| Похожие рефераты | Скачать .docx |
Курсовая работа: Комплексный анализ методов теории нечетких множеств
РОССИЙСКИЙ ГОСУДАРСТВЕННЫЙ ТОРГОВО-ЭКОНОМИЧЕСКИЙ УНИВЕРСИТЕТ
Новосибирский филиал
Курсовая работа
По дисциплине:
«УПРАВЛЕНЧЕСКИЕ РЕШЕНИЯ»
Комплексный анализ методов теории нечетких множеств
Выполнила:
студентка 4 курса
Гр. 77 Сеначина Е. О.
Проверил:
Ракунов К.
дата защиты:_____________
оценка:__________________
Новосибирск 2011
СОДЕРЖАНИЕ
нечеткий множество максимальный свертка
ВВЕДЕНИЕ
I. ПРИНЯТИЕ РЕШЕНИЙ НА ОСНОВЕ НЕЧЕТКИХ МНОЖЕСТВ
1. Нечеткие множества
2. Пример описания неопределенности с помощью нечеткого множества
3. Нечеткие выводы
II. МЕТОДЫ ПРИНЯТИЯ РЕШЕНИЙ НА ОСНОВЕ ТЕОРИИ НЕЧЕТКИХ МНОЖЕСТВ
1. Многокритериальный выбор методом максимннной свертки в сфере банковского кредитования
2. Выбор конкурентоспособного товара методом нечеткого отношения предпочтения
3. Метод нечеткого логического вывода в задаче выбора фирмой кандидата на замещение вакантной должности бухгалтера
4. Сравнительный анализ различных методов принятия решений
ЗАКЛЮЧЕНИЕ
СПИСОК ИСПОЛЬЗОВАННОЙ ЛИТЕРАТУРЫ
ВВЕДЕНИЕ
Наиболее поразительным свойством человеческого интеллекта является способность принимать правильные решения в обстановке неполной и нечеткой информации. Традиционные компьютерные вычисления «слишком точны» для реального мира. Человечество столкнулось с проблемами, для решения которых невозможно получить полную информацию или определение которых недостаточно полно. Казалось бы ситуация безвыходная, но благодаря развитию и совершенствованию так называемых нечетких и гибридных систем в настоящее время уже довольно обыденно воспринимаются «интеллектуальные» стиральные машины и бытовые автоматы, гиперзвуковые самолеты и самонаводящиеся ракеты и многое другое.
Математическую основу нечетких и гибридных систем составляют противоположные традиционным компьютерным вычислениям (hardcomputing), так называемые мягкие вычисления(softcomputing), одной из составляющих которых является нечеткая логика.
В последнее время нечеткое управление является одной из самых активных и результативных областей исследований применения теории нечетких множеств. Именно это делает эту тему актуальной и интересной для изучения.
Цель данной работы – изучение возможности применения нечеткой логики как инструмента для принятия решений. Предметом изучения работы является теория нечетких множеств. Объект изучения работы – методы теории нечетких множеств, применяемые для решения различных задач.
Таким образом, задачи моей работы:
1) Дать теоретическое описание нечетких множеств;
2) Рассмотреть пример описания неопределенности с помощью нечеткого множества;
3) Сравнить практические методы принятия решений с помощью нечеткой логики;
5) Выявить преимущества данных методов на основе полученных результатов.
ПРИНЯТИЕ РЕШЕНИЙ НА ОСНОВЕ НЕЧЕТКИХ МНОЖЕСТВ
1. Нечеткие множества
Пусть A - некоторое множество. Подмножество B множества A характеризуется своей характеристической функцией
(1)
Что такое нечеткое множество? Обычно говорят, что нечеткое подмножество C множества A характеризуется своей функцией принадлежности
Значение функции принадлежности в точке х показывает степень принадлежности этой точки нечеткому множеству. Нечеткое множество описывает неопределенность, соответствующую точке х – она одновременно и входит, и не входит в нечеткое множество С. За вхождение -
шансов, за второе – (1-
) шансов.
Если функция принадлежности
имеет вид (1) при некотором B, то C есть обычное (четкое) подмножество A. Таким образом, теория нечетких множество является не менее общей математической дисциплиной, чем обычная теория множеств, поскольку обычные множества – частный случай нечетких. Соответственно можно ожидать, что теория нечеткости как целое обобщает классическую математику. Однако позже мы увидим, что теория нечеткости в определенном смысле сводится к теории случайных множеств и тем самым является частью классической математики. Другими словами, по степени общности обычная математика и нечеткая математика эквивалентны. Однако для практического применения в теории принятия решений описание и анализ неопределенностей с помощью теории нечетких множеств весьма плодотворны.
Обычное подмножество можно было бы отождествить с его характеристической функцией. Этого математики не делают, поскольку для задания функции (в ныне принятом подходе) необходимо сначала задать множество. Нечеткое же подмножество с формальной точки зрения можно отождествить с его функцией принадлежности. Однако термин "нечеткое подмножество" предпочтительнее при построении математических моделей реальных явлений.
Теория нечеткости является обобщением интервальной математики. Действительно, функция принадлежности

