| Похожие рефераты | Скачать .docx |
Реферат: Влияние магнитного поля
Магнитное поле в кольцевом шихтованном сердечнике с анизотропными свойствами
Современную электроэнергетику отличают разнообразием конструктивных исполнений и режимов работы силовых электротехнических устройств (СЭУ), высокие удельные нагрузки всех элементов последних, использование для ферромагнитных шихтованных сердечников (ШС) лучших марок холоднокатаных листовых электротехнических сталей (ЛЭС) со свойственной им анизотропией магнитных свойств (АМС) [1]. В этих условиях применение традиционных методик электромагнитных расчетов становится затруднительным из-за появления дополнительных погрешностей, обусловленных не учетом фактического характера распределения вектора магнитной индукции
в анизотропном магнитопроводе. Постоянное стремление к оптимизации конструктивных решений, расширение возможных режимов работы делают необходимым привлечение к расчету аппарата электромагнитного поля [2, 3].
Как показывают научные исследования, сдерживающим фактором применения прогрессивных методик становится отсутствие необходимого набора справочной информации на магнитные свойства электротехнических сталей и в частности векторных характеристик намагничивания
[4], где
- вектор напряженности магнитного поля (МП).
Для обоснования необходимости учета векторного характера магнитной анизотропии используем метод математического моделирования на примере ШС кольцевой формы, где влияние стыков исключено, а магнитная анизотропия проявляется в наиболее явной форме.
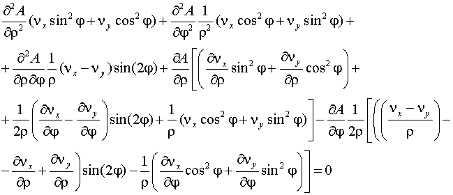
Для определения магнитного поля в кольцевом анизотропном ШС решаем краевую задачу при заданном магнитном потоке, соответствующем амплитуде перемагничивания, в цилиндрической системе координат
относительно векторного магнитного потенциала. Окончательное расчетное дифференциальное уравнение в частных производных имеет вид:
|
|
(1) |
где
;
- нелинейные удельные магнитные сопротивления определяемые через соответствующие проекции
и
на оси x и y, совпадающие с осями магнитной анизотропии, соответственно, j = 0 и 90о
. Символ z при векторном потенциале опущен.
Уравнение (1) является нелинейным и аналитического решения не имеет. Решение последнего может быть получено одним из известных численных методов.

Рис. 1. Принцип измерения напряженности магнитного поля в различных точках по радиальной координате кольцевого сердечника.
На основе численного метода конечных разностей производится расчет магнитного поля кольцевого ШС в функции отношения радиусов r, степени АМС К [4], и амплитуды средней по сечению магнитной индукции ВМср . При моделировании варьировалось отношение радиусов r, степень АМС К и уровень насыщения характеристики намагничивания. Результаты моделирования показали, что с ростом К существенно возрастает неоднородность МП в области кольцевого сердечника, где направления вектора непосредственно прилегают к оси легкого намагничивания ЛЭС, причем характер распределения качественно отличается от случая К = 1 (изотропного материала). Увеличение усиливает эту неоднородность МП в сердечнике. При значительных насыщениях, последняя приближается к распределению в изотропном кольцевом сердечнике.
Рис. 2. Зависимости
В*(
r) в кольцевом сердечнике из стали 2412, в угловых положениях
j = 0 и 90o
в ненасыщенных режимах (
Вмср
£ 0,8 Тл).
Rв
и
Rн
- внутренний и наружный радиусы;
В* =
Вм
/
Вмср
- относительное значение магнитной индукции.
При моделировании МП в кольцевом ШС принимается ряд допущений, которые могли повлиять на точность расчета. Для математической модели и обоснования правомерности принятых допущений проведены специальные экспериментальные исследования на кольцевых ШС, изготовленных из холоднокатаных ЛЭС 3413 и 2142 с разными уровнями магнитной анизотропии.
Из одного рулона каждой стали были изготовлены и совместно подвергнуты восстановительному отжигу в проходной печи пакеты стандартных полосовых образцов (для различных направлений намагничивания) и кольцевых сердечников. Полосовые образцы для получения необходимой для расчетов исходной информации о магнитных свойствах материала вырубались под углами к направлению прокатки a = 20о
, 30о
, 55о
, 75о
, 90о
и вдоль НП (a = 0). Кольцевые сердечники с отношением радиусов r = 2,1, имели диаметры, соответственно Дн = 231,2 мм, Двн = 110 мм (рис.1). Ожидалось, что большое r приведет к значительному перераспределению МП по высоте спинки сердечника, а размер ширины спинки 60,6 мм обеспечит достаточную разрешающую способность в определении измерения магнитной индукции по радиальной координате.
Рис. 3. Зависимости
В*(
r) в кольцевом сердечнике из стали 3413, в угловых положениях
j = 0 и 90o
в ненасыщенных режимах (
Вмср
£ 0,8 Тл).
Rв
и
Rн
- внутренний и наружный радиусы;
В* =
Вм
/
Вмср
- относительное значение магнитной индукции.
