| Скачать .docx |
Реферат: Исследование систем управление на примере ООО Алена
Министерство образования Российской Федерации
Уральский социально-экономический институт
Академии труда и социальных отношений
Курсовая работа
по дисциплине
Исследование систем управления
Исследование систем управление на примере ООО «Алена»
Челябинск
2003
Содержание
Введение |
3 |
| 1. Анализ предприятия как объекта управление |
4 |
| 1.1. Система управление: понятие, факторы влияющие на управление |
4 |
| 1.2. Иерархические типы структур управления |
6 |
| 1.3. Органические типы структур управления |
11 |
| 1.4. Структура управление ООО «Алена» |
16 |
| 2. Уточнение целей системы управление и выбор критериев эффективности |
22 |
| 3. Исследование и проектирование функций управления |
23 |
| 4. Исследование и проектирование структуры управления. |
26 |
| 5. Исследование роли человеческого фактора. |
28 |
| Заключение |
30 |
| Литература |
31 |
Введение
Трудно переоценить роль организаций в жизни общества, поскольку вся жизнь человека протекает в рамках различных организаций. Семья, школа, коллектив, в котором проходит работа или учёба, - это различные типы организаций. В настоящей работе основное внимание уделено деловым организациям, занимающимся хозяйственной и коммерческой деятельностью, предприятиям, фирмам, компаниями.
Отличительной чертой работы этих организаций в настоящее время состоит в том, что они действуют в постоянно меняющихся экономических условиях. И чтобы выжить и сохранить способность к развитию предприятия должны постоянно адаптироваться к окружающей их среде. Это обстоятельство накладывает определённые требования к система управления организацией. Она должна отвечать современным рыночным условиям: быть достаточно гибкой, быть адекватной сложной технологии производства, учитывать серьёзную конкуренцию на рынке товаров (услуг), учитывать требования к уровню качества обслуживания, принимать во внимание неопределённости внешней среды и некоторые другие требования.
Развитие и совершенствование предприятия базируется на тщательном и глубоком знании деятельности организации, что требует проведения исследования систем управления.
Система управления организацией является сложной системой, созданной для сбора, анализа и переработки информации с целью получения максимального конечного результата при определённых ограничениях.
В настоящей работе сделана попытка анализа различных систем управление организациями, рассмотрен алгоритм её построения. На основе теоретических знаний проведён анализ структуры управления ООО «Алена», сделаны предложения по улучшения структуры управления.
1. Анализ предприятия как объекта управления
1.1 Система управление: понятие, факторы, влияющие на управление
Экономическая стабильность организации, её выживаемость и эффективность деятельности в условиях рыночных отношений неразрывно связаны с её непрерывным совершенствованием и развитием. При этом совершенствование организации должно осуществляться по принципу адаптации к внешней среде.
Сегодня достаточно ясно обозначились факторы, определяющие необходимость постоянных внутренних изменений для адаптации организации к внешней среде. Это:
- рынок сбыта производимой или продаваемой продукции и вида услуг;
- рынок поставщика или потребителя исходных материалов, энергии, товаров и услуг;
- финансовый рынок;
- рынок труда;
- окружающая природная среда.
Без учета этих факторов невозможно планировать стратегию развития. Поэтому успех любого предприятия или организации и возможность их выживания зависят от способности быстро адаптироваться к внешним изменениям.
Прежде чем перейти к анализу предприятия ООО «Алена», как некой управляемой системе, имеющей внутреннюю структуру, существующую в независимой от собственников внешней среде, дадим некоторые основные понятия.
Организация – это открытая система взаимодействующих и управляемых частей (подразделений, людей и т.д.), работающая с определённой целью, смыслом, миссией и имеющая в своём распоряжении ресурсы:
1) финансовые ресурсы;
2) материальные ресурсы (оборудование и т.п.);
3) людские ресурсы;
4) информационные ресурсы;
5) временные ресурсы.
Любая организация, вне зависимости от её назначения, может быть описана с помощью ряда параметров, среди которых главными являются: цели организации, её организационная структура, внешняя и внутренняя среда, совокупность ресурсов, нормативная и правовая основа, специфика процессов функционирования, система социальных и экономических отношений, организационная культура. Каждая организация имеет свою систему управления, которая также является предметом исследования.
Управление – это процесс распределения и движения указанных выше видов ресурсов в организации с заранее заданной целью по заранее разработанному стратегическому плану с непрерывным контролем результатов работ.
Система управления – это совокупность действий, определяющих направление управленческой деятельности. Структурно процесс управление представлен на рис. 1.1

Система управления должна отвечать современным рыночным условиям (8):
- обладать высокой гибкостью производства, позволяющей быстро изменять ассортимент изделий (услуг);
- быть адекватной сложной технологии производства, требующей совершено новых видов контроля, организации и разделения труда;
- учитывать серьёзную конкуренцию на рынке товаров и услуг, в корне изменившую требования к качеству продукции, потребовавшую организовать послепродажное обслуживание и дополнительные фирменные услуги;
- учитывать требования к уровню качества обслуживания потребителей и времени выполнения договоров, которые стали слишком высокими для традиционных производственных систем и механизмов принятия решений.
- учитывать изменение структуры издержек производства;
- принимать во внимание необходимость учёта неопределённости внешней среды.
Процесс управления предусматривает согласованные действия, которые обеспечивают осуществление общей цели или набора целей, стоящих перед организацией. Для координации действий должен существовать специальный орган, реализующий функцию управление. Поэтому в любой организации выделяется управляемая и управляемые части. Схема взаимодействия между ними показана на рис. 1.2 (7)
Часть деловой организации, реализующая функции управления, состоит из многих взаимодействующих звеньев и представляет собой управляющую систему, обеспечивающую в рамках организации выполнение ряда специфических функций. На сегодня одним из основных принципов построения любых систем является иерархия. В современной теории организации понятие «иерархия» применяется, в основном, для отражения вертикального подчинения между различными уровнями управление организацией: иерархией властных полномочий, иерархией функций и функциональных обязанностей - соответственно подчинение по службе, функциональное подчинение.