задает интервальную неопределенность – про рассматриваемую величину известно лишь, что она лежит в заданном интервале [a,b]. Тем самым описание неопределенностей с помощью нечетких множеств является более общим, чем с помощью интервалов.
Начало современной теории нечеткости положено работой 1965 г. американского ученого азербайджанского происхождения Л.А.Заде. К настоящему времени по этой теории опубликованы тысячи книг и статей, издается несколько международных журналов, выполнено достаточно много как теоретических, так и прикладных работ. Первая книга российского автора по теории нечеткости вышла в 1980 г. [1].
Л.А. Заде рассматривал теорию нечетких множеств как аппарат анализа и моделирования гуманистических систем, т.е. систем, в которых участвует человек. Его подход опирается на предпосылку о том, что элементами мышления человека являются не числа, а элементы некоторых нечетких множеств или классов объектов, для которых переход от "принадлежности" к "непринадлежности" не скачкообразен, а непрерывен. В настоящее время методы теории нечеткости используются почти во всех прикладных областях, в том числе при управлении предприятием, качеством продукции и технологическими процессами.
Л.А. Заде использовал термин "fuzzyset" (нечеткое множество). На русский язык термин "fuzzy" переводили как нечеткий, размытый, расплывчатый, и даже как пушистый и туманный.
Аппарат теории нечеткости громоздок. В качестве примера дадим определения теоретико-множественных операций над нечеткими множествами. Пусть C и D- два нечетких подмножества A с функциями принадлежности
и
соответственно. Пересечением
, произведением CD, объединением
, отрицанием
, суммой C+D называются нечеткие подмножества A с функциями принадлежности
![]()
![]()
соответственно.
Как уже отмечалось, теория нечетких множеств в определенном смысле сводится к теории вероятностей, а именно, к теории случайных множеств. Соответствующий цикл теорем приведен ниже. Однако при решении прикладных задач вероятностно-статистические методы и методы теории нечеткости обычно рассматриваются как различные.
Для знакомства со спецификой нечетких множеств рассмотрим некоторые их свойства.
В дальнейшем считаем, что все рассматриваемые нечеткие множества являются подмножествами одного и того же множества Y.
2. Пример описания неопределенности с помощью нечеткого множества
Понятие «богатый» часто используется при обсуждении социально-экономических проблем, в том числе и в связи с подготовкой и принятием решений. Однако очевидно, что разные лица вкладывают в это понятие различное содержание. Сотрудники Института высоких статистических технологий и эконометрики провели в 1996 г. социологическое исследование представления различных слоёв населения о понятии "богатый человек".
Мини-анкета опроса выглядела так:
1. При каком месячном доходе (в млн. руб. на одного человека) Вы считали бы себя богатым человеком?
2. Оценив свой сегодняшний доход, к какой из категорий Вы себя относите:
а) богатые;
б) достаток выше среднего;
в) достаток ниже среднего;
г) бедные;
д) за чертой бедности?
(В дальнейшем вместо полного наименования категорий будем оперировать буквами, например "в" - категория, "б" - категория и т.д.)
3. Ваша профессия, специальность.
Всего было опрошено 74 человека, из них 40 - научные работники и преподаватели, 34 человека - не занятых в сфере науки и образования, в том числе 5 рабочих и 5 пенсионеров. Из всех опрошенных только один (!) считает себя богатым. Несколько типичных ответов научных работников и преподавателей приведено в табл.1, а аналогичные сведения для работников коммерческой сферы – в табл.2.
Таблица 1.
Типичные ответы научных работников и преподавателей
| Ответы на вопрос 3 | Ответы на вопрос 1, млн. руб./чел. | Ответы на вопрос 2 | Пол |
| Кандидат наук | 1 | Д | ж |
| Преподаватель | 1 | В | ж |
| Доцент | 1 | б | ж |
| Учитель | 10 | в | м |
| Старший. научный сотрудник | 10 | д | м |
| Инженер-физик | 24 | д | ж |
| Программист | 25 | г | м |
| научный работник | 45 | г | м |
Таблица 2
Типичные ответы работников коммерческой сферы.
| Ответы на вопрос 3 | Ответы на вопрос 1 | Ответы на вопрос 2 | Пол |
| Вице-президент банка | 100 | а | ж |
| Зам. директора банка | 50 | б | ж |
| Начальник. кредитного отдела | 50 | б | м |
| Начальник отдела ценных бумаг | 10 | б | м |
| Главный бухгалтер | 20 | д | ж |
| Бухгалтер | 15 | в | ж |
| Менеджер банка | 11 | б | м |
| Начальник отдела проектирования | 10 | в | ж |
Разброс ответов на первый вопрос – от 1 до 100 млн. руб. в месяц на человека. Результаты опроса показывают, что критерий богатства у финансовых работников в целом несколько выше, чем у научных (см. гистограммы на рис.1 и рис.2 ниже).
Опрос показал, что выявить какое-нибудь конкретное значение суммы, которая необходима "для полного счастья", пусть даже с небольшим разбросом, нельзя, что вполне естественно. Как видно из таблиц 1 и 2, денежный эквивалент богатства колеблется от 1 до 100 миллионов рублей в месяц. Подтвердилось мнение, что работники сферы образования в подавляющем большинстве причисляют свой достаток к категории "в" и ниже (81% опрошенных), в том числе к категории "д" отнесли свой достаток 57%.
Со служащими коммерческих структур и бюджетных организаций иная картина: "г" - категория 1 человек (4%), "д" - категория 4 человека (17%), "б" - категория - 46% и 1 человек "а" - категория.
3. Нечеткие выводы
В экспертных и управляющих системах механизм нечетких выводов в своей основе имеет базу знаний, формируемую специалистами предметной области в виде совокупности нечетких предикатных правил вида:
П1: если х есть А1, то y есть В1,
П2: если х есть А2, то y есть В2,
…
Пn: если х есть Аn, то y есть Вn,
где х – входная переменная, y – переменная вывода, А и В – функции принадлежности, определенные на х и y соответственно.
Знания эксперта А→В отражает нечеткое причинное отношение предпосылки и заключения, поэтому его называют нечетким отношением:
R= А→В,
где «→» - нечеткая импликация.
Отношение R можно рассматривать как нечеткое подмножество прямого произведения Х ´Y полного множества предпосылок X и заключений Y. Таким образом, процесс получения (нечеткого) результата вывода В′ с использованием данного наблюдения А′ и значения А→В можно представить в виде
В′= А′● R= А′●( А→В).
Алгоритм нечеткого вывода
1 Нечеткость (фаззификация, fuzzification). Функции принадлежности, определенные для входных переменных, применяются к их фактическим значениям для определения степени истинности каждой предпосылки каждого правила).
2 Логический вывод. Вычисленное значение истинности для предпосылок каждого правила применяется к заключениям каждого правила. Это приводит к одному нечеткому подмножеству, которое будет назначено переменной вывода для каждого правила. В качестве правил логического вывода используются только операции min (минимума) или prod (умножение).
3 Композиция. Нечеткие подмножества, назначенные для каждой переменной вывода (во всех правилах), объединяются вместе, чтобы сформировать одно нечеткое подмножество для каждой переменной вывода. При подобном объединении обычно используются операции max (максимум) или sum (сумма).
4 Дефаззификация – приведение к четкости (defuzzification). Преобразование нечеткого набора выводов в число.
II . МЕТОДЫ ПРИНЯТИЯ РЕШЕНИЙ НА ОСНОВЕ ТЕОРИИ НЕЧЕТКИХ МНОЖЕСТВ
Л. Заде:
"Фактически нечеткость может быть ключом к пониманию способности человека справляться с задачами, которые слишком сложны для решения на ЭВМ".
1. Многокритериальный выбор методом максимннной свертки в сфере банковского кредитования
Рассмотрим применение метода принятия решений, основанного на теории нечетких множеств в области кредитования, позволяющего повысить обоснованность принимаемых решений и обеспечить выбор наиболее рационального варианта из множества допустимых.
В рассматриваемой задаче предприятия являются альтернативами, из которых предстоит сделать выбор лучшей.
Альтернативы обозначим через а1, ...,a4.
Для оценки кредитоспособности предприятий-заемщиков используем данные их бухгалтерской отчетности (табл. 2.1).
Таблица 2.1
Данные бухгалтерской отчетности
| Финансовый показатель | Значение показателя для предприятия, тыс. руб. | |||
| a1 | a2 | a3 | a4 | |
| Денежные средства (ДС) | 229,1 | 946,2 | 947,0 | 1442,9 |
| Краткосрочные финансовые вложения (КФВ) | 394,1 | 462,7 | 466,4 | 2066,0 |
| Дебиторская задолженность (ДЗ) | 4639,8 | 8391,4 | 8514,5 | 10908,2 |
| Запасы и затраты (33) | 6028,1 | 21557,6 | 21370,4 | 17424,5 |
| Собственный капитал (СК) | 12395,8 | 35247,8 | 41244,2 | 53939,4 |
| Краткосрочные обязательства (ОКс) | 4058,1 | 13834,9 | 16827,1 | 25028,3 |
| Итог баланса (ИБ) | 16453,9 | 49082,7 | 58071,3 | 78967,7 |
| Валовая выручка (ВВ) | 59438,9 | 38567,9 | 43589,5 | 28343,6 |
| Прибыль (П) | 16642,9 | 4442,5 | 65384,2 | 3401,2 |
На основании этих данных рассчитываются финансовые коэффициенты, характеризующие кредитоспособность заемщиков: коэффициент абсолютной ликвидности (F1), промежуточный коэффициент покрытия (F2), общий коэффициент покрытия (F3), коэффициент финансовой независимости (F4) коэффициент рентабельности продукции (F5). Перечисленные коэффициенты являются критериями качества кредитоспособности предприятий и рассчитываются по следующим формулам:

