставки, порядка и форм оплаты, а в рамках программы по стимулированию сбыта вводить систему скидок. Само по себе введение любых видов скидок должно быть направлено на закрепление позиций предприятия на конкретных рынках.
Самым традиционным видом скидки в ООО «Три медведя» является скидка на количество. Размер скидки, которую иногда ещё называют оптовой варьируется до 20% от оптовой цены продукции (то есть чем большее количество товара Потребитель закупает у ООО «Три медведя», тем большая скидка ему положена). Данный вид скидки стимулирует покупателей брать товар большими партиями.
Скидки за оплату продукции за наличные установлена в размере 1, 5% от общей стоимости поставки, а вот скидки при предварительной оплате составляют 5%.
Дилерские скидки предоставляются с целью поддержания в регионе определенного уровня цен и варьируются в достаточно широком диапазоне, начиная от 10% и выше. Для дилеров помимо гибкой системы скидок используется и оплата по открытому счёту. Это означает, что дилер может получать продукцию и счета за неё хоть каждый день, а оплачивать её один раз в месяц.
Помимо шкалы скидок в ООО «Три медведя» при поставке продукции на условиях консигнации или по реализации применяются надбавки к цене в зависимости от сроков рассрочки платежа, рассчитываемые, исходя из банковской ставки на кредит. Но и здесь, помимо традиционных пени за просрочку платежа, при ускорении платежа по сравнению с предоставленной рассрочкой - устанавливается премия в размере 0, 5% за каждый день опережения.
Приступая к решению вопроса об установлении окончательной цены на свою продукцию необходимо помнить, что она служит сильнейшим инструментом маркетинга, а, значит, определение её размера не может осуществляться без учёта ситуации на рынке и общей маркетинговой стратегии предприятия.
Практика показала, что окончательный размер цены в ООО «Три медведя» определяется руководителями служб маркетинга и финансов. У каждого из них свои представления об уровне цены и потому порой приходится делать не одну итерацию, чтобы прийти к пониманию. Хотелось бы обратить внимание, что базовая цена не всегда совпадает с отпускной. Она есть лишь та пороговая цена, ниже которой продукция не может быть реализована без разрешения лица, которое уполномоченного руководителем предприятия для принятия такого решения. К базовой цене не применяются традиционные скидки и бонусы.
Более того, сегодня, когда доля расчетов “живыми деньгами” за продукцию не превышает 20-30%, стало необходимым в прайс-листах указывать и цены на продукцию при расчётах по бартеру, взаимозачётам или ценными бумагами. Они, как правило, выше.
В результате вышеизложенного можно структуру цены на продукцию ООО «Три медведя» можно представить в виде диаграммы на рисунке 1.

Рисунок 1 - Структура цены на продукцию ООО «Три медведя»
Как видно из диаграммы, основную часть цены на продукцию составляет ее базовая цена. Диаграмма требует некоторых пояснений. Зональные надбавки не применяются в нашем регионе, так как они введены для снижения затрат на транспортные расходы по доставке продукции. Возмещения за упущенную выгоду тоже может и не быть, так как не все Потребители покупают продукцию с рассрочкой платежа. А надбавка, учитывающая маркетинговую привлекательность рынка вообще может быть и отрицательной, так как она учитывает региональные цены на аналогичную продукцию других производителей.
Кроме того ООО «Три медведя» предоставляет своим покупателям так же и скидки, перечень которых предоставлен в таблице 3 по данным сайта www.uznai.su.
Таблица 3
Перечень скидок на товар в ООО «Три медведя»
| № п. п. |
Вид скидки |
% от стоимости продукции |
| 1. |
Скидка на количество |
до 20 |
| 2. |
Скидка за оплату продукции за наличные |
1, 5 |
| 3. |
Скидка при предварительной оплате |
5 |
| 4. |
Скидка для дилеров |
от 10 |
Таким образом, окончательная цена на продукцию ООО «Три медведя» может быть или увеличена или уменьшена относительно установленной базовой цены.
За последние два года ценовая политика в ООО «Три медведя» претерпела некоторые изменения, учитывающие сложившиеся обстоятельства (увеличение себестоимости продукции, пересмотр маркетинговой стратегии предприятия, увеличения инфляции), поэтому динамику изменения цены (относительно предыдущего года) можно увидеть на диаграмме на рисунке 2.
Как видно из рисунка 2 средние цены на продукцию ООО «Три медведя» за последний год увеличились на 19, 35%.
ООО «Три медведя» подходит к проблемам ценообразования по-своему. В компании проблемами ценообразования занимаются управляющие среднего уровня. Здесь высшее руководство дает общие установки, формирует цели политики цен, утверждает цены, предложенные руководителями низших эшелонов. В таких отраслях, как производство кондитерских изделий, где факторы ценообразования играют решающую роль, фирмы зачастую создают отделы цен, которые разрабатывают цены, либо помогают это делать другим подразделениям.

Рисунок 2 - Динамика изменения цен на продукцию предприятия
На политику цен в ООО «Три медведя» большое взаимодействие оказывают управляющие службой сбыта, заведующие производством, руководитель службы финансов, бухгалтеры.
На решение руководства ООО «Три медведя» оказывает влияние многие внутренние и внешние факторы. Маркетинговые цели и издержки фирмы служат лишь приблизительными ориентирами для определения цен на товары и услуги. Прежде чем установить окончательную цену, ООО «Три медведя» учитывает также степень государственного регулирования, уровень и динамику спроса, характер конкуренции, потребности оптовых и розничных торговцев, которые продают товар конечному потребителю. Не зависимо от того, каким образом ведется формирование цен на продукцию, во внимание принимаются некоторые общеэкономические критерии, определяющие отклонения уровня цен вверх или вниз от потребительской стоимости товара. Критерии эти разделяются на внутренние (зависящие от самой фабрики, от деятельности его руководства и коллектива), и внешние (не зависящие от фабрики). В ООО «Три медведя» к внутренним критериям относятся:
реклама (чем удачнее, оригинальнее реклама, тем цена товаров выше);
специфика производимой продукции (чем выше степень ее обработки, чем уникальнее качество, тем цена выше);
особенности производственного процесса (продукция мелкосерийного и индивидуального производства имеет более высокую себестоимость, товары массового производства имеют относительно низкие издержки и не столь высокую цену);
рыночная стратегия и тактика фабрики (ориентация несколько рыночных сегментов);
специфика жизненного цикла продукции;
мобильность производственного процесса;
длительность продвижения товара по цепочке от производителя до потребителя;
организация сервиса при продаже и в последующем периоде;
объем рынка;
имидж фабрики как на внутреннем, так и на внешнем рынке.
