| Скачать .docx |
Курсовая работа: Организация оплаты труда
Содержание
Введение
1 Теоретические основы организации оплаты труда
1.1 Оплата труда как экономическая категория
1.2 Основные типы организации оплаты труда
1.3 Формы и системы оплаты труда
2 Характеристика предприятия ООО «Ленат»
2.1. Организационно-экономическая характеристика предприятия
2.2. Оценка трудовых ресурсов предприятия
2.3. Анализ организации и динамики оплаты труда работников
3 Основные направления совершенствования оплаты труда на ООО «Ленат»
3.1. Оценка профессионально-квалификационногоуровня работников
3.2. Комплексные предложения по совершенствованию оплаты труда работников предприятия
Заключение
Список использованных источников
Заключение
Введение
Актуальность темы исследования. Эффективное функционирование предприятия зависит от большого количества факторов. При этом учитываются не только различные источники расходов и доходов, но и функционирование внутренних подразделений организации. Одним из основных аспектов эффективности организации является грамотная система оплаты труда. Основной целью этого пункта является оптимизация труда работников. Форма и объем заработной платы должны напрямую зависеть от выполняемого работниками объема труда.
Формирование эффективной системы организации труда, отвечающей требованиям рыночной экономики, предполагает анализ факторов ее развития. Главным фактором, определяющим систему организации труда выступает техническая база производства. Изменения, вызываемые научно-техническим прогрессом в технической базе производства и профессионально-производственных характеристиках рабочей силы, с одной стороны, и объективно обусловленный рост требований работников к организации труда, его содержанию, условиям и оплате, – с другой, актуализировали проблему поиска прогрессивных форм организации труда, соответствующих параметрам техники и характеристикам рабочей силы.
Именно поиск наиболее эффективных способов оплаты труда обусловил необходимость изучения данной проблемы, которая легла в основу моей дипломной работы.
Степень разработанности. Исследованию оплаты труда (заработной платы) посвящено большое количество монографий и статей как зарубежных, так и отечественных экономистов. Выдающиеся представители основных школ экономической мысли: У. Петга, А. Смит, Д. Рикардо, К. Маркс, Дж. Б. Кларк, А. Маршалл, Дж.М. Кейнс, Г. Беккер, - внесли большой вклад в обоснование сущности, факторов и функций оплаты труда.
Исследованию состояния, проблем оплаты труда, ее влияния на уровень и качество жизни посвящены работы В.Н. Бобкова, Н.А. Волгина, Б.В. Ракит-ского, Л. А. Костина, Ю.П. Кокина, А.Л. Жукова, В.Ф. Манера, Г.А. Яременко, Д. Г. Черника, Е.Д. Катульского, И.В. Ильина, Д. Линдсей, М. Коррела, М. Элберта и др.
Вместе с тем, хотя в ряде работ рассматриваются макро- и микроэкономические аспекты функций оплаты труда, отсутствуют исследования, посвященные теоретическому обоснованию содержания макро- и микроэкономических функций оплаты труда, анализу их взаимосвязи и взаимообусловленности.
Целью данного исследования является изучение системы оплаты труда на предприятии ООО «Ленат» и разработка способов ее совершенствования.
Для осуществления этой цели необходимо решить следующие задачи:
1. Раскрыть сущность понятия «организация оплаты труда».
2. Отразить факторы, которые оказывают влияние на систему оплаты труда в организации.
3. Привести пример системы оплаты труда на примере организации ООО «Ленат».
4. Охарактеризовать существующие методы повышения эффективности системы оплаты труда на предприятии.
5. Разработать пути совершенствования системы оплаты труда.
Объектом исследования является система оплаты труда на предприятии.
Предметом исследования являются различные подходы к совершенствованию организации оплаты труда.
Теоретической и методологической основой данного исследования послужили концепции и гипотезы, представленные и обоснованные в классических и современных трудах отечественных и зарубежных экономистов, реализующих экономико-теоретический и эмпирический подходы к анализу системы оплаты труда. В ходе разработки системы организации оплаты труда использовались данные, предоставленные предприятием ООО «Ленат», а так же различные монографии и периодические издания.
Инструментально-методический аппарат исследования. При проведении анализа и обобщения практического и теоретического материала применялись методы сопоставления, структурно-функционального анализа, единства исторического и логического, статистический метод, которые обеспечили охват большинства сторон столь важного вопроса.
Научная новизна. В дипломной работе приведены новые пути совершенствования системы организации оплаты труда.
Практическую значимость данного исследования обуславливает поиск новых направлений оптимизации работы персонала на предприятии, а так же повышением эффективности системы оплаты труда.
1 Теоретические основы организации оплаты труда
1.1 Оплата труда как экономическая категория
Заработная плата трактуется в разных учебниках по-разному, что создает трудности действительного рассмотрения этого термина. Однако за последние годы, с развитием и изменениями условий хозяйствования круг наиболее подходящих понятий значительно сузился. Так, например, трактовка заработной платы как доли общественного продукта, который распределяется на предприятии между отдельными сотрудниками, устарело, в связи с тем, что появились новые критерии оплаты труда. В Законе, принятом в России о предприятиях и предпринимательской деятельности заработная плата предстает как доля работника в доходе фирмы. То есть заработная плата предстает не как цена рабочей силы, возникающую при взаимодействии работников и руководства.
Таким образом, оплата труда – это вознаграждение работнику, за выполненную работу и соблюдение должностных обязанностей.
Размер оплаты труда определяется работодателем в зависимости от выполненной работы, а точнее от ее качества и количества. В этом случае максимального предела нет.
Различия в оплате труда определяются в зависимости от сложности выполняемых задач, количества поставленных задач и степени их выполнения.
В системе оплаты труда используются различного рода ставки, оклады, премии, бестарифные системы. Выбор той или иной системы зависит от выбора работодателя.[1]
Системы оплаты труда, вид, размеры тарифных ставок, премий, окладов, поощрительных выплат, а так же их размеры и соотношения в различных профессиях и категориях учреждений, предприятий фиксируются в договорах либо в контрактах и устанавливаются самостоятельно организацией.
Существует основная оплата труда. Под ней принято понимать:
· Различного рода надбавки, в том числе и премии.
· Оплата простоев, не по вине работника.
· Оплата труда за отработанное время, а точнее за качество и количество сделанной работы по повременной, прогрессивной и сдельной оплате.
· Доплата за работу в сверхурочное время, праздники и проч.
Так же дополнительные выплаты, в соответствии с законодательством о труде и коллективными договорами, включают в себя:
· Оплата выходных пособий;
· оплата отпусков;
· оплата перерывов в работе кормящих матерей;
· оплата времени выполнения общественных и государственных обязанностей.
В систему оплаты труда на предприятии входит три основных элемента:
· Формы оплаты труда;
· тарифная система;
· нормирование труда.
Тарифная система позволяет качественно оценить труд, нормирование - учесть количество затраченного труда, а формы - определить порядок расчета заработной платы.
Тарифная система служит основой организации заработной платы рабочих и служащих и строится в зависимости от условий труда, квалификации работающих и формы оплаты труда.
Нормирование труда предусматривает установление меры затрат труда на изготовление единицы изделия (шт., м, т), за единицу времени (час, смену, месяц) или выполнение заданного объема работы в определенных организационно-технических условиях.[2]
Нормы труда (нормы выработки, времени, обслуживания, численности и другие нормы) устанавливаются для работников в соответствии с достигнутым уровнем техники, технологии, организации производства и труда.
