| Скачать .docx |
Реферат: Дихальна система
Вступление
Кислород находится в окружающем нас воздухе. Он может проникнуть сквозь кожу, но лишь в небольших количествах, совершенно недостаточных для поддержания жизни. Существует легенда об итальянских детях, которых для участия в религиозной процессии покрасили золотой краской; история дальше повествует, что все они умерли от удушья, потому что “кожа не могла дышать”. На основании научных данных смерть от удушья здесь совершенно исключена, так как поглощение кислорода через кожу едва измеримо, а выделение двуокиси углерода составляет менее 1% от ее выделение через легкие. Поступление в организм кислорода и удаление углекислого газа обеспечивает дыхательная система. Транспорт газов и других необходимых организму веществ осуществляется с помощью кровеносной системы. Функция дыхательной системы сводится лишь к тому, чтобы снабжать кровь достаточным количеством кислорода и удалять из нее углекислый газ.
Механизмы газообмена
Важнейший механизм газообмена - это диффузия . При диффузии молекулы перемещаются из области их высокой концентрации в область низкой, причем на работу по переносу молекул затрачивается их собственная кинетическая энергия (пассивный транспорт). Однако при диффузии различные вещества переносятся лишь на сравнительно малые расстояния в пределах организма - меньше 1 мм.
В случае, если необходимо перенести вещества на большое расстояние, используется конвекционный транспорт , именно таким способом переносятся молекулы газа через дыхательные пути в процессе легочной вентиляции . К конвекционным процессам относится также транспорт газов кровью .
Виды дыхания
В зависимости от особенностей строения системы, которая обеспечивает обмен газов между организмом и окружающей средой, различают кожное, трахейное, жабровое и легочное дыхание.
Кожное дыхание – это диффузия О2 и СО2 . в следствии химического градиента их через внешнюю поверхность тела животного, которое возможно только тогда, когда поверхность тела будет влажной, так как эти газы хорошо растворяются в воде. Такой прямой тип дыхания обеспечивает газообмен в одноклеточных организмах, в многих бесхребетных (губок, плоских червей, пиявок и др.). Кожное дыхание имеет определенное значение и для животных с другими типами дыхания. Так у личинок земляных насекомых, у которых есть трахейная система, 25% общих потребностей кислорода удовлетворяют за счет кожного дыхания, у водяных улиток – 50%, в угрев речковых с жабровым типом дыхания – 60%.Выделение СО2 через кожу происходит в всех животных, на в разном количестве: в ящерицы – 85%, в кролика – 7,6%, в человека 1,0 % объема, который выделяют легкие.
Трахейное дыхание
появляется в насекомых. В ходе эволюции формируется специальная трахейн
ая система, которая обеспечивает нахождение в клетке О2
и выделение c них СО2
в следствии диффузии. В насекомых существуют разные дополнительные приборы, которые способствуют лучшей вентиляции трахей и общему газообмену. Главной чертой этого типа дыхания есть то, что внутреннее тканевое дыхание обеспечивается без промежуточного этапа – растворение газов в крови и транспортировка их по телу.
Жабровое дыхание характерное для рыб, моллюсков, ракоподобных, некоторые амфибий, которые имеют тканевые отростки в форме пластинок, лепестков, пучков, покрытых тонким шаром эпителию и пронизанный густой сеткой кровеносных капилляров. Через жабры беспрерывно проходит вода с растворенным в ней кислородом, который переходит в кровь, а СО2 – в воду. В связи с тем, что в воде в 30 раз меньше кислорода нежели в воздухе, в некоторых рыб есть дополнительные формы дыхания: кожное, кишечное.
Легочное дыхание характерное для высших хребетных животных (начиная с рептилий ) Это наиболее усовершенствованная система обеспечения газообмену организма адекватно высокому уровню обмена веществ.
Легочное дыхание составляется с четырех этапов:
1) вентиляция легких (внешнее дыхание);
2) газообмен в легких;
3) транспортировка газов кровью к тканям;
4) газообмен между кровью и тканями.
У высших животных процесс дыхания осуществляется благодаря ряду последовательных процессов.
1. Обмен газов между средой и легкими, что обычно обозначают как "легочную вентиляцию".
2. Обмен газов между альвеолами легких и кровью (легочное дыхание).
3. Обмен газов между кровью и тканями: газы переходят внутри ткани к местам потребления (для O2) и от мест образования (для CO2) (клеточное дыхание).
Выпадение любого из этих четырех процессов приводят к нарушениям дыхания и создает опасность для жизни человека.
Морфологическое описание системы
Дыхательная система: организация
Дыхательная система человека состоит из тканей и органов, обеспечивающих легочную вентиляцию и лег
очное дыхание. К воздухоносным путям относятся: нос, полость носа, носоглотка, гортань, трахея, бронхи и бронхиолы. Легкие состоят из бронхиол и альвеолярных мешочков, а также из артерий, капилляров и вен легочного круга кровообращения. К элементам костно-мышечной системы, связанным с дыханием, относятся ребра, межреберные мышцы, диафрагма и вспомогательные дыхательные мышцы.
Краткое описание дыхательной системы наведено в таблице № 1
Таблица №1
| Транспорт кислорода |
Путь доставки кислорода |
Строение |
Функции |
| Верхние дыхательные пути |
Носовая полость |
Начальный отдел дыхательного пути. От ноздрей воздух проходит по носовым ходам, выстланным слизистым и реснитчатым эпителием |
Увлажнение, согревание, обеззараживание воздуха, удаление частиц пыли. В носовых ходах находятся обонятельные рецепторы |
| Глотка |
Состоит из носоглотки и ротовой части глотки, переходящей в гортань |
Проведение согретого и очищенного воздуха в гортань |
|
| Гортань |
Полый орган, в стенках которого имеется несколько хрящей - щитовидный, надгортанный и др. Между хрящами находятся голосовые связки, образующие голосовую щель |
Проведение воздуха из глотки в трахею. Защита дыхательных путей от попадания пищи. Образование звуков путем колебания голосовых связок, движения языка, губ, челюсти |
|
| Трахея |
Дыхательная трубка длиной около 12 см, в стенке ее находятся хрящевые полукольца. |
Свободное продвижение воздуха |
|
| Бронхи |
Левый и правый бронхи образованы хрящевыми кольцами. В легких они ветвятся на мелкие бронхи, в которых количество хрящей постепенно уменьшается. Конечные разветвления бронхов в легких - бронхиолы |
Свободное продвижение воздуха |
|
| Легкие |
Легкие |
Правое легкое состоит из трех долей, левое - из двух. Находятся в грудной полости тела. Покрыты плеврой. Лежат в плевральных мешках. Имеют губчатое строение |
Органы дыхания. Дыхательные движения осуществляются под контролем центральной нервной системы и гуморального фактора, содержащегося в крови - СО2 |
| Альвеолы |
Легочные пузырьки, состоящие из тонкого слоя плоского эпителия, густо оплетенные капиллярами, образуют окончания |
Увеличивают площадь дыхательной поверхности, осуществляют газообмен между кровью и легкими |
|
| Кровеносная система |
Капилляры легких |
Стенки состоят из однослойного эпителия. Концентрация газов в капиллярах и альвеолах разная. Кровь в капиллярах венозная, насыщенная СО2 |
Транспортируют венозную кровь из легочной артерии в легкие По законам диффузии О2 поступает из мест большей концентрации (альвеолы) в места меньшей концентрации (капилляры),в то же время СО; диффундирует в противоположном на правлении |
| Легочная вена |
Капилляры, соединяясь в более крупные сосуды, образуют легочную вену, которая заканчивается у левого предсердия |
Транспортирует О2 от легких к сердцу Кислород, попав в кровь, сначала растворяется в плазме, затем соединяется с гемоглобином, и кровь становится артериальной |
|
| Сердце |
Левая - артериальная - сторона сердца состоит из левого предсердия и левого желудочка, соединенных двухстворчатым клапаном |
Проталкивает артериальную кровь по большому кругу кровообращения |
|
| Артерии |
Кровеносные сосуды большого круга кровообращения разветвляются на более мелкие артериолы, а затем на капилляры |
Обогащают кислородом все органы и ткани |
|
| Капилляры тела |
Строение такое же, как и капилляров легких, но кровь они приносят артериальную, насыщенную О2 |
Осуществляют газообмен между кровью и тканевой жидкостью. О2 переходит в тканевую жидкость, а СО2 диффундирует в кровь. Кровь становится венозной |
|
| Клетка |
Митохондрии |
Органеллы клеток, в которых содержатся дыхательные ферменты. На внутренней мембране, образующей кристы, и в матриксе, осуществляется кислородный этап |
Клеточное дыхание - усвоение О2 воздуха. Органические вещества благодаря О2 и дыхательным ферментам окисляются (диссимиляция). Конечные продукты Н2 О, СО2 и энергия, которая идет на синтез АТФ. Н2 О и СО2 , выделяются в тканевую жидкость, из которой они диффундируют в кровь. |
Воздухоносные пути.