К внешним критериям относят следующее:
политическая стабильность страны - производителя и государств, где происходит сбыт продукции фирмы;
отсутствие на свободном рынке каких-то необходимых ресурсов (трудовых, материальных, финансовых);
характер регулирования экономики государством;
уровень и динамика инфляции;
объем и отличительные черты существующего и перспективного покупательного спроса;
наличие и уровень конкуренции между производителями однородной продукции.
ООО «Три медведя» стремится добиться, формируя свою цену на конкретный товар:
получить в полной мере запланированную прибыль;
увеличить объем продаж;
завоевать более солидную долю рынка;
попытаться добиться более высокой прибыли от реализации конкретного товара;
ослабить конкурента;
сформировать определенный имидж товара.
В 2009 году предприятие ООО «Три медведя» несколько раз производило комплексный пересмотр цен на продукцию, причем пересмотр происходил не только под влиянием растущих затрат на производство, но и при воздействии рыночной конъюнктуры (то есть иногда и в сторону снижения по отдельным группам и видам продукции, что было вызвано сезонными колебаниями спроса).
Динамика средней цены и средней себестоимости на 1000 кабелей удлинителей представлена на рисунке 3.

Рисунок 3 – Динамика средней цены и средней себестоимости
1000 кабелей-удлинителей
Динамика средней цены (с учетом фактически предоставленных скидок, без НДС) и удельных затрат представлена на рисунке 3 показывает, что доходность производства (разрыв между кривыми) в III - IV кварталах традиционно несколько возросла, что объясняется, с одной стороны предновогодним возрастанием платежеспособного покупательского спроса, а, с другой стороны, относительной стабильностью курса доллара и, соответственно, уровня затрат на основное сырье и материалы.
Политика предприятия в области цен и скидок была направлена на ускорение продаж. В частности:
для ускорения оборачиваемости денежных средств предоставлялась скидка за 100%-ную предварительную оплату продукции (размер скидки в течение года составлял 2%);
предоставлялись скидки покупателям, выполняющим условия договора купли-продажи в части выполнения плановых объемов и ритмичности выборки продукции (5%).
Средний суммарный размер скидок, предоставленных покупателям к базовым ценам по всем основаниям, в отчетном году уменьшен и составил 6, 0% (2008 год – 9, 1%).
ГЛАВА 3. ВАРИАНТЫ СОВЕРШЕНСТВОВАНИЯ ЦЕНОВОЙ СТРАТЕГИИ ОРГАНИЗАЦИИ ООО «ТРИ МЕДВЕДЯ»
3.1. Перспективы реализации метода полных затрат для исчисления цен в ООО «Три медведя»
Метод полных затрат является частным случаем метода «средние издержки плюс прибыль».
Метод «средние издержки плюс прибыль» считается наиболее популярным из всех методов, базирующихся на затратах. Цена в данном случае рассчитывается самым простым способом, который заключается в начислении определенной наценки на себестоимость товара. Однако при этом возникает вопрос: какую себестоимость стоит брать для расчета?
Если для расчета цены взять себестоимость, сформированную только на основе переменных затрат, то существует опасность, что выбранный уровень наценки не всегда сможет покрыть постоянные затраты, а это в свою очередь приведет к убыткам. Если для расчета цены использовать полную производственную себестоимость, то наценка должна не только обеспечивать требуемый уровень рентабельности, но и покрывать непроизводственные расходы. Если же руководству предприятия нужно увидеть величину реальной прибыли на единицу продукции, то для расчета цены следует брать полную себестоимость. Ее величина должна определяться как полная производственная себестоимость, увеличенная на непроизводственные расходы. Этот метод широко применяется в сфере розничной торговли, где стандартный размер наценок составляет 20-15%. При этом чем ниже исходная цена товара или выше объем продаж, тем меньше процент наценки.
Преимущество рассматриваемого метода заключается в его простоте. Продавцы больше знают об издержках, чем о спросе, поэтому, основываясь на издержках, торговые предприятия упрощают для себя процесс ценообразования. Основным недостатком данного метода является отсутствие гибкости, так как при его использовании нельзя учесть состояние спроса и конкуренции, в связи с чем отсутствует возможность быстрого реагирования на изменения рыночной ситуации. Для предприятий, применяющих этот метод, существует реальная угроза разорения. В то же время применение этого метода вполне допустимо в отраслях с низкой конкуренцией, и цены здесь традиционно устанавливаются на его основе.
Необходимо также отметить, что применение этого метода ценообразования вызывает трудности, связанные с принятием управленческих решений, например, при рассмотрении вопроса о возможности размещения дополнительного заказа. Существуют случаи, когда цену продукции можно установить на уровне, едва покрывающем переменные затраты. Предположим, что фирма при имеющемся объеме производства, покрывающем «точку безубыточности», получила дополнительный заказ на продукцию по ценам чуть выше переменных затрат. Принимая во внимание то, что этот заказ ни в коем случае не повлияет на постоянные затраты, а следовательно, не вызовет необходимости в дополнительном распределении накладных расходов на данный заказ, следует сделать вывод, что его выполнение принесет фирме прибыль, равную разности стоимости данного заказа и переменных издержек на его изготовление.
Конечно, есть и негативные стороны выполнения такого заказа, например, если о специальной цене узнают другие клиенты, то вполне логичным будет их требование об установлении для них таких же цен. К тому же покупатель, единожды получивший товар по меньшей цене, тоже будет против ее повышения. Поэтому, прежде чем дать согласие на выполнение такого заказа, стоит сопоставить выгоды, которые могут быть получены в результате работы, и издержки, связанные с ней. К сожалению, в основном из-за принятых на предприятиях методик калькуляции себестоимости, не предусматривающих разделение затрат по отношению к объему на переменные и постоянные, возможность выполнения заказа уже отвергается на первом этапе, так как себестоимость товара содержит и переменные, и постоянные затраты, а следовательно, будет выше предложенной цены. При этом методе цена реализации продукции всегда зависит от структуры себестоимости. Если значительную долю в ней занимают постоянные затраты и спрос на продукцию падает, т.е. удельные постоянные затраты на единицу продукции растут, а следовательно возрастает и полная производственная себестоимость, то, следуя данной логике, фирме необходимо увеличивать цену произведенной продукции. Поднимая цену товара, можно ожидать только дальнейшего падения покупательского спроса.
И наоборот, при увеличении спроса на продукцию, удельные постоянные затраты на ее единицу уменьшатся, снизится себестоимость и цена, соответственно, упадет. Возможно, в период роста спроса было бы разумнее оставить цену на прежнем уровне и тем самым увеличить рентабельность продаж, но традиционный метод ценообразования не позволяет рассчитывать оптимальную цену, при которой прибыль предприятия будет максимальной.