Норма выработки устанавливает количество натуральных единиц продукции (шт., м, т), которое должно быть изготовлено и получено в нормальных условиях работы за единицу времени (час, смену, месяц).
Норма времени предусматривает время, необходимое для выполнения работы в определенных организационно-технических условиях (мин., ч).
В условиях рыночных отношений заработная плата как форма стоимости рабочей силы может быть определена как основная часть объема жизненных средств', который должен получить работник в обмен за свой труд. Этот объем жизненных средств должен быть приемлем как для эффективного функционирования производства, так и для обеспечения расширенного воспроизводства рабочей силы. Распределяться между работниками он (объем) должен в соответствии с количеством и качеством затраченного ими труда, реальным трудовым вкладом и зависеть от конечных результатов работы организации.
Заработная плата как экономическая категория относится к сфере товарно-денежных отношений и используется при найме рабочей силы, т.е. при покупке товара "рабочая сила".
На рынке труда работа определенного количества и качества вознаграждается в соответствии с тем, сколько потребители готовы заплатить за произведенную продукцию. Заработная плата, таким образом, не зависит от произвольных решений. Ее выплата-это не милость со стороны нанимателя, а деловая операция, покупка "фактора производства". Цена труда - рыночное явление, зависящее от спроса потребителей на блага и услуги.
В неискаженной рыночной экономике оценка усилий каждого индивида отделена от каких-либо соображений личного характера и может быть поэтому свободной как от пристрастия, так и от неприязни. Рынок выносит приговор товарам, а не людям.
Изменения в стоимости труда могут резко сказаться па суммарных издержках, на прибыли, на конечной цепе продукта или услуги. Поэтому цена труда имеет серьезное влияние на использование труда как ресурса. Она помогает понять, где и какой труд следует использовать, следует ли его использовать вообще или целесообразно его заменить капиталом.
Теории заработной платы прошли определенные этапы в своем развитии. Одна из первых попыток теоретического осмысления природы заработной платы была выполнена в терминах "теории существования", далее получила развитие (теория фонда заработной платы"; дальнейшим этапом явилась "остаточная теория заработных плат". Сегодня существует широко распространенное мнение, что заработная плата определяется сделкой. В "теории сделки" утверждается, что заработная плата устанавливается в интервале между максимумом, который согласен платить работодатель, и минимумом, на который согласен работник. Дальнейшее развитие теории заработной платы связано с развитием "теории предельной производительности", и это на сегодня наиболее широко признаваемая теория. В рамках "теории предельной производительности" обычно рассматривается ряд предположений, в частности развитие заработной платы в условиях чистой конкуренции, несовершенной конкуренции и т.д[3] .
Тем не менее практики вес время задают вопросы: действительно ли зарплата определяется предельной производительностью работника? Действительно ли работодатель не допустит найма дополнительных работников до тех пор, пока это не принесет повышенной прибыли?
На реальном рынке труда вопрос решается значительно сложнее. Заработная плата определяется спросом и предложением, коллективными сделками, законодательством и многим другим. Можно получить столько же вариантов ответов па эти вопросы, скольким предпринимателям Вы их задали.
Некоторые фирмы утверждают, что они платят заработную плату, отвечающую представлениям о нормальном уровне жизни и даже приспосабливают оплату труда к индексу потребительских цеп. Другие фирмы заявляют, что они при определении уровня заработной платы ориентируются на тот уровень, который имеют работники в похожих фирмах. Наконец, существуют фирмы, которые утверждают, что зарплата в их фирмах отвечает нормам оплаты, принятым в обществе. Есть фирмы, представители которых заявляют, что главное в оплате труда - это эффективная дифференциация заработной платы по профессиональным и квалификационным группам. Решают фирмы и такие вопросы, как различие в заработной плате по регионам, между городскими и сельскими районами. Вопреки законодательству некоторые фирмы вводят различия в уровнях зарплаты между мужчинами и женщинами, между работниками различных рас.
Заработная плата - это денежная выплата, регулярно производимая нанимателем работнику за отработанное время, произведенную продукцию или другую конкретную деятельность работника.
Все присущие заработной плате функции представляют диалектическое единство и лишь в совокупности позволяют правильно понять ее сущность, противоречия в пей и проблемы, возникающие в процессе совершенствования организации оплаты труда. Это важно подчеркнуть, потому что нередко противопоставление указанных функций, переоценка одних и недооценка других приводят к нарушению их единства и, как следствие, к односторонним, а подчас и неверным теоретическим и практическим выводам, касающимся организации заработной платы.
В отношении работников, достигших определенной стадии личностного развития, очень важными мотиваторами становятся возможности самовыражения и наличие "вызова", который содержит в себе та или иная деятельность. Этому аспекту уделяется очень серьезное внимание, что нашло отражение, в частности, в уже рассмотренной нами системе планирования карьеры в фирмах, и в выработке определенного стиля управления, а также в идеологии, или философии фирмы, предусматривающих бережное отношение к людским ресурсам и высокий уровень требовании к профессионализму и этике в деловых отношениях.
1.2 Основные типы организации оплаты труда
В условиях формирования рыночных отношений предприятия, получившие право самостоятельно решать вопросы организации заработной платы, используют для этого различные модели и подходы.
Под организацией заработной платы понимается ее построение, обеспечение взаимосвязи количества труда с размерами его оплаты, а также совокупность составных элементов. В настоящее время принято выделять тарифный и бестарифный типы организации оплаты труда на предприятии.
Основными элементами организации оплаты труда тарифного типа являются: нормирование труда, тарифная система, формы и системы заработной платы. Каждый элемент имеет строго определенное назначение.
Нормирование труда — это установление научно обоснованных затрат труда и его результатов: норм времени, численности, управляемости обслуживания, выработки, нормированных заданий. Без этого невозможно учесть количество труда, индивидуальный вклад каждого работника в общие результаты.
Формы и системы заработной платы — это механизм установления размера заработка в зависимости от количественного результата и качества труда (его сложности, интенсивности, условий).[4]
Тарифная система представляет собой совокупность различных нормативных материалов, с помощью которых устанавливается уровень заработной платы работников на предприятии в зависимости от квалификации работников (сложности работ), условий труда, географического расположения предприятия и других отраслевых особенностей. К числу основных элементов тарифной системы относятся тарифные сетки, тарифные ставки, тарифно-квалификационные справочники, должностные оклады, тарифные справочники должностей служащих, надбавки и доплаты к тарифным ставкам, районные квалификационные коэффициенты к заработной плате.
Тарифная сетка – шкала разрядов, каждому из которых присвоен свой тарифных коэффициент, показывающий, во сколько раз тарифная ставка любого разряда больше первого. Тарифный коэффициент первого разряда всегда равен единице. Количество разрядов и величины, соответствующих им тарифных коэффициентов определяются коллективным договором, заключаемым на предприятии. Коллективный договор разрабатывается на основе тарифного соглашения и не должен предусматривать ухудшение положения работников по сравнению с его условиями.
Тарифная ставка – выраженный в денежной форме абсолютный размер оплаты труда в единицу рабочего времени. На основе тарифной сетки и тарифной ставки первого разряда рассчитываются тарифные ставки каждого последующего разряда. Тарифная ставка первого разряда определяется коллективным договором предприятия и зависит, с одной стороны, от его финансовых возможностей, а с другой – от условий оплаты труда, отраженных в отраслевом соглашении. При этом она не должна быть законодательно ниже установленного уровня минимальной заработной платы. Тарифная ставка является исходной величиной для установления уровня оплаты труда рабочих независимо от того, какие формы и системы оплаты труда применяются на предприятии.
