| Скачать .docx |
Дипломная работа: Анализ и диагностика финансово-хозяйственной деятельности
Дипломная работа
«Анализ и диагностика финансово-хозяйственной деятельности ЗАО «АККОРД» и пути ее совершнствования»
Глава 1.Теоретические основы финансово-хозяйственной деятельности
1.1 Сущность анализа ФХД
Анализ (от греч. — analisis) означает разложение изучаемого объекта на части, на присущие этому объекту составляющие. Анализ выступает в диалектическом, противоречивом единстве с понятием синтез (от греч. - sinthesis) — соединение ранее расчлененных элементов изучаемого объекта в единое целое. Диалектический тандем анализ-синтез понимается как синоним всякого научного исследования.
Особое значение анализ и синтез приобрели в экономике. Анализом в более широком смысле занимается теория экономического анализа; в профессиональном - экономический анализ финансово-хозяйственной деятельности в соответствующих отраслях: промышленности, сельском хозяйстве, строительстве, торговле и т.д.
Экономический анализ как наука представляет собой систему специальных знаний, базирующихся на законах развития и функционирования систем и направленных на познание методологии оценки, диагностики и прогнозирования ФХД предприятия.
Использование системы специальных знаний позволяет определять тенденции хозяйственного развития, научно обосновывать планы, управленческие решения, контролировать их выполнение, оценивать достигнутые результаты, осуществлять поиск, измерение, обоснование величины резервов повышения эффективности производства и разрабатывать мероприятия по их использованию.
Каждая наука имеет свой предмет. Под предметом экономического анализа понимаются хозяйственные процессы предприятий, их социально-экономическая эффективность и конечные финансовые результаты деятельности, складывающиеся под воздействием объективных и субъективных факторов и отражающиеся через систему экономической информации.
Из определения ясно, что экономический анализ исследует хозяйственные процессы предприятий, других подразделений и конечные производственно-финансовые результаты их деятельности. При этом экономика предприятий изучается в динамике.
Далее, предметом экономического анализа являются хозяйственные процессы и конечные результаты, складывающиеся под влиянием объективных внешних факторов. Постоянно воздействуя на хозяйственную деятельность, они отражают, как правило, действия экономических законов. В процессе экономического анализа во многих случаях приходится сталкиваться, например, с действием ценового фактора (изменение цен, тарифов, ставок). Цены на готовые изделия, товары, тарифы на перевозки и ставки за услуги устанавливаются с учетом требований закона стоимости, законов рынка. Цены, тарифы, ставки - это не постоянные величины. Если изменились цены на сырье, материалы, полуфабрикаты, готовую продукцию, товары, то это повлияет почти на все показатели (особенно финансовые) промышленных, строительных, сельскохозяйственных, торговых и других предприятий. Учет изменения цен, тарифов, ставок в процессе анализа приводит к усложнению экономических расчетов. Фактор цен, не зависящий от того или иного предприятия, исключается путем индексных пересчетов, его действие выявляется особо, вне связи с другими факторами.
Содержание анализа хозяйственной деятельности как научной дисциплины вытекает прежде всего из тех функции, которые он выполняет в системе других прикладных экономических наук.
Одной из таких функций является изучение характера действия экономических законов, установление закономерностей и тенденций экономических явлений и процессов в конкретных условиях предприятия. На пример, закон опережающего роста производительности труда в сравнении с уровнем его оплаты должен выполняться не только в масштабах всей национальной экономики, но и на каждом предприятии и его подразделениях. В этой своей функции АФХД является средством изучения действия экономических законов в конкретных условиях производства.
Важной функцией АФХД является научное обоснование текущих и перспективных планов. Без глубокого экономического анализа результатов деятельности предприятия за прошлые годы (5-10 лет) и без обоснованных прогнозов на перспективу, без изучения закономерностей развития экономики предприятия, без выявления имевших место недостатков и ошибок нельзя разработать научно обоснованный план, выбрать оптимальный вариант управленческого решения.
К функциям анализа относится также контроль за выполнением, планов и управленческих решений, за экономным использованием ресурсов. Вместе с тем ряд экономистов принижают или вовсе отрицают эту функцию анализа, приписывая ее исключительно бухгалтерскому учету и контролю. Безусловно, бухгалтерский учет выполняет очень существенные контрольные функции в момент регистрации, обобщения и систематизации информации о хозяйственных операциях и процессах. Однако это не исключает контроль и при проведении анализа хозяйственной деятельности. Анализ проводится не только с целью констатации фактов и оценки достигнутых результатов, но и с целью выявления недостатков, ошибок и оперативного воздействия на процесс производства. Именно поэтому необходимо повышать оперативность и действенность анализа.
Центральная функция анализа, которую он выполняет на предприятии, - поиск резервов повышения эффективности производства на основе изучения передового опыта и достижений науки и практики.
Следующая функция анализа - оценка результатов деятельности предприятия по выполнению планов, достигнутому уровню развития экономики, использованию имеющихся возможностей. Это имеет большое значение. Объективная оценка деятельности предприятия поощряет рост производства, повышение его эффективности, и наоборот.
И наконец, разработка мероприятий по использованию выявленных резервов в процессе хозяйственной деятельности - также одна из функций АФХД.
Таким образом, анализ финансово-хозяйственной деятельности как наука представляет собой систему специальных знаний, связанных с исследованием тенденций хозяйственного развития, научным обоснованием планов, управленческих решений, контролем за их выполнением, оценкой достигнутых результатов, поиском, измерением и обоснованием величины финансово-хозяйственных резервов повышения эффективности производства и разработкой мероприятий по их использованию.
Экономический анализ при исследовании хозяйственньк явлений и процессов использует диалектический подход, который реализуется через систему конкретных приемов и способов, моделирующих состояние объекта.
В применении к объекту исследования метод экономического анализа имеет ряд характерных особенностей. Выделим три из них.
1. Исследуется система экономических показателей, при помощи которых дается количественная оценка отдельных сторон хозяйственной деятельности предприятия (рис 3). Каждое экономическое явление или процесс описывается, как правило, не одним показателем, а комплексом экономических показателей. Например, использование труда на предприятии изучается с помощью показателей производительности труда, численности персонала, средней заработной платы и т.д. От того, насколько показатели полно и точно отражают сущность изучаемых явлений, зависят результаты анализа.
Все показатели в зависимости от объекта анализа группируются в подсистемы.
2. Система показателей изучается в их взаимосвязи, взаимозависимости, взаимообусловленности.

Рис. 3. Система показателей, характеризующих состояние объекта анализа.
Изучение взаимосвязи требует выявления соподчиненности показателей, выделения совокупного, результативного показателя и факторов, на него влияющих. Один и тот же показатель в разных ситуациях может выполнять роль как факторного, так и результативного показателя, в зависимости от цели и объекта анализа. Например, производительность труда — показатель, отражающий результаты инвестирования в производство; в свою очередь производительность труда является фактором роста объема производства.
В процессе анализа показатели-факторы целесообразно предварительно классифицировать по группам: внешние и внутренние, основные и не основные, определяющие и не определяющие. Выявление основных, определяющих факторов позволит менеджеру найти эффективные рычаги управления экономическим потенциалом предприятия.
3. Производится количественное измерение влияния факторов на совокупный показатель.
Это далеко не всегда можно сделать легко, так как большинство факторов находится не в прямой функциональной зависимости, а в вероятностной, стохастической. Для того чтобы в последнем случае определить форму связи, следует провести статистическое наблюдение, накопить множество фактов, создать массив информации, обработать его, построить математическую модель.
Таким образом, применение метода экономического анализа включает в себя несколько последовательных процедур:
1) определение системы показателей, описывающих объект исследования по выделенному направлению;
2) установление соподчиненности показателей;
3) выделение групп соподчиненных факторов;
4) выделение в группе факторов основных и второстепенных;
5) установление формы взаимосвязи между показателями;
6) выбор приемов и способов для изучения взаимосвязи.
Характерные черты основного метода анализа финансово-хозяйственной деятельности.
Под методом науки в широком смысле понимают способ исследования своего предмета. Специфические для различных наук способы подхода к изучению своего предмета (в том числе и АХД) базируются на всеобщем диалектическом методе познания.
Материалистическая диалектика исходит из того, что все явления и процессы необходимо рассматривать в постоянном движении, изменении, развитии. Здесь исток одной из характерных черт метода АФХД - необходимость постоянных сравнений. Сравнения очень широко применяются в АФХД. Фактические результаты деятельности сравниваются с результатами прошлых лет, достижениями других предприятий, плановыми показателями, среднеотраслевыми и т.д.
Материалистическая диалектика учит, что каждый процесс, каждое явление надо рассматривать как единство и борьбу противоположностей. Отсюда вытекает необходимость изучения внутренних противоречий, положительных и отрицательных сторон каждого явления, каждого процесса. Это тоже одна из характерных черт АФХД. Например, НТП оказывает положительный результат на рост производительности труда, повышение уровня рентабельности и другие показатели, но при этом надо учитывать и его отрицательные черты, такие, как загрязнение окружающей среды, развитие гиподинамии и др.
Использование диалектического метода в анализе означает, что изучение хозяйственной деятельности предприятий должно проводиться с учетом всех взаимосвязей. Ни одно явление не может быть правильно понято, если оно рассматривается изолированно, без связи с другими. Например, изучая влияние внедрения новой техники на уровень себестоимости продукции, надо учитывать не только непосредственную, но и косвенную связь. Известно, что с внедрением новой техники увеличиваются издержки производства, а значит и себестоимость продукции. Но при этом растет производительность труда, что в свою очередь способствует экономии заработной платы и снижению себестоимости продукции. Отсюда следует, что если темпы роста производительности труда будут большими, чем темпы роста издержек на содержание и эксплуатацию новой техники, тогда себестоимость продукции будет снижаться, и наоборот. Значит, чтобы понять и правильно оценить то или другое экономическое явление, необходимо изучить все взаимосвязи и взаимозависимости с другими явлениями. Это одна из методологических черт метода АФХД.
Важной методологической чертой анализа является и то, что он способен не только устанавливать причинно-следственные связи, но и давать им количественную характеристику, т.е. обеспечивать измерение влияния факторов на результаты деятельности. Это делает анализ точным, а выводы обоснованными.
Изучение и измерение причинных связей в анализе можно осуществить методом индукции и дедукции. Способ исследования причинных связей с помощью логической индукции заключается в том, что исследование ведется от частного к общему, от изучения частных фактов к обобщениям, от причин к результатам. Дедукция - это такой способ, когда исследование осуществляется от общих фактов к частным, от результатов к причинам. Индуктивный метод в анализе используется в сочетании и единстве с дедуктивным.
Использование диалектического метода в АФХД означает, что каждый процесс, каждое экономическое явление надо рассматривать как систему, как совокупность многих элементов, связанных между собой. Из этого вытекает необходимость системного подхода к изучению объектов анализа, что является еще одной его характерной чертой.
Системный подход предусматривает максимальную детализацию изучаемых явлений и процессов на элементы (собственно анализ), их систематизацию и синтез. Детализация (выделение составных частей) тех или других явлений проводится в той степени, которая практически необходима для выяснения наиболее существенного и главного в изучаемом объекте. Она зависит от объекта и цели анализа. Это сложная задача в АФХД, которая требует от аналитика конкретных знаний сущности экономических показателей, а также факторов и причин, определяющих их развитие.
Систематизация элементов, проводится на основе изучения их взаимосвязи, взаимодействия, взаимозависимости и соподчиненности. Это позволяет построить приблизительную модель изучаемого объекта (системы), определить его главные компоненты, функции, соподчиненность элементов системы, раскрыть логико-методологическую схему анализа, которая соответствует внутренним связям изучаемых показателей.
После изучения отдельных сторон экономики предприятия, их взаимосвязи, подчиненности и зависимости надо обобщить весь материал исследования. Обобщение (синтез) является очень ответственным моментом в анализе. При обобщении результатов анализа необходимо из всего множества изучаемых факторов отделить типичные от случайных, выделить главные и решающие, от которых зависят результаты деятельности.[1]
Важной методологической чертой АФХД, которая вытекает непосредственно из предыдущей, является разработка и использование системы показателей, необходимой для комплексного, системного исследования причинно-следственных связей экономических явлений и процессов в хозяйственной деятельности предприятия.
Таким образом, метод АФХД представляет системное, комплексное изучение, измерение и обобщение влияния факторов на результаты деятельности предприятия путем обработки специальными приемами системы показателей плана, учета, отчетности и других источников информации с целью повышения эффективности производства.
1.2 Методические аспекты анализа
Задачи анализа финансовых результатов.
Финансовые результаты деятельности предприятия характеризуются суммой полученной прибыли и уровнем рентабельности. Прибыль предприятия получают главным образом от реализации продукции, а также от других видов деятельности (сдача в аренду основных фондов, коммерческая деятельность на финансовых и валютных биржах и т.д.).
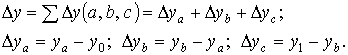
Прибыль — это часть чистого дохода, который непосредственно получают субъекты, хозяйствования после реализации продукции. Только после продажи продукции чистый доход принимает форму прибыли. Количественно она представляет собой разность между чистой выручкой (после уплаты налога на добавленную стоимость, акцизного налога и других отчислений из выручки в бюджетные и небюджетные фонды) и полной себестоимостью реализованной продукции. Значит, чем больше предприятие реализует рентабельной продукции, тем больше получит прибыли, тем лучше его финансовое состояние. Поэтому финансовые результаты деятельности следует изучать в тесной связи с использованием и реализацией продукции.[2]
Объем реализации и величина прибыли, уровень рентабельности зависят, от производственной, снабженческой, маркетинговой и финансовой деятельности предприятия, иначе говоря, эти показатели характеризуют все стороны хозяйствования.
Основными задачами анализа финансовых результатов деятельности являются:
систематический контроль за выполнением планов реализации продукции и получением прибыли;
определение влияния как объективных, так субъективных факторов на финансовые результаты;
выявление резервов увеличения суммы прибыли и рентабельности;
оценка работы предприятия по использованию возможностей увеличения прибыли и рентабельности;
разработка мероприятий по использованию выявленных резервов.
Основными источниками информации при анализе финансовых результатов прибыли служат накладные на отгрузку продукции, данные аналитического бухгалтерского учета по счетам 46, 47, 48 и 80, финансовой отчетности ф.2 "Отчет о прибылях и убытках", а также соответствующие таблицы бизнес-плана предприятия.
Профессиональное управление финансами неизбежно требует глубокого анализа, позволяющего наиболее точно оценить неопределенность ситуации с помощью современных количественных методов исследования. В связи с этим существенно возрастает приоритет и роль финансового анализа, основным содержанием которого является комплексное системное изучение финансового состояния предприятия и факторов его формирования с целью оценки степени финансовых рисков и прогнозирования уровня доходности капитала.