Для исключения влияния механических напряжения сердечники собирались без стягивающих усилий. При этом также контролировался согласованный способ шихтовки отдельных колец. Чтобы при локальных измерениях результаты гарантировали достоверность, какие-то ни было сверления пакета исключались. Для доступа к боковой поверхности пакет собирался из двух полупакетов с воздушным промежутком, где можно было бы разместить датчик-зонд напряженности МП. В угловых положениях сердечника j = 0 и j = 90о
, совпадающих с осями магнитной анизотропии материала, были предусмотрены радиальные каналы, позволяющие передвигать датчик напряженности вдоль радиальной координаты и осуществлять измерения касательной составляющей напряженности Нj
м
при различных значениях амплитуды средней по сечению магнитной индукции (рис. 1). Поскольку из результатов математического моделирования МП анизотропного ШС известно, что на осях магнитной анизотропии радиальные составляющие векторов
и
отсутствуют, по измеренным значениям Нj
м
и кривой намагничивания можно определить соответствующие значения Bj
м
. Таким образом, устанавливался характер распределения Bм
по радиусу при различных насыщениях сердечника. Все измерения производились при синусоидальном магнитном потоке на частоте f = 50 Гц.
На рис. 2 и 3 представлены зависимости магнитной индукции (в относительной форме) от радиальной координаты в угловых положениях, соответствующих осям магнитной анизотропии (j = 0 и 90о ) для обеих марок сталей - 3413 (К = 7) и 2412 (К = 1,6). Указанные кривые характерны для ненасыщенных режимов работы. На этом же рисунке точками отмечены результаты измерений, которые подтверждают хорошую сходимость с расчетом.
Таким образом, в результате моделирования МП кольцевого ШС установлена необходимость использования при расчетах векторных характеристик намагничивания, что особенно важно для текстурованных сталей с большими К. Определяющее влияние на характер МП оказывают угловые характеристики магнитной анизотропии y(В, a) [4]. Использование при расчетах МП одних только справочных характеристик Нa
(В, a), то есть при условии y = 0 (где Нa
- проекция вектора
на вектор
) приводит к такому же распределению МП при математическом моделировании, как и в случае отсутствия анизотропии (К = 1). Следует заметить, что для других случаев использования текстурованных ЛЭС в ШС СЭУ анизотропия будет накладывать условия на рабочие характеристики магнитопроводов, и это необходимо учитывать эти поля.
Магнитное поле Земли
Механизм возникновения, предложения по его экспериментальной проверке и использованию
Существует ряд гипотез, объясняющих возникновение магнитного поля Земли. В последнее время получила развитие теория, связывающая возникновение магнитного поля Земли с протеканием токов в жидком металлическом ядре. Подсчитано, что зона, в которой действует механизм «магнитное динамо» находится на расстоянии 0,25...0,3 радиуса Земли [1].
Следует заметить, что гипотезы, объясняющие механизм возникновения магнитного поля планет, довольно противоречивы и до настоящего времени экспериментально не подтверждены.
Что касается магнитного поля Земли, то достоверно установлено, что оно чутко реагирует на солнечную активность. В то же время вспышка на Солнце не может оказать заметного влияния на ядро Земли. С другой стороны, если связывать возникновение магнитного поля планет с токовыми слоями в жидком ядре, то можно сделать заключение, что планеты солнечной системы, имеющие одинаковое направление вращения, должны иметь одинаковое направление магнитных полей. Так Юпитер, вращающийся вокруг своей оси в ту же сторону что и Земля, имеет магнитное поле направленное противоположно земному.
Предлагается новая гипотеза о механизме возникновения магнитного поля Земли и установка для экспериментальной проверки.
На рис. 1 изображена схема Солнце-Земля. Земля (З) вращается вокруг своей оси N-S с угловой скоростью ?. Земля имеет магнитное поле, северный полюс которого находится на южном географическом полюсе. Чтобы получить магнитное поле такого направления, вокруг земного шара, в плоскости перпендикулярной оси вращения Земли, должен существовать устойчивый токовый слой с током IЗ. Назовем его током Земли. Следовательно, над поверхностью Земли должен существовать проводящий слой, по которому должен замыкаться ток IЗ. Такой слой существует – это ионосфера.
Рассмотрим каким образом может возникануть направленный ток IЗ в ионосфере. Солнце, в результате ядерных реакций протекающих в нем, излучает в окружающее пространство огромное количество заряженных частиц больших энергий (энергия частиц солнечного ветра ?1027...1029 эрг/с) – так называемый солнечный ветер. По составу солнечный ветер содержит, главным образом, протоны, электроны, немного ядер гелия, ионов кислорода, кремния, серы, железа [1]. Частицы образующие солнечный ветер, обладающие массой и зарядом, увлекаются верхними слоями атмосферы в сторону вращения Земли. Таким образом, вокруг Земли образуется направленный поток электронов, движущихся в сторону вращения Земли. Электрон – это заряженная частица, а направленное движение заряженных частиц есть не что иное, как электрический ток. За направление тока принято направление противоположное движению электронов, которое совпадает с направлением тока IЗ. Таким образом, существует ток IЗ, вызванный направленным круговым движением частиц солнечного ветра, увлекаемых круговым движением Земли. В результате наличия тока IЗ возбуждается магнитное поле Земли ФЗ.