В зависимости от избранной единицы времени тарифные ставки бывают часовые, дневные и месячные (оклады). Наибольшее распространение имеют часовые тарифные ставки, так как на их основе исчисляются различные доплаты. Дневная и месячные ставки рассчитываются путем умножения часовой ставки на количество часов в рабочей смене и среднемесячное количество отработанных часов в месяц.
Тарифно-квалификационные справочники — это нормативные документы, с помощью которых устанавливается разряд работы и рабочего. В них содержится информация о том, что должен знать теоретически и уметь практически рабочий каждого разряда каждой специальности. Указанные справочники состоят из трех разделов: «Характеристика работ», «Должен знать» и «Примеры работ».
Квалификационный разряд присваивается рабочему квалификационной комиссией (обычно цеховой или заводской).[5]
Предприятия, использующие традиционные подходы в организации оплаты труда, применяют тарифные сетки, тарифные ставки и тарифно-квалификационные справочники для определения размеров заработной платы рабочих. Для служащих, являющихся работниками управленческого труда на таких предприятиях, применяют штатно-окладную систему. Ее особенностью является составление штатного расписания, где указываются перечень должностей, имеющихся на конкретном предприятии, численность работников по каждой должности и размеры месячных окладов.
Аттестационная комиссия предприятия на основе использования квалификационных справочников должностей в процессе аттестации присваивает служащим квалификационную категорию. Квалификационный справочник должностей служащих состоит из отдельных характеристик. Каждая квалификационная характеристика имеет три раздела. «Должностные обязанности», «Должен знать», «Квалификационные требования». Как и тарифно-квалификационный справочник, квалификационный справочник должностей служащих имеет рекомендательный характер и может произвольно использоваться предприятиями с корректировкой и внесением изменений в его разделы. Периодичность проведения аттестации служащих определяется самим предприятием.
Многие предприятия сейчас идут по пути поиска новых, наиболее эффективных подходов к организации оплаты труда на основе элементов традиционной тарифной системы. Это позитивный процесс, который является следствием предоставления предприятиям самостоятельности в решении рассматриваемых вопросов. Наиболее широкое применение получает использование общей тарифной сетки для организации оплаты труда всех работающих на предприятии. Как правило, количество разрядов, присваиваемых рабочим, остается прежним (6—8). Максимальное количество разрядов в сетке и соответствующий им тарифный коэффициент могут быть определены на конкретном предприятии произвольно и обязательно закреплены в коллективном договоре.
К основным элементам тарифной системы относятся также районные коэффициенты и надбавки к заработной плате за стаж работы в неблагоприятных климатических районах. Районный коэффициент представляет собой нормативный показатель степени увеличения заработной платы в зависимости от месторасположения предприятия, организации. Он устанавливается непосредственно к заработной плате, на которую распространен. Районные коэффициенты могут колебаться в пределах от 1,0 до 2,0.
Для целей анализа трудовых показателей, начисления заработка, становления доплат необходимо иногда использование величин среднего разряда работ, рабочих, установление среднего тарифного коэффициента, средней тарифной ставки. Все эти показатели определяются на основе элементов действующей на предприятии тарифной системы оплаты труда.
Для целей анализа трудовых показателей, начисления заработка, становления доплат необходимо иногда использование величин среднего разряда работ, рабочих, установление среднего тарифного коэффициента, средней тарифной ставки. Все эти показатели определяются на основе элементов действующей на предприятии тарифной системы оплаты труда.
Средний разряд рабочих исчисляется по формул

где Ч - численность рабочих с одинаковым разрядом;
Н - номер разряда рабочего.
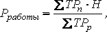
Установление среднего разряда работы, необходимое для проведения аналитической работы по выявлению резервов роста производительности труда, связанных со структурой кадров, может осуществляться по одной их двух методик.
1. Если имеется или возможна группировка трудоемкости работ по разрядам, то для расчета среднего разряда работы применяется формула
где ТРп – трудоемкость производственной программы;
![]()
ТРр – трудоемкость работ по каждому разряду.
2. Если предыдущий вариант расчета невозможен или затруднителен, то используется методика, основанная на применении средней тарифной ставки работ. В этом случае средний разряд работ определяется следующим образом
![]()
где Рм - тарифный разряд, соответствующий меньшей из двух смежных тарифных ставок, между которыми находится средняя тарифная ставка;
Тс - средняя тарифная ставка;
Тм - меньшая из двух смежных тарифных ставок;
Тб - большая из двух смежных тарифных ставок.
Или
![]()
где Рб - тарифный разряд, соответствующий большей из двух смежных тарифных ставок, между которыми находится средняя тарифная ставка.
При расчете средней тарифной ставки может быть использована одна из двух методик:
![]()
где Т - тарифная ставка рабочих (работ), имеющих одинаковый разряд;
Ч - численность рабочих, имеющих одинаковый разряд.
Эта методика расчета наиболее приемлема для оценки средней тарифной ставки рабочих-повременщиков.
![]()
где ТРр - трудоемкость работ по каждому разряду.
По этой формуле рассчитывается средняя тарифная ставка работ, трудоемкость которых известна.
Средняя тарифная ставка может быть также определена как произведение среднего тарифного коэффициента на тарифную ставку первого разряда.
Средний тарифный коэффициент исчисляется по одной из формул:
![]()
![]()
![]()
![]()
где К - тарифный коэффициент, соответствующий разряду данной группы рабочих (работ);
Ч - численность рабочих, имеющих одинаковые разряды;
ТРр - трудоемкость работ, имеющих одинаковые разряды;
Кб, Км - тарифные коэффициенты, соответствующие большему и меньшему из двух смежных разрядов, между которыми находится средний разряд;
Рс - средний тарифный разряд рабочих (работ);
Рб, Рм - больший и меньший из двух смежных разрядов тарифной сетки, между которыми находится средний разряд.[6]
Для аналитических целей расчет вышеприведенных средних показателей целесообразен только по рабочим, так как тарифный коэффициент и разряд у них характеризуют уровень квалификации, сопоставимый с требованиями к этой квалификации, обусловленными сложностью работы. Руководителям, специалистам и служащим при использовании Единой тарифной сетки разряд присваивается с целью четкой дифференциации в оплате труда.
Бестарифный тип организации заработной платы предусматривает оплату не столько по индивидуальным, сколько по конечным результатам работы. Такая организация предполагает установление не фиксированных уровней оплаты труда для отдельных работников, а определение коэффициентов их долевого участия в фонде оплаты труда предприятия. Бестарифный вариант оплаты труда характеризуется следующими основными чертами:
· тесной связью уровня оплаты труда работника с фондом заработной платы, начисляемым по коллективным результатам работы (в этом качестве «бестарифные» системы оплаты принадлежат к классу коллективных систем оплаты труда);
· присвоением каждому работнику постоянных (относительно постоянных) коэффициентов, комплексно характеризующих его квалификационный уровень и определяющих в основном его трудовой вклад в общие результаты труда по данным о предыдущей трудовой деятельности работника или работников, относимых к этому квалификационному уровню (своего рода базовый коэффициент трудового участия, применяемый в коллективных системах оплаты);
· определение коэффициентов трудового участия каждого работника в текущих результатах деятельности, дополняющих опенку его квалификационного уровня.
