| Похожие рефераты | Скачать .docx |
Курсовая работа: Основи організаційної діяльності у виробничій сфері
Курсова робота
з менеджменту підприємства
на тему: «Основи організаційної діяльності у виробничій сфері»
Київ 2010
План
Вступ
Розділ I Оцінка маркетингового середовища майбутньої організації та конкурентоспроможності їїпродукції
1.1 Роль будівельного комплексу в народному господарстві
1.2 Аналіз сфери діяльності
1.3 Переваги продукції що випускається
Розділ IIВиробничо-технологічний менеджмент проекту. Побудова моделі операційної системи організації
2.1 Підприємство як операційна система
2.2 Загальний огляд виробничо – технологічного менеджменту товару
2.3 Операційна система підприємства «ШклоПак»
2.4 Виробничо-технологічний процес підприємства «ШклоПак»
Розділ IIIМенеджмент персоналу. Формування структури управління організацією
3.1 Організаційна структура організації
3.2 Опис організаційної структури підприємства «ШклоПак»
3.3 Посадові інструкції для основного управлінського складу працівників
Розділ IV. Кошторисна документація поекту. Визначення обсягу та структури інвестицій проекту у виробничій сфері
4.1 Кошторисна вартість проекту
4.2 Визначення обсягу і структури
4.3 Власники і учасники проекту
Розділ V. Економічні характеристики продукції, прогноз фінансових результатів організації та окупності проекту
5.1 Економічні показники продукції
5.2 Фінансово – економічні результати, ефективність діяльності підприємства
Розділ VI. Формування місії та стратегії організації в ринковому середовищі
6.1 Стратегія підприємства
6.2 Цілі та місії підприємства
6.3 Стратегія підприємства «ШклоПак»
6.4 Цілі та місії підприємства «ШклоПак»
Загальні висновки
Вступ
На даний час дуже стрімко йде розвиток метало-пластикових вікон. Модернізація процесів їх виробництва та монтування дуже відрізняється від процесів минулих років. Якщо зазирнути в минуле, то кілька років тому, у кожній хаті, чи квартирі стояли дерев’яні вікна. Далі у цій роботі ми розглянемо різницю якості, між метало-пластиковими вікнами та дерев’яними. Зараз у кожного другого вдома стоять метало-пластикові вікна. Конкуруючі між собою фірми намагаються закріпитись на ринку пропонуючи свою продукцію з підвищеною якістю, або зі знижками, чи навіть з безплатним монтуванням вікон тощо.
Ринок віконної продукції в Україні продовжує зростати. Минув час, коли однією віконною системою можна було задовольнити всі потреби вітчизняних споживачів. Дедалі зростаючі вимоги до вікна як одного із конструктивних елементів споруди сприяли і сприяють створенню десятків і сотень досі незнаних виробів. Критерієм продажу метало-пластикових вікон є ціна та якість продукції.
На сьогодні в Україні нараховують кілька тисяч дрібних та середніх фірм, які випускають метало-пластикові вікна. За останні роки чимало вітчизняних виробників віконної продукції вклали багато коштів у технічне оснащення виробництва, посилили контроль за якістю комплектуючих виробів та монтажних робіт.
Оскільки вікна встановлюють на десятки років, то вимоги покупців до цієї продукції достатньо високі. Нині споживачі хочуть самостійно розібратися у всій різноманітності віконних конструкцій і зробити вибір на підставі повної і об'єктивної інформації.
Щоб впровадити товар своєї фірми, необхідно чітко визначитись з напрямком своєї діяльності, проаналізувати конкурентів, споживачів, загалом дослідити ринок. Для цього бажано знати, що являє собою поняття бізнес та підприємницька діяльність.
Бізнес (англ. business — справа, діло) — підприємницька, комерційна чи будь-яка інша діяльність, що не суперечить закону і спрямована на отримання прибутку (матеріального, морального, духовного, кар’єрного тощо). Як процес, бізнес можна розглядати як сукупність етапів розробки або здійснення якихось певних дії.
В США бізнес розвивається на основі індивідуальної, партнерської та корпоративної форм власності. На індивідуальній власності заснований бізнес, в якому власником і підприємцем є одна особа, що отримує всі доходи і несе відповідальність за ведення справи. У США таких власників понад 15 млн. (75 % від загальної кількості підприємств), але вони отримують лише до 9 % грошових надходжень. Для малого бізнесу характерні незалежний менеджмент, власний капітал, локальний район операцій, невеликі розміри. Він відіграє значну роль у забезпеченні зайнятості (в США майже третина робочих місць припадає на фірми, де працює менше 100 осіб), певною мірою забезпечує насичення ринку споживчими товарами та послугами, сприяє послабленню монополізму, розвиткові конкуренції, структурній перебудові економіки, є засобом досягнення особистого успіху. Малий бізнес — важливе джерело інновації.
На основі партнерської (групової) форми власності розвивається бізнес добровільно офіційно зареєстрованих асоціацій двох і більше осіб. Партнери створюють компанії, товариства та інші організації і стають співвласниками спільної власності. Партнерство становить майже 8 % обсягу підприємницької діяльності і 4 % відсотка всіх підприємницьких доходів в США.
На корпоративній формі власності заснований великий бізнес. Корпорації існують, як незалежні юридичні суб'єкти, відповідальність акціонерів за зобов'язанням фірми, за правовими претензіями до неї обмежуються їх внесеними грошовими коштами.
Жодна з трьох форм організації бізнесу не є універсальною. Одноосібний бізнес має таку перевагу, як простота. Партнерство сприяє об'єднанню капіталів і талантів декількох осіб. Корпорації пропонують обмежену відповідальність і необмежену діяльність самої організації отримання прибутку. Центральна постать будь-якого бізнесу — менеджери, які формують організаційну структуру бізнесу, контролюють взаємодію всіх ресурсів.
Після проголошення державної незалежності в Україні бізнес розвивається на основі різних форм власності, що формуються відповідно до чинного законодавства. Почав розвиватися і у сфері комерції та послуг, значною мірою обминувши виробництво. Це спричинено:
- недосконалою законодавчою базою;
- браком економічних знань у справі сучасного менеджменту, недостатнім володінням необхідними навичками, досвідом;
- неналежним управлінням, намагання почати бізнес, який немає шансів на успіх.
Однак помилково вважати, що різні організаційні форми бізнесу зможуть розвиватися самостійно. Перехід до регульованої ринкової економіки потребує не лише відповідної правової бази, а й надання відповідної допомоги цим формам бізнесу, а також умілої організації, керівництва (управління) й контролю.
Підприємництво, підприємницька діяльність — самостійна ініціатива, систематична, на власний ризик діяльність із виробництва продукції, виконання робіт, надання послуг та заняття торгівлею з метою одержання прибутку.
У західних країнах підприємництво розглядається як особливий тип господарювання, в основі якого — пошук нових можливостей виробництва товарів і послуг на основі інновацій та уміння залучення ресурсів із найрізноманітніших джерел.
Американські вчені К. Макконнелл і С. Брю, автори відомого підручника «Економікс», розглядають підприємництво як особливий вид діяльності, в основі якої лежить ряд неодмінних умов і вимог. По-перше, підприємець бере на себе ініціативу з'єднання ресурсів землі, капіталу і праці в єдиний процес виробництва чи товару, послуги. Виконуючи роль свічки запалювання і каталізатора, підприємець одночасно є рушійною силою виробництва і посередником, що зводить разом інші ресурси для здійснення процесу, що обіцяє бути прибутковою справою. По-друге, підприємець бере на себе важке завдання прийняття основних рішень у процесі виробництва чи товарів, послуг, ті не рутинні рішення, які й визначають курс діяльності підприємства. По-третє, підприємець — це новатор, особа, яка прагне вводити в побут на комерційній основі нові продукти, нові виробничі технології або навіть нові форми організації підприємства. Нарешті, по-четверте, підприємець — це людина, що йде на ризик. Він ризикує не тільки своїм часом, працею, діловою репутацією, але й вкладеними коштами — своїми власними і або компаньйонів-акціонерів.
Розвиток підприємництва — це один із найпотужніших ресурсів зайнятості та доходів територій і населення при неспроможності держави забезпечити централізовану підтримку розвитку регіонів.
Отже, при розумінні бізнесу та підприємницької діяльності, можна розпочинати свій бізнес. Однак, необхідно враховувати ризики, які виникають при здійсненні бізнесової діяльності.
Пряме відношення до ведення підприємницької діяльності має менеджмент. Його чотири основні функції, з яких починається сама підприємницька діяльність, а саме планування, організація, мотивація, контроль.
Необхідність ведення обраної підприємницької діяльності полягає в задоволенні потреб споживачів метало пластиковими вікнами, а також в отриманні прибутку підприємством, та розширенні власної справи до більш великих масштабів.
Мета цієї курсової роботи: навчитись організовувати підприємницьку діяльність, зрозуміти значення понять бізнес, підприємницька діяльність.
Завданням курсової роботи є вивчення ринку, тобто конкурентів, споживачів, постачальників, визначення асортименту існуючих метало-пластикових вікон, аналіз маркетингового середовища, сфери діяльності підприємства тощо.
Отже, ведення підприємницької діяльності є досить непростою справою. Щоб підприємницька діяльність була успішною справою, необхідно врахувати безліч деталей.
Основою функціонування підприємства є керування. Якщо взяти до уваги керування людьми, то є певний стиль керування. Під стилем розуміється манера поведінки керівника стосовно підлеглих, що дозволяє вплинути на них і змусити робити те, що в даний момент потрібно. Існують два основних стилі: шкала влади, шкала переваг. У першій розглядається відношення керівника до своїх підлеглих як до суб'єктів управління, в другій відбивається відношення керівника до підлеглих як до об'єктів управління.
Розділ I Оцінка маркетингового середовища майбутньої організації та конкурентоспроможності її продукції.
Народне господарство України — це багато-структурна система, в якій можна виділити три основні структури: соціально-економічну, галузеву й територіальну. Соціально-економічну структуру слід враховувати при вивченні розміщення продуктивних сил. Галузева структура відбиває співвідношення, взаємозв'язки і пропорції між складовими частинами народного господарства і реалізовується у територіальній структурі народного господарства, яка є предметом дослідження вітчизняної науки. Для вивчення економіки України велике значення має функціональна класифікація галузей. Це — первинні галузі, у тому числі видобувна промисловість і сільське господарство, та вторинні, що охоплюють обробну промисловість, до якої, в свою чергу, належить переробна. У структуру народного господарства входять транспорт, торгівля, житлове будівництво, охорона здоров'я, сервісні галузі, управління, наука й наукове обслуговування. У ході науково-технічної революції виникають нові галузі виробництва (радіо - та мікроелектроніка, атомна енергетика тощо), зростає роль науки і науко-ємних виробництв, відбувається оновлення продукції.
На основі суспільного поділу праці народне господарство ділиться на такі галузі: промисловість, сільське господарство, будівництво, транспорт, торгівля та ін. Статистика налічує понад 400 галузей. Від розвитку кожної з них і всієї їх сукупності залежать у кінцевому підсумку величина валового національного продукту, рівень життя населення. Україна, маючи лише 2,7 % території колишнього Союзу, створювала понад 17 % національного доходу, приблизно чверть промислової та третину сільськогосподарської-продукції, що вироблялася всіма республіками, які входили до СРСР.
Таблиця 1. Структура народного господарства України у % (в усіх сферах економічної діяльності)
| Галузі господарства | Зайняте населення |
| У галузях економіки | 89,4 |
| в тому числі: промисловість | 22,1 |
| сільське та лісове господарство (включаючи особисте підсобне сільське господарство) | 22,1 |
| Будівництво | 5,8 |
| Транспорт і зв'язок | 5,8 |
| Торгівля, громадське харчування, матеріально-технічне постачання та збут, заготівлі | 6,6 |
| Житлово-комунальне господарство та невиробничі види побутового обслуговування | 3,6 |
| Охорона здоров'я, фізкультура і соціальне забезпечення | 6,6 |
| Освіта, культура, мистецтво, наука та наукове обслуговування | 10,6 |
| Інші галузі | 6,2 |
| В інших галузях економічної діяльності |
Кожна галузь, що є частиною народного господарства, у свою чергу складається із сукупності окремих підприємств: державних, кооперативних, акціонерних, приватних та ін„ які випускають одну або споріднену продукцію, потрібну для задоволення певних потреб суспільства.
До останнього часу у народному господарстві переважають державні підприємства. У них зосереджується близько 90 % основних виробничих фондів і лише близько 10 %— у кооперативних підприємствах, які були, по суті, також одержавлені і давно втратили свій кооперативний характер.
Народногосподарський комплекс України охоплює всі ланки суспільного виробництва, розподілу та обміну на своїй території. Економіка України виділяється складною, досить диференційованою і диверсифікованою структурою. Для неї характерні: переважання важкої індустрії, недостатній розвиток галузей і виробництва товарів народного споживання, наявність галузей і виробництв, що забезпечують науково-технічний прогрес і розширення й поглиблення внутрішньогалузевих та міжгалузевих виробничих зв'язків.
На галузеву структуру економіки України мають вплив різні економічні та природні фактори, в тому числі наявний рівень розвитку продуктивних сил, темпи зростання або занепаду виробництва, рівень забезпечення сировинними та паливно-енергетичними ресурсами, інтенсивність реалізації досягнень науки і техніки, міжнародний поділ праці, економічна інтеграція.
Функціонування та удосконалення народногосподарського комплексу України пов'язані з раціональним використанням природних, матеріальних і трудових ресурсів, забезпеченням відповідних пропорцій у межах галузей, регіонів, всього народного господарства, переведенням економіки на інтенсивний шлях розвитку, підвищенням суспільного виробництва, охороною навколишнього середовища.
У галузевій структурі економіки України виділяється машинобудування, на яке припадало 38,7 % вартості продукції деяких галузей, з них харчової - 15,3 % і легкої промисловості - 12,0 %.
Спеціалізуються галузі на основі ознаки однорідності, тобто подібності між собою за призначенням продукції, що виробляється (наприклад, галузі паливної промисловості), спільності використовуваної сировини (наприклад, галузі машинобудування) або за характером технології. Вони групуються у так звані комплексні галузі. Тому галузі можна групувати в паливно-енергетичний комплекс, куди належать паливна промисловість і електроенергетика; металургійний, машинобудівний комплекси, хіміко-лісовий, у тому числі хімічна і нафтохімічна, лісова, деревообробна та целюлозно-паперова промисловість.
Науково-технічний прогрес посилює динамічність зрушень у структурі промисловості. Міжгалузеві пропорції в сучасних умовах виявляють залежність від соціальних аспектів, пов'язаних з підвищенням добробуту населення, тому виробництво товарів народного споживання повинно розвиватися як пріоритетне.
Агропромисловий комплекс України - складна виробничо-економічна система, яка становить групу технологічно і економічно взаємопов'язаних галузей народного господарства, промисловості, інфраструктури. В його складі є три основні сфери. Перша забезпечує сільське господарство різним устаткуванням і засобами виробництва; друга - власне сільське господарство; до третьої належить заготівля, збереження і переробка сільськогосподарської продукції. Центральна ланка агропромислового комплексу - сільське Господарство.
Для вивчення економіки України велике значення має функціональна класифікація галузей. Це - первинні галузі, у тому числі видобувна промисловість і сільське господарство, та вторинні, що охоплюють обробну промисловість, до якої, в свою чергу, належить переробна. У структуру народного господарства входять транспорт, торгівля, житлове будівництво, охорона здоров'я, сервісні галузі, управління, наука й наукове обслуговування.
Ефективність реконструкції, темпи економічного зростання значною мірою залежать від розвитку машинобудування, оскільки в ньому матеріалізуються основні науково-технічні ідеї що визначають прогрес в інших галузях народного господарства, закладаються основи широкого виходу на принципово нові ресурсозберігаючі технології, зростання продуктивності праці та поліпшення якості продукції.
Важливим є розв'язання проблем конкуренції у всіх сферах народного господарства. Це конкуренція між підприємствами різних секторів економіки - державним і кооперативним; у науково-технічній сфері (конкурсні проекти, паралельні дослідження і розробки); конкурси на одержання державних ресурсів; раціональне розміщення підприємств; виявлення резервів виробництва, соціальна орієнтація окремих галузей економіки.Потрібна система противаги монополізації, надання підприємствам прав вступу до міжгалузевих об'єднань, створення великих господарських утворень типу концернів або комбінатів.
Удосконалення галузевої структури економіки України потребує значного збалансування розвитку видобувних і оборонних галузей, а також галузей, які виробляють і споживають знаряддя праці, "Необхідні пропорції можна забезпечити на основі удосконалення інвестиційної політики, управління, економії сировини та енергії значною мірою завдяки випуску ресурсозберігаючої техніки.
Зрушення у галузевій структурі економіки України повинні відображати процес інтенсифікації виробництва та зумовлюватися насамперед розвитком галузей, що визначають науково-технічний прогрес і зростання виробництва предметів споживання.
Таблиця 2. Основні показники розвитку промисловості
| 2000 | 2001 | 2002 | 2003 | 2004 | 2005 | 2006 | 2007 | 2008 | |
| Обсяг реалізованої продукції промисловості (у фактичних цінах), млн. грн. | 182718,3 | 210842,7 | 229634,4 | 289117,3 | 400757,1 | 468562,6 | 551729,0 | 717076,7 | 916618,31 |
| Основні засоби промисловості (у фактичних цінах, на кінець року), млн. грн. | 285328 | 311089 | 339259 | 362598 | 420080 | 456738 | 525222 | 660369 | 8237962 |
| Рентабельність операційної діяльності промислових підприємств, відсотків | 4,8 | 3,7 | 2,6 | 3,3 | 4,7 | 5,5 | 5,8 | 5,8 | 5,01 |
| Частка збиткових підприємств, відсотків | 42 | 41 | 42 | 40 | 38 | 37 | 35 | 33 | 391 |
| Середньорічна кількість найманих працівників у промисловості, тис. | 4461,8 | 4267,2 | 4063,5 | 3943,6 | 3941,2 | 3913,3 | 3851,9 | 3690,0 | 3530,8 |
| Середньомісячна номінальна заробітна плата найманих працівників у промисловості, грн. | 291,16 | 375,16 | 455,85 | 553,59 | 697,42 | 912,83 | 1144,59 | 1481,96 | 1933,92 |
1.2 Роль будівельного комплексу в народному господарстві
Будівельний комплекс – одна з важливих галузей народного господарства.
Будівельний комплекс складається з таких основних блоків:
· виробництво будівельних матеріалів (галузь промисловості);
· власне будівництво;
· будівельне машинобудування;
· проектно-конструкторські та дослідні роботи в галузі будівництва.
Частка будівельного комплексу в народному господарстві досить значна. В Україні питома вага в ВВП тільки будівництва становить 8%. Комплекс охоплює майже 10% усіх зайнятих в народному господарстві, з них 6% в будівництві.
Будівельний комплекс включає виробництво будівельних матеріалів, капітальне будівництво та галузі, які їх обслуговують.
Отже, будівельний комплекс – це складна міжгалузева система, кожна з галузей якої є сукупністю корпорацій, концернів, підприємств і організацій, що виробляють будівельні матеріали і здійснюють виробниче (промислове, сільськогосподарське, дорожнє), культурно-побутове, житлове та інші види будівництва.
Основне завдання комплексу – створення та оновлення основних фондів народного господарства. Частка будівельного комплексу в народному господарстві досить значна.
Будівництво – одна з найстаріших галузей народного господарства. Рівень розвитку будівництва говорить про економічний розвиток країни та рівень життя її населення. Будівництво – дуже чутливий показник стану економіки країни. Так, фаза спаду й кризи в економіці найперше відчувається саме в будівництві, бо темпи падіння його обсягів чи не найбільші серед інших галузей народного господарства. Будівництво об’єднує підрядні будівельні, монтажні, спеціалізовані організації і ті, які виконують роботи господарськими способами.
Розвиток будівельної індустрії залежить від обсягів і темпів розвитку ряду галузей промисловості, зокрема, чорної металургії, машинобудування, енергетики, промисловості будівельних матеріалів, деревообробної промисловості та ін., що зумовлює складні міжгалузеві зв’язки капітального будівництва. Готова продукція будівництва – це закінчені та здані в експлуатацію будови, споруди або їх комплекси.
Серед галузей, які обслуговують будівельний комплекс, насамперед, необхідно назвати важке машинобудування, підприємства якого виробляють майже 2 тис. машин, механізмів, устаткування для виконання промислового, житлового, шляхового будівництва, меліорації земель, комунального господарства, а також для добування і виробництва будівельних матеріалів, серед них – екскаватори, бульдозери, котки, трубоукладачі, будівельні крани тощо.
В Україні ця галузь зародилась у 20-х роках. Розміщення підприємств зумовлене їх спеціалізацією, металоємністю. Так, підприємства, продукція яких потребує багато металу (крокуючі екскаватори), розміщені поблизу металургійних баз (Дніпропетровська, Харківська, Запорізька, Донецька області), а менш метало-ємні підприємства розташовані у центрах з висококваліфікованими робочими кадрами (Одеса, Львів та ін.).
Другою надзвичайно важливою, обслуговуючою комплекс, галуззю є проектно-конструкторська та пошукова діяльність. На території України налічується більше 300 таких організацій. Без продукції цієї галузі – проектної та кошторисної документації – неможливе будівництво.
Базовою ланкою будівельного комплексу є промисловість будівельних матеріалів. В Україні виробництво будівельних матеріалів отримало високий розвиток завдяки значній сировинній базі та давньому господарському освоєнню території. Серед країн СНД та країн Центральної Європи, Україна є одним з найбільших виробників та експортерів різноманітних будматеріалів, які виробляються з природної сировини (вогнетривкі глини, каоліни, кварцити, будівельний камінь, кам’яні облицювальні матеріали тощо) та хімічним способом (пластмаси, смоли, клейкі речовини, лінолеум, покрівельні матеріали, полістиролові й кумаринові плити та ін.).
Промисловість будівельних матеріалів розвивається під впливом трьох факторів – сировинного, споживчого і транспортного, тому розміщення її залежить від переважання хоча б одного з них.
Найбільші центри промисловості будівельних матеріалів – Київ, Харків, Одеса, Дніпропетровськ, Запоріжжя, Кривий Ріг, Маріуполь, Донецьк.
Промисловість будівельних матеріалів відзначається складністю галузевої структури. Цементна промисловість в її складі – одна з найважливіших. Цемент використовується як основний в’яжучий матеріал у виробництві бетону, залізобетону і шлакоблоків.
Цементна сировина досить широко розповсюджена на території України. В останні десятиріччя не тільки дуже зросла кількість цементних комбінатів, але й якість сировини (значно збільшилась частка високоякісних сортів цементу).На території України утворились п’ять великих зон виробництва цементу: південно-східна (Донецька обл.), західна (Рівненська, Івано-Франківська, Львівська і Хмельницька області) та південна (Миколаївська обл.).
У Донбасі зосереджені дуже великі запаси високоякісних карбонатних порід (мергелі, доломіт, вапняки, крейда), з яких виробляють напівфабрикат цементу – клінкер. Тому тут споруджено найбільші цементні підприємства України – Амвросіївський (до нього належать п’ять заводів і чотири кар’єри), Краматорський та Єнакієвський цементні комбінати.
Значна частина цементу витрачається на виробництво покрівельного шиферу. Шиферні заводи споруджуються у місцях споживання готової продукції. Вони працюють на до-візній сировині. Азбест надходить з Уралу, а цемент – з найближчих цементних заводів. Найбільше шиферу в Україні виробляють Балаклійський (Харківська обл.) і Здолбунівський (Рів-ненська обл.) цементно-шиферні комбінати.
Залізобетонні та бетонні конструкції й вироби – основний будівельний матеріал сучасного індустріального будівництва. Вони широко використовуються в промисловому й житловому будівництві, гідротехнічних спорудах, у прокладенні автомобільних і залізничних шляхів. Застосування залізобетонних конструкцій сприяє зниженню собівартості будівництва й значно прискорює його темпи. Наприклад, спорудження великопанельного будинку, порівняно з цегельним, вимагає вдвічі менше часу.
Завод залізобетонних конструкцій та виробів виготовляє стінові панелі, плити перекриттів, колони, дорожні плити, шпали та багато іншої продукції. Сировиною для залізобетонних виробів є: арматурна сталь, портландцемент, шлакоцемент, щебінь, гравій, пісок, металургійний шлак, керамзит. Останнім часом все ширше застосовується шлакобетон (легший за звичайний, дешевший, утилізує відходи металургійних заводів).
Виготовлення залізобетонних конструкцій та виробів – процес матеріалоємний. Ця продукція – мало-транспортабельна. Тому її виробництво тяжіє до споживача. Нині в країні налічується декілька сот заводів, що виготовляють бетонні й залізобетонні вироби. Найбільші з них – у Києві, Харкові, Запоріжжі, Кривому Розі, Донецьку, Дніпропетровську, Каховці, Іллічівську.
У виробництві стінових матеріалів виділяється виробництво цегли, яке розміщується повсюдно, залежно від потреб конкретної території (району, області тощо). Воно складається з двох підгалузей –виробництва глиняної та силікатної цегли.
Великі центри виробництва будівельної цегли – Київ, Харків, Дніпропетровськ, Запоріжжя, Слов’янськ, Чернігів, Львів, Івано-Франківськ. Багато цегельних заводів споруджено в сільській місцевості. Так як це виробництво відзначається великою матеріалоємністю, підприємства наближують до глиняних і піщаних кар’єрів.
Особливу роль в останні роки відіграють домобудівельні комбінати, які зараз працюють майже в усіх обласних центрах.
Промисловість нерудних матеріалів представлена видобутком облицювального каміння, природного стінового каменю (туф, вапняки, пиляльний) і будівельного каменю (міцні осадові, магматичні та метаморфічні породи). Родовища піску й бутового каменю трапляються майже в усіх областях України. Особливо багаті на них Житомирська, Вінницька, Запорізька, Кіровоградська та Закарпатська області.
Україна славиться облицювальними кам’яними матеріалами. Це граніт, лабрадорит, мармур і мармуро-видні вапняки, які використовуються для облицювання набережних, станцій метро, фундаментів і стін будинків.
Пісковики та інше природне каміння використовується для будівництва доріг, як важкий наповнювач для бетону, для виготовлення пам’ятників і сувенірів.
Штучно створені з глинистих порід, доменних шлаків та перліту керамзит, термозит, сипкий перліт використовується як легкі наповнювачі для простих легких бетонів, з яких виготовляють стінові панелі житлових будинків.У південних районах України виробляють черепашник, який має добрі тепло- та звукоізоляційні властивості, легко обробляється, дешевий.
Виробництво будівельної кераміки – галузь промисловості, яка об’єднує ряд підприємств з виробництва фасадної керамічної плитки, плитки для підлоги, облицювальної глазурованої плитки, санітарно-будівельної кисло-тривкої кераміки, каналізаційних та дренажних труб. Будівельну кераміку виробляють з тугоплавкої або вогнетривкої глини з домішками каоліну, кварцевого піску, пегматиту, поширених у різних областях України.
Виробництво керамічних глазурованих плиток зосереджено в Слов’янську (Донецька обл.), Харкові та Львові.
Будівельний фарфор і фаянс виробляють у Славуті (Хмельницька обл.) на комбінаті “Будфаянс”, електроізоляційні вироби для енергетичної промисловості – у Первомайську (Житомирська обл.). Виробництво будівельного фаянсу зосереджено в Донецькій області. У Запоріжжі виробляють високовольтні ізолятори для ЛЕП, електростанцій і підстанцій. У Слов’янську (Донецька обл.) виготовляють електроізоляційні вироби для електро- та радіо- технічної промисловості.
Україна не задовольняє потреб господарства у будівельному фарфорі й фаянсі, тому їх частково довозять з Білорусії, Росії та Чехії.
Виробництво віконного скла.
Сировинна база цього виробництва досить значна. В Україні є шість заводів листового і технічного скла. Найбільші з них – Лисичанський “Пролетар”, Костянтинівський і Запорізький склоробні заводи. Скло виробляється на склозаводах Луганської та Донецької областей, на Львівському склоробному заводі і, частково, Київському заводі художнього скла.
До промисловості будівельних матеріалів належить виробництво вапна, гіпсу, крейди, м’якої покрівлі – рубероїду, толю, пергаміну.
Перспективи розвитку будівельного комплексу пов’язані з вирішенням таких проблем: – активного впровадження різних форм власності;– застосування сучасних будівельних технологій;– підвищення технічного рівня на підприємствах усіх ланок комплексу;– збільшення потужності будівельної ланки та підвищення її конкурентоспроможності для закріплення на вітчизняному ринку будівельних послуг;– активного розширення сировинної бази комплексу за рахунок використання величезних обсягів відходів промислового виробництва;– більш ефективного узгодження військового будівництва зі схемами розвитку і розміщення продуктивних сил та районної планіровки відповідних територій;– зниження техногенного навантаження на природне середовище та забруднення його компонентів.
Промисловість будівельних матеріалів досить рівномірно розміщена на території України.
У перспективі розвиток галузей промисловості будівельних матеріалів пов’язаний із реконструкцією технічної бази, подальшим впровадженням механізації та автоматизації технологічних процесів, розширенням випуску нових будівельних матеріалів, ефективних збірних будівельних елементів, легких та економічних великомірних конструкцій і виробів поліпшеної якості. Важливим напрямом є комплексне використання сировини.
Отже, Україна має значний будівельний комплекс. Головне завдання – ефективне використання його потужностей.
Таблиця 3. Обсяг виконаних будівельних робіт за періоди 2009 року
| У фактичних цінах, тис.грн | У % до відповідного періоду попереднього року | |
| січень | 66868 | 42,7 |
| січень-лютий | 129451 | 40,4 |
| січень-березень | 223146 | 41,6 |
| січень-квітень | 310806 | 40,7 |
| січень-травень | 413391 | 39,8 |
| січень-червень | 538914 | 41,0 |
| січень-липень | 684097 | 43,6 |
| січень-серпень | 791548 | 42,5 |
| січень-вересень | 930692 | 42,2 |
| січень-жовтень | ||
| січень-листопад | ||
| січень-грудень |
Таблиця 4. Індекс обсягу виконаних будівельних робіт
| У % до попереднього року | |
| 2000 | 99,6 |
| 2001 | 116,4 |
| 2002 | 96,3 |
| 2003 | 147,0 |
| 2004 | 122,2 |
| 2005 | 85,0 |
| 2006 | 104,9 |
| 2007 | 106,3 |
| 2008 | 82,7 |
Таблиця 5. Кількість будівель та споруд незавершеного будівництва станом на 1 січня
Загальна кількість незавершених будівель та споруд |
У тому числі | ||
| будівель | споруд | ||
| 2004 | 799 | 560 | 239 |
| 2005 | 742 | 508 | 234 |
| 2006 | 647 | 457 | 190 |
| 2007 | 612 | 448 | 164 |
| 2008 | 564 | 426 | 138 |
| 2009 | 523 | 388 | 135 |
Ринок віконної продукції в Україні продовжує зростати. Минув час, коли однією віконною системою можна було задовольнити всі потреби вітчизняних споживачів. Дедалі зростаючі вимоги до вікна як одного із конструктивних елементів споруди сприяли і сприяють створенню десятків і сотень досі незнаних виробів. Критерієм продажу металопластикових вікон є ціна та якість продукції.
На сьогодні в Україні нараховують кілька тисяч дрібних та середніх фірм, які випускають метало-пластикові вікна. За останні роки чимало вітчизняних виробників віконної продукції вклали багато коштів у технічне оснащення виробництва, посилили контроль за якістю комплектуючих виробів та монтажних робіт.
Водночас вдавана простота виробництва приваблює нових виробників, які у гонитві за прибутками налагоджують її випуск на застарілому обладнанні із залученням некваліфікованого персоналу, без технічної документації. Це призводить до виникнення проблем при купівлі вікон, дискредитує у їхніх очах саму ідею встановлення сучасних вікон та працю багатьох чесних виробників. Система сертифікації продукції в Україні створює певні бар'єри на шляху недобросовісної продукції, але поки що ще нездатна надійно захистити ринок від неякісної продукції.
Оскільки вікна встановлюють на десятки років, то вимоги покупців до цієї продукції достатньо високі. Нині споживачі хочуть самостійно розібратися у всій різноманітності віконних конструкцій і зробити вибір на підставі повної і об'єктивної інформації.
Попит та пропозиції ринку
Отже, ринок металопластикових вікон України різноманітний: споживачам пропонується вироби з ПВХ- профілем як вітчизняного, так і іноземного виробництва. Такі вікна виготовлені з полівінілхлориду (ПВХ), а профіль має сталеві підсилювальні вкладиші. Продукція імпортується з Німеччини, Австрії, Швейцарії, Англії, Польщі, Франції, Туреччини та інших країн, лідером з яких можна вважати Німеччину, і не тільки стосовно профілю, а й фурнітури.
Завдяки насиченості ринку споживач може обирати вікно різної форми, засобу відкриття та кольорової гами. Виробники здатні задовольнити будь-які потреби найвибагливішого споживача.
В коротких рекламних повідомленнях багатьох фірм можна зустріти формулювання типу: “Ціна 1 м 2 вікна від 55 у.о.(умовних одиниць)”. В цьому випадку вказується вартість найдешевшого глухого вікна, котра, як потім з'ясовується, не має нічого спільного з вартістю конкретного замовлення. У загальному випадку ціна на вікно складається з вартості:
склопакета;
фурнітури;
матеріалів (профіль, герметики, ущільнювачі та інші);
виробничих витрат на виготовлення вікна, оплату праці, прибуток підприємства;
монтажу та доставки.
Ціна готового виробу залежить від профілю, фурнітури та різновиду вікна (кількості стулок). Наприклад, глухе вікно розміром 1,65х2 м, виготовлене з вітчизняного профілю, коштує $100 ($30 за 1 кв.м). Вартість глухого вікна розміром 1,2х1,8 м з імпортного профілю — $100 ($46 за 1 кв.м). Квадратний метр поворотно-відкидного одностулкового вікна з вітчизняного профілю може коштувати $85. Квадратний метр такого ж вікна, але з імпортного “ПВХ”, — $100. Ціни взяті з прайс-листів на однокамерні вікна. Двокамерні та трикамерні вікна у розрахунку на кожний “шар” скла коштують на $10-20 дорожче.
Ціни на фурнітуру диктують зарубіжні виробники. Частка вартості фурнітури від ціни готового виробу від 5 до 35 % залежно від конфігурації вікна, розмірів та способів відкривання. Та останнє, в чому фірми-виробники однакові, - це вартість доставки, монтажу та демонтажу, котра складає біля 15 % вартості замовлення.
1.2 Аналіз сфери діяльності
Оскільки вся діяльність по комплектуванню та збуту метало пластикових вікон буде розташована у Києві, то необхідно зробити дослідження даного міста, та дослідити ринок і зробити певні висновки, що до того, чи буде дане підприємство прибутковим. Адже розпочинаючи справу без дослідження всіх необхідних параметрів, дуже ризиковано, що у майбутньому скоріш за все призведе до банкрутства даного підприємства.
Київ має населення 2611 тис. осіб, за даними перепису населення, територія київської області становить 28,1 тис. кв. км, Києва - 839 км². Оскільки Київ є столицею України, то розвиток будівельної індустрії буде зосереджено саме тут.
Наша продукція - метало пластикові вікна. Метало пластикові вікна відрізняються від пластикових допоміжним металевим каркасом, який вмонтований в профіль. Цей каркас – основа всієї віконної конструкції. Зовнішня сторона профілю повністю пластикова.
Метало пластикові вікна складаються з таких основних елементів: склопакет, профіль, фурнітура, а також ущільнювачі, штапик тощо. Рама – є нерухомою частиною конструкції, що кріпиться в проріз за допомогою дюбелів або анкерних пластин. На рамі тримається вся конструкція. Створка - елемент, що відкривається, вікна. Склопакет закріплюється в створках за допомогою штапиків. На ній же розташована фурнітура. Імпост – призначений для поділу рами на окремі частини, у яких може бути зроблена створка. Штапик - призначений для фіксування склопакетів й сендвіч-панелі. Склопакет - світло прозора частина вікна. Імпост - роздільник створки на контури. Сендвіч-панель - непрозора частина вікна. Комплектуючі - набір додаткових елементів( підвіконня, відливи, козирки, елементи фурнітури й т.д.)
Наше підприємство буде розташовано безпосередньо в місті Києві. Також наша продукція буде представлена в таких магазинах як Епіцентр та Нова лінія. Сам завод по виготовленню метало пластикових вікон буде розташований у Святошенському районі біля метро Академмістечко.
Також, у наш час дуже стрімкими темпами йде розвиток інформаційної економіки. Людство невпинно просувається до інформаційної епохи, у якій більша частина економіки та бізнесу стають електронними і здійснюються у мережі internet. Тому також буде створено сайт нашої компанії, так би мовити Інтернет - магазин з нашою продукцією, а також вказана інформація про товар, умови покупки та інша корисна інформація.
Основні фактори підприємства.
Наше підприємство буде розташовано безпосередньо в місті Києві. Також наша продукція буде представлена в таких магазинах як Епіцентр та Нова лінія. Сам завод по виготовленню метало пластикових вікон буде розташований у Святошенському районі біля метро Академмістечко.
Також, у наш час дуже стрімкими темпами йде розвиток інформаційної економіки. Людство невпинно просувається до інформаційної епохи, у якій більша частина економіки та бізнесу стають електронними і здійснюються у мережі internet. Тому також буде створено сайт нашої компанії, так би мовити Інтернет - магазин з нашою продукцією, а також вказана інформація про товар, умови покупки та інша корисна інформація.
При створенні власного підприємства, також однією з основних умов є визначення та аналіз чотирьох основних факторів:
Постачальники;
Споживачі;
Конкуренти;
Держава.
Роздивимось ці основні фактори більш детальніше. По-перше, для підприємства та його прибуткової діяльності, необхідно визначитись з постачальниками сировини для виготовлення продукції, в даному випадку метало пластикових вікон.
Безпосередньо виготовленням склопакетів та необхідних комплектуючих матеріалів наша фірма виготовляти не буде, діяльність фірми пов’язана з збиранням вікон та реалізацією їх на ринку України.
Для того щоб визначити постачальників, необхідно визначити механізм виготовлення метало пластикового вікна. Для збирання метало пластикового вікна необхідний склопакет, профільна система, фурнітура.
Профільну систему за невисокою ціною але належної якості пропонують наступні фірми: Альянс Захід Буд, Норма-С, Пласт профіль, DECEUNINCK (бельгійська компанія).
Отримати склопакет можна у таких фірмах: Альянс Захід Буд, "Галактика комфорту", «ЄвроФасад».
Фурнітуру пропонують наступні фірми: Компанія WDS, Альянс Захід Буд, "Галактика комфорту".
Серед споживачів нашої продукції є провідні будівельні компанії такі як Київміськбуд, Євробуд-житло РД, Агробуд-1,Академрембуд. Також розповсюдження нашої продукції здійснюється через роздрібну мережу безпосередньо споживачам.
Конкурентами є всі будівельні компанії які здійснюють діяльність пов’язану з збиранням та реалізацією метало пластикових вікон на території України. Однак, є фірми які співпрацюватимуть з нашою фірмою, тобто стануть партнерами у спільній діяльності. Так наприклад, виступаючи як посередник по продажу метало пластикових вікон, фірма буде продавати вікна фірми REHAU, КВЕ, Salamander.
Як держава, будуть виступати певні закони, що стосуються метало пластикових вікон.
Метало-пластикові вікна повинні виготовлятись у відповідності з вимогами ДСТУ Б В.2.6-15-99, ДСТУ Б А.3.1-6-96, технічної документації за ГОСТ 2.001-70, затвердженої за встановленим порядком і нормативного документа на конкретні типи не стандартизованих виробів.
Профілі належать до товарів, які підлягають обов'язковій сертифікації. Кожна партія має бути сертифікована Держстандартом України. Безпечне використання профілів слід підтверджувати “гігієнічним висновком” та “протоколом” про пожежну безпеку.
Експлуатаційні характеристики ущільнювальних прокладок повинні бути не нижче вказаних в ТУ У 24936090.001-98. Прилади виробів повинні відповідати вимогам ДСТУ Б В.2-6-13-97 і конструкторській документації на прилади конкретних типів. Установка приладів проводиться у відповідності з вимогами технічної документації, затвердженої за встановленим порядком. Для світлопрозорого заповнення стулок і полотен можуть застосовуватися склопакети за ГОСТ 24866-89, скло за ГОСТ 111-90 або тепловідбивне скло за ТУ В.2.7-19354290.001-95.
Маркування наноситься на не лицьову поверхню кожного виробу або на металеву, пластмасову бірку або паперову етикетку, яка прикріплюється до виробу, і повинно містити:
o найменування і товарний знак підприємства-виробника;
o умовне позначення виробу;
o дату виготовлення;
o номер партії;
o штамп ВТК;
o знак відповідності за ДСТУ 2296-93 (якщо такий надано при сертифікації продукції);
o масу;
o позначення нормативного документа.
Вимоги безпеки та охорони навколишнього середовища. Полімерні матеріали для виготовлення вікон та комплектуючі до них (в тому числі імпортного виробництва) повинні відповідати вимогам діючих стандартів, СанПіН 6027 А-91, СИ №6035 А-91 і мати дозвіл до застосування Міністерством охорони здоров'я України.
1.3 Переваги продукції що випускається
Щоб виступити та закріпитись на ринку метало пластикових вікон, необхідно мати певні конкурентні переваги нашої продукції. Якщо брати магазини, то серед переваг можна виділити: - широта асортименту; - доставка по Києву безкоштовна; - безкоштовна гаряча лінія; - наявність Інтернет - магазину; - скидки при покупці оптом; - замірювання безкоштовне; - наявність магазинів у інших містах України.
Роздивляючись продукцію, яку випускає наша фірма, до переваг можна віднести: - високоякісне з’єднання деталей вікна; - сучасна технологія зварювання профілів; - гарантія якості; - великий вибір фурнітури.
Звісно для того щоб фірма надалі існувала та отримувала прибуток, необхідно слідкувати за попитом на віконну продукцію, а також розширювати асортимент та гарантувати якість метало пластикових вікон.
Висновок
Отже, проаналізувавши матеріал можна зробити такий висновок, в народному господарстві України важливе місце займає будівельна галузь. Від розвитку даної галузі залежить стан економіки країни та рівня життя та добробуту людей. І не лише від будівельної галузі, але й від сукупності галузей народного господарства.
Я обрала виготовлення метало пластикових вікон та продаж своєї продукції на ринку України. Моє підприємство буде розташоване у місті Київ, так як це по-перше столиця та велике місто, а по-друге перспективне місто, що розширює свої кордони, та має ринок де існує попит на будівельну продукцію.
Однак, є декілька фактори які слід враховувати при початку своєї діяльності, а саме конкурентів та споживачів, а також постачальників та вплив законодавства на продукцію що виготовляється. Тобто, коротко кажучи, одним з основних завдань є дослідження ринку. Де саме буде впроваджуватись товар.
На даний час ринок метало пластикових вікон є перспективним. Адже за своїми характеристиками метало пластикові вікна значно перевищують дерев’яні віконні системи. Тому на ринку України присутній попит на вище зазначену продукцію.
Однак виступити на ринку з новим товаром дуже важко, тим паче при вже існуючих конкурентних фірмах. Як підтримка новому товару можуть виступити партнери та реклама. Можуть бути використані всі існуючі засоби для рекламування в тому числі мережа Інтернет, з власними можливостями, де буде можливість замовлення нашого товару та певна інформація про товар, щоб полегшити вибір продукту.
Отже обрана діяльність є перспективною, та при дотриманні всіх параметрів якості продукції що виготовляється підприємство буде прибутковим.
Розділ II Виробничо-технологічний менеджмент проекту. Побудова моделі операційної системи організації
2.1 Підприємство як операційна система
Операційний менеджмент - це термін, що походить від англійського Production and Operations Management, що в перекладі означає управління виробництвом.

