| Скачать .docx |
Реферат: Методология CCM (Capability Maturity Model for Software) – модель развития способности организации разрабатывать и сопровождать программные продукты) в менеджменте качества проектов
МИНИСТЕРСТВО ОБРАЗОВАНИЯ РОССИЙСКОЙ ФЕДЕРАЦИИ
ЮЖНО-УРАЛЬСКИЙ ГОСУДАРСТВЕННЫЙ УНИВЕРСИТЕТ
ФАКУЛЬТЕТ ЭКОНОМИКИ И ПРЕДПРИНИМАТЕЛЬСТВА
КАФЕДРА ЭКОНОМИКИ И ЭКОНОМИЧЕСКОЙ БЕЗОПАСНОСТИ
КОНТРОЛЬНАЯ РАБОТА
По курсу «управление качеством реализации проектов»
Тема: «Методология CCM (CapabilityMaturityModelforSoftware) – модель развития способности организации разрабатывать и сопровождать программные продукты) в менеджменте качества проектов»
Руководитель
профессор Пятков Г.Н.
« » сентября 2003 г.
Автор работы
Студент 638 группы
Гребенщиков И.А.
15 сентября 2003 г.
Челябинск
2003 г.
Содержание:
1. Введение 2
2. Причины необходимости внедрения менеджмента качества при разработке и обеспечении программных продуктов 3
3. Рассмотрение данной проблемы на примере фирмы «Платон»
г. Пенза 3
3.1 Структура СММ (эволюционная модель развития способности организации разрабатывать и сопровождать программные продукты). Сопоставление СММ и МС ИСО 9001:2000 4
3.2 Уровни оценки зрелости ОКП (областью ключевых процессов) «управление требованиями» 7
3.3 Уровни оценки зрелости ОКП «планирование проекта» 8
3.4 Уровни оценки зрелости ОКП «управление деятельностью — контроль над ходом проекта» 9
3.5Уровни оценки зрелости ОКП «процессы, связанные с оценкой, выбором и организацией работ с поставщиками» 11
3.6 Уровни оценки зрелости ОКП «контроля качества» 12
3.7 Уровни оценки зрелости ОКП «Управление конфигурацией» 14
4. Основные выводы 15
5. Литература 17
Введение
В настоящее время, в условиях конкуренции, перед организациями ставится очевидная задача - завоевать СВОЕГО клиента. А также удержать его. Для этого необходимо вовремя установить потребности клиентов и предложить тот самый продукт, который полностью удовлетворит эту потребность.
С появлением в России частных организаций, занимающихся хозяйственной деятельностью, и появлением новых технологий в области программного обеспечения, у организаций возникла потребность в автоматизации учета этой самой деятельности.
Удовлетворить такую потребность взялись несколько организаций, среди которых московская фирма «1:С». Но одна она просто физически не справлялась с такой задачей. Вследствие чего был создан такой институт как «1:С-Франчайзинг». Таким образом, у фирмы появились партнеры – внедренческие организации, занимающиеся удовлетворением потребностей в автоматизации учета непосредственно на местах.
Но любая потребность после её удовлетворения, порождает другую потребность, и тот, кто вовремя её выявит и предложит варианты ее удовлетворения оказывается в выигрыше.
Основной деятельностью внедренческой фирмы- франчайзи является оказание услуг по внедрению в организации автоматизированного учета; то есть непосредственно «на местах» выявляют эти самые потребности и ищут варианты их удовлетворения.
Для внедрения требований МС ИСО серии 9000:2000 необходимо определить наиболее острые проблемы управления предприятиями. В работе охарактеризованы «болезни российского менеджмента», некоторые из них рассматриваются авторами на примере информационных служб, чья деятельность связана с разработкой и сопровождением программного обеспечения (ПО).
Такой выбор обусловлен следующими причинами.
I. Использование информационных технологий (ERP-систем, средств телекоммуникаций и т. п.) является залогом эффективного внедрения современных методов управления предприятием. Внутренние иформационные службы и внешние консалтинговые организации внедряют и сопровождают данные технологии на предприятии. От качества их работы во многом зависит успех непрерывного улучшения бизнес-процессов предприятия (BPI - BusinessProcessesImprovement);
II. Именно в области информационных технологий (ИТ) наиболее явно проявляется такой принцип МС ИСО 9000:2000, как «Лидерство». Лидер стремится применять новые подходы и методы, направленные на эффективное использование вычислительной техники (ВТ) и выявление будущих потребностей пользователя. Лидеры закладывают в информационной системе (ИС) предприятия возможности, которые в текущий момент еще не полностью используются, но в будущем дадут предприятию широкий маневр для развития бизнеса.