Индивидуальная заработная плата (ЗП) каждого работника представляет собой его долю в заработанном всем коллективом фонде заработной платы (фонде оплаты труда). Формула ее расчета может быть представлена в следующем виде:

где ФОТ - фонд оплаты труда коллектива (участка, цеха), подлежащий распределению между работниками, руб.;
Кi - коэффициент квалификационного уровня, присвоенный i-му работнику трудовым коллективом в момент введения «бестарифной» системы оплаты (в баллах, долях единицы или других условных единицах);
КТУi; - коэффициент трудового участия в текущих результатах деятельности, присваиваемой i-му работнику трудовым коллективом, на период, за который производится оплата (в долях единицы и т.п. единицах измерения);
Тi - количество рабочего времени, отработанного i-м работником в период, за который производится оплата (час. дн.); i = 1, 2... п - количество работников, участвующих в распределения фонда оплаты труда, человек.
Как следует из сказанного, при «бестарифной» системе оплаты труда присвоение работнику определенного квалификационного уровня не сопровождается параллельным установлением ему соответствующей тарифной ставки или оклада. Понятие квалификационного уровня работника в «бестарифной» системе оплаты шире, чем общепринятое понятие квалификационного разряда у рабочих или должностной категории у специалистов, руководителей, служащих. Оно включает также определенный устойчивый уровень результативности работы относительно уровня, требуемого нормами труда. Конкретный уровень оплаты труда заранее работнику неизвестен. Он может лишь предполагать, каким будет этот уровень, исходя из своего предыдущего опыта.
Поскольку «бестарифные» системы оплаты труда ставят заработок работников в полную зависимость от конечных результатов работы трудового коллектива, то применять их только там, где трудовой коллектив полностью несет ответственность за эти результаты.
Условия для применения «бестарифной» системы оплаты труда возникают в производственных кооперативах (для кооператоров) и в подрядных коллективах.
Другим важным условием применения «бестарифной» системы оплаты является наличие трудового коллектива, члены которого хорошо знают друг друга и полностью доверяют своим руководителям. Только в этом случае процесс присвоения квалификационного уровня происходит достаточно безболезненно. Как правило, это относительно небольшие трудовые коллективы с устойчивым составом работников, включая руководителей и специалистов.
1.3 Формы и системы оплаты труда
Формы и системы заработной платы представляют собой способы установления зависимости величины заработной платы от количества и качества затраченного труда с помощью совокупности количественных и качественных показателей, отражающих результаты труда. Основное их назначение – обеспечение правильного соотношения между мерой труда и мерой его оплаты, а также повышение заинтересованности рабочих в эффективном труде.
Основными формами заработной платы являются повременная и сдельная формы оплаты.
При повременной оплате мерой труда является отработанное время- а заработок начисляется в соответствии с тарифной ставкой работника или окладом за фактически отработанное время. Заработная плата подсчитывается по формуле:
ЗП =ТС· РВ.
где ЗП– заработная плата;
ТС– тарифная ставка присвоенного рабочему квалификационного разряда;
РВ – фактически отработанное время.
При сдельной оплате мерой труда является выработанная рабочим продукция, и заработок зависит от количества и качества произведенной рабочим продукции, так как при данной системе заработная плата начисляется за каждую единицу продукции исходя из установленной сдельной расценки. Заработок рассчитывается по формуле:
ЗЛ = СР· ВП,
где ЗП – заработная плата рабочего;
СР – сдельная расценка за единицу продукции;
ВП – количество изготовленной продукции.
Выбор сдельной и повременной форм оплаты труда зависит от ряда факторов: характера применяемого оборудования, особенностей технологического процесса, организации производства и труда, требования к качеству продукции, использованию трудовых и материальных ресурсов.
Эффективное применение повременной формы оплаты труда определяется следующими условиями:
1) строго регламентированные, аппаратурные, автоматизированные производства, где рабочий не может влиять на технологическое время;
2) высокие требования к качеству продукции, которые непосредственно зависят от рабочих;
3) на рабочем месте можно реально увеличить выработку продукции, а производству столько продукции не требуется.
Повременная форма оплаты может применяться для оплаты труда таких вспомогательных рабочих, как дежурные слесаря, электромонтеры, кладовщики, учетчики, в связи с трудностями нормирования и количественного измерения их труда. Рабочие служб технического контроля также оплачиваются по повременной форме.[7]
Наличие следующих условий делает целесообразным применение сдельной формы оплаты труда:
1) наличие реальных возможностей увеличения выработки продукции при сокращении затрат времени на единицу продукции;
2) возможность рабочих увеличивать выпуск продукции при стабильной технологии и соответствующем качестве продукции;
3) при потребности производства в увеличении выпуска продукции на данном участке.
Такие условия характерны для производств, где применяется ручной, механизированно – ручной и механизированный труд. При этом необходимо учитывать, что если даже имеются все условия для значительного увеличения выработки продукции, но при этом ухудшается ее качество, нерационально используются материальные ресурсы и преждевременно изнашивается оборудование, то применять сдельную форму оплаты нецелесообразно.
Повременная и сдельная формы заработной платы на практике используются в виде различных систем.
Наибольшее распространение в современных условиях получили простая повременная и повременно-премиальная системы заработной платы.
Простая повременная система оплаты труда. В этом случае заработок рабочего определяется тарифной ставкой присвоенного ему разряда и количеством отработанного времени. Если для рабочего – повременщика установлен твердый месячный оклад, то ему надо отработать полное количество часов по графику выходов в месяц. Если рабочий отработал неполный месяц, то заработная плата начисляется исходя из среднечасового или среднедневного оклада и фактически отработанного времени. При данной системе рабочий получает тарифную заработную плату при 100%-ном выполнении индивидуального задания. При неполном выполнении задания оплата пропорционально уменьшается, но при этом она не может быть ниже установленной минимальной заработной платы.
Повременно-премиальная система. В соответствии с данной системой, рабочий сверх оплаты в соответствии с отработанным временем и тарифными ставками получает премию за обеспечение определенных количественных и качественных показателей. Эти показатели премирования должны точно учитываться и отражать особенности работы тех или иных рабочих. По каждому показателю в отдельности устанавливается размер премии в зависимости от его значения. Основные рабочие-повременщики премируются за выполнение производственных заданий и обеспечение качества выпускаемой продукции и работ. Рабочие-повременщики, занятые обслуживанием основного производства, премируются за достижение показателей, характеризующих улучшение качества их работы: обеспечение бесперебойной и ритмичной работы оборудования по выпуску продукции, улучшение коэффициента его использования, увеличение межремонтного периода эксплуатации и сокращение затрат на обслуживание и ремонт и т.д. Для рабочих-контролеров используются такие показатели премирования, которые учитывают их усилия по улучшению качества выпускаемой продукции независимо от других результатов работы: отсутствие пропуска продукции с браком, выполнение плана по профилактике брака, сокращение возвратов продукции с последующих операций и т.д.
Различают прямую индивидуальную, косвенно-сдельную, сдельно-прогрессивную, аккордно-сдельную и сдельно-премиальную системы оплаты.
Прямая индивидуальная система. При такой системе заработок рабочего непосредственно зависит от его выработки. Заработная плата начисляется в соответствии с количеством произведенной продукции по постоянным сдельным расценкам, что повышает заинтересованность работников в увеличении индивидуальной производительности труда. Заработок определяется путем умножения количества изготовленной продукции на сдельную расценку за единицу этой продукции.