Рассчитанные значения критериев качества для рассматриваемых предприятий приведены в табл. 2.2. Там же даны нормативные значения критериев. Анализ расчетных и нормативных значений критериев показывает, что все предприятия могут претендовать на получение кредита.
Таблица 2.2
Расчетные и нормативные значения критериев качества предприятий
| Критерий качества | Значение критерия для предприятия | Нормативное значение | |||
| а1 | a2 | a3 | a4 | ||
| F1 | 0,154 | 0,102 | 0,084 | 0,140 | 0,1-0,25 |
| F2 | 1,297 | 0,71 | 0,59 | 0,57 | 0,5-1,0 |
| F3 | 2,78 | 2,27 | 1,86 | 1.27 | 1,0-2,5 |
| F4 | 0,75 | 0,72 | 0,71 | 0,68 | 0,6 |
| F5 | 0,28 | 0,115 | 0,15 | 0,12 | Чем выше, тем лучше |
Обработка полученной исходной информации с применением математического аппарата теории нечетких множеств проводится в три этапа.
Этап 1. Построение функций принадлежности, соответствующих понятиям "предпочтительный коэффициент абсолютной ликвидности", "желаемый промежуточный коэффициент покрытия", "наилучший коэффициент рентабельности" и т. д. (рис. 4.3). Построение таких функций проводят эксперты, располагающие знаниями в области кредитования предприятий различного функционального назначения.
Этап 2. Определяются конкретные значения функции принадлежности по критериям качества F1, ..., F5. На рис. 4.3 показаны значения функций принадлежности, соответствующие рассматриваемым альтернативам. Нечеткие множества для пяти рассматриваемых критериев, включающие четыре анализируемые альтернативы, имеют следующий вид:
= 0,61/0,154 + 0,41/0,102 + 0,33/0,084 + 0,46/0,140;
= 1,0/1,297 + 0,71/0,71 + 0,59/0,59 + 0,57/0,57;
= 1,0/2,78 + 0,91/2,27 + 0,75/1,86 + 0,51/1,27;
= 1,0/0,75 + 0,96/0,72 + 0,94/0,71 + 0,90/0,68;
= 0,93/0,28 + 0,38/0,115 + 0,5/0,15 + 0,4/0,12.