Воздух поступает в организм через две наружные ноздри , у каждой из которых имеется каемка волос, задерживающая посторонние частицы. Носовые ходы выстланы ресничным эпителием , в котором имеются бокаловидные клетки , секретирующие слизь , которая улавливает частицы, прошедшие через каемку волос. Слизь увлажняет вдыхаемый воздух, здесь же, в носовых ходах воздух нагревается, благодаря неглубоко залегающим кровеносным сосудам . В крыше задней части носовой полости находится обонятельный эпителий . Пройдя через носовые ходы, воздух попадает в глотку через два внутренних отверстия. Щелевидное отверстие , ведущее в гортань , защищено от попадания пищи, которая могла бы закупорить дыхательные пути , треугольным клапаном из хрящевой ткани - надгортанником .
|
|
Рис. 1.
Наружная часть носа образована треугольным костно-хрящевым остовом, который покрыт кожей; два овальных отверстия на нижней поверхности ноздри открываются каждое в клиновидную полость носа. Эти полости разделены перегородкой. Три легких губчатых завитка (раковины) выдаются из боковых стенок ноздрей, частично разделяя полости на четыре незамкнутых прохода (носовые ходы). Полость носа выстлана богато васкуляризованной слизистой оболочкой. Многочисленные жесткие волоски, а также снабженные ресничками эпителиальные и бокаловидные клетки служат для очистки вдыхаемого воздуха от твердых частиц. В верхней части полости лежат обонятельные клетки. Из н
оса воздух проходит в носоглотку, гортань и трахею.
Гортань - это полость перед входом в трахею , образованная девятью хрящами. Прикрепленные к ним мышцы позволяют этим хрящам двигаться относительно друг друга. Полость гортани разделена двумя складками слизистой оболочки, не полностью сходящимися по средней линии. Пространство между этими складками - голосовая щель защищено пластинкой волокнистого хряща - надгортанником (рис. 2 ). По краям голосовой щели в слизистой оболочке лежат фиброзные эластичные связки, которые называются нижними, или истинными, голосовыми складками (связками). Над ними находятся ложные голосовые складки, которые защищают истинные голосовые складки и сохраняют их влажными; они помогают также задерживать дыхание, а при глотании препятствуют попаданию пищи в гортань. (рис. 1 ) Специализированные мышцы натягивают и расслабляют истинные и ложные

голосовые складки. Эти мышцы играют важную роль при фона
ции, а также препятствуют попаданию каких-либо частиц в дыхательные пути.
Из гортани воздух попадает в трахею - трубку, которая лежит непосредственно перед пищеводом и заканчивается в грудной полости . Стенки трахеи укреплены С-образными хрящами, благодаря чему она постоянно остается открытой. Своей незамкнутой стороной С-образные хрящи обращены к пищеводу , они не позволяют трахее спадаться при вдохе. У большинства млекопитающих хрящи образуют неполные кольца. Части, примыкающие к пищеводу, замещены фиброзной связкой. Изнутри трахея выстлана псевдомногослойным ресничным цилиндрическим эпителием , в котором находятся секретирующие слизь бокаловидные клетки . В слизи застревают попавшие в трахею пылинки и микробы, а ритмичные биения ресничек, направленные в сторону ротовой полости, удаляют их из трахеи.
На нижнем конце трахея разделяется на два бронха. Правый бронх обычно короче и шире левого.
Правый бронх трахеи разделяется на три меньших бронха, каждый их которых направляется в одну из долей правого легкого
. Левый бронх трахеи
разделяется на два бронха, которые заканчиваются в двух долях левого легкого
. В обоих легких
каждый бронх многократно делится на еще более тонкие трубки, называемые бронхиолами
,самые мелкие из которых – конечные бронхиолы являются последним элементом воздухоносных путей. Имеющиеся в бронхах С-образные хрящи
в более мелких трубах замещены хрящевыми пластинками неправильной формы, а в бронхиолах, внутренний диаметр которых меньше 1 мм, хряща нет совсем. Стенка состоит здесь только из гладкой мускулатуры
, соединительной ткани
с эластическими волокнами, обеспечивающими возможность растяжения и упругого сужения бронхиол, и выстилающего бронхиолы ресничного эпителия
с секретирующими слизь клетками. Самые мелкие трубочки, называемые дыхательными бронхиолами
, имеют в диаметре около 0,5 мм. Они в свою очередь делятся на многочисленные альвеолярные ходы
, выстланные кубическим эпителием
и оканчивающиеся альвеолярными мешочками, которые называются альвеолами
.

Рис. 3
Легкие.
В целом легкие имеют вид губчатых, пористых конусовидных образований, лежащих о обеих половинах грудной полости.
Наименьший структурный элемент легкого - долька (рис.4 .) состоит из конечной бронхиолы, ведущей в легочную бронхиолу и альвеолярный мешок. Стенки легочной бронхиолы и альвеолярного мешка образуют углубления – альвеолы. Такая структура легких увеличивает их дыхательную поверхность, которая в 50-100 раз превышает поверхность тела. Относительная величина поверхности, через которую в легких происходит газообмен, больше у животных с высокой активностью и подвижностью. Толщина альвеолярной стенки
составляет около 0,0001 мм. Наружная сторона альвеолярной стенки покрыта густой сетью кровеносных капилляров
, диаметр которых меньше диаметра эритроцитов
, и эритроциты протискиваются через них под напором крови
. При этом большая доля их поверхности приходит в контакт с поверхностью альвеол, на которой осуществляется газообмен
, и в эритроциты, таким образом, поступает больше кислорода
. Кроме того, эритроциты движутся по капилляру относительно медленно, так что газообмен может происходить дольше. Когда кровь
покидает альвеолы, парциальные давления кислорода и углеки
слого газа в ней такие же, как в воздухе альвеолы. Стенки альвеол состоят из одного слоя эпителиальных клеток и окружены легочными капиллярами. Внутренняя поверхность альвеолы покрыта поверхностно-активным веществом сурфактантом. Как полагают, сурфактант является продуктом секреции гранулярных клеток. Отдельная альвеола, тесно соприкасающаяся с соседними структурами, имеет форму неправильного многогранника и приблизительные размеры до 250 мкм. Принято считать, что общая поверхность альвеол, через которую осуществляется газообмен, экспоненциально зависит от веса тела. С возрастом отмечается уменьшение площади поверхности альвеол.
Рис.4
Плевра.
Каждое легкое окружено мешком - плеврой (рис.5). Наружный (париетальный) листок плевры примыкает к внутренней поверхности грудной стенки и диафрагме, внутренний (висцеральный) покрывает легкое. Щель между листками называется плевральной полостью. При движении грудной клетки внутренний листок обычно легко скользит по наружному. Давление в плевральной полости всегда меньше атмосферного (отрицательное). В условиях покоя внутри плевральное давление у человека в среднем на 4,5 торр ниже атмосферного (-4,5 торр). Межплевральное пространство между легкими называется средостением; в нем находятся трахея, зобная железа (тимус) и сердце с большими сосудами, лимфатические узлы и пищевод.
|
|
Кровеносные сосуды легких.