III. Развитие средств телекоммуникаций (E-mail,Интернет, ICQ и т. п.) готовит революцию в области организации производства, которую можно сравнить с революцией конца XIX в., вызванной развитием железных дорог и использованием расписаний. Область программирования и сопровождения ИС - авангардная в новой промышленной революции . Происходит перераспределение центров производства ПО. Средства телекоммуникаций делают равнозначными рабочие места, расположенные в соседних комнатах и удаленные на десятки тысяч километров друг от друга. Уже сейчас ведущие западные фирмы за счет субподрядчиков из Индии или России могут удешевить работы в 30 раз и добиться круглосуточного сопровождения ПО, тем самым, повышая качество сопровождения на порядок. Но для ведущих фирм США, Европы использование субподрядчиков из России связано с риском получить некачественную и несвоевременно исполненную работу. Для России существует угроза остаться на обочине глобального перераспределения центров разработки ПО. Так, Индия в 1999 г. заработала 2 млрд долл., получая субподрядные работы на разработку ПО и передачу результатов заказчику через Интернет, Россия - только 70 млн долл.
Некачественная работа российских информационных служб, кроме того, является сдерживающим фактором развития всего промышленного сектора в России. Для решения задачи организации работ по развитию ПО с начала 90-х годов в США (затем и во всем мире) используется методология СММ ( Capabili ty Maturity Model for Software ) — Эволюционная модель развития способности компании разрабатывать и сопровождать ПО , которую поддерживает SEI (SoftwareEngineeringInstitute) — Институт разработки ПО. Этот институт входит в состав американского университета Карнеги-Мелона. Использование СММ позволит российским предприятиям поставить разработку ПО на промышленную основу, повысить производственную культуру, гарантировать качественную работу и исполнение проектов точно в срок.
Далее элементы СММ соотносятся с под-элементами МС ИСО 9001:2000, названия которых заключены в скобки.
СММ рассматривается через призму практического опыта ее внедрения Центром информационных технологий «Платон» (г. Пенза) в Управлении Информатизации (далее УИ) — служба одного из крупнейших предприятий региона, и в Информационной организации « CIT » (далее CIT ).
В УИ до августовского кризиса 1998 г. работала сильная команда, создавшая и сопровождающая ИС предприятия. После него данное предприятие применило «даунсайзиш» (снижение затрат за счет массового сокращения кадров), в результате произошла потеря лидеров. Вся деятельность УИ базировалась на личностях, а не на процедурах. Бизнес данного предприятия сильно зависел от ИС, поэтому крах последней означал крах самого предприятия. В этих условиях началось внедрение СММ. Перед УИ были поставлены следующие цели:
задача минимум - стабилизировать ситуацию эксплуатации и сопровождения ИС (качество ИС не должно упасть по сравнению с «докризисным» периодом);
среднесрочная задача — темпы развития ИС предприятия не должны снижаться в условиях ограничения ресурсов (сохранить качество процессов при снижении стоимости);
задача максимум — добиться высокого уровня развития и сопровождения ИС, независимо от внешней и внутренней среды (добиться постоянного уровня качества ИС).
Достижение данных целей на практике означало решение задачи BPI в УИ и выход на второй уровень СММ с направлением на третий уровень. Была выполнена только задача минимум.
Сравним результаты, полученные УИ и CIT.
Структура СММ. Сопоставление СММ и МС ИСО 9001:2000
По степени погружения в СММ информационная служба может быть аттестована по одному из пяти уровней зрелости, представленных на схеме 1 (данные уровни соотносятся с уровнями BPI).
I . Хаос (начальный уровень) — Initial — «самоорганизующийся хаос». Качество ПО и процессов его разработки на данном уровне является случайной вели-
Схема 1
чиной и напрямую зависит от способностей отдельных сотрудников. Стоимость разработки ПО высока, результат непредсказуем. Для нашего примера (внедрение СММ в УИ) на данном уровне решается задача минимум.
П. Контроль (повторяемость) — Repeatable — осуществление планирования, налаживание учета и контроля деятельности, и, как следствие, балансировка основных целей. При выходе на второй уровень деятельность предприятия становится прозрачной, возможно повторение ранее достигнутых успехов. Качество ПО все еще зависит от способностей отдельных личностей. Основное внимание на данном уровне уделяется управляющим процессам. Результат становится предсказуемым. Для нашего примера на данном уровне решается среднесрочная задача.
III . Начало оптимизации (определенность) — Difmed — управляющие и прикладные действия по работе над ПО задокументированы, стандартизованы и объединены в общий для всех проектов процесс создания ПО. Данный уровень характеризуется точной временной оценкой деятельности и расчетом себестоимости продукта. Целью (и критерием выхода на данный уровень) является создание «инкубатора лидеров». Качество ПО не зависит от способностей отдельных личностей. Основное внимание уделяется прикладным процессам и организационной поддержке. На данном уровне решается задача максимум.