Финансовое состояние предприятия (ФСП) характеризуется системой показателей, отражающих состояние капитала в процессе его кругооборота и способность субъекта хозяйствования финансировать свою деятельность на фиксированный момент времени.
В процессе снабженческой, производственной, сбытовой и финансовой деятельности происходит непрерывный процесс кругооборота капитала, изменяются структура средств и источников их формирования, наличие и потребность в финансовых ресурсах и как следствие финансовое состояние предприятия, внешним проявлением которого выступает платежеспособность.
Финансовое состояние может быть устойчивым, неустойчивым (предкризисным) и кризисным. Способность предприятия успешно функционировать и развиваться, сохранять равновесие своих активов и пассивов в изменяющейся внутренней и внешней среде, постоянно поддерживать свою платежеспособность и инвестиционную
привлекательность в границах допустимого уровня риска свидетельствует о его устойчивом финансовом состоянии, и наоборот.
Если платежеспособность — это внешнее проявление финансового состояния предприятия, то финансовая устойчивость — его внутренняя сторона, отражающая сбалансированность денежных и товарных потоков, доходов и расходов, средств и источников их формирования. Для обеспечения финансовой устойчивости предприятие должно обладать гибкой структурой капитала, уметь организовать его движение таким образом, чтобы обеспечить постоянное превышение доходов над расходами с целью сохранения платежеспособности и создания условий для нормального функционирования.
Финансовое состояние предприятия, его устойчивость и стабильность зависят от результатов его производственной, коммерческой и финансовой деятельности. Если производственный и финансовый планы успешно выполняются, это положительно влияет на финансовое положение предприятия. Напротив, в результате спада производства и реализации продукции происходит повышение ее себестоимости, уменьшение выручки и суммы прибыли и как следствие — ухудшение финансового состояния предприятия и его платежеспособности. Следовательно, устойчивое финансовое состояние не является игрой случая, а итогом грамотного, умелого управления всем комплексом факторов, определяющих результаты финансово-хозяйственной деятельности предприятия.
Устойчивое финансовое положение, в свою очередь, положительно влияет на объемы основной деятельности, обеспечение нужд производства необходимыми ресурсами. Поэтому финансовая деятельность как составная часть хозяйственной деятельности должна быть направлена на обеспечение планомерного поступления и расходования денежных ресурсов, выполнение расчетной дисциплины, достижение рациональных пропорций собственного и заемного капитала и наиболее эффективное его использование.
Главная цель финансовой деятельности предприятия сводится к одной стратегической задаче - наращиванию собственного капитала и обеспечению устойчивого положения на рынке. Для этого оно должно постоянно поддерживать платежеспособность и рентабельность, а также оптимальную структуру актива и пассива баланса.
Прибыль и рентабельность производства, как основные показатели, характеризующие деятельность предприятия.
В условиях рыночной экономики получение прибыли является непосредственной целью производства. Прибыль создает определенные гарантии для дальнейшего существования предприятия, поскольку только ее накопление в виде различных резервных фондов помогает преодолевать последствия риска, связанного с реализацией товаров на рынке.
На рынке предприятия выступают как относительно обособленные товаропроизводители. Установив цену на продукцию, они реализуют ее потребителю, получая при этом денежную выручку, что не означает еще получения прибыли. Для выявления финансового результата необходимо сопоставить выручку с затратами на производство и реализацию, которые принимают форму себестоимости продукции.
Если выручка превышает себестоимость, финансовый результат свидетельствует о получении прибыли. Предприятие всегда ставит своей целью прибыль, но не всегда ее извлекает. Если выручка равна себестоимости, то удается лишь возместить затраты на производство и реализацию продукции. При затратах, превышающих выручку, предприятие превышает установленный объем затрат и получает убытки — отрицательный финансовый результат, что ставит предприятие в достаточно сложное финансовое положение, не исключающее и банкротство.
Для предприятия прибыль является показателем, создающим стимул для инвестирования в те сферы, где можно добиться наибольшего прироста стоимости. Прибыль как категория рыночных отношений выполняет следующие функции:
• характеризует экономический эффект, полученный в результате деятельности предприятия;
• является основным элементом финансовых ресурсов предприятия;
• является источником формирования бюджетов разных уровней.
Определенную роль играют и убытки. Они высвечивают ошибки и просчеты предприятия в направлениях использования финансовых средств, организации производства и сбыта продукции.
На каждом предприятии формируется четыре показателя прибыли, существенно различающиеся по величине, экономическому содержанию и функциональному назначению. Базой всех расчетов служит балансовая прибыль — основной финансовый показатель производственно-хозяйственной деятельности предприятия. Для целей налогообложения рассчитывается специальный показатель — валовая прибыль, а на ее основе — прибыль, облагаемая налогом, и прибыль, не облагаемая налогом. Остающаяся в распоряжении предприятия после внесения налогов и других платежей в бюджет часть балансовой прибыли называется чистой прибылью. Она характеризует конечный финансовый результат деятельности предприятия.
В условиях рыночных отношений велика роль показателей рентабельности продукции, характеризующих уровень прибыльности (убыточности) ее производства.
Рентабельность товарной продукции определяется отношением прибыли к полной себестоимости товарной продукции и показывает, сколько рублей потенциальной прибыли может принести каждый рубль затрат на ее выпуск и реализацию. Рентабельность как отношение прибыли от реализации к объему реализованной продукции характеризует и изменения в политике ценообразования, способность предприятия контролировать себестоимость реализованной продукции. Динамика этого показателя может свидетельствовать о необходимости пересмотра цен или усиления контроля за себестоимостью.
Наиболее значимым является показатель рентабельности, рассчитанный как частное от деления чистой прибыли на себестоимость реализованной продукции, так как он отражает, сколько рублей чистой прибыли принес каждый рубль затрат на выпуск и реализацию продукции.
Большое значение в практической деятельности имеет изучение рентабельности отдельных изделий и отдельных групп изделий, поскольку в показателях рентабельности товарной и реализованной продукции нивелируется прибыльность (убыточность) конкретных видов продукции. Рентабельность единицы продукции определяется отношением разности между отпускной ценой и себестоимостью к себестоимости отдельного изделия.
Рентабельность продукции в целом, групп изделий и отдельных их видов является важнейшим показателем сравнительного анализа прибыльности (убыточности) производства тех или иных видов продукции, особенно на предприятиях, вырабатывающих широкий, их ассортимент.
2. Задачи и источники анализа прибыли рентабельности
В процессе анализа необходимо изучить факторы изменения величины налогооблагаемой прибыли, суммы выплаченных дивидендов, процентов, налогов из прибыли, размера чистой прибыли, отчислений в фонды предприятия.
Для анализа прибыли используются Закон о налогах и сборах, взимаемых в бюджет, инструктивные и методические указания Министерства финансов, Устав предприятия, а также данные отчета о прибылях и убытках, приложения к балансу, отчета о движении капитала, аналитического бухгалтерского учета по счету 81 "Использование прибыли", расчетов налогов на имущество, на прибыль, на доходы и др.
Источники информации для анализа рентабельности: план экономического и социального развития (бизнес-план), ф. № 1 «Баланс предприятия», ф. № 2 «Отчет о прибылях и убытках», ф. № 5-ф «Краткий отчет о финансовых результатах», ф. № 1-ф «Отчет о финансовых показателях предприятия», ф. № 5-з «Отчет о затратах на производство и реализацию продукции (работ, услуг) предприятия», плановые и отчетные (ф. № 1-к) калькуляции единицы изделий.
Анализ рентабельности производства.
Все показатели рентабельности могут рассчитываться на основе балансовой прибыли, прибыли от реализации продукции и чистой прибыли.
Рентабельность производственной деятельности (окупаемость издержек) - отношение валовой (Прп ) или чистой прибыли (ЧП) к сумме затрат по реализованной продукции (Зрп ):
Rз = Прп / Зрп , или Рз = ЧП / Зрп
Она показывает, сколько предприятие имеет прибыли с каждого рубля, затраченного на производство и реализацию продукции. Может рассчитываться в целом по предприятию, отдельным его подразделениям и видам продукции.
Аналогичным образом определяется окупаемость инвестиционных проектов: полученная или ожидаемая сумма прибыли от проекта относится к сумме инвестиций в данный проект.
Рентабельность продаж (оборота) - отношение прибыли от реализации продукции, работ и услуг или чистой прибыли к сумме полученной выручки (В):
Rрп = Прп / В, или Rрп = ЧП / В
Характеризует эффективность предпринимательской деятельности: сколько прибыли имеет предприятие с рубля продаж. Широкое применение этот показатель получил в рыночной экономике. Рассчитывается в целом по предприятию и отдельным видам продукции.
Рентабельность (доходность) капитала - отношение балансовой (валовой, чистой) прибыли к среднегодовой стоимости всего инвестированного капитала (KL) или отдельных его слагаемых: собственного (акционерного), заемного, перманентного, основного, оборотного, производственного капитала и т.д.:
Rк = БП / KL; Rк = Прп / KL; Rк = ЧП / KL
В процессе анализа следует изучить динамику перечисленных показателей рентабельности, выполнение плана по их уровню и провести межхозяйственные сравнения с предприятиями-конкурентами.
Анализ внереализационных доходов и потерь, система показателей рентабельности производства и продукции.
Анализ внереализационных результатов следует производить по каждому их виду. При этом необходимо установить, правильно ли они отнесены за счет предприятия, и в частности за счет прибылей и убытков; не было ли допущено при списании сумм на убытки нарушений действующих положений. Внереализационные убытки в значительной мере являются результатом нарушения договорной дисциплины и свидетельствуют о том, что на предприятии плохо обеспечивается сохранность собственности, Внереализационные доходы и расходы от штрафов, пени, неустоек в некоторых случаях являются результатом плохой постановки учета (например, прибыль прошлых лет, выявленная в отчетном году). Внереализационные доходы и расходы изучаются в динамике за ряд отчетных периодов. Тщательно выясняются причины их (особенно по штрафам), намечаются меры по сокращению и недопущению внереализационных убытков, штрафных санкций, большую часть которых составляют штрафы за нарушение договоров поставок.
Кроме штрафных санкций, существенное влияние на снижение прибыли оказывают непроизводительные расходы. Поэтому при их анализе целесообразно изучать следующие показатели: потери от брака, непроизводительные расходы, отнесенные на себестоимость продукции, и др.
Система показателей рентабельности производства и продукции:
1) показатели, характеризующие окупаемость издержек производства и инвестиционных проектов;
2) показатели, характеризующие прибыльность продаж;
3) показатели, характеризующие доходность капитала и его частей.
Характеристика основных приемов и методов экономического анализа
Сравнение – сопоставление изучаемых данных и фактов хозяйственной жизни. Различают горизонтальный сравнительный анализ, который применяется для определения абсолютных и относительных отклонений фактического уровня исследуемых показателей от базового; вертикальный сравнительный анализ, используемый для изучения структуры экономических явлений; трендовый анализ, применяемый при изучении относительных темпов роста и прироста показателей за ряд лет к уровню базисного года, т.е. при исследовании рядов динамики.
Обязательным условием сравнительного анализа является сопоставимость сравниваемых показателей, предполагающая: · единство объемных, стоимостных, качественных, структурных показателей; · единство периодов времени, за которые производится сравнение; · сопоставимость условий производства; · сопоставимость методики исчисления показателей.
Средние величины – исчисляются на основе массовых данных о качественно однородных явлениях. Они помогают определять общие закономерности и тенденции в развитии экономических процессов.
Группировки – используются для исследования зависимости в сложных явлениях, характеристика которых отражается однородными показателями и разными значениями (характеристика парка оборудования по срокам ввода в эксплуатацию, по месту эксплуатации, по коэффициенту сменности и т.д.)
Балансовый метод состоит в сравнении, соизмерении двух комплексов показателей, стремящихся к определенному равновесию. Он позволяет выявить в результате новый аналитический (балансирующий) показатель.
Например, при анализе обеспеченности предприятия сырьем сравнивают потребность в сырье, источники покрытия потребности и определяют балансирующий показатель – дефицит или избыток сырья.
Как вспомогательный, балансовый метод используется для проверки результатов расчетов влияния факторов на результативный совокупный показатель. Если сумма влияния факторов на результативный показатель равна его отклонению от базового значения, то, следовательно, расчеты проведены правильно. Отсутствие равенства свидетельствует о неполном учтете факторов или о допущенных ошибках:
,
где у – результативный показатель; x– факторы;
– отклонение результативного показателя за счет фактора хi
.
Балансовый метод применяют также для определения размера влияния отдельных факторов на изменение результативного показателя, если известно влияние остальных факторов:
.
Графический способ. Графики являются масштабным изображением показателей и их зависимости с помощью геометрических фигур.
Графический способ не имеет в анализе самостоятельного значения, а используется для иллюстрации измерений.
Индексный метод основывается на относительных показателях, выражающих отношение уровня данного явления к его уровню, взятому в качестве базы сравнения. Статистика называет несколько видов индексов, которые применяются при анализе: агрегатные, арифметические, гармонические и т.д.
Использовав индексные пересчеты и построив временной ряд, характеризующий, например, выпуск промышленной продукции в стоимостном выражении, можно квалифицированно проанализировать явления динамики.
Метод корреляционного и регрессионного (стохастического) анализа широко используется для определения тесноты связи между показателями не находящимися в функциональной зависимости, т.е. связь проявляется не в каждом отдельном случае, а в определенной зависимости.
С помощью корреляции решаются две главные задачи: · составляется модель действующих факторов (уравнение регрессии); · дается количественная оценка тесноты связей (коэффициент корреляции).
Матричные модели представляют собой схематическое отражение экономического явления или процесса с помощью научной абстракции. Наибольшее распространение здесь получил метод анализа «затраты-выпуск», строящийся по шахматной схеме и позволяющий в наиболее компактной форме представить взаимосвязь затрат и результатов производства.
Математическое программирование – это основное средство решения задач по оптимизации производственно-хозяйственной деятельности.
Метод исследования операций направлен на изучение экономических систем, в том числе производственно-хозяйственной деятельности предприятий, с целью определения такого сочетания структурных взаимосвязанных элементов систем, которое в наибольшей степени позволит определить наилучший экономический показатель из ряда возможных.
Теория игр как раздел исследования операций - это теория математических моделей принятия оптимальных решений в условиях неопределенности или конфликта нескольких сторон, имеющих различные интересы.
Методика факторного анализа
Все явления и процессы хозяйственной деятельности предприятий находятся во взаимосвязи и взаимообусловленности. Одни из них непосредственно связаны между собой, другие косвенно. Отсюда важным методологическим вопросом в экономическом анализе является изучение и измерение влияния факторов на величину исследуемых экономических показателей.