Метод полных затрат точно калькулирует цену производства. Он основан на определении себестоимости суммы всех прямых и косвенных затрат в расчете на единицу продукции.
Методика определения цены методом полных затрат на кабель удлинитель, производимый ООО «Три медведя», приведена в таблице 4.
Таблица 4
Определение цены на кабель-удлинитель методом полных затрат
| Наименование затрат |
Значение |
| Переменные (прямые) издержки, тыс.р. : |
|
| — на закуп товара |
18000 |
| — на рабочую силу |
2001 |
| Постоянные (накладные) расходы, тыс.р. |
7600 |
| Итого затрат, тыс.р. |
27600 |
| Ожидаемая прибыль, тыс.р. |
120 |
| Ожидаемый доход от реализации, тыс.р. |
33120 |
| Месячная реализация продукции, шт. |
1000 |
| Цена единицы продукции, руб. |
33, 12 |
Таким образом, усредненная цена реализации кабеля-удлинителя ООО «Три медведя», рассчитанная на основе метода полных издержек, составит 33 руб.
Если предприятие отталкивается от определенного процента рентабельности реализации продукции, то расчет продажной цены может быть произведен по следующей формуле:
Р = С * (1+ R/100) (4)
где Р — продажная цена;
С — полные издержки на единицу продукции;
R — ожидаемая (нормативная) рентабельность.
Любой метод отнесения на себестоимость товара постоянных издержек (например, арендной платы), которые являются расходами по управлению предприятием, а не расходами для реализации данного товара, — условный, и он искажает подлинный вклад продукта в доход предприятия.
В связи с этим на практике используются различные способы распределения постоянных затрат:
- пропорционально заработной плате производственных рабочих;
- пропорционально затратам на материалы;
- пропорционально переменным издержкам.
ООО «Три медведя» реализует три основных вида кабелей удлинителей:
- кабель удлинитель Jack3, 5 вилка;
- кабель удлинитель 15 х 15 - 3 м;
- межблочный кабель (4 контакта).
Данные о количестве реализуемых организацией ООО «Три медведя» кабелей-удлинителей трех модификаций, переменных затратах и полной себестоимости приведены в таблице 5.
Таблица 5
Расчет распределения постоянных затрат, руб.
| Показатели |
Кабель удлинитель Jack3, 5 вилка |
Кабель удлинитель 15 х 15 - 3 м |
Межблочный кабель (4 контакта) |
Всего |
| 1 Количество единиц реализованной продукции, кг |
1000 |
2001 |
500 |
3500 |
| 2 Переменные издержки — всего - на зарплату производственных рабочих - на закуп товара |
20 100 3500 16 600 |
42 000 8000 34 000 |
20 500 12 000 8500 |
82 600 23 500 59 100 |
| 3. Общие постоянные издержки |
55 000 |
|||
| 4. Распределение постоянных издержек между товарами: |
||||
| 4 1 Пропорционально зарплате производственных рабочих |
892 |
18 723 |
28 085 |
55 000 |
| 4.2 Пропорционально затратам на материалы |
15 448 |
31 641 |
7911 |
55 000 |
| 4 3. Пропорционально переменным издержкам |
13 384 |
27 966 |
13 650 |
55 000 |
| 5. Общая себестоимость при распределении постоянных издержек по способу 4.1 |
28 292 |
60723 |
48 585 |
|
| по способу 4.2 |
35 548 |
73 641 |
28 411 |
|
| по способу 4.3 |
33 484 |
69 966 |
34 150 |
Цена единицы каждого товара при рентабельности 15% к себестоимости и распределении затрат разными способами дана в таблице 6 и 7.
Таблица 6
Определение цены с учетом способа распределения постоянных затрат, руб.
| По способу |
Себестоимость единицы |
Прибыль на единицу |
||||
| Кабель удлинитель Jack3, 5 |
Кабель удлинитель 15 х 15 |
Межблоч- ный кабель |
Кабель удлини-тель Jack3, 5 |
Кабель удлинитель 15 х 15 |
Межблочн-ый кабель |
|
| 4 .1 |
28, 3 |
30, 4 |
97, 2 |
4, 2 |
4, 6 |
14, 6 |
| 4.2 |
35, 5 |
36, 8 |
56, 8 |
5, 3 |
5, 5 |
8, 5 |
| 4.3 |
33, 5 |
35, 0 |
68, 3 |
5, 0 |
5, 3 |
10, 2 |
Таблица 7
Цена единицы изделия ООО «Три медведя», руб.
| По способу |
Цена единицы |
||
| Кабель удлинитель Jack3, 5 |
Кабель удлинитель 15 х 15 |
Межблочный кабель |
|
| 4 .1 |
32, 5 |
35, 0 |
111, 8 |
| 4.2 |
40, 8 |
42, 3 |
65, 3 |
| 4.3 |
38, 5 |
40, 3 |
78, 5 |
Таким образом, каждая из трех рассчитанных цен, с учетом различных способов отнесения на себестоимость полных затрат, является вполне обоснованной, но какую цену выберет предприятие, зависит от того, какая ситуация сложилась на рынке (конкуренты, спрос и т.д.).
Методика расчета цен на основе полных издержек является одной из самых популярных среди большинства предприятий России, так как достаточно проста и удобна. Также к достоинствам данного метода ценообразования для ООО «Три медведя» относят:
1) снижение ценовой конкуренции. Этим методом пользуется большинство фирм отрасли продажи продовольственных товаров, их цены скорее всего будут схожими, поэтому ценовая конкуренция сводится к минимуму;
2) равенство покупателей и продавцов. При высоком спросе продавцы не наживаются за счет покупателей и вместе с тем имеют возможность получить справедливую норму прибыли.
Однако использование метод полных издержек имеет два больших недостатка:
- при установлении цены не принимаются во внимание имеющийся спрос на товар и конкуренция на рынке, поэтому возможна ситуация, когда товар при данной цене не будет пользоваться спросом, а продукция конкурентов может быть лучше по качеству и более известна покупателю благодаря рекламе и т.п.;
- отнесение на себестоимость товара постоянных издержек, которые являются условными и искажают подлинный вклад продукта в доход предприятия.
Как видно из расчетов, вполне обоснованным выглядит внедрение метода полных затрат наиболее для формирования ценовой стратегии ООО «Три медведя», так как это оптовое предприятие с четко выраженной товарной дифференциацией для расчета цен традиционных товаров.
3.2. Механизм расчета цены в ООО «Три медведя» методом прямых затрат
Сущность метода прямых затрат (метод минимальных издержек, метод стоимостного изготовления) состоит в установлении цены путем добавления к переменным затратам определенной надбавки — прибыли. При этом постоянные расходы, как расходы предприятия в целом, не распределяются по отдельным товарам, а погашаются из разницы между суммой цен реализации и переменными затратами на реализацию продукции. Эта разница получила название «добавленной», или «маржинальной».