Легочная артерия несет
кровь от правого желудочка сердца, она делится на правую и левую ветви, которые направляются к легким. Эти артерии ветвятся, следуя за бронхами, снабжают крупные структуры легкого и образуют капилляры, оплетающие стенки альвеол (рис. 4).
Воздух в альвеоле отделен от крови в капилляре
1) стенкой альвеолы,
2) стенкой капилляра и в некоторых случаях,
3) промежуточным слоем между ними.
Из капилляров кровь поступает в мелкие вены, которые в конце концов соединяются и образуют легочные вены, доставляющие кровь в левое предсердие.
Бронхиальные артерии большого круга тоже приносят кровь к легким, а именно снабжают бронхи и бронхиолы, лимфатические узлы, стенки кровеносных сосудов и плевру. Большая часть этой крови оттекает в бронхиальные вены, а оттуда – в непарную (справа) и в полунепарную (слева). Очень небольшое количество артериальной бронхиальной крови поступает в легочные вены.
Кровь: газы растворенные, содержание
Содержание газа в жидкости в физически растворенном виде зависит от его напряжения и коэффициента растворимости, отражающего способность данного газа поглощаться данной жидкостью.
В артериальной крови содержание физически растворенного кислорода составляет 0,003 мл кислорода на 1 мл крови, а содержание углекислого газа в артериальной крови - 0,026 мл на 1 мл крови.
Хотя содержание в крови кислорода и углекислого газа в физически растворенном состоянии относительно невелико, это состояние играет огромную роль в жизнедеятельности организма. Для того, чтобы связаться с теми или иными веществами, дыхательные газы сначала должны быть доставлены к ним в физически растворенном виде. Таким образом, при диффузии в ткани или кровь каждая молекула кислорода или углекислого газа определенное время пребывает в состоянии физического растворения. 
Гемоглобин: связывание кислорода
Большая часть кислорода переносится кровью в виде химического соединения с гемоглобином, один моль которого может связать до 4 молей кислорода. Т.е. 1 г гемоглобина может связать 1,39 мл кислорода. При анализе газового состава крови получают несколько меньшую величину - 1,34 - 1,36 мл кислорода на 1 г гемоглобина, так как некоторая часть гемоглобина находится в неактивном виде. Зная содержание гемоглобина, можно вычислить кислородную емкость крови . Максимальная ее величина составляет 0,20 л кислорода на 1 л крови. Однако такое содержание кислорода в крови может достигаться только в том случае, если кровь контактирует с газовой смесью с высоким содержанием кислорода, а в естественных условиях гемоглобин оксигенируется не полностью.
Отношение между количеством гемоглобина и оксигемоглобина зависит от содержания физически растворенного кислорода в крови, которое пропорционально напряжению кислорода. Процентное отношение оксигемоглобина к общему содержанию гемоглобина в крови называется насыщением гемоглобина кислородом . Насыщение гемоглобина кислородом зависит от напряжения кислорода. Графически эту зависимость отражает так называемая кривая диссоциации оксигемоглобина, которая имеет S-образную форму.
Кровь: двуокись углерода, перенос
Конечный продукт окислительных обменных процессов - двуокись углерода - переносится кровью к легким и удаляется через них во внешнюю среду. Так же как и кислород , двуокись углерода может переноситься как в физически растворенном виде, так и в составе химических соединений. Химические реакции связывания двуокиси углерода сложнее, чем реакции присоединения кислорода, так как механизмы, отвечающие за транспорт двуокиси углерода, должны одновременно обеспечивать поддержание постоянства кислотно-щелочного равновесия крови и тем самым внутренней среды организма в целом.
Кровь: двуокись углерода, связывание
Напряжение углекислого газа в артериальной крови , поступающей в тканевые капилляры , составляет 40 мм рт. ст. В клетках, расположенных возле этих капилляров, его напряжение значительно выше, так как углекислый газ постоянно образуется в процессе метаболизма . В связи с этим физически растворенный углекислый газ переносится по градиенту напряжения из тканей в капилляры. Здесь некоторое количество углекислого газа
остается в состоянии физического растворения, но большая часть его претерпевает ряд химических превращений.
Прежде всего происходит гидратация молекулы двуокиси углерода с образованием угольной кислоты . В плазме крови эта реакция протекает очень медленно, в эритроците она ускоряется примерно в 10 тыс. раз. Это связано с действием фермента угольной ангидразы ( карбоангидразы ). Поскольку этот фермент присутствует только в клетках, практически все молекулы двуокиси углерода, участвующие в реакции гидратации, должны сначала поступить в эритроциты.
Следующая реакция заключается в диссоциации слабой угольной кислоты на ионы бикарбоната и ионы водорода . Накопление ионов бикарбоната в эритроците приводит к тому, что между его внутренней средой и плазмой крови создается диффузионный градиент. Ионы бикарбоната могут передвигаться по этому градиенту лишь в том случае, если при этом не будет нарушаться равновесное распределение электрических зарядов. Поэтому с выходом каждого бикарбонатного иона должен происходить либо выход из эритроцита одного катиона, либо вход одного аниона. Поскольку мембрана эритроцита практически непроницаема для катионов, но сравнительно легко пропускает небольшие анионы, взамен бикарбонатного иона в эритроцит поступают ионы хлора . Этот обменный процесс называется хлоридным сдвигом .
По мере поступления углекислого газа в эритроцит, там постоянно образуются не только бикарбонатные ионы, но также ионы водорода , однако это не сопровождается значительными сдвигами рН, что обусловлено особыми свойствами гемоглобина , который обладает значительной буферной емкостью.
Углекислый газ может связываться также путем непосредственного присоединения к аминогруппам белкового компонента гемоглобина. При этом образуется так называемая карбаминовая связь.
В легких направление всех описанных реакций меняется на противоположное, в результате чего происходит выделение углекислого газа.
Дыхательные мышцы.
Дыхательные мышцы – это те мышцы, сокращения которых изменяют объем грудной клетки. Мышцы, направляющиеся от головы, шеи, рук и некоторых верхних грудных и нижних шейных позвонков, а также наружные межреберные мышцы, соединяющие ребро с ребром, приподнимают ребра и увеличивают объем грудной клетки. Диафрагма мышечно-сухожильная пластина, прикрепленная к позвонкам, ребрам и грудине, отделяет грудную полость от брюшной. Это главная мышца, участвующая в нормальном вдохе. При усиленном вдохе сокращаются дополнительные группы мышц. При усиленном выдохе действуют мышцы, прикрепленные между ребрами (внутренние межреберные мышцы), к ребрам и нижним грудным и верхним поясничным позвонкам, а также мышцы брюшной полости; они опускают ребра и прижимают брюшные органы к расслабившейся диафрагме, уменьшая таким образом емкость грудной клетки.
Эластическое сопротивление легочной ткани
растягиванию ее вдыхаемым воздухом зависит не только от эластических структур легкого. Оно обусловлено также поверхностным натяжением альвеол и наличием сурфактанта – фактора, понижающего поверхностное натяжение. Это вещество, богатое фосфолипидами и липопротеидами, образуется в клетках а
львеолярного эпителия. Сурфактант препятствует спадению легких при выходе, а поверхностное натяжение альвеолярных стенок предупреждает чрезмерное растягивание легких на вдохе.
Легочная вентиляция.
Циркуляция воздуха в легких во время дыхания называется легочной вентиляцией, показателем которой является минутный объем легких. Под минутным объемом понимают то количество воздуха, которое проходит через легкие за минуту. Для того чтобы узнать минутный объем, частоту дыхательных движений в минуту умножают на объем воздуха, поступающего в легкие при одном вдохе. Пока внутриплевральное давление остается ниже атмосферного, размеры легких точно следуют за размерами грудной полости. Движения легких совершаются в результате сокращения дыхательных мышц в сочетании с движением частей грудной стенки и диафрагмы. Эффективность внешнего дыхания может быть оценена по величине легочной вентиляции. Она зависит от частоты и глубины дыхания. Величина легочной вентиляции косвенно связана с жизненной емкостью легких, которая равна суммарной величине дыхательного (объем, который вдыхает и выдыхает взрослый человек за 1 дыхательный цикл) и дополнительного(объем, который можно выдохнуть после спокойного выдоха) объемов легких.