Под экономическим факторным анализом понимается постепенный переход от исходной факторной системы к конечной факторной системе, раскрытие полного набора прямых, количественно измеримых факторов, оказывающих влияние на изменение результативного показателя.
По характеру взаимосвязи между показателями различают методы детерминированного и стохастического факторного анализа.
Детерминированный факторный анализ представляет собой методику исследования влияния факторов, связь которых с результативным показателем носит функциональный характер.
Основные свойства детерминированного подхода к анализу: · построение детерминированной модели путем логического анализа; · наличие полной (жесткой) связи между показателями; · невозможность разделения результатов влияния одновременно действующих факторов, которые не поддаются объединению в одной модели; · изучение взаимосвязей в краткосрочном периоде.
Различают четыре типа детерминированных моделей:
Аддитивные модели представляют собой алгебраическую сумму показателей и имеют вид
.
К таким моделям, например, относятся показатели себестоимости во взаимосвязи с элементами затрат на производство и со статьями затрат; показатель объема производства продукции в его взаимосвязи с объемом выпуска отдельных изделий или объема выпуска в отдельных подразделениях.
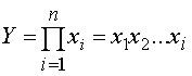
Мультипликативные модели в обобщенном виде могут быть представлены формулой
.
Примером мультипликативной модели является двухфакторная модель объема реализации
,
где Ч - среднесписочная численность работников;
CB - средняя выработка на одного работника.
Кратные модели:
.
Примером кратной модели служит показатель срока оборачиваемости товаров (в днях) . ТОБ.Т :
,
где ЗТ - средний запас товаров; ОР - однодневный объем реализации.
Смешанные модели представляют собой комбинацию перечисленных выше моделей и могут быть описаны с помощью специальных выражений:
Примерами таких моделей служат показатели затрат на 1 руб. товарной продукции, показатели рентабельности и др.
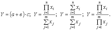
Для изучения зависимости между показателями и количественного измерения множества факторов, повлиявших на результативный показатель, приведем общие правила преобразования моделей с целью включения новых факторных показателей.
Для детализации обобщающего факторного показателя на его составляющие, которые представляют интерес для аналитических расчетов, используют прием удлинения факторной системы.
Если исходная факторная модель
, а
,
то модель примет вид
.
Для выделения некоторого числа новых факторов и построения необходимых для расчетов факторных показателей применяют прием расширения факторных моделей. При этом числитель и знаменатель умножаются на одно и тоже число:
.
Для построения новых факторных показателей применяют прием сокращения факторных моделей. При использовании данного приема числитель и знаменатель делят на одно и то же число.
.
Детализация факторного анализа во многом определяется числом факторов, влияние которых можно количественные оценить, поэтому большое значение в анализе имеют многофакторные мультипликативные модели. В основе их построения лежат следующие принципы: · место каждого фактора в модели должно соответствовать его роли в формировании результативного показателя; · модель должна строиться из двухфакторной полной модели путем последовательного расчленения факторов, как правило качественных, на составляющие; · при написании формулы многофакторной модели факторы должны располагаться слева направо в порядке их замены.
Построение факторной модели – первый этап детерминированного анализа. Далее определяют способ оценки влияния факторов.
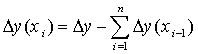
Способ цепных подстановок заключается в определении ряда промежуточных значений обобщающего показателя путем последовательной замены базисных значений факторов на отчетные. Данный способ основан на элиминировании. Элиминировать – значит устранить, исключить воздействие всех факторов на величину результативного показателя, кроме одного. При этом исходя из того, что все факторы изменяются независимо друг от друга, т.е. сначала изменяется один фактор, а все остальные остаются без изменения. потом изменяются два при неизменности остальных и т.д.
В общем виде применение способа цепных постановок можно описать следующим образом:
где a0 , b0, c0 - базисные значения факторов, оказывающих влияние на обобщающий показатель у;
a1 , b1 , c1 -фактические значения факторов;
ya , yb , -промежуточные изменениярезультирующего показателя, связанного с изменением факторов а, b, соответственно.
Общее изменение Dу=у1 –у0 складывается из суммы изменений результирующего показателя за счет изменения каждого фактора при фиксированных значениях остальных факторов:
Рассмотрим пример:
Таблица 2
Исходные данные для факторного анализа
| Показатели | Условные обозначения | Базисные значения (0) |
Фактические значения (1) |
Изменение | |
| Абсолютное (+,- ) | Относительное (%) | ||||
| Объем товарной продукции, тыс. руб. | ТП | 2920 | 3400 | +480 | 116,40 |
| Количество работников, чел | Ч | 20 | 25 | +5 | 125,00 |
| Выработка на одного работающего, тыс.руб. | СВ | 146 | 136 | -10 | 93,15 |
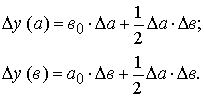
Анализ влияния на объем товарной продукции количества работников и их выработки проведем описанным выше способом на основе данных табл.2. Зависимость объема товарной продукции от данных факторов можно описать с помощью мультипликативной модели:
Тогда влияние изменения величины количества работников на обобщающий показатель можно рассчитать по формуле:
Далее определим влияние изменения выработки работников на обобщающий показатель
Таким образом, на изменение объема товарной продукции положительное влияние оказало изменение на 5 человек численности работников, что вызвало увеличение объема продукции на 730 тыс. руб. и отрицательное влияние оказало снижение выработки на 10 тыс. руб., что вызвало снижение объема на 250 тыс. руб. Суммарное влияние двух факторов привело к увеличению объема продукции на 480 тыс. руб.
Преимущества данного способа: универсальность применения, простота расчетов.
Недостаток метода состоит в том, что, в зависимости от выбранного порядка замены факторов, результаты факторного разложения имеют разные значения. Это связано с тем, что в результате применения этого метода образуется некий неразложимый остаток, который прибавляется к величине влияния последнего фактора. На практике точностью оценки факторов пренебрегают, выдвигая на первый план относительную значимость влияния того или иного фактора. Однако существуют определенные правила, определяющие последовательность подстановки: · при наличии в факторной модели количественных и качественных показателей в первую очередь рассматривается изменение количественных факторов; · если модель представлена несколькими количественными и качественными показателями, последовательность подстановки определяется путем логического анализа.
Под количественным факторами при анализе понимают те, которые выражают количественную определенность явлений и могут быть получены путем непосредственного учета (количество рабочих, станков, сырья и т.д.).
Качественные факторы определяют внутренние качества, признаки и особенности изучаемых явлений (производительность труда, качество продукции, средняя продолжительность рабочего дня и т.д.).
Способ абсолютных разниц является модификацией способа цепной подстановки. Изменение результативного показателя за счет каждого фактора способом разниц определяется как произведение отклонения изучаемого фактора на базисное или отчетное значение другого фактора в зависимости от выбранной последовательности подстановки:
Способ относительных разниц применяется для измерения влияния факторов на прирост результативного показателя в мультипликативных и смешанных моделях вида у = (а – в) . с. Он используется в случаях, когда исходные данные содержат определенные ранее относительные отклонения факторных показателей в процентах.
Для мультипликативных моделей типа у = а . в . с методика анализа следующая:
находят относительное отклонение каждого факторного показателя:
определяют отклонение результативного показателя у за счет каждого фактора
Пример. Воспользовавшись данными табл. 2, проведем анализ способом относительных разниц. Относительные отклонения рассматриваемых факторов составят:
Рассчитаем влияние на объем товарной продукции каждого фактора:
Результаты расчетов те же , что и при использовании предыдущего способа.
Интегральный метод позволяет избежать недостатков, присущих методу цепной подстановки, и не требует применения приемов по распределению неразложимого остатка по факторам, т.к. в нем действует логарифмический закон перераспределения факторных нагрузок. Интегральный метод позволяет достигнуть полного разложения результативного показателя по факторам и носит универсальный характер, т.е. применим к мультипликативным, кратным и смешанным моделям. Операция вычисления определенного интеграла решается с помощью ПЭВМ и сводится к построению подынтегральных выражений, которые зависят от вида функции или модели факторной системы.
Можно использовать также уже сформированные рабочие формулы, приводимые в специальной литературе [4]:
1. Модель вида
:
2. Модель вида
:
3. Модель вида
:
4. Модель вида
:
Рассмотрим возможность использования основных методов детерминированного анализа, обобщив вышеизложенное в виде матрицы (табл.3).
Таблица 3
Матрица применения способов детерминированного факторного анализа
Модели Способы |
Мультипликативные | Аддитивные | Кратные | Смешанные |
| Цепной подстановки | + | + | + | + |
| Абсолютных разниц | + | - | + | - |
| Относительных разниц | + | - | - | |
| Интегральный | + | - | + |
1.3 Информационное обеспечение анализа ФХД
Информационная система включает в себя совокупность входных данных, результаты их промежуточной обработки, выходные данные и конечные результаты, поступающие в систему управления. Рационально организованный и соответствующим образом регулируемый информационный поток служит надежной базой для построения моделей (моделирования) в соответствии с задачами экономического анализа.
Содержанием и предметом экономического анализа определяются стоящие перед ним задачи. Важнейшие из них:
1) повышение научно-экономической обоснованности бизнес-планов, бизнес-процессов и нормативов (в процессе их разработки);
2) объективное и всестороннее исследование выполнения бизнес-планов, бизнес-процессов и соблюдения нормативов (по данным учета и отчетности);
3) определение результативности использования трудовых, материальных и финансовых ресурсов (отдельно и в совокупности);
4) контроль за осуществлением требований коммерческого расчета;
5) выявление и измерение внутренних резервов (на всех стадиях производственного процесса);
6) проверка оптимальности управленческих решений.
Первая задача - повышение научно-экономической обоснованности бизнес-планов, бизнес-процессов и нормативов достигается обстоятельным ретроспективным анализом хозяйственной деятельности. Построение временных рядов за значительный период позволяет установить определенные экономические закономерности в хозяйственном развитии. Далее выявляются основные факторы, которые оказывали в прошлом и могут оказывать в будущем существенное влияние на хозяйственную деятельность предприятия (ассоциаций, товариществ, концернов и др.). Особое внимание обращается на анализ хозяйственной деятельности за текущий период; он является в то же время и предплановым анализом. Выводы ретроспективного анализа совмещаются с ним и в обобщенном виде используются в плановых расчетах. В связи с тем, что плановая работа опережает отчетную за текущий период, возникает необходимость предпланового анализа, изучение ожидаемого выполнения плана производится, как правило, за IV квартал.
Ретроспективный и текущий анализ завершаются перспективным (прогнозным) анализом с прямым выходом на планово-предположительные показатели.
Во всех случаях используются методы сравнительного анализа конечных производственно-финансовых результатов, показателей социально-экономической эффективности передовых предприятий и организаций (отечественных и зарубежных). Таким образом, бизнес-планы обстоятельно обосновываются необходимыми экономическими расчетами.
Вторая задача - объективное и всестороннее изучение по данным учета и отчетности выполнения установленных бизнес-планов, бизнес-процессов и соблюдения нормативов по количеству, структуре и качеству выпущенной продукции, выполненных работ и услуг. На промышленных предприятиях, например, исследуется выполнение производственной программы по количеству и ассортименту важнейших изделий, сортности, комплектности и качеству продукции, ритмичности производства, реализации продукции, выполнению договоров поставки; на транспорте -по грузообороту; в организациях связи - по числу оказанных услуг и т.д. В торговле основное внимание обращается на объем оптового и розничного товарооборота, на его ассортиментную структуру и т.д.
Третья задача - определение экономической эффективности использования трудовых, материальных и финансовых ресурсов. На промышленных предприятиях отдельно исследуется эффективность использования средств и предметов труда (зданий и сооружений, инструментов, сырья и материалов), рабочей силы (по численности и профессиональному составу работников, основному и вспомогательному персоналу, производительности труда и т.д.), финансовых ресурсов, взятых в их совокупности ( собственных и заемных).
В сельском хозяйстве анализ использования материальных, трудовых и финансовых ресурсов непосредственно увязывается с анализом использования природных ресурсов, со строгим соблюдением определенных экологических требований.
Четвертая задача экономического анализа - обеспечение заданной эффективности и оценка конечных финансовых результатов.
При оценке финансовых результатов деятельности предприятий используются количественные и качественные показатели (в их необходимой увязке). Так, размер прибыли промышленного предприятия определяется не только количеством и ассортиментом выпускаемых изделий, но и их себестоимостью. Прибыль торгового предприятия зависит как от выполнения плана товарооборота (по объему и структуре), так и от фактически сложившегося уровня издержек обращения.
Для правильной оценки соблюдения принципов коммерческого расчета и финансовых результатов необходимо подразделить факторы, повлиявшие на исследуемые показатели, на зависящие и не зависящие от предприятий. Устранение влияния сторонних факторов (путем соответствующих расчетов) позволяет объективно проанализировать результаты усилий коллектива предприятия или собственника. Подразделение факторов на зависящие и не зависящие от предприятия особенно необходимо в условиях рыночных отношений.
При анализе деятельности внутренних подразделений аналитические разработки несколько сужаются. В частности, сокращаются позиции, связанные с заключением договоров поставки, с банковскими и бюджетными расчетами, ограничиваются возможности анализа финансовых результатов.
Пятая задача экономического анализа - выявление и измерение внутренних резервов на всех стадиях производственного процесса.
Экономический анализ как дисциплина прикладная оправдывает себя в полной мере лишь тогда, когда приносит реальную пользу. Действительная полезность его состоит в выявлении неиспользованных резервов на всех стадиях производственного процесса. Повышение темпов развития экономики непосредственно зависит от того, приведены ли в действие все имеющиеся в хозяйстве резервы, соблюден ли непреложный принцип режима экономии - достижение наибольших результатов с наименьшими затратами.
В процессе экономического анализа выявление резервов происходит путем сравнительного изучения выполнения плана внутренними подразделениями предприятия, однородными предприятиями, а также изучения и наиболее полного использования отечественного и зарубежного передового опыта. Критическая оценка самих плановых разработок также может указать на возможности их перевыполнения.
Шестая задача экономического анализа состоит в обосновании и проверке оптимальности управленческих решений. Принять правильное управленческое решение, выявить его рациональность и эффективность можно лишь на основе предварительного экономического анализа.
Задачи экономического анализа, конечно, не исчерпываются приведенным выше перечнем. Многогранность хозяйственных ситуаций ставит перед ним многие задачи автономного характера. И их можно решить, применяя общие и частные аналитические методы.
2. Анализ финансово-хозяйственной деятельности ЗАО «Аккорд»
2.1 Краткая характеристика
Компания ЗАО «АККОРД» (компания занимается производством бетона и железобетонных конструкций).
Юридический и фактический адрес: РТ, г. Казань. Ул. Большой Сабан, д. 1
Общество самостоятельно заключает и контролирует исполнение хозяйственных и других договоров со всеми видами организаций, предприятий и учреждений, а также частными лицами.