При правильном подходе переменные (прямые) издержки должны явиться тем пределом, ниже которого ни один производитель не будет оценивать свою продукцию.
Если в случае применения метода полных затрат расчет начинается с суммирования всех затрат, связанных с реализацией продукции, то в случае метода прямых затрат фирма начинает с оценки потенциального объема продаж по каждой предполагаемой цене. Подсчитывается сумма прямых переменных затрат, и определяется величина наценки («маржинальной» прибыли) на единицу продукции и весь объем прогнозируемых продаж по предполагаемой цене. Вычитая из полученных суммарных наценок постоянные расходы, определяют прибыль от реализации продукции.
Определение цены методом прямых затрат в ООО «Три медведя» на примере изделия «кабель удлинитель Jack3, 5 вилка» рассматривается в таблице 8.
Таблица 8
Определения цены продукции методом прямых затрат
| Предполагаемая цена |
36, 00 |
32, 00 |
30, 00 |
28, 00 |
| Сумма переменных (прямых) затрат (производственных и сбытовых), р. |
8, 58 |
8, 46 |
8, 40 |
8, 34 |
| «Маржинальная» прибыль на единицу продукции, р. |
9, 42 |
7, 54 |
6, 60 |
5, 66 |
| Ожидаемый объем продаж, шт. |
400 |
600 |
800 |
900 |
| Суммарная «маржинальная» прибыль, тыс.р. |
3768 |
4524 |
5280 |
5094 |
| Постоянные затраты, тыс.р. |
3000 |
3000 |
3000 |
3000 |
| Реализованная прибыль, тыс.р. |
768 |
1524 |
2280 |
2094 |
Из данного расчета видно, что наибольшую прибыль ООО «Три медведя» получит при продаже 800 шт. по цене 30 руб.
Метод прямых затрат позволяет с учетом условий сбыта находить оптимальное сочетание объемов реализации, цен реализации и расходов по реализации продукции. Однако он может быть с уверенностью использован при установлении цен только тогда, когда имеются неиспользованные резервы и когда все постоянные расходы возмещаются в ценах, установленных из текущего объема реализации.
В практике оптовых и розничных продавцов встречается ситуация, когда покупатель требует от них осуществить снижение цены на определенное количество процентов. Поэтому, если заранее определить величину прибыли, которую необходимо получить в целом от продажи данного товара, можно легко и без ущерба для финансовой деятельности ООО «Три медведя» контролировать величину снижения цен.
В данном случае при расчете цены ООО «Три медведя» использует метод надбавки к цене. Данный метод предполагает умножение цены приобретения товара на повышающий коэффициент по формуле:
Р s = Рр х (1 + т), (5)
где Ps — цена продажи;
Рр — цена приобретения;
т — повышающий коэффициент (торговая надбавка), %.
Процент наценки на основе цены реализации легко пересчитывается в процент наценки на основе цены приобретения товара.
Выражение коэффициента повышения цены от цены продажи через коэффициент повышения цены от себестоимости называется восстановлением себестоимости. И наоборот, выражение коэффициента повышения цены от себестоимости через коэффициент повышения цены от цены продажи называется восстановлением цены продажи.
Рассмотрим использование данного метода на предприятии ООО «Три медведя». Издержки обращения при производстве 25 ед. (1 упаковка) изделия «кабель удлинитель Jack3, 5 вилка» равны 62 руб.
Сумма наценки — 29 руб.
Процент наценки на себестоимость составляет:
29 руб. / 62 руб. х 100 = 46, 8%.
То же на основе цены реализации:
29 руб. / (62 руб. + 29 руб.) х 100 = 31, 9%.
Выше перечисленные методы определения цен базируются на суммировании издержек ООО «Три медведя».
Предприятия, занимающиеся производственной деятельностью, определяют издержки производства, а предприятия, осуществляющие сбытовую, снабженческую, торгово-посредническую деятельность издержки обращения. Издержки обращения представляют собой общественно необходимые затраты труда, обеспечивающие выполнение торговлей своих функций и задач.
Издержки обращения учитываются на всех стадиях ценообразования, начиная от производства, когда в себестоимость продукции включаются расходы по сбыту, и, заканчивая розничной продажей, когда в розничной цене отражаются издержки оптовой и розничной торговли.
Рассмотрим состав и структуру издержек обращения по данным за 2007-2009 гг., которые представлены в таблице 9.
Анализ структуры издержек обращения показывает, что торговая деятельность ООО «Три медведя» не является трудоемкой, поскольку затраты на оплату труда вместе с отчислениями на социальные нужды составляют более 5% издержек обращения.
Таблица 9
Состав издержек обращения ООО «Три медведя»
| Статьи затрат |
2007 г. |
2008 г. |
2009 г. |
|||
| Сумма, тыс.р. |
Уд. вес, % |
Сумма, тыс.р. |
Уд. вес, % |
Сумма, тыс.р. |
Уд. вес, % |
|
| Амортизация основных средств |
395, 82 |
6, 5 |
349, 23 |
5, 3 |
510, 59 |
7, 1 |
| Аренда помещений, земли |
109, 61 |
1, 8 |
131, 79 |
2, 0 |
180, 95 |
2, 5 |
| Заработная плата с отчислениями |
359, 28 |
5, 9 |
362, 41 |
5, 5 |
371, 87 |
5, 2 |
| Канцтовары, расходные материалы |
170, 51 |
2, 8 |
144, 96 |
2, 2 |
173, 16 |
2, 4 |
| Консультационные, нотариальные, коммунальные услуги, услуги связи |
304, 48 |
5, 0 |
316, 29 |
4, 8 |
378, 78 |
5, 2 |
| Охрана |
121, 79 |
2, 0 |
138, 38 |
2, 1 |
171, 49 |
2, 4 |
| Прочие |
97, 43 |
1, 6 |
79, 07 |
1, 2 |
117, 47 |
1, 6 |
| Расходы буд.периодов |
24, 36 |
0, 4 |
13, 18 |
0, 2 |
18, 68 |
0, 2 |
| РСМ |
1272, 72 |
20, 9 |
1219, 02 |
18, 5 |
1271, 20 |
17, 7 |
| Транспортные услуги, погрузка |
1875, 58 |
30, 8 |
2438, 04 |
34, 0 |
1665, 87 |
37, 1 |
| Э/энергия, т/энергия, отопление |
1357, 97 |
22, 3 |
1588, 02 |
24, 1 |
1335, 64 |
18, 6 |
| Итого |
6089, 55 |
100, 0 |
6589, 30 |
100, 0 |
5189, 74 |
100, 0 |
На основании данных таблицы 9 можно отметить, что наибольшую долю в издержках обращения ООО «Три медведя» составляют транспортные услуги (30-37%), что объясняется количеством арендуемых транспортных средств фирмы для перевозки продукции. Также значительны расходы на отопление зданий и складов, затраты на электро- и теплоэнергию.