Система операційного менеджменту формується, виходячи з операційноїстратегії.
Найчастіше операційну систему подають як сукупність трьох взаємопов'язаних підсистем: переробної, підсистеми забезпечення та підсистеми планування і контролю:
![]() |
Операційна функція охоплює всі дії, результатом яких є товари, послуги, що пропонуються організацією на ринку. Без цієї функції, зрозуміло, ніяка організація існувати не може. Для здійснення операційної функції створюється відповідна операційна система.
Операційна система створюється та функціонує, враховуючи стратегію операційної діяльності, яка, в свою чергу, є однією з функціональних стратегій (субстратегій) розвитку організації. Стосовно промислового підприємства повна система виробничої діяльності називається операційною системою. Банк або лікарня також мають операційні функції, хоча не мають нічого спільного з технологією обробки матеріалів або конвеєром. Тому управління операціями аналогічне до управління виробництвом, за виключенням того, що управління операціями охоплює більш широке коло проблем і використовується в організаціях, діяльність яких не має нічого спільного з технологією підприємств обробної чи будь-якої іншої галузі промисловості. Однак є певна схожість у підходах, принципах діяльності менеджера промислової фірми, страхової компанії, банку, клінічної лікарні тощо.
Американські професори Річард Чейс та Ніколас Аквілано визначають операційний менеджмент як управління всіма ресурсами, необхідними для виробництва продукції та надання послуг організацією. Інші американські дослідники: Сег Лі та Марк Шнай-дер'янс визначають операційний менеджмент як науку про концепції, методи, процедури, технологію, які використовуються управлінцями в процесі створення та функціонування операційної системи
Російські професори З.П.Румянцева та Н.А.Саломатін визначають виробничий менеджмент як систему взаємозв'язаних елементів, що характеризують виробництво, його організацію, технічне обслуговування, а також управління виробничою стратегією, програмою, виробництвом в оперативному режимі, матеріальним забезпеченням виробництва, ціноутворенням, витратами у вироб¬ництві144. Кожний із визначених елементів стосується управління виробництвом і вимагає відповідного розгляду у їх взаємозв'язку та взаємодії.
Основною метою операційного менеджменту є виробництво продукції вчасно та з мінімальними затратами. Завдання кожного виробничого підрозділу можуть бути різними, але основна управлінська мета залишається однією для всіх: безумовне виконання заданої виробничої програми і досягнення при цьому мінімальних витрат матеріалів, праці, часу та грошових засобів.
Операційні (виробничі) системи мають більш ширше призначення, вони включають в себе не тільки виробництво продукції, а і надають послуги клієнтам (замовникам).
Уявлення операційної системи підприємства як складної управлінської системи, в якій техніко-економічні процеси відображаються в виді руху і перетворення інформації є найбільш перспективними для отримання ефективних результатів в рамках підходу до економічного обґрунтувань управлінських рішень, пов'язаних з менеджментом операційної системи підприємства.
Менеджмент операційної системи підприємства є центральною ланкою управління, яка відноситься до виробництва товарів та послуг шляхом переробки необхідних ресурсів усіх видів (вхідні системи) і виробництво товарів та послуг (вихідні системи).
Функції операційного менеджменту можна поділити на технологічні і управлінські. Технологічна функція пов'язана з технологічною діяльністю, не має прямого відношення до управлінської функції. До управлінської функції відноситься необхідність використання матеріальних, фінансових і людських ресурсів.
Призначення виробничого/операційного менеджменту - сприяти створенню товарів: виробів або послуг, які організація може з вигодою для себе реалізувати на ринку. Тому перша, очевидна мета менеджменту - оптимізувати "вихід" операційної системи, шляхом максимального задоволення споживчого попиту.
Операційна система, повинна мати на виході якийсь специфічний товар (або послугу), що задовольняє споживача. Однак, ця не єдина вимога. Споживач повинен бути задоволений також і ціною товару й часом його надання. Ці три аспекти: специфіковані товари, що відповідають всім вимогам до якості, їхні ціни й час їхнього надання є основними джерелами задоволення споживчого попиту й, одночасно, визначення конкурентного статусу виробляючої їхньої бізнесу-організації. Тому їхній розгляд не можна відривати від аналізу проблем управління виробництвом.
Звичайно організація не ставить перед собою завдання домогтися максимального результату по всім трьох напрямках. Це завдання практично нездійсненне, хоча її виконання й можна вважати ідеалом, до якого варто постійно прагнути. Зусилля зосереджують на якому-небудь одному напрямку більшою мірою, ніж на два інших. І це відрізняє дану бізнес-організацію від інших, працюючих у тім же сегменті ринку. З іншої сторони це визначає й специфіку виробничого/операційного менеджменту в цій організації.
Операційний менеджмент являє собою сферу діяльності, у якій наука управління людьми поєднується з різними способами використання новітніх технологій. Основна його ціль полягає в розробці й застосуванні максимально ефективних методів й інструментів створення благ для забезпечення споживачів якісною продукцією й послугами.
У наш час операційний менеджмент глибоко проникнув в усі аспекти бізнесу, а також інтегрований з високими технологіями й наданням високоякісних послуг.
Операції - це процес, метод або ряд дій, головним чином практичного характеру. Виходячи із цього визначення операції є невід'ємний атрибут будь-якого виду людської діяльності, якому властива організованість і продуктивність. Звідси можна укласти, що всі організаційні функції є операції й що всяка управлінська діяльність містить у собі операційний менеджмент.
Виділяють шість окремих видів діяльності в операційному менеджменті, які можна описати як операції. По цих шести категоріях рішень операційні менеджери спеціалізуються в організаціях (табл. 1).
Таблиця. Види операційної діяльності
| Рішення | Сфера політики | Стратегічний вибір |
| Якість | Підхід Навчання Постачальники |
Запобігання або нагляд Технічне або управлінське навчання Вибір за якістю або вартістю |
| Продукт | Розробка Вид власності |
Самостійно розробляти чи закупити креслення Купити патент чи розро6иіи свій |
| Процес | Запуск процесу Автоматизація Тип виробництва |
Виготовити чи купувати Ручна робота чи автоматична Одиничне, серійне, масове |
| Потужність | Розмір підприємства Розташування Інвестиції |
Одне велике чи кілька малих Свій ринок чи закордонний Постійні чи тимчасові |
| Матеріально-технічне забезпечення | Кількість Дистрибуція Система контролю |
Високий чи низький рівень запасів Централізоване чи децентралізоване постачання Детальний або вибірковий контроль |
| Робоча сила | Спеціалізація Система зарплати |
Висока чи низька Типи заохочувальних виплат Висока чи низька зарплата |
Численні обов'язки операційних менеджерів можна розбити на три основні групи.
1. Розробка і реалізація загальної стратегії і напрямків операційної діяльності організації.
2. Розробка і впровадження операційної системи, включаючи розробку виробничого процесу, рішення про місце розташування виробничих потужностей, проектування підприємства, проектування продукту, уведення стандартів і норм на виконання робіт.
3. Планування і контроль поточного функціонування системи.
Оперативне планування й управління операційною діяльністю є частиною загальної системи менеджменту і спрямоване на вирішення комплексу завдань у часі і просторі, пов'язаних з контролем, обліком і регулюванням ходу проведення робіт відповідно до запланованих показників.
2.2 Загальний огляд виробничо – технологічного менеджменту товару
На відміну від працівників виробництва, які не мають відношення до управління і виконують тільки виробничо-технологічну функцію, в обов'язки менеджера входять не тільки вирішення управлінських задач, а й виробничих: з планування (стратегічного, перспективного, поточного і оперативного); з реалізації виробничих процесів на перспективу їх розвитку на прогнозний період (10 і більше років), на 5-ти річну перспективу, поточну-річну перспективу і оперативну-поквартальну-помісячну реалізацію планів по всім видам робіт, ресурсів і організаційних заходів, необхідних для отримання запланованого прибутку; з організаційних питань - організаційні заходи, щодо реалізації інвестиційних і інноваційних прогнозів, особливостям управління інноваційною системою в менеджменті операційної системи підприємства, управління підготовкою і забезпечення оновленого підприємства; з координаційних питань - координаційні заходи щодо організації управління оновленою операційною системою в системі менеджменту інноваційного персоналу і економічного обґрунтування управлінських рішень в умовах подолання підприємством економічних ризиків і небезпеки кризових явищ і ситуацій; з мотиваційних питань - мотиваційні заходи щодо врахування матеріально-соціально-психологічних особливостей людини (винагорода, задоволеність роботою, гарні умови праці, високий статус на підприємстві, висока зарплата, можливість службового росту, зручна система відпусток, заслужена похвала колег і інше, і іншу сторону мотивацій становлять заслужені покарання працівників в тому чи іншому виді); контрольні заходи менеджера щодо своєчасного виявлення небезпеки економічних ризиків, різних конфліктів на підприємстві і їх своєчасних подолань, а також відхилення від існуючих нормативів Держстандарту якості продукції і іншого і ліквідації цих негараздів.
Виробничий процес – це сукупність організованих в певній послідовності процесів праці і природних процесів, в результаті яких сировина і матеріали перетворюються в готову продукцію. Це сукупність взаємозв’язаних дій працюючих людей, засобів праці та природи – складових виготовлення продукції. Головною складовою частиною виробничого процесу є технологічний процес – це сукупність дій, під впливом яких змінюється стан предмета праці.
Виробничі функції маркетингу орієнтовані на організацію виробничо-технологічного процесу. Вони використовуються для того, щоб підприємство виробляло продукцію саме тієї якості і асортименту, які максимально задовольнятимуть потребам і запитам споживачів. Зіставивши вимоги ринку і свої виробничі можливості, фірма пристосовує свій асортимент до різних сегментів ринку, планує спектр нових товарів для подальшого їх виробництва, а також рахує собівартість і рентабельність продукції. При правильному аналізі ринку, випускаючи нові товари, підприємство зможе довгий час зберегти свою монополію на потрібному сегменті. Скорочення термінів виробництва, встановлення оптимальних цін на продукцію, зниження собівартості, накладних витрат – все це досягається за рахунок налагодженої системи матеріально-технічного постачання.
У даній маркетингової функції є два основні завдання, які тісно взаємопов’язані і переплітаються:а) підвищення конкурентоспроможності своєї продукції (основні показники – якість і корисність для споживачів),б) використання науково-технічних досягнень у виробництві.
В результаті даної діяльності фірма приходить до того, що її продукція стає конкурентоспроможною, а асортимент відповідає вимогам ринку.
Виробничо-технологічні функціїпідприємства пов’язані із використанням, впровадженням новітніх технологій, раціоналізацією виробничих процесів і винахідництвом.
Виробничий процес у комплексі можна поділити на наступні частини:
Основне виробництво – це процеси, при яких відбувається обробка предметів праці, включаючи переміщення їх від одного робочого місця до іншого з метою виготовлення відповідної продукції. До основного виробництва на підприємстві відносять ті підрозділи, які пов’язані з переробкою сировини і матеріалів та виготовленням продукції: заготівельний, механічної обробки, зварних конструкцій, складальний, фарбувальний.
Технічне обслуговування – це процеси, спрямовані на забезпечення роботи обладнання і підтримку його в придатному стані для експлуатації в процесі виробництва. Сюди належать: виробництво всіх видів енергії, технічний нагляд, ремонтні служби, виготовлення запасних частин та інструментів.
Матеріальне обслуговування – це процеси, спрямовані на забезпечення основного виробництва і технічне обслуговування предметами праці. Матеріальне обслуговування включає постачання підприємства матеріальними ресурсами, їх транспортування і зберігання.
Загальне обслуговування виробництва – це управління підприємством, його охорона та інші функції, що належать до всіх 3-ох попередніх частин виробничого процесу, при якому відбувається повний кругообіг капіталу.
Крім того, на підприємстві виробничий процес поділяється на часткові процеси, які охоплюють уособлену частину загального процесу і виконуються різними підрозділами підприємства. З метою систематизації часткові процеси класифікуються за ознаками:
за роллю виробничого процесу в загальному процесі виготовлення продукції часткові процеси поділяються на основні, допоміжні і обслуговуючі.
за формою впливу на предмет праці часткові процеси бувають технологічні (із участю людини) і природні.
за характером виконуваних робіт: аналітичні, синтетичні і прямі. Аналітичні процеси передбачають розщеплення окремого виду сировини на окремі продукти, які надходять в наступну обробку. Синтетичні передбачають об’єднання напівфабрикатів, що надійшли з різних процесів, в єдиний продукт. Прямі процеси передбачають отримання одного виду продукції з одного виду сировини.
за ступенем безперервності протікання: неперервні і дискретні.
Основне виробництво може складатись з одного або декількох видів виробництва. Кожне виробництво ділиться на відокремлені одна від одної частини – фази або стадії. Такими стадіями є: розкрій матеріалів і виробництво заготовок, машинна обробка заготовок, складання виробів, оздоблювання, фарбування і т.д..
Стадії, в свою чергу, складаються з операцій. Під операцією мається на увазі процес (закінчена частина виробничого процесу), що виконується над однаковими предметами праці при незмінних засобах праці.
Залежно від змісту та участі у формуванні готової продукції операції поділяються на технологічні, транспортні, контрольно-обліково-сортувальні і операції зберігання. Технологічні операції називаються основними, транспортні, контрольно-обліково-сортувальні і операції зберігання називаються допоміжними.
Існують такі типи виробництва:
1. одиничний: він характеризується дуже малою кількістю продукції, що випускається. Виробництво продукції повторюється через невизначений проміжок часу або взагалі не повторюється. Робочі місця групуються за технологічно однорідними операціями, відсутнє закріплення виконання певних операцій за певними робочими місцями. Кваліфікація робітників висока, обладнання універсальне, номенклатура виробів широка.
2. серійний: характеризується виготовленням виробів періодично, змінними серіями. Робочі місця групуються як за технологічним, так і за предметним принципом, за ними закріплюється обмежена кількість деталеоперацій. Кваліфікація робітників середня, на автоматизованих дільницях – висока. Обладнання як універсальне, так і спеціалізоване.
3. масовий: передбачає виготовлення виробів великими партіями. Робочі місця розміщені за ходом виробничого процесу і спеціалізуються на виконанні одного типу операцій. Кваліфікація робітників невисока (на простих операціях) і висока (на автоматизованих дільницях). Обладнання та інструмент – спеціальні.
Кожному типу в-ва відповідає свій метод організації. Розрізняють наступні методи:
1. індивідуальний, який передбачає виготовлення виробів одиничними або дрібними неповторюваними партіями. Він відповідає одиничному типу в-ва.
2. порціонний (виготовлення виробів партіями; він відповідає серійному типу в-ва).
3. потоковий (він відповідає масовому типу в-ва). Це метод, при якому предмети праці передаються із тільки що виконаної операції на наступну негайно або із незначною затримкою часу відповідно до ходу технологічного процесу. Потокове в-во здійснюється із використанням потокових ліній.
2.3 Операційна система підприємства «ШклоПак»
Найчастіше операційну систему подають як сукупність трьох взаємопов'язаних підсистем: переробної, підсистеми забезпечення та підсистеми планування і контролю.
Операційна система фірми буде використовувати ці три підсистеми, щоб зайняти впевнені позиції на ринку. Наша фірма виготовлятиме метало пластикові віконні системи. Так як на ринку вже існують фірми – конкуренти, то наша продукція відрізнятиметься від продукції конкурентів якістю, ціною та впровадженням нової продукції.