Этап 3. Производится свертка имеющейся информации в целях выявления лучшей альтернативы. Множество оптимальных альтернатив В определяется путем пересечения нечетких множеств, содержащих оценки альтернатив по критериям выбора.
Если критерии, по которым осуществляется выбор вариантов, имеют одинаковую важность для ЛПР, то правило выбора лучшего варианта имеет вид:
В = F1 ÇF2 ÇF3 ÇF4 ÇF5.
Оптимальной считается альтернатива с максимальным значением функции принадлежности к множеству В. Операция пересечения нечетких множеств соответствует выбору минимального значения для j-й альтернативы:
![]()
Для рассматриваемой задачи множество оптимальных альтернатив будет формироваться следующим образом:
В = { min { 0,61; 1,0; 1,0; 1,0; 0,93 }
min { 0,41; 0,71; 0,91; 0,96; 0,38 }
min { 0,33; 0,59; 0,75; 0,94; 0,50 }
min { 0,46; 0,57; 0,51; 0,90; 0,40 }}.
Результирующий вектор приоритетов альтернатив имеет следующий вид:
= max {0,61; 0,38; 0,33; 0,4}.
Таким образом, лучшей альтернативой является а1, которой соответствует значение 0,61. На втором, третьем и четвертом местах находятся соответственно а4 ® 0,4, а2 ® 0,38, а3 ® 0,33.
Выбор лучшего банка для размещения денежных средств физическим лицом
Цель решаемой задачи — выбор лучшего банка для размещения денежных средств физическим лицом. В отличие от предыдущего примера используемые для выбора критерии имеют различную значимость для ЛПР.
Было выбрано три банка: альтернативы а1, а2; и a3. Определено шесть критериев выбора:
F1 — процентная ставка (этот параметр может меняться для различных условий вклада в данном банке, однако задача будет решаться исходя из предположения, что ЛПР определился с условиями вклада и рассматривает альтернативы, удовлетворяющие этим условиям);
F2 — расположение банка;
F3 — активы банка;
F4 — политика банка;
F5 — ликвидность банка (рассчитывается через коэффициент ликвидности Кл);
f6 — репутация банка (оценивается по экспертной шкале).
Значения критериев для всех альтернатив определены в табл. 4.3.
Таблица 2.3
Значения критериев для альтернатив
| Критерий | Альтернатива | ||
| Банк a1 | Банк a2 | Банк a3 | |
| F1 - процентная ставка, % | 30 | 35 | 40 |
| F2- расположение | Рядом с домом | В одном районе | В одном городе |
| F3 -активы банка, млн руб. | 15 | 20 | 10 |
| F4 - политика банка | Консервативная | Умеренная | Рискованная |
| F5 - ликвидность (Кл ) | 2 | 2,5 | 1,5 |
| F6- репутация (2,3,4,5) | 5 | 4 | 3 |
Для каждой альтернативы определены конкретные значения, которые представлены следующими нечеткими множествами:
= {0,05/30 + 0,25/35 + 0,4/40};
= {0,7/a1+1,0/a2+0,3/a3};
= {0,35/15 + 0,6/20 + 0,2/10};
= {0,25/a1 + 0,7/a2 + 0,3/a3};
={0,5/2+0,9/2,5+0,35/1,5};
= {1,0/5+0,75/4+0,6/3}.
Критерии имеют различную значимость при определении наиболее рационального варианта. В связи с этим необходимо определить весовые коэффициенты bi критериев. Один из возможных способов получения значений весовых коэффициентов заключается в построении матрицы попарных сравнений критериев. Для критериев, использованных при решении задачи выбора лучшего банка, составлена следующая матрица:
| Выбор банка | F1 | F2 | F3 | F4 | F5 | F6 |
| F1 | 1 | 7 | 3 | 4 | 1/4 | 1/3 |
| F2 | 1/7 | 1 | 1 | 1/2 | 1/7 | 1/2 |
| F3 | 1/3 | 1 | 1 | 1/2 | 1/4 | 1/2 |
| F4 | 1/4 | 2 | 2 | 1 | 1/5 | 1 |
| F5 | 4 | 7 | 4 | 5 | 1 | 3 |
| F6 | 3 | 2 | 2 | 1 | 1/3 | 1 |
Весовой коэффициент критерия bi определяется на основании вычисленных значений правого собственного вектора матрицы попарных сравнений ai с последующим умножением на число критериев п.
bi = ain.
Значения ai и bi приведены в табл. 2.4.
Таблица 2.4
Собственный вектор матрицы полярных сравнений критериев и их весовые коэффициенты