Современный тип иерархической структуры управления имеет много разновидностей. Их можно условно разделить на два вида: бюрократической и органические типы структур управления. Приведем краткую характеристику основных организационных структур.
1.2. Иерархические типы структур управления
Структуры управления на многих современных предприятиях были построены в соответствии с принципами управления, сформулированными еще в начале ХХ века. Наиболее полную формулировку этих принципов дал немецкий социолог Макс Вебер (концепция рациональной бюрократии):
- принцип иерархичности уровней управления, при котором каждый нижестоящий уровень контролируется вышестоящим и подчиняется ему;
- вытекающий из него принцип соответствия полномочий и ответственности работников управления месту в иерархии;
- принцип разделения труда на отдельные функции и специализации работников по выполняемым функциям; принцип формализации и стандартизации деятельности, обеспечивающий однородность выполнения работниками своих обязанностей и скоординированность различных задач;
- вытекающий из него принцип обезличенности выполнения работниками своих функций;
- принцип квалификационного отбора, в соответствии с которым найм и увольнение с работы производится в строгом соответствии с квалификационными требованиями.
Организационная структура управление, построенная в соответствии с этими принципами, получила название иерархической или бюрократической структуры.
Распространенным типами такой структуры является: линейно - функциональная (линейная структура), линейно-штабная организационная структура управления, дивизионная
Линейная организационная структура
Основы линейных структур составляет так называемый "шахтный" принцип построения и специализация управленческого процесса по функциональным подсистемам организации (маркетинг, производство, исследования и разработки, финансы, персонал и т. д. ). По каждой подсистеме формируется иерархия служб ("шахта"), пронизывающая всю организацию сверху донизу (см. рис. 1.3.). Результаты работы каждой службы оцениваются показателями, характеризующими выполнение ими своих целей и задач. Соответственно строится и система мотивации и поощрения работников. При этом конечный результат (эффективность и качество работы организации в целом) становится как бы второстепенным, так как считается, что все службы в той или иной мере работают на его получение.
Достоинства линейной структуры:
- четкая система взаимных связей функций и подразделений;
- четкая система единоначалия - один руководитель сосредотачивает в своих руках руководство всей совокупностью процессов, имеющих общую цель;
- ясно выраженная ответственность; быстрая реакция исполнительных подразделений на прямые указания вышестоящих
Недостатки линейной структуры:
- отсутствие звеньев, занимающихся вопросами стратегического планирования; в работе руководителей практически всех уровней оперативные проблемы ("текучка") доминирует над стратегическими;
-
![]() |
Рис. 1.3. Линейная структура управление
- тенденция к волоките и перекладыванию ответственности при решении проблем, требующих участия нескольких подразделений;
- малая гибкость и приспособляемость к изменению ситуации;
- критерии эффективности и качества работы подразделений и организации в целом - разные;
- тенденция к формализации оценки эффективности и качества работы подразделений приводит обычно к возникновению атмосферы страха и разобщенности;
- большое число "этажей управления" между работниками, выпускающими продукцию, и лицом, принимающим решение;
- перегрузка управленцев верхнего уровня;
- повышенная зависимость результатов работы организации от квалификации, личных и деловых качеств высших управленцев.
Линейно - штабная организационная структура
Такой вид организационной структуры является развитием линейной и призван ликвидировать ее важнейший недостаток, связанный с отсутствием звеньев стратегического планирования. Линейно - штабная структура включает в себя специализированные подразделения (штабы), которые не обладают правами принятия решений и руководства какими - либо нижестоящими подразделениями, а лишь помогают соответствующему руководителю в выполнении отдельных функций, прежде всего, функций стратегического планирования и анализа. В остальном эта структура соответствует линейной (Рис.1.4 ).

Рис. 1.4 Линейно - штабная структура управления
Достоинства линейно - штабной структуры:
- более глубокая, чем в линейной, проработка стратегических вопросов;
- некоторая разгрузка высших руководителей;
- возможность привлечения внешних консультантов и экспертов;
- при наделении штабных подразделений правами функционального руководства такая структура - хороший первый шаг к более эффективным органическим структурам управления.
Недостатки линейно - штабной структуры:
- недостаточно четкое распределение ответственности, т. к. лица, готовящие решение, не участвуют в его выполнении;
- тенденции к чрезмерной централизации управления;
- аналогичные линейной структуре, частично - в ослабленном виде.
Дивизионная структура управления
Уже к концу 20-х годов стала ясна необходимость новых подходов к организации управления, связанная с резким увеличением размеров предприятий, диверсификацией их деятельности (многопрофильностью ), усложнением технологических процессов в условиях динамически меняющегося окружения. В связи с этим стали возникать дивизионные структуры управления, прежде всего в крупных корпорациях, которые стали предоставлять определенную самостоятельность своим производственным подразделениям, оставляя за руководством корпорации стратегию развития, научно - исследовательские разработки, финансовую и инвестиционную политику и т. п. В этом типе структур сделана попытка сочетать централизованную координацию и контроль деятельности с децентрализованным управлением. Пик внедрения дивизионных структур управления пришелся на 60 - 70-е годы (рис. 1.5).
Ключевыми фигурами в управлении организациями с дивизионной структурой являются уже не руководители функциональных подразделений, а менеджеры, возглавляющие производственные отделения (дивизионы). Структуризация по дивизионам, как правило, производится по одному из критериев: по выпускаемой продукции (изделиям или услугам) - продуктовая специализация; по ориентации на определенные группы потребителей - потребительская специализация; по обслуживаемым территориям - региональная специализация. В нашей стране аналогичные структуры управления широко внедрялись, начиная с 60-х годов в форме создания производственных объединений.