Легочная вентиляция в покое составляет 5-6 дм3 .
Дыхательные движения.
Вентиляция альвеол , необходимая для газообмена, осуществляется благодаря чередованию вдоха и выдоха. При вдохе в альвеолы поступает насыщенный кислородом атмосферный воздух, а при выдохе в окружающую среду удаляется воздух, бедный кислородом, но богатый углекислым газом. Передвижение воздуха во время вдоха и выдоха обусловлено попеременным увеличением и уменьшением размеров грудной клетки.
Существует два механизма, вызывающих расширение грудной клетки, это поднятие ребер и уплощение диафрагмы. Расслабление всех связанных с дыханием мышц придает грудной клетке положение пассивного выдоха. Соответствующая мышечная активность может перевести это положение во вдох или же усилить выдох.
Вдох создается расширением грудной полости и всегда является активным процессом. Благодаря своему сочленению с позвонками ребра движутся вверх и наружу, увеличивая расстояние от позвоночника до грудины, а также боковые размеры грудной полости (реберный или грудной тип дыхания). (Рис.5.1) Сокращение диафрагмы меняет ее форму из купол
ообразной в более
|
|
(Схематическое изображение грудной клетки, какие движения совершаются при дыхании.) |
(Изменение положение передней стенки тела при дыхании)
Рис. 5.1
плоскую, что увеличивает размеры грудной полости в продольном направлении (диафрагмальный или брюшной тип дыхания). Обычно главную роль во вдохе играет диафрагмальное дыхание. Поскольку люди-существа двуногие, при каждом движении ребер и грудины меняется центр тяжести тела и возникает необходимость приспособить к этому разные мышцы.
При спокойном дыхании у человека обычно достаточно эластических свойств и веса переместившихся тканей, чтобы вернуть их в положение, предшествующее вдоху. Таким образом, выдох в покое происходит пассивно вследствие постепенного снижения активности мышц, создающих условие для вдоха. Активный выдох может возникнуть вследствие сокращения внутренних межреберных мышц в дополнение к другим мышечным группам, которые опускают ребра, уменьшают поперечные размеры грудной полости и расстояние между грудиной и позвоночником. Активный выдох может также произойти вследствие сокращения брюшных мышц, которое прижимает внутренности к расслабленной диафрагме и уменьшает продольный размер грудной полости.
Расширение легкого снижает (на время) общее внутрилегочное (альвеолярное) давление. Оно равно атмосферному, когда воздух не движется, а голосовая щель открыта. Оно ниже атмосферного, пока легкие не наполнятся при вдохе, и выше атмосферного при выдохе. Внутриплевральное давление тоже меняется на протяжении дыхательного движения; но оно всегда ниже атмосферного (т. е. всегда отрицательное).
Дыхание легочное: движение ребер
Ребра образуют подвижные соединения с телами и поперечными отростками позвонков. Через эти две точки проходит ось, вокруг которой вращаются ребра. Когда в результате сокращения
мышц ребра поднимаются, размеры грудной клетки
увеличиваются как в боковом, так и в передне-заднем направлении.
Ось вращения верхних ребер расположена почти поперечно, а ось нижних ребер занимает более сагитальное положение. В связи с этим при вдохе верхние отделы грудной клетки увеличиваются в основном в передне-заднем, а нижние - в боковых направлениях. Кроме того, движения нижних ребер оказывают большее влияние на объем грудной клетки, в связи с чем нижние доли вентилируются значительно лучше, чем верхушки.
Дыхание легочное: движения диафрагмы
Диафрагма ограничивает грудную полость снизу. Она состоит из сухожильного центра и мышечных волокон, отходящих от этого центра во всех направлениях и прикрепляющихся к нижней апертуре грудной клетки . В норме диафрагма имеет форму купола, выдающегося в грудную полость. Во время выдоха она прилегает к внутренней стенке грудной клетки на протяжении приблизительно трех ребер.
Во время вдоха диафрагма уплощается в результате сокращения ее мышечных волокон. При этом она отходит от внутренней поверхности грудной клетки, и открываются реберно-диафрагмальные синусы . Участки легких , расположенные в области этих синусов, особенно хорошо вентилируются.
В зависимости от того, связано ли расширение грудной клетки при нормальном дыхании преимущественно с поднятием ребер или уплощением диафрагмы, различают реберный (грудной) и брюшной типы дыхания.
Дыхание легочное: передача дыхательных движений
Передача дыхательных движений от грудной клетки к легким происходит следующим образом. Несмотря на то, что анатомически легкие не связаны с внутренней стенкой грудной клетки , они на всей поверхности тесно прилегают к ней как в покое, так и при дыхательных движениях. Это связано с тем, что тончайшая щель между висцеральной плеврой и париетальной плеврой заполнена несжимаемой жидкостью. Благодаря этому оба плевральных листка прочно сцеплены, хотя они и способны скользить относительно друг друга. Такое скольжение необходимо для того, чтобы легкие могли следовать за сложными изменениями формы грудной клетки, не деформируясь.
Дыхание легочное: диффузия газов в легких
Для того, чтобы обмен путем диффузии был достаточно эффективным, обменная поверхность должна быть большой, а диффузинное расстояние - маленьким. Диффузионный барьер в легких полностью отвечает этим условиям. Общая поверхность альвеол
составляет около 50 - 80 кв. м. По своим структурным особенностям ткань легких подходит для осуществления диффузии: кровь легочных капилляров отделена от альвеолярного пространства тончайшим слоем ткани. В процессе диффузии кислород
проходит через альвеолярный эпителий
, интерстициальное пространство
между основными мембранами, эндотелий капилляра
, плазму крови , мембрану эритроцита и внутреннюю среду эритроцита. Суммарное диффузное расстояние составляет всего около 1 мкм.
Молекулы углекислого газа диффундируют по тому же пути, но в обратном направлении - от эритроцита к альвеолярному пространству. Однако диффузия углекислого газа становится возможной только после высвобождения его из химической связи с другими соединениями.
При прохождении эритроцита через легочные капилляры время, в течении которого возможна диффузия (время контакта), относительно невелико (около 0,3 с). Однако этого времени вполне достаточно для того, чтобы напряжение дыхательных газов в крови и их парциальное давление в альвеолах практически сравнялись.
Изменения объема легких.
У человека легкие занимают около 6% объема тела независимо от его веса. Объем легкого меняется при вдохе не всюду одинаково. Для этого имеются три главные причины, во-первых, грудная полость увеличивается неравномерно во всех направлениях, во-вторых, не асе части легкого одинаково растяжимы. В-третьих, предполагается существование гравитационного эффекта, который способствует смещению легкого книзу.
Объем воздуха, вдыхаемый при обычном (неусиленном) вдохе и выдыхаемой при обычном (неусиленном) выдохе, назывется дыхательным воздухом. Объем максимального выдоха после предшествовавшего максимального вдоха называется жизненной емкостью. Она не равна всему объему воздуха в легком (общему объему легкого), поскольку легкие полностью не спадаются. Объем воздуха, который остается в наспавшихся легких, называется остаточным воздухом. Имеется дополнительный объем, который можно вдохнуть при максимальном усилии после нормального вдоха. А тот воздух, который выдыхается макси-
|
|
Рис. 6 Распределение объема и емкости легких у взрослых.
мальным усилием после нормального выдоха, это резервный объем выдоха. Функциональная остаточная емкость состоит из резервного объема выдоха и остаточного объема. Это тот находящийся в легких воздух, в котором разбавляется нормальный дыхательный воздух (рис.6). Вследствие этого состав газа в легких после одного дыхательного движения обычно резко не мен
яется.