Проблема снижения издержек обращения в рыночных условиях должна рассматриваться в разрезе управления издержками. Так как рост издержек обращения в большей степени зависит от внешних факторов, предприятие не может на них повлиять.
Часто, в подходе к управлению издержками самой распространенной является устаревшая точка зрения, согласно которой издержки должны быть снижены любой ценой до самого низкого, ниже минимально допустимого их уровня. В последнее время все большее и большее распространение получила вторая точка зрения на оптимальный размер издержек обращения. Можно и необходимо идти на дополнительные затраты в целях увеличения оборота, привлечения новых поставщиков и покупателей, повышения качества торгового обслуживания, создания привлекательного имиджа предприятия.
Процесс управления издержками обращения ООО «Три медведя» включает:
1) организацию информационного обеспечения в соответствии с содержанием, составом и структурой издержек, целевыми ориентирами;
2) оценку способностей формирования затрат в прошлом и плановом периоде, т. е. оценку условий функционирования торгового предприятия;
3) полный анализ издержек обращения в динамике и за текущий период;
4) прогнозирование размера и уровня затрат различными методами при разных объемах товарооборота и прибыли и с учетом имеющихся ограничений;
5) планирование максимально и минимально допустимых уровней затрат;
6) нормирование затрат в разрезе статей издержек;
7) контроль и оперативное управление издержками обращения с учетом изменения условий функционирования предприятия;
8) совершенствование учета издержек обращения;
9) поиск резервов снижения и введения их в действие.
К основным резервам экономии издержек обращения на предприятии ООО «Три медведя» следует отнести:
1) рост товарооборота, равномерное и ритмичное обеспечение продажи товаров в плановом периоде;
2) эффективное использование материально-технической базы торговли;
3) внедрение прогрессивных форм обслуживания;
4) сокращение звенности товародвижения, простоя транспорта, большую механизацию погрузочно-разгрузочных работ;
5) сокращение и ликвидацию потерь продукции и потерь по таре;
6) ускорение оборачиваемости товаров;
7) усиление контроля за расходами в разрезе отдельных статей с целью выявления затрат, не работающих на отдачу;
8) разукрупнение статей, введение сплошного или выборочного учета издержек обращения, нормирование издержек с учетом потоварной издержкоемкости, услугоемкости и др.
Основными рекомендациями, которые могут быть взяты на вооружение для борьбы, направленной на снижение издержек обращения на предприятии ООО «Три медведя» является: во-первых, внедрение процесса управления издержками (составляющие данного процесса описаны выше) и использование резервов экономии издержек обращения. В дополнение к этому необходимо наладить надлежащий учет и систему нормирования реализации и издержек продукции с целью ужесточения ответственности конкретных лиц за нерациональное использование потребляемых ресурсов.
3.3. Пути оптимизации системы ценообразования в ООО «Три медведя»
Каждый предприниматель, устанавливая цену на свой товар, использует ее как решающее средство для достижения поставленных в своем бизнесе целей. Практика, между тем показывает, что ни одна компания, независимо от прочности ее позиций на рынке, не может себе позволить устанавливать цены без анализа возможных последствий различных вариантов такого решения.
На основе полученных данных проведем оценку экономической эффективности управленческих решений, выберем наиболее эффективную альтернативу в отношении цены на изделие «кабель удлинитель Jack3, 5 вилка» - 30 или 32 рубля.
При сравнении 2-х вариантов управленческого решения относительную экономическую эффективность для 1 решения можно определить из следующего соотношения:
(6)
где
прибыль, полученная от реализации товара при первом варианте
- затраты на производство товара при первом варианте.
Данные для расчета экономической эффективности управленческих решений приведены в таблице 10.
Таблица 10
Данные для расчета экономической эффективности управленческих решений
| Наименование решения |
Суммарные затраты в месяц, тыс. руб. |
Валовая прибыль, тыс. руб. |
| 1.Осуществлять реализацию продукции по цене 30 руб. |
28, 98 |
1, 02 |
| 2.Осуществлять реализацию продукции по цене 32 руб. |
27, 41 |
4, 58 |
Рассчитаем экономическую эффективность второго решения относительно первого на основе косвенного метода сопоставления различных вариантов:
Ээ = (4, 58 / 27, 41 + 1, 02/28, 98) * 100% = 20, 2%
Расчет экономической эффективности управленческих решений данным методом показал, что наиболее рациональным и выгодным для предприятия является принятие управленческое решения №2 (реализация продукции по цене 32 руб.), однако данный метод не учитывает вероятность наступления того или иного события, уровень риска.
Определение цены на реализуемую продукцию всегда образует, пожалуй, наибольшую составляющую предпринимательского риска. Под риском в предпринимательстве понимается вероятность возникновения нежелательного события, способного привести предприятие к потере активов, снижению доходов и необоснованному повышению расходов. Назначение определения рисков – дать представление о возможных вариантах реализации предпринимательских решений и разработать меры по защите от возможных финансовых потерь.
Итак, ООО «Три медведя» были установлены 2 цены на 1 изделие «кабель удлинитель Jack3, 5 вилка»: 32 руб. и 30 руб.
Предприятию необходимо сделать выбор между этими ценами и получить на этом прибыль. Однако существует риск, что слишком высокая продажная цена замедлит, а то и вообще остановит реализацию данного товара, и предприятие вместо прибыли получит одни убытки. По мнению экспертов предприятия, вероятность продажи товара по цене выше 69 руб. вообще равна нулю, поскольку при данном уровне цен продукция предприятия будет менее конкурентоспособна и рынок при сложившихся обстоятельствах не готов к установлению такого уровня цен.
В то же время снижение продажной цены ради ускорения процесса реализации должны иметь разумные пределы. Продажа данного товара, например, по цене ниже 29 руб. не выгодно для предприятия и принесет ему прямые убытки.
Для определения оптимального уровня продажной цены за единицу данного товара используем дерево решений.
Дерево решений – особый прием, позволяющий наглядно представить логическую структуру принятия решений. К нему прибегают тогда, когда решение принимается поэтапно или когда с переходом от одного варианта решения к другому меняются вероятности. Дерево решений создается при движении слева направо, а анализируется в обратном направлении.