Уставный капитал Общества составляет 282130000 рублей.
Высшим органом управления общества является собрание учредителей. Оно регулярно собирается один раз в год для утверждения бухгалтерской отчетности, отчета директора, отчета главного бухгалтера общества, распределения чистой прибыли, выборов исполнительного органа, решения стратегических вопросов деятельности общества.
Оперативной деятельностью общества руководит единоличный исполнительный орган – директор.
ЗАО «АККОРД» реализует только сертифицированную продукцию (товары, работы, услуги) в соответствии с действующим законодательством и несёт ответственность за реализацию продукции (товаров, работ, услуг), причиняющих вред потребителям.
Организационная структура предприятия выглядит следующим образом:
Рис. 1 Организационная структура
Охарактеризуем организационную структуру бухгалтерии ЗАО «АККОРД» (см. рис.2)
![]()
Рис. 2. Организационная структура бухгалтерии
Структура бухгалтерии линейного типа, т.е. все бухгалтера подчиняются непосредственно главному бухгалтеру.
Главный бухгалтер отвечает за организацию бухгалтерского учета на предприятии, разрабатывает учетную политику, занимается ведением учета основных средств, налогов, а также составлением финансовой отчетности предприятия.
Бухгалтер по учету заработной платы – начисляет заработную плату работникам предприятия, начисляет отпускные, больничные листы. Кроме этого отвечает за правильное и своевременное отчисление в фонды социального страхования.
Бухгалтер кассир – ведет счета по учету денежных средств на расчетном счете и в кассе. Кроме этого, выполняет функции кассира предприятия, выдает и принимает денежные средства в кассе.
Производственно-калькуляционная группа – занимается расчетом нормативов и калькуляцией себестоимости продукции. Также данная группа осуществляет учет отклонений от норм и выявляет причины этих отклонений.[3]
Бухгалтер материального стола – осуществляет бухгалтерский учет производственных запасов предприятия, а также учет выпуска готовой продукции.
Бухгалтер по учету расчетов – ведет все счета по учету расчетов, кроме счетов по налогам и заработной платы. К таким счетам относят счета по учету с поставщиками, покупателями, прочим дебиторам и кредиторам и др.
На предприятии действует инвентаризационная комиссия, в состав которой входят: руководитель предприятия, главный бухгалтер, бухгалтер-кассир и один из работников технического персонала.
На данном предприятии используется программа «1С - Бухгалтерия».
Исходными данными для бухгалтерии являются проводки, вводимые в журнал хозяйственных операций. На основании введенных проводок программа автоматически формирует баланс.
2.2 Анализ финансово-хозяйственной деятельности ЗАО «Аккорд»
Оценку текущего состояния необходимо начинать с анализа имущественного положения предприятия, которая характеризуется составом и состоянием активов, которыми владеет и распоряжается предприятие для достижения своих целей. Оно изменяется с течением времени за счёт различных факторов, главным из которых являются достигнутые за истинный период финансовые результаты. Говоря об анализе имущественного положения, следует иметь в виду не только предметно-вещественную характеристику, но и денежную оценку, позволяющую делать суждения об оптимальности, возможности и целесообразности вложения финансовых результатов в активы предприятия. Имущественное и финансовое положение предприятия представляет собой две стороны экономического потенциала, которые тесно взаимосвязаны.
Анализ структуры имущества осуществляется на основе сравнительного аналитического баланса, который включает в себя и вертикальный, и горизонтальный анализ. Структура стоимости имущества даёт общее представление о финансовом состоянии предприятия. Она показывает долю каждого элемента в активах и соотношение заёмных и собственных средств, покрывающих их, в пассивах. Сопоставляя структурные изменения в активе и пассиве, можно сделать вывод о том, через какие источники, в основном, был приток новых средств и в какие активы эти новые средства вложены.
Таблица 1
Сравнительный аналитический баланс ЗАО «Аккорд» за 2007-2009 гг.
Группировка статей баланса |
Абсолютные величины (на конец отчетного периода), тыс. руб. |
Относительные величины (на конец отчетного периода), % |
Изменения (на конец 2009 г. по сравнению с концом 2007 г.) |
|||||||
| 2007 г. | 2008 г. | 2009 г. | 2007 г. | 2008 г. | 2009 г. | В абс. Вели чинах, тыс. руб. |
В струк туре |
В % к вели чине на конец 2007 г. |
В % к измене нию итога баланса |
|
| 1.Имущество предприятия | 317971 | 567718 | 485363 | 100 | 100 | 100 | 197392 | - | 52,64 | |
1.1 Иммоби- лизованные активы |
17627 | 12940 | 12803 | 5,54 | 2,28 | 2,64 | -4824 | -2,9 | -27,38 | |
1.2 Оборот- ные активы |
300344 | 554778 | 472560 | 94,46 | 97,72 | 97,36 | 172216 | 2,9 | 57,37 | |
| 1.2.1 Запасы | 174874 | 41969 | 37894 | 58,22 | 7,57 | 8,02 | -136980 | -50,2 | -78,33 | |
1.2.2 Дебито- рская задолженность |
93552 | 264616 | 341569 | 31,15 | 47,69 | 72,28 | 248017 | 41,13 | 265,11 | |
1.2.3 Денеж- ные средства |
31918 | 248193 | 93097 | 10,63 | 44,74 | 19,70 | 61179 | 9,07 | 191,68 | |
| 2. Источники формирования имущества | 317971 | 567718 | 485363 | 100 | 100 | 100 | 197392 | 52,64 | 317971 | |
2.1 Собствен ный капитал |
151100 | 203438 | 225300 | 47,52 | 35,83 | 46,42 | 74200 | -1,1 | 49,11 | |
| 2.2 Заемный капитал | 166871 | 364280 | 260063 | 52,48 | 64,17 | 53,58 | 93192 | 1,1 | 55,85 | |
2.2.1 Креди- торская задолженность |
166871 | 36480 | 260063 | 52,48 | 64,17 | 53,58 | 93192 | 1,1 | 55,85 | |
| Собственные обортные средства | 133473 | 190498 | 212497 | - | - | - | 79024 | - | 59,20 | |
Данные Таблицы 1 свидетельствуют, что за исследуемый период имущество предприятия увеличилось на 167392000 рубля или 52,64%, в том числе за счёт уменьшения объёма основного капитала - на 4824000 рубля и прироста оборотного капитала на 172216000 рублей. В структурном отношении на лицо преобладание оборотных активов, их доля возросла на 2,9 пункта и составила 97,36% на конец 2009 года. Однако в их составе произошли изменения в сторону увеличения дебиторской задолженности на 248017000 рублей или 265,11%, а ее доля составила на конец 2009 г.- 72,28%, что больше аналогичного показателя на конец 2007 г. на 41,13 пункта. Денежные средства в абсолютном и относительном измерении возросли, их размер увеличился на 61179000 рублей, а их удельный вес в составе оборотных активов - на 9,07 пункта и составил 19,70%. Запасы снизились на конец отчетного периода в абсолютном исчислении, снизились на 136980000 рублей или 78,33%, и составили 37894000 рублей. Их доля в составе оборотных средств уменьшилась на 50,2% и составила 8,02%. Подобное изменение является негативным фактом в деятельности предприятия, так как запасы обеспечивают бесперебойность процесса реализации товаров.
Пассивная часть баланса характеризуется преобладающим удельным весом заемных источников средств, но в целом их доля в течении всего анализируемого периода оставалась неизменной. Собственный капитал за исследуемый период увеличился на 74200000 рублей, но его доля в общем объеме источников финансирования имущества сократилась на 1,1 пункта и составила 46,42% наконец 2009 года. Заёмные средства предприятия представлены только кредиторской задолженностью, которая в абсолютном исчислении возросла на 93192000 рубля или 55,85%. В результате проведённого анализа можно делать следующие выводы:
- имущество предприятия за исследуемый период увеличилось;
- преобладающее место в структуре имущества занимают оборотные средства, доля которых для предприятий торговли является высокой, особенно если учесть тот факт, что в их составе преобладает дебиторская задолженность, а доля запасов незначительна;
- среди источников формирования имущества преобладают заемные средства в форме кредиторской задолженности.
Поскольку эффективность работы предприятия неразрывно связана с рациональностью вложения средств в активы, необходимо провести в работе анализ его ликвидности и платежеспособности.[4]
Важнейшим критерием финансового положения предприятия является оценка его платежеспособности под которой понимается способность предприятия своевременно и в полном объеме произвести расчеты по краткосрочным обязательствам перед контрагентами. Способность предприятия оперативно высвободить из хозяйственного оборота денежные средства, необходимые для нормальной финансово-хозяйственной деятельности и погашения его текущих (краткосрочных) обязательств называется ликвидностью. Причем ликвидность можно рассматривать как на данный момент, так и на перспективу. Под ликвидностью какого-либо актива понимают способность его трансформироваться в денежные средства, а степень ликвидности определяется продолжительностью временного периода, в течении которого эта трансформация может быть осуществлена. Чем короче период, тем выше ликвидность данного вида активов. Говоря о ликвидности предприятия, имеют в виду наличие у него оборотных средств в размере, теоретически достаточном для погашения, предусмотренных контрактами обязательств. Основным признаком ликвидности служит формальное превышение (в стоимостной оценке) оборотных активов над краткосрочными пассивами. Чем больше это превышение, тем благоприятнее финансовое состояние с позиции ликвидности. Если величина оборотных активов недостаточно велика по сравнению с краткосрочными пассивами, текущее положение предприятия неустойчиво - вполне может возникнуть ситуация, когда оно не будет иметь достаточное количество денежных средств для расчета по своим обязательствам. Платежеспособность означает наличие у предприятия денежных средств и их эквивалентов, достаточных для расчетов по кредиторской задолженности, требующей немедленного погашения. Таким образом, основными признаками платежеспособности являются:
- наличие в достаточном объеме средств на расчетном счете;
- отсутствие просроченной кредиторской задолженности.
Предприятие в какой то степени всегда ликвидно. Поэтому одним из способов оценки ликвидности является сопоставление определенных элементов актива и пассива между собой. Ликвидность предприятия наиболее полно характеризуется сопоставлением активов того или иного уровня ликвидности с обязательствами той или иной степени срочности. Все активы предприятия группируют в зависимости от степени ликвидности, то есть скорости превращения в денежные средства и расположены в порядке убывания ликвидности, а пассивы по степени срочности их погашения и расположены в порядке возрастания сроков.
В Таблице 2 приведена классификация активов по степени ликвидности и обязательств по степени их срочности.
Таблица 2
Классификация активов по ликвидности и пассивов по срочности
| Активы в порядке снижения их ликвидности | Пассивы в порядке снижения срочности | ||
| Вид активов, А | Состав по балансу | Вид пассивов (обязательств), П | Состав по балансу |
| Наиболее ликвидные активы, А | Денежные средства и краткосрочные финансовые вложения | Наиболее срочные обязательства, П | Кредиторская задолженность |
| Быстрореализуемые активы, А | Дебиторская задолженость, платежи по котрой ожидаются в течение 12 месяцев после отчетной даты и просроченные активы | Краткосрочные пассивы, П | Краткосрочные заемные средства и прочие краткосрочные пассивы |
| Медленно реализуемые активы, А | Запасы, за исключением «Расходов будущих периодов», НДС, дебиторская задолженность платежи по которой ожидаются более чем через 12 месяцев после отчетной даты | Средне- и долгосрочные пассивы, П | Долгосрочные кредиты и заемные средства, а также доходы будущих периодов, фонды потребления, резервы предстоящих расходов и платежей |
| Трудно реализуемые активы, А | Внеоборотные активы | Постоянные пассивы, П | Собственные средства за минусом «Расходов будущих периодов» и «Убытки» |
Баланс абсолютно ликвиден, если по каждой группе обязательств имеется соответствующее покрытие активами, т.е. предприятие способно без существенных затруднений погасить свои обязательства. Недостаток активов той или иной степени ликвидности свидетельствует о возможных осложнениях в выполнении предприятием своих обязательств. Эта важная информация для менеджеров предприятия и партнеров по бизнесу.
Условия ликвидности баланса в обозначениях Таблицы 2 запишутся в следующем виде. Абсолютная ликвидность баланса:
Активы:
А1 – наиболее ликвидные активы – денежные средства (ДС) и краткосрочные финансовый вложения (КФВ);
А2 – быстро реализуемые активы – дебиторская задолженность (ДЗ);
А3 – медленно реализуемые активы – запасы (З) (без расходов будущих периодов, прочих запасов и затрат);
А4 – трудно реализуемые активы – итог раздела 1 баланса.
Пассивы:
П1 – наиболее срочные обязательства: кредиторская задолженность, прочие пассивы и ссуды, не погашенные в срок;
П2 – краткосрочные пассивы – краткосрочные кредиты и заемные средства;
П3 - долгосрочные пассивы – долгосрочные кредиты и заемные средства;
П4 – постоянные пассивы – итог раздела Ш пассива баланса.
Баланс абсолютно ликвиден, если
А1>=П1, A2>= П2, A3>= П3, A4<= П4
Выполнение четвертого неравенства обязательно при выполнении первых трех, т.к. теоретически это означает, что у предприятия соблюдается минимальный уровень финансовой устойчивости имеются собственные оборотные средства (П4-А4)>0.
В случае, когда одно или несколько неравенств системы имеют, противоположный знак от зафиксированного в оптимальном варианте, ликвидность баланса в большей или меньшей степени отличается от абсолютной. Как правило, недостаток высоколиквидных средств восполняется менее ликвидными. Но эта компенсация носит лишь расчетный характер, поскольку в реальной платежной ситуации, менее ликвидные активы не могут заменить более ликвидные. Баланс абсолютно неликвиден, предприятие не платежеспособно, если имеет место соотношение, противоположное абсолютной ликвидности: Это состояние характеризуется отсутствием собственных оборотных средств и отсутствием возможности погасить текущие обязательства без продажи внеоборотных активов.
Исходя из этого, можно охарактеризовать ликвидность баланса на протяжении трех лет как недостаточную. На анализируемом предприятии не хватает денежных средств для погашения наиболее срочных обязательств. Причем за исследуемый период платежный недостаток наиболее ликвидных активов для покрытия наиболее срочных обязательств возрос (с 134953000 руб. до 166966000 руб.). Проводимый по изложенной схеме анализ ликвидности баланса является приближенным. Более детальным является анализ платежеспособности при помощи финансовых коэффициентов. Приведенное подразделение активов и пассивов позволяет построить три аналитических коэффициента, которые используют для обобщенной оценки ликвидности и платежеспособности предприятия. Коэффициенты ликвидности отражают кассовую позицию предприятия и определяют его способность управлять оборотными средствами, т.е. в нужный момент быстро обращать активы в наличность с целью погашения текущих обязательств. В зарубежной и отечественной литературе и практике используют три ключевых коэффициента ликвидности или степеней покрытия имущественными средствами текущих обязательств, в зависимости от скорости реализации отдельных видов активов:
- коэффициент абсолютной ликвидности;
- коэффициент быстрой ликвидности;
- коэффициент покрытия.