Минутный объем V-это воздух, вдыхаемый за одну минуту. Его можно вычислить, умножив средний дыхательный объем (Vt) на число дыханий в минуту (f), или V=fVt. Часть Vt, например, воздух в трахее и бронхах до конечных бронхиол и в некоторых альвеолах, не участвует в газообмене, так как не приходит в соприкосновение с активным легочным кроватоком - это так называемое “мертвое” пространство (Vd). Часть Vt, которая участвует в газообмене с легочной кровью, называется альвеолярным объемом (VA).
С физиологической точки зрения альвеолярная вентиляция (VA) - наиболее существенная часть наружного дыхания VA=f(Vt-Vd), так как она является тем объемом вдыхаемого за минуту воздуха, который обменивается газами с кровью легочных капилляров.
Насыщение тканей кислородом.
Транспорт O2 из крови в те участки ткани, где он используется, происходит путем простой диффузии. Поскольку кислород используется главным образом в митохондриях, расстояния, на которые происходит диффузия в тканях, представляются большими по сравнению с обменом в легких. В мышечной ткани присутствие миоглобина, как полагают, облегчает диффузию O2. Для вычисления тканевого Po2 созданы теоретически модели, которые предусматривают факторы, влияющие на поступление и потребление O2, а именно расстояние между капиллярами, кроваток в капиллярах и тканевой
метаболизм. Самое низкое
|
|
Рис 7
PО2 установлено в венозном конце и на полпути между капиллярами, если принять, что кроваток в капиллярах одинаковый и что они параллельны.
Функциональное описание системы
Дыханием называется процесс газообмена между организмом и окружающей средой.
Клетка для своих потребностей использует энергию высокомолекулярных органических соединений только тогда, когда она находится в квантованной форме. Источником такой энергии есть АТФ. Эта энергия получается при расщеплении АТФ до АДФ и АМФ. Известно, что запасы АТФ настолько малы, что ее хватает только на 3 с жизни клетки; поэтому необходимое ее беспрерывное ее восстановление ( ресинтез ). Процесс ресинтезу происходит за счет электронных связей между атомами в органических соединениях – углеродах, жирах и белках. Молекулы этих веществ, теряя водород, отдают энергию, которая необходима для макроергичных связей АТФ. Этот процесс происходит благодаря последовательному переходу электрону атому водорода с более высоких энергетических уровней на низкие. Конечным акцептором атома водорода есть кислород, который связывает его тогда, когда атом водорода утрачивает свою энергию. В результате взаимодействия двоих атомо
в водорода с одним атомом кислорода возникает вода. Потерявши все атомы водорода, стает « свободным » атом углерода. В такой форме он не нужен клетке и, соединяясь с кислородом, образовывает молекулу СО2
. Процесс связывания кислородом атомов водорода и углерода с образованием воды и углекислого газа составляет суть биологического окисления, которое происходит только в митохондриях. Именно там происходит процесс квантования энергии, то есть перенос ее с межатомных связей углеродов, жиров или белков на межатомные связи макроергичных соединений. Таким образом, нормальная жизнедеятельность всех живых организмов, за исключением некоторых микроорганизмов, происходит за счет аэробных процессов, связанных с беспрерывным поглощением О2
с окружающей среды и выделением СО2
.
Регуляция в системе органов дыхания
Управление дыхательной функцией подчинено задаче обеспече-ния постоянства газового баланса крови. Поэтому такая регуляторная система может рассматриваться как хемостатическая. Основная функция дыхательной системы—обеспечить концентрацию дыхательных газов (кислорода и углекислого газа) на уровне, определяемом метаболизмом и кислотно-щелочным балансом в орга-низме.
Изменения в химическом составе вдыхаемого воздуха или в метаболизме тканей организма вызывают соответствующие изменения управляемой системе: рО2 , рСО2 , [Н+ ] в артериальной крови и Н+ цереброспинальной жидкости. Отклонения в управляемых переменных от исходных (стабилизированных) значений улавливаются центральными и периферическими хеморецепторами и передаются регулятору—дыхательному центру мозга, где вырабатываются командные импульсные потоки, приводящие к соответствующим изменениям в вентиляции, в величине систолического объема и в картине перераспределения крови в организме.
Дыхательный хемостат
Дыхательный хемостат представляет собой систему регуляций, предназначенную для поддержания постоянства напряжения углекислого газа (рСО2
), концентрации водородных ионов (Н+) и напряжения кислорода (рО2
) в артериальной крови при наличии некоторых возмущений. Характер изменения вентиляции легких при изменении содержания СО2
и О2
в крови свидетельствует о существовании обратной связи в системе управления. Известно, что если напряжение углекислого газа в крови при физической нагрузке или при вдыхании воздуха с высокой концентрацией СО, поднимается выше «нормального» уровня, то частота дыхания (вентиляция) возрастает и в результате этой гипервентиляции напряжение СО2
в крови вновь понижается. Наоборот, если при гипервентиляции напряжение СО2
в крови падает ниже нормального уровня, то это приводит к замедлению дыхания, вследствие чего напряжение С02 в к
рови вновь повышается. В схеме дыхательного хемостата, по Ф. Гродинзу (1966), рассматриваются три регулируемые величины:
концентрация О2 , СО2 и Н+ . В нем имеется два блока: управляющая и управляемые системы (см. схему).

На вход управляющей системы поступают три командных сигнала. За выходной сигнал принимается альвеолярная вентиляция VA . Этот управляющий сигнал поступает на вход управляемой системы (легочной и тканевой резервуары), имеющей три выхода—три управляемые переменные: напряжение кислорода (рО2 ), углекислого газа (рCО2 ) и концентрация водородных ионов (Н+ ) в артериальной крови.
Показатели химического состава артериальной крови поступают на вход управляющей системы в качестве сигналов обратной связи. Возмущающими сигналами могут стать повышение содержания CО2 или недостаток О2 во вдыхаемом воздухе.
Управляющая система начинается хеморецепторами, расположенными в различных частях организма. Нервные импульсы поступают в дыхательный центр по афферентным центростремительным путям. ,В дыхательном центре формируются командные сигналы, поступающие к эффекторам—дыхательным мышцам. В результате этого возникают изменения в альвеолярной вентиляции. В управляемой системе также участвуют несколько процессов и подсистем: процесс диффузии газов в легких, перенос газов кровью и газообмен в тканях.
Для облегчения математического исследования дыхательного хемостата вводится ряд упрощающих предложений.
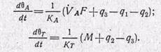
1. Легочный и тканевой резервуары имеют постоянные объемы ка и КТ соответственно.
2. Углекислый газ поступает в легкие с вдыхаемым воздухом со скоростью V'A F, где V'A — скорость вентиляции и F — концентрация СО2 во вдыхаемом воздухе. Кроме того, СО2 поступает в легочный резервуар с венозной кровью со скоростью q3 .
3. Углекислый газ удаляется из легких с выдыхаемым воздухом (со скоростью q1 ) и с артериальной кровью (со скоростью q2 ).
4. Углекислый газ поступает в тканевый резервуар, образуясь в процессе обмена (со скоростью М), а также с артериальной кровью (со скоростью q2 ). Углекислый газ удаляется из тканевого резервуара венозной кровью со скоростью q3 .
Обозначим через JA , JT концентрации CO2 в легочном и тканевом резервуарах. Тогда скорость концентрации СО2 в легких и тканях можно записать в следующем виде:

Соотношения, выражающие q1 , q2 и q3 через JA и JТ и различные другие параметры, можно найти из условий равновесия для потоков
СО2
: JA
v'a
=q1
, JT
c=q3
, где С—минутный объем сердца, q2
= =СRJA
+СS (R и S—постоянные, связанные с характеристика
ми процесса поглощения СО2
). После подстановки значений система уравнений объекта управления принимает следующий вид (Р. Розен,1969):
![]() |
При конкретном выборе формы F (в виде ступенчатой функции или единичного импульса) можно решить эти уравнения и получить передаточную функцию для изолированного объекта управления.