Для каждого разветвления неопределенности рассчитывается вероятность, а в конце каждой финальной ветви указывается ожидаемая выплата. При обратном анализе для каждого узла неопределенности рассчитывается математическое ожидание выплаты. Для каждого пункта принятия решения выплата максимизируется. Лучшее решение выбирается по максимуму выплат.
Так как продавать данный товар по цене ниже 29 руб. невыгодно, а по цене выше 69 руб. невозможно, то попытаемся определить вероятность продажи данного товара по цене х в интервале 29-69 рублей.
Это можно сделать с помощью формулы вида:
Р(х) = (69 – х) / (69-29)
Вероятность того, что весь товар может оказаться непроданным, найдем как Q(x) = 1 – P(x).
Величины Р(х) и Q(x) можно трактовать не только как вероятности, но и как доли проданной и непроданной продукции.
Возможную прибыль от реализации продукции по цене х определим как:
d = х - 29
Проделав с помощью приведенных формул соответствующие расчеты, получим следующую таблицу 11.
Таблица 11
Вероятности реализации и не реализации товара при различных уровнях цен
| Цена (х) |
Вероятность того, что весь товар |
Размер прибыли (рубли) |
|
| Будет продан Р(х) |
Не будет продан Q(x) |
||
| 29 |
1 |
0 |
0 |
| 30 |
0, 97 |
1 |
50 |
| 32 |
0, 92 |
3 |
100 |
| 45 |
0, 6 |
16 |
150 |
| 69 |
0 |
40 |
200 |
На основе этих данных построим дерево решений и с его помощью найдем оптимальное решение, касающееся уровня цены.
Однако легко прийти к выводу, что между двумя выше упомянутыми решениями есть третье с еще большей выплатой. Делаем проверку: находим выплату для цены в 31 руб. Этой проверке соответствуют следующие расчеты:
Р(31) = (69-31) / (69-29) = 0, 95
Q(31) = 1-0, 95=0, 05
Прибыль 31– 29 = 3,
Отсюда М(X31)=3*0, 95-0, 05*3=2, 7
Таким образом, наиболее оптимальной ценой за 1 изделие «кабель удлинитель Jack3, 5 вилка» при сложившейся ситуации на рынке является цена в размере 31 руб.
В случае установления цены на изделие «кабель удлинитель Jack3, 5 вилка» на уровне 69 руб., предприятие будет получать достаточно высокий размер прибыли, но высока вероятность возникновения нежелательного события, которое может привести к снижению уровня спроса на продукцию.
Установление минимальной цены, которая, как правило, определяется издержками предприятия, с одной стороны, будет способствовать высокому объему продаж, а, с другой стороны, предприятие не будет получать необходимых денежных средств для ее дальнейшего развития. Вследствие отсутствия достаточных финансовых средств у потребителя, предприятие вынуждено снижать цены на продукцию, несмотря на более усовершенствованные технические и экономические характеристики и более низкий уровень цен по сравнению с конкурентами.
Внедрение всех перечисленных выше мероприятий на ООО «Три медведя» будет способствовать снижению издержек производства, а это, в свою очередь, позволит предприятию устанавливать цены на кабели-удлинители на более низком уровне.
Проведем анализ внешней среды ООО «Три медведя» с помощью таблицы 12.
Таблица 12
Оценка продукции ООО «Три медведя» по критерию «цена-качество»
| Наименование продукции |
Цена |
Материал проводящих жил |
Коэффициент оптимизации |
Экспертная оценка качества (от 1 до 5) |
Оценка цена/качество (+, -) |
| Продукция ООО «Три медведя» |
|||||
| Кабель удлинитель Jack3, 5 |
38, 5 |
Медь |
3 |
4 |
+ |
| Кабель удлинитель 15 х 15 |
40, 3 |
Медь |
6 |
4 |
+ |
| Межблочный кабель |
78, 5 |
Медь |
6 |
5 |
+ |
| Продукция ООО «Спецпромкабель» |
|||||
| Кабель МД |
40 |
Медь |
2 |
3 |
- |
| Кабель МХ 15 х 15 |
42, 6 |
Медь |
4 |
3 |
- |
| Кабель межблочный АХД |
79, 5 |
ССА |
4 |
4 |
+ |
| Продукция ЗАО «Кабельпром» |
|||||
| Кабель ДАРС-3, 5 |
46 |
ССА |
2 |
3 |
- |
| Кабель АРК-15 |
52, 8 |
ССА |
5 |
4 |
+ |
| Кабель межблочный МДЛ-10 |
84, 6 |
Медь |
6 |
5 |
+ |
Как видно из таблицы 12 вся продукция ООО «Три медведя» соответствует экспертным представления о соотношения между ценой и качеством для кабелей-удлинителей.
ЗАКЛЮЧЕНИЕ
Выводы по итогам работы:
1. Цена отражает количество денег, за которое продавец согласен продать, а покупатель готов купить единицу товара, и является важнейшей экономической категорией. В данном определении идет речь о двух видах цен. Цена продавца (цена предложения товара) – это количество денег, которое продавец хочет получить от продажи товара. Цена покупателя (цена спроса на товар) - количество денег, которое покупатель способен и согласен уплатить за товар. Рыночная цена (цена продажи товара, цена сделки) – цена, согласованная продавцом и покупателем, то есть цена, по которой реально будет продан товар.
Процесс ценообразования на предприятии можно представить следующими основными этапами:
постановка цели (задачи) ценообразования;
определение уровня спроса на данный вид продукции;
оценка издержек производства;
анализ цен и товаров конкурентов;
выбор метода ценообразования;
расчет исходной цены изделия;
учет влияния на цену изделия дополнительных факторов;
установление окончательной цены.
2. Ценовая стратегия — это стратегическая линия, проводимая продавцами товаров в отношении установления цен предложения на рынке.
Разработка ценовой стратегии предприятия осуществляется в три этапа:
сбор исходной информации (оценка затрат, уточнение финансовых целей предприятия, определение потенциальных покупателей и конкурентов);
стратегический анализ (финансовый, сегментный анализ рынка, анализ конкуренции и потребителей, оценка влияния государственного регулирования);
формирование окончательной стратегии.
Основные типовые стратегии ценообразования можно подразделить на три группы: стратегия высоких цен, стратегия средних цен, стратегия низких цен.
3. Ценовая скидка представляет собой снижение цены продавцом с учетом складывающейся рыночной конъюнктуры, взаимоотношений с потребителями продукции, условиями ее поставки и платежа в момент заключения сделки.