Относительно Земли солнечный ветер представляет собой поток заряженных частиц постоянного направления, а это не что иное, как электрический ток. Назовем его током Солнца IС. Согласно определению направления тока он направлен в сторону, противоположную движению отрицательно заряженных частиц, т.е. от Земли к Солнцу.
Рассмотрим взаимодействие тока Солнца IС с возбужденным магнитным полем земли. В результате такого взаимодействия на Землю действует вращающий момент МЗ, направленный в сторону вращения Земли. Таким образом, Земля относительно солнечного ветра (IС) проявляет себя аналогично двигателю постоянного тока с самовозбуждением. Источником энергии (генератором) в данном случае является Солнце.
Следует отметить дополнительно, что магнитный поток, вызванный током солнечного ветра IС, пронизывает вращающийся вместе с Землей поток раскаленной лавы внутри нее. В результате взаимодействия поля IС и потока раскаленной лавы в ней наводится электродвижущая сила, под действием которой течет ток, который так же создает магнитное поле. Вследствие этого магнитное поле Земли является результирующим полем от взаимодействия тока IС и тока лавы.
Поскольку и магнитное поле, и вращающий момент, действующий на землю, зависят от тока Солнца, а последний от степени солнечной активности, то при увеличении солнечной активности должен увеличиваться вращающий момент, действующий на Землю и увеличиваться скорость ее вращения.
Реально существующая картина магнитного поля Земли зависит не только от конфигурации токового слоя, но и от магнитных свойств земной коры, а так же от относительного расположения магнитных аномалий. Здесь можно провести аналогию с контуром с током при наличии ферромагнитного сердечника и без него. Известно, что ферромагнитный сердечник не только меняет конфигурацию магнитного поля, но и значительно усиливает его.
Токовый слой Земли постоянно подпитывается электронами солнечного ветра. Таким образом, в результате наличия свободного токового слоя, обусловленного электронами солнечного ветра, земной шар вместе с атмосферой и ионосферой, в настоящее время должен иметь отрицательный некомпенсированный заряд.
Токовый слой Земли, в значительной степени, определяет протекание электрических процессов в атмосфере (грозы, полярные сияния, огни «святого Эльма»). Замечено, что при извержении вулканов значительно активизируются электрические процессы в атмосфере. Данное явление можно объяснить следующим. При извержении вулкана выбрасывается столб раскаленных газов (плазмы). Конвективное движение раскаленных газов замыкает токовый слой ионосферы с поверхностью Земли. Таким образом, появляется ток утечки, который активизирует электрические процессы при извержениях.
Предложенная гипотеза, в противовес теории токовых слоев в жидком ядре, может быть проверена на практике. Подтверждение предложенной гипотезы позволит уточнить и расширить наши знания о механизме магнитного поля Земли и других планет, позволит объяснить природу сил и моментов, поддерживающих вращение Земли вокруг своей оси.
Рис. 2. Схема экспериментальной установки:
Iз – токовый слой земли Земли;
Iк – ток в искусственном параллельном контуре;
ПЗ – поверхность Земли;
ДЛЭ – длинная линия электропередачи;
СК – соединитель концов линии с токовым слоем;
ИП – измерительный прибор.
Для экспериментальной проверки гипотезы предлагается создать искусственный контур, расположенный параллельно токовому слою Земли (рис. 2). В качестве параллельного контура можно использовать длинную линию электропередачи, идущую, преимущественно, в направлении восток-запад. Концы длинной линии должны быть соединены или приближены к токовому слою Земли. В качестве соединителей предполагается использовать столб плазмы, например, струю газов реактивного двигателя или воздушные шары, соединенные проводником с концами длинной линии.
Таким образом, предполагается зарегистрировать измерительным прибором величину и направление тока в искусственном параллельном контуре.
Практическое подтверждение высказанных предположений позволит объяснить взаимосвязь электромагнитных процессов в системе Солнце-Земля и обеспечит возможность разработки мощных энергетических установок использующих энергию Солнца.
Если бы пришлось создавать энциклопедию рекордов, то нейтронные звезды вошли бы в нее как обладатели самых мощных магнитных полей во Вселенной. По этому параметру они превзошли возможности лучших физических лабораторий, в которых пока получены поля, не большие 10 Гс. Нейтронным звездам уступают белые карлики (10" Гс), с ними не могут соперничать даже черные дыры звездных масс, вблизи которых напряженность магнитного поля не превышает 10'¦ Гс.
В современной литературе в качестве характерной напряженности магнитного поля на поверхности нейтронных звезд обычно приводят величину 10'^ Гс. Цифра внушительная; кубический сантиметр пустоты, содержащей такое поле, весил бы на Земле 40 г! Невольно вспоминается ?пустышка¦ Рэдрика Шухарта, которую с трудом поднимали два человека'. Но поля напряженностью 10'^ Гс для нейтронных звезд, по-видимому, не рекорд. В последние годы появились данные, свидетельствующие в пользу существования нейтронных звезд, на поверхности которых магнитное поле в сотни раз мощнее. В таких полях решаю-
' С т руга ц кие А. и Б. Пикник на обочине.? Аврора, 1972, ¦ 7, с. 29.
щую роль начинают играть квантово-релятивистские эффекты.
Существование столь сильных полей ставит целый ряд новых задач как для астрофизики, так и для физики.