Система управления дыханием является самоадаптирующейся системой, которая непрерывно максимизирует некоторый показатель при постоянном воздействии внешних возмущений. Выделяется три контура управления:
1) химическое управление, которое обеспечивает минимальный уровень вентиляции кислорода и угле-кислого газа при любой заданной интенсивности метаболических
обменных процессов;
2) мышечное управление, которое поддерживает минимальный средний расход энергии в дыхательной мускулатуре при любом уровне вентиляции; 3) управление воздухоносными путями, которое сводит к минимуму затраты энергии на вентиляцию так называемого «мертвого пространства» (часть воздухоносных путей, которая не принимает участия в газообмене). Полная система управления дыханием согласует работу этих трех подсистем таким образом, чтобы обеспечить минимальный расход энергии на дыхание и равенство вентиляционного и метаболического газообмена.
Модели дыхательного хе
мостата на аналоговых вычислительных машинах
Дифференциальное уравнение в динамической модели управляемой системы дыхательного хемостата, входным сигналом которого является концентрация углекислого газа в тканях, представляет собой линейное уравнение второго порядка. При замыкании цепи обратной связи появляется нелинейность. Для решения нелинейных дифференциальных уравнений целесообразно использование аналоговых вычислительных устройств.
Модель модифицирована с целью изучения динамики функций при ступенчатом и линейном изменении легочной вентиляции. Алгоритм построен на следующих предположениях: р02 постоянен и равен единице, постоянен поток крови, омывающей дыхательный центр и другие ткани, представленные в виде однородного резервуара, кривые поглощения СО2 в артериальной и венозной крови и в тканях одинаковы, рСО2 в выдыхаемом и альвеолярном воздухе и в артериальной крови одинаково, рСО2 в тканях и в венозной крови тождественно. Динамические параметры модели представлены легочной вентиляцией, напряжением СО2 в выдыхаемом воздухе, напряжением СО2 в альвеолярном воздухе и артериальной крови, напряжением СО2 в тканях и венозной крови, скоростью образования С02 в тканях. Статическими параметрами модели являются эквивалентные объемы легочного и тканевого резервуаров, минутный объем, напряжение 02 в выдыхаемом воздухе, нормальная концентрация CO2 в тканях, параметры уравнений, описывающих контур обратной связи по напряжению С02.
Функциональное назначение модели заключается в поддержании напряжения СО2 в тканях на заданном уровне, который определяется внешними по отношению к модели факторами. Благодаря контуру обратной связи легочная вентиляция приводится в соответствие с чувствительностью дыхательного центра к напряжению СО2 в артериальной крови. Авторами сделана попытка в дополнение к контуру обратной связи по напряжению СО2 ввести замыкание по контуру обратной связи, по напряжению О2 в артериальной крови.
Нервная регуляция дыхательных движений
Ритмичность дыхательных движений обусловливается особенно-стями функционирования нервных клеток дыхательного центра. Дыхательный центр—совокупность клеток центральной нервной системы, обеспечивающих координированную ритмическую деятель-ность дыхательных мышц в соответствии с изменяющимися условиями внешней и внутренней сред организма. В дыхательном центре существуют две системы дыхательных нейронов; инспираторные и экспираторные, находящиеся в антагонистических отношениях. Возбуждение инспираторных нейронов тормозит экспираторные, и наоборот, возбуждение экспираторных нейронов тормозит и.нспира-торные (Burns, Salmoirhagi, 1960).
Автоматическая спонтанная активность клеток дыхательного центра регулируется нервными импульсами, поступающими от рецепторов легких, рефлексогенных зон сосудов, дыхательных мышц, от клеток коры головного мозга, а также гуморальными воздействиями. Регуляция дых
ания осуществляется в соответствии с принципом обратной связи. В регуляции деятельности дыхательного центра большую роль играет напряжение углекислого газа в крови. Углекислый газ действует на клетки дыхательного центра как непосредственно, так и через систему хеморецепторов рефлексогенных зон, стимулируя деятельность инспираторных нейронов. В рефлекторной саморегуляции ведущую роль играет импульсация, возникающая в легких при вдохе и способствующая прекращению акта вдоха и стимулирующая выдох. При акте выдоха афферентная центробежная импульсация из легких способствует прекращению выдоха и стимулированию вдоха. Ведущая роль хеморецепторов синокаротидной зоны в поддержании равновесия напряжения углекислого газа и кислорода путем регуляции активности нейронов дыхательного центра показана.
Для удержания кислородно-щелочного баланса в организме и постоянства напряжения кислорода и углекислого газа в крови вентиляция газов в легких регулируется при помощи различных стимулов, действующих в разных участках тела. Эти стимулы оказывают прямое или опосредованное действие на дыхательный центр в продолговатом мозгу. Генерация управляющих нервных импульсов в структурах дыхательного центра, направляемых к соответствующим мышцам, возникает не только под влиянием химического окружения центральных дыхательных нейронов, но в значительной степени рефлекторным путем. В последнем случае основная аффе-рентация берет начало в рецепторах растяжения легких, в хемо- и барорецепторах дуги аорты и синокаротидных зон. Другие афферентные сигналы, поступающие в дыхательный центр, включают защитные рефлексы — кашель, чихание и т. д.
Структурная основа нервной регуляции дыхательной системы, некоторые физиологические механизмы ее хорошо видны на приведенной схеме.

Математические модели регуляции дыхания
Современные модели регуляции дыхания по
зволяют предсказать динамику существенных параметров вентиляции при изменении условий внешней или внутренней сред организма. Моделирование дыхательной системы предусматривает учет экспериментально полученных данных о физиологических механизмах, лежащих в основе реализации принципа отрицательной обратной связи. В основе большинства хемостатических моделей лежит сравнительно хорошо изученная химическая регуляция. Обычно различают 2 типа моделей регуляции дыхания. В первом типе моделей исходят из следующих принципов. Изменение концентрации СО2
и О2
во вдыхаемом воздухе или изменения метаболизма в тканях приводят к отклонению регулируемых переменных (артериальной Н+
, рО2
, рСО2
и Н+
цереброспинальной жидкости) от их эталонных значении. Рассогласование регулируемой величины от эталонной воспринимается периферическими и центральными хеморецепторами, здесь возникает сигнал, который передается к регулятору (дыхательному центру). Дыхательный центр вырабатывает сигнал, меняющий вентиляцию легких (одновременно с работой сердца), чтобы устранить возникшие рассогласования. Во втором типе моделей ведущим принципом является также изменение вентиляции, имеющее целью удержать в новых изменившихся условиях средний расход энергии на осуществление дыхания на минимальном уровне. Модели этого типа используют последние концепции теории регулирования, в частности теории полуадаптивных многоуровневых управляющих систем. Модели состоят из 3 взаимодействующих петель обратной связи, регулирующих химический состав артериальной крови, активность дыхательной мускулатуры, диаметр воздухоносных путей. Недостатком этого типа моделей является игнорирование роли центральных хеморецепторов и отсутствие информации о реакции модели на изменение СО2
и О2
во вдыхаемом воздухе.
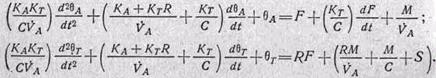
Для описания зависимости между параметрами дыхательной системы Рашевски (Rashevsky, 1962) использовал дифференциальные уравнения. Процесс диффузии кислорода из полости легочной альвеолы в кровеносные капилляры описывается следующим уравнением:
![]()
где V—объем альвеолы; de/dt—изменение концентрации О2 в альвеоле в процессе диффузии; S—поверхность альвеолы; е—концентрация О2 в альвеолярном воздухе; h—коэффициент проницаемости альвеолярного эпителия и стенок капилляров для О2 ; cb— концентрация О2 в крови.