IV . Управление- Managed - собраны подробные данные о процессах работы над ПО и компонентах продукции. Все процессы и компоненты продукции количественно оцениваются и контролируются. Основное внимание на данном уровне уделяется качеству продукции и процессов работы.
V . Высокая оптимизация - Optimizing — обеспечивается BPI при помощи количественных оценок и внедрения инновационных идей и технологий.
Каждый уровень СММ характеризуется областью ключевых процессов (ОКП). ОКП - совокупность взаимосвязанных процессов, которые при совместном выполнении приводят к достижению определенного набора целей. Достижение всех целей в рамках ОКП для определенного уровня СММ определяет соответствие организации данному уровню. Если хотя бы одна цель хоть одной ОКП уровня СММ не достигнута, то организация не может соответствовать данному уровню СММ. ОКП можно разбить на три категории: управляющие ( Management ), организационные ( Organiza tion ) и обеспечивающие ( Engineering ) (табл. 1).
СММ не определяет все процессы, имеющие отношение к разработке программного обеспечения; выделяются только те, которые необходимы для достижения уровня СММ, они и включаются в ОКП. Каждая ОКП разбивается на пять общих свойств (CommonFeatures): обязательство выполнить (Commenttoperform); способность выполнить (AbilitytoPerform); выполняемые действия (ActivitiesPerformed); измерение и анализ (MeasurementandAnalysis); проверка реализации (VerifyingImplementation).
Общее свойство «Выполняемые действия» описывает действия, которые необходимо выполнить для достижения целей ОКП, остальные четыре общих свойства описывают формальные факторы, делающие процесс частью корпоративной культуры (следование курсу непрерывного улучшения). Полное выполнение всех ключевых приемов ( key practice ) из всех общих свойств обеспечивает достижение целей ОКП. Ключевые приемы описывают, каким должен стать рабочий процесс (или элемент процесса, или часть инфраструктуры), но не определяют способ достижения (конкретные технологии или методики), хотя для некоторых ключевых приемов даются общие рекомендации. Для различных условий один и тот же результат может достигаться разными способами. Ключевые приемы — это скорее общие принципы работы, чем конкретные действия. Последовательное выполнение общих свойств фактически реализует цикл BPI (схема 2), т. е. непрерывное улучшение бизнес-процессов.
Таблица 1 - Каждый уровень СММ характеризуется областью ключевых процессов (ОКП).
| Уровни зрелости | Категории процессов | ||
| управляющие | организационные | обеспечивающие | |
| V. Высокая оптимизация | Управление процессами через количественные оценки | Управление качеством ПО | |
| IV. Управление | Управление изменением технологии Управление изменением процессов | Предотвращение дефектов | |
| III. Начало оптимизации | Общее управление ПО Координация совместной работы групп | Организация работ внутри групп Создание функциональных моделей организационных процессов Программа обучения персонала | Проектирование ПО Выявление дефектов на ранних стадиях |
| II. Контроль | Управление требованиями Управление субконтрактами Контроль за выполнением проектов Планирование проектов Обеспечение качества ПО Управление конфигурацией | ||
| I.Хаос | Случайные процессы | ||
Схема 2 - цикл BPI (непрерывное улучшение бизнес-процессов)

Цикл BPI действует на каждом уровне СММ. В табл. 2 проведены параллели между общими свойствами СММ и элементами стандарта ИСО 9001:2000.
Таблица 2 - параллели между общими свойствами СММ и элементами стандарта ИСО 9001:2000.
| Общие свойства СММ | МС ИСО 9001:2000 |
| 1. Обязательство выполнить | 5. Ответственность руководства |
| 2. Способность выполнить | 6. Управление ресурсами |
| 3. Выполняемые действия | 7. Реализация продукции (частично): 7.2. Процессы, связанные с потребителем; 7.3. Проектирование и разработка; 7.4. Закупки; 7.5. Деятельность по производству и обслуживанию продукции |
| 4. Измерение и анализ | 8. Измерение, анализ и улучшение (I часть): 8.1. Планирование; 8.2. Измерение и мониторинг; 8.3. Управление несоответствиями; 8.4. Анализ данных для улучшения |
| 5. Проверка реализации | 8. Измерение, анализ и улучшение (11 часть): 8.5. Улучшение |
Далее детализируется соответствие общего свойства «Выполняемые действия» ОКП второго уровня СММ с элементом «7. Реализация продукции» МС ИСО 9001:2000.
7.2. Процессы, связанные с потребителем — управление требованиями
В этой ОКП описывается порядок действий, обеспечивающий появление понятных и заказчику, и исполнителю требований к конечному продукту. Данная ОКП определяет следующие цели:
1. Системные требования, предъявляемые к ПО, должны быть контролируемыми и являться основой для проектирования ПО и диспетчеризация хода выполнения проекта.