Достоинства дивизионной структуры:
- она обеспечивает управление многопрофильными предприятиями с общей численностью сотрудников порядка сотен тысяч и территориально удаленными подразделениями;
- обеспечивает большую гибкость и более быструю реакцию на изменения в окружении предприятия по сравнению с линейной и линейно - штабной;
- при расширении границ самостоятельности отделений они становятся "центрами получения прибыли", активно работая на повышении эффективности и качества производства;
- более тесная связь производства с потребителями.
Недостатки дивизионной структуры:
- большое количество "этажей" управленческой вертикали; между рабочими и управляющим производством подразделения - 3 и более уровня управления, между рабочими и руководством компании - 5 и более;
- разобщенность штабных структур отделений от штабов компании;
- основные связи - вертикальные, поэтому остаются общие для иерархических структур недостатки - волокита, перегруженность управленцев, плохое взаимодействие при решении вопросов, смежных для подразделений и т. д. ;
- дублирование функций на разных "этажах" и как следствие - очень высокие затраты на содержание управленческой структуры
- в отделениях, как правило, сохраняется линейная или линейно - штабная структура со всеми их недостатками.

Рис. 1.5 Дивизионная структура управления
1.3. Органические типы структур управления
Органические или адаптивные структуры управления стали развиваться примерно с конца 70-х годов, когда, с одной стороны, создание международного рынка товаров и услуг резко обострило конкуренцию среди предприятий и жизнь потребовала от предприятий высокой эффективности и качества работы и быстрой реакции на изменения рынка, и с другой стороны, стала очевидной неспособность структур иерархического типа этим условиям соответствовать. Главным свойством управленческих структур органического типа является их способность изменять свою форму, приспосабливаясь к изменяющимся условиям. Разновидностями структур этого типа являются проектные, матричные (программно-целевые), бригадные формы структур. При внедрении этих структур необходимо одновременно изменять и взаимоотношения между подразделениями предприятия. Если же сохранять систему планирования, контроля, распределения ресурсов, стиль руководства, методы мотивации персонала, не поддерживать стремление работников к саморазвитию, результаты внедрения таких структур могут быть отрицательными.
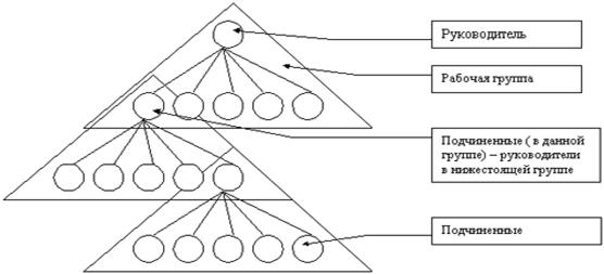
Бригадная (кросс - функциональная) структура управления
Основой этой структуры управления является организация работ по рабочим группам (бригадам). Форма бригадной организации работ - достаточно древняя организационная форма, достаточно вспомнить рабочие артели, но только с 80-х годов началось ее активное применение как структуры управления организацией, во многом прямо противоположной иерархическому типу структур. Основными принципами такой организации управления являются:
- автономная работа рабочих групп (бригад);
- самостоятельное принятие решений рабочими группами и координация деятельности по горизонтали;
- замена жестких управленческих связей бюрократического типа гибкими связями;
- привлечение для разработки и решения задач сотрудников разных подразделений.
Эти принципы разрушает свойственное иерархическим структурам жесткое распределение сотрудников по производственным, инженерно-техническим, экономическим и управленческим службам, которые образуют изолированные системы со своими целевыми установками и интересами.
В организации, построенной по этим принципам, могут как сохраняться функциональные подразделения ( рис. 1.6), так отсутствовать (рис. 1.7). В первом случае работники находятся под двойным подчинением - административным (руководителю функционального подразделения, в котором они работают) и функциональным (руководителю рабочей группы или бригады, в которую они входят). Такая форма организации называется кросс-функциональной, во многом она близка к матричной. Во втором случае функциональные подразделения как таковые отсутствуют, ее мы будем назвать собственно бригадной. Такая форма достаточно широко применяется в организации управления по проектам.
Преимущества бригадной (кросс-функциональной) структуры:
- сокращение управленческого аппарата, повышение эффективности управления;
- гибкое использование кадров, их знаний и компетентности;
- работа в группах создает условия для самосовершенствования;
- возможность применения эффективных методов планирования и управления;
- сокращается потребность в специалистах широкого профиля.

Рис. 1.6 Кросс - функциональная организационная структура
Недостатки бригадной (кросс-функциональной) структуры:
- усложнение взаимодействия (в особенности для кросс-функциональной структуры);
- сложность в координации работ отдельных бригад;
- высокая квалификация и ответственность персонала;
- высокие требования к коммуникациям.

Рис. 1.7 Структура организации, состоящей из рабочих групп (бригадная)
Проектная структура управления
Основным принципом построения проектной структуры является концепция проекта, под которым понимается любое целенаправленное изменение в системе, например, освоение и производство нового изделия, внедрение новых технологий, строительство объектов и т. д. Деятельность предприятия рассматривается как совокупность выполняемых проектов, каждый из которых имеет фиксированное начало и окончание. Под каждый проект выделяются трудовые, финансовые, промышленные и т. д. ресурсы, которыми распоряжается руководитель проекта. Каждый проект имеет свою структуру, и управление проектом включает определение его целей, формирование структуры, планирование и организацию работ, координацию действий исполнителей. После выполнения проекта структура проекта распадается, ее компоненты, включая сотрудников, переходят в новый проект или увольняются (если они работали на контрактной основе). По форме структура управления по проектам может соответствовать как бригадной (кросс-функциональной) структуре, так и дивизионной структуре, в которой определенный дивизион (отделение) существует не постоянно, а на срок выполнения проекта.
Преимущества структуры управления по проектам:
- высокая гибкость;
- сокращение численности управленческого персонала по сравнению с иерархическими структурами.