Згідно з рисунком: I – це інформація із зовнішнього середовища: аналіз ринку, економічні, політичні фактори, науково-технічні тенденції, анкетування тощо. II – це інформація внутрішнього середовища: опитування працівників, книга скарг, аналіз діяльності підприємства тощо. III – це праця людей, капітал, сировина: склопакети, профіль, фурнітура, ущільнювач, штапик. IV – готова продукція: метало пластикові вікна.
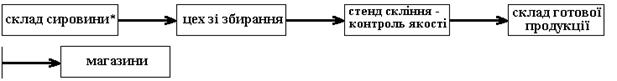
2.4 Виробничо-технологічний процес підприємства «ШклоПак»
Підприємство зі збирання метало пластикових вікон буде працювати за встановленим графіком. Тобто працівники мають з’являтись на робоче місце у дев’ятій годині ранку та закінчення робочого дня у шостій вечора. Тобто на підприємстві «ШклоПак» встановлено десятигодинний робочий день. Випуск продукції – серійний, тобто характеризується виготовленням виробів періодично, змінними серіями.
Для того щоб пробитись на ринку, на підприємстві функціонуватиме так звана лабораторія з дослідження або дослідницька лабораторія, функції якої полягають у розробці нового товару. Так було створено новий товар: механічні вікна. Вони являють собою звичайне метало пластикове вікно, але в ньому відсутні ручки. Відкриватиметься вікно за допомогою пульта керування. Також є програма відкриття вікна у заданий час. Також присутні вікна з вмонтованим електронним термометром.
Технологічний процес виробництва метало пластикових вікон

Висновок: Підприємству необхідно здійснювати планування відповідно до загальної стратегії для того щоб забезпечити постійну конкурентно - здатність своєї продукції. Отже, для підприємства «ШклоПак» доцільно застосувати підсистему забезпечення та обрати серійний (порціонний) технологічний процес. Кваліфікація робітників невисока (на простих операціях) і висока (на обладнанні).
Розділ III Менеджмент персоналу. Формування структури управління організацією
3.1 Організаційна структура організації
Теорія і практика менеджменту розробили багато різних принципів побудови структур управління, які можна звести до наступних основних типів:
· лінійна організаційна структура;
· лінійно-штабна організаційна структура;
· функціональна організаційна структура;
· лінійно-функціональна організаційна структура;
· дивізіональна організаційна структура;
· матрична організаційна структура.
Лінійна організаційна структура являє собою систему управління, в якій кожний підлеглий має тільки одного керівника і в кожному підрозділі виконується весь комплекс робіт, пов’язаних із його управлінням (рис).

Рис. Схема лінійної організаційної структури
Переваги:
- чіткість і простота взаємодії;
- надійний контроль та дисципліна;
- оперативність прийняття та виконання управлінських рішень;
- економічність за умов невеликих розмірів організації.
Недоліки:
- потреба у керівниках універсальної кваліфікації;
- обмеження ініціативи працівників нижчих рівнів;
- перевантаження вищого керівництва;
- можливість необґрунтованого збільшення управлінського апарату.
Лінійно-штабна організаційна структура - різновид лінійної оргструктури. Для розвантаження вищого керівництва створюється штаб, до складу якого включають фахівців із різних видів діяльності (рис.).

Рис. Схема лінійно-штабної організаційної структури
Переваги:
- чіткість і простота взаємодії;
- надійний контроль та дисципліна;
- оперативність прийняття та виконання управлінських рішень.
Недоліки:
- обмеження ініціативи працівників нижчих рівнів;
- можливість необґрунтованого збільшення управлінського апарату.
Функціональна організаційна структура. Для виконання певних функцій управління утворюються окремі управлінські підрозділи, які передають виконавцям обов’язкові для них рішення, тобто функціональний керівник в межах своєї сфери діяльності здійснює керівництво виконавцями (рис).
Завдяки спеціалізації функціональних керівників виникає можливість управління великою кількістю виконавців (зменшується кількість рівнів управління).

Рис. Схема функціональної організаційної структури
Переваги:
- спеціалізація функціональних керівників;
- інформаційна оперативність;
- розвантаження вищого керівництва.
Недоліки:
- порушення принципу єдиноначальності;
- складність контролю;
- недостатня гнучкість.
Лінійно-функціональна організаційна структура - комбінація лінійної та функціональної структур. Основний принцип - розмежування повноважень і відповідальності за функціями та прийняття рішень по вертикалі. Управління здійснюється за лінійною схемою, а функціональні підрозділи допомагають лінійним керівникам у вирішенні відповідних управлінських функцій (рис).

Рис. Схема лінійно-функціональної організаційної структури
Переваги лінійно-функціональної структури - поєднання переваг лінійних та функціональних структур.
Недоліки:
- складність взаємодії лінійних і функціональних керівників;
- перевантаження керівників в умовах реорганізації;
опір змінам в організації.
Лінійно-функціональна оргструктура застосовується при вирішенні задач, які постійно повторюються. Вона ефективна для масового виробництва зі стабільним асортиментом продукції і незначних змінах технології виробництва.
Дивізіональна організаційна структура. Перехід до цієї структури означає децентралізацію оперативних функцій управління, що передаються виробничим підрозділам (дивізіонам), та централізацію загально-корпоративних функцій управління (фінансова діяльність, розробка стратегії) на вищому рівні управління (рис).

Рис. Схема дивізіональної організаційної структури
Переваги:
- оперативна самостійність підрозділів;
- підвищення якості рішень;
- внутрішньофірмова конкуренція.
Недоліки:
- дублювання функцій управління на рівні підрозділів;
- збільшення витрат на управління.
Дивізіональна організаційна структура відповідає умовам динамічного середовища та організаціям із великою кількістю виробництв, життєвий цикл яких відносно тривалий.
Матрична організаційна структура - відповідь на підвищення ступеня динамічності середовища. Високий ступінь адаптації забезпечується тимчасовим характером функціонування структурних одиниць – проектних груп (рис).