2. Планы разработки ПО, продукция и действия сохраняют непротиворечивость с предъявляемыми системными требованиями.
Достижение этих целей подразумевает наличие:
системы разработки технических заданий (ТЗ) на ПО (как начало управления требованиями);
системы заявок и уточнений на протяжении всего жизненного цикла ПО;
технологии согласования требований на протяжении всего жизненного цикла ПО (электронная почта, системы электронных сообщений, система управления документооборотом и т. п.).
Уровни оценки зрелости ОКП «Управление требованиями» даны в табл. 3.
Таблица 3 - Уровни оценки зрелости ОКП «Управление требованиями»
| Качественная характеристика уровня зрелости | % |
| 0. Требования заказчика формулируются и принимаются в устной форме и затем нигде не фиксируются | 0 |
| 1 . Требования заказчика фиксируются в разрозненных документах; прослеживаемости исполнения нет | 20 |
| 2. Ведется диспетчирование заявок заказчика, стадии их исполнения, уровень удовлетворенности заказчика | 40 |
| 3. Тесная координация работы с Заказчиком, заказчик интегрируется в процесс разработки ПО | 60 |
| 4. Накапливаются формализованные знания (метрики) по удовлетворенности заказчика (для планирования приоритетов) | 80 |
| 5. Система управления знаниями (СУЗ) в повседневной работе помогает заказчику конфигурировать заявки на ПО с учетом будущих потребностей | 100 |
Для повышения качества процесса управления требованиями необходимо, чтобы культурой обмена электронными заявками (письмами, требованиями и т. п.) обладал не только разработчик, но и заказчик.
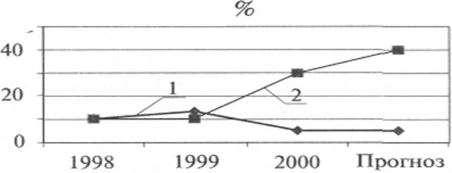
УИ в начале внедрения СММ находилось на уровне 15% зрелости данной ОКП. В начале 1999 г. в УИ внедрялась система учета заявок от подразделений
предприятия (на базе BPI-компоненты — ПО, направленного на преобразование заявок в конкретные задания для персонала). Попытка не удалась, и уровень управления требованиями остался прежним.
CIT в 1999 г. находилась на уровне 15%. С вводомв практику приема заявок заказчиков по E-mail,автоматического формирования заданий в ProseУровень зрелости, %

Рис. 1 . 1 -УИ; 2- CIT оценивается на 40% .
(связанных с данными заявками), учета удовлетворенности и пожеланий заказчиков, уровень зрелости данной ОКП здесь
7.3. Планирование проектирования и разработки — планирование проекта
ОКП «Планирование проекта» осуществляется в рамках трехуровнего внутрифирменного планирования. Внутрифирменное планирование включает:
I. «Стратегическое и годовое тактическое планирование», определяющее задачи и финансовые результаты, которых организация хочет достичь в заданный плановый период;
II. «Объемно-календарное планирование» (или «Планирование проекта»), определяющее этапы исполнения проекта, календарный график начала и завершения этапов, результат этапов;
III. «Задание на выполнение работ», подразумевающее детализацию выполнения проекта до индивидуальных заданий исполнителям с определением нормативной трудоемкости, квалификационных требований и используемого инструментария,
Таблица 4 - Уровни оценки зрелости ОКП «Планирование проекта»
| Качественная характеристика уровня зрелости | % |
| 0. Планирования нет, есть авральное реагирование на внешние события | 0 |
| 1. В наличии первый уровень планирования (на базе бюджетирования) | 20 |
| 2. Наряду с первым уровнем вводится третий уровень планирования, второй уровень планирования — формальный | 40 |
| 3. Работают все уровни планирования, центральное место занимает второй уровень (оценка альтернативных решений) | 60 |
| 4. Накапливаются формализованные знания (метрики) по элементам планирования (качество, время, ресурсы, взаимодействие, риски, реагирование, условия заказчика), что позволяет получать качественные планы второго уровня | 80 |
| 5. СУЗ автоматически отслеживает критические моменты, помогая в перепланировании | 100 |
Уровни оценки зрелости ОКП «Планирование проекта» показаны в табл. 4.
Первый уровень планирования реализуется с помощью финансового плана с детализацией по отдельным бюджетам организации. Второй уровень является одним из элементов ТЗ или договора с заказчиком. Как и ТЗ, «Планирование проекта» не является жестким требованием, а, скорее, прогнозом реализации проекта. Обязательство исполнения точно в срок связано не со вторым, а с третьим уровнями планирования — «Задание на выполнение работ». Данная ОКП ставит следующие цели:
1. Нормативы на разработку ПО (временные и стоимостные оценки) должны быть задокументированы для использования при планировании и отслеживании проектов.