Недостатки структуры управления по проектам:
- очень высокие требования квалификации, личным и деловым качествам руководителя проекта, который должен не только управлять всеми стадиями жизненного цикла проекта, но и учитывать место проекта в сети проектов компании;
- дробление ресурсов между проектами;
- сложность взаимодействия большого числа проектов в компании;
- усложнение процесса развития организации как единого целого.
Вывод: преимущества перевешивают недостатки на предприятиях с небольшим числом одновременно выполняемых проектов. Возможности воплощения принципов современной философии качества определяются формой управления проектами.
Матричная (программно - целевая) структура управления
Такая структура представляет собой сетевую структуру, построенную на принципе двойного подчинения исполнителей: с одной стороны - непосредственному руководителю функциональной службы, которая предоставляет персонал и техническую помощь руководителю проекта, с другой - руководителю проекта или целевой программы, который наделен необходимыми полномочиями для осуществления процесса управления. При такой организации руководитель проекта взаимодействует с 2-мя группами подчиненных: с постоянными членами проектной группы и с другими работниками функциональных отделов, которые подчиняются ему временно и по ограниченному кругу вопросов. При этом сохраняется их подчинение непосредственным руководителям подразделений, отделов, служб. Для деятельности, которая имеет четко выраженное начало и окончание, формируют проекты, для постоянной деятельности - целевые программы. В организации и проекты, и целевые программы могут сосуществовать. Пример матричной программно - целевой структуры управления (фирма "Тойота") приведен на рис. 1.8. Эта структура была предложена Каори Ишикава в 70-х годах и с небольшими изменениями функционирует по сей день не только на фирме "Тойота", но и на многих других фирмах по всему миру.
Преимущества матричной структуры:
- лучшая ориентация на проектные (или программные) цели и спрос;
- более эффективное текущее управление, возможность снижения расходов и повышения эффективности использования ресурсов;
- более гибкое и эффективное использование персонала организации, специальных знаний и компетентности сотрудников;
- относительная автономность проектных групп или программных комитетов способствует развитию у работников навыков принятия решений, управленческой культуры, профессиональных навыков;
- улучшение контроля за отдельными задачами проекта или целевой программы;
- любая работа организационно оформляется, назначается одно лицо - "хозяин" процесса, служащее центром сосредоточения всех вопросов, касающихся проекта или целевой программы;
- сокращается время реакции на нужды проекта или программы, т. к. созданы горизонтальные коммуникации и единый центр принятия решений.
Недостатки матричных структур:
- трудность установления четкой ответственности за работу по заданию подразделения и по заданию проекта или программы (следствие двойного подчинения);
- необходимость постоянного контроля за соотношением ресурсов, выделяемых подразделениям и программам или проектам;
- высокие требования к квалификации, личным и деловым качествам работников, работающих в группах, необходимость их обучения;
- частые конфликтные ситуации между руководителями подразделений и проектов или программ;
- возможность нарушения правил и стандартов, принятых в функциональных подразделениях, из-за оторванности сотрудников, участвующих в проекте или программе, от своих подразделений.
1.4. Структура управление ООО «Алена»
Попробуем, без претензий на полноту исследования в силу сложности взаимосвязей и взаимозависимостей, применить теоретические положения применить к предприятию ООО «Алена».
1.4.1 История предприятия
Это кафе в небольшом провинциальном городе Н-ск. Город Н-ск расположен недалеко от областного центра Челябинской области. Кафе было создано на базе бывшей диетической столовой, существующей на первом этаже двухэтажного дома со дня его строительства в середине 50-х годов.
Долгие социалистические годы жители города добывали уголь, получали относительно высокую заработную плату. Свои «кровные» рубли по вечерам они несли в рестораны «Шахтёр» и «Урал», оставляли их в немногочисленных «ветерках». Эти два типа питейных заведений с небольшой добавкой к питию нескольких простых блюд других услуг не оказывали.
Проведённые для блага народа экономические и политические реформы резко снизили уровень жизни жителей города. Ресторан «Урал» не выдержал «безклиентского» существования, на его площадях в настоящее время работает несколько магазинов. Диетическая столовая стала не рентабельной, некоторое время пыталась выстоять, но затем была закрыта.
Но в последние годы обнаружилось небольшое оживление. В городе сложились группы людей обладающие относительно высоким уровнем достатка, желающие хорошо отдохнуть, провести время в вечерние время, выходные дни.
Площади бывшей диетической столовой были приобретены предпринимателем Сергеем Р. Помещения были отремонтированы, установлено новое оборудование, набран персонал. Кафе начало свою работу 8 августа 2002 года. Основной расчёт проводился на клиентов, имеющих доход выше среднего по городу, средней возрастной группы.
1.4.2 Структура управление предприятием.
Общество с ограниченной ответственностью «Алена» является юридически независимым лицом, однако экономически таковым не является. Его учредителями являются Сергей и Алёна Р. В собственности этой семьи имеются ещё три предприятия: ООО «Лес», ООО «Комбинат бытовых услуг», ООО «Джи-бар». Последнее общество – это бывший ресторан «Шахтер». Он приобретён для предоставления более дорогих услуг, в сравнении с ООО «Алена», в сфере отдыха и рассчитан на клиентов, имеющих по понятиям города Н-ска высокий уровень достатка. В настоящее время предложения качественных услуг в сфере отдыха и развлечений такого рода клиентам в городе отсутствует. В помещениях «Джи-бара» вёдется ремонт, установка нового оборудования, возможно летом 2003 года он начнёт свою деятельность.
Все предприятия взаимосвязаны и взаимозависимы финансовыми и материальными потоками. Естественно, что руководители холдинга ставят перед ним более общие задачи, чем перед конкретными предприятиями, входящим в холдинг.