Множество оптимальных альтернатив В с учетом различной важности критериев качества определяется путем пересечения нечетких множеств следующим образом:
![]()
Найдем множество оптимальных альтернатив с учетом полученных весовых критериев:
В = { min { 0,051,062; 0,70,318; 0,350,404; 0,250,589; 0,52,652; 1,00,972 }
min { 0,251,062; 1,00,318; 0,60,404; 0,70,589; 0,92,652; 0,750,972 }
min { 0,41,062; 0,30,318; 0,20,404; 0,30,589; 0,352,652; 0,60,972 }}.
Множество оптимальных вариантов В имеет вид:
![]()
Таким образом, лучшей альтернативой является банк а2 на втором месте банк a3 самым худшим вариантом для вклада денег является банк а1.
2. Выбор конкурентоспособного товара методом нечеткого отношения предпочтения
Проанализируем ряд виброзащитных технологий для выявления наиболее конкурентоспособной на определенном международном рынке.
Задачу выбора рационального виброизолятора с учетом наиболее важных критериев качества рассмотрим на примере анализа четырех альтернатив: а1 — пневматического виброизолятора; a2 — металлического торсионного элемента, работающего на скручивание; a3 — винтовой пружины; a4 — резинового элемента.
Для оценки альтернатив используем восемь критериев качества:
F1 — собственная частота колебаний виброизолятора (f, Гц);
F2—долговечность элемента (Т, лет);
F3 — габаритный размер (h, метр);
F4 — коэффициент передачи на резонансе (Tz, безразмерные единицы);
F5 — устойчивость к механическим повреждениям (шкала экспертных оценок);
F6 — стоимость (тыс. руб.);
F7 — шумоизоляция (дБ);
F8 — патентная чистота (условные единицы измерения).
На основании функций принадлежности всех альтернатив по восьми критериям определены их конкретные значения, которые представляют собой следующие нечеткие множества:

По этим данным составлены матрицы нечетких отношений предпочтения R1, ..., R8


Задача выбора решается в соответствии с описанной выше процедурой.
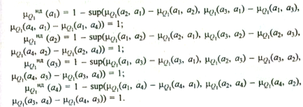
1. Строим нечеткое отношение Q1 = R1 ÇR2 Ç …ÇR8:

Находим подмножество недоминируемых альтернатив на множестве {А,
}:
![]()
по всем i и j (i¹j):

![]()
2. Строим отношение Q2.
![]()
Коэффициенты wk относительной важности критериев имеют следующие значения: w1 = 0,23, w2 = 0,09, w3 = 0,04, w4 = 0 23 w5 = 0,04, w6 = 0,09, w7 = 0,23, w8 = 0,04.
Определяем нечеткое отношение Q2.

Находим подмножество недоминируемых альтернатив множества [А,
}:
![]()
по всем i и j (i¹j):

3. Результирующее множество недоминируемых альтернатив есть пересечение множеств
НД и
НД