2. Действия и обязательства по проектам должны планироваться и документироваться.
3. Задействованные группы и личности должны выполнять обязанности, связанные с проектом.
УИ в начале внедрения СММ находилось на первом уровне оценки зрелости данной ОКП (20%). В 1999 г. в УИ внедрялся третий уровень планирования (на базе той же BPI-компоненты). Попытка не удалась. В УИ уровень управления проектами остался прежним.
CIT в 1999 г. находилась на уровне 20%. С вводомв повседневную практику
Рис. 2 - уровень зрелости данной ОКП в «CIT» оценивается на 40%
Уровень зрелости, %

формирования заданий, а также учета выполненных в рамках данных заданий работ (ПО «Prose», далее Prose), уровень зрелости данной ОКП в «CIT» оценивается на 40% (рис. 2).
7.3.1. Управление деятельностью — контроль над ходом проекта
В рамках данной ОКП производится детальный учет по видам работ каждого конкретного исполнителя, тем самым накапливаются статистические данные для формирования метрик (количественных характеристик действующих процессов предприятия). Для накопления статистики и контроля над ходом проекта предпочтительно использовать коллективные системы ведения проекта на базе профессиональных СУБД. В процессе учета производится автоматическое накопление данных для их дальнейшего анализа и преобразования в нормативы.
Данная ОКП базируется на следующих принципах организации работ:
Вовлечение персонала. Диспетчеризация осуществляется индивидуально каждым работником.
Разбиение работ на стадии', организация работы — выполнение работы — продвижение работы . Внимание направлено на помощь в организации работ (когда исполнитель сам планирует сроки и приоритеты выполнения заданий), а также в продвижении работы (демонстрация уровня и качества работы). Действуем по принципу: Работа учтена — она есть.
Работа не учтена — ее нет.
При наличии третьего уровня планирования контроль над выполнением проекта необходимо производить в рамках спланированных заданий, обеспечивая реальный учет работ, диспетчирование проекта и контроль узких мест в реальном режиме времени.
Данная ОКП ставит следующие цели:
1. Результаты и характеристики выполняемого проекта должны постоянно сравниваться с плановыми.
2. Корректирующие действия должны выполняться тогда, когда действительные результаты значительно отклонились от плановых.
3. Изменение обязанностей должно согласовываться с задействованными группами и конкретными работниками.
Вначале УИ находилось на первом уровне оценки зрелости данной ОКП (20%). В 1999 г. в УИ была частично внедрена диспетчеризация работ персонала, но это не стало постоянной практикой, и УИ осталось на прежнем уровне. Наблюдается тенденция к снижению уровня ОКП до 15% (табл. 5).
CIT в 1999 г.
Уровень зрелости, %

Рис. 3. 1 - УИ; 2 - CIT
находилась на уровне 20%. С вводом в повседневную практику формирования заданий, а также учета с помощью Proseвыполненных
Таблица 5 - Управление деятельностью — контроль над ходомпроекта - Качественная характеристика уровня зрелости - тенденция к снижению уровня ОКП
| Качественная характеристика уровня зрелости | % |
| 0. Контроля нет, есть кризисное управление внеурочными работами | 0 |
| 1. Существует практика ежедневного обхода рабочих мест | 20 |
| 2. Существует практика ведения электронного журнала выполненных работ по персональным заданиям | 40 |
| 3. Существует практика регулярной оценки выполнения проекта для выявления отклонений от плана | 60 |
| 4. Накапливаются формализованные знания (метрики) по трудовым процессам, что позволяет персонально оценивать свою деятельность и самостоятельно реагировать на отклонения | 80 |
| 5. СУЗ автоматически осуществляет контроль исполнения, напоминая исполнителям об отклонениях в деятельности | 100 |
в рамках задания работ (индивидуальное диспетчирование), уровень зрелости данной ОКП оценивается в 40% (рис. 3).
7.4. Закупки — управление работами с субподрядчиками
Данная ОКП (табл. 6) определяет процессы, связанные с оценкой, выбором и организацией работ с поставщиками (в том числе и поставщиками решений). Здесь подразумеваются следующие принципы работы.