ПОЧЕМУ У НЕЙТРОННЫХ ЗВЕЗД ДОЛЖНЫ БЫТЬ СИЛЬНЫЕ МАГНИТНЫЕ ПОЛЯ?
Ответ звучит необычно: по той же причине, по которой магнитные поля нейтронных звезд должны быть очень слабыми.
Нейтронные звезды образуются в результате катастрофического сжатия (коллапса) обычных звезд, исчерпавших источники термоядерной энергии. Звездное вещество представляет собой раскаленную плазму с высокой электропроводностью, В такой плазме силовые линии магнитного поля ?приклеены¦ к частицам, т. е. двигаются вместе с плазмой (это называется "вмороженностью¦ магнитного поля). При сжатии звезды общее число силовых линий, пронизывающих звезду (поток магнитного поля), сохраняется. Следовательно, при сжатии увеличивается число силовых линий, приходящееся на единицу площади сечения звезды, т. е. растет напряженность магнитного поля. Очевидно, напряженность поля нарастает обратно пропорционально
Рекордсмены магнитных полей
квадрату радиуса звезды. В этом смысле магнитное поле при сжатии увеличивается.
Однако если мы будем измерять напряженность магнитного поля на некотором расстоянии от сжимающейся звезды, то обнаружим уменьшение поля. Это легко понять, если вспомнить, что напряженность поля на некотором расстоянии от системы токов прямо пропорциональна ее магнитному дипольному моменту, который в данном случае есть произведение магнитного потока, пронизывающего звезду, на ее радиус (для простоты вычислений примем его равным 7 км). Очевидно, при таком сжатии магнитное поле на поверхности усилится в 10 млрд раз (попутно отметим, что дипольный момент уменьшится в 100 тыс. раз, а квадрупольный ? в 10 млрд раз). Так как на поверхности Солнца средняя напряженность поля равна-1 Гс, то для образовавшейся нейтронной звезды это поле будет равно 10¦ Гс.
Полученная оценка ? весьма приближенная, хотя бы уже потому, что из звезды типа Солнца нейтронной звезды не ?сдела-
Изменение магнитного поля при коллапсе звезды. Начальный радиус звезды К;), конечный ? К. Поле на поверхности звезды возрастает от величины Во до величины В (нейтронная звезда). В некоторой пробной точке А, удаленной на расстояние Кд, напряженность поля, наоборот, падает от величины В^ к величине Вд.
хранением потока дипольный момент звезды уменьшается прямо пропорционально ее радиусу. Итак, нейтронная звезда должна обладать очень малым магнитным ди-польным моментом!
Распространив приведенные рассуждения на более высокие мультипольные моменты магнитного поля, мы легко получим изящный результат: коллапс звезды ?очищает¦ ее магнитное поле; так как более высокие мультиполи звезды пропорциональны более высоким степеням ее радиуса, при сжатии они исчезают еще быстрее, чем дипольный момент. Коллапс звезды является как бы ?чистилищем¦ для ее магнитного поля. Это свойство коллапса оправдывает традиционное предположение о чисто дипольном характере магнитного поля нейтронных звезд.
Но вернемся к магнитным полям у поверхности. Используя условие ?вморо-женности¦, можно оценить величину магнитного поля нейтронных звезд. Сожмем мысленно Солнце, радиус которого равен 700 тыс. км, до размера нейтронной звезды
Замедление скорости вращения радиопульсара Р5К 0833. Наблюдаются ?сбои периода¦, один из которых показан на рисунке. Сбои носят спорадический характер и не могут скомпенсировать среднего монотонного увеличения периода пульсара (по данным П. Рейчли и Г. Даунса, 1969 г.).
ешь¦ ? нужны более массивные звезды. И ..все-таки эта оценка дает правильное представление о порядке величины магнитного поля.
МАГНИТНЫЕ ПОЛЯ РАДИОПУЛЬСАРОВ
Первые данные о магнитных полях нейтронных звезд были получены сразу после открытия радиопульсаров в 1967 г. Импульсы радиоизлучения от пульсаров приходят на Землю строго периодически. Но это верно лишь в первом приближении. Замечательное свойство всех радиоПульса-ров заключается в том, что промежутки между временем прихода импульсов медленно 'растут. Это свойство ? ключевое для разгадки природы их энерговыделения.
Возникновение магнитодипольного излучения. Магнит, вращающийся вокруг оси ^, не совпадающей с его магнитной осью у.. излучает электромагнитные волны на частоте вращения ш. В результате магнит будет тормозиться^ как если бы к нему был приложен тормозящий момент сил. Торможение полностью определяется магнитным дипольным моментом а, частотой о) и углом в.
щийся магнит, ось вращения которого не совпадает с его магнитной осью. Из электродинамики известно, что такой магнит будет излучать электромагнитные волны на частоте вращения (магнитодипольное излучение). При этом уменьшение скорости вращения полностью определяется магнитным дипольным моментом (точнее, его проекцией на экватор вращения), частотой вращения магнита и его моментом инерции. Если мы знаем момент инерции и скорость вращения магнита, то, измерив замедление вращения, мы сможем определить проекцию его дипольного магнитного момента на экватор.