Эта структура управления холдингом является линейно-штабной. Она для ООО «Алена» является в определённой мере внешней, хотя и управляемой со стороны руководителя холдинга
С момента своего открытия оказывает своим клиентам следующие услуги:
- проводятся свадьбы, юбилейные торжества, торжественные мероприятия для различных предприятий и фирм;
- проводятся вечера отдыха для небольших групп клиентов (приходят отдохнуть и провести вечер семьей и с друзьями, отметить день рождения узким кругом друзей и близких);
- для небольших компаний имеется банкетная комната, где можно отдохнуть в уютной о теплой обстановке;
в выходные дни на небольшой площадке играет в «живую» оркестр.
![]() |
Клиентам подается
- пиво 8-10 сортов;
- вино-водочные напитки;
- самые разнообразные холодные и некоторые горячие закуски;
- кондитерские изделия, конфеты, шоколад;
- горячие вторые, реже, по заказам клиентов первые блюда.
Меню торжественных мероприятий оговаривается отдельно и практически целиком определяется желанием клиентов. Часть блюд и продуктов закупается и подается в готовом виде или после подогрева, часть готовится на кухне заведения.
Это список услуг, меню кафе были продуманы заранее ещё до при приобретения диетической столовой. Они по сути и определили структуру управление предприятием. Другим фактором повлиявшим на управленческую структуру было понимание миссии предприятия. В настоящее время понятие миссии кафе «Балог» явным образом не сформулирована и до работников предприятия не доведена. Однако реально она существует в понимании и отношениях к персоналу, клиентам, к технологии управление обществом. Для понимания миссии предприятия был проведен опрос ключевых руководителей Общества, Сергея и Алёны Р. Вот как они её видят:
Сергей Р.: Предприятие создано и работает для получения прибыли через качественное предоставление услуг клиентам.
Алена Р.: Миссия предприятия в том, чтобы «скрасить досуг людей, живущих в нашем городе. В городе мало мест, где люди могут полноценно отдохнуть. Необходимо сделать все, чтобы ожидания людей оправдались»
Уже на уровне миссии предприятия заложены определённые противоречия в фундаменте предприятия: предоставление полноценного отдыха по приемлемой цене для клиентов может привести к убыточности в работе предприятия, стремление к прибыльности, в том числе за счет снижения затрат, может привести к снижению качества обслуживания, снижению качества отдыха.
![]() |
Указанный комплекс факторов привел к формированию такой структуры линейной структуры управления ООО «Алена» (см. рис. 1.9.). Следует добавить, что должность администратора, бухгалтера и экспедитора исполняет одни человек – Алёна Р. В этом совмещении, возможно, отражается стремление минимизировать расходы общества, работать с большей прибылью. Однако, совмещать три различных функции в одном лице достаточно трудно. На наш взгляд необходимо разделить три функции, бухгалтер должна заниматься непосредственно бухгалтерией, а функции администратора и экспедитора возможно совмещать в одном лице. Это одно из предложений по развитию системы управление обществом, о котором будет сказано ниже.
Под указанный комплекс услуг было приобретено и установлено оборудование (см. табл. 1.1), общей стоимостью свыше 40 тысяч рублей.
К настоящему моменту времени клиентская база более-менее установилась, стабилизировались внешние связи (см. рис. 1.10) и внутренние взаимодействия.
Внутренние взаимодействия выстроены таким образом, чтобы максимально (при выполнении ограничений о которых было сказано выше) быстро и качественно выполнять заказы клиентов, удовлетворять требованиям контролирующих органов, расплачиваться с монополистами.
Таблица 1.1
Оборудование ООО «Алена»
| № п.п. |
Тип оборудования |
Количество |
Назначение, виды продукции |
| 1. |
Электролита |
1 |
Первые и вторые блюда |
| 2. |
Жарочный шкаф |
1 |
Кондитерские изделия |
| 3. |
Фритюрница |
1 |
Пельмени, блюда из овощей, картофеля |
| 4. |
Микроволновая печь |
1 |
Быстрое изготовление блюд из полуфабрикатов и подогрев готовых блюд. |
| 5. |
Миксер |
1 |
Соусы, напитки |
| 6. |
Электрический чайник |
2 |
Горячая вода для кофе, чая |
В качестве примера можно привести информационную цепочку работы с клиентом заказывающим небольшое мероприятия (день рождения, свадьба узким кругом друзей, юбилейные торжества у какой-либо фирмы и некоторые другие массовые мероприятия, заказ на которые поступает за несколько дней до самого мероприятия).

Клиента встречает официант. Он знает, какой имеется базовый набор блюд, напитков, что может приготовить дополнительно производственный отдел. В ходе переговоров стороны согласуют список блюд и напитков. Официант ставит в известность своего непосредственного руководителя - бармена и администратора о поступившем заказе, а также, справочно, повара – руководителя производственного отдела. Администратор (иногда бармен) ставит задачу перед руководителем производственного отдела, вместе сверяют наличие продуктов, напитков и сроки поставки тех, что отсутствуют. Эта полученная от администратора информация является для повара фактически приказом к исполнению. В дальнейшем информацию о потребности клиента повар может уточнить у официанта, но для этого уже не потребуется дополнительного распоряжения администратора или директора Обмен устанавливается на горизонтальном уровне: клиент – официант – повар – экспедитор – поставщик требуемого продукта (напитка).
Одновременно администратор ставит в известность директора о мероприятии, и уже как бухгалтер готовит платежные поручения для оплаты закупаемых продуктов и напитков. Директор ставит задачу перед охраной, даёт распоряжение на проведение оплаты продуктов, напитков.