Таблица 6 - Данная ОКП определяет процессы, связанные с оценкой, выбором и организацией работ с поставщиками - Качественная характеристика уровня зрелости
| Качественная характеристика уровня зрелости | % |
| 0. Практики передачи работ субподрядчику нет | 0 |
| 1 . Существует разовая практика работы с субподрядчиками на договорной основе, партнерских отношений нет | 20 |
| 2. Имеется практика фиксирования выполненных работ субподрядчиком, дающая возможность оценивания | 40 |
| 3. Существует систематическая практика оценки (выгодно «сделать самим или заказать субподрядчикам»), идет формирование партнерских отношений с поставщиками | 60 |
| 4. Накапливаются формализованные знания (метрики) по качеству и срокам выполнения работ поставщиками; субподрядчики полностью интегрированы в процесс создания ПО | 80 |
| 5. СУЗ автоматически осуществляет контроль выполнения субподрядчиками работ, напоминая им об отклонениях в их деятельности; знания становятся доступными и субподрядчикам | 100 |
Субподрядчик рассматривается как партнер, с которым ведутся работы на долгосрочной основе. Если субподрядчик тебя подвел, не выполнив взятые на себя обязательства, виноват не он, а ты, так как выбрал его в качестве партнера, не просчитав все риски.
Данная ОКП определяет следующие цели:
1. Генеральный подрядчик должен выбирать только качественных субподрядчиков.
2. Генеральный подрядчик и субподрядчик должны согласовать друг с другом свои обязательства.
3. Генеральный подрядчик и субподрядчик должны поддерживать постоянную связь.
4. Генеральный подрядчик должен постоянно отслеживать реальные результаты деятельности субподрядчика и сравнивать их с его обязательствами.
УИ в начале внедрения СММ находилось на первом уровне оценки зрелости данной ОКП (20%). В 1999 г. в УИ была внедрена система ведения заявок субподрядчикам (сначала на базе E-mail, затем на базе Интернет). Это позволило организовать коллективную работу в системе управления заявками и оценивать исполнительскую дисциплину субподрядчиков. В УИ уровень управления работами с субподрядчиками поднялся до 40%.
Уровень зрелости, %

Рис. 4. 1 - УИ; 2 - CIT
CIT в 1999 г. находилась на уровне 20% зрелости ОКП. С вводом в повседневнуюпрактику формирования заявок к субподрядчикам, а также
учета выполненных работ на базе E-mail, уровень зрелости данной ОКП оценивается в 30% (рис. 4).
7.5.3. Идентификация и прослеживаемость — обеспечение качества
Рекомендуется использовать данную ОКП наряду с методологией PSP (PersonalSoftwareProcess — программное обеспечение ПК) [7], где львиная доля работ по контролю качества ПО возлагается на разработчика. По данным SEI [8] разработчик находит ошибки в 10 раз быстрее и в десять раз больше, чем тестировщик. Если выполняются действия по определению требований к ПО и по оценке критериев качества ПО, то работы по автономному тестированию (т.е. тестированию отдельных кусков ПО) считаются экономически невыгодными. Тестировщики осуществляют тестирование системы по принципу «черного ящика», т. е. осуществляют общесистемное тестирование.
Данная ОКП определяет следующие цели:
1) деятельность по обеспечению качества ПО должна планироваться;
2) должен обеспечиваться объективный контроль за строгим соответствием ПО и процессов принятым стандартам, процедурам и требованиям;
3) задействованные группы и конкретные работники должны информироваться о действиях по обеспечению качества и об их результатах;
4) вопросы несоответствия требованиям, которые невозможно разрешить в рамках проекта, должны решаться на высшем уровне компании.
УИ в начале внедрения СММ находилось выше нулевого уровня оценки зрелости данной ОКП (10%). В 1999 г. в УИ попытались внедрить учет дефектов с назначением ответственных за дефект. В реальной работе учет дефектов не использовался. Сейчас уровень обеспечения качества ПО снизился до 5%.
CIT в 1999 г. находилась на уровне 10% зрелости по данной ОКП. С вводом в повседневную практику
Уровень зрелости,

Рис. 5. 1" УИ; 2 - CIT
учета дефектов с помощью Prose уровень оценивается в 30%. Наблюдается тенденция к его повышению (рис. 5, табл. 7).
Таблица 7 - Качественная характеристика уровня зрелости контроля качества
| Качественная характеристика уровня зрелости | % |
| 0. Контроля качества ПО нет, есть повседневная практика — «лучшим контролером ПО является пользователь» | 0 |
| 1. Существует практика «полицейского контроля», с определением виновного и его «материальным наказанием» | 20 |
| 2. Существует практика тотального учета дефектов в разрезе выполненных работ и исполнителей; за выявленный дефект исполнитель не наказывается, идет стимулирование раннего обнаружения дефектов | 40 |
| 3. Существует практика регулярного измерения уровня качества ПО и планирование повышения качества | 60 |
| 4. Накапливаются формализованные знания (метрики) по причинам, вызывающим дефекты, что позволяет исполнителям самостоятельно и своевременно выявлять и исправлять дефекты | 80 |
| 5. СУЗ позволяет планировать предупреждающие действия по исключению дефектов. | 100 |
7.5.5. Консервация продукции — управление конфигурацией
Данная ОКП направлена на исключение из практики разработки ПО ситуаций, когда в момент сдачи проекта заказчику (или исправлений при сопровождении) никто из работников организации не может с уверенностью сказать, какие версии программных модулей, документации, системных библиотек являются окончательными.