Все три показателя измеряют отношение оборотных активов предприятия к его краткосрочной задолженности.
В первом коэффициенте в расчет принимаются самые ликвидные оборотные активы - денежные средства и краткосрочные финансовые вложения.
Во втором к ним добавляются дебиторская задолженность
А в третьем запасы, т.е. расчет коэффициента покрытия - это практически расчет всей суммы оборотных активов на рубль краткосрочной задолженности. Этот показатель принят в качестве официального критерия неплатежеспособности предприятия.
Коэффициент (покрытия) текущей ликвидности дает общую оценку ликвидности активов, показывая, сколько рублей текущих активов предприятия приходится на один рубль текущих обязательств. Логика исчисления данного показателя заключается в том, что предприятие погашает краткосрочные обязательства в основном за счет текущих активов; следовательно, если текущие активы превышают по величине текущие обязательства, предприятие может рассматриваться как успешно функционирующее (по крайней мере теоретически). Размер показателя может значительно варьировать по отраслям и видам деятельности, а его разумный рост в динамике обычно рассматривается как благоприятная тенденция. В западной учетно-аналитической практике приводится критическое нижнее значение показателя — 2; однако это лишь ориентировочное значение, указывающее на порядок показателя, но не его точное нормативное значение.
Подобный уровень коэффициента текущей ликвидности обеспечивает предприятию надежное покрытие краткосрочной задолженности даже в случае сокращения величины текущих активов на 50%. В методических рекомендациях по разработке финансовой политики предприятия от 01.10.2007г. коэффициент покрытия имеет диапазон от 1 до 2. Комментарии к выбранному критерию, возможно адаптированы к Российским условиям, но противоречат мировому опыту. Коэффициент текущей ликвидности имеет ряд особенностей. Которые необходимо иметь в виду, выполняя пространственно-временные сопоставления.
Во - первых, числитель коэффициента включает оценку запасов и дебиторской задолженности. Поскольку методы оценки запасов могут варьировать, это оказывает влияние на сопоставимость показателей; то же самое следует сказать в отношении трактовки учета сомнительных долгов.
Во - вторых, значение коэффициента в принципе тесно связано с уровнем эффективности работы предприятия в отношении управления запасами: некоторые компании Запада за счет высокой культуры организации технологического процесса, например, путем внедрения системы поставки сырья и материалов, известной под названием «точно в срок», могут существенно сокращать уровень запасов, т.е. снижать значение коэффициента текущей ликвидности до уровня ниже, чем в среднем по отрасли, без ущерба для своего текущего финансового состояния.
В - третьих, некоторые предприятия с высокой оборачиваемостью денежных средств могут позволить себе относительно невысокие значения коэффициента покрытия. В частности, это относится к предприятиям розничной торговли. Таким образом, не случайно некоторые ученые указывают на опасность чрезмерной абсолютизации значимости коэффициента текущей ликвидности при характеристике финансового состояния с позиции краткосрочной перспективы. Коэффициент быстрой ликвидности.
По смысловому назначению показатель аналогичен коэффициенту покрытия; однако исчисляется по более узкому кругу текущих активов, когда из расчета исключена наименее ликвидная их часть - производственные запасы. Логика такого исключения состоит не только в значительно меньшей ликвидности запасов, но, что гораздо более важно, и в том, что денежные средства, которые можно выручить в случае вынужденной реализации производственных запасов, могут быть существенно ниже затрат по их приобретению. В частности, в условиях рыночной экономики типичной является ситуация, когда при ликвидации предприятия выручают 40 % и менее от учетной стоимости запасов. В западной литературе приводится ориентировочное нижнее значение показателя - 1, однако, эта оценка носит условный характер. Тем не менее, ей можно дать вполне обоснованное толкование. Кредиторская и дебиторская задолженности представляют собой некую форму взаимного кредитования контрагентов, находящихся в деловых отношениях. Очевидно, что в целом по экономике суммы предоставленного и полученного кредитов равны. Любое предприятие должно стремиться к тому, чтобы сумма кредита, предоставленного им своим покупателям, не превышала величины кредита, полученного им от поставщиков. На практике возможны любые отклонения от этого правила. Анализируя динамику этого коэффициента необходимо обращать внимание и на факторы, обусловившие его изменение. Коэффициент абсолютной ликвидности (платежеспособности). Является наиболее жестким критерием ликвидности предприятия; показывает, какая часть краткосрочных заемных обязательств может быть при необходимости погашена немедленно. Величина коэффициента абсолютной ликвидности в значительной степени и прежде всего определяется числителем дроби. Сумма краткосрочных пассивов -относительно стабильная величина, по крайней мере, она гораздо менее изменчива по сравнению с величиной денежных средств, которая зависит от многих факторов текущего порядка. Изменчивость величины денежных средств вызвана прежде всего их абсолютной ликвидностью, т.е. возможностью и искушением использовать эти средства для «затыкания дыр» и участия во внезапно подвернувшихся проектах, а также хроническим свойством многих компаний испытывать нехватку денежной наличности. В большинстве случаев предприятие можно сравнить с акулой, испытывающей постоянное чувство голода. Рекомендательная нижняя граница показателя, приводимая в западной литературе, - 0,2.[5]
В отечественной практике фактические значения рассмотренных коэффициентов ликвидности, как правило, значительно ниже значений, упоминаемых в западных литературных источниках. Вышеназванные показатели ликвидности дают не только разностороннюю характеристику устойчивости финансового состояния предприятия при разной степени учета ликвидных средств, но и отвечают интересам различных внешних пользователей аналитической информации. Так для поставщиков сырья и материалов наиболее интересен коэффициент абсолютной ликвидности, поскольку он связан непосредственно со свободными денежными средствами. Вышеназванные показатели ликвидности дают не только разностороннюю характеристику устойчивости финансового состояния предприятия при разной степени учета ликвидных средств, но и отвечают интересам различных внешних пользователей аналитической информации. Так для поставщиков сырья и материалов наиболее интересен коэффициент абсолютной ликвидности, поскольку он связан непосредственно со свободными денежными средствами. Банк, кредитующий данное предприятие, больше уделяет внимания коэффициенту промежуточной ликвидности, поскольку он связан с дебиторской задолженностью, которая может быть учтена через этот банк. Покупатели и держатели акций предприятия в большей мере оценивают положение предприятия по коэффициенту общей ликвидности, поскольку он представляет более общую характеристику деятельности предприятия. Правда по вопросам включения тех или иных компонентов в составе оборотных активов при исчислении коэффициентов ликвидности между аналитиками ведется дискуссия, и многие экономисты предлагают исключить из рассмотрения все неликвидные активы. Очевидно, ликвидность и платежеспособность не тождественны друг другу. Так, коэффициенты ликвидности могут характеризовать финансовое положение как удовлетворительное, однако по существу эта оценка может быть ошибочной, если в текущих активах значительный удельный вес приходится на неликвиды и просроченную дебиторскую задолженность. Ликвидность менее динамична по сравнению с платежеспособностью. По мере стабилизации производственной деятельности предприятия у него постепенно складывается определенная структура активов и источников средств, резкие изменения которой сравнительно редки. Поэтому коэффициенты ликвидности обычно варьируют в некоторых вполне предсказуемых границах, что, кстати, и дает отчасти основание аналитическим агентствам рассчитывать и публиковать среднеотраслевые и среднегрупповые значения этих показателей для использования в межхозяйственных сравнениях и в качестве ориентиров при открытии новых направлений производственной деятельности. Напротив, финансовое состояние в плане платежеспособности может быть весьма изменчивым, причем со дня на день, еще вчера предприятие было платежеспособным, однако сегодня ситуация кардинально изменилась - пришло время расплатиться с очередным кредитором, а у предприятия нет денег на счете, поскольку не поступил своевременный платеж за поставленную ранее продукцию, - иными словами, оно стало неплатежеспособным из - за финансовой недисциплинированности своих дебиторов. Если задержка с поступлением платежа носит краткосрочный или случайный характер, то ситуация в плане платежеспособности может вскоре измениться в лучшую сторону, однако не исключены и другие, менее благоприятные варианты.
Рассмотрим возможности и критерии платежеспособности ЗАО «Аккорд»
Таблица 3
Показатели ликвидности ЗАО «Аккорд»
| Показатели | Норматив | На конец | Отклонение | |||
| 2007 г. | 2008 г. | 2009 г | 2008 г от 2007 г | 2009 г от 2008 г | ||
1. Коэф фициент покрытия |
1-2 | 1,80 | 1,52 | 1,82 | -0,28 | 0,30 |
2. Коэф фициент быстрой ликвидности |
0,8-1 | 0,75 | 1,41 | 1,67 | 0,66 | 0,26 |
3. Коэф фицент абсолютной ликвидности |
0,2 | 0,19 | 0,68 | 0,36 | 0,49 | -0,32 |
Данные Таблицы 3 свидетельствуют, что общий коэффициент покрытия соответствует нормативному ограничению. Однако это ещё не является подтверждением платёжеспособности предприятия. Формально, в соответствии с критерием – «да». Но если обратить внимание на структуру оборотных средств, где преобладает наименее ликвидная их часть - дебиторская задолженность, то этот вывод можно поставить под сомнение. Если говорить о коэффициенте быстрой ликвидности, то он превышает нормативное значение. Но этот факт обусловлен выше обозначенным обстоятельством, то есть значительной долей дебиторской задолженности. Но, тем не менее, коэффициент абсолютной ликвидности выше нормативного ограничения. На конец 2008 года предприятие за счет денежных средств могло покрыть 68% своих текущих обязательств, а уже на конец 2009 года - 36%. Это говорит о том, что часть денежных средств бездействовала, то есть как и любой другой вид активов не приносила дохода. Коэффициенты платежеспособности и ликвидности предприятия позволяют определить, насколько предприятие способно отвечать по своим обязательствам и близко ли оно к банкротству. Однако данные критерии являются одномоментными показателями. Критерием надежности выступает финансовая устойчивость, которая и будет проанализирована в следующем параграфе.[6]
Финансовая устойчивость предприятия определяет долгосрочную (в отличие от ликвидности) стабильность предприятия. Она связана с зависимостью от кредиторов и инвесторов, т. е. с соотношением «собственный капитал - заемные средства». Наличие значительных обязательств, не полностью покрытых собственным ликвидным капиталом, создает предпосылки банкротства, если крупные кредиторы потребуют возврата своих средств. Но одновременно вложение заемных средств позволяет существенно повысить доходность собственного капитала. Поэтому при анализе финансовой устойчивости следует рассматривать систему показателей, отражающих риск и доходность предприятия в перспективе.
Финансово устойчивым является такой хозяйствующий субъект, который за счет собственных средств покрывает вложения в активы (основные фонды, нематериальные активы, оборотные средства), не допускает неоправданной дебиторской и кредиторской задолженности и расплачивается в срок по своим обязательствам. Задачей анализа финансовой устойчивости является оценка величины и структуры активов и пассивов. Это необходимо, чтобы ответить на вопросы: насколько предприятие независимо с финансовой точки зрения, растет или снижается уровень этой независимости и отвечает ли состояние его активов и пассивов условиям финансово-хозяйственной деятельности. Показатели, которые характеризуют независимость по каждому элементу активов и по имуществу в целом, дают возможность измерить, достаточно ли устойчиво анализируемое предприятие в одинаковом отношении. Одним из критериев оценки финансовой устойчивости является излишек или недостаток источников средств для формирования запасов и затрат, который определяется в виде разницы величины источников средств и величины запасов и затрат. При этом имеется в виду обеспеченность определенными видами источников (собственными, кредитными и другими заемными), поскольку достаточность суммы всех возможных видов источников (включая краткосрочную кредиторскую задолженность и прочие пассивы) гарантирована тождественностью итогов актива и пассива баланса. Для оценки состояния запасов и затрат используют данные группы статей «Запасы» II раздела актива баланса. В целях оценки финансовой устойчивости исследуемого предприятия рассмотрим многоуровневую схему покрытия запасов и затрат.
Таблица 4
Анализ финансовой устойчивости ЗАО «Аккорд» за 2007, 2008, 2009 гг.
| Показатели | На конец 2007 г., тыс. руб. | На конец 2008 г., тыс. руб |
На конец 2009 г., тыс. руб |
| 1. Источники формирования собственных оборотных средств | 151100 | 203438 | 225300 |
| 2. Внеоборотные активы | 17627 | 12940 | 12803 |
| 3. Наличие собственных оборотных средств (стр. 1-стр. 2) | 133473 | 190498 | 212497 |
| 4. Долгосрочные пассивы | - | - | - |
| 5. Наличие собственных и долгосрочных заемных источников формирования запасов и затрат (стр. 3+стр. 4) | 133473 | 190498 | 212497 |
| 6. Краткосрочные заемные средства | - | - | - |
| 7. Общая величина основных источников формирования запасов и затрат (стр. 5+стр.6) | 133473 | 190498 | 212498 |
| 8. Общая величинв запасов | 174874 | 41969 | 37894 |
| 9. Излишек (+), недостаток (-) слбственных оборотных средств (стр. 3-стр. 8) | -41401 | 148529 | 174603 |
| 10. Излишек (+), недостаток (-) собственных и долгосрочных заемных источников формирования запасов и затрат (стр. 5-стр. 8) | -41401 | 148529 | 174603 |
| 11. Излишек (+), недостаток (-) общей величины основных источников формирования запасов и затрат (стр. 7-стр. 8) | -41401 | 148529 | 174603 |
Данные Таблицы 4 свидетельствуют, что в 2007 году предприятие не было обеспечено ни одним из предусмотренных источников формирования запасов. Но в последующие два года предприятие имело в наличии собственные оборотные средства, которые в полном объеме покрывали его запасы и затраты. При этом излишек собственных оборотных средств возрос с 148529000 рублей до 174603000 рубля. Ритмичность, слаженность и высокая результативность работы предприятия во многом зависят от его обеспеченности оборотными средствами. Излишнее отвлечение средств в дебиторскую задолженность приводит к омертвлению ресурсов, неэффективному их использованию. Поскольку оборотные средства включают как материальные, так и денежные ресурсы, от их организации и эффективности использования зависит не только процесс обращения, но и финансовая устойчивость предприятия. Рост излишка собственных оборотных средств обусловлен сокращением запасов, что не позволяет сделать вывод о стабильном финансовом положении предприятия. Следует отметить, что предприятие в течение исследуемого периода не использовало возможности привлечения заемных средств для финансирования своей текущей деятельности. Учитывая то, что существует четыре типа финансовой устойчивости, определим тот, который в полной мере соответствует положению завода. Воспользуемся для этого Таблицей 5.