Этот метод был впервые применен для оценки магнитного поля нейтронной
В. М. Липунов
звезды. Конечно, пульсар не заменишь обычным магнитом, даже очень большим. Процессы, протекающие в магнитном поле радиопульсара, значительно сложнее простого излучения магнитодипольных волн. Однако большинство моделей радиопульсаров дают энергетические потери, близкие к магнитодипольным.
Сейчас найдено более 300 радиопульсаров, и для большинства из них известны изменения периода. Если мы зададимся некоторыми разумными значениями момента инерции звезды (обычно 10^ г • см^)
Распределение числа радиопульсаров по величине их магнитного поля. Величина магнитного поля оценивается по замедлению радиопульсара с помощью магнитодипольной формулы. Радиус нейтронной звезды принимается равным 10 км, а момент инерции ? 10" г. см. (Распределение построено по данным каталога Р. Манчестера и Дж. Тейлора, 1981 г.)
и ее радиуса (10 км), мы получим более 300 значений величины магнитного поля у нейтронных звезд: от 10^ до 10^ Гс, причем большинство радиопульсаров имеют поля порядка 10^ Гс.
Как видим, полученные результаты и близки, и далеки от ожидаемых. Близки, поскольку грубая оценка дает похожий порядок величины. А далеки, потому что не так-то просто сжатием получить напряженность магнитного поля около 10'^ Гс, а тем более 10^ Гс. Например, если имеется звезда солнечных размеров, то необходимо предположить, что ее поле должно составлять уже не 1, а 100 или 1000 Гс. Возможно, однако, что такое не подкрепленное наблюдениями предположение и не понадобится. Учитывая сильную зависимость конечного поля сколлапсировавшей звезды от ее радиуса, можно ?списать¦ трудности на этот счет. Вот если бы вдруг были обнаружены поля 10'^?10'^ Гс, тогда, действительно, пришлось бы ?бить в колокола¦.
Итак, данные по замедлению радиопульсаров говорят о том, что характерная величина их магнитного поля ?10^ Гс. Этот вывод оказался в прекрасном согласии с открытием западногерманских астрофизиков под руководством И. Трюмпера (Институт физики и астрофизики им. М. Планка).
?СПЕКТРОСКОПИЯ¦ РЕНТГЕНОВСКИХ ПУЛЬСАРОВ
В 1971 г. были открыты рентгеновские пульсары. Уже первые наблюдения показали, что они принципиально отличаются от радиопульсаров: рентгеновские пульсары не замедляются, а ускоряются! С чем связано столь разительное отличие в их поведении? Чем вообще определяется поведение нейтронной звезды? Оказалось, что радио- и рентгеновские пульсары генетически связаны, все дело лишь в том, что условия, в которых они находятся, совершенно различны: радиопульсары ? это одиночные нейтронные звезды, а рентгеновские пульсары ? нейтронные звезды в двойных системах.
Рентгеновские пульсары светятся из-за того, что на поверхность нейтронной звезды падает (аккрецирует) вещество, захваченное их гравитационным полем. Поставляет им это вещество обычная звезда ? второй компонент двойной системы. Вещество, стекающее с обычной звезды, участвует вместе с ней в орбитальном вращении и, следовательно, обладает вращательным моментом относительно нейтронной звезды. Прежде чем упасть на ее поверхность, вещество через магнитное поле отдает свой момент нейтронной звезде, закручивая ее. Именно поэтому рентгеновские пульсары ускоряются.
Вблизи нейтронной звезды вещество ?вмораживается¦ в силовые линии, стекая на магнитные полюса. На магнитных полюсах при ударе о твердую поверхность нейтронной звезды и возникает рентгеновское излучение пульсара. Температура в этих местах столь велика (ГО^ К), что все атомы полностью ионизованы, и, следовательно, жесткая часть спектра излучения пульсара (более 10 кэВ) не должна содержать никаких линий.
И все-таки линии в рентгеновском спектре могут быть. На это впервые ука-
ные линии, образующиеся в магнитном поле, называют циклотронными.
В 1976 г. группа ученых из Института физики и астрофизики им. М. Планка (ФРГ) обнаружила с помощью рентгеновского детектора, поднятого на воздушном шаре, циклотронную линию: в спектре рентгеновского пульсара Геркулес Х-1 в районе 30? 50 кэВ они нашли спектральную деталь, похожую на линию^ К сожалению, до сих пор не удалось точно установить, какая это линия ? излучения или поглощения. Если поглощения, то энергия линии ? 30 кэВ, если излучения ? 50 кэВ. Но пока это и не столь важно. Важно другое. Мы имеем дело именно с циклотронной линией (а никаких более разумных предположений высказано не было). Отсюда следует, что в районе полюсов нейтронная звезда Геркулес Х-1 имеет поле напряженностью (3? 5)- 10^ Гс. Эту оценку не может сильно изменить небольшая неопределенность, которая возникает из-за гравитационного красного смещения; на поверхности нейтронных звезд оно достигает нескольких десятков процентов.
Поражает совпадение полученной величины с характерной величиной, найденной из совершенно других соображений для радиопульсаров.