При использовании субподрядчиков (когда разработка ПО осуществляется на разных площадках) для управления конфигурациями используется среда разработки, способствующая синхронизации работы. Модули, разрабатываемые на одной площадке, после закрытия в масштабе реального времени становятся доступными для использования на всех прочих площадках, независимо от степени удаления. Эта задача решается за счет перекрестных обновлений конфигураций ПО между площадками, ведущими параллельную разработку.
В ОКП «Управление конфигурацией» входят процессы, связанные с подготовкой и отсылкой версий конечным пользователям. Если последних рассматривать как партнеров, участвующих в разработке ПО и вносящих свои замечания, то обновления версий могут быть достаточно частыми. В данном случае система «Управление конфигурациями» должна стоять у конечного пользователя и быть связана с системой учета требований (схема 3).
Расширение системы управления конфигурациями на пользователя уменьшает длительность цикла исполнения заявок, повышает гибкость и однозначность понимания, чего хочет заказчик. Данная «связка» ставит более высокие требования к процессам по управлению качеством ПО.
Схема 3 - система «Управление конфигурациями»

Уровень зрелости, %
Данная ОКП ставит следующие цели:
1) деятельность по управлению конфигурациями должна планироваться;
2) находящиеся в работе ПО должны быть идентифицируемы, управляемы и доступны;
3) изменения в ПО, находящихся в работе, должны контролироваться;
4) задействованные группы и конкретные работники должны информироваться о статусе и содержании основных направлений разработки ПО.
Уровни оценки зрелости ОКП «Управление конфигурацией» даны в табл. 8.
УИ находилось на уровне 10%. В начале 1999 г. в УИ было внедрено поддержание эталонной версии, в конце 1999 г. — среда коллективной разработки «Roundtable». Но данная система не охватывала всех автономных задач, т.е. часть исполнителей в УИ находится на уровне зрелости ОКП, равном 60%, а другая — 0%. Интегральный показатель уровня зрелости ОКП - 30%.
CIT в 1999 г. находилась на уровне 20%. С вводом в повседневную практику среды коллективной разработки «Roundtable» и интеграции ее с Prose уровень зрелости оценивается в 70% (рис. 6).
Таблица 8 - Уровни оценки зрелости ОКП «Управление конфигурацией»
| Качественная характеристика уровня зрелости | % |
| 0. Нет практики ведения конфигураций, каждый исполнитель на своем компьютере имеет версии исходных файлов, и он же обновляет их у конечных пользователей | 0 |
| 1. Существует практика эталонной версии, с ответственным за сборку исходных файлов от всех исполнителей | 20 |
| 2. Существует технология ведения репозитария ПО, куда разработчики помещают последние версии исходных файлов | 40 |
| 3. Существует практика использование технологий коллективной среды разработки, где автоматически подготавливаются версии конфигураций ПО | 60 |
| 4. Накапливаются формализованные знания (метрики) по стилю и методам разработки, формируются шаблоны и сценарии тестирования, проводится регрессивное тестирование | 80 |
| 5. СУЗ автоматически оценивает программный модуль и формирует шаблоны и сценарии тестирования, автоматически синхронизирует версии на разных площадках разработки | 100 |

Рис. 6. 1-УИ; 2- CIT
Основные выводы
Зрелость процессов работы над ПО в УИ соответствует первому (начальному) уровню СММ. Есть выбросы в сторону второго уровня СММ только по двум ОКП: «Управление работ с субподрядчиками» и «Управление конфигурациями». Практика неустойчива, и УИ может в ближайшие полгода «откатиться» назад. Виден явный провал в ОКП «Обеспечение качества ПО». То состояние, в котором находится сейчас УИ, означает, что внедрение СММ не состоялось (хотя задача минимум в УИ была решена). Выделяются три основные причины этого.
I. Руководство предприятия декларативно поддерживало внедрение СММ в УИ; в своей повседневной практике не использовало методы СММ. Сработало правило: Реальная реорганизация может проводиться только сверху.
II. При внедрении СММ в УИ была выбрана сертификационная схема, т. е. следующая последовательность: «разработка комплекта документации» -> «нормирование» -> «внедрение информационных технологий» -» «начало работы персонала по СММ». Комплект документации был принят в УИ в качестве стандарта «де-юре», «де-факто» - работа велась по-старому. Таким образом, проявился принцип «двойных стандартов» . Результатом стало то, что в процессе всех аудиторских проверок (которых было очень много в рамках решения проблемы 2000 г.), руководство УИ показывало проверяющим данные документы, — информационный аудит проходил «на ура». С практической точки зрения, данные документы стоят меньше, чем бумага, на которой они напечатаны.