4. Следовательно, рациональным следует считать выбор альтернативы a1 имеющей максимальную степень недоминируемости.
3. Метод нечеткого логического вывода в задаче выбора фирмой кандидата на замещение вакантной должности бухгалтера
Руководство фирмы рассматривает кандидатов на замещение вакантной должности бухгалтера. Задача заключается в том, чтобы, используя описанный выше метод, выявить наилучшего претендента. Обсуждение среди членов руководства фирмы дало следующий результат:
d1: "Если кандидат имеет требуемые квалификацию, образование и опыт ведения бухгалтерского учета, то он — удовлетворяющий (отвечающий требованиям)";
d2: "Если он вдобавок к вышеописанным требованиям умеет работать с современным программным обеспечением (ПО), то он — более чем удовлетворяющий";
d3: "Если он дополнительно к условиям d2 обладает необходимыми юридическими знаниями, то он — безупречный";
d4: "Если он имеет все оговоренное в d3, кроме способности работать с современным ПО, то он — очень удовлетворяющий";
d5: "Если кандидат имеет необходимую квалификацию, имеет опыт ведения бухгалтерского учета, обладает юридическими знаниями, но не имеет высшего образования, он все же будет удовлетворяющим";
d6: "Если он не имеет квалификации и не имеет опыта ведения бухгалтерского учета, то он — неудовлетворяющий".
Анализ приведенных информационных фрагментов позволяет выявить шесть критериев, используемых для принятия решения:
Х1 — квалификация; Х2 — образование; Х3, — опыт ведения бухгалтерского учета; Х4, — умение работать с современным ПО; Х5 — юридическая грамотность, Y— удовлетворительность.
Для формулирования правил следует определить возможные значения лингвистических переменных Xi и Y, которые будут использоваться для оценки кандидатов:
d1: "Если Х1 = ПОДХОДЯЩЯЯ и X2 = ВЫСШЕЕ, и Х3 = ДОСТАТОЧНЫЙ. то Y = УДОВЛЕТВОРЯЮЩИЙ";
d2: "Если Х1 = ПОДХОДЯЩАЯ и X2 = ВЫСШЕЕ, и Х3 = ДОСТАТОЧНЫЙ, и X4 = СПОСОБЕН, то Y = БОЛЕЕ ЧЕМ УДОВЛЕТВОРЯЮЩИЙ";
d3: "Если Х1 = ПОДХОДЯЩАЯ и Х2 = ВЫСШЕЕ, и X3 = ДОСТАТОЧНЫЙ, и Х4 = СПОСОБЕН, и X5 = ОБЛАДАЕТ, то Y = БЕЗУПРЕЧНЫЙ";
d4: "Если Х1 = ПОДХОДЯЩАЯ и Х2 = ВЫСШЕЕ, и Х3 = ДОСТАТОЧНЫЙ, и X4 = ОБЛАДАЕТ, то Y = ОЧЕНЬ УДОВЛЕТВОРЯЮЩИЙ";
d5: "Если Х1 = ПОДХОДЯЩАЯ и X2 = НЕ ВЫСШЕЕ, и Х3 = ДОСТАТОЧНЫЙ, и X5 = ОБЛАДАЕТ, то Y = УДОВЛЕТВОРЯЮЩИЙ";
d6: "Если Х1 = НЕ ИМЕЕТ и Х3 = НЕДОСТАТОЧНЫЙ, то Y = НЕУДОВЛЕТВОРЯЮЩИЙ".
Переменная Y задана на множестве J = {0; 0,1; 0,2; ...; 1}.
Значения переменной Y заданы с помощью следующих функций принадлежности:
S = УДОВЛЕТВОРЯЮЩИЙ определено как mS(х) = х, х Î J;
MS = БОЛЕЕ ЧЕМ УДОВЛЕТВОРЯЮЩИЙ — как mMS(x)=Öx; xÎJ;
![]()
VS = ОЧЕНЬ УДОВЛЕТВОРЯЮЩИЙ — как mVS(x) = х2, xÎJ,
US = НЕУДОВЛЕТВОРЯЮЩИЙ — как mVS(x) = 1 - х, х Î J.
Выбор производится из пяти кандидатов на множестве U = {u1, и2, u3, u4, u5}.
В рассматриваемой задаче оценки кандидатов заданы следующими нечеткими множествами:
ПОДХОДЯЩАЯ (квалификация) А = {0,8/u1, 0,61u2, 0,5/u3, 0,1/u4, 0,3/u5};
ВЫСШЕЕ (образование) В = {0,5/u1,1/u2, 0/u3, 0,5/u4, 1/u5};
ДОСТАТОЧНЫЙ (опыт) С = {0,6/u1, 0,9/и2, 1/u3, 0,7/u4, 1/u5};
СПОСОБЕН (работать с ПО) D = {1/u1, 0,3/и2, 1/u3, 0/u4, 0/u5}',
ОБЛАДАЕТ (юридическими знаниями) Е = {0/u1, 0,5/u2, 1/u3, 0,8/u4, 1/u5}.
С учетом введенных обозначений правила d1, ...,d6 принимают вид:
d1 : “Если Х= А и В, и С, то Y =S”;
d2: "Если Х= А и В, и С, и D, то Y = MS":
d3: “Если X= А и В, и С, и D, и E, то Y = P”;
d4: “Если X = А и B, и С, и Е, то Y = VS”;
d5: “Если X = A, и не В, и С, и E, то Y = S”;
d6: “Если Х = не A и не С, то Y = US”.
Вычислим функции принадлежности
для левых частей приведенных правил:

Теперь правила можно записать в виде:

Используя для преобразования правил вида "Если Х = М, то Y = Q" импликацию Лукасевича mD(u, j) = min(l, 1-mM /(u) + mY (j)), для каждой пары (u, j) Î U х J получаем следующие нечеткие отношения на U ´ J:


В результате пересечения отношений D1, ..., D6 получаем общее функциональное решение:

Для вычисления удовлетворительности каждой из альтернатив применим правило композиционного вывода в нечеткой среде:
Ek = Gk°D, где Еk — степень удовлетворения альтернативы k;
Gk — отображение альтернативы k в виде нечеткого подмножества на U, D — общее функциональное решение. Тогда
![]()
Кроме того, в этом случае
(u) = 0; u¹uk,
(u) = 1; u = uk. Отсюда
(i) =
(uk, i) Другими словами, Еk есть k-я строка в матрице D. Теперь применим описанную выше процедуру для сравнения нечетких подмножеств в единичном интервале для получения наилучшего решения на основе точечных оценок.
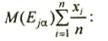
Для первой альтернативы
E1 ={0,5/0; 0,6/0,1; 0,7/0,2; 0,8/0,3; 0,9/0,4; 1/0,5; 1/0,6; 1/0,7; 1/0,8; 0,9/0,9; 0,8/1}.
Вычисляем уровневые множества Eja и мощность такого множества М(Еa) по формуле
![]()



Аналогично находим точечные оценки для других альтернатив:
для второй альтернативы F(E2) = 0,656;
для третьей — F(E3) = 0,575;
для четвертой — F(E4) = 0,483;
для пятой — F(E5) = 0,562.
В качестве лучшей выбираем альтернативу, имеющую наибольшую точечную оценку. В нашем примере это альтернатива и2, следовательно, она и будет наилучшей. Второе место занимает альтернатива u3; третье – u5, четвертое – и1, а самой худшей из альтернатив является u4.
Формализация знаний с помощью правил позволяет учитывать различную важность критериев и самих правил. Предположим, что в рассмотренной задаче ЛПР считает крайне важным умение кандидата на должность бухгалтера работать с программным обеспечением. Тогда в правилах d2 и d3 значением критерия Х4 будет понятие ОЧЕНЬ СПОСОБЕН, описываемое нечетким множеством D1 следующего вида:
![]()
Правило d4 исключим из рассмотрения, так как теперь кандидат, не владеющий умением работать с ПО, не является ОЧЕНЬ УДОВЛЕТВОРЯЮЩИМ. Тогда соответствующие левым частям правил нечеткие множества Мi, i = 1, .... 6, i¹ 4, будут иметь вид:


F(u1)—0,560; F(u2)— 0,600; F(u3)—0,575; F(u4)— 0,475; F(u5)— 0,530.
Сравнение полученных результатов показывает, что с повышением значимости критерия Х4 ранжировка альтернатив несколько изменилась: и1 и u5 поменялись местами. Этот факт согласуется с исходными данными, так как кандидат и1 имеет максимальное значение по критерию Х4, а u5 - минимальное.
Для учета различной важности правил будем использовать нормированные весовые коэффициенты, которые можно получить либо путем попарных сравнений, либо путем экспертного назначения весов.
В рассматриваемой задаче возможны различные подходы к выбору кандидата на должность: мягкий, жесткий, рациональный и т. д. Мягкий подход обычно имеет место в условиях дефицита времени и квалифицированных кадров, основную директиву этого подхода можно сформулировать так: "лишь бы умел что-нибудь делать". При мягком подходе самый большой вес будет иметь правило d6 а все остальные будут одинаково значимыми. Значения весовых коэффициентов правил приведены в табл. 4.5.
Жесткий подход к выбору кандидата на должность возможен в случае избытка квалифицированных кадров и ресурса времени, отводимого для выбора. Целью такого подхода является поиск кандидата, наиболее соответствующего идеалу. Назначенные ЛПР экспертные оценки важности правил с использованием 10-балльной шкалы и соответствующие весовые коэффициенты приведены в табл. 4.5.
Таблица 2.5
Оценки важности правил
| Правило | d1 | d2 | d3 | d4 | d5 | d6 |
| Мягкая экспертная оценка | 2 | 2 | 2 | 2 | 2 | 10 |
| Коэффициент | 0,6 | 0,6 | 0,6 | 0,6 | 0,6 | 3 |
| Жесткая экспертная оценка | 2 | 3 | 10 | 3 | 2 | 0 |
| Коэффициент | 0,6 | 0,9 | 3 | 0,9 | 0,6 | 0 |
Нечеткие отношения D1, ..., D6, возводятся в степени, соответствующие весовым коэффициентам правил, после чего выполняется их пересечение и получается общее решение D.
В табл. 4.7. приведены результирующие лингвистические оценки альтернатив, полученные методом нечеткого вывода, и соответствующие им значения мер сходства.
Таблица 2.7
Результаты работы системы нечеткого вывода
| Лингвистическая оценка | Альтернатива | ||||
| u1 | u2 | u3 | u4 | u5 | |
| СПЕЦИАЛИСТ(Неуд.) | 0,08 | 0,0 | 0,30 | 0,21 | 0,10 |
| СПЕЦИАЛИСТ (Удовлетворяющий) | 0,85 | 0,95 | 0,32 | 0,69 | 0,97 |
| КАНДИДАТ (Хороший) | 0,81 | 0,0 | 0,30 | 0,0 | 0,0 |
| КАНДИДАТ (Очень хороший) | 0,0 | 0,74 | 0,28 | 0,57 | 0,91 |
| КАНДИДАТ (Безупречный) | 0,0 | 0,0 | 0,22 | 0,0 | 0,0 |
Полученные результаты позволяют увидеть, что кандидаты u1, u2, u4, u5 являются удовлетворяющими специалистами (мера сходства больше 0,5), а кандидат u3 почти с одинаковым значением меры сходства принадлежит ко всем возможным категориям. При этом значения меры сходства находятся в интервале (0,22 - 0,32), что свидетельствует о весьма слабом сходстве с соответствующими понятиями. Такие результаты скорее следует интерпретировать как неспособность данного объекта вписаться в рамки имеющихся градаций при сформулированном наборе правил, чем как свойство быть похожим на все категории одновременно. Альтернатива u1 хорошо согласуется с понятием хорошего кандидата, а u2 и u5 — с понятием очень хорошего кандидата. Альтернатива u4 также претендует на роль очень хорошего кандидата, однако сходство с соответствующим нечетким прототипом имеет весьма невысокое.
4. Сравнительный анализ различных методов принятия решений
Теория нечетких множеств, предложенная Л. Заде в 1961 г., к настоящему времени приобрела широкую популярность и получила практическое применение во многих отраслях знаний. В сфере принятия решений на базе этой теории разработан широкий спектр разнообразных методов, только небольшая часть из которых рассмотрена в настоящей книге. Нелегкой проблемой сегодняшнего дня является выбор подходящего метода или программного обеспечения для поддержки процессов принятия решений. Поэтому особую актуальность приобретают проведение сравнительного анализа различных методов и разработка рекомендаций по их применению.
Рассмотрим подходы к решению одной задачи многокритериального выбора в условиях неопределенности с использованием различных методов. При этом будем использовать исходную информацию, полученную от одного и того же высококвалифицированного эксперта. Ранее были рассмотрены задачи в условиях одинаковой и различной важности критериев. Последняя ситуация является более общей, поэтому будем решать задачу в условиях неодинаковой значимости критериев.
Анализ и оценка инвестиционных проектов — одна из самых сложных задач в сфере экономики, производства и управления. Ее сложность обусловлена, с одной стороны, значительной неопределенностью, так как при решении вопроса об инвестициях всегда нужно предвидеть будущее, и с другой стороны — наличием множества заведомо противоречивых критериев. Человеку (ЛПР) свойственно желать получения максимальной прибыли при минимальных затратах, чего, как известно, никому не удавалось достигнуть, поскольку минимальные затраты равны нулю. При решении подобных задач в условиях определенности целевая функция строится на основе независимых, а следовательно, и непротиворечивых критериев. Однако в условиях неопределенности анализ решений производится на основе вербальной экспертной информации, элементы которой могут противоречить друг другу. При этом результаты анализа решений, полученные любыми методами, теряют свою ценность, так как точность и достоверность результата вычислений никогда не могут превзойти точности и достоверности исходных данных.
На рис. 2.9 приведены результаты решения задачи выбора рационального инвестиционного проекта, полученные различными методами.
Рисунок 2.9