Косвенно-сдельная система. В этом случае заработная плата рабочего находится в прямой зависимости от выработки тех рабочих, которых он обслуживает. Данная система применяется для оплаты труда вспомогательных рабочих, от которых в значительной степени зависят темп работы и выработка основных рабочих. Обязательным условием введения косвенной сдельной системы оплаты труда является возможность закрепления вспомогательных рабочих за определенным оборудованием или рабочими-сдельщиками, от выработки которых и зависит их оплата. При данной системе повышается материальная заинтересованность вспомогательных рабочих в улучшении обслуживания рабочих
мест и машин. Оплата труда рабочих может производиться тремя методами;
1) заработная плата определяется по формуле:
Рк = Тч ·Чр · Нв
где Тч – часовая тарифная ставка вспомогательных рабочих;
Чр – число обслуживаемых рабочих;
Нв – норма выработки для обслуживаемого рабочего;
2) общий заработок вспомогательного рабочего определяется путем умножения тарифного заработка за отработанное время на коэффициент выполнения нормы выработки в среднем по всем объектам, обслуживаемым этим рабочим;
3) общий заработок определяется умножением коэффициента, |характеризующего соотношение тарифных ставок вспомогательных рабочих и тарифных ставок, обслуживаемых ими рабочих, на фактический сдельный заработок обслуживаемых рабочих.
При бригадной форме организации и стимулирования труда косвенная сдельная система оплаты почти не применяется, так как все вспомогательные рабочие включаются в бригаду.
Сдельно-прогрессивная система. При данной системе выработка рабочего в пределах установленной нормы оплачивается по действующим на данной работе прямым сдельным расценкам, а вся дополнительная выработка, полученная сверх этой нормы, – по повышенным расценкам. В этом случае заработок рабочего растет быстрее, чем выработка, поэтому данная система вводится обычно временно (на 3–6 месяцев) на решающих участках основного производства, где сложилась неблагоприятная ситуация с выполнением плана производства продукции.
Аккордно-сдельная система. Размер оплаты труда при такой системе устанавливается за весь объем работы. Аккордная оплата вводится для отдельных групп рабочих в целях усиления их материальной заинтересованности в повышении производительности труда и сокращении сроков выполнения работы. Премирование вводится за сокращение сроков выполнения аккордного задания при качественном выполнении работ. Расчет с рабочими производится после выполнения всех работ. Если выполнение аккордного задания требует длительного времени (например, в судостроении), то выплачивается аванс за текущий месяц с учетом выполненного объема работ. Эта система является, как правило, бригадной формой оплаты труда.
Сдельно-премиальная система. При использовании этой системы предусматривается выплата рабочему в дополнение к сдельному заработку, начисленному по расценкам, премии за достижение установленных индивидуальных или коллективных (количественных или качественных) показателей. В качестве показателей премирования рабочих используются:
• рост производительности труда;
• улучшение качества продукции, работ;
• освоение новой техники и технологии;
• снижение материальных затрат и т.д.
Рабочих, занятых обслуживанием основного производства, премируют по показателям, непосредственно характеризующим улучшение качества их работы: обеспечение бесперебойной и ритмичной работы оборудования по выпуску продукции, улучшение коэффициента его использования, бесперебойное обеспечение рабочих мест инструментами, энергией, транспортными средствами и т.д.
2. Характеристика предприятия ООО «Ленат»
2.1. Организационно-экономическая характеристика предприятия
Предприятие ООО «Ленат» является юридическим лицом, имеет самостоятельный баланс, обособленное имущество, несет самостоятельную ответственность по своим обязательствам, может от своего имени приобретать и осуществлять имущественные и личные неимущественные права, исполнять обязанности, быть истцом и ответчиком в суде. Предприятие имеет счета в банках и предполагает действия на основании законодательства Российской Федерации, Устава и Учредительного договора.
Основной целью создания и деятельности предприятия является хозяйственная деятельность, направленная на извлечение прибыли для удовлетворения социальных и материальных потребностей Участников Предприятия, удовлетворения общественных потребностей в его продукции, работах, услугах.
Основной формой осуществления полномочий трудового коллектива является общее собрание, решающее вопросы заключения коллективного договора и порядка предоставления социальных льгот работникам ООО «Ленат» из фондов трудового коллектива.
Предприятие осуществляет следующие виды деятельности:
- производство конторской мебели и мебели для магазинов;
- производство кухонной мебели;
- производство прочей мебели;
- оптовая торговля прочими бытовыми товарами, не включенными в другие группировки;
- оптовая торговля канцелярскими машинами и оборудованием.
_ Использование новых прогрессивных технологий
- наличие коммуникативных перевозок;
- отсутствие гибкости, структура не позволяет осуществлять изменения;
- большие затраты на содержание аппарата управления.
В целом можно сказать, что состав и размеры всех подразделений ООО «Ленат» соответствуют целям и задачам предприятия.
Имущественное состояние ООО «Ленат», его структуру и динамику за 2007 - 2009 год позволяет оценить аналитический баланс (приложение 2).
По данным аналитической таблицы можно сделать следующие выводы:
- структура баланса ООО «Ленат» в 2007-2009 годах изменилась не существенно, в целом практически все показатели имели положительную динамику; наибольший рост произошел по статьям «Незавершенное строительство» и налог на добавленную стоимость;
- доля оборотных активов на 13,8 % или по абсолютной величине на 3719 тыс. руб., что в целом свидетельствует об удовлетворительном изменении структуры баланса.
- общая величина запасов увеличилась примерно на 10,2 %, в основном за счет затрат на незавершенное производство и расходов будущих периодов.
Однако в 2009 году большинство показателей актива баланса имели тенденцию к сокращению.
2.2. Оценка трудовых ресурсов предприятия
Прием на работу наемного персонала осуществляется в соответствии с действующим законодательством по трудовому договору. Прием на работу лиц, не являющихся совместителям, а также временных сезонных работников, осуществляется только по трудовым книжкам.
Директор ООО «Ленат» назначает лицо, ответственное за ведение, учет и хранение документов по личному составу. Введение и хранение документов по личному составу осуществляется в соответствии с действующим законодательством и требованиями государственной архивной службы. При ликвидации либо реорганизации предприятия директор лично обязан осуществлять контроль за своевременной передачей документов по личному составу на государственное хранение.
Предприятие несет ответственность за причинение по его вине вреда здоровью человека в порядке и в размерах, предусмотренных действующим законодательством.
ООО «Ленат» в соответствии с Законом Российской Федерации «Об обороне», «О воинской обязанности и военной службе», другими нормативными документами по этим вопросам:
- создает необходимые условия для выполнения работниками воинской обязанности;
- проводят бронирование военнообязанных граждан, при наличии мобилизационных зданий, установленных уполномоченными на то государственными органами.
Всего на предприятии насчитывается 69 работников. Наиболее подробно трудовой состав предприятия представлен на приложении 3.
В данном разделе проведем анализ состава работников и проиллюстрируем динамику их численности на приложении 4.
Результаты таблицы показывают, что состав работников в МУП ООО «Ленат» значительно изменился.
Значительно увеличилась численность персонала в 2009 году и составила 79 человек, что является на 3,9% выше аналогичного показателя за 2007 год. При этом значительно увеличилось количество работников высокой и средней квалификации – 45% и 39,4% соответственно. В то же время увеличилось количество работников низшей квалификации - 8,7%. Такие изменения в сторону повышения профессионализма персонала обусловлены проводимой руководством предприятия политики по улучшению общей квалифицированности кадров, что в итоге предопределило текучесть кадров на предприятии.
Из анализа движения рабочей силы видно, что в 2009 году значительно выросла среднесписочная численность населения по сравнению с 2007 на 2,7%. При этом уменьшилось количество людей принятых на работу в 2009 по сравнению с 2007 годом на 20%. Однако сократилось и число уволенных на 80% за аналогичный период. Таким образом, можно сделать вывод, что работники довольны условиями труда и уровнем заработка.