Предложена математическая модель для описания связи между давлением и величиной воздушного потока в легких при условии постоянства легочного объема (Stevens, 1973). Показано, что в фазе вдоха основными параметрами воздушного потока являются сопротивление воздухоносного тракта и альвеолярное давление. В фазе выдоха существенным становится упругость, эластичность легочной ткани.
В моделях регуляции дыхания важная роль отводится хеморецепторной системе, состоящей из синокаротидной и аортальной периферических чувствительных зон, омываемых артериальной кровью, и центральной мозговой чувствительной зоны, омываемой спинномозговой жидкостью. Каждой из этих зон приписывается примерно линейная динамика. Периферические чувствительные зоны модели воспринимают изменения концентрации СО2
и О2
в артериальной крови. Центральные чувствительные зоны реагируют только на концентрацию СО2
в спинномозговой жидкости. Модель применима для изучения регуля
ции дыхания как в переходном режиме, так и в устойчивом состоянии при соблюдении ряда условий, включая ступенчатое изменение концентрации СО2
и О2
в окружающем воздухе, изменение различных параметров внутренней среды организма.
Предложена динамическая модель при изучении связи сердечнососудистой и дыхательной систем (Gasuhiro, Vincent, 1972). Модель включает в себя три контура управления—дыхательный, сердечный и контур управления периферическим сопротивлением. Полная модель состоит из 120 дифференциальных уравнений, решаемых на ЭВМ. С помощью этих уравнений было проведено моделирование регулярности дыхания при ослаблении силы сокращения сердца или при вводе химических препаратов, действующих на дыхательную систему. Моделируется взаимодействие между механическими подсистемами дыхания (легкими, грудной клеткой, мышцами живота).
При нарушении дыхательной функции система анализатора уровня дыхательных сокращений вместе с аварийным генератором времени, анализирующим временной интервал между двумя дыхательными сокращениями и аварийным самоудерживаю-щим реле 2, обеспечивает переброс переключателя ПК 2 на режим запуска от генератора. В комплект эффекторов в схеме входят маска пациента, фазорегулятор дыхания, амплитудный регулятор вдоха и выдоха, дозатор О2 и дозатор СО2 . В схеме предусмотрена также возможность подключения наркозного эффектора.
Первый форсированный режим осуществляется от рецепторов СО2 и О2 аналогично схеме искусственного кровообращения по каналу компрессора, а второй—посредством дозатора кислорода этой же группой исполнительно-передающих элементов с добавлением реле времени. Самостоятельным каналом от рецептора CО2 идет линия управления дозатором углекислого газа. Фиксатор аварийного уровня содержания СО2 в крови, управляемый от рецептора СО2 , при снижении содержания его в крови ниже допустимой нормы, включает механизм, который подключая в свою очередь дозатор CО2 на определенное время на вход газового смесителя, определяет разовую дозу введения СО2 в газовую смесь.
Некоторые особенности поведения дыхательного центра в условиях самоуправляемого искусственного дыхания изучены в работе В А Полянцева (1969). В опытах автора животное подключалось к аппарату искусственного дыхания, управляемого электрическими импульсами диафрагмального нерва. В системе управляемым параметром была длительность вдоха. На основе исследования автор предлагает следующую схему управления дыхательной функцией:
в составе задающего аппарата функциональной дыхательной системы имеется акцептор действия—аппарат для оценки результата действия, который представляет собой функциональное объединение модели должного результата и модели реально достигн
утого результата. Обе модели связаны между собой через сравнивающее устройство. Сигнал рассогласования, возникающий при сравнении модели реального результата с моделью должного результата, служит командой для органов дыхания.
Дыхание легочное: центральная регуляция
Ритмичное чередование вдоха и выдоха обусловлено взаимодействием различных групп нервных клеток . За чередование вдоха и выдоха отвечает "центр", расположенный в нижних отделах ствола мозга . При этом изолированный продолговатый мозг способен генерировать дыхательный ритм. Однако для стабилизации и координации этого ритма необходимо участие нервных образований, расположенных в среднем и верхних отделах моста ствола мозга . Экспериментально было показано, что в двух ограниченных участках продолговатого мозга с обеих сторон располагаются инспираторные нейроны , разряжающиеся незадолго до вдоха и в течении самого вдоха. Область, занимающая более латеральное положение, совпадает с ростральным отделом обоюдного ядра . Медиальная область, прилегающая к одиночному тракту , несколько меньше. Этот участок, где располагаются инспираторные нейроны, называется центром вдоха .
В участке, расположенном вдоль обоюдного ядра , каудальнее инспираторной области , обнаружены экспираторные нейроны , которые разряжаются при выдохе и во время дыхательной паузы. Этот участок называется центром выдоха .
В медиальной инспираторной области, расположенной вдоль одиночного тракта, были обнаружены как альфа-нейроны , возбуждающиеся при вдохе, так и бета-нейроны , которые разряжаются не только одновременно с альфа- нейронами, но и во время их паузы. Активность бета-нейронов увеличивается при максимальном растяжении легких, поэтому полагают, что они оказывают тормозное действие на альфа-нейроны.
Таким образом, ритмическое чередование вдоха и выдоха связано с попеременными разрядами инспираторных и экспираторных нейронов. Во время активности инспираторных нейронов экспираторные нейроны не разряжаются, и наоборот. Это позволяет предположить, что инспираторные и экспираторные нейроны оказывают друг на друга реципрокное тормозное влияние.
Дыхание легочное: влияние механических факторов
Дыхательный ритм , зарождающийся в структурах центральной нервной системы , может изменяться под влиянием периферических стимулов. Так, при раздувании легких рефлекторно тормозится и начинается выдох, и наоборот. Это означает, что к дыхательным центрам постоянно поступает импульсация, сигнализирующая о степени растяжения легких, и под ее влиянием по принципу обратной связи запускается соответствующее дыхательное движение - рефлекс Геринга-Брейера .
Дуга этого рефлекса начинается от рецепторов растяжения легочной паренхимы . Подобные рецепторы можно также обнаружить в трахее , бронхах и бронхиолах . Некоторые их этих рецепторов реагируют на степень растяжения легочной ткани пачками импульсов, параметры которых свидетельствуют о слабо выраженной способности к адаптации , другие же рецепторы возбуждаются лишь при уменьшении или увеличении растяжения. Таким образом, нервная система постоянно получает информацию как об уровне растяжения легких , так и об изменениях этого растяжения. Афферентные волокна от рецепторов растяжения легких идут в составе блуждающих нервов .
Дыхание легочное: влияние химических факторов
рН артериальной крови
и напряжение в ней кислорода и углекислого газа на только непосредственно зависят от внешнего дыхания, но в свою очередь оказывают влияние на вентиляцию легких . В результате образуются регуляторные цепи с обратной связью, деятельность которых направлена на поддержание постоянства трех регулируемых констант - напряжения углекислого газа, напряжения кислорода и рН крови
. Так химические механизмы регуляции дыхания участвуют в гомеостазе
и обеспечиваю
т соответствие дыхательной функции метаболическим потребностям организма.
Увеличение напряжения углекислого газа в артериальной крови приводит к повышению минутного объема дыхания. Как правило, при этом возрастают как дыхательный объем, так и частота дыхательных движений.
Если происходит снижение рН артериальной крови по сравнению с нормальным уровнем, вентиляция легких увеличивается. При возрастании рН выше нормы вентиляция уменьшается, хотя и в несколько меньшей степени.
Снижение напряжения кислорода в артериальной крови сопровождается увеличением вентиляции легких.
Дыхание легочное: периферические хеморецепторы
На вентиляцию легких оказывают влияние такие химические факторы, как углекислый газ, кислород и рН артериальной крови. Дыхательные газы и ионы водорода могут действовать на структуры нервной системы как непосредственно, так и путем возбуждения периферических рецепторов. Эти хеморецепторы локализуются в параганглиях каротидных синусов и параганглиях дуги аорты .