Несмотря на то, что исходная информация во всех рассмотренных примерах является последовательной и непротиворечивой, полученные результаты заметно отличаются. Кроме описанных выше нечетких методов принятия решений, для сравнения использовался метод анализа иерархий, который обычно дает результаты, хорошо согласующиеся с интуитивными представлениями экспертов при рациональном подходе к принятию решений.
Несовпадение результатов, полученных разными методами, объясняется, с одной стороны, разными способами представления экспертной информации, а с другой стороны — различием подходов к принятию решений. Максиминная свертка и лингвистическая векторная оценка являются реализациями пессимистического подхода, игнорирующего хорошие стороны альтернатив, когда лучшей считается альтернатива, имеющая минимальные недостатки по всем критериям. Аддитивная свертка предполагает оптимистический подход, когда низкие оценки по критериям имеют одинаковый статус по сравнению с высокими. Нечеткий вывод на правилах реализует эвристический подход.
Анализ приведенных результатов позволяет сделать следующие выводы:
1. Методы принятия решений на нечетких моделях позволяют удобно и достаточно объективно производить оценку альтернатив по отдельным критериям. В отличие от других методов добавление новых альтернатив не изменяет порядок ранее ранжированных наборов. При оценке альтернатив по критериям возможна как лингвистическая оценка, так и оценка на основе точечных оценок с использованием функций принадлежности критериев.
2. Основной проблемой многокритериального выбора с применением нечетких моделей является представление информации о взаимоотношениях между критериями и способы вычисления интегральных оценок. Методы, базирующиеся на разных подходах, дают различные результаты. Каждый подход имеет свои ограничения и особенности, и пользователь должен получить о них представление, прежде чем применять тот или иной метод принятия решений.
3. Большинство нечетких методов принятия решений показывает слабую устойчивость результатов относительно исходных данных. Исследование рассмотренных методов показало, что наибольшей устойчивостью обладает метод, основанный на правилах.
Заключение
Немногие задумываются, насколько ощутимую помощь могут оказать методы нечеткой логики в управлении. Ввиду вышеуказанных исследований можно сделать следующие выводы:
Нечеткое управление оказывается особенно полезным, когда технологические процессы являются слишком сложными для анализа с помощью общепринятых количественных методов, или когда доступные источники информации интерпретируются качественно, неточно или неопределенно. Экспериментально показано, что нечеткое управление дает лучшие результаты, по сравнению с получаемыми при общепринятых алгоритмах управления. Нечеткие методы помогают управлять домной и прокатным станом, автомобилем и поездом, распознавать речь и изображения, проектировать роботов, обладающих осязанием и зрением. Нечеткая логика, на которой основано нечеткое управление, ближе по духу к человеческому мышлению и естественным языкам, чем традиционные логические системы. Нечеткая логика, в основном, обеспечивает эффективные средства отображения неопределенностей и неточностей реального мира. Наличие математических средств отражения нечеткости исходной информации позволяет построить модель, адекватную реальности.
Анализ нечетких методов принятия решений позволяет сформулировать требования к дальнейшим разработкам в этой области. Это развитие теоретических подходов к описанию сложных взаимоотношений между критериями, более широкое применение интеллектуальных методов на основе нечеткой логики, а также развитие комбинированных методов принятия решений с использованием нечетких представлений
Список использованной литературы
1. Орлов А.И. Теория принятия решений. Учебное пособие / А.И.Орлов.- М.: Издательство «Экзамен», 2005. - 656 с.
2. Борисов А. Н., Кроумберг О. А., Федоров И. П. Принятие решений на основе нечетких моделей: примеры использования. – Рига: Зинатве, 1990. – 184 с.
3. Андрейчиков А.В., Андрейчикова О.Н. Анализ, синтез, планирование решений в экономике — М.: Финансы и статистика, 2000. — 368 с.
4. Нечеткие множества в моделях управления и искусственного интеллекта/Под ред. Д. А. Поспелова. — М.: Наука, 1986. — 312 с.
5. Боросов А.Н. Принятие решений на основе нечетких моделей: ПримерыI использования. Рига: Зинанте, 1990.
6. Вопросы анализа и процедуры принятия решений/Под ред. И.Ф. Шах-нова. М.: Мир, 1976.
7. Кофман А. Введение в теорию нечетких множеств/Пер, с франц. М,: Радио и связь, 1982.
9. Лебег А. Об измерении величин. - М.: Учпедгиз, 1960. - 204 с.
10. Орлов А.И. Основания теории нечетких множеств (обобщение аппарата Заде). Случайные толерантности. – В сб.: Алгоритмы многомерного статистического анализа и их применения. - М.: Изд-во ЦЭМИ АН СССР, 1975. - С.169-175.
11. Орлов А.И.Математика нечеткости. - Наука и жизнь. 1982. No.7. С.60-67.
Похожие рефераты:
Нечеткие множества в системах управления
Теория искусственного интеллекта
Задачи выбора торговых посредников
Теоретические основы математических и инструментальных методов экономики
Системное автоматизированное проектирование