Рис. Схема матричної організаційної структури
Переваги:
- висока адаптивність до змін середовища;
- ефективні механізми координації.
Недоліки:
- обмежена сфера застосування;
- конфлікти між функціональними керівниками і керівниками проектів.
Для вибору типу організаційної структури управління використовують такі основні методи:
Метод аналогій – полягає у застосуванні організаційних форм, що виправдали себе в організаціях із схожими організаційними характеристиками (середовищем, стратегією, технологією, розмірами).
Експертно-аналітичний метод – полягає в обстеженні і аналітичному вивченні організації кваліфікованими фахівцями - експертами, які і розробляють відповідну організаційну структуру управління.
Метод структуризації цілей – передбачає розробку системи цілей організації, включаючи їх кількісне та якісне формулювання і наступний аналіз базових організаційних структур з точки зору їх відповідності системі цілей.
Метод організаційного моделювання – базується на розробці різних варіантів можливих організаційних структур для конкретних об’єктів управління з наступним їх порівнянням (співставленням) і оцінкою за певними критеріями. Критеріями ефективності при співставленні різних варіантів організаційних структур слугують можливості щонайповнішого досягнення цілей організації при відносно нижчих витратах на її функціонування.
Організаційна структура - це склад і співпідпорядкованість взаємозалежних ланок керування. Організаційна структура керування складається із сукупності взаємозалежних ланок керування.
Соціальна структура характеризує трудовий колектив за соціальними показниками (стать, вік, професія й кваліфікація, національність, утворення й ін.).
Ланка керування - самостійна частина організаційної структури на певному рівні, що складається з апарата керування й виробничих підрозділів.
Структурний підрозділ - самостійна частина ланки керування (відділ, служба, ділянка), що виконує певні завдання керування на основі положення про структурний підрозділ. Розрізняють функціональні й виробничі підрозділи.
Виробничий структурний підрозділ - не самостійна частина ланки керування, що викопує завдання оперативного керування виробництвом й забезпечення випуску продукції в матеріальній формі (житлові будинки, готові конструкції, перевезені вантажі, вироби).
Функціональний структурний підрозділ є самостійною частиною апарата керування. Що реалізує завдання певної функції керування (наприклад, підготовка виробництва, бухгалтерський облік, економічне планування). Кінцевий результат - управлінські рішення.
Штатна структура визначає склад підрозділів і перелік посад, розміри посадових окладів і фонд заробітної плати.
Принципи побудови організаційної структури
Гнучкість. Характеризує здатність швидкої перебудови відповідно до змін, що відбуваються н персоналі й на виробництві.
Централізація. Укладається в розумній централізації функцій працівників у відділах і службах підприємства з передачею в нижню лапку функції оперативного керування.
Спеціалізація. Забезпечується закріпленням за кожним підрозділом певних функцій керування.
Нормо-керування. Дотримання раціонального числа підлеглих у кожного керівника: вища ланка підприємства - 4-8 чол., середня ланка (функціональні керівники) - від 8-20 чол.; нижня ланка (старші майстри, майстри-бригадири) - від 20-40 чол.
Єдність прав і відповідальності. Означає, що права й відповідальність підрозділів і посад повинні перебувати в діалектичній єдності.
Розмежування повноважень. Лінійне керівництво забезпечує прийняття рішень по випуску продукції, а функціональне керівництво забезпечує підготовку й реалізацію рішень.
Економічність. Характеризує досягнення мінімально необхідних витрат на побудову й зміст організаційної структури керування.
Методи підбору персоналу.
Кадрова політика – головний напрямок у роботі з кадрами, набір основних принципів, що реалізуються кадровою службою підприємства. У цьому відношенні кадрова політика являє собою стратегічну лінію поведінки в роботі з персоналом. Кадрова політика – це цілеспрямована діяльність по створенню трудового колективу, що щонайкраще сприяв би сполученню цілей і пріоритетів підприємства і його працівників.
Набір являє собою створення певного резерву на плановані посади, як із зовнішніх, так і з внутрішніх джерел. Зовнішні джерела – це і кадрові агентства, і центри зайнятості, також фірма може помістити оголошення в ЗМІ про свої потреби у фахівцях. Часто організації пропонують людям, що вже працюють на підприємстві порекомендувати своїх близьких і знайомих. Такий спосіб є не тільки дешевим, але і дає можливість працівникам приймати участь у вирішенні проблем фірми. Внутрішніми джерелами є люди, що вже працюють на певних посадах, але мають більші здібності, ніж можуть проявити в даний момент. Просування по службі сильно мотивує працівника, а організації не приходиться навчати нового фахівця багатьом нюансам роботи в організації. Ризик при внутрішній кадровій політиці може полягати в тім, що в організацію не надходять нові люди зі свіжими поглядами й ідеями і це може призвести до застою.
При підборі кадрів керівництво відбирає зі створеного в ході набору резерву кандидатів, що найбільше підходять для роботи в організації. Використовують такі методи добору: співбесіди, тестування, іспити, створення центрів оцінки кандидатів, у яких застосовуються методи моделювання конкретних ситуацій. У таких центрах кандидати випробуються за допомогою ігор, їм пропонуються конкретні ситуації для виявлення в них здібностей до прийняття рішень і т.д. Центри оцінки є дорогим методом добору і тому вони створюються тільки на великих підприємствах. Найчастіше використовується співбесіда. При співбесіді є великий ризик неправильної оцінки кандидата. Керівник, що оцінює кандидата, може мимоволі занижувати або завищувати здатності людини, оцінювати її по першому враженню, порівнювати її якості зі своїми. Для мінімізації ризику неправильної оцінки варто готуватися до співбесіди. Потрібно вивчити детально обов'язки майбутнього працівника, створити список питань, єдиний для всіх кандидатів і ін. Такі співбесіди, вони називаються структурованими, приносять набагато більш точні результати.
До чотирьох найбільше широко застосовуваних методів збору інформації, що вимагається для ухвалення рішення при доборі, відносяться іспити, анкетування, співбесіди і центри оцінки.
Іспити.Поведінкові науки розробили багато видів різних іспитів, що допомагають пророчити, як ефективно зможе кандидат виконувати конкретну роботу. Один з видів відбіркових іспитів передбачає вимір здатності виконання завдань, пов'язаних з передбачуваною роботою. Інший вид іспитів передбачає оцінку психологічних характеристик, таких як рівень інтелекту, зацікавленість, енергійність, відвертість, впевненість у собі, емоційна стійкість і увага до деталей. Для того щоб такі іспити були б корисними для добору кандидатів, потрібно значима кореляція між високими оцінками, що набираються в ході іспитів, і фактичними показниками роботи. Керівництво повинно дати оцінку своїм іспитам і визначити, чи дійсно люди, що добре справляються з іспитами, виявляються більш ефективними працівниками, ніж ті, котрі набирають меншу кількість балів.
Анкети. Хоча вони і не відносяться до справжніх засобів визначення здібностей чи психологічних характеристик, теж успішно застосовуються для порівняльної оцінки рівня кваліфікації. Так, наприклад, конкретні відомості, які потрібно вказати в анкеті про стаж попередньої роботи, зарплату, характер освіти і про закінчений навчальний заклад, хобі і т.д., теж можна використовувати для добору кандидатів, якщо такі біографічні дані допомагають відрізнити більш ефективних від менш ефективних службовців, що вже працюють у даній організації.
Співбесіди. Співбесіди дотепер є найбільше широко застосовуваним методом підбору кадрів. Навіть працівників неуправлінського складу рідко приймають на роботу без хоча б однієї співбесіди. Підбор керівника високого рангу може зажадати десятків співбесід, що займають кілька місяців. Разом з тим, дослідження виявили цілий ряд проблем, що знижують ефективність співбесід як інструменту добору кадрів. Основа цих проблем має емоційний і психологічний характер. Так, наприклад, існує тенденція ухвалення рішення про кандидата на основі першого враження, без обліку сказаного в іншій частині співбесіди. Інша проблема полягає в тенденції оцінювати кандидата в порівнянні з особою, з якою проводилася співбесіда безпосередньо перед цим. Якщо попередній співрозмовник виглядав особливо погано, то наступний посередній кандидат буде виглядати добре чи навіть дуже гарно. Є у тих хто проводить інтерв'ю і така тенденція, як оцінка більш сприятливо тих кандидатів, зовнішній вигляд, соціальний стан і манери яких у більшій мірі нагадують їх власні.
Деякі загальні рекомендації ефективного проведення співбесіди зводяться до наступного:
Установити взаєморозуміння з кандидатом і дати можливість йому відчути себе вільно.
У ході всієї співбесіди зосереджувати увагу на вимогах до роботи.
Не оцінювати по першому враженню.
Підготувати комплект структурованих питань, що будуть задаватися всім кандидатам. Бути, разом з тим, досить гнучким, щоб досліджувати інші виникаючі питання.
Центри оцінки – оцінюється здатність до виконання повного кола посадових обов'язків за допомогою методів складного моделювання ситуацій. Методи включають ролі керуючого й учасника зборів, доповіді групі слухачів (усно), офіційні інтерв'ю, тести по психології і рівню інтелекту. Найчастіше керівництво малої організації обмежується офіційним інтерв'ю на основі диференційованого підходу до кожного кандидата.
3.2 Опис організаційної структури підприємства «ШклоПак»
Для підприємства доцільно буде обрати лінійно-штабну організаційну структуру. Переваги обраної структури полягають у: чіткість і простота взаємодії; надійний контроль та дисципліна; оперативність прийняття та виконання управлінських рішень; економічність за умов невеликих розмірів організації.