При работе с текущими клиентами. Информационные связи упрощаются. Они имеют горизонтальный характер: посетитель заказывает имеющиеся в наличии блюда и напитки у официанта или бармена, заказ исполняется из продуктов и напитков в баре, горячие блюда и некоторые закуски заказываются в производственном отделе. При этом бармен контролирует качество и своевременность исполнения заказов официантом. Официант при необходимости может дать команду охране на удалении из бара слишком расшумевшегося посетителя, или по «тревожной» кнопке вызвать милицию, когда с ситуацией охрана может не справиться (что бывает крайне редко) становится не
Сложившаяся система управления близко напоминает линейно-функциональную с присущими для неё достоинствами и недостатками. Она нацелена на выполнение постоянно повторяющихся рутинных задач, не требующих оперативного принятия решений. Все службы имеют в своём составе специалистов высокой квалификации, выполняющих в зависимости от возложенных на них задач конкретные виды деятельности. Некоторые присущие этой структуре управление в ООО «Алена» такие как: длительная процедура принятия решений, возникновение конфликтов из-за несогласия с директивами, так как каждый функциональный руководитель ставит свои вопросы на первое место, практически отсутствуют. Это связано с тем, что коллектив ООО «Алена» небольшой, все структурные элементы управления прозрачны и легко взаимодействуют друг с другом..
Однако серьезной проблемой становится по мере увеличения числа клиентов нагрузка на администратора –бухгалтера -экспедитора. Алёна Р., исполняющая все эти роли, сильно устает, не всегда справляется некоторыми возложенными на неё обязанностями.
2. Уточнение целей системы и выбор критериев эффективности
В процессе проектирования организационных систем целесообразно ориентироваться на такие понятия , как официальные, оперативные и операционные цели.
Официальные цели соответствуют общему назначению, миссии стратегическим замыслам организации, они характеризуют внешнюю направленность организации, перспективы её развития и защитные функции. Эти цели содержатся в уставе организации, отражаются в рекламе и официальных изданиях и используются при создании имиджа организации.
Оперативные цели соответствуют текущему моменту деятельности организации и тому, что на самом деле занимается организация. Эти цели отличаются внутренней направленностью, мобилизацией ресурсов и отражаются в планах работы организации.
Операционные цели характеризуются конкретизацией и детализацией задач, более чётки распределением функциональных обязанностей, контролем за исполнительской дисциплиной, возможностью изменения параметров.
Эта классификация позволяет выделить необходимые цели-ориентиры той последовательности, которая наилучшим образом способствует достижению главной цели организации.
![]() |
После разработки развёрнутой во времени последовательности целей ориентиров необходимо определить стратегическую концепцию организации. Правильный выбор стратегии позволяет перейти к следующему этапу организационного проектирования – к созданию организационной структуры. На рис. 2.1 показана последовательность действий перехода от цели организации к организационной структуре управления с последующей оценкой эффективности построения этой структуры (9).
Выполнение всех этапов организационного проектирования должно сопровождаться экономическим анализом, учитывающим как ресурсные возможности организации, так и потребности внешней среды. Поскольку проектирование организации определяет её будущее и последовательность её развития, все этапы проектирования предусматривают проведение вычислительных экспериментов с использованием процедур моделирования. В частности, цель, определяемая на первом этапе проектирования, - это исходная модель будущего состояния организации. Другие элементы модели организации могут быть представлены в виде развёрнутого алгоритма. Отражающего последовательность действий на этапах организационного проектирования (см. рис. 2.2).
Анализ результатов проведенного опроса руководителей холдинга Сергея и Алены Р. (литературы по проведению опросов в настоящее время достаточно много публикуется, можно привести 10, 11) показал, что существует несколько целей работы всего холдинга в целом и отдельных его составляющих, в частности ООО «Алена». Иерархию целей можно представить следующим образом:
1. Для всего холдинга в целом главной целью является: всемерное возрастание финансовых и материальных ресурсов холдинга, роста его влияния на социально-экономическую жизнь в городе Н-ске.
2. Для ООО «Джи-бар» и ООО «Алена». Стать лучшими в городе заведениями для хорошего полноценного отдыха, занять основную долю рынка в этой сфере.
3. Для ООО «Алена». Предоставить полноценный отдых людям, имеющим средний достаток и немного выше среднего, при сохранении хорошего уровня рентабельности и прибыльности.
Таким образом, указанные цели организации ООО «Алена» можно свести к количественным показателям: среднемесячное количество клиентов, посетившее кафе, объем полученной прибыли. Эти два показателя в какой-то мере противоречат друг другу. Необходимо при дальнейшем проектировании системы управление это момент учитывать.
3. Исследование и проектирование функций управления
Исследование и проектирование функций управления является наиболее трудоемкой задачей, особенно в условиях переходного периода, так как любое их изменение приводит к изменению структуры управления. Выделение функций управления вызвано ещё и многообразием управленческой деятельности, то есть процессами принятия решения. Поскольку каждая отдельная функция характеризует специфическую управленческую деятельность, то совокупность таких функций позволяет формировать конкретную систему управления. На современном

этапе у учёных нет единого мнения о трактовке и содержании функций управление.
Дадим определение (8). Функция управления – это однородный вид деятельности, объективно необходимый для реализации целей функционирования и выделенный по определенному признаку. Выделяются общие и специфические функции управления
К общим функциям управления относятся: планирование, организация, регулирование, контроль, учёт, т.е. те функции, которые характеризуют процесс управления.
К специфическим функциям относят управление:
- основными производственными процессами;
- вспомогательными и обслуживающими процессами;
- оперативное (производством);
- технической подготовкой производства;
- сбытом продукции и др.
Поскольку для ООО «Алена» главные количественно сформулированные цели: увеличение числа клиентов, желающих получить полноценный отдых в кафе и прибыльности предприятия. То для реализации этих целей необходимо удовлетворять требованиям клиентов. Для выяснения требований проводился опрос посетителей кафе. Выяснилось клиентов хотят:
1. посидеть в уютной теплой обстановке;
2. вкусно поесть качественно приготовленные блюда, пить некрепкие спиртные напитки (пиво, сухие вина);
3. чувствовать себя в безопасности;
4. получить вежливое и приятное обслуживание.