НОВЫЕ ВОПРОСЫ
Казалось бы, теперь в руках астрономов имеется надежный метод ? метод ?спектроскопического¦ измерения напряженности магнитного поля. Осталось только найти циклотронные линии у других рентгеновских пульсаров, и проблема решена. Но в том-то и дело, что у большинства рентгеновских пульсаров такие линии вообще отсутствуют, а найденные следы линии у еще двух-трех пульсаров находятся на уровне шума. Напомним, что большинство рентгеновских пульсаров излучает в диапазоне от нескольких кэВ до нескольких десятков кэВ, с максимумом вблизи 10? 20 кэВ. В этот диапазон могли бы попасть линии, соответствующие напряженности магнитного поля от нескольких единиц на
10" Гс до (7?8) .10^ Гс. Именно такие значения магнитных полей, полученные по наблюдениям радиопульсаров, наиболее ?популярны¦ и у нейтронных звезд. Как же объяснить отсутствие циклотронных линий в спектрах большинства рентгеновских пульсаров?
' Тгитрег ). е1 а1. А^горЬу¦. .1. Ье^., 1978, v. 219, ^. 105.
Можно предположить, что либо условия возникновения циклотронных линий столь специфичны, что им удовлетворяет лишь одна нейтронная звезда ? Геркулес Х-1, либо большинство рентгеновских пульсаров имеют магнитные поля, напряженности которых значительно отличаются от величины 10^ Гс, например 10'¦ Гс или 10'^ Гс. Первое предположение полностью исключить нельзя. Пожалуй, оно имеет лишь одно слабое место: ведь пульсар Геркулес Х-1 ничем не выделен среди остальных пульсаров. Второе объяснение также весьма рискованно. Пусть, например, рентгеновские пульсары имеют небольшие поля (10'" Гс). Тогда непонятно, почему среди радиопульсаров так мало звезд с полем 10'" Гс. Имеется и другое, как мне кажется, ?убийственное¦ для этой гипотезы возражение. Дело в том, что большинство рентгеновских пульсаров входит в состав массивных двойных систем, время жизни которых очень мало с астрономической точки зрения: 10^?10^ млн лет. Нейтронная звезда, обладающая полем 10'¦ Гс, за это время просто не успевает замедлить свое вращение до периодов в сотни секунд (а именно такие периоды характерны для рентгеновских пульсаров).
Кажется, что так же легко можно ?расправиться¦ и с предположением об аномально сильных магнитных полях у рентгеновских пульсаров (10'"* Гс). Ведь такие значения полностью противоречат наблюдениям радиопульсаров ? среди них нет ни одного со столь гигантским полем.
Но это возражение, как впервые заметил советский астрофизик Н. И. Шакура^ совершенно необоснованно. Дело в том, что мы и не должны видеть радиопульсары с такими большими полями. Время жизни радиопульсара обратно пропорционально скорости его замедления, т. е. обратно пропорционально квадрату поля пульсара. Например, радиопульсар с полем 10 Гс ?живет¦ в 10 тыс. раз меньше, чем пульсар с полем 10'^ Гс! Вероятность увидеть такой пульсар среди известных 300?400 радиопульсаров менее 3 %. Таким образом, при наблюдении радиопульсаров из их числа выпадают нейтронные звезды с очень большими полями. В астрономии это называется эффектом селекции.
МАГНИТНЫЕ ПОЛЯ РЕНТГЕНОВСКИХ ПУЛЬСАРОВ
Светимость рентгеновского пульсара определяется количеством вещества, падающего на поверхность нейтронной звезды в единицу времени (т. е. темпом ак-креции), и никоим образом не зависит' от скорости ее вращения. Важно только, чтобы нейтронная звезда вращалась не слишком быстро, иначе магнитное поле будет препятствовать аккреции. Скорость замедления вращения пропорциональна магнитному полю звезды, поэтому чем больше поле звезды, тем больше вероятность застать ее на стадии рентгеновского пульсара. Следовательно, для рентгеновских пульсаров характерна селекция совершенно обратного свойства ? среди них нейтронные звезды с большими полями должны встречаться чаще!
В настоящее время накоплен огромный наблюдательный материал о различных характеристиках рентгеновских пульсаров: их светимости, спектрах, массах, периодах, изменениях периодов и т. д. Какую наблюдательную величину лучше всего использовать для определения магнитного поля? Наиболее чувствительными к магнитному полю оказались период вращения рентгеновского пульсара, а также скорость изменения этого периода.
Рентгеновские пульсары, в отличие от радиопульсаров, могут как ускоряться, так и замедляться. Магнитосфера рентгеновского пульсара устроена так, что со стороны аккрецирующего вещества одновременно приложены ускоряющие и замедляющие моменты сил". По-видимому, вокруг большинства рентгеновских пульсаров имеются аккреционные диски. Это связано с тем, что, стекая с обычной звезды, вещество обладает настолько большим вращательным моментом, что не может упасть не нейтронную звезду, а образует вокруг нее аккреционный диск. Отдельные элементы вещества двигаются в диске по сильно закрученной спирали, постепенно приближаясь к нейтронной звезде. Однако на некотором расстоянии (около нескольких тысяч километров) магнитное поле нейтронной звезды возрастает настолько, что разрушает диск^. Вещество, проникая в маг-
' 1-1рипоу V. М.? А8<горЬу5. апс1 5расе 5с1., 1982. v. 82, р. 343.