Схема організаційної структури підприємства «ШклоПак»
3.3 Посадові інструкції для основного управлінського складу працівників
Посадова інструкція – це документ, що регламентує виробничий процес кожного працівника. Зазвичай включає короткий виклад основних обов'язків, повноважень та необхідних навиків, що відносяться до конкретної посади в організації.
ПОСАДОВА ІНСТРУКЦІЯ ДИРЕКТОРА ПІДПРИЄМСТВА
I. Загальні положення
1. Директор підприємства належить до професійної групи "Керівники".
2. Призначення на посаду керівника підприємства та звільнення з неї здійснюється ________________________________________________________________ з дотриманням вимог Кодексу законів про працю України та чинного законодавства про працю.
3. Директор підприємства є підзвітним засновникам підприємства в особі _______________________.
4. ________________________________________________________
II. Завдання та обов'язки
Директор підприємства:
1. Визначає, формулює, планує, здійснює і координує всі види діяльності підприємства.
2. Визначає напрями розвитку підприємства у формуванні цінової, кредитно-банківської, податкової та страхової політики, соціальної та зовнішньоекономічної діяльності.
3. Організує роботу і ефективну взаємодію виробничих одиниць, цехів та інших структурних підрозділів підприємства, направляє їх діяльність на досягнення високих темпів розвитку і удосконалення виробництва та продукції.
4. Забезпечує відповідність продукції кращим світовим зразкам з метою задоволення потреб замовників і споживачів у відповідних видах продукції, підвищення продуктивності праці, ефективності виробництва і якості продукції на основі широкого запровадження нової техніки і прогресивної технології, організації праці, виробництва і управління, удосконалення господарського механізму.
5. Направляє діяльність персоналу на досягнення високих економічних та фінансових результатів.
6. Забезпечує виконання підприємством програми оновлення продукції, планів капітального будівництва, обов'язків перед державним бюджетом, постачальниками, замовниками і банками.
7. Організує виробничо-господарську діяльність підприємства на основі застосування методів обґрунтованого планування, нормативних матеріалів, фінансових і трудових витрат, широкого розповсюдження передового досвіду, а також максимальної мобілізації резервів виробництва шляхом досягнення високих техніко-економічних показників, підвищення технічного рівня і якості продукції, раціонального і економного витрачання всіх видів ресурсів.
8. Вживає заходів щодо забезпечення підприємства кваліфікованими кадрами, найкращого використання безпечних і сприятливих умов праці, додержання вимог законодавства про охорону навколишнього середовища.
9. Здійснює заходи з соціального розвитку колективу підприємства, забезпечує розроблення, укладання і виконання колективного договору, проводить роботу щодо зміцнення трудової і виробничої дисципліни, сприяє розвитку творчої ініціативи і трудової активності працівників.
10. Забезпечує сполучення економічних і адміністративних методів керівництва, матеріальних і моральних стимулів підвищення ефективності виробництва, а також підсилення відповідальності кожного працівника за доручену йому справу.
11. Вирішує всі питання в межах наданих йому прав, доручає виконання окремих організаційно-господарських функцій іншим посадовим особам: заступникам керівника, керівникам виробничих підрозділів підприємства.
12. Забезпечує додержання законності, активне використання правових засобів удосконалення управління, зміцнення договірної дисципліни і обліку, господарського розрахунку.
13. Здійснює заходи щодо соціального захисту колективу підприємства, забезпечення і збереження зайнятості працівників.
14. Представляє підприємство в органах державної влади і у взаємовідносинах з партнерами.
15. Готує проекти нормативних документів, що вимагають затвердження загальними зборами акціонерів.
16. ________________________________________________________
III. Права
Директор підприємства має право:
1. Без доручення діяти від імені підприємства.
2. Представляти інтереси підприємства у взаємовідносинах з громадянами, юридичними особами та органами державної влади.
3. Розпоряджатися майном підприємства з дотриманням вимог, визначених законодавством, Статутом підприємства, іншими нормативними правовими актами.
4. Відкривати в банківських установах розрахунковий та інші рахунки.
5. Укладати трудові договори з працівниками.
6. Приймати рішення за поданням:- про притягнення працівників, що порушили виробничу та трудову дисципліну, винних в завданні матеріальної шкоди підприємству, до матеріальної та дисциплінарної відповідальності;- про моральне та матеріальне заохочення працівників, що відзначилися.
7. ________________________________________________________
IV. Відповідальність
Директор підприємства несе відповідальність:
1. За неналежне виконання або невиконання своїх посадових обов'язків, що передбачені цією посадовою інструкцією, - в межах, визначених чинним законодавством України про працю.
2. За правопорушення, скоєні в процесі здійснення своєї діяльності, - в межах, визначених чинним адміністративним, кримінальним та цивільним законодавством України.
3. За завдання матеріальної шкоди - в межах, визначених чинним цивільним законодавством та законодавством про працю України.
4. Директор підприємства несе персональну відповідальність за наслідки прийнятих ним рішень, що виходять за межі його повноважень, які визначені чинним законодавством, Статутом підприємства, іншими нормативними правовими актами. Керівник підприємства не звільняється від відповідальності, якщо дії, що тягнуть відповідальність, були здійснені особами, яким він делегував свої права.
5. Директор підприємства, який недобросовісно використовує майно та кошти підприємства у власних інтересах, або в інтересах, протилежних інтересам засновників, несе відповідальність в межах, визначених цивільним, кримінальним та адміністративним правом.
6. ________________________________________________________
V. Директор підприємства повинен знати:
1. Закони, постанови, укази, розпорядження, рішення та інші нормативно-правові акти органів державної влади і місцевого самоврядування, які регулюють порядок діяльності підприємства.
2. Профіль, спеціалізацію і особливості структури підприємства.
3. Перспективи, вітчизняні і світові тенденції технологічного, технічного, економічного і соціального розвитку галузі і підприємства.
4. Можливості ефективного використання виробничих потужностей, наявних технологічних процесів, їх реструктуризації або заміни.
5. Порядок розроблення і затвердження планів та програм виробничо-господарської діяльності.
6. Сучасні методи господарювання і управління.
7. Порядок укладання і виконання господарських договорів.
8. Вітчизняні і зарубіжні досягнення науки і технології відповідно до галузі виробництва і досвід завоювання позицій на світових і регіональних ринках продукції.
9. Економіку, організацію виробництва, праці і управління.
10. Напрями та принципи розвитку менеджменту, маркетингу, комерційної діяльності, податкової справи.
11. Етику ділового спілкування та ведення переговорів.
12. ____________________________________________________________________________________.
VI. Кваліфікаційні вимоги
1. Повна вища освіта відповідного напряму підготовки (магістр, спеціаліст). Післядипломна освіта в галузі управління. Стаж роботи за професіями керівників нижчого рівня не менше 5 років.
2. ____________________________________________________________________________________.
VII. Взаємовідносини (зв'язки) за посадою
1. За відсутності директора підприємства його посадові обов'язки виконують заступники, які призначаються у встановленому порядку. Заступники несуть відповідальність за якісне, своєчасне та ефективне виконання посадових обов'язків директора підприємства на час його відсутності.
Для виконання обов'язків та реалізації прав директор підприємства взаємодіє:
2.1. З ____________________ з питань:____________________________
2.2. З _____________ з питань:___________________________________
2.3. З ____________ з питань:____________________________________
ДОЛЖНОСТНАЯ ИНСТРУКЦИЯ ЗАМЕСТИТЕЛЯ ДИРЕКТОРА
I. Общие положения
1. Заместитель директора относится к категории руководителей, принимается на работу и освобождается от нее приказом директора фирмы.
2. На должность заместителя директора предприятия назначается лицо, имеющее высшее профессиональное (техническое или инженерно-экономическое) образование и стаж работы на руководящих должностях в соответствующей профилю предприятия отрасли не менее 5 лет.
3. Заместитель директора подчиняется непосредственно директору.
4. В своей деятельности заместитель директора руководствуется: - нормативными документами по вопросам выполняемой работы; - уставом предприятия;- правилами внутреннего трудового распорядка;- приказами и распоряжениями Директора;- настоящей должностной инструкцией.
5. Заместитель директора должен знать: - законодательные и нормативные правовые акты, регламентирующие производственно-хозяйственную и финансово-экономическую деятельность фирмы, постановления федеральных, региональных и местных органов государственной власти и управления, определяющие приоритетные направления развития экономики и соответствующей отрасли; - методические и нормативные материалы других органов, касающиеся деятельности фирмы; - профиль, специализацию и особенности структуры фирмы; - перспективы технического, экономического и социального развития отрасли и фирмы; - производственные мощности и кадровые ресурсы фирмы; - технологию производства продукции фирмы; - налоговое и экологическое законодательство; - порядок составления и согласования бизнес-планов производственно-хозяйственной и финансово-экономической деятельности фирмы; - рыночные методы хозяйствования и управления фирмы; - систему экономических индикаторов, позволяющих предприятию определять свое положение на рынке и разрабатывать программы выхода на новые рынки сбыта; - порядок заключения и исполнения хозяйственных и финансовых договоров; - конъюнктуру рынка;- научно-технические достижения и передовой опыт в соответствующей отрасли производств; - управление экономикой и финансами фирмы; - организацию производства и труда; - порядок разработки и заключения отраслевых тарифных соглашений, коллективных договоров и регулирования социально-трудовых отношений; - трудовое законодательство; - правила и нормы охраны труда; - правила делового общения; - правила и подходы работы с клиентами; - правила внутреннего трудового распорядка; - правила и нормы пожарной безопасности.
6. Во время отсутствия заместителя директора его обязанности выполняет в установленном порядке другой заместитель директора, несущий полную ответственность за надлежащее исполнение возложенных обязанностей.
7. ________________________________________________________
8. ________________________________________________________
II. Должностные обязанности
1. Право подписи ряда документов.
2. Организовует работу и эффективное взаимодействие всех структурных подразделений, цехов и производственных единиц, повышает рентабельность фирмы.
3. Разрабатывать и согласовывать с директором фирмы планы: - развития производства на год;- бюджетирования фирмы (на квартал, год).
4. Решает вопросы, касающиеся финансово-экономической и производственно-хозяйственной деятельности фирмы.
5. Поручает ведение отдельных направлений деятельности другим должностным лицам — руководителям производственных единиц и филиалов предприятий, а также функциональных и производственных подразделений.
6. Контролирует работу всех структурных подразделений фирмы.
7. Организовывает текущую организационно-исполнительской работу всей фирмы.
8. Обеспечивает выполнение фирмой всех обязательств перед поставщиками, заказчиками и кредиторами, включая учреждения банка, а также хозяйственных и трудовых договоров.
9. Утверждает штатное расписание фирмы, устанавливает должностные оклады и надбавки ежеквартально или по мере необходимости.
10. Курирует организацию работы в фирме по стимулированию персонала.
11. Обеспечивает строгое соблюдения режима экономии материальных, трудовых и финансовых ресурсов.
12. Проводит работы по совершенствованию планирования экономических и финансовых показателей деятельности предприятия, по созданию и улучшению нормативов трудовых затрат, расходования товарно-материальных ценностей и использования производственных мощностей.
13. Осуществляет контроль за порядком учета поступления и расходования средств, использованием материальных ценностей.
14. Обеспечивает контроль за ходом соблюдения финансовой дисциплины.
15. Контролирует своевременность представления отчетности о результатах экономической отчетности о результате экономической деятельности в установленном порядке и сроки на рассмотрение директору.
16. ________________________________________________________
17. ________________________________________________________
III. Права
Заместитель директора имеет право:
1. действовать от имени предприятия по доверенности.
2. представлять интересы фирмы во взаимоотношениях с гражданами, юридическими лицами, органами государственной власти и управления по доверенности и распоряжению директора.
3. осуществлять проверку деятельности всех подразделений предприятия в области экономики и организации производства, давать им соответствующие указания, направленные на повышение его эффективности.
4. требовать от подразделений предприятия представления материалов, необходимых для выполнения обязанностей, предусмотренных настоящим Положением.
5. представлять директору предприятия предложения о поощрении работников всех подразделений за высокие экономические показатели работы и привлечении к ответственности за нарушение установленных требований в области экономики и организации производства.
6. ________________________________________________________
7. ________________________________________________________
IV. Ответственность
Заместитель директора несет ответственность за:
1. неисполнение (не надлежащее исполнение) своих должностных обязанностей, предусмотренных настоящей должностной инструкцией, в пределах, определенных действующим трудовым законодательством.
2. совершенные в процессе своей деятельности правонарушения — в пределах, определенных действующим административным, уголовным и гражданским законодательством.
3. причинение материального ущерба — в переделах, определенных действующим трудовым, уголовным и гражданским законодательством.
4. разглашение коммерческой информации.
5. проведение без разрешения директора интервью, встреч, переговоров, касающихся деятельности фирмы.
6. нарушение требований дисциплины в соответствии с нормами действующего трудового законодательства, за нарушение внутреннего трудового распорядка в компании.
7. ________________________________________________________
СОГЛАСОВАНО:
| Руководительструктурного подразделения: | ________(подпись) | ______________________(ФИО) | "____" ____________ ____г. |
| Начальникюридического отдела: | ________(подпись) | ______________________(ФИО) | "____" ____________ ____г. |
| С инструкцией ознакомлен: | ________(подпись) | ______________________(ФИО) | "____" ____________ ____г. |
РАБОЧАЯ ИНСТРУКЦИЯ ЭЛЕКТРИКА
I. Общие положения
1. Электрик относится к категории рабочих.
2. Назначение на должность электрика и освобождение от нее производиться приказом руководителя учреждения (организации, предприятия), по представлению главного инженера.
3. Электрик подчиняется непосредственно _________________________.
4. Электрик должен иметь группу безопасности не ниже 4, до 1000 В.
5. ________________________________________________________
6. ________________________________________________________
II. Задания и обязанности
Электрик:
1. Обеспечивает поддержание исправного состояния, безаварийную и надежную работу обслуживаемых устройств и электрооборудования.
2. Производит монтаж новых электрических сетей.
3. Проводит планово-предупредительный ремонт (ППР) электрической части оборудования согласно графика ППР.
4. Выявляет причины износа, принимает меры по их предупреждению и устранению.
5. Обеспечивает правильную эксплуатацию, своевременный качественный ремонт в соответствии с инструкциями по техническому обслуживанию, действующими техническими условиями и нормами и обслуживание трансформатора ТП-2 и электрических сетей предприятия.
6. Ликвидирует неисправности в работе устройств, их ремонт, монтаж и регулировку.
7. Соблюдает правила внутреннего распорядка цеха и режима работы.
8. Соблюдает правила охраны труда, техники безопасности и пожарной безопасности согласно действующих инструкций.
9. ________________________________________________________
10. ________________________________________________________
III. Права
Электрик имеет право:
1. Вносить на рассмотрение главного инженера и руководителей структурных подразделений предложения по улучшению электрического обслуживания предприятия и его подразделений, по улучшению технологических процессов, усовершенствованию оснастки, оборудования, повышению эстетики труда.
2. Требовать обеспечения нормальных условий труда.
3. Получать от энергетика информацию и инструктаж в части появления новых видов работ на участке.
4. Требовать от администрации обеспечения правил охраны труда, техники безопасности и пожарной безопасности.
5. Требовать обеспечения спецодеждой согласно действующих норм.
6. Вносить свои предложения по улучшению технологических процессов, усовершенствованию оснастки, оборудования, повышению эстетики труда.
7. ________________________________________________________
IV. Ответственность
Электрик отвечает за:
1. Правильную эксплуатацию оборудования в части электробезопасности.
2. Своевременное и качественное выполнение планово-предупредительного ремонта, за простой оборудования, произошедший по его вине.
3. Соблюдение правил охраны труда, техники безопасности и пожарной безопасности.
4. Чистоту и порядок на рабочем месте.
5. Ненадлежащее исполнение или неисполнение своих должностных обязанностей, предусмотренных настоящей должностной инструкцией, в пределах, определенных действующим трудовым законодательством Украины.
6. Правонарушения, совершенные в процессе осуществления своей деятельности, в пределах, определенных действующим административным, уголовным и гражданским законодательством Украины.
7. Причинение материального ущерба, в пределах, определенных действующим трудовым и гражданским законодательством Украины.
8. ________________________________________________________
9. ________________________________________________________
V. Квалификационные требования
1. На должность электрика назначается лицо, имеющее начальное профессиональное или среднее-специальное образование по данной специальности со стажем работы не менее 5 лет.
2. ________________________________________________________
3. ________________________________________________________
VI. Взаимодействие
Электрик взаимодействует:
1. С операторами станков, наладчиками станков с ПУ, мастерами смены, энергетиком, главным инженером, начальником производства по вопросам связанным с его должностными обязанностями.
2. ________________________________________________________
СОГЛАСОВАНО:
| Руководительструктурного подразделения: | ________(подпись) | ______________________(ФИО) | "____" ____________ ____г. |
| Начальникюридического отдела: | ________(подпись) | ______________________(ФИО) | "____" ____________ ____г. |
| С инструкцией ознакомлен: | ________(подпись) | ______________________(ФИО) | "____" ____________ ____г. |
ДОЛЖНОСТНАЯ ИНСТРУКЦИЯ СВАРЩИКА НА ЭЛЕКТРОННО-ЛУЧЕВЫХ УСТАНОВКАХ 6-ГО РАЗРЯДА
I. Общие положения
1. Сварщик на электронно-лучевых 6-го разряда непосредственно подчинен _________________.
2. Сварщик на электронно-лучевых 6-го разряда выполняет указания _________________.
3. Сварщик на электронно-лучевых 6-го разряда замещает _________________.
4. Сварщика на электронно-лучевых 6-го разряда замещает _________________.
5. Сварщик на электронно-лучевых назначается на должность и освобождается от должности руководителем отдела по согласованию с руководителем подразделения.
6. Должен знать:- электрические и кинематические схемы управления электронно-лучевых установок;- конструкцию обслуживаемых установок;- влияние геометрии электронно-лучевой пушки на электрические параметры установки;- механические и технологические свойства свариваемых металлов;- наивыгоднейшие режимы сварки;- устройство и назначение откачных систем со сложными схемами;- режимы и правила откачки сложных систем;- назначение каждого этапа технологического процесса откачки и последовательность их;- основы вакуумной техники, электроники и основы электротехники в пределах выполняемой работы.
7. ________________________________________________________
8. ________________________________________________________
II. Должностные обязанности
1. Сварка электронно-лучевая в вакууме дорогостоящих узлов и деталей из спецсплавов.
2. Сварка сложных узлов и деталей, сварка изделий с ограниченной степенью нагрева.
3. Сварка малогабаритных и миниатюрных изделий.
4. Сварка изделий, предназначенных для работы в условиях ударной и вибрационной нагрузок.
5. Обслуживание высоковакуумных систем с автоматическим управлением или с непрерывным циклом производства.
6. Сварка металлов и сплавов в различных сочетаниях при толщине металла до 0,8 мм.
7. Непрерывный контроль процесса откачки по показаниям приборов и управление процессом сварки.
8. Получение оптимальных параметров электронного пучка и их изменения с целью получения оптимального сечения швов.
9. ________________________________________________________
10. ________________________________________________________
III. Права
Сварщик имеет право:
1. давать подчиненным ему сотрудникам поручения, задания по кругу вопросов, входящих в его функциональные обязанности.
2. контролировать выполнение производственных заданий, своевременное выполнение отдельных поручений подчиненными ему сотрудниками.
3. запрашивать и получать необходимые материалы и документы, относящиеся к вопросам своей деятельности и деятельности подчиненных ему сотрудников.
4. взаимодействовать с другими службами предприятия по производственным и другим вопросам, входящим в его функциональные обязанности.
5. знакомиться с проектами решений руководства предприятия, касающимися деятельности Подразделения.
6. предлагать на рассмотрение руководителя предложения по совершенствованию работы, связанной с предусмотренными настоящей Должностной инструкцией обязанностями.
7. выносить на рассмотрения руководителя предложения о поощрении отличившихся работников, наложении взысканий на нарушителей производственной и трудовой дисциплины.
8. докладывать руководителю обо всех выявленных нарушениях и недостатках в связи с выполняемой работой.
9. ________________________________________________________
10. ________________________________________________________
IV. Ответственность
Сварщик несет ответственность за:
1. ненадлежащее исполнение или неисполнение своих должностных обязанностей, предусмотренных настоящей должностной инструкцией - в пределах, определенных трудовым законодательством Украины.
2. нарушение правил и положений, регламентирующих деятельность предприятия.
3. При переходе на другую работу или освобождении от должности Сварщик ответственен за надлежащую и своевременную сдачу дел лицу, вступающему в настоящую должность, а в случае отсутствия такового, лицу его заменяющему или непосредственно своему руководителю.
4. правонарушения, совершенные в процессе осуществления своей деятельности, - в пределах, определенных действующим административным, уголовным и гражданским законодательством Украины.
5. причинение материального ущерба - в пределах, определенных действующим трудовым и гражданским законодательством Украины.
6. соблюдение действующих инструкций, приказов и распоряжений по сохранению коммерческой тайны и конфиденциальной информации.
7. выполнение правил внутреннего распорядка, правил ТБ и противопожарной безопасности.
8. ________________________________________________________
_____________________________________________________________
СОГЛАСОВАНО:
| Руководительструктурного подразделения: | ________(подпись) | ______________________(ФИО) | "____" ____________ ____г. |
| Начальникюридического отдела: | ________(подпись) | ______________________(ФИО) | "____" ____________ ____г. |
| С инструкцией ознакомлен: | ________(подпись) | ______________________(ФИО) | "____" ____________ ____г. |
ДОЛЖНОСТНАЯ ИНСТРУКЦИЯ МАСТЕРА
I. Общие положения
1. Мастер относится к категории руководителей.
2. На должность мастера назначается лицо, имеющее стаж работы на производстве не менее 1 года или средне- специальное образование и стаж работы на производстве не менее 3 лет (при отсутствии специального образования стаж работы на производстве не менее 5 лет).
3. Назначение на должность мастера и освобождение от нее производится приказом руководителя предприятия.
4. Мастер должен знать:- нормативные и методические материалы, касающиеся производственно-хозяйственной деятельности предприятия;- технические характеристики и требования, предъявляемые к продукции, выпускаемой предприятием, технологию ее производства;- оборудование предприятия и правила его технической эксплуатации;- формы и методы производственно-хозяйственной деятельности предприятия;- трудовое законодательство и порядок тарификации работ и рабочих;- действующие положения по оплате труда и формам материального стимулирования;- основы экономики, организации производства, труда и управления;- правила внутреннего трудового распорядка;- правила и нормы охраны труда, техники безопасности, производственной санитарии и противопожарной защиты;
5. Мастер производственного участка подчиняется непосредственно заместителю директора.
6. Во время отсутствия мастера производственного участка (командировка, отпуск, болезнь и пр.) его обязанности исполняет лицо, назначенное в установленном порядке. Данное лицо приобретает соответствующие права и несет ответственность за надлежащее исполнение.
7. _________________________________________________________________.
8. _________________________________________________________________.
II. Должностные обязанности
1. Обеспечение выполнения участками плановых заданий по объему производства, изготовление продукции высокого качества, повышение производительности труда и выхода тиражей.
2. Обеспечение максимального использования производственных мощностей, полной загрузки и правильной эксплуатации оборудования, производительной работы всех рабочих участков.
3. Обеспечение своевременной подготовки производства материалами, полуфабрикатами, инструментом, приспособлениями и равномерной работы участка в соответствиис установленными заданиями.
4. Осуществляет приём продукции и полуфабрикатов от смежных цехов и участков, ведение учёта количества выпускаемой продукции и полуфабрикатов, сдача продукции в смежные участки и цеха.
5. Осуществляет контроль использования сырья и материалов.
6. Систематическая проверка выполнения заданий бригадами и отдельными рабочими, своевременное устранение возникающих неполадок, мешающих нормальному ходу производственного процесса.
7. Организация решения производственных и социальных вопросов деятельности участков предприятия.
8. Контроль за правильным и своевременным оформлением первичных документов в части приема и выдачи работы.
9. Проведение инструктажа подчиненных рабочих, оказание им необходимой помощи в освоении норм выработки и выполнении производственных заданий, особенно в случаях сложности или ответственности выполняемой работы, освоения новых работ.
10. Проверка соблюдения рабочими технологических процессов и прекращения работы в случаях несоответствия ее установленным технологическим процессам, техническим условиям и др.
11. Участие в перетарификации работ и в пересмотре норм выработки.
12. Систематическая проверка состояния оборудования и ограждений.
13. Обеспечение соблюдения работающими трудовой и производственной дисциплины, чистоты и порядка на рабочих местах. Контроль за своевременной вывозкой отходов и готовой продукции.
14. Обеспечение условий для совмещения профессий. Привлечение рабочих к участию в работе производственных совещаний и обсуждению вопросов выполнения установленных участку заданий, опыта передовых рабочих.
15. Совместно с работниками ОТК проверка в процессе изготовления качества печатной продукции а также изучение совместно с технологами причин брака и дефектов, разработка и осуществление мероприятий по их устранению.
16. _________________________________________________________________.
17. _________________________________________________________________.
III. Права
Мастер имеет право:
1. Производить расстановку рабочих на участке и с утверждения начальника цеха высвобождать излишних рабочих, а также рабочих,систематически нарушающих производственную и трудовую дисциплину.
2. Представлять предложения о поощрении отличившихся работников, наложении взысканий на нарушителей производственной и трудовой дисциплины, применении при необходимости мер материального воздействия.
3. Не допускать выполнения работы на неисправном оборудовании и с применением неисправного инструмента, приспособлений и контрольно-измерительных приборов, а также на оборудовании, не имеющем ограждений, блокировки и прочих предохранительных средств.
4. Не допускать использования в производстве материалов и полуфабрикатов, не отвечающих техническим требованиям.
5. Не допускать к работе рабочих, не знающих правил и инструкций по технике безопасности и охране труда.
6. Производить расстановку рабочих по рабочим местам, представлять к утверждению присвоенные им разряды в соответствии с тарифно-квалификационным справочником.
7. Приостанавливать выполнение работ на неисправном оборудовании, при применении неисправного инструмента, приспособлений и контрольно-измерительных приборов, а также при использовании сырья и материалов, не отвечающих техническим условиям.
8. Требовать своевременного выполнения плана ремонта оборудования и мероприятий по технике безопасности, охране труда, промышленной санитарии и пожарной охране.
9. Требовать экономиста по материально-техническому снабжению своевременного обеспечения производства необходимыми материалами, сырьем, полуфабрикатами, инструментом, приспособлениями, технической документацией и др. для нормального хода производства.
10. Требовать от подчиненных ему работников выполнения распоряжений и указаний по всем вопросам производственной деятельности.
11. _________________________________________________________________.
12. _________________________________________________________________.
IV. Ответственность
Мастер несет ответственность:
1. За качество и своевременность выполнения возложенных на него обязанностей в пределах трудового законодательства Украины.
2. За правонарушения и причинение материального ущерба - в пределах административного, гражданского и уголовного законодательства Украины.
3. ________________________________________________________
ПОСАДОВА ІНСТРУКЦІЯ НАЧАЛЬНИКА ЛАБОРАТОРIЇ З КОНТРОЛЮ ВИРОБНИЦТВА (БУДІВНИЦТВО)
I. Загальні положення
1. Начальник лабораторiї з контролю виробництва безпосередньо підпорядковується _______________.
2. Начальник лабораторiї з контролю виробництва виконує вказівки _______________.
3. Начальник лабораторiї з контролю виробництва заміняє _______________.
4. Начальника лабораторiї з контролю виробництва заміняє _______________.
5. Повинен знати:- постанови, розпорядження, накази, методичні, нормативні та інші керівні матеріали щодо управління якістю робіт у будівництві;- технологію виготовлення і вимоги до будівельних матеріалів і готової продукції, будівельні норми та правила, стандарти та технологічні умови;- організацію та методи проведення досліджень;- технологію й основи організації будівельного виробництва;- передовий вітчизняний та зарубіжний досвід з питань підвищення якості будівництва;- основи трудового законодавства;- правила та норми охорони праці, виробничої санітарії та протипожежного захисту.
6. Кваліфікаційні вимоги:- Повна або базова вища освіта відповідного напряму підготовки (магістр, спеціаліст або бакалавр). - Післядипломна освіта в галузі управління.- Стаж роботи за професією: для магістра або спеціаліста — не менше 2 років, бакалавра — не менше 3 років.
7. ________________________________________________________
8. ________________________________________________________
II. Завдання та обов'язки
1. Забезпечує контроль якості будівельно-монтажних робіт та будівельних матеріалів, конструкцій і виробів, що надходять на об’єкти.
2. Бере участь у розробленні та впровадженні заходів щодо підвищення якості будівництва, виконання будівельно-монтажних робіт у зимовий період, підготовленні об’єктів, що будуються, до періоду весняного розмерзання.
3. Забезпечує розроблення для підсобних виробництв і підприємств рецептури виготовлення бетону, будівельного розчину, мастик, барвників та інших будівельних компонентів.
4. Організовує контроль за якістю будівельних матеріалів, конструкцій, деталей, що випускаються підсобними виробництвами й підприємствами, температурним режимом витримання бетонних конструкцій під час зимового бетонування.
5. Слідкує за відповідністю конструкцій, деталей та матеріалів, що надходять від постачальників, діючим стандартам і технічним вимогам.
6. Забезпечує безпосередньо на об’єктах контроль за зберіганням матеріалів, конструкцій та виробів, їх транспортуванням і розвантаженням.
7. Проводить методичні та інструктивні заняття з питань якості будівництва з робітниками й виробничим персоналом будівельної організації та її підрозділів.
8. Здійснює контроль за станом лабораторного устаткування та робочих місць співробітників лабораторії.
9. Розробляє заходи щодо оснащення будівельної лабораторії необхідним устаткуванням, впровадження в практику лабораторної роботи досягнень вітчизняної та зарубіжної науки та техніки.
10. Підтримує зв’язок з науково-дослідними організаціями з питань підвищення якості будівництва.
11. Бере участь у розробленні колективного договору і виконанні його заходів.
12. Керує робітниками лабораторії.
13. ________________________________________________________
14. ________________________________________________________
III. Права
Начальник лабораторiї з контролю виробництва має право:
1. Ознайомлюватися з проектами рішень керівництва підприємства, що стосуються його діяльності.
2. Брати участь в обговоренні питань, що стосуються виконання його обов'язків.
3. Вносити на розгляд керівництва підприємства пропозиції щодо покращання роботи, пов'язаної з обов'язками, що передбачені цією інструкцією.
4. В межах своєї компетенції повідомляти керівництву підприємства про всі недоліки, виявлені в процесі його діяльності, та вносити пропозиції щодо їх усунення.
5. Вимагати від керівництва підприємства сприяння у виконанні ним посадових обов'язків.
6. ________________________________________________________
7. ________________________________________________________
IV. Відповідальність
Начальник лабораторiї з контролю виробництва несе відповідальність за:
1. За неналежне виконання або невиконання своїх посадових обов'язків, а також за невикористання або неповне використання своїх функціональних прав, що передбачені цією посадовою інструкцією, - в межах, визначених чинним законодавством України про працю.
2. За правопорушення, скоєні в процесі здійснення своєї діяльності, - в межах, визначених чинним адміністративним, кримінальним та цивільним законодавством України.
3. За завдання матеріальної шкоди - в межах, визначених чинним цивільним законодавством та законодавством про працю України.
4. ________________________________________________________
_____________________________________________________________
Висновок: Для підприємства було обрано лінійно-штабну організаційну структуру, дє для розвантаження вищого керівництва створюється штаб, до складу якого включають фахівців із різних видів діяльності. Також для кожної посадової особи передбачено посадову інструкцію, у якій зазначено права та обов’язки працівників, а також їх відповідальність.
Розділ IV. Кошторисна документація поекту. Визначення обсягу та структури інвестицій проекту у виробничій сфері
4.1 Кошторисна вартість проекту
Основною формою планування витрат підрозділів є складання їх кошторисів. Кошторис охоплює всі витрати підрозділу на виробництво продукції (надання послуг) за плановий період незалежно від ступеня її готовності. У підрозділах з коротким виробничим циклом виготовлення продукції кошторис і виробнича собівартість кінцевої продукції за певний період, як правило, збігаються.
Кошториси підрозділів виконують такі важливі функції, як організуюча, контролююча і стимулююча. Організуюча функція кошторису полягає в тому, що, маючи встановлену планову величину витрат, працівник, відповідальний за їх рівень, намагається дотримуватись чинного регламенту і норм використання ресурсів. Кошториси підрозділів дають змогу контролювати роботу працівників, відповідальних, за рівень витрат. Це здійснюється порівнянням фактичних витрат з плановими, передбаченими в кошторисах. Відхилення аналізуються, що є основою для реалізації стимулюючої функції щодо працівників, які впливають на величину витрат і відповідають за неї. Стимулювання здійснюється через відповідальність за необґрунтовані витрати і заохочення в їх зниженні.
Склад та види кошторисної документації.
Для визначення розрахункової та базисної кошторисної вартості (розрахункової та базисної вартості) будівництва проектованих підприємств, будівель, споруд або їх черг складається кошторисна документація.
Види кошторисної документації.
Локальні кошториси, локальні ресурсні кошториси є первинними кошторисними документами і складаються на окремі види робіт та витрат по будівлях та спорудах або по загально-майданчикових роботах на основі обсягів, що визначилися при розробленні робочої документації (робочих креслень).
Локальні кошторисні розрахунки складаються також на окремі види робіт та витрат по будівлях та спорудах або по загально-майданчикових роботах замість локальних кошторисів у тих випадках, коли обсяги робіт і розміри витрат остаточно не визначилися та підлягають уточненню.
Об'єктні кошториси, об'єктні ресурсні кошториси об'єднують у своєму складі на об'єкт у цілому дані відповідно з локальних кошторисів, локальних ресурсних кошторисів.
Об'єктні кошторисні розрахунки об'єднують у своєму складі на об'єкт у цілому дані з локальних кошторисних розрахунків і локальних кошторисів та підлягають уточненню.
Кошторисні розрахунки на окремі види витрат складаються в тих випадках, коли необхідно визначити, як правило, у цілому по будові розмір (ліміт) коштів, необхідних для відшкодування тих витрат, що не враховані кошторисними нормативами (наприклад: компенсації в зв'язку з вилученням земель під забудову; витрати, пов'язані із застосуванням пільг і доплат, встановлених урядовими рішеннями, отриманням архітектурно-планувальних завдань, технічних умов, експертних висновків тощо).
Зведені кошторисні розрахунки вартості будівництва підприємств, будівель, споруд (або їх черг) складаються на основі об'єктних кошторисних розрахунків, об'єктних кошторисів і кошторисних розрахунків на окремі види витрат.
Зведені ресурсні кошториси на виконання будівельних та монтажних робіт, придбання устаткування, меблів та інвентарю складаються на основі об'єктних ресурсних кошторисів.
Зведення витрат - це кошторисний документ, що об'єднує зведені кошторисні розрахунки вартості будівництва промислового підприємства (споруди) або його черги та об'єктів іншого галузевого призначення.
Зведення витрат складається у випадках, коли одночасно з будівництвом виробничих об'єктів передбачається будівництво об'єктів житлово-цивільного призначення або бази будівельної індустрії, профтехучилищ, профілакторіїв, об'єктів підсобного сільського господарства та побутового обслуговування населення, міського наземного пасажирського транспорту, доріг, шляхопроводів та подібних інженерних споруд, а також об'єктів, будівництво яких дозволено Кабінетом Міністрів України за рахунок коштів на виробниче будівництво.
Зведенням витрат можуть об'єднуватися два та більше зведених кошторисних розрахунків вартості на перелічені види будівництва.
Відомість розрахункової кошторисної вартості будівництва об'єктів, що входять у пусковий комплекс, складається в тому випадку, коли будівництво та введення в експлуатацію підприємства, будівлі або споруди передбачається здійснювати окремими пусковими комплексами. Ця відомість містить у собі базисну кошторисну вартість об'єктів, загально-майданчикових робіт та витрат, що входять до складу пускового комплексу, а також кошти на компенсацію витрат, пов'язаних з ринковими умовами здійснення будівництва.
Відомість базисної кошторисної вартості будівництва об'єктів та робіт з охорони навколишнього середовища складається в тому випадку, коли при будівництві підприємства, будівлі або споруди передбачається здійснювати заходи щодо охорони навколишнього середовища. При цьому у відомості, як правило, зберігається нумерація об'єктів та робіт, прийнята у зведеному кошторисному розрахунку. У відомість включається тільки вартість об'єктів та робіт, що безпосередньо відносяться до природоохоронних заходів.
При проектуванні підприємств та споруд, будівництво яких намічається здійснювати по чергах, складаються: розрахунок вартості будівництва на повний розвиток (зведення витрат на повний розвиток) підприємства та споруди; зведений кошторисний розрахунок вартості будівництва першої черги; розрахунки вартості будівництва наступних черг; об'єктні розрахунки вартості.
Розрахунок вартості будівництва на повний розвиток входить до складу проекту на будівництво першої черги і містить у собі дані із зведеного кошторисного розрахунку вартості будівництва першої черги та розрахунків вартості будівництва наступних черг.
Розрахунок вартості будівництва на наступну чергу складається на основі даних з об'єктних розрахунків вартості.
Об'єктний розрахунок вартості складається на кожний з об'єктів, що намічається до будівництва в складі наступних черг.
Склад кошторисної документації
Склад кошторисної документації визначається залежно від стадійності проектно-кошторисної документації, що розробляється, та технічної складності об'єкту.
У складі проекту (ескізного проекту, ТЕО інвестицій) розробляються:
- зведення витрат;
- зведений кошторисний розрахунок вартості будівництва (розрахунок вартості будівництва);
- об'єктні та локальні кошторисні розрахунки;
- кошторисні розрахунки на окремі види витрат;
- кошториси на проектні та вишукувальні роботи.
У складі робочого проекту розробляються:
- зведення витрат;
- зведений кошторисний розрахунок вартості будівництва;
- зведений ресурсний кошторис;
- об'єктні та локальні кошторисні розрахунки;
- об'єктні та локальні кошториси, об'єктні ресурсні та локальні ресурсні кошториси;
- кошторисні розрахунки на окремі види витрат;
- кошториси на проектні та вишукувальні роботи.
У складі робочої документації розробляються:
- об'єктні та локальні кошториси;
- об'єктні ресурсні та локальні ресурсні кошториси.
Інвестиційний портфель (англ. portfolio, investmentportfolio)— набір реальних або фінансових інвестицій. Сукупність цінних паперів різного виду, строку дії та ліквідності, яка належить одному інвестору і управляються як єдине ціле для досягнення певних цілей.
Інвестиційний портфель - цілеспрямовано сформована сукупність об’єктів фінансового та/або реального інвестування, призначена для реалізації попередньо розробленої стратегії, що визначає інвестиційну мету.
Складовими інвестиційного портфеля можуть бути будь-які активи - від золота та нерухомості до акцій та опціонів.
Види інвестиційних портфелів
Портфель доходу – інвестиційний портфель, сформований за критерієм максимізації рівня інвестиційного прибутку в поточному періоді незалежно від темпів росту інвестованого капіталу на тривалу перспективу.
Портфель росту – інвестиційний портфель, сформований за критерієм максимізації темпів приросту інвестованого капіталу на тривалу перспективу незалежно від рівня прибутку в поточному періоді. Іншими словами, цей портфель орієнтований на забезпечення високих темпів зростання ринкової вартості підприємства.
Крім того, за відношенням до інвестиційних ризиків розрізняють:
Агресивний (спекулятивний) портфель – формується за критерієм максимізації поточного доходу чи приросту інвестованого капіталу незалежно від рівня інвестиційного ризику. Дозволяє отримати максимальну норму інвестиційного прибутку на вкладений капітал, але супроводжується найвищим рівнем інвестиційного ризику.
Поміркований (компромісний) портфель – інвестиційний портфель, за яким загальний рівень портфельного ризику наближається до середньо-ринкового. Звичайно, і норма інвестиційного прибутку на вкладений капітал також наближується до середньо-ринкової.
Консервативний портфель – сформований за критерієм мінімізації рівня інвестиційного ризику. Формується найбільш поміркованими інвесторами, практично виключає використання фінансових інструментів, рівень інвестиційного ризику за якими перевищує середньо-ринковий.
РОЗРАХУНОК ВИТРАТ
| № з/п | Стаття витрат | Розрахунок | Усього, грн | ||
| 1 | 2 | 3 | 4 | 5 | 6 |
| 1 | Оплата послуг залучених спеціалістів |
Кількість залучених спеціалістів (осіб) 15 |
Кількість днів (годин/місяців) 22 (8/12) |
Вартість за день (годину/ місяць), грн ~ 1 700 |
26 600 |
| 2 | Оренда приміщення | Орендована площа | Кількість днів (років) оренди | Вартість оренди, грн | |
| 300 м² | 3 роки | 27 000 | |||
| Усього | 972 000 | ||||
| 3 | Транспортні послуги | Кількість одиниць | Ціна за одиницю, грн | ||
| 1 шт. | 46 700 | ||||
| Усього | 46700 | ||||
| 4 | Обладнання, | Кількість одиниць | Вартість, грн | ||
Зварювальна машина Комп’ютери |
1 3 |
53 000 30 000 |
83 000 |
||
| Усього | |||||
| 5 | Костюми, одяг | Кількість костюмів, одягу, що беруться | Вартість, грн | ||
| 14 | 300 | ||||
| Усього | 4 200 | ||||
| 6 | Витрати на обслуговування і експлуатацію обладнання | Кількість одиниць | Період використання | Витрати на одиницю, грн | |
| 1 | 3 роки | 500 | |||
| Усього | 3 000 | ||||
| 7 | Послуги зв’язку | Період використання | Витрати на одиницю, грн | ||
Телефон Інтернет |
3 роки | 500 500 |
18 000 | ||
| 8 | Інформаційні послуги Радіо-реклама Газетна Сайт |
Кількість одиниць 60 32 1 |
Ціна за одиницю, грн 3 570 850 4 000 |
Період використання 3 міс. 1 рік. 3 роки |
16200 |
| 9 | Канцелярські витрати | Кількість одиниць | Ціна за одиницю, грн | Вартість за одиницю, грн | |
| 100 | 2000 | ||||
| 10 | Інші витрати | Кількість одиниць |
Ціна за одиницю, грн | Вартість за одиницю, грн | |
| 5000 | |||||
| Усього | |||||
| 11 | Податки | 13 300 | |||
| Разом витрат за кошторисом | 1 190000 | ||||
(сума словами) один мільйон стодивяносто тисяч грн.
Автор проекту ________ ______________________
(підпис) (прізвище, ім’я, по батькові)
КОШТОРИС ВИТРАТ на реалізацію проекту
_____________________________________________________________
(прізвище, ім’я, по батькові автора проекту в родовому відмінку)
_____________________________________________________________
(назва проекту)
№ з/п |
Стаття витрат | Сума витрат, грн |
| 1 | Оплата послуг залучених спеціалістів | 26 600 |
| 2 | Оренда приміщення | 972 000 |
| 3 | Транспортні послуги | 46700 |
| 4 | Обладнання | 83 000 |
| 5 | Костюми, одяг | 4 200 |
| 6 | Витрати на обслуговування і експлуатацію обладнання | 3 000 |
| 7 | Послуги зв’язку | 18 000 |
| 8 | Інформаційні послуги | 16200 |
| 9 | Канцелярські витрати | 2000 |
| 15 | Інші витрати ( у тому числі банківські послуги) | 5000 |
| 16 | Податок | 13 300 |
| Усього (сума словами) | Загальна сума 1 190000 |
Заробітна плата — це виражена в грошовій формі частина національного прибутку, яка розподіляється за кількістю та якістю праці, витраченої кожним робітником, та надходить до його особистого споживання. Заробітна плата — це винагорода за працю.
Мінімальна заробітна плата — законодавчо встановлений розмір заробітної плати за просту, некваліфіковану працю, нижче якого не може провадитися оплата за виконану працівником місячну, а також погодинну норму праці (обсяг робіт) (стаття 95 Кодексу законів про працю України).
| З якого числа встановлюється | Розмір | Документ |
| з 01.12.2010 | 922 грн | |
| з 01.10.2010 | 907 грн | |
| з 01.07.2010 | 888 грн | |
| з 01.04.2010 | 884 грн | |
| з 01.01.2010 | 869грн | |
| з 01.11.2009 | 744 грн | Закон України "Про встановлення прожиткового мінімуму та мінімальної заробітної плати" від 20 жовтня 2009 року N 1646-VI (стаття 2), Закон України "Про внесення змін до Закону України "Про Державний бюджет України на 2009 рік"" від 06 листопада 2009 року N 1715-VI (п. 2), -/- |
| з 01.10.2009 | 650 грн | |
| з 01.07.2009 | 630 грн | |
| з 01.04.2009 | 625 грн | |
| з 01.01.2009 | 605 грн | Закон України "Про Державний бюджет України на 2009 рік" від 26 грудня 2008 року N 835-VI (стаття 55) |
| з 01.12.2008 | 605 грн | |
| з 01.10.2008 | 545 грн | |
| з 01.04.2008 | 525 грн | |
| з 01.01.2008 | 515 грн | Закон України "Про Державний бюджет України на 2008 рік та про внесення змін до деяких законодавчих актів України" від 28 грудня 2007 року N 107-VI (стаття 59) |
| з 01.10.2007 | 460 грн | |
| з 01.07.2007 | 440 грн | |
| з 01.04.2007 | 420 грн |
Середня заробітна плата – по підприємству, установі – економічний показник, який характеризує розмір нарахованої заробітної плати, яка припадає на одного працівника підприємства, організації; визначається поділом загальної суми нарахованої заробітної плати на середню чисельність працівників.
Принципова відміна керівників від спеціалістів полягає в юридичному праві прийняття рішень та наявності в підпорядкуванні інших робітників. Залежно від масштабу керування розрізняють лінійних керівників, відповідальних за прийняття рішень за всіма функціях керування, та функціональних керівників, реалізуючих окремі функції керування. Крім того, розрізняють керівників вищого рівня керування підприємством (директор та його заступники), середнього рівня (начальники цехів і підрозділів) та нижчого рівня (начальники ділянок, майстри). Спеціалістів підприємства можна розподілити на три основні групи залежно від результатів їх праці:- функціональні спеціалісти керування, результатом діяльності яких є управлінська інформація (референти, економісти, бухгалтери, фінансисти, маркетологи та ін.);- спеціалісти — інженери, результатом діяльності яких є конструкторсько-технологічна або проектна інформація в галузі техніки та технології виробництва (технологи, інженери, конструктори, будівельники, проектувальники та ін.);- службовці — технічні спеціалісти (машиністи, оператори, кур'єри, ліфтери, комірники,.офіціанти та ін.), які виконують допоміжні роботи в керівницькому процесі.
Оплата праці робітників — це ціна трудових ресурсів, задіяних у виробничому процесі.
Посадовий оклад — це виражений у грошовій формі розмір оплати праці службовця за виконання закріплених за ним функціональних обов'язків.Кваліфікаційні категорії характеризують рівень кваліфікації, досягнутий управлінським персоналом та визначаються на основі "Кваліфікаційного довідника посад керівників, спеціалістів та службовців".
Заробітна плата працівників підприємства.
| № | Посада працівника | Заробітна плата, грн. на міс. |
| 1 | Директор | 4 000 |
| 2 | Заступник директора | 3 500 |
| 3 | Головний Бухгалтер | 3 000 |
| 4 | Начальник цеху | 2 500 |
| 5 | Зварювальник 1 | 1 500 |
| 6 | Вантажник | 1 000 |
| 7 | Контролер якості | 1 500 |
| 8 | Фурнітурщик | 1 000 |
| 9 | Майстер 1 | 2 000 |
| 10 | Майстер 2 | 2 000 |
| 11 | Прибиральниця | 800 |
| 12 | Охоронець | 800 |
| 13 | Електрик | 1000 |
| 14 | Бухгалтер | 1000 |
| 15 | Водій | 1000 |
| 16 | Всього | 26600 |
4.2 Визначення обсягу і структури.
Капітал представляє собою накопичений шляхом збережень запас економічних благ у формі грошових активів та реальних капітальних товарів, що залучаються його власниками в економічний процес як інвестиційний ресурс та фактор виробництва з метою отримання доходу.
З позицій фінансового менеджменту капітал має багато характеристик:
1. Капітал підприємства є основним фактором виробництва;
2. Капітал характеризує фінансові ресурси підприємства, що приносять дохід;
3. Капітал є головним джерелом формування добробуту його власників;
4. Капітал підприємства є головним вимірником його ринкової вартості;
5. Динаміка капіталу підприємства є найважливішим барометром рівня ефективності його господарської діяльності;
6. Капітал є носієм фактору ризику;
7. Капітал виступає носієм фактору ліквідності.
Тобто, Капітал підприємства - накопичений шляхом збереження запас економічних благ у формі грошових коштів та реальних капітальних товарів, що залучується його власниками в економічний процес як інвестиційний ресурс і фактор виробництва з метою отримання доходу, функціонування яких в економічній системі базується на ринкових принципах і пов'язане з фактором часу, ризику і ліквідності.
Поняття "структура капіталу" в найбільш загальному виді характеризується всіма закордонними та вітчизняними економістами як співвідношення всіх форм власних та позичених фінансових коштів, що використовуються підприємством в процесі своєї господарської діяльності для фінансування активів.
Еволюційно дане поняття можна розглядати наступним чином:

Рис. Огляд основних варіантів співвіднесення різних видів капіталу підприємства при визначенні його структури.
Структура капіталу, що використовується підприємством, визначає багато аспектів не тільки фінансової, але також ї операційної та інвестиційної його діяльності, оказує активний вплив на кінцеві результати його діяльності. Вона впливає на коефіцієнт рентабельності активів та власного капіталу (тобто на рівень економічної та фінансової рентабельності підприємства), визначає систему коефіцієнтів фінансової стійкості та платоспроможності (тобто рівень основних фінансових ризиків) та, в кінцевому рахунку, формує співвідношення доходності та ризику в процесі розвитку підприємства.
В умовах ринкової економіки для підприємств усіх форм власності й організаційно-правового статусу основними джерелами формування фінансового капіталу виступають як власні, так і позикові кошти.
Утворення власного капіталу, відбувається за рахунок зовнішніх і внутрішніх джерел власних коштів.
До зовнішніх джерел формування власного капіталу належать, по перше, кошти, що формуються як за рахунок особистих внесків, так і за рахунок можливостей фінансового ринку; по-друге, кошти, що формуються у порядку розподілу та перерозподілу фінансових ресурсів у масштабах економічної системи держави.

Рис. Зовнішні джерела створення власного фінансового капіталу підприємства.
До внутрішніх джерел формування власного капіталу належать фінансові ресурси, які формуються в процесі виробничо-фінансової діяльності підприємства

Рис. Внутрішні джерела створення власного фінансового капіталу підприємства.
Позиковий фінансовий капітал підприємств може також утворюватись за рахунок двох основних груп джерел позикових коштів.
Зовнішні джерела позичкових коштів складаються з двох підгруп - зовнішні довгострокові й зовнішні короткострокові джерела позикового фінансового капіталу.

Рис.Зовнішні джерела створення позикового фінансового капіталу підприємства.
Внутрішні джерела позикових коштів, до яких входять позикові фінансові ресурси, утворюються за рахунок відстрочених зовнішніх довгострокових і короткострокових зобов'язань.

Рис. Зовнішні джерела створення позикового фінансового капіталу підприємства.
Переваги та недоліки власного та позичкового капіталу
При рішенні питання обґрунтування схеми формуванням структури капіталу та вибору джерел його, фінансування власник підприємства стикається з проблемою вибору фінансування свого підприємства.
Існує дві основні схеми:
Змішане фінансування передбачає формування капіталу як за рахунок власних, так і за рахунок позичкових коштів, що залучаються у різних пропорціях.
Повне самофінансування передбачає формування капіталу підприємства виключно за рахунок власних його видів, що відповідають організаційно-правовій формі підприємства.
При виборі кожної зі схем необхідно враховувати переваги те недоліки джерел фінансування.
Переваги власного капіталу:
власний капітал є фінансовою основою підприємства;
залучення власного капіталу є більш простим порівняно з залученням позикового капіталу, що пов'язане з тим, що рішення, пов'язані із збільшенням капіталу приймає власники та менеджери підприємства без необхідності отримання згоди інших господарюючих суб'єктів;
власний капітал забезпечує більш високу можливість генерування прибутку в усіх сферах діяльності.
Переваги позичкового капіталу:
достатньо широкі можливості залучення, особливо при високому кредитному рейтингу підприємства;
забезпечує ріст фінансового потенціалу підприємства при необхідності суттєвого розширення його активів та зростанню темпів росту обсягів його господарської діяльності;
більш низька вартість порівняно до власного капіталу за рахунок забезпечення ефекту "податкового щита";
можливість генерувати приріст фінансової рентабельності (коефіцієнт рентабельності власного капіталу).
Отже, для того щоб фірма розпочала свою діяльність необхідно мати стартовий капітал. Це може бути власний капітал, або позичковий. Або навідь змішаний, тобто власний та позичковий у різних пропорціях.
Для початку своєї діяльності підприємство «ШклоПак» має мати стартовий капітал, це буде власний капітал засновників підприємства.
4.3 Власники і учасники проекту
Власник — це особа, яка має право власності.
Право власності – це сукупність правових норм, які регулюють відносини, пов’язані з володінням, користуванням і розпорядженням власником належним йому майном на свій розсуд і в своїх інтересах, усуненням усіх третіх осіб від протиправного втручання у сферу його володіння цим майном, а також обов’язки власника не порушувати прав та законних інтересів інших осіб.
Право власності охоплює правові норми, які закріплюють і охороняють стан приналежності матеріальних благ конкретним особам. Власність характеризується наявністю такої влади особи над річчю, яка визнана суспільством і регламентована соціальними норми. Оскільки влада над річчю неможлива без того, щоб інші особи, невласники речі, ставилися до неї як до чужої, власність означає відношення між людьми з приводу речей. Всі інші особи, невласники, зобов’язані утримуватися від будь-яких зазіхань на чужу річ і на волю власника мати цю річ. Таким чином, власність це суспільні відносини, які характеризуються двома основними ознаками: вони виникають з приводу речей, мають вольовий зміст.
Власність в економічному розумінні – це економічне панування суб’єкта над об’єктом, що належить йому, використання суб’єктом цих об’єктів своєю владою й у власних інтересах.
Право власності можна розглядати в об’єктивному і суб’єктивному значенні. В об’єктивному значенні право власності визначається як сукупність або система правових норм, що регулюють відносини власності. Суб’єктивне право власності за змістом – це забезпечена законом міра можливої поведінки фізичної і юридичної особи щодо володіння користування та розпорядження належним особі майном; воно надає власнику можливість на свій розсуд використати своє майно і свій інтелектуальний потенціал для будь-якої незабороненої законом діяльності.
Характерні ознаки права власності як суб’єктивного права:
Його зміст охоплює три правомочності;
Суб’єктом права власності може бути будь-який суб’єкт права;
Об’єктом правовідносин власності може бути будь-яка індивідуально-визначена річ. Родові речі можуть бути обэєктом права власності за умови їхньої індивідуалізації;
Своє право на річ власник здійснює завжди своєю владою й у своєму інтересі.
Складовими суб’єктивного права власності є правомочності – володіння, користування і розпорядження.
Суб’єктивне право власності – це юридично забезпечена можливість власника володіти, користуватися і розпоряджатися налужним йому майном на свій розсуд і в своїх інтересах шляхом здійснення щодо свого майна будь-яких дій, які не суперечать законодавству і не порушують права та охоронювані законом інтереси інших осіб, а також можливість захисту від усіляких протиправних втручань до свого володарювання над належним йому майном.
Це означає, що суб’єктивне право власності є абсолютним. Власникові повинні протистояти усі інші особи, хоча кожна особа має право вимагати від власника припинення порушень її прав.
Отже, як вже було зазначено, для створення власного підприємства необхідно мати досить велику сумму коштів. Так як на даний час дуже важко самому утримувати бізнес, підприємство може бути створено декількома власниками.
Підприємство «ШклоПак» буде засноване трьома власниками. Відносини між ними будуть регулюватись установчим договором.
УСТАНОВЧИЙ ДОГОВІР
ТОВАРИСТВА З ОБМЕЖЕНОЮ
ВIДПОВIДАЛЬНIСТЮ
ЗАГАЛЬНІ ПОЛОЖЕННЯ
Учасники вважають за необхiдне оговорити наступнi термiни, використанi в Установчому договорi та Статутi:
1.1. Статут означає Статут Товариства, який являє собою додаток до Установчого Договору та є його невід’ємною частиною.
1.2. Статутний фонд - це фонд Товариства, який включає капiталовкладення Учасникiв.
1.3. Пiд чинним законодавством України Учасники розумiють усi нормативнi акти законодавчих органiв України, мiжнароднi угоди та iншi акти державних органiв, які регулюють порядок створення та дiяльність господарських формувань, у тому числi за участю iноземних iнвесторiв на територiї України, зокрема Закони України:
- "Про господарськi товариства";
- “Про підприємництво”;
- "Про власнiсть";
1.4. Реєстрацiя - державна реєстрацiя Товариства в вiдповiдних органах влади України.
1.5. Учасники /Сторони/ - юридичнi та фiзичнi особи України та iнших країн, якi беруть участь своїм капiталом в дiяльностi Товариства та пiдписали даний договiр.
1.6. Частка Учасника - процентна участь Сторiн в Статутному фондi Товариства.
Найменування окремих статей не впливають на тлумачення змiсту цих статей.
1.7. Громадяни України:
- ___________________________; – м. Київ, вул._______, б.__. кв.__, паспорт: СН _______, виданий _______________РУГУ МВС України в м. Києві __.__.199_ року |
- ___________________________; – м. Київ, вул._______, б.__. кв.__, паспорт: СН _______, виданий _______________РУГУ МВС України в м. Києві __.__.199_ року |
- ___________________________; – м. Київ, вул._______, б.__. кв.__, паспорт: СН _______, виданий _______________РУГУ МВС України в м. Києві __.__.199_ року |
керуючись чинним законодавством України, уклали цей Договiр про нижченаведене:
СТАТТЯ 1.
1.1. Учасники засновують Товариство з обмеженою вiдповiдальнiстю “__ШклоПак___”, надалi Товариство.
1.2. Мiсце знаходження: Україна, м. Київ, вул._ген. Наумова, _46_.
1.3. Товариство створюється з метою:
- одержання Учасниками прибутку шляхом здійснення господарської дiяльностi, не забороненої чинним законодавством.
СТАТТЯ 2.
2.1. Товариство набуває прав юридичної особи з моменту його державної реєстрацiї.
2.2. Товариство вправi вiд свого iменi укладати угоди, набувати майновi та особистi немайновi права, нести зобов’язання, бути позивачем i вiдповiдачем у народному суді, арбітражному та третейському судах.
2.3. Учасники Товариства несуть вiдповiдальнiсть по зобов’язаннях Товариства в межах вартості їх внесків до Статутного фонду Товариства.
Учасники, якi не повнiстю внесли вклади до Статутного фонду, несуть вiдповiдальність також у межах невнесеної частини вкладу.
Товариство не несе вiдповiдальностi по зобов’язаннях Учасникiв.
Товариство несе вiдповiдальнiсть по своїх зобов’язаннях усiм належним йому майном та коштами.
2.4. Товариство має самостiйний баланс, розрахунковий, валютний i iншi рахунки у закладах банків, має круглу печатку i кутовий штамп, бланки, емблему, торговi та фiрмовi знаки, iншi реквiзити.
2.5. У своїй дiяльностi Товариство керується чинним законодавством України, даним Договором та Статутом.
СТАТТЯ 3.
3.1. Товариство вправi створювати фiлiї, дочiрнi пiдприємства та представництва, бути учасником та засновником об’єднань, товариств, органiзацiй, комерцiйних та інноваційних банкiв як на територiї України, так i за її межами.
3.2. Фiлiали та представництва дiють на пiдставi Положень, затверджених Товариством.
Дочiрнi пiдприємства дiють на пiдставi Статутiв, затверджених Товариством.
Керiвництво дiяльнiстю фiлiй та представництв виконують особи, призначенi Товариством.
СТАТТЯ 4.
4.1. Для забезпечення дiяльностi Товариства за рахунок внескiв Учасникiв формується Статутний фонд в розмiрi _______ (_____) грн.
4.2. Внесками Учасникiв можуть бути:
- грошовi кошти, /включаючи iноземну валюту/;
- паї, акції та інші цінні папери;
- рухоме та нерухоме майно, будівлі, споруди, обладнання та інші матеріальні цінності;
- майнові права, що випливають з авторського права, "ноу-хау", досвід та інші види інтелектуальної власності;
- права користування землею та іншими природними ресурсами;
- особистi немайновi права.
4.3. Внесок Учасника до Статутного фонду пiдтверджується у вiдношеннi:
- грошових коштiв - банкiвськими документами;
- майна - актами передачi такого майна на баланс Товариства;
- особистих немайнових прав - договорами про передачу таких прав.
4.4. Частки Учасників складають:
| №п.п. | Учасник | Розмір частки (% Статутного фонду) |
4.5. В рахунок внесків до Статутного фонду Товариства Учасники передають:
| Учасник | Найменування внеску до Статутного фонду | Загальна вартість Гривень |
4.6. Майно (грошові кошти) передане Учасниками в рахунок внескiв до Статутного фонду Товариства, переходить в його власнiсть
Учасники гарантують та підтверджують відповідними документами належність їм на праві власності майна та коштів /надалі майна/, які вносяться в рахунок Статутного фонду.
Учасники гарантують, що таке майно вiльне вiд претензiй третiх осiб.
4.5. Майно, передане Учасниками в рахунок внескiв до Статутного фонду Товариства, переходить в його власнiсть
4.6. Учаснику Товариства, який повнiстю зробив свiй внесок, видається свiдоцтво Товариства про це.
Таке свiдоцтво Товариства не може бути вiднесено до категорiї цiнних паперiв та не може бути продано, закладено, тощо.
СТАТТЯ 5.
5.1. Учасник Товариства може за згодою решти Учасникiв уступити свою частку /її частину/ одному чи декiльком Учасникам Товариства або третiм особам.
5.2. Учасники Товариства користуються переважним правом придбати частку /її частину/ Учасника, який її відчужує, за погодженою з власником ціною, пропорцiйно їх часткам у Статутному фондi Товариства, або в iншому погодженому мiж ними розмiрi.
5.3. У випадках, якщо протягом 30 днів після повідомлення про бажання Учасника поступитися часткою (її частиною), зробленого у письмовій формі, від решти Учасників не надійшло письмового повідомлення про бажання придбати частку (її частину), Учасник, що поступається часткою, має право реалізувати її самостійно третім особам. Умови поступки частки (її частини) третім особам не можуть бути більш пільговими, ніж ті, що були запропоновані іншим Учасникам.
5.4. Ціна на відчужувану Учасником частку (її частину) встановлюється самостійно Учасником, що поступається своєю часткою (її частиною).
5.5. Передача частки (її частини) третiм особам може вiдбутися тільки пiсля повного внесення Учасником свого внеску.
5.6. При передачi частки (її частини) третiй особi до неї одночасно переходять усi права та обов’язки, що належали Учаснику, який уступив її повнiстю або частково.
5.7. Учасник вправi вийти з Товариства, попередивши про це письмово решту Учасникiв не пізніше, ніж за три мiсяцi до дати виходу.
5.8. При виходi Учасника з Товариства йому сплачується вартiсть частини майна Товариства, яка включає також вартість належних Товариству акцій, паїв, часток, інших активів Товариства в будь-яких господарських формуваннях як на території України, так і за її межами, пропорцiйно частцi Учасника в Статутному фондi. Для проведення майнових розрахунків з Учасниками, що вибувають, Товариство складає баланс на момент вибуття на основі поточних ринкових цін та обгрунтованих оцінок, підтверджених незалежними аудиторами. Виплата провадиться після затвердження балансу на момент вибуття і в строк до 6-ти місяців з дня виходу.
5.9. Учаснику, що вибув, виплачується належна йому частина прибутку, одержаного Товариством у даному році на момент його виходу.
5.10. На прохання вибуваючого Учасника, за згодою Загальних Зборів Учасників, його частка може бути повністю або частково повернена в натуральному виразі.
5.11. У випадку реорганiзацiї юридичної особи - Учасника Товариства, або у зв’язку зi смертю громадянина - Учасника Товариства, правонаступники (спадкоємцi) мають переважне право на вступ до Товариства.
5.12. При вiдмовi правонаступника (спадкоємця) вiд вступу до Товариства або при вiдмовi Товариства в прийомi йому видається вiдповiдна частина майна, що належала лiквiдованiй (реорганiзованiй) юридичнiй особi (спадкодавцю), вартість якої визначається на день виходу Учасника у відповідності з положеннями даної статті.
5.13. Всi належнi до сплати кошти виплачуються протягом шести місяців з моменту виходу Учасника з Товариства.
5.14. Змiна розмiру Статутного фонду здiйснюється за одностайним схваленням Учасників.
Зміни Статутного фонду, або вартості внесків в Статутний фонд, не впливають на розмір часток Учасників, якщо інше не буде передбачено рішенням про зміну Статутного фонду.
5.15. Рiшення Товариства про зменшення Статутного фонду набирає чинностi не ранiш, як за три мiсяцi пiсля державної реєстрацiї такої змiни.
СТАТТЯ 6
Учасники Товариства зобов’язані:
- додержуватись положень установчих документiв Товариства та виконувати рiшення Загальних Зборів Учасників;
- всебiчно пiдтримувати Товариство та спiвпрацювати з ним;
- зберiгати конфіденцiйнiсть iнформацiї про дiяльнiсть Товариства протягом його iснування та двох рокiв пiсля лiквiдацiї Товариства або виходу Учасника;
- гарантувати вiдсутнiсть в ранiше укладених ними угодах, як i в угодах, що будуть укладенi в перiод дiї даного Договору, положень, якi б обмежували дiяльнiсть Товариства;
СТАТТЯ 7.
7.1. Учасники Товариства мають право:
- брати участь в управлiннi справами Товариства в межах, передбачених чинним законодавством та установчими документами;
- отримувати частку прибутку (дивідендів) пропорційно частці кожного з учасників, якщо вони є учасниками Товариства на початок строку виплати дивідендів
- вийти в передбаченому порядку з Товариства;
- одержувати iнформацiю про дiяльнiсть Товариства.
7.2. Для здійснення своїх прав Учасники мають право перевіряти книги та рахунки, що ведуться Дирекцією Товариства, а також забезпечуються Дирекцією всією відповідною інформацією, включаючи управлінську звітність та оперативну статистику, а також будь-яку іншу комерційну та оперативну інформацію у тій формі, якої вони потребують.
7.3. Дирекція зобов’язана надавати Учасникам звіти про фінансовий та економічний стан Товариства, включаючи баланс і рахунок прибутків та збитків з поясненнями.
7.4. Учасники Товариства користуються iншими правами, передбаченими установчими документами та рiшеннями Загальних Зборів Учасників.
СТАТТЯ 8.
- Органи управління та контролю Товариства:
- Вищий - Загальні Збори Учасників;
- Виконавчий - Дирекція;
- Контролю - Ревізійна комісія.
8.1. Вищим органом Товариства є Загальні Збори Учасників (надалі - Збори Учасників), які складаються з представників Учасників, повноваження яких підтверджені дорученнями.
Збори Учасників обирають Голову Загальних Зборів Учасників.
Учасники мають кiлькiсть голосiв, пропорцiйну розмiру їх часток у Статутному фондi.
8.2. Виконавчим органом Товариства є Дирекція.
Склад та повноваження кожного з вказаних органів у подробицях обумовлюються Статутом та рiшеннями Зборів Учасників.
СТАТТЯ 9.
9.1. Прибуток Товариства за винятком сум по сплатi податкiв, сум, спрямованих на поповнення i утворення фондiв Товариства, iнших сплат з прибутку згiдно Статуту, розподiляється мiж Учасниками, пропорцiйно їх внескам до Статутного фонду.
9.2. Чистий прибуток Товариства розподiляється між Учасниками за пiдсумками дiяльностi за рік.
9.3. Розподiл чистого прибутку за згодою кожного з Учасникiв може проводитись як у грошовому, так i в натуральному виразi.
СТАТТЯ 10.
10.1. Крiм Статутного та резервного фондiв, в Товариствi можуть створюватись також iншi фонди, зокрема:
- фонд виробництва;
- фонд соцiального розвитку.
Склад, призначення, розмiр, джерела формування i порядок використання кожного з фондiв визначається Зборами Учасників, а також Установчими документами.
10.2. Резервний фонд створюється в розмiрi не менш 25% Статутного фонду.
Створення резервного фонду здiйснюється шляхом щорiчних вiдрахувань у фонд 5% сум чистого прибутку.
10.3. Фiнансовi результати дiяльностi Товариства встановлюються на пiдставi рiчного бухгалтерського балансу i висновкiв ревiзiйної комiсiї.
СТАТТЯ 11.
Учасники, якщо таке не буде суперечити чинному законодавству, можуть надавати Товариству строкову та безстрокову фінансову допомогу у виглядi обладнання, послуг, грошових коштiв, в тому числi готiвкою. Оцiнка вартостi обладнання та послуг здiйснюється за домовленiстю Сторiн.
СТАТТЯ 12.
Діяльність Товариства припиняється:
- за рішенням Зборів Учасників;
- на підставі рішення суду, арбітражного суду.
СТАТТЯ 13.
Учасники звiльняються вiд вiдповiдальностi за повне або часткове невиконання або не належне виконання своїх обов’язкiв, якщо це трапилось внаслiдок форс -мажорних обставин (обставин, котрi не залежать вiд волi Учасників i включають стихiйнi лиха, цивiльнi вiйни та заворушення, ембарго, акти державних органiв, зокрема, законодавчих).
Порядок повiдомлення про виникнення та припинення таких обставин вирiшується Зборами Учасників.
СТАТТЯ 14.
Спори мiж Учасниками, Учасниками та Товариством розглядаються в судових органах України з застосуванням норм Українського процесуального та матерiального права.
СТАТТЯ 15.
Повiдомлення, пов’язані з виконанням даного договору, повиннi здiйснюватись у письмовiй формi та будуть розглядатись як поданi належним чином, якщо вони переданi поштою на замовлення з повідомленням про вручення або особисто за юридичною адресою Учасників та Товариства.
СТАТТЯ 16.
16.1. Договiр набуває чинностi з дати його пiдписання i дiє до моменту лiквiдацiї Товариства.
16.2. У разi розбiжностей чи протирiччя мiж положеннями Договору та Статуту, положення Договору будуть мати переважну силу.
СТАТТЯ 17.
Даний Договiр укладено в м. Києві “__” ____ 2010 року у 5-ти примiрниках українською мовою, один з яких зберiгається у справах нотаріуса.
ПIДПИСИ УЧАСНИКIВ:
Визначення планової окупності витрат.