В то же время на предприятии большое внимание уделяется дисциплине. Об этом говорит тот факт, что в 2009 году не было уволено ни одного работника за нарушение дисциплины. При этом уменьшилось количество уволившихся по собственному желанию на 66,7% в 2007 году по сравнению с 2009.
За анализируемый период уменьшился оборот по приему работников на 2,9 %, еще значительней уменьшился оборот по выбытию на 5,5%. В итоге коэффициент общего оборота в 2009 году по сравнению с 2007 годом уменьшился на 8,4%.
Данные по приложению 5 отражают результаты планомерной работы руководства предприятия, направленной на привлечение квалифицированных специалистов. В то же время кадровая политика направлена на создание наиболее благоприятных условий работы, внутриорганизационного микроклимата, а также иных факторов, способствующих «удержанию» специалистов.
Полноту использования трудовых ресурсов можно оценить по количеству отработанных дней и часов одним рабочим за анализируемый период времени, а также по степени использования фонда рабочего времени
Из анализа приложения 6 видно, что номинальный фонд рабочего времени в 2009 году по сравнению с 2007 годом уменьшился на 0,8% (248(2009 год)/2,5 (2007: 250/100%)=99,2. 99,2-100=-0,8), но превышает план на 2009год на 0,4%.
В 2009 году по сравнению с анализируемым годам возросло количество дней неявок на работу на 7,7%, а по сравнению с плановыми показателями на 40%. В то же время увеличилось количество дней отпусков по сравнению с 2007 годом на 33,3, при этом данный показатель полностью совпадает с плановым.
Уменьшилось количество дней прогулов на 50%. Уменьшение данного показателя связано с проводимыми руководством предприятия мероприятиями по сокращению прогулов.
По сравнению с 2007 годом в 2009 уменьшился явочный фонд рабочего времени и как следствие бюджет рабочего времени на 1,3%, по сравнению с планом показатель 2009 года ниже на 2,5%.
2.3. Анализ организации и динамики оплаты труда работников
Политика в области оплаты труда является составной частью управления предприятием, и от нее в значительной мере зависит эффективность его работы, так как заработная плата является одним из важнейших стимулов в рациональном использовании рабочей силы.
Заработная плата – это выраженная в денежной форме часть национального дохода, которая распределяется по количеству и качеству труда, затраченного каждым работником, поступающая в его личное потребление. Заработная плата – это вознаграждение за труд.
Оплата труда работников – это цена трудовых ресурсов, задействованных в производственном процессе. Можно сказать и так, что заработная плата это часть издержек на производство и реализацию продукции, идущая на оплату труда работников предприятия.
Различают номинальную и реальную заработную плату.
Номинальная заработная плата – это начисленная и полученная работником заработная плата за его труд за определенный период.
Реальная заработная плата – это количество товаров и услуг, которые можно приобрести за номинальную заработную плату; реальная заработная плата – это ее покупательная способность номинальной заработной платы. Вполне очевидно, что реальная заработная плата зависит от величины номинальной заработной платы и цен на приобретаемые товары и услуги.
Общий уровень оплаты труда на предприятии может зависеть от следующих основных факторов:
- результатов хозяйственной деятельности предприятия, уровня его рентабельности;
- кадровой политики предприятия;
- уровня безработицы в регионе, области, среди работников соответствующих специальностей;
- влияния профсоюзов, конкурентов и государства;
- политики предприятия в области связей с общественностью.
Рациональная организация оплаты труда на предприятии позволяет стимулировать результаты труда и деятельность его работников, обеспечивать конкурентоспособность на рынке труда готовой продукции, не обходимую рентабельность и прибыльность продукции.
Так как заработная плата является на предприятии важнейшим фактором, то необходимо анализировать использование фонда заработной платы. Оплата труда на рассматриваемом нами предприятии сдельно – премиальная и ее уровень зависит от количества и производимой продукции и услуг.
Оплата труда в ремонтной мастерской и на других вспомогательных производствах осуществляется из учета выполненных работ. Рассмотрим, как изменился фонд заработной платы на предприятии ООО «Ленат» за последние три года (приложение 7).
Проанализировав таблицу можно сделать вывод, что численность работников с 2008 по 2009 год увеличилась, средства, направленные на оплату труда за год увеличились, также увеличился фонд оплаты труда, и оплата одного чел./дня. Эти изменения связаны с инфляционными процессами в стране.
В связи с процессом инфляции минимальный уровень оплаты труда в хозяйстве постоянно пересматривается. В первую очередь учитывается закон о минимальном уровне оплаты труда.
На нашем предприятии из-за отсутствия средств в расчетах заработная плата выплачивается в натуральной форме. Если на предприятии отсутствуют средства для выплаты заработной платы наличными деньгами, то, в какой то степени, решением вопроса оплаты труда будет являться своевременность и расширение форм оплаты труда, а именно ежедневный отпуск молока, периодичность выдачи мяса, зерна.
Так же на предприятиях должен проводиться такой анализ, как соотношение между темпами роста производительности труда и средней заработной платой. Анализ использования трудовых ресурсов на предприятии, уровня производительности труда необходимо рассматривать в тесной связи с оплатой труда. С ростом производительности труда создаются реальные предпосылки для повышения уровня его оплаты. При этом средства на оплату труда нужно использовать таким образом, чтобы темпы роста производительности труда обгоняли темпы роста его оплаты. Только при таких условиях создаются возможности для наращивания темпов расширенного воспроизводства.
В связи с этим анализ использования средств на оплату труда на каждом предприятии имеет большое значение. В процессе его следует осуществлять систематический контроль за использованием фонда заработной платы (оплаты труда), выявлять возможности экономии средств за счет роста производительности труда и снижения трудоемкости продукции.
Фонд заработной платы по действующей инструкции органов статистики включает в себя не только фонд оплаты труда, относимый к текущим издержкам предприятия, но и выплаты за счет средств социальной защиты и чистой прибыли, остающейся в распоряжении предприятия. Соотношение между темпами роста производительности труда и средней заработной платой в масштабах народного хозяйства выдерживалось в строгой пропорции 2:1. что обусловливалось рядом факторов, прежде всего долей рабочих-сдельщиков в общей численности работающих. В последние годы соотношение темпов роста производительности труда и заработной платы, как и практически все другие показатели, предприятиям директивно не планируются, однако, с точки зрения экономического анализа, этот показатель представляет определенный интерес.
Опережающие темпы роста производительности труда по сравнению с ростом заработной платы являются одним из факторов снижения себестоимости продукции, не говоря уже о росте объемов выпускаемой предприятием продукции. При проведении анализа желательно, однако, иметь в виду, что соотношение «производительность труда/заработная плата», зависит в основном от той части заработной платы, которая относится на себестоимость продукции, и не должна учитывать выплаты персоналу из фондов, образующихся из прибыли. Рассмотрим пример анализа этого соотношения по данным приложения 8.
В 2009 году планировалось увеличение средней выработки на одного работающего на 4,06 % при росте зарплаты лишь на -0,32 %, т. е. соотношение темпов роста указанных показателей предусматривалось в размере 0,62 (что является очень хорошим показателем, поскольку выработка растет медленнее зарплаты в 0,62 раз: 4,06/-0,32 = -0,62.
Фактические показатели 2009 года оказались на уровне запланированных и составили по росту выработки 3,29 % и по снижению средней зарплаты - -2,75 %. Таким образом, фактическая выработка росла медленнее средней зарплаты в 1,2 раза: 3,29/-2,75=-1,2.