Таблица 5
Определение типа финансовой ситуации ЗАО «Аккорд» за 2007, 2008, 2009 гг.
| Показатели | На конец 2007 г. тыс. руб. | На конец 2008 г., тыс. руб. | На конец 2009 г., тыс. руб. |
| 1. Излишек (+), недостаток (-) собственных оборотных средств (ФО) | -41401 | 148529 | 174603 |
| 2. Излишек (+), недостаток (-) собственных и долгосрочных источников формирования запасов (Ф^) | -41401 | 148529 | 174603 |
| 3. Излишек (+), недостаток (-) общей величины основных источников формирования запасов (ФО") | -41401 | 148529 | 174603 |
| 4. Трехкомпонентный показатель типа финансовый ситуации S= [S(± Ф6), S(± ф^), S(± Ф0")] | (0;0;0) | (1;1;1) | (1;1;1) |
Данные Таблицы 5 свидетельствуют, что в 2007 году предприятие находилось в кризисном финансовом состоянии. Это обусловлено тем, что собственные оборотные средства не покрывали потребность в запасах, а заемные средства не использовались. Однако отсутствие просроченной кредиторской задолженности за рассматриваемый период не позволяет отнести анализируемое предприятие к категории банкрота. В 2008 и 2009 годах предприятие покрывало потребность в запасах и затратах собственными оборотными средствами, что позволяет в соответствии с трехкомпонентным показателем определить тип финансового состояния как абсолютно устойчивый. Но при этом необходимо учесть тот факт, что произошло снижение запасов на 78%, а собственные оборотные средства возросли на 59,20%.
2.3 Анализ сильных и слабых сторон ЗАО «Аккорд»
Кроме абсолютных показателей финансовую устойчивость характеризуют и относительные показатели, которые можно разделить на две группы.
Первая группа объединяет показатели, определяющие состояние оборотных средств, среди них выделяют:
- коэффициент обеспеченности собственными средствами;
- коэффициент обеспеченности материальных запасов собственными оборотными средствами;
- коэффициент маневренности собственных средств.
Вторая группа объединяет показатели, определяющие состояние основных средств и степень финансовой независимости:
- индекс постоянного актива;
- коэффициент долгосрочного привлечения заемных средств;
- коэффициент износа;
- коэффициент реальной стоимости имущества;
- степень финансовой зависимости;
- коэффициента
- коэффициент автономии;
- коэффициент соотношения заемных и собственных средств.
Рассчитанные фактические коэффициенты сравнивают с нормативными величинами, со значением предыдущего периода, аналогичным предприятием, и тем самым выявляется реальное финансовое состояние, «слабые» и «сильные» стороны предприятия.
Таблица 6
Коэффициенты финансовой устойчивости ЗАО «Аккорд» за 2007, 2008,
2009 гг.
| Показатели | На конец 2007 г. | На конец 2008 г. | На конец 2009 г |
| 1. Собственный капитал, тыс. руб. | 151100 | 203438 | 225300 |
| 2. Долгосрочные пассивы, тыс. руб. | - | - | - |
| 3. Заемные средства, тыс. руб. | 166871 | 364280 | 260063 |
| 4. Всего источников средств, тыс. руб. | 317971 | 567718 | 485363 |
| 5. Внеоборотные активы, тыс. руб. | 17627 | 12940 | 12803 |
| 6. Оборотные активы, тыс. руб. | 300344 | 554778 | 472560 |
| 7. Запасы и затраты, тыс. руб. | 174874 | 41969 | 37894 |
| 8. Собственные оборотные средства, тыс. руб. | 133473 | 190498 | 212497 |
| 9. Коэффициент соотношения собственных и заемных и заемных средств | 0,91 | 0,56 | 0,87 |
| 10. Коэффициент обеспеченности собственными оборотными средствами | 0,44 | 0,34 | 0,45 |
| 11. Коэффициент маневренности собственного капитала | 0,88 | 0,94 | 0,94 |
| 12. Индекс постоянного актива | 0,12 | 0,06 | 0,06 |
| 13. Коэффициент финансовой независимости | 0,48 | 0,36 | 0,46 |
Полученные в ходе расчета результаты позволяют сделать вывод о том, что положение предприятия в течение 2007, 2008, 2009 гг. существенно не изменилось. Об этом свидетельствует динамика основных коэффициентов финансовой устойчивости. Но вместе необходимо отметить следующее:
- если учитывать, что критическим ограничением коэффициента соотношения собственных и заемных средств является единица, то можно отметить, что на протяжении всего исследуемого периода его значение не соответствовало нормативному. Так на конец 2007 года на каждый рубль заемных средств, вложенных в активы, приходилось 0,91 рубля собственных, на конец 2008 года - 0,56 рубля, а на конец 2009 года - 0,87 рубля. Данные значения коэффициента свидетельствуют о недостаточной финансовой устойчивости предприятия;
- коэффициент обеспеченности собственными оборотными средствами соответствует нормативному ограничению и показывает, что за счет собственных средств обеспечено 45% текущих активов;
- коэффициент маневренности собственного капитала за исследуемый период возрос с 0,88 до 0,94. Однако отсутствие в специализированной литературе нормативов данного коэффициента, не позволяет охарактеризовать это обстоятельство;
- значение коэффициента финансовой независимости (автономии) за анализируемый период ниже «критической точки» (0,5). Это свидетельствует о не совсем благоприятной финансовой ситуации, т.е. собственникам принадлежит 46% стоимости имущества. По результатам нашего исследования, коэффициенты ликвидности соответствуют нормативным ограничениям. Кроме того, предприятие обеспечено собственными источниками формирования запасов. Однако, сложившиеся темпы изменения дебиторской и кредиторской задолженности сокращают возможности финансирования текущих потребностей, что в свою очередь требует привлечения краткосрочных займов и пересмотра кредитной политики в отношении с покупателями.
Учетная политика предприятия
Учетная политика является важным средством формирования величины основных показателей деятельности организации, налогового планирования, ценовой политики. Без ознакомления с учетной политикой нельзя осуществлять сравнительный анализ показателей деятельности организации за различные периоды и тем более сравнительный анализ различных организаций.[7]
Учетная политика организации – это принятая ею совокупность способов ведения бухгалтерского учета (первичное наблюдение, стоимостное измерение, текущая группировка и итоговое обобщение фактов хозяйственной деятельности).
На выбор и обоснование учетной политики в ЗАО «АККОРД» повлияли следующие факторы:
· организационно-правовая форма организации;
· отраслевая принадлежность и вид деятельности;
· управленческая структура организации и структура бухгалтерии;
· финансовая стратегия организации;
· материальная база (наличие технических средств регистрации информации, компьютерной техники и т.д.);
· уровень квалификации бухгалтерских кадров;
Учетная политика организации сформировался главным бухгалтером организации и утвердился руководителем организации.
Учетная политика ЗАО «АККОРД» включает в себя следующие пункты:
методы учета доходов и расходов;
учетные документы и регистры;
учет недвижимости, на которую не зарегистрировано право собственности;
списание материально-производственных запасов, оценка незавершенного производства;
порядок списания расходов будущих периодов;
учет общехозяйственных расходов, проценты по кредитам и займам; резервы на предстоящие расходы и платежи;
капитальное строительство;
учет выручки в целях исчисления НДС.
Способ ведения бухгалтерского учета, избранные в ЗАО «АККОРД» при формировании учетной политики, применяются с первого января года, следующего за годом утверждения соответствующего организационно – распределительного документа. При этом они применяются всеми подразделениями организации (включая выделенные на отдельный баланс), независимо от места их нахождения.
Изменение учетной политики может производиться в случаях:
· изменения законодательства Российской Федерации или нормативных актов по бухгалтерскому учету;
· разработки организацией новых способов ведения бухгалтерского учета, которые предполагают более достоверное представление фактов хозяйственной деятельности в учете и отчетности организации или меньшую трудоемкость учетного процесса без снижения степени достоверности информации;
· существенного изменения условий деятельности.
Изменение учетной политики должно быть обоснованным и оформляется в порядке, предусмотренным для учетной политики.
Изменение учетной политики должно вводиться с 1 января года, следующего за годом его утверждения.
Отражение последствии изменения учетной политики заключается в корректировке включенных в бухгалтерскую отчетность за отчетный период соответствующих данных за период, предшествующий отчетному.
Все корректировки отражаются в бухгалтерской отчетности. При этом никакие учетные записи не производятся.
Таблица 7
Взаимоотношения (служебные связи)
| Структурные подраз-деления, сторонние организации | Бухгалтерия получает документы | Бухгалтерия передает документы | ||
| Взаимоотношения со структурными подразделениями | ||||
| Кадровая служба {юрисконсульт) | - Копии приказов по личному составу; - табели учета рабочего времени сотрудников; - больничные листы; - отчеты о расходовании бланков трудовых книжек. | - Ведомости использования очередных отпусков; - бланки трудовых книжек и вкладышей к ним. | ||
| Коммерческий отдел | - Хозяйственные договоры, сметы, акты и другие материалы по вопросом выполнения договорных обязательств; - счета на приобретение товарно-материальных ценностей; - авансовые отчеты сотрудников; - сведения о затратах на коммерческую и издательскую деятельность. | - Сведения о нормах расхода денежных средств и материалов; - сведения о затратах по видам деятельности и отдельным договорам; - сведения об оплате счетов, дебиторах и кредиторах; - указания по вопросам оформления и предоставления для учета документов и сведений. | ||
| Секретарь | - Копии приказов и распоряжений директора по основной деятельности; | - Проекты приказов и распоряжений по вопросам финансовой деятельности; | ||
| - корреспонденция в адрес бухгалтерии. | - сводки, справки, сведения по запросам руководство, - отчеты о результатах финансово-хозяйственной деятельности. | |||
| Взаимоотношения со сторонними организациями | ||||
| Банк | - Выписки по счетам и прилагаемые к ним документы; - письменные разъяснения по вопросам взаимодействия с банком. | - Расчетно-платежные банковские документы; - чеки на получение денежных средств и объявления ка взнос наличными; - сведения по вопросам работы с денежной наличностью; - бухгалтерские балансы и отчеты. | ||
| Государственная налоговая инспекция | - Акты и документы по вопросам правильности исчисления и уплаты налогов в бюджет; - письменные разъяснения по налогообложению. | - Приказы, документы и пояснения, необходимые для правильного исчисления налогов; - расчеты по налогам ( налоговыё декларации); - бухгалтерские балансы и отчеты. | ||
| Отдел социального обеспечения | - Разъяснения по вопросам назначения и выплаты пособий на детей сотрудников. | - Документы по возмещению пособий на детей сотрудников из бюджета. | ||
Исходя из качества соответствия, делается вывод о том, в каком направлении организация должна развивать свой бизнес и в конечном итоге определяется распределение ресурсов по сегментам.
Таблица 8
Анализ сильных и слабых сторон организации
| Угрозы | Возможности | |
| сильные стороны организации | - Активизация конкурентов - гибкая ценовая политика, активная роль маркетинга, репутация, - Влияние на цены покупателями и поставщиками - гибкое руководство, ценовая политика. - Наличие опыта работы с покупателями -Рыночная структура отдела продаж. -Успешная кредитная история и устойчивые финансовые показатели - Высокая степень соблюдения договорных обязательств в отношении конечных потребителей |
- Более образованное, динамичное, гибкое и молодое руководство среднего звена.- Введение новых технологий управления - Интеграция с производителям: - Плотная интеграция с заводами -Увеличение рентабельности -Партнёрство с банком или финансовой организацией для реализации инновационных проектов |
| слабые стороны организации | -Низкая прибыль из-за высоких издержек. - Влияние на цены покупателями и поставщиками - более низкая прибыльность из-за высоких цен на материалы, - Нехватка оборотных средств |
-Высокая ставка по кредитам - Изменение политики поставщиков |
Самая опасная угроза - возрастающее конкурентное давление - должна быть обязательно и немедленно устранена. Угроза появления новых конкурентов должна постоянно находиться в поле зрения руководства фирмы и устраняться в первостепенном порядке. Что касается возрастания влияния покупателей и поставщиков на цены, то этой угрозе можно уделить меньше внимания.
3. Разработка рекомендаций по совершенствованию финансово-хозяйственной деятельности
3.1 Разработка рекомендаций по совершенствованию финансово-хозяйственной деятельности ЗАО «Аккорд»
Проанализировав финансовую деятельность, можно сказать, что предприятие находится в кризисном состоянии, но тенденция выхода из предбанкортного состояния прослеживается достаточно отчетливо.
В то же время в целях сохранения сложившихся тенденций необходимо разработать план финансового оздоровления, который выполняет следующий ряд функций:
· он используется для разработки и реализации восстановления платежеспособности и конкурентных преимуществ на рынке; появляется возможность тщательно продумать и сформулировать стратегию и тактику предприятия, а значит избежать в определенной степени серьезных ошибок при реформировании предприятия;
· это – инструмент, с помощью которого кредиторы, инвесторы и другие пользователи плана финансового оздоровления могут оценить текущее и будущее финансовое состояние предприятия, достоверность и обоснованность планируемых мероприятий, а также проконтролировать процесс реализации плана;
· план – это основной документ, необходимый для привлечения инвестиций в производство. Если инвестор не будет представлять стратегию и тактику развития предприятия и будет не уверен в эффективности инвестиций и коммерческой привлекательности предприятия, то он не станет вкладывать финансовые средства в это предприятие;
· план – это мощный рекламный материал, позволяющий создать ощущение основательности и солидности от предполагаемых мероприятий;
· реализация плана финансового оздоровления обеспечивает вовлечение всего персонала предприятия в согласованные действия по реформированию предприятия, что служит дополнительной гарантией эффективности этих действий.
В настоящее время кроме того, что финансовые коэффициенты предприятия указывают на банкротство, существует на мой взгляд еще целый ряд проблем:
· дефицит рабочих кадров, а именно предприятию не хватает квалифицированных сварщиков, монтажников, наладчиков;
· интенсивный отток рабочих специалистов с предприятия, это связано с невыплатой заработной платы;
· дебиторская задолженность имеет тенденцию к возрастанию, это говорит, что у предприятия есть должники, это явление двусмысленное, с одной стороны оно через какое – то время получит свои деньги, а с другой их могут не вернуть;
· кредиторская задолженность так же имеет место, значит предприятие берет кредиты.
После выявления «сильных» и «слабых» сторон предприятия разрабатывается план мероприятий по устранению кризиса на предприятии.
Одним из направлений реформирования предприятий является их реструктурирование.