^ Липунов В, М. Магнитосфера рентгеновских пульсаров.? Природа, 1980, ¦ 10, с, 52,
Аккреция вещества в двойной системе с образованием диска вокруг нейтронной звезды. Внизу? зависимость величины ускорения (Р ) и замедления вращения (Рд) рентгеновского пульсара от его параметров ? периода Р и светимости ^ (в единицах 10" ¦рг/с). Точки ? наблюдательные данные для ряда рентгеновских пульсаров, полученные с борта космических аппаратов. Линии ? теоретические кривые для различных величин напряженности магнитного поля (указаны цифрами, в гауссах) на поверхности нейтронной звезды. Радиус нейтронной звезды принимается равным 10 км. Запрещенная область находится выше прямой, соответствующей максимально возможному ускорению нейтронной звезды. На нижнем графике экспериментальные точки помечены стрелками, чтобы показать неопределенность в экспериментальных данных. Пунктирные линии соответствуют выключенному состоянию пульсара, когда радиус диска становится больше радиуса коротации (см. предыдущий рис.).
ля вращаются быстрее вещества и, следовательно, ?зацепляясь¦ за него, тормозят вращение нейтронной звезды.
Точно рассчитать ускоряющие и замедляющие моменты сил очень трудно. Для этого нужно решать трехмерную маг-нитогидродинамическую задачу, что пока не под силу даже самым быстродействующим ЭВМ. Однако качественно ясно, что замедление вращения нейтронной звезды должно сильнейшим образом зависеть от величины ее магнитного поля, точнее, от ее магнитного дипольного момента. Это свойство присутствует в приближенной аналитической теории, построенной автором^, и именно оно^ позволяет оценить магнитное поле рентгеновского пульсара. Прежде всего нужно было проверить эту теорию для пульсара Геркулес Х-1, у которого напряженность магнитного поля известна. Правда, для этого необходимо было задать радиус нейтронной звезды. Для Геркулеса Х-1, по данным изменения периода, магнитный дипольный момент равен (3? 5) • 10^ Гс • см^. Чтобы привести это значение в согласие с данными группы Трюмпера (т. е. с величиной магнитного поля (3? 5) • 10^ Гс), необходимо предположить, что радиус нейтронной звезды Геркулес Х-1 ра*ен 6?7 км; это не противоречит теоретическим расчетам строения нейтронных звезд. Таким образом, аналитическая модель ?крутящих моментов¦ дает правильный результат для Геркулеса Х-1. А как обстоят дела с другими пульсарами?
Нужно подчеркнуть, что большинство рентгеновских пульсаров имеет большие периоды, более 100 с. Так вот, для них при радиусе звезды 10 км получается •оценка магнитного поля около нескольких единиц на 10'^ Гс. Это так называемые сверхкритические поля. При таком поле энергия электрона, вращающегося вокруг силовой линии, значительно превышает его энергию покоя 511 кэВ, поэтому движение электрона описывается уже не просто квантовой, а квантово-релятивистской теорией^. На возможность существования таких полей у нейтронных звезд впервые указал в 1975 г. Н. И. Шакура. Но тогда эта идея была встречена астрофизиками
' Липунов В. М,? Астрой, ж., 1982, т. 60, с. 888.
Квантово-релятивистские эффекты в столь сильных поля¦ исследуются в МГУ под руководством И. М. Тернова. Подробнее об этом см;Тернов И.М,,Халилов В.Р, Электроны в сверхсильном магнитном поле.? Природа, 1983, ¦ 5, с. 90.
?в штыки¦. И на это были свои объективные и субъективные причины.
ПРОБЛЕМЫ И ПЕРСПЕКТИВЫ
Конечно, не существуют фундаментальные физические законы, запрещающие нейтронной звезде иметь поле напряженностью 10^ Гс. Бытует, правда, заблуждение, будто такие поля не могут существовать долго, поскольку в них должно идти интенсивное рождение частиц, подобно тому как это происходит в электрическом поле с напряженностью больше 4. 10'^ ед. С05Е. Но это совершенно неверно. Само по себе магнитное поле не рождает частицы, поскольку оно не способно совершать работу.
Однако отсутствие запрещающих фундаментальных законов ? еще не доказательство существования таких полей. Имеется ряд объективных трудностей. Главная из них ? проблема генерации магнитных полей. Если просто сжимать звезду типа Солнца с нормальным, уже ?вмороженным полем, то никогда не удастся получить магнитное поле величиной 10'^ Гс. Что можно ответить на такое возражение? Те же оценки (см. начало статьи) показывают, что не так-то просто получить и поля гораздо меньшей величины, около 10^ Гс, а уж существование таких полей у нейтронных звезд доказано наблюдениями. Так что новых проблем не возникало, просто старая проблема (хотя ее молчаливо обходили) резко обострилась. Чтобы решить ее, нужно либо предположить существование внутри звезд магнитных полей, напряженность которых в сотни и тысячи раз больше тех, которые мы регистрируем на поверхности; либо магнитные поля дополнительно генерируются при коллапсе (или после него) в нейтронной звезде.
Казалось бы, нет никаких ?либо-ли-бо¦ ? чего мудрить. Ведь астрономам давно известны так называемые Ар-звезды, у которых напряженность магнитного поля равна нескольким десяткам тысяч гаусс. При сжатии такой звезды в нейтронную звезду легко получить поле напряженностью 10'^ Гс! Астрономам также известны белые карлики с полем около 10" Гс, которые при сжатии в нейтронную звезду дадут напряженность поля не меньше.