Предоставление скидок, прежде всего, стимулирует продажи, что, в свою очередь, влияет на объем получаемой выручки, поэтому формирование системы скидок является не только элементом маркетинговой политики, но и методом, используемым при разработке финансовой политики предприятия и оказывающим влияние на ее результаты. Значение скидок при формировании финансовой политики заключается в том, что они используются:
как средство формирования устойчивой клиентской базы;
как регулятор изменения цены;
в целях повышения конкурентоспособности предприятия и тем самым влияют на его инвестиционную привлекательность.
Анализ финансового состояния ООО «Три медведя» показал, что на данном предприятии наблюдается платёжный недостаток наиболее ликвидных активов для покрытия наиболее срочных обязательств: на начало года 48 тыс. р. и на конец года 870 тыс.р. Коэффициент текущей ликвидности и на начало, и на конец года более 2. На начало года он равен 6, 88, затем снижается до 4, 577. Структуру баланса предприятия можно назвать удовлетворительной, т.к. коэффициент текущей ликвидности на конец года намного выше нормативного; коэффициент обеспеченности собственными средствами на конец года составляет 0, 772, что заметно больше 0, 1.
Данное предприятие обладает высокой финансовой устойчивостью. В ООО «Три медведя» существует излишек всех источников формирования запасов, т.е. наблюдается абсолютная устойчивость финансового состояния, встречающаяся в настоящих условиях развития экономики России крайне редко. Предприятие отличает высокая степень финансовой независимости предприятия от кредиторов, что подтверждает коэффициент автономии: на начало года он составил 0, 937, на конец - 0, 877. Коэффициент выше нормы.
Деловая активность предприятия также высокая. На рассматриваемом предприятии действует «золотое правило экономики»: 171, 02>122, 788>116, 97>100%. Ресурсы фирмы используются довольно интенсивно, о чём свидетельствует повышение ресурсоотдачи с 1, 377 р./р. в начале года до 1, 446 р./р. в конце года. Показатели оборачиваемости оборотных средств наоборот, ухудшаются: оборачиваемость дня возросла с 113, 511 до 134, 757 дней, коэффициент оборачиваемости также уменьшился с 3, 171 до 2, 671 оборотов, что неблагоприятно для предприятия.
Негативной тенденцией является резкое снижение рентабельности от основной деятельности ООО «Три медведя». Она снизилась с 7, 063% до 0, 899%. Рентабельность от реализации продукции на начало года составляла 6, 597%, а на конец года составила только 0, 871%. Рентабельность основной деятельности и реализации продукции ООО «Три медведя» снизились за счет значительного уменьшения показателя валовой прибыли, что в свою очередь было вызвано сильным показателей выручки и себестоимости продукции.
В 2009 году предприятие ООО «Три медведя» несколько раз производило комплексный пересмотр цен на продукцию, причем пересмотр происходил не только под влиянием растущих затрат на производство, но и при воздействии рыночной конъюнктуры (то есть иногда и в сторону снижения по отдельным группам и видам продукции, что было вызвано сезонными колебаниями спроса).
Динамика средней цены и удельных затрат ООО «Три медведя» показывает, что доходность производства в III - IV кварталах традиционно несколько возросла, что объясняется, с одной стороны предновогодним возрастанием платежеспособного покупательского спроса, а, с другой стороны, относительной стабильностью курса доллара и, соответственно, уровня затрат на основное сырье и материалы.
Политика ООО «Три медведя» в области цен и скидок направлена на ускорение продаж. В частности:
для ускорения оборачиваемости денежных средств предоставлялась скидка за 100%-ную предварительную оплату продукции (размер скидки в течение года составлял 2%);
предоставлялись скидки покупателям, выполняющим условия договора купли-продажи в части выполнения плановых объемов и ритмичности выборки продукции (5%).
Средний суммарный размер скидок, предоставленных покупателям к базовым ценам по всем основаниям, в отчетном году уменьшен и составил 6, 0% (2008 год – 9, 1%).
Расчеты показали, что:
- цена реализации изделия «кабель удлинитель Jack3, 5 вилка», рассчитанная на основе метода полных затрат, составляет 33 руб.;
- цена реализации изделия «кабель удлинитель Jack3, 5 вилка», рассчитанная на основе метода прямых затрат, составляет 30 руб.;
- использование методики древо решений при установлении окончательной цены в итоге показало, что оптимальной ценой за 1 изделие «кабель удлинитель Jack3, 5 вилка» при сложившейся ситуации на рынке является цена в размере 31 руб.
ООО «Три медведя» можно порекомендовать снижать себестоимость выпускаемой продукции, вводить в эксплуатацию более технологичное оборудование, обеспечивающее меньшие затраты времени и труда, проводить стимулирующие работы по реализации продукции и т.п., т.е. использовать имеющиеся резервы повышения рентабельности.
Список литературы
Баздникин А.С. Цены и ценообразование: Учебное пособие для вузов. – М.: Юрайт-Издат, 2008
Газман В.Д. Ценообразование лизинга. Учебное пособие для вузов. – М.: ВШЭ, 2007
Герасименко В.В. Ценообразование. Учебное пособие. – М.: Инфра-М, 2007
Герасименко В.В. Управление ценовой политикой компании: учебник. - М.: Eksmo education: Эксмо, 2008. - 688с.
Глазова Е.С., Галанова А.В., Галанов В.А. Ценообразование: Учебник для вузов / Под ред. Слепова В.А. – М.: Экономистъ, 2007
Деева А.И. Ценообразование. Учебное пособие. – М.: КноРус, 2009
Дерябин А.А. Система ценообразования и финансов, пути совершенствования.- М.: ЮНИТИ .- 2008. – 431 с.
Долан Э.Д. Микроэкономика: пер. с англ. / Э.Д.Долан, Д.Е.Линдсей. - СПб.: Питер, 2008. - 447с.
Емельянова Т. М. Ценообразование. Учебное пособие. – Минск: Вышэйшая школ, 2008
Емцов Р.Г. Микроэкономика: учебник / Р.Г.Емцов, М.Ю.Лукин. - М.: Экономика, 2007. - 317с.
Есипов В. Цены и ценообразование. Учебник для вузов - 5 изд.. – СПб.: Питер, 2008
Игольникова В. Балансовые экономико-математические модели как инструмент формирования тарифов в энергетике // Пробл. теории и практики управл. - 2009. - N 10. - С.79-84.
Иохин В.Я. Экономическая теория: Учебник - М.: Юристъ, 2008 - 861с.
Крэм Т. Классная цена: О секретах умного ценообразования. – М.: Олимп-Бизнес, 2009
Козырев В.М. Основы современной экономики: Учебник. –М.: Финансы и стати тика, 2007. – 171 с.
Лев М.Ю. Ценообразование: Учебник для вузов. – М.: ЮНИТИ, 2008
Липсиц И.В. Ценообразование для вузов. – М.: Юрайт, 2008
Микроэкономика: Практический подход: учебник / под ред. Грязновой А.Г., Юданова А.Ю. - М.: КНОРУС, 2008. - 660с.