Реструктурирование предприятия может быть определено как любое изменение в производственной, организационной структурах, структуре капитала, которые не являются частью повседневного делового цикла предприятия.
Основными целями реструктуризации предприятия являются:
· достижение определенных экономических и социальных целей;
· изменение распределения собственности и контроля над деятельностью предприятия;
· привлечение инвестиций в производство;
· увеличение стоимости предприятия;
· разрешение конфликтов между участниками предприятия.
В процессе достижения целей реструктурирования предприятия оказывается определенное воздействие на само предприятие и его внешнюю среду. Изменения в самом предприятии для достижения его стратегических целей могут происходить в:
· производственной структуре (понимаемой как структура всего процесса и реализации продукта);
· организационной структуре управления;
· структуре собственности с распределением контроля над организацией;
· структуре активов и пассивов.
Процесс реструктурирования предприятий может сопровождаться изменением формы собственности, возникновением новых юридических лиц. Данный процесс определяется как реорганизация юридического лица и регулируется Гражданским кодексом РФ и антимонопольным законодательством.
1) В рамках реструктуризации предлагаю провести эмиссию акций предприятия.
Эмиссия проводится на основании Федерального закона РФ №136 от 29 июня 1998 г. Глава 5. Статья 19. Процедура эмиссии и ее этапы
1. Процедура эмиссии эмиссионных ценных бумаг, если не предусмотрено настоящим Федеральным законом и иными федеральными законами. включает следующие этапы:
· принятие решения о размещении эмиссионных ценных бумаг;
· утверждение решения о выпуске (дополнительном выпуске) эмиссионных бумаг;
· государственную регистрацию выпуска (дополнительного выпуска) эмиссионных ценных бумаг;
· размещение эмиссионных ценных бумаг;
· государственную регистрацию отчета об итогах выпуска (дополнительного выпуска) эмиссионных ценных бумаг или представление в регистрирующий орган уведомления об итогах выпуска (дополнительного выпуска) эмиссионных ценных бумаг.
Эмиссионные ценные бумаги, выпуск (дополнительный выпуск) которых не прошел государственную регистрацию в соответствии с требованиями настоящего Федерального закона, не подлежат размещению, если иное не предусмотрено настоящим Федеральным законом.
При учреждении акционерного общества или реорганизации юридических лиц, осуществляемой в форме слияния, разделения, выделения и преобразования, размещение эмиссионных ценных бумаг осуществляется до государственной регистрации их выпуска, а государственная регистрация отчета об итогах выпуска эмиссионных ценных бумаг осуществляется одновременно с государственной регистрацией выпуска эмиссионных ценных бумаг.
2. Государственная регистрация выпуска (дополнительного выпуска) эмиссионных ценных бумаг сопровождается регистрацией их проспекта в случае размещения эмиссионных ценных бумаг путем открытой подписки или путем закрытой подписки среди круга лиц, число которых превышает 500.
В случае, если государственная регистрация выпуска (дополнительного выпуска) эмиссионных ценных бумаг сопровождается регистрацией проспекта ценных бумаг, каждый этап процедуры эмиссии ценных бумаг сопровождается раскрытием информации.
3. Если государственная регистрация выпуска (дополнительного выпуска) эмиссионных ценных бумаг не сопровождалась регистрацией их проспекта, он может быть зарегистрирован впоследствии. При этом регистрация проспекта ценных бумаг осуществляется регистрирующим органом в течение 30 дней с даты получения проспекта ценных бумаг и иных документов, необходимых для его регистрации.
4. Процедура эмиссии государственных и муниципальных ценных бумаг, а также условия их размещения регулируются федеральными законами или в порядке, установленном федеральными законами.
Федеральный закон РФ136 от 29 июня 1998 г. Глава 5. Статья 23. Информация о выпуске (дополнительном выпуске) эмиссионных ценных бумаг, раскрываемая эмитентом
В случае регистрации проспекта ценных бумаг эмитент обязан обеспечить доступ к информации, содержащейся в проспекте ценных бумаг, любым заинтересованным в этом лицам независимо от целей получения этой информации.
В случае открытой подписки эмитент обязан опубликовать сообщение о государственной регистрации выпуска (дополнительного выпуска) эмиссионных ценных бумаг, при этом указав порядок доступа любых заинтересованных лиц к информации, содержащейся в проспекте ценных бумаг, в печатном органе массовой информации, распространяемом тиражом не менее 10 тысяч экземпляров. В случае закрытой подписки, сопровождающейся регистрацией проспекта ценных бумаг, эмитент обязан опубликовать сообщение о государственной регистрации выпуска (дополнительного выпуска) эмиссионных ценных бумаг, при этом указав порядок доступа потенциальных владельцев эмиссионных ценных бумаг, в печатном органе массовой информации, распространяемом тиражом не менее одной тысячи экземпляров.
Рассмотрев основные статьи федерального закона РФ «Об эмиссии ценных бумаг», вернусь к эмиссии акций на предприятии.
2) Кроме того, необходимо инкассировать дебиторскую задолженность.
Отмечу, что резкие колебания статей дебиторской задолженности являются тревожным симптомом. Значительное увеличение объемов средств может быть вызвано либо неосмотрительной кредитной политикой предприятия по отношению к покупателям, неразборчивым выбором партнеров, либо наступлением неплатежеспособности и даже банкротства некоторых потребителей (заказчиков), либо неумеренно высокими темпами наращивания объема продаж.[8]
По моему плану, завод должен подать в суд на должников, тем самым в течение непродолжительного периода времени деньги должны будут вернуться на предприятие.
Если же должники будут неплатежеспособны, начнутся долгие судебные тяжбы.
Поскольку должники завода, как показали консультации со специалистами предприятия, вполне платежеспособны, я прогнозирую лучший исход, так как он обеспечит заводу, в свою очередь, погашение своей кредиторской задолженности.
3) Помимо уже перечисленных мероприятий, необходима проверка кадровой политики на соответствие сложившимся на предприятии традициям в работе с кадрами, привычными для коллектива и принимаемым им.
Кроме того, следует учитывать психологический климат на предприятии, потенциальные возможности коллектива, изменение во внешнем окружении.
Планирование потребности в трудовых ресурсах на кризисном предприятии, как правило, направлено на сокращения численности промышленно-производственного персонала. Исключение из этого общего правила имеет место при наличии двух производственных ситуаций:
· частичное перепрофилирование кадров в связи с изменением номенклатуры выпускаемой продукции;
· плановая замена специалистов, руководителей предприятия, которые бесспорно необходимы кризисному предприятию, например, замена специалиста по ценным бумагам, маркетолога, бухгалтера.
Есть две должности, которые не могут оставаться вакантными на кризисном предприятии — это руководитель и главный бухгалтер. Руководитель должен в кратчайший срок и с минимальными затратами подобрать своего ближнего помощника. В условиях рыночной экономики и особенно в условиях кризисного предприятия недопустимо подчинение главного бухгалтера заместителю директора по экономике, что иногда имеет место.
Если кризисное предприятие не имеет возможности принять на работу опытного и высококвалифицированного бухгалтера, то возможны следующие варианты:
· взять на работу молодого неопытного бухгалтера, например выпускника экономического вуза или бухгалтерских подкурсов. Имея способности и желание самостоятельно повышать свою квалификацию, получая консультации у опытного бухгалтера, он наработает достаточный опыт в течение года;
· взять на работу высококвалифицированного, а следовательно, высокооплачиваемого бухгалтера на неполный рабочий день (половину или даже четверть ставки). За два часа в день квалифицированный бухгалтер окажет предприятию помощи больше, нежели новичок за целый день.
Часто между руководителем и его ближайшим помощником в лице главного бухгалтера возникают конфликты. Руководитель склонен требовать от своего главного бухгалтера неукоснительного выполнения всех распоряжений; самостоятельного поиска источников финансирования; обязательного присутствия на рабочем месте; изыскания способов минимизации налогов. Эти требования к главбуху, во-первых, противоречат друг другу, во-вторых, помимо профессиональных знаний, он должен обладать следующими чертами:
· самостоятельностью и «пробивными» качествами для поиска денег;
· безропотной исполнительностью при выполнении иногда безграмотных распоряжений руководства;
· скрупулезностью и педантизмом при соблюдении законодательства;
· интуицией, воображением и аналитическими способностями при прогнозировании возможных изменений «правил игры» и поиска путей минимизации налогов.
Однако руководитель должен понимать, что главбух, постоянно сидящий в конторе, не имеет возможности повышать свою квалификацию. Кроме того, безропотный исполнитель не может самостоятельно принимать ответственных решений. Главбух знает возможности руководителя оплачивать его труд. Некорректно требовать от него выполнения сложнейшей работы по минимизации налогов без соответствующего увеличения его зарплаты, а именно так пытаются экономить некоторые руководители.[9]
Тем самым высококвалифицированные работники финансовых служб предприятия являются «золотым фондом», таких работников не стоит увольнять, а наоборот привлекать на завод.
3.2 Оценка эффекта от внедрения предложенных мероприятий
Вышеперечисленные методы вывода предприятия из кризиса, дали следующий результат:
· дебиторская задолженность должна вернуться предприятию в следствии того, что завод подаст в суд на действующих дебиторов;
· кредиторская задолженность частично погашена, а именно погашено 42,35% от общей задолженности кредиторам;
· проведенная кадровая политика направлена на «удержание» высококвалифицированных финансовых работников методами поощрения;
· привлечение рабочих кадров на предприятие связано с агитационной деятельностью учащихся, участия предприятия в республиканской программе ипотечного кредитования и др.;
· продвижение на сбытовой рынок новинок производства.
Сделаем прогнозный расчет эмиссии:
Уставной капитал предприятия составляет 282130000 рублей. Номинал одной акции – 10 рублей; всего акций – 28213000 штук. Все акции принадлежат Министерству имущественных и земельных отношений республики Татарстан.
Дочерних и зависимых обществ нет.
Значит, у предприятия один акционер. В предлагаемом мной плане проведения эмиссии акций, разногласий с акционерами не будет.
Номинал одной акции – 10 рублей. Я предлагаю повысить номинал акции до 20 рублей за одну акцию.
Таким образом, уставной капитал предприятия составит (28213000*20)=564260000 рублей.
Кредиторская задолженность за 2009 г. составляет 119485000 рублей.
К тому, если взыскать дебиторскую задолженность предприятия, которая составляет в 2009 г. 341 569 тыс. рублей, и кредиторская задолженность будет составлять 1 284,883 тыс. руб..
Заключение
Как показал анализ хозяйственной деятельности ЗАО «Аккорд», данное предприятие финансово неустойчиво, работает в основном за счет заемных средств. В основном это задолженность перед поставщиками, хотя значительные доли имеют задолженности по налогам и сборам, а также по социальному страхованию и обеспечению.
Рентабельность продаж, показывающая долю прибыли в сумме выручки от реализации, в отчетном 2009 году составила 0,6%, что конечно очень мало, но по сравнению с убытком в 2007 и 2008 годах это значительное улучшение.
Анализ финансового состояния показал:
· увеличение чистых активов;
· увеличение оборотных и собственных оборотных средств;
· рост выручки и чистой прибыли;
· уменьшение активов и внеоборотных активов;
· в отчётном году имущество предприятия использовалось более эффективно чем в предыдущем;
· в основном деятельность предприятия осуществлялась за счёт заемных средств и текущих обязательств и направлялись они в основном на внеоборотные и оборотные средства для получения прибыли;
· превышение текущих пассивов над более ликвидной частью активов;
· превышение текущих пассивов над денежной формой предприятия.
При организации производства ЗАО «Аккорд» требуется тщательный и системный (комплексный) подход к анализу хозяйственной деятельности предприятия, также необходима разработка финансовой стратегии. Одной из целей финансовой стратегии предприятия является получение прибыли и рентабельной работы. Для того, чтобы добиться увеличения прибыли и справиться с этой проблемой необходимо пересмотреть затраты, подлежащие налогообложению, обратить внимание на резервы предприятия. Также необходимы меры по оптимизации использования имеющихся основных фондов, что позволит уменьшить себестоимость работ, а реализация неиспользованных основных средств снизит налог на имущество, также повлияет положительно на показатели прибыли предприятия.
Предприятию необходимо более эффективно использовать свои денежные средства. Необходимо стремиться снизить дебиторскую задолженность, за счет уменьшения задолженности от покупателей и заказчиков, что позволит высвободить дополнительные денежные средства и тем самым повысить ликвидность. Для этого предлагаю проводить следующие мероприятия:
· Первым этапом обозначила эмиссию акций предприятия. Эмиссия на половину сокращает кредиторскую задолженность, а значит является существенной мерой по выводу предприятия из состояния финансовой неустойчивости.
· Второй этап, возврат дебиторской задолженности. Возвращая предприятию деньги, дебиторы повышают его кредитоспособность.
· Третий этап работы обозначен кадровой политикой. Кадровая политика на данный момент играет важную роль в жизни предприятия, ведь именно она призвана организовать правильную работу как управляющих, так и рабочих.
· ежедневно следить за соотношением дебиторской и кредиторской задолженностей;
· дать возможность покупателям погашать дебиторскую задолженность не всю сразу, а каждый день понемногу;
· использовать прием скидок при досрочной оплате;
· требовать предварительную оплату за продукцию;
· для погашения дебиторской задолженности использовать форму натуроплаты, когда задолженность гасится своим товаром или услугами;
Данный комплекс мероприятий является вполне осуществимым в короткие сроки, поэтому его необходимо реализовать как можно раньше.
Уменьшить дефицит собственного капитала можно за счет ускорения его оборачиваемости путем сокращения сроков производственно-коммерческого цикла, сверхнормативных остатков запасов, незавершенного производства и т.д. Сокращение расходов на содержание объектов жилсоцкультбыта путем передачи их в муниципальную собственность также способствует приливу капитала в основную деятельность.
Большую помощь в выявлении резервов улучшения финансового состояния предприятия может оказать маркетинговый анализ по изучению спроса и предложения, рынков сбыта и формированию на этой основе оптимального ассортимента и структуры производства продукции. Необходимо проанализировать отдачу от каждой единицы номенклатуры и прекратить выпуск нерентабельной продукции. Также нужно проанализировать спрос на новую продукцию, которая отвечает возможностям завода, обеспечить эффективную рекламу всей продукции предприятия, проводить активную коммерческую деятельность (например, сбыт товаров других фирм, сдача в аренду пустующих помещений и территорий, и т.п.). Для того, чтобы обеспечить производство и сбыт своей продукции, предлагаю предприятию пересмотреть свою ценовую политику, в надежде, что снижение цен вызовет благожелательную ответную реакцию потребителей. Необходимо было иметь собственную методику установления оптимальной цены посредством изучения цен конкурентов.