Но дело в том, что рентгеновские пульсары, у которых найдены сверхкритические поля, входят в состав массивных двойных систем. Другими словами, их спутниками являются массивные О?'В-звезды (с массами более 15?20 М,д). Так вот, совре-
менная теория эволюции двойных звезд отвергает возможность существования в массивных системах таких маломассивных звезд, как Ар-звезды или белые карлики. Но о магнитных полях внутри О?В-звезд ничего не известно.
Вообще, генерация магнитного поля ? это целая проблема даже для обычных звезд. Для нейтронных звезд проблема еще менее разработана, и пока нет надежных результатов.
Мне кажется, субъективные причины, по которым многим астрофизикам не очень нравится идея сверхкритических полей, чисто психологического характера. До сих пор все работы по расчету спектров излучения плазмы в магнитном поле проводились лишь для докритических полей. Сверхкритическое поле значительно усложняет задачу, возникают ?новая¦ физика и новые проблемы.
Зато сверхкритическое поле позволяет объяснить отсутствие циклотронных линий в спектрах большинства рентгенов-
ских пульсаров. При поле 10 Гс эти линии ?уходят¦ в область энергий, больших 0,1 МэВ, где пульсар почти ничего не излучает,
Имеются и другие ?за¦ и ?против¦. Кратко характеризуя ситуацию, сложившуюся сейчас в той области астрофизики, которая занимается изучением магнитных полей нейтронных звезд, можно сказать так: несомненно, существуют нейтронные звезды, обладающие полями 10'^ Гс, и уже это ? рекорд. Появились очень веские аргументы в пользу того, что существуют нейтронные звезды со сверхкритическими полями, вплоть до 10 Гс, а возможно, и больше. Как это доказать? Единственный путь ? исследовать особенности поведения плазмы и ее излучения в столь сильных полях и найти эти особенности у наблюдаемых нейтронных звезд. Если это удастся сделать, мы обязаны будем взглянуть на проблему эволюции и генерации магнитных полей в астрофизике совершенно по-новому.
\
Астрофизика
?Спиральность¦ нейтрино и магнитные поля нейтронных звезд
Известно, что образование нейтронных звезд (коллапс) сопровождается огромным, до 10 эрг, выделением энергии. Астрофизиков давно волнует вопрос, насколько симметрично выбрасывается вся энергия. Ведь достаточно небольшой анизотропии, и образующаяся нейтронная звезда может получить огромный импульс отдачи. Например, если в одну сторону излучится на 0,01 % больше энергии, чем в другую, нейтронная звезда приобретет скорость в несколько сотен километров в секунду. Интересно, что именно такая скорость движения наблюдается у некоторых радиопульсаров.
Оригинальный механизм, приводящий к анизотропии, предложен Н. Н. Чугаем (Астрономический совет АН СССР).
Как показывают расчеты, почти всю энергию, излучаемую в процессе коллапса, уносят нейтрино, образующиеся при слиянии протонов и электронов и при захвате позитронов свободными нейтронами: Р+е ?*- п-(-у, п+е^-*-р-1- 7. В условиях коллапса спин-орбитальной связью можно пренебречь, поэтому полный спин частиц, вступающих в реакцию, должен быть равен спину образующихся частиц. Предположим, реакции проходят в магнитном поле столь сильном, что спины всех электронов и позитронов параллельны направлению этого поля. Предположим также, что протоны и нейтроны не поляризованы (это условие выполняется, поскольку магнитный момент нуклонов значительно меньше, чем у электронов).Тогда при всевозможных направлениях спина нуклонов до и после реакции спины образующихся нейтрино в большинстве случаев ориентированы по полю (у антинейтрино ? против поля). Но нейтрино ?спиральны¦; их спин всегда направлен по направлению движения (у антинейтрино ? наоборот). Это означает, что большая часть нейтрино и антинейтрино вылетает по направлению поля. По закону сохранения импульса, звезда должна получить сильнейший импульс отдачи. В реальных условиях только часть электронов и позитронов полностью поляризованы.
По оценкам Чугая, скорость, приобретаемая нейтронной звездой, равна у=30(В/10' •1-е) (М/М^)-• (К/10" см)-' км/с, где В '•? напряженность магнитного поля, М и К? масса и радиус нейтронной звезды.Таким образом, чтобы объяснить наблюдаемые скорости радиопульсаров (100 км/с), нужно предположить существование магнитных полей, примерно равных 3- 10'" Гс
Похожие рефераты:
Синхронные машины. Машины постоянного тока
Классификация и эволюция звёзд
Уникальный астрономический объект SS 433
Эволюция взглядов о рождении звёзд
Билеты по астрономии, 11 класс
Тиристорные устройства для питания автоматических телефонных станций
Анализ погрешностей волоконно-оптического гироскопа
Эволюционные процессы в мегамире(Звезды)
Возникновение и развитие звезд
Исследование магнитного гистерезиса
Моделирование тепловых процессов при наплавке порошковой проволокой
Разработка ветроэнергетической установки
Ответы к экзаменационным билетам по физике 11 класс (ответы к 29 билетам)