Изменение фактических показателей 2009 года по сравнению с плановыми составило 4,34, в том числе за счет повышения темпа роста производительности труда 1,55, за счет повышения темпа роста заработной платы 1,55: (3,29/-2,75 – 3,29 / -0,32) + (3,29 / -0,32 +2,75). Соотношение между темпами роста производительности труда и заработной платы можно видеть из прироста производительности труда на 1% прироста заработной платы по плановым и фактическим данным и данным 2007 года. Произошел рост производительности труда. Однако этот рост может быть обусловлен рядом факторов, лишь в малой степени зависящих от работы самого предприятия, например таких, как изменение цен на реализованную продукцию и услуги, изменение цен на покупные материалы и комплектацию и ряда других, что легко может быть подсчитано.
Показатель производительности труда также может быть изменен из-за структурных сдвигов в выпускаемой продукции. Поэтому необходимо учесть фактор структурных сдвигов в номенклатуре выпускаемой продукции и скорректировать показатель производительности труда. В данном случае можно заключить, что изменение структуры выпускаемой продукции на соотношение производительности труда и заработной платы практически не повлияло, хотя это бывает далеко не всегда.
В условиях рынка особое значение имеет анализ рентабельности персонала. Рентабельность персонала (RП ) определяется как отношение прибыли (П) к среднегодовой численности промышленно-производственного персонала (ЧППП ) (2.7):
RП
=
. (2.7)
Прибыль зависит от рентабельности продаж, оборачиваемости капитала и величины функционирующего капитала.
Факторную модель можно представить в следующем виде (2.8, 2.9):
RП
=
×
×
, (2.8)
или RП
=
×
×
, (2.9)
где П – прибыль от реализации продукции,
ЧППП – среднесписочная численность работников,
В – выручка от реализации продукции,
K – среднегодовая сумма капитала,
ВП – стоимость выпуска продукции в действующих ценах,
RППП - рентабельность персонала,
- рентабельность оборота (RОБ
),
- капиталовооруженность труда,
– доля выручки в стоимости выпущенной продукции (ДРП
),
- среднегодовая выработка продукции одним работником в действующих ценах (ГВ),
- скорость оборота капитала.
Первая формула позволяет оценить, как изменилась прибыль на одного работника за счет изменения рентабельности продаж, коэффициента оборачиваемости и величины функционирования капитала.
Вторая модель позволяет оценить, как изменилась прибыль на одного работника за счет уровня рентабельности продаж, удельного веса выручки в общем объеме произведенной продукции и производительности труда.
Количественное влияние факторов можно определить способом абсолютных разниц. Необходимые данные для проведения анализа представлены на приложении 9.
Произведем факторным анализ изменения прибыли по формуле 2.8.
На изменение прибыли на одного работника оказали влияние следующие факторы:
· капиталовооруженность труда
ΔRП1
= (
Ф
-
ПЛ
) ×
ПЛ
×
ПЛ
100 ;
ΔRП1
= (171,5 – 160) × 1,75 × 19
100 = + 3,7 (тыс. руб.);
· оборачиваемость капитала
ΔRП2
=
Ф
× (
Ф
-
ПЛ
) ×
ПЛ
100;
ΔRП2
=171,05 × (1,65 – 1,75) × 19
100 = - 3,2 (тыс. руб.);
· рентабельность оборота
ΔRП2
=
Ф
×
Ф
× (
Ф
-
ПЛ
)100;
ΔRП2
= 171,05 × 1,65 × (22 – 19)
100 = + 8,5 (тыс. руб.).
Произведенные вычисления позволяют сделать вывод о том, что на увеличение прибыли, приходящейся на одного работника, на 11,9 тыс. руб. повлияли 2 фактора: капиталовооруженность труда и рентабельность оборота. Отрицательное влияние оказало уменьшение коэффициента оборачиваемости капитала.
Далее необходимо рассчитать влияние уровня рентабельности продаж, удельного веса выручки в общем объеме произведенной продукции и производительности труда на прибыль на одного работника.
На изменение прибыли вышеназванные факторы повлияли следующим образом:
· доля выручки в стоимости выпущенной продукции:
ΔRППП
= ΔГВ × ДРПпл
/100× RОБ. ПЛ
/ 100;
ΔRППП
= + 15,8 × 0,933 × 0,19 = + 2,8 (тыс. руб.)
· доля выручки в стоимости выпущенной продукции:
ΔRППП
= ГВФ
× ΔДРП
/100× RОБ. ПЛ
/ 100;
ΔRППП
= 315,8 × (- 0,037) × 0,19 = - 2,3 (тыс. руб.);
ΔRППП R ОБ = ГВФ × ДРПФ × ΔRОБ. / 100;
ΔRППП R ОБ = 315,8 × 0,896 × (+ 0,03) = + 8,5 (тыс. руб.).
Таким образом, можно сказать, что наибольшее положительное влияние на увеличение прибыли оказало повышение рентабельности оборот на 3%. Необходимо также отметить роль возросшего удельного веса выручки в общем объеме произведенной продукции, за счет которого прибыль возросла на 2,8 тыс. руб., однако уменьшение удельного веса выручки в стоимости выпущенной продукции на 3,7% отрицательно оказал отрицательное влияние на изменение прибыли.
3. Основные направления совершенствования оплаты труда на ООО «Ленат»
3.1. Оценка профессионально-квалификационного уровня работников
Балльная оценка, определяющая профессионально-квалификационный уровень каждого работника, равна тарифному коэффициенту соответствующего разряда действующей тарифной сетки на предприятии. (приложение 10).
Оценка деловых качеств рабочих осуществляется по признакам, которые могут существенно влиять на индивидуальную производительность труда, морально-психологический климат в коллективе, а, следовательно, и на весь трудовой процесс и его результаты.
Каждый признак деловых качеств имеет четыре уровня и оценивается как низкий, средний, выше среднего и высокий.
При оценке по десятибалльной системе уровню «низкий» можно присвоить 2 балла, «средний» – 5 баллов, «выше среднего» – 8 баллов и «высокий» – 10 баллов. Оценка от 2 до 10 баллов устанавливается работнику по каждому признаку в соответствии с характеристиками уровней оценок.
На приложении 11 представлена балльная оценка признаков, определяющих деловые качества рабочих.
Оценка производится следующим образом. К примеру, если рабочий содействует рационализации, то получает 2 балла, если имеет одно рационализаторское предложение – 5 баллов, имеет два рационализаторских предложения – 8 баллов, если более двух предложений – 10 баллов.
Однако следует отметить, что диапазон баллов разных признаков при оценке деловых качеств различен в силу того, что они имеют разную значимость в данном наборе. Например, изобретательность и инициатива имеет большее значение при оценке деловых качеств, чем способность контролировать свои эмоции. Таким образом, проставляются оценки по всем признакам с учетом их значимости в данном наборе.
Оценка всей совокупности деловых качеств производится путем суммирования оценок признаков, и сумма их составляет общую оценку деловых качеств (приложение 11).
3.2. Комплексные предложения по совершенствованию оплаты труда работников предприятия
Предлагаемая система оплаты труда основывается на следующих условиях:
1. Каждое структурное подразделение имеет базовый фонд заработной платы (ФЗП), который определяется по индивидуальному нормативу от объема реализации продукции за предыдущий месяц.
2. Этот фонд заработной платы производственных подразделений зависит от объема реализации выпущенной ими продукции, а функциональных отделов – от объема реализации продукции предприятием.