Ввиду изношенности оборудования качество продукции не соответствует современным требованиям, потери от брака довольно значительны, а производительность из-за частых поломок и простоев низкая Замена оборудования значительно повысит качество продукции, увеличит производительность и уменьшит как потери от брака, так и расходы на ремонт, а значит снизит удельную себестоимость продукции и повысит ее конкурентоспособность. Закупка оборудования с автоматизированной сменой штампов позволит значительно сократить время на переналадку (смена штампов и наладка оборудования под новую поковку, благодаря чему значительно повысится производительность. Обновление необходимо проводить в первую очередь для производства наиболее прибыльной и чувствительной к качеству продукции, а также для продукции, повышение качества которой позволит расширить рынок сбыта, в том числе за рубежом и соответственно увеличить прибыль предприятия.[10]
Так как предприятие не в состоянии закупать оборудование самостоятельно, предлагаю взять оборудование в лизинг, с последующим выкупом, который не требует полной единовременной оплаты арендуемого имущества и служит одним из видов инвестирования. Использование ускоренной амортизации по лизинговым операциям позволяет оперативно обновлять оборудование и вести техническое перевооружение производства. Также рекомендую произвести переоценку основных фондов с учетом рыночной стоимости либо по рекомендуемым коэффициентам, что повлияет на издержки производства, на сумму налога на имущества, а следовательно, на уровень внереализационных расходов. Кроме того, сумма амортизации влияет и на налогооблагаемую прибыль предприятия.
Кроме того, необходимо выявлять и реализовывать неликвиды. На балансе предприятия имеются значительные основные средства, которые не задействованы в производственном процессе(практически все оборудование второго штампового корпуса и само здание корпуса), однако требуют значительных расходов на их содержание. Продажа части основных средств или сдача их в аренду явилась бы источником пополнения мобильных собственных средств предприятия, часть которых можно выделить на погашение кредиторской задолженности перед бюджетом, поставщиками и подрядчиками предприятия. Внедрение автоматизированных систем учета и потребности в сырье и других материальных ценностях позволит уменьшить объем запасов на складах за счет более точного планирования необходимых для производства.
Одним из основных и наиболее радикальных направлений финансового оздоровления предприятия является поиск внутренних резервов по увеличению прибыльности производства и достижению безубыточной работы за счет более полного использования производственной мощности предприятия, повышения качества и конкурентоспособности продукции, снижения ее себестоимости, рационального использования материальных, трудовых и финансовых ресурсов, сокращения непроизводительных расходов и потерь. Это приведет к увеличению прибыли от реализации продукции и, следовательно, к повышению рентабельности производства. Для сокращения сроков подготовки производства и ее себестоимости предлагаю внедрить автоматизированную систему документооборота. Внедрение автоматизированной системы распределения загрузки оборудования позволит значительно уменьшить простои оборудования, из-за несовершенства планирования его загрузки, а также оперативно выявлять недогруженное оборудование и оптимизировать график его работы для сокращения затрат по заработной плате.
Основное внимание при уменьшении себестоимости продукции необходимо уделить вопросам ресурсосбережения: внедрения прогрессивных норм, нормативов и ресурсосберегающих технологий, использования вторичного сырья, организации действенного учета и контроля за использованием ресурсов, изучения и внедрения передового опыта в осуществлении режима экономии, материального и морального стимулирования работников за экономию ресурсов и сокращение непроизводительных расходов и потерь.
Для систематизированного выявления и обобщения всех видов потерь предлагаю вести специальный реестр потерь с классификацией их по определенным группам:
· от брака;
· снижения качества продукции;
· невостребованной продукции;
· утраты выгодных заказчиков, выгодных рынков сбыта;
· неполного использования производственной мощности предприятия;
· простоев рабочей силы, средств труда, предметов труда и денежных ресурсов;
· перерасхода ресурсов на единицу продукции по сравнению с установленными нормами;
· порчи и недостачи материалов и готовой продукции;
· списания не полностью амортизированных основных средств;
· уплаты штрафных санкций за нарушение договорной дисциплины;
· списание невостребованной дебиторской задолженности;
· просроченной дебиторской задолженности;
· привлечение невыгодных источников финансирования;
· несвоевременного ввода в действие объектов капитального строительства;
· стихийные бедствия;
· по производствам, не давшим продукции, и т.д.
Анализ динамики этих потерь и разработка мероприятий по их устранению позволят значительно улучшить финансовое состояние завода.
Для обеспечения высокой производительности труда работников, предлагаю формировать и реализовывать программы систематического обучения и подготовки кадров в целях более полного раскрытия их возможностей.
Определив потребности предприятия в кадрах, необходимо разработать программу, удовлетворяющую данную потребность, которая может включать график мероприятий по привлечению, найму, подготовке и продвижению работников, требующихся для реализации целей предприятия. Также в качестве рекомендации можно предложить формирование кадров производить на базе собственного персонала, т. к. данное мероприятие обходится дешевле, чем привлечение работников извне. Кроме того, повышается заинтересованность собственных работников в достижении лучших результатов деятельности, улучшается моральный климат, усиливается привязанность работников к заводу. На сегодняшний день предприятие испытывает большие трудности в управлении трудовыми ресурсами, это связано с большой текучестью кадров, что не может положительно влиять на общее благополучное развитие завода. В то же время желательно, чтобы на предприятие приходили и люди со стороны с новыми идеями, предложениями и свежими взглядами.
Положительные стороны системы участия персонала в управлении очевидны. Во-первых, участие персонала в управлении делает производственный процесс более демократичным. На предприятиях, где применяется данная система, как правило, легче разрешаются конфликтные ситуации. Во-вторых, осознание работниками факта своего участия в управлении предприятием служит стимулом к повышению качества своего труда и укреплению трудовой дисциплины. Следствием этого как раз и является снижение текучести кадров на предприятии. В-третьих, участие в управлении повышает у работников чувство ответственности за качество выполняемых работ, а как известно, уровень качества продукции является одной из определяющих конкурентоспособности предприятия в целом.
Поставленные цели и задачи дипломной работы выполнены, данные являются достоверными.
Список использованной литературы
I. Нормативно-правовые материалы:
1. Конституция РФ / Федеральный конституционный закон РФ от 12 декабря 1993 г. // Российская газета. – 1993. - 25 декабря.
2.Гражданский кодекс Российской Федерации : части первая и вторая: официальный текст по состоянию на 1 ноября 2000 г.- М: НОРМА - ИН-ФРА-М, 2000.- 372 с.
3.Трудовой кодекс Российской Федерации : федеральный закон от 30 дек.2001 г. № 197-ФЗ //. Собр. законодательства Российской Федерации. -2002.- №1.4.1.- Ст. 3.
4.0 защите прав потребителей: федеральный закон от 7 февр. 1992 г. №2300-1 -ФЗ (в редакции от 9 января 1996 г. № 2-ФЗ) // Ведомости Съезда народных депутатов Российской Федерации и Верховного Совета Российской Федерации - 1992. № 15. - Ст 766; Собрание законодательства Российской Федерации - 1996. -№ 3. Ст. 140; - 1999. № 51. - Ст. 6287; -2002. №1.-Ст. 2; - 2004.- № 35.- Ст. 3607; № 45.- Ст. 4377; Российская газета.- 2004.- .29 декабря.- С.28
II. Специальная литература
1. Аверчев И. Составление сводной финансовой отчетности по МСФО // Финансовый директор, 2004, №1.
2. Антикризисное управление предприятиями и банками: Учебно-практич. пособие / Под рук. Г.К. Таль, Г.Б. Юн. – М.: ДЕЛО, 2007. – 840 с.
3. Антикризисное управление: Учебник / Под ред. Э.М. Короткова. – М.: ИНФРА-М, 2008. – 432с.
4. Бизнес-планирование: Учебник / Под ред. В.М. Попова, С.Я. Ляпунова. – М: Финансы и статистика, 2009. – 672 с.
5. Бланк И.А. Финансовый менеджмент: Учеб. курс. – Киев: Ника-центр, Эльга, 2008. – 528 с.
6. Бланк И. А. Управление активами. – Киев: «Ника-Центр», «Эльга», 2004. – 720 с.
7. Брег С. Настольная книга финансового директора. Пер. с англ. – 3-е изд. – М.: Альпина Бизнес Букс, 2006. – 536 с.
8. Бригхэм Ю., Эрхардт М. Финансовый менеджмент. 10-е изд. [Пер. с англ. под ред. Е.А. Дорофеева]. – СПб.: Питер, 2005. – 960 с.
9. Бригхэм Ю., Гапенски Л. Финансовый менеджмент: Полный курс: В 2-х т. [Пер. с англ. под ред. В.В. Ковалева]. – СПб.: Экономическая школа, 2006. – Т1. – 497 с.
10. Бухгалтерский анализ. Пер. с англ. /Под ред. М.А. Гольцберга, Л.М. Хасан-Бек. – Киев, 2003 г.
11. Быкадоров В.Л., Алексеев П.Д. Финансово-экономическое состояние предприятия. – М.: «ПРИОР»,2005 г.
12. Васильева Л.С., Петровская М.В. Финансовый анализ: учебник. – М.:КНОРУС, 2006. – 544 с.
13. Гританс Я.М. Организационное проектирование и реструктуризация (реинжиниринг) предприятий и холдингов: экономические, управленческие и правовые аспекты: (практическое пособие по управленческому и финансовому консультированию) – М.: Волтерс Клувер, 20
14. Донцова Л.В., Никифорова Н.А. Анализ бухгалтерской отчетности. – М.: Издательство «ДИС», 1998 г.
15. Ковалев В.В. Введение в финансовый менеджмент. – М.: Финансы и статистика, 2005. – 768 с.
16. Ковалев В.В. Финансовый анализ: методы и процедуры. – М.: Финансы и статистика, 2005. – 560 с.
17. Крамин Т.В. Финансовая устойчивость предприятий в условиях перехода к рыночной экономике. – Казань: Издательство «Таглимат», 2006. – 124 с.
18. Кравченко, Л.И. Анализ хозяйственной деятельности в торговле / Л.И. Кривченко. - М. : Новое знание, 2004.- 544 с.
19. Кудина М.В. «Финансовый менеджмент» г.Москва изд. «Форум» 2004 г.
20. Курошева Г.М. Теория антикризисного управления предприятием: Учебное пособие. – СПб.: Речь, 2006. – 372 с.
21. Маслаченков Ю.С., Ю.Н. Тронин. Практика бюджетирования на предприятиях России, М.: Издательская группа «БДЦ-пресс», 2006, стр. 11-137.
22. Маркарьян Н.А. Герасименко Г.П. Финансовый анализ. - М.: «ПРИОР», 1997 г.
23. Оценка бизнеса/Учебник под ред. А.Г.Грязновой, М.А. Федотовой – М.: Финансы и статистика, 2005. – 736 с. Псарева Н.Ю. Холдинговые отношения: теоретические и методические аспекты. М.: ИД «Высшее образование и наука», 2006, стр. 21-99, 203-218.
24. Прохоренко В.П. Формы государственного предпринимательства в развитых зарубежных странах -Москва.: РИО МГУП, 2005. -1,34 п. л.
25. Прохоренко В.П. Особенности структурных элементов финансового механизма //Москва: Журнал «Металлург», №8-2006 г. - 1,5 п.л.
26. Ронова Г.Н. «Финансовый менеджмент» учебное пособие г.Москва МЭСИ 2004 г.
27. Павлова Л.Н. Финансовый менеджмент. Управление денежным оборотом предприятий: Учебник для вузов. – М.: Банки и биржи, ЮНИТИ, 2005 г.
28. Ричард Брейли, Стюарт Майерс. Принципы корпоративных финансов: Пер. с англ. – М.: ЗАО «Олимп-Бизнес», 2007 г.
29. Рындин А.Г., Шамаев Г.А. Организация финансового менеджмента на предприятии. – М.: Русская Деловая Литература, 2007 г.
30. Техника эффективного менеджмента: финансовый менеджмент. – CARANA Corporation – USAID – РЦП. – М., 2008. – 290 с.
31. Томас Келлер Концепции холдинга. Обнинск. Изд. ГЦИПК 2005 г.
32. Финансовый менеджмент: теория и практика: Учеб./ Под ред. Е.С. Стояновой.- 5 изд., перераб. и доп.- М.: Перспектива, 2003. – 656 с.
33. Финансовый менеджмент. /Под ред. Г.Б. Поляка. – М.: Финансы, ЮНИТИ, 2007 г.
34. Финансовое управление компаний. /Под ред. Е.В. Кузнецовой. – М.: Фонд «Правовая культура», 2008 г.
35. Фут Н., Хенсли Д., Лэндсберг М., Моррисон Р. Роль корпоративного центра. The McKinsey Staff Paper, 1990, № 48, перевод в «Вестник McKinsey», стр. 76-101.
36. Финансовое управление компаний. /Под ред. Е.В. Кузнецовой. – М.: Фонд «Правовая культура», 1995 г.
37. Хруцкий В.Е., В. В. Гамаюнов. Внутрифирменное бюджетирование. Настольная книга по постановке финансового планирования. М, 2009.
38. Шеремет А.Д., Сайфулин Р.С. Методика финансового анализа. – М.: ИНФРА-М, 2007 г.
39. Щербакова Г.Н. Анализ и оценка банковской деятельности (на основе отчетности, составленной по российским и международным стандартам). – М.: Вершина, 2006. – 464 с.
40. Юн Г.Б. Методология антикризисного управления. – М.: Дело, 2008. – 432 с.
[1] Анализ финансово-экономической деятельности предприятия / Под ред. Н. П. Любушина. – М.: ЮНИТИ-ДАНА, 2000. С. 48
[2] Савицкая Г. В. Анализ хозяйственной деятельности предприятия. – Минск: ООО «Новое знание», 1999. С. 502
[3] Бланк И.А. Финансовый менеджмент: Учеб. курс. – Киев: Ника-центр, Эльга, 2008. – 528 с.
[4] Бланк И.А. Финансовый менеджмент: Учеб. курс. – Киев: Ника-центр, Эльга, 2008. – 528 с.
[5] Бланк И.А. Финансовый менеджмент: Учеб. курс. – Киев: Ника-центр, Эльга, 2008. – 528 с.
[6] Шеремет А.Д., Сайфулин Р.С. Методика финансового анализа. – М.: ИНФРА-М, 2007 г.
[7] Шеремет А.Д., Сайфулин Р.С. Методика финансового анализа. – М.: ИНФРА-М, 2007 г.
[8] Шеремет А.Д., Сайфулин Р.С. Методика финансового анализа. – М.: ИНФРА-М, 2007 г.
[9] Бланк И.А. Финансовый менеджмент: Учеб. курс. – Киев: Ника-центр, Эльга, 2008. – 528 с.
[10] Шеремет А.Д., Сайфулин Р.С. Методика финансового анализа. – М.: ИНФРА-М, 2007 г.