Висновок
Для побудови власного підприємства необхідно врахувати всі витрати, що необхідні для початку власної діяльності. Необхідно скласти локальний кошторис що є первинними кошторисними документами. Щоб відкрити власну справу необідний стартовий капітал. Затрати, що необхідні для роботи підприємства складають 1 190 000 грн. Надалі діяльність підприємства приноситиме прибуток, що частково буде гасити цю суму коштів.
Підприємство «ШклоПак» має мати стартовий капітал, це буде власний капітал засновників підприємства. Установчий договір регулює всі відносини між власниками підприємства. Підприємство засноване трома учасниками, кожен з яких вклав власні кошти на створення та функціонування підприємства.
Розділ V. Економічні характеристики продукції, прогноз фінансових результатів організації та окупності проекту
5.1 Економічні показники продукції
Дослідження ринку - це знаряддя. Як будь-якеінше знаряддя, воно допомагає краще виконувати роботу. В підприємницькій діяльності їх мета допомагати приймати найкращі рішення. Нерідко здійснення підприємницького задуму без маркетингових досліджень буває успішним. У таких випадках керуються інтуїцією, внутрішнім голосом чи просто розраховують на щасливий випадок. Це один з можливих способів підприємницької діяльності, але далеко не найкращий.
Мета досліджень ринку - знизити ризик у прийнятті ділових рішень. Самі вони не дають їх готовими, але забезпечують найкращі можливості, щоб обрати правильний спосіб дій. При професійному підході до прийняття рішень важливу роль відіграє інформація. Вона дозволяє визначити життєздатність ідеї та радить, як зробити вдалий вибір.
Існує три важливі напрямки застосування досліджень у будь-якому підприємстві:
Визначення цілей. Дослідження ринку часто використовуються для орієнтування, 3 їх допомогою можна оцінити обсяг ринку і на цій основі встановити завдання щодо розширення підприємства, визначити потенційних покупців і сформувати план продажу.
Вирішення проблем. Дослідження ринку можна використовувати як метод аналізу, щоб показати, чому компанія не має прибутків, чому вона втрачає свою частку ринку і що можна зробити, щоб виправити таке становище.
Сприяння розвиткові підприємства. Дослідження ринку показують, чому споживачі вибирають той чи інший продукт і як здійснюється вибір. Тому їх можна використовувати для визначення стратегії збільшення продажу, досягнення вигіднішого рівня цін, подолання конкуренції.
За визначенням американських дослідників, питома вага маркетингової стратегії в загальній стратегії фірми становить близько 80%. У процесі формування маркетингової стратегії можна виділити вхідні та вихідні елементи: вхідні елементи - це ті фактори, аналіз яких передує розробленню маркетингової стратегії, тобто фактори маркетингового середовища і цілі фірми; вихідні елементи - це стратегічні рішення щодо маркетингового міксу, тобто комплексу компонентів маркетингу, який включає чотири складові - товар, ціну, збут та просування.
Основне призначення маркетингової стратегії полягає в тому, щоб взаємо узгодити маркетингові цілі фірми з її можливостями, вимогами споживачів, використати слабкі позиції конкурентів та свої конкурентні переваги.
Таблица 1. Основні елементи маркетингової стратегії на думку різних вчених:
| Ж.-Ж. Ламбен | Ф. Котлер | Н. В. Куденко |
| 1. Визначення одного чи декількох цільових сегментів | 1. Цільовий ринок | Вхідні елементи: |
| 2. Обране позиціонування відносно пріоритетних конкурентів | 2. Позиціонування | 1. Маркетингові цілі |
| 3. Вимоги до гами товарів | 3. Виробництво | 2. Зовнішнє середовище |
| 4. Канали збуту | 4. Ціна | 3. Маркетингові фактори |
| 5. Ціни та умови продажу | 5. Канали розподілу | Вихідні елементи: |
| 6. Торговельний персонал, його завдання й організація | 6. Збут | 4. Товар |
| 7. Реклама та стимулювання збуту | 7. Обслуговування | 5. Ціна |
| 8. Обслуговування після продажу | 8. Реклама | 6. Збут |
| 9. Дослідження ринків | 9. Стимулювання збуту | 7. Просування |
При виході підприємства на ринок, необхідно вибрати одну з стратегій щоб підприємство мало змогу закріпитмсь наданому ринку. Основними стратегіями якими буде керуватись підприємство «ШклоПак» буде: якість виконання роботи, впровадження нового товару на ринок.
5.2 Фінансово – економічні результати, ефективність діяльності підприємства.
1. Показник продуктивності:
![]()
![]()
Продуктивність = Кількість виготовленого товару / Кількість використаних ресурсів.
Продуктивність = 48 500+1657+1379+213,20 / 48 500 = 1,07
2. Показник ефективності:
Ефективність = Ринкова вартість товару / Затрати на виробництво
Ефективність = 100 000 / 51 540 = 1,9
5.2.1 Показники рентабельності:
Показники рентабельності є відносними характеристиками фінансових результатів та ефективності діяльності підприємства.
I.Рентабельність ресурсів(активів) підприємства за прибутком від звичайної діяльності – це прибуток від звичайної діяльності, що припадає на одиницю коштів, інвестованих в активи підприємства:
![]()
де Пзвд – прибуток від звичайної діяльності підприємства,грн.;
А – середня сума активів підприємства (сировина, матеріали, паливо, електроенергія), грн.
Рзвд = 12 795 288/12 804 000 = 1,0
II. Рентабельність ресурсів за чистим прибутком визначає, який чистий прибуток припадає на одиницю коштів інвестованих в активи підприємства:
![]()
де ЧП – чистий прибуток, грн.,
А – середня сума активів підприємства (сировина, матеріали, паливо, електроенергія, вартість будівлі, транспорт, офісні меблі), грн.
ЧП = 26 400 000 – 26 400 000 * 0,3 = 18 480 000
Ра = 18 480 000 / 16 931 748 = 1,09
III. Рентабельність власного капіталу – визначає, який чистий прибуток припадає на одиницю власного капіталу підприємства:
![]()
де ВК – середня сума власного капіталу підприємства чи прирівняного до нього, грн.,
Рвк=18 480 000 / 15 000 000 = 1,23
IV. Рентабельність виробничих фондів – це чистий прибуток, що припадає на одиницю вартості виробничих фондів:
![]()
Вв.ф. – середня вартість виробничих фондів підприємства, гр.од.;
Виробничі фонди складаються з основних і оборотних. Основні фонди - це засоби праці, які мають вартість і функціонують у виробництві тривалий час у своїй незмінній споживній формі, а їхня вартість переноситься конкретною працею на вартість продукції, що виробляється, частинами в міру спрацювання. Три групи основних фондів:
Перша - будівлі, споруди, їхні структурні компоненти й передавальні пристрої;
Друга - автомобільний транспорт, меблі, побутові електронні, оптичні, електромеханічні прилади та інструменти, включаючи ЕОМ, інші машини для автоматичного оброблення інформації, телефони, інше офісне обладнання;
Третя - основні фонди, не включені до першої та другої груп.
Рвф=18 480 000 / 9 257413 = 1,99
V. Рентабельність реалізації продукції – визначає, який прибуток припадає на грошову одиницю виручки від реалізації продукції:
![]()
Де Пр – прибуток від реалізації продукції, робіт, послуг, гр.од.;
ЧВ – чиста виручка.
Рпр= 26 400 000 / 18 480 000 = 1,43
5.2.2 Показники фінансової стійкості
Фінансова стійкість підприємства визначається його спроможністю фінансувати формування своїх запасів і витрат за рахунок стабільних джерел коштів. Розглянемо основні показники фінансової стійкості.
Обсяг власних обігових коштів характеризує оборотні активи підприємства, що фінансуються за рахунок власного капіталу і довготермінових зобов’язань. Наявність власних обігових коштів означає не лише спроможність підприємства фінансувати свою поточну діяльність, а й можливість розширювати виробництво продукції. Власні обігові кошти підприємства визначають за формулою:
ВОК = (ВК + ДЗ ) –Вн.а ,
де ВК – власний і прирівняний до нього капітал підприємства на початок (кінець) періоду, гр.од.;
ДЗ – довготермінові зобов’язання підприємства на початок (кінець) періоду, гр.од.;
Вн.а - вартість необоротних активів на початок (кінець) періоду, гр.од.
ВОК = (15 000 000 + 4 792 288 ) – 7 920 000 = 11 872 288
5.2.3 Показники ліквідності
Ліквідність характеризує спроможність майна підприємства швидко перетворитись на грошові кошти для негайного погашення його поточної заборгованості. Залежно від ступеня ліквідності, тобто швидкості перетворення на грошові кошти, розрізняють певні показники ліквідності.
Коефіцієнт абсолютної ліквідності відображає частину поточної заборгованості, яку підприємство може погасити найближчим часом. Розраховують цей коефіцієнт за формулою:
![]()
де ГКЕ – грошові кошти та їх еквіваленти на початок (кінець) періоду, гр.од.;
ПЗ – поточна заборгованість на кінець періоду, гр.од.
Значення коефіцієнта абсолютної ліквідності повинно перебувати в межах 0,2…..0,35. Якщо ж Кабс.лікв. ≤ 0,2, то це означає, що підприємству не вистачає грошових коштів на покриття невідкладних зобов’язань.
Кабс.лікв=1 190 000 / 1 345 247 = 0,8
Висновок:
Отже, як видно з розрахунків, підприємство «ШклоПак», буде перспективним, впровадження нового товару дозволить закріпитись на ринку та підвищити свою конкурентоспроможність.
Розділ VI. Формування місії та стратегії організації в ринковому середовищі
6.1 Стратегія підприємства
Однієї і тієї ж цілі можна досягнути різними методами та засобами. У зв'язку з цим, звісно, виникає питання: як намічена ціль може бути практично реалізована та в який спосіб. Намагаючись надати відповідь на ці питання, кожне підприємство повинне розробити декілька варіантів стратегії. Стратегія становить генеральну програму діяльності підприємства, в основі якої лежить визначення основних, довгострокових цілей та задач, розробка напрямків його діяльності, визначення необхідних ресурсів для досягнення поставлених цілей та порядку їх використання.
Процес розробки стратегії становить собою стратегічне планування, в якому виявляються головні цілі та задачі, їх ресурсне та фінансове забезпечення, шляхи й методи досягнення цілей та рішення виникаючих проблем.
Значення стратегічного планування визначається тим, що воно займає центральне місце у системі стратегічного керування.Досвід західних та східних фірм демонструє, що більшість фірм використовує стратегічне планування для того, щоб змінити себе, покинути безнадійний внутрішній стан.
Стратегія характеризується комплексністю підходу до діяльності підприємства та, на відміну від бізнес-плану, не має чітких часових меж.
Усі стратегії можна класифікувати за наступними ознаками:
1. За масштабом розробки: загальні (генеральні) та підтримуючі (допоміжні — за напрямком діяльності, виду ресурсів).Загальна (генеральна) стратегія розвитку підприємства пов'язана з діяльністю підприємства в цілому, використанням усіх видів ресурсів та орієнтована на виконання його головної цілі. Функціональні (допоміжні) види стратегій забезпечують реалізацію генеральної стратегії підприємства за окремими напрямками його діяльності (маркетингова, фінансова, виробнича та ін.), видам діяльності: стратегія основної діяльності в торгівлі, наприклад, пов'язана з реалізацією товарів та обслуговуванням покупців — стратегія розвитку товарообігу; стратегія неторговельної діяльності — ремонтно-будівної, транспортної, виробничої та ін. (використання окремих видів ресурсів); стратегія формування та використання трудових ресурсів, матеріально-технічної бази, фінансових ресурсів та ін.
2. За функціональним принципом (товарні, управління доходами, витратами, прибутком, стимулювання персоналу та ін.).
3. За терміном реалізації (короткострокові — до 1 року, середньострокові — на 3-5 років, довгострокові).
4. За темпами розвитку — прискореного росту, обмеженого росту, зберігання стану, або скорочення обсягів діяльності.
5. За способами забезпечення розвитку — за рахунок концентрованого підходу, диверсифікації або інтеграції діяльності.
6. За стадіями життєвого циклу — стратегія на стадії народження підприємства, його дитинства, юності, ранньої зрілості, повної зрілості, стадії старіння.
Формування стратегії становить складний творчій процес. Він потребує високої кваліфікації та компетентності виконавців.
Важливо відзначити, що одні автори називають стратегією діяльності підприємства, інші — стратегією розвитку підприємства. Діяльність підприємства завжди повинна бути спрямованою на його розвиток. Якщо підприємство потрапило за своїм життєвим циклом на стадію старіння, тоді головною ціллю буде зберігання позицій та забезпечення стабільності господарчої діяльності — тобто, може бути намічена стратегія без помітного росту.Таким чином, більш широке поняття має "Стратегія діяльності підприємства".
Етапи розробки стратегії:
1. Уточнення місії підприємства.
2. Оцінка поточної обстановки функціонування підприємства. Оцінка його слабих та сильних сторін; його конкурентоспроможність. Вибір найбільш вірогідних напрямків розвитку підприємства.3. Визначення цілей та ключових проблем підприємства для досягнення необхідної цілі.4. Розробка альтернативних варіантів розвитку підприємства.5. Оцінка та вибір стратегії розвитку підприємства.6. Складання програми дій. Розрахунок обсягів господарчо-фінансової діяльності.7. Моніторинг реалізації стратегії та, при необхідності, її коректування.Процес розробки стратегії становить собою стратегічне планування, в якому виявляються головні цілі та задачі, їх ресурсне та фінансове забезпечення, шляхи й методи досягнення цілей та рішення виникаючих проблем.Стратегія підприємства знаходиться в залежності від стадій його життєвого циклу, стану і перспектив ринку, ринкових позицій підприємства, перспективних можливостей.В залежності від того, на якій стадії життєвого циклу знаходиться підприємство, його керівництво може обрати в якості базової стратегії:- стратегію виживання (захисту);- стратегію стабілізації (наступаючо-захисна);- стратегію росту (наступаюча), котра вважається найбільш ефективною.
Процес виробки стратегії не завершується якоюсь негайною дією. Звичайно, він закінчується установленням загальних напрямків, просування по яких забезпечить ріст та закріплення позицій фірми.Сформульована стратегія повинна бути використаною для розробки стратегічних проектів, методів пошуку. Роль стратегії у пошуку складається в тому, щоб, по-перше, зосередити увагу на певних ділянках або можливостях, по-друге, відкинути всі інші можливості як несумісні зі стратегією.Необхідність у наданій стратегії відкидається, як тільки реальний хід подій виведе організацію на бажаний розвиток.В ході формулювання стратегій не можна передбачити всі можливості, які відкриються при складанні проекту конкретних заходів. Тому змушені користуватися дуже узагальненою, неповною та неточною інформацією про різні альтернативи.При появі більш точної інформації може бути поставлена під сумнів обґрунтованість первісної стратегії. Тому є необхідним зворотний зв'язок, який дозволяє забезпечити своєчасне переформулювання стратегії.Процес реалізації стратегії може бути поділено на два великих етапи:1. процес стратегічного планування — виробіток набору статей, починаючи від базової стратегії підприємства та закінчуючи функціональними стратегіями та окремими проектами;2. процес стратегічного керування — реалізація визначеної стратегії у часі, переформулювання стратегії на підставі нових обставин.Для оцінки перспективних можливостей підприємства в сучасній економічній літературі використовується поняття "стратегічний потенціал" та "конкурентний статус підприємства".Стратегічний потенціал характеризується трьома моментами:по-перше — наявністю та станом реальних ресурсів підприємства, його матеріальні, трудові, інформаційні, фінансові ресурси;по-друге — ступенем відповідності ресурсного потенціалу стратегічним цілям і задачам підприємства;по-третє — здатність ресурсного потенціалу забезпечити стійкість до впливу зовнішнього середовища та його гнучкість щодо внутрішньофірмових змін; іншими словами — здатність адаптуватися.
6.2 Цілі та місії підприємства
Ціль становить кількісні та якісні характеристики функціонування підприємства, досягнення яких воно прагне. Підприємства можуть намічати різні цілі. Це залежить від зовнішніх та внутрішніх факторів. Усе різноманіття цілей систематизується та класифікується за наступними ознаками.
1. за змістом та спрямованістю цілей (економічні, соціальні, власні);2. за функціональною сферою реалізації цілей (маркетингові, фінансово-економічні, інвестиційні, інноваційні, організаційні);3. за рівнем досягнення (необхідні, бажані);4. за часовим фактором (перспективні, поточно-першочергові);5. за відношенням до головної цілі (кінцеві та проміжні);6. за характером оцінки (кількісні та якісні);7. за ступенем впливу зовнішніх факторів (цілі, пов'язані із зовнішніми факторами, та цілі, не пов'язані із зовнішніми факторами, а пов'язані з використанням внутрішніх резервів);8. за складом та характером інтересів (цілі підприємства, суспільства).
Для відображення цілей навіть дуже простої організації треба використати комплексний підхід, тобто створити систему цілей, яка б відбивала потреби підприємства з точки зору як зовнішнього, так і внутрішнього середовища.
Розглядаючи це питання, можна орієнтуватися на різні підходи щодо ролі та значення підприємства у суспільстві. На рис. подано два варіанти системної моделі цілей організації залежно від зазначених підходів.
І. Організація — «економічна одиниця» (М. Фрідман)