3. Базовый фонд заработной платы производственных подразделений может быть увеличен при повышении рентабельности продукции, а отделов за оплаченные работы и услуги.
До начала распределения ФЗП в подразделении из общей суммы вычитается выплаты, которые не подлежат распределению. Это компенсационные выплаты за работу в вечерние и ночные часы и за работу в тяжелых, вредных и особо тяжелых и особо вредных условиях труда.
Произведение комплексной оценки трудового вклада в баллах на отработанное время равно общему количеству баллов, заработанных каждым работником в данном месяце. «Цена» одного балла – это частное от деления ФЗП, подлежащего распределению, на сумму баллов, заработанных всем коллективом подразделения. Заработная плата работника – произведение «цены» одного балла на количество заработанных им баллов в месяце. К полученной сумме прибавляются индивидуальные компенсационные выплаты.
Пример распределения ФЗП по производственному подразделению приведен на приложении 12.
ФЗП, составил 2 227 295 (см приложение 8). Доплаты за работу в вечернее и ночное время – 577 100 р., за работу в тяжелых и вредных условиях – 477 780 р. ФЗП, подлежащий распределению в соответствии с комплексной оценкой трудового вклада работников, равен 1 172 415 р. (2 227 295 – 577 100 – 477 780). Общее количество баллов, заработанных бригадой – 3796,012 р. «Цена» одного балла составит 982,265 р. Умножив «цену» одного балла на количество баллов, заработанных работников, получается его фактическая заработная плата по комплексной оценке.
Предлагаемый вариант систем организации оплаты труда жестко увязывает размер заработной платы с результатами хозяйственной деятельности предприятия и с реальными поступлениями средств за реализованную продукцию, а также позволяет оперативно управлять размером заработной платы с учетом вклада каждого структурного подразделения и каждого отдельно работника в результаты деятельности предприятия.
Заключение
Оплата труда – это вознаграждение работнику, за выполненную работу и соблюдение должностных обязанностей.
Размер оплаты труда определяется работодателем в зависимости от выполненной работы, а точнее от ее качества и количества. В этом случае максимального предела нет.
Различия в оплате труда определяются в зависимости от сложности выполняемых задач, количества поставленных задач и степени их выполнения.
В системе оплаты труда используются различного рода ставки, оклады, премии, бестарифные системы. Выбор той или иной системы зависит от выбора работодателя.
Формы и системы заработной платы представляют собой способы установления зависимости величины заработной платы от количества и качества затраченного труда с помощью совокупности количественных и качественных показателей, отражающих результаты труда. Основное их назначение – обеспечение правильного соотношения между мерой труда и мерой его оплаты, а также повышение заинтересованности рабочих в эффективном труде.
Основными формами заработной платы являются повременная и сдельная формы оплаты.
На основе методики анализа использования трудовых ресурсов были исследованы:
1. обеспеченность предприятия трудовыми ресурсами предприятия;
2. показатели движения и постоянства кадров;
3. использование фонда рабочего времени;
4. показатели эффективности использования персонала.
Проанализировав движение рабочей силы, результаты показали, что количество работников на предприятии увеличивается. При этом имеется тенденция к уменьшению количества уволившихся.
Анализ фонда рабочего времени показал, что его общий объем увеличился благодаря привлечению новых сотрудников.
Показатели производительности труда на предприятии также значительно увеличились по сравнению с предыдущими периодами.
В то же время возросла рентабельность персонала, что указывает на увеличении прибыли аптеки.
Однако на предприятии имеется ряд направлений для совершенствования. Одним из них является совершенствование оплаты труда, которая требует использование не только повременной, но и сдельной формы. Предложенная система организации оплаты труда основана на распределении фонда заработной платы. Было предложено более качественное распределении заработной платы между разрядами работников.
Список использованной литературы
1. Трудовой кодекс Российской Федерации. – М.: «ЮРКНИГА» 2009. – 160 с.
2. Абрютина М.С., Грачев А.В. Анализ финансово-экономической деятельности предприятия: Учебно-практическое пособие. – М.: Дело и сервис, 2008. – 256 с.
3. Баканов М.И., Шеремет А.Д. Теория экономического анализа: Учебник. – 4-е изд., доп. и перераб. – М.: Финансы и статистика, 2009. – 416 с.: ил.
4. Бариленко В.И. Анализ себестоимости продукции в объединениях строительного комплекса. – М.: Финансы и статистика, 2007. – 190 с.
5. Деркач Д.И. Анализ производственно-хозяйственной деятельности промышленного предприятия. Учебник для вузов. М.: Экономика, 2008 – 389 с
6. Журавлев В.В., Савруков Н.Т. Анализ хозяйственно-финансовой деятельности предприятий. Конспект лекций. ЧИЭМ СП6ГТУ.Чебоксары, 2009. – 135 с.
7. Ильин А.И. Экономика предприятия: Учеб. Пособие. Новое знание, 2009.- 265 с.
8. Любушин Н.П., Лещева В.Б., Дьякова В.Г. Анализ финансово-экономической деятельности предприятия: Учеб. Пособие для Вузов / под ред. проф. Н.П. Любушина. – М.: ЮНИТИ-ДАНА, 2008. – 471 С.
9. Матусевич, В.И. Формы и системы оплаты труда в условиях перехода к рыночным отношениям. / В.И. Матусевич [и др.]. – Минск: НИИ труда, 2006.
10. Организация оплаты труда работников предприятий в условиях либерализации цен и приватизации: Рекомендации. М.: Институт труда, 2008. 204 с.
11. Петров В.И. Анализ использования трудовых ресурсов предприятия // Современное управление – 2009. - №12. – с. 21-25.
12. Петроченко П.Ф. Анализ трудовых показателей. Учеб. Пособие для ВУЗов,2-е изд, перераб. М.: Экономика, 2009 – 288 с.
13. Ракоти В. Реальная заработная плата// Человек и труд. 2009. № 6. С. 80-82.
14. Савицкая Г.В. Анализ хозяйственной деятельности предприятия: 4-е изд., перераб. и доп. – Минск: ООО “Новое знание”, 2009. – 688 с.
15. Скоун Т. Управленческий учет: Пер. с англ. / Под ред. НД. Эриашвили. М,: Аудит, ЮНИТИ, 2007, 179с.
16. Устав муниципального унитарного предприятия Северского района «Аптека Северская» - 2008.- 12 с.
[1] Организация оплаты труда работников предприятий в условиях либерализации цен и приватизации: Рекомендации. М.: Институт труда, 2008.С.24
[2] Деркач Д.И. Анализ производственно-хозяйственной деятельности промышленного предприятия. Учебник для вузов. М.: Экономика, 2008. С.100
[3] Петроченко П.Ф. Анализ трудовых показателей. Учеб. Пособие для ВУЗов,2-е изд, перераб. М.: Экономика, 2009 – С.50.
[4] Савицкая Г.В. Анализ хозяйственной деятельности предприятия: 4-е изд., перераб. и доп. – Минск: ООО “Новое знание”, 2009. С. 34
[5] Матусевич, В.И. Формы и системы оплаты труда в условиях перехода к рыночным отношениям. / В.И. Матусевич [и др.]. – Минск: НИИ труда, 2006. С. 145.
[6] Баканов М.И., Шеремет А.Д. Теория экономического анализа: Учебник. – 4-е изд., доп. и перераб. – М.: Финансы и статистика, 2009. – С.210.
[7] Экономика предприятия: Учеб. пособие / В.П. Волков [и др.] / Под ред. А.И. Ильина. – 2-е изд., испр. – М.: Новое знание, 2009. С. 78.