III. Так как средний возраст персонала УИ был больше 40 лет, обучение сотрудников шло медленно. При внедрении модели СММ применялись жесткие методы мотивации персонала . Пока высшее руководство поддерживало внедрение, темпы были приемлемы, но затем произошел откат. Причем по некоторым ОКП откатились даже ниже уровня, с которого начиналось внедрение СММ.
Исходя из оценки зрелости ОКП по итогам внедрения СММ, CIT (схема 4) ближе ко второму уровню СММ. Наблюдается отставание только по двум ОКП: «Управление работами с субподрядчиками» (связано с тем, что привлечение субподрядчиков было эпизодическим) и «Обеспечение качества ПО»
Таблица 9 - оценка«Качества» организации по критериям
| Оценка | Средний возраст персонала | Тип организационной структуры | Приверженность стандартам | Видение перспектив | Цели в коллективе |
| 1 | от 50 лет | Авторитарная семья | тройной стандарт | в прошлом | личные |
| 2 | от 40 лет | Эйфелева башня | двойной стандарт | в настоящем | узкие коллективные |
| 3 | от 30 лет | Ракета | единый стандарт | в ближ. будущем | на потенциал организации |
| 4 | от 20 лет | Развитая семья | непрер. улучшение | в перспективе | на развитие общества |
(связано с тем, что технологию «Учета и контроля дефектов» начали внедрять в последнюю очередь, и результаты еще не сказались). Внедрению СММ в CIT способствовали следующие факторы:
I. Руководство CIT на всех уровнях способствовало внедрению методов СММ; оно первым начинало использовать методы СММ в своей повседневной практике;
П. Учитывая возможность действия принципа «двойных стандартов» (рис. 6), выбрали следующую схему: «начало работы персонала по СММ» — «ввод информационных технологий» - «нормирование процессов» - «разработка комплекта документации». Таким образом, производственная культура в CIT выращивалась, а не навязывалась, как в УИ.
Схема 4 - оценки зрелости ОКП по итогам внедрения СММ

III. Были исключены все жесткие методы; для мотивации персонала использовались только «мягкие» методы. Средний возраст персонала в CIT соответствовал 26 годам.
Необходимо отметить, что использование в УИ такой же схемы внедрения СММ и методов мотивации не гарантировало бы успеха. Проблема глубже — подходы к реализации принципов «Лидерство» и «Вовлечение работников» определяются типом организационной структуры. Предприятие, в УИ которого осуществлялось внедрение СММ, характеризуется организационной структурой «Эйфелева башня», где из-за
жесткой структуры процесс «выращивания лидеров» невозможен, поэтому необходимо принять на работу (или выбрать из существующего персонала) лидера, признать его лидером, дать соответствующие полномочия. Только в этом случае на предприятии будет внутренний рычаг непрерывного улучшения, который сделает возможным использование принципов «Лидерство» и «Вовлечение работников». CIT характеризуется организационной структурой, именуемой как «Развитая семья», где можно наладить «систему инкубаторов», воспроизводящих и воспитывающих лидеров, которые смогут вовлечь весь персонал в непрерывное улучшение, тем самым обеспечивая действие принципов «Лидерство» и «Вовлечение работников». «Качество» организации оценивается по критериям, представленным в табл. 9.
УИ представляет собой достаточно консервативную организацию. Любые организационные изменения здесь имеют тенденцию к затуханию. В CIT наблюдаются противоположные тенденции. Во главе угла поставлен принцип «Лидерство», а «Вовлечение работников» идет на основе «Воспитания лидеров». Таким образом, здесь на деле работает парадигма от «качества предприятия» к «качеству человека» (в профессиональном плане). Из сравнительного анализа УИ и CIT (схема 5) делаем вывод, что для налаживания процесса улучшения необходим определенный уровень корпоративной культуры в организации, иначе все улучшения временны и скоротечны.
Схема 5 - сравнительный анализ УИ и CIT

Модель СММ по заложенным в ней принципам близка к стандарту ИСО 9001:2000. Но и СММ, и ИСО 9001:2000 являются всего лишь инструментами для непрерывного улучшения деятельности предприятия. Сертификация по стандарту ИСО 9001:2000 и подтверждение сертификата должны способствовать повышению качества процессов организации.
Литература
- журнал « ММК » - 2001, № 7 «Опыт повышения качества деятельности информационных служб» С.А. Волчков, И. В. Балахонова, В. В. Спиридонов
с. 14 – 23.