Нигматулин Р.И. О ценах, платежеспособности и доходах, или Как спасти российскую экономику // Россия и современный мир. - 2008. - N 3. - С.98-103.
Основы микроэкономики: учеб. пособие / Под ред. Николаевой И.П. - М.: Приор, 2008. - 224с.
Петров А.М. Микроэкономика: учебник. – Челябинск: Викинг, 2007. - 205с.
Пиндайк Р.С. Микроэкономика: пер. с англ. / Р.С.Пиндайк, Д.Л.Рубинфельд. - М.: Дело, 2008. - 807с.
Райская Н.Н. Статистические исследования ценовых процессов в промышленности в условиях кризиса / Н.Н.Райская, Я.В.Сергиенко, А.А.Френкель // Вопросы статистики. - 2009. - N 10. - С.38-42.
Расулев А. Государство и цены: механизм воздействия в условиях рыночной экономики / А.Расулев, С.Воронин, О.Исмаилов // Общество и экономика. - 2008. - N 3-4. - С.5-18.
Савинов Ю.А. Ценообразование в международной торговле оборудованием для обработки и передачи информации // Российский внешнеэкономический вестник. – 2010. - №2. – С.17-19
Салимжанов И.К. Ценообразование. – М.: Кнорус, 2009
Семенова О.В. Особенности цен на современном этапе // Налоговый вестник. - 2008. - N 5. - С.3-9.
Солодянкина Г.А. О совершенствовании методов определения рыночных цен // Бухгалтерский учет. - 2008. - N 4. - С.72-76.
Цены в России, 2009: стат. сб. / Федер. служба гос. статистики (Росстат). - М.: Статистика России, 2009. - 198с.
Финансовый менеджмент в предприятиях и коммерческих организациях. Управление денежным оборотом. - М.: ФиС, 2008. – 216 с.
Финансы предприятий: Учебник для вузов/Н.В. Колчина, Г.Б. Поляк, Л.П. Павлова и др.; Под ред. проф. Н.В. Колчиной. — М.: ЮНИТИ-ДАНА, 2007. — 447 с.
Финансы предприятий: Учебное пособие / Е.И. Бородина, Ю.С. Голикова, Н.В. Колчина, З.М. Смирнова; Под ред. проф. Е.И. Бородиной. — М.: Банки и биржи, ЮНИТИ-ДАНА, 2007. — 208 с.
Финансы предприятий: Учебник / Под ред. М.В. Романовского. – СПб.: Издательский дом «Бизнес-пресса», 2008. – 528 с.
Шопенко Д.В., Кныш М.И., Гончарук О.В., Управление финансами предприятия. Учебное пособие. – СПб.: Дмитрий Буланин, 2008. - 264 с.
Финансы предприятий / Под ред. Колчиной Н. В. М.:Финансы, 2007 - с.561.
Шевчук Д.А. Ценообразование: учебное пособие. – М.: Гросс-Медиа, 2008
Цацулин А.Н. Цены и ценообразование в системе маркетинга. Учебное пособие. — М.: Информационно-издательский дом «Филинъ», 2008. - 448 с.
Цены в России, 2009: стат. сб. / Федер. служба гос. статистики (Росстат). - М.: Статистика России, 2009. - 198с.
Цены и ценообразование в рыночной экономике / Под ред. Есипова В.Е.-СПб.: СПБГУЭФ, 2007
Ценообразование и налогообложение. Учебник / Под. Ред. И.К. Салимжанова - М.: Велби, 2009 - 424 с.
[1] Баздникин А.С. Цены и ценообразование: Учебное пособие для вузов. – М.: Юрайт-Издат, 2008. С.21
[2] Герасименко В.В. Ценообразование. Учебное пособие. – М.: Инфра-М, 2007. С.49
[3] Баздникин А.С. Цены и ценообразование: Учебное пособие для вузов. – М.: Юрайт-Издат, 2008. С.24
[4] Герасименко В.В. Ценообразование. Учебное пособие. – М.: Инфра-М, 2007. С.50
[5] Баздникин А.С. Цены и ценообразование: Учебное пособие для вузов. – М.: Юрайт-Издат, 2008. С.27
[6] Деева А.И. Ценообразование. Учебное пособие. – М.: КноРус, 2009. С.81
[7] Баздникин А.С. Цены и ценообразование: Учебное пособие для вузов. – М.: Юрайт-Издат, 2008. С.28
[8] Деева А.И. Ценообразование. Учебное пособие. – М.: КноРус, 2009. С.84
[9] Баздникин А.С. Цены и ценообразование: Учебное пособие для вузов. – М.: Юрайт-Издат, 2008. С.29
[10] Деева А.И. Ценообразование. Учебное пособие. – М.: КноРус, 2009. С.85
[11] Герасименко В.В. Ценообразование. Учебное пособие. – М.: Инфра-М, 2007. С.55
[12] Герасименко В.В. Ценообразование. Учебное пособие. – М.: Инфра-М, 2007. С.57
[13] Емельянова Т. М. Ценообразование. Учебное пособие. – Минск: Вышэйшая школ, 2008. С.66
[14] Салимжанов И.К. Ценообразование. – М.: Кнорус, 2009. С.82
[15] Емельянова Т. М. Ценообразование. Учебное пособие. – Минск: Вышэйшая школ, 2008. С.67
[16] Салимжанов И.К. Ценообразование. – М.: Кнорус, 2009. С.85
[17] Емельянова Т. М. Ценообразование. Учебное пособие. – Минск: Вышэйшая школ, 2008. С.68
[18] Салимжанов И.К. Ценообразование. – М.: Кнорус, 2009. С.86
[19] Крэм Т. Классная цена: О секретах умного ценообразования. – М.: Олимп-Бизнес, 2009. С.33
[20] Крэм Т. Классная цена: О секретах умного ценообразования. – М.: Олимп-Бизнес, 2009. С.34
[21] Шевчук Д.А. Ценообразование: учебное пособие. – М.: Гросс-Медиа, 2008. С.57
[22] Липсиц И.В. Ценообразование для вузов. – М.: Юрайт, 2008. С.41
[23] Шевчук Д.А. Ценообразование: учебное пособие. – М.: Гросс-Медиа, 2008. С.58
[24] Липсиц И.В. Ценообразование для вузов. – М.: Юрайт, 2008. С.44
[25] Шевчук Д.А. Ценообразование: учебное пособие. – М.: Гросс-Медиа, 2008. С.59
[26] Липсиц И.В. Ценообразование для вузов. – М.: Юрайт, 2008. С.45