ІІ. Організація — «соціальна одиниця» (К. Дейвіс)

Рис. Концепції системної моделі цілей організації

Рис. «Дерево цілей» організації

Рис. Побудова «дерева цілей» методом дезагрегації

Рис. Побудова «дерева цілей» методом забезпечення необхідних умов
Різновиди цілей підприємства.
| Фінансові цілі | Стратегічні цілі |
| Пришвидшений темп зростання доходів | Збільшення частки ринку |
| Вищі дивіденди | Підвищення якості продукції |
| Пришвидшене зростання грошових надходжень | Вище та надійніше становище підприємства у галузі |
| Ширші межі отримання прибутку | Поліпшення обслуговування клієнтів |
| Збільшення прибутку на вкладений капітал | Розширення та поліпшення номенклатури продукції |
| Підвищення надійності облігацій та ставок за кредитами | Зниження витрат виробництва порівняно з основними конкурентами |
| Збільшення припливу грошових ресурсів | Збільшення можливостей зростання |
| Підвищення ціни акцій | Підвищення репутації підприємства серед клієнтів |
| Визнання стійкого фінансового становища підприємства | Повне задоволення потреб клієнтів |
| Диверсифікованіша база для отримання прибутку | Підвищення конкурентоспроможності на ринках |
| Стабільний дохід у періоди економічних спадів | Визнання підприємства лідером |
Місія може бути обгрунтована та визначена лише за умови чіткого уявлення про продукцію чи послугу, яка може знайти збут на конкретному сегменті ринку, про організаційнотехнологічні можливості виготовлення конкурентоспроможного продукту, про існування суспільної відповідальності фірми, що поряд з ідеєю самовизначення та формування неповторного позитивного іміджу є основою філософії існування підприємства в сучасних умовах.
Місія, сформульована на таких засадах, відіграє роль сили, що об’єднує зусилля працівників, дає змогу сполучити різні цілі та інтереси різних груп людей (наприклад, акціонерів, менеджерів, працівників усіх ланок, профспілок), визначити загальний діапазон обов’язків виконавців, що беруть участь у діяльності підприємства; й розумні передумови розподілу ресурсів з урахуванням системних і локальних пріоритетів, а також оцінити дію окремих факторів та елементів зовнішнього й внутрішнього середовища під єдиним «кутом зору» (сприяють вони чи ні виконанню місії), тобто скласти загальну «панораму бізнесу».
Місія, як правило, являє собою короткий вислів, що добре запам’ятовується. Добре обізнані фахівці рекомендують використовувати прості речення, зрозумілі працівникам і людям, що існують за межами підприємства. Головне — це сформулювати, яку потребу задовольняє фірма, хто «цільовий споживач», чим кращі товари порівняно з товарами інших фірм (тобто чому треба купувати ці, а не інші товари). Можна сказати, що місія — це своєрідна текстова реклама, хоча її роль та значення для підприємства виходять далеко за межі рекламного оголошення.
Місія — генеральна мета, яка стосується її довгострокової орієнтації на якийнебудь вид діяльності та відповідне місце на ринку; при чому «місце на ринку» розглядається з таких точок зору: які групи споживачів обслуговуються, які функції при цьому виконуються, які виробничі процеси використовуються.
Існують чіткі правила вибору місії (генеральної мети) підприємства чи організації, які дають змогу досить жорстко пов’язати об’єктивні та суб’єктивні її сторони.
Правило 1. Забезпечити відкриту розробку та обговорення мети серед співробітників та інших зацікавлених у діяльності підприємства осіб (за допомогою формальних процедур, що дає змогу компенсувати наслідки змін у складі співробітників і враховувати альтернативи в ході формулювання та коригування мети).
Правило 2. Встановити, оцінити та обговорити альтернативні варіанти мети в межах організації (що допомагає співробітникам усвідомити, чим є насправді організація, де вони працюють).
Правило 3. Визначити в процесі обговорення прихильників і супротивників. Перші об’єднуються навколо мети, інші — усвідомлюють, що їхні джерела економічного та морального задоволення перебувають за межами цієї організації, і приймають рішення про звільнення.

Рис. Роль місії в організації.
6.3 Стратегія підприємства «ШклоПак»
Підприємство «ШклоПак» буде орієнтоване на загальну (генеральну) стратегію розвитку підприємства, що пов'язана з діяльністю підприємства в цілому, використанням усіх видів ресурсів та орієнтована на виконання його головної цілі.
Взаємозв'язок стратегій підприємства:

Виробнича функція — це економіко-математичний метод аналізу господарської діяльності як на макро-, так і на мікрорівні, який дає змогу прогнозувати економіку, виявляти шляхи підвищення ефективності виробництва. Метод виробничої функції дає змогу встановлювати функціональну залежність між затратами факторів виробництва та результатами.
Під фінансовою стратегією слід розуміти формування системи довгострокових цілей фінансово-господарської діяльності і вибір найефективніших шляхів їх досягнення, зважаючи на тенденції розвитку фінансового ринку.
Соціальна стратегія підприємства — генеральна лінія, що охоплює систему заходів у галузі соціального розвитку колективу й охорони навколишнього середовища як компонентів системи менеджменту. Соціальна стратегія спрямована на досягнення цілей у галузі створення нормальних умов праці та відпочинку працівників, гарантування безпеки на виробництві, в дорозі і побуту, задоволення й розвитку потреб працівників, зміцнення їхнього здоров'я, збереження екосистеми.

Рис. Етапи процесу стратегічного управління.
6.4 Цілі та місії підприємства «ШклоПак»
Цілі підприємства «ШклоПак» залежать від зовнішніх та внутрішніх факторів. Тобто, згідно класифікації цілей за змістом та спрямованістю цілей – економічні; за функціональною сферою реалізації цілей – інноваційні; за рівнем досягнення – бажані; за часовим фактором – перспективні; за відношенням до головної цілі - кінцеві; за складом та характером інтересів - цілі підприємства.
А також, фінансові цілі підприємства складають - пришвидшений темп зростання доходів, ширші межі отримання прибутку, збільшення прибутку на вкладений капітал, визнання стійкого фінансового становища підприємства. Стратегічні - підвищення якості продукції, вище та надійніше становище підприємства у галузі, розширення та поліпшення номенклатури продукції, підвищення конкурентоспроможності на ринках.
Місії підприємства виробництво продукції для задоволення потреб ринку і одержання завдяки цьому максимально можливого прибутку.

Рис. Взаємозв'язок і узгодженість місії, множинних цілей видів діяльності піджприємства(фірми).
Загальні висновки
1. Обґрунтування організаційно-правових форм
Організаційна (організаційно-правова) форма передбачає класифікацію підприємств залежно від форм власності, визначених Конституцією України і Законом України "Про власність", та способів розмежування у підприємствах окремих форм власності і управління майном. Юридичне значення цього полягає в урахуванні в законодавстві, тобто в Законі України "Про підприємства в Україні" і спеціальних законах, особливостей правового становища підприємств окремих видів.
Товариство з обмеженою відповідальністю ТОВ «ШклоПак», має статутні фонди які поділені на частки (паї), розміри яких визначаються установчими документами, і несе відповідальність за своїми зобов'язаннями тільки своїм майном. Учасники товариства, які повністю сплатили свої вклади, несуть ризик збитків, пов'язаних з діяльністю товариства, у межах своїх вкладів.
Товариство з обмеженою відповідальністю має статутний фонд, поділений на частки. Ці частки є відображенням вкладів, що їх вносять учасники при створенні товариства з обмеженою відповідальністю. Відповідно до статутного фонду визначається мінімальний розмір майна товариства, який гарантує інтереси його кредиторів. Згідно з ч. 2 ст. 144 ЦК України не допускається звільнення учасника товариства з обмеженою відповідальністю від обов'язку внесення вкладу до статутного фонду товариства, у тому числі шляхом зарахування вимог до товариства.
Розмір статутного фонду товариства повинен становити не менше суми, еквівалентної 100 мінімальним заробітним платам, виходячи із ставки мінімальної заробітної плати, діючої на момент створення товариства з обмеженою відповідальністю (ст. 52 Закону України "Про господарські товариства").До моменту державної реєстрації товариства з обмеженою відповідальністю його учасники повинні сплатити не менше ніж 50% суми своїх вкладів. Внесення до статутного фонду грошей підтверджується документами, виданими банківською установою. Порядок оцінки інших вкладів (у вигляді майна, майнових прав тощо) визначається в установчих документах товариства. Частина статутного фонду, що залишилася несплаченою, підлягає сплаті протягом першого року діяльності товариства. Якщо учасники протягом першого року діяльності товариства не сплатили повністю суму своїх вкладів, товариство повинно оголосити про зменшення свого статутного фонду і зареєструвати відповідні зміни до статуту у встановленому порядку або прийняти рішення про ліквідацію товариства. Якщо після закінчення другого чи кожного наступного фінансового року вартість чистих активів товариства з обмеженою відповідальністю виявиться меншою від статутного фонду, товариство зобов'язане оголосити про зменшення свого статутного фонду і зареєструвати відповідні зміни до статуту в установленому порядку, якщо учасники не прийняли рішення про внесення додаткових вкладів. Якщо вартість чистих активів товариства стає меншою від визначеного законом мінімального розміру статутного фонду, товариство підлягає ліквідації.
Установчим документом товариства з обмеженою відповідальністю є статут. Він повинен містити відомості про найменування та місцезнаходження, чітко вказувати на його вид, предмет і цілі його діяльності, склад засновників та учасників, склад і компетенцію органів товариства та порядок прийняття ними рішень, розмір статутного фонду, розмір і порядок формування резервного фонду, порядок передання (переходу) часток у статутному фонді, розподілу прибутків та збитків, умови реорганізації та ліквідації товариства. Згідно зі ст. 145 ЦК України вищим органом товариства з обмеженою відповідальністю є загальні збори його учасників.
Загалом організаційна форма і вид визначають суб'єкта, який має право присвоювати результати діяльності підприємства. З точки зору організаційної форми ст. 2 Закону України "Про підприємства в Україні" виділяє такі види підприємств: приватні, колективні, господарські товариства, підприємства, засновані на власності об'єднання громадян, комунальні, державні (в тому числі казенні). Слід мати на увазі, що відповідно до чинного на момент створення підприємств законодавства в Україні були створені і діють до цього часу й інші види підприємств: індивідуальні, сімейні, спільні (в тому числі з іноземними інвестиціями) підприємства.
2. Статутний фонд підприємства
Частина 1 ст. 115 Цивільного кодексу України № 435-IV від 16.01.2003 р. (далі - ЦКУ) зазначає, що товариством є засноване одним або кількома особами товариства, статутний капітал якого поділений на частки, розмір яких встановлюється статутом. Згідно з ч. 1 ст. 144 ЦКУ статутний капітал товариства складається з вартості вкладів його учасників. Відповідно до статутного капіталу визначається мінімальний розмір майна товариства, який гарантує інтереси його кредиторів.
До моменту державної реєстрації товариства з обмеженою відповідальністю потрібно сформувати статутний фонд мінімум на 50%.
У випадку коли статутний фонд товариства формується за рахунок грошових коштів, в установі банку необхідно відкрити поточний рахунок для формування статутного фонду. Якщо ж статутний фонд товариства формується за рахунок майнових внесків засновників, то поточний рахунок для формування статутного фонду відкривати не потрібно. А документом, який підтверджує внесення засновником свого вкладу до статутного фонду товариства, є акт приймання-передачі майна засновників до статутного фонду товариства.
3. Персонал підприємства, ефективність обраної політики
Набір являє собою створення певного резерву на плановані посади, як із зовнішніх, так і з внутрішніх джерел. Зовнішні джерела – це і кадрові агентства, і центри зайнятості, також фірма може помістити оголошення в ЗМІ про свої потреби у фахівцях. Часто організації пропонують людям, що вже працюють на підприємстві порекомендувати своїх близьких і знайомих. Такий спосіб є не тільки дешевим, але і дає можливість працівникам приймати участь у вирішенні проблем фірми. Внутрішніми джерелами є люди, що вже працюють на певних посадах, але мають більші здібності, ніж можуть проявити в даний момент. Просування по службі сильно мотивує працівника, а організації не приходиться навчати нового фахівця багатьом нюансам роботи в організації. Ризик при внутрішній кадровій політиці може полягати в тім, що в організацію не надходять нові люди зі свіжими поглядами й ідеями і це може призвести до застою.
Основною проблемою при підборі кандидатів є невідповідність майбутньої роботи очікуванням кандидата. Варто прикласти всі зусилля, щоб якнайближче ознайомити майбутнього працівника з його майбутньою роботою, як з її позитивними сторонами, так і з негативними. Завдяки заходам, спрямованим на вирішення цієї проблеми, спостерігається зниження плинності кадрів і збільшення задоволеності роботою в службовців.
При підборі кадрів керівництво відбирає зі створеного в ході набору резерву кандидатів, що найбільше підходять для роботи в організації. Використовують такі методи добору: співбесіди, тестування, іспити, створення центрів оцінки кандидатів, у яких застосовуються методи моделювання конкретних ситуацій. У таких центрах кандидати випробуються за допомогою ігор, їм пропонуються конкретні ситуації для виявлення в них здібностей до прийняття рішень і т.д.
Кількісні оцінки кадрового потенціалу визначаються за такими показниками, як чисельність персоналу, професійно- кваліфікаційний склад, половозрастной склад, укомплектованість по з, спеціальностям і професіям, співвідношення середнього розряду робіт і робітників, і ін.
Якісні характеристики кадрового потенціалу дають оцінку колективу організації в цілому: організаційна культура; корпоративний дух; наявність формальних і неформальних груп; соціально-психологічний клімат.
Індивідуальні характеристики кадрового потенціалу служать для оцінки професійно-особистісних якостей окремих керівників, фахівців і працівників: кваліфікація, професійний досвід, якості менеджера, психофізіологічні особливості, володіння ноу-хау, конкурентноздатність на ринку праці.
4. Матриця SWOТ-аналізу
СВОТ-аналіз (SWOT: S — strengths — сильні сторони, W — weaknesses — слабкі сторони, O — opportunities — можливості, T — threats — загрози).
СВОТ-аналіз передбачає:
- аналіз сильних сторін підприємства: його позитивні характеристики (наприклад, ефективна технологія, вигідне розташування, наявність ноу-хау, патентів, висока кваліфікація персоналу, досвід господарювання, вигідні партнери, домінуюче становище на ринку, лідерство за рівнем витрат або наявність власної збутової мережі, тобто всі властивості, притаманні даному підприємству, що можуть створити сприятливі умови для успіху);
- аналіз слабких сторін підприємства: всі ті характеристики підприємства, які за певних умов можуть ускладнити підприємницьку діяльність, створити загрозу успіху та підвищити ризик (наприклад, низька кваліфікація персоналу, відсутність досвіду господарювання, застаріла технологія, низький попит на продукцію, нестача фінансів, капіталу, відсутність ефективного менеджменту, потужні конкуренти, низька ринкова частка);
- аналіз можливостей підприємства: наявність певних умов або характеристик, властивих підприємству, які можуть забезпечити успіх (наприклад, можливість збільшення ринкової частки, несприятливий час для конкурентів, зростання попиту на продукцію, можливість диверсифікації діяльності, незначний ризик діяльності, можливості укладення вигідних довгострокових контрактів тощо);
- аналіз загрозливих чинників для підприємства: наявність умов, які унеможливлюють діяльність підприємства або значно її ускладнюють (наприклад, несприятливе законодавство, неврегульовані юридичні питання, ненадійні партнери, вихід на ринок потужного конкурента, орієнтація на товар, який має тимчасовий попит, несприятливі погодні прогнози, зниження попиту, поширення хвороб, проти яких немає ефективного засобу боротьби тощо).
Кваліфіковане застосування СВОТ-аналізу дозволяє правильно зорієнтувати підприємство та його діяльність, обрати відповід-ні тактику і стратегію. Ця методика широко використовується в умовах ринкової економіки.

Матриця SWOT-аналізу підприємства «ШклоПак»
Сильністорони: · ефективна технологія · впровадження нового товару · вигідні партнери · власна збутова мережа · висока кваліфікація персоналу |
Слабкі сторони: · низький попит на продукцію · потужні конкуренти · низька кваліфікація персоналу |
Можливості: · зростання попиту на продукцію · обґрунтоване законодавство · можливості укладення вигідних довгострокових контрактів · можливість диверсифікації діяльності |
Загрози: · несприятливе законодавство · високі темпи інфляції · вихід на ринок потужного конкурента · ненадійні партнери |
5. Точка беззбитковості підприємства
(ПВ) Постійні витрати підприємства у місяць = 1 183 000 грн.
(ЗВ) Змінні витрати на одиницю продукції (100 шт) = 57 100 грн.
(Ц) Ціна продукції (100 шт) = 100 000 грн.
Отже, кількість продукції, яка забезпечить беззбиткову роботу підприємства вираховуємо за формулою:
Беззбитковий обсяг (БО) = ПВ / (Ц-ЗВ) = 1 183 000 /(100 000 – 57 100) = 27,6 (шт)
Тобто, беззбитковий обсяг реалізації продукції становить 27600 штук метало пластикових вікон.
Отже, беззбиткова ціна при обсязі виробництва (ОВ) 2200 шт у місяць визначається за формулою:
Беззбиткова ціна = (ОВ*ЗВ + ПВ) / ОВ = (2200*57 100 + 1 183 000) / 2200 = 57637,7 грн.

6. Перспективи підприємства.
Підприємництво-це провідний сектор ринкової економіки, який забезпечує насиченість ринку товарами та послугами, сприяє здоровій конкуренції, створює новий прошарок-підприємець-власник. Воно базується н самостійній, ініціативній, систематичній, на власний ризик, діяльності по виробництву продукції.
Перспективи підприємства, залежать від ситуації на ринку, кількістю конкурентів, наявністю попиту на продукцію тощо. Якщо умови сприятливі для діяльності фірми, то впровадження нового товару, поліпшення якості товару та встановлення привабливої ціни, неодмінно виведе фірму на вищій рівень, і тоді можна з впевненістю сказати, що фірма є перспективною.
Похожие рефераты:
Шпоры по финансовому менеджменту
Вопросы,ответы и шпоры по специальным дисциплинам
Шпаргалки к госэкзаменам по Банковсому Делу
Организация и планирование производства
Финансы и Кредит (Шпаргалка МЭСИ)
Теоретичні основи теплотехніки
Шпора по финансовому менеджменту
Шпаргалки по геометрии, алгебре, педагогике, методике математики (ИГПИ)
Особливості говіркового мовлення Житомирської області
Экзаменационные вопросы по курсу "Международная торговля" \укр\