Отсюда выстраиваются следующие цепочки:
№ п.п. |
Функция |
Исполнитель |
Кто контролирует |
| 1. |
Принятие заказа от клиента |
Официант, бармен |
Бармен, администратор |
| 2. |
Передача заказа в производственный отдел (на кухню) |
Официант, бармен |
администратор |
| 3. |
Изготовление заказанного блюда |
Повар |
Официант, бармен |
| 4. |
Подача блюда клиенту |
Официант |
Бармен |
| 5. |
Наблюдение за безопасностью клиентов |
Охранник |
Официант, бармен, администратор |
Для обеспечения кафе продуктами и напитками выполняются следующие действия:
№ п.п. |
Функция |
Исполнитель |
Кто утверждает, контролирует |
| 1. |
Составление меню, списка необходимых продуктов и напитков |
Официант, бармен по заказам клиентов |
Администратор |
| 2. |
Передача списка продуктов в бухгалтерию |
Официант, бармен |
Администратор |
| 3. |
Оплата продуктов и напитков |
Бухгалтер |
Директор |
| 4. |
Получение продуктов и напитков от поставщиков |
Водитель, экспедитор |
Администратор |
| 5. |
Складирование продуктов и напитков |
Экспедитор, помощник повара |
Администратор |
Взаимодействие с предприятиями поставляющими электроэнергию, воду, тепло, контролирующими организациями при необходим осуществляет директор, с налоговой инспекцией бухгалтер. Платежи в эти инстанции готовит бухгалтер по распоряжению директора и под его контролем, за его первой подписью.
Анализ этих управленческих функций показывает:
1. явную перегруженность администратора (напомню, что функции администратора, бухгалтера и экспедитора выполняет одно лицо – Алёна Р.).
2. отсутствует отдел (или физическое лицо) планомерно работающее с клиентами, изучающие их потребности, вкусы, планирующие какие-либо мероприятия. Официанты заняты текущей работой по обслуживанию клиентов. Администратор и так перегружен. В функции бармена это не входит.
3. В городе пока отсутствует предложения такого рода. Для ООО «Алена» ситуация достаточно благоприятная, чтобы провести анализ своей работы, подготовить стратегию своего развития.
4. Присутствие ООО «Алена» в структуре холдинга создаёт дополнительные преимущества: это обмен клиентами. Зачастую после получения услуг «банно прачечного характера» клиенты продолжают отдых в кафе «Алена». Чаще бывает наоборот. Клиенты кафе едут продолжать отдых на «Комбинат бытовых услуг». В целом это взаимосвязь повышает прибыльность холдинга. Даёт возможность его руководству располагать большими ресурсами для осуществления изменений с целью улучшения работы ООО «Алена», адаптации его деятельности к текущим и ожидаемым требованиям рынка.
4. Исследование и проектирование структуры управления.
![]() |
Как уже было отмечено выше коллектив ООО «Алена» достаточно успешно справляется с возложенными на него задачами. Однако перегруженность администратора позволяет не всегда успешно обеспечивать продуктами и напитками кафе, замедляется процесс подготовки платежей, не всегда вовремя производится закуп необходимых продуктов. Столь большой объем работы, выполняемый Аленой Р., не позволяет ей полноценно играть роль штаба для реализации главной цели холдинга. Для работы по достижению этой цели требуется, передать часть функций другим сотрудникам ООО «Алена», дополнительно принять одного-двух специалистов. Кроме того нужно начать более планомерно работать с клиентами, изучать их вкусы, потребности, проводить рекламные компании, начать PR-работу. Функции продвижения кафе, изучения клиентов следует взять на себя Алёне Р. Функции администратора и экспедитора следует передать одному из опытных сотрудников, желательно из официантов. Так как официанты хорошо знают своих клиентов, имеют опыт общения с ними и могут передавать опыт работы с ними вновь принятым на работу официантам. Официант хорошо разбирается в качестве продуктов, может работать как экспедитор.
С учетом высказанных предложений структура управления ООО «Алена» будет выглядеть следующим образом (см. рис. 4.1.)
Данная структура управление на наш взгляд боле полно отвечает целям и задачам строительства холдинга его главной цели, а также целям ООО «Алена»: предоставить полноценный отдых людям, имеющим средний достаток и немного выше среднего, при сохранении хорошего уровня рентабельности и прибыльности. При такой структуре управление администратор сможет сосредоточится на приемё клиентов, при необходимости сможет поддержать с ними беседу, создать уютную обстановку, контролировать работу официантов и бармена. В случае отсутствия администратор делегирует свои функции бармену. В дневные часы, когда посетителей в кафе немного, администратор сможет исполнять функции экспедитора. Такая структура управления повысить контроль за работой официантов, позволит лучше их настраивать на вежливое предупредительное отношение с посетителями. При необходимости администратор сможет подстраховать официантов, если при большом наплыве посетителей им потребуется помощь.
Другим серьезным достоинством предложенной структуры управления является её больше соответствии основной цели холдинга. В настоящее время руководство им осуществляется Сергеем Р. В силу большой загруженности Алена Р. не в состоянии оказывать ему действенную помощь в анализе ситуации, внутри и вне холдинга, осуществлять содействие в сборе такой информации. При таком положении Сергей Р. принимает решения без детального обсуждения, без здоровой критики и анализа. Как известно в таких ситуациях велика вероятность принятия ошибочного решения.
Следует отметить высокий уровень руководства холдингом, при прохождении теста «Эффективность руководства»(10) Сергей Р. набрал 35 баллов из 40 возможных, Алёна Р. – 32 балла. Хорошим считается результат от 30 баллов и выше.
5. Исследование роли человеческого фактора.
В целом в коллективе ООО «Алена» сложились рабочие дружественные отношения. Это не в последнюю очередь связано с ценностными ориентирами руководителей фирмы. Проведенный опрос показал, что не смотря на постановку одной из главных целей для ООО «Алена» получение максимальной прибыли, тем не менее директор осознаёт, что она может быть достигнута через качественное обслуживание клиентов, создание определённой атмосферы вокруг и внутри «Аленаа». С февраля месяца текущего года в выходные праздничные дни в кафе работает «живой» оркестр. Это сильно повысило имидж ООО и его руководителей.
Показательны ответы официантов на вопросы анкеты (10):
1. Чего я хочу добиться в жизни?
2. Чего я хочу сделать в ближайшие три года?
3. Если бы я знал(ла) , что ровно через полгода меня не будет , чтобы я хотел(а) успеть сделать?
Ответы на первый вопрос были следующие: быть счастливым, иметь крепкую дружную семью, детей иметь и хорошую работу.
Ответы на второй вопрос также был единодушными: закончить институт, поступить или продолжить учёбу в институте.
Ответ на третий вопрос был следующим: уделить внимание родителям, семье, помогать друзьям.
С небольшими вариациями с поправкой на возраст (официанты – молодые девушки, 20-22 лет) такие же ответы были даны руководителями фирмы и охранниками. Это говорит о хорошем совпадении ценностных установках как у руководителей фирмы, так и персонала.
Однако не всё так гладко. Тестирование сотрудников по уровню «Мотивации к успеху» дало следующие результаты (см. табл. 5.1.)
Таблица 5.1
Уровень мотивации
| № п.п. |
Занимаемая должность |
Число набранных баллов |
| 1. |
Директор |
24 |
| 2. |
Администратор |
13 |
| 3. |
Бармен |
15 |
| 4. |
Официантка 1 |
19 |
| 5. |
Официантка 2 |
11 |
| 6. |
Охранник |
12 |
При этом 1-10 баллов – низкая мотивация к успеху, 11-16 средний уровень мотивации, 17-20 умеренно высокий, свыше 21 балла высокий уровень мотивации к успеху. Таким образом, одна из официанток более мотивирована может трудится и возможно хотела бы выйти и под опеки бармена. В другом тесте на «Эффективность руководства» бармен набрал несколько меньше баллов, чем официантка 1 (24 против 29).
По результатам тестирования можно осторожно выразить следующее предложение: при внесении предложенных изменений в структуру управления на место администратора следует назначить официантку 1.
Заключение
Выполнив данную работу я пришла к выводу, что действия по разрешению проблем связанных со структурой необходимо предпринимать как можно раньше. Хотя обычно никто не считает, что дело крайне срочное - организация, в конце концов, довольно успешно работала в течение последнего года или двух, и поэтому вполне могут перебиться и на протяжении нескольких следующих месяцев, до того момента, когда новая услуга будет предоставлена, или когда будет решен вопрос ее распределения по рынкам в области и за её пределами. Даже те, кто думает, что проблемы важны и требуют времени и усилий по серьезному пересмотру структуры и взаимоотношений в организации, не стали бы утверждать, что это нужно делать немедленно. Это - общая характеристика проблем структуры: они являются хроническими, но не острыми. Вы всегда можете мириться с ними еще некоторое время, если нужно, в тайне надеясь, что за этот срок они ослабнут или исчезнут совсем. На самом деле хуже всего то, что момент никогда не будет казаться подходящим для того, чтобы взяться за решение этих проблем. В соответствующее время порождаемые проблемы и напряженность станут неизбежными факторами жизни, в отношении которых было бы наивно предполагать, что с ними можно что-то сделать.
В настоящей работе, чтобы не тянуть с организационными изменениями в ООО «Алена», сделана первая попытка анализа его структуры управления и предложен вариант новой структуры управления.
Принять или не принять новую структуры зависит от директора фирмы. Это его право. С моей же стороны можно сказать я сделал всё, что могла, я предложила новую, на мой взгляд более гибкую и органичную структуру управления. Она потребует несколько больших затрат на выполнение управленческих функций. Но существенно повысит эффективность деятельности ООО «Алена». В настоящей работе не рассмотрена экономическая оценка это может быть сделана в рамках дипломной работы. Однако, как человеку сотворившему небольшое открытие, мне хотелось бы видеть внедренными в практику свои предложения. То, что практика покажет их экономическую целесообразность, у меня нет сомнений.
В заключении хотелось бы выразить благодарность Сергею и Алёне Р. за доброжелательное отношение, искренность в ответах, открытость и желание помочь в проведении исследований в ООО «Алена».
Литература
1. Конспект лекций по курсу «Менеджмент»
2. Герчикова И. Н. Менеджмент. Учебник Третье издание. – М.: ЮНИТИ, 2002.
3. Мескон М. Х., Альберт М., Хедоури Ф. Основы менеджмента. Пер. с англ. М.: Дело, 1992.
4. Румянцева З.П., Соломатин Н.А., Акбердин Р.З. и др. Менеджмент организации. Учебное пособие - М.: ИНФРА-М, 1997
5. Виханский О. С., Наумов А. И. Менеджмент. Учебник. Третье издание. – М.: Гардарики, 2001.
6. Гольдштейн Г.Я. Основы менеджмента. Конспект лекций. - Т: ТРТУ, 1995.
7. С.В. Рогожин, Т.В. Рогожина Теория организации. М.: Издательство «Экзамен», 2002.- 320 с.
8. Игнатьева А.В., Максимцов М.М Исследование систем управления: Учебное пособие для вузов. – М.: ЮНИТИ-ДАНА, 2000. – 157 с.
9. Б.З. Мильнер Теория организаций. – М.: ИНФРА-М, 2000
10. Психологические аспекты подбора и проверки персонала. Составитель сборника Н.А. Литвинцева. – М.: 1996/1997. - 400 с.
11. Н.А. Литвинцева. Психологический автопортрет. – М. : АОЗТ «Бизнес-школа «Интел-Синтез», 1997.- 304 с.