Параганглии
, расположенные у места деления общей сонной артерии
на внутреннюю и наружную, называются каротидными тельцами
. Они кровоснабжаются мелкими артериями
и иннервируются веточками языкоглоточного нерва
. Параганглии дуги аорты
, так называемые аортальные тельца
, также снабжаются мелкими коллатеральными артериями
. Импульсы от аортальных телец поступают в дыхательные центры по волокнам блуждающего нерва. 
Хеморецепторы, расположенные во всех этих образованиях, возбуждаются (т.е. частота их импульсации возрастает) при снижении напряжения кислорода , повышении напряжения углекислого газа или уменьшении рН .
В экспериментах на животных с перерезкой афферентных волокон от этих рецепторов, было установлено, что влияние кислорода опосредовано исключительно периферическими хеморецепторами. При нормальном напряжении кислорода в артериальной крови в волокнах этих хеморецепторов регистрируется некоторая фоновая импульсация, которая повышается при снижении напряжения кислорода и уменьшается при его увеличении. После денервации параганглиев напряжение кислорода перестает оказывать влияние на дыхание. Углекислый газ и ионы водорода обладают преимущественно центральным действием. Хотя при сдвигах напряжения углекислого газа и рН импульсация от хеморецепторов изменяется, эти изменения оказывают относительно небольшое влияние на дыхательный центр .
Влияние углекислого газа и ионов водорода на дыхание опосредовано главным образом их действием на особые структуры ствола мозга , обладающие хемочувствительностью. Напряжение углекислого газа и рН оказывают неодинаковый эффект на дыхание, но из этого не следует, что в стволе мозга имеются два типа хеморецепторных образований. Возможно, что все такие образования воспринимают только ионы водорода, а действие углекислого газа связано с образованием этих ионов. В этом случае разница в действии может быть связана с различиями в транспорте угекислого газа и ионов водорода. Известно, что углекислый газ очень быстро диффундирует из крови в ткани мозга, тогда как ионы водорода с трудом проникают через биологические мембраны. Данные многочисленных экспериментов свидетельствуют в пользу гипотезы о том, что центральные нервные структуры, участвующие в регуляции дыхания , чувствительны исключительно к ионам водорода.
В настоящее время полагают, что основным химическим фактором, влияющим на дыхание, является содержание ионов водорода в межклеточной жидкости ствола мозга . По-видимому, эта жидкость сходна со спинномозговой жидкостью , поэтому сдвиги состава спинномозговой жидкости тоже могут оказывать влияние на дыхание.
Дыхание легочное: влияние физической нагрузки
Работающие мышцы
потребляют значительно больше кислорода , чем в покое, поэтому процессы доставки к ним кислорода, включая внешнее дыхание и перенос кислорода кровью , должны протекать более интенсивно. Во время напряженной работы поглощение кислорода может повышаться до 4 л/мин (в покое - 300 мл/мин). Это возможно лишь при существенн
ом увеличении вентиляции легких. В тех пределах, в которых уровень метаболизма изменяется при длительной нагрузке, вентиляция легких возрастает прямо пропорционально поглощению кислорода.
Ряд данных свидетельствует о том, что определенное значение для увеличения вентиляции легких при физической нагрузке имеет центральная коиннервация дыхательных центров . Импульсы от двигательных центров проводятся не только к рабочей мускулатуре, но также к дыхательным центрам , вызывая возбуждение дыхательных нейронов . В условиях стационарного состояния, при котором дыхание и гемодинамика точно соответствуют интенсивности работы, величина вентиляции, по-видимому, определяется целым рядом факторов - не только центральной коиннервацией дыхательных центров , но и влиянием химических агентов, и афферентацией от механорецепторов и хеморецепторов работающих мышц. Скорость возврата показателей вентиляции легких к уровню покоя зависит в основном от химических факторов крови .
Дыхание легочное: влияние неспецифических факторов
Неспецифические (по отношению к дыханию) факторы влияют на вентиляцию легких , хотя не участвуют непосредственно в ее регуляции. К ним относится прежде всего изменения температуры . Сильные холодовые воздействия или тепловые воздействия на кожу могут приводить к возбуждению дыхательных центров . Кроме того, на дыхание влияют изменения температуры тела : как ее повышение, так и понижение сопровождаются увеличение вентиляции легких. В то же время резкое охлаждение приводит к угнетению дыхательных центров .
К неспецифическим агентам, влияющим на дыхание, относится боль (у новорожденных болевые раздражители стимулируют дыхание).
Дыхательные центры реагируют на импульсацию от сосудистых барорецепторов - повышение артериального давления приводит к торможению как инспираторных нейронов , так и экспираторных нейронов , и в результате уменьшается как глубина, так и частота дыхания.
На вентиляцию легких оказывают влияние гормоны. Так, она возрастает при поступлении в кровь адреналина (при физической нагрузке или умственной нагрузке ) и при повышении уровня прогестерона (при беременности).
Анализ медико-биологических исследований системы
Различные факторы внешней среды- табачный дым, пыль, токсические пары, газы, инфекция ( вирусы, бактерии, грибки), иногда в сочетании с аллергией, снижением общего иммунитета могут формировать такие заболевания как хронический бронхит, бронхиальная астма, воспаление легких. Симптомы: кашель, одышка, повышение температуры тела, приступы удушья при астме.
Поставить правильный диагноз помогут следующие исследования:
Рентгенография легких
- выявляет наличие очагов воспаления, уплотнения или наоборот, повышение прозрачности легочной ткани при хронических заболеваниях легких. Исследование занимает 5-10 мин, при этом больной получает дозу облучения.
Компъютерная томография
- с высокой степенью достоверности поможет выявить патологические изменения в легких. Больного помещают в специальную камеру и делают серию снимков послойно- сверху вниз . Более информативна , чем рентгенография, однако больше и доза облучения..
Исследование функции внешнего дыхания- включает в себя несколько методов- спирография, пневмотахография
и др. Заключается в измерении скорости движения воздуха и легочных объемов при выполнении различных дыхательных маневров ( вдох, выдох). Исследование безопасно, безболезненно, занимает до 30 мин. Позволяет выявить наличие препятствий при прохождении воздуха по бронхам и их локализацию.
Фибробронхоскопия-
эндоскопический метод. Позволяет оценить состояние слизистой бронхов изнутри путем введения специального зонда через нос. Предварительно слизистая обрабатывается анестетиком. Во время процедуры можно взять на исследование промывные воды бронхов или кусочек слизистой ( биопсия).
Схематически методы исследований представлены на рисунке 8.

Рис. 8
Гигиена дыхания.
Физиологии наиболее важные газы – O2
, CO2
, N2
. Они присутствуют в атмосферном
воздухе в пропорциях указанных в табл. 1. Кроме того, атмосфера содержит водяные пары в сильно варьирующих количествах.
Табл. 1
| Компонент |
Содержание, % |
| Кислород Двуокись углерода Азот Аргон |
20,95 0,03 78,09 0,93 |
С точки зрения медицины при недостаточном снабжении тканей кислородом возникает гипоксия. Краткое изложение разных причин гипоксии может служить и сокращенным обзором всех дыхательных процессов. Ниже в каждом пункте указаны нарушения одного или более процессов. Систематизация их позволяет рассматривать все эти явления одновременно.
I. недостаточный транспорт кровью (аноксемическая гипоксия) (содержание О2 в артериальной крови большого круга понижено).
А. Сниженное РO2:
1) недостаток О2 во вдыхаемом воздухе;
2) снижение легочной вентиляции;
3) снижение газообмена между альвеолами и кровью;
4) смешивание крови большого и малого круга,
Б. Нормальное РO2:
1) снижение содержания гемоглобина (анемия);
2) нарушение способности гемоглобина присоединять O2
II. Недостаточный транспорт крови (гипокинетическая гипоксия).
А. Недостаточное кровоснабжение:
1) во всей сердечно-сосудистой системе (сердечная недостаточность)
2) местное (закупорка отдельных артерий)
Б. Нарушение оттока крови;
1) закупорка определенных вен;
В. Недостаточное снабжение кровью при возросшей потребности.
III. Неспособность ткани использовать поступающий О2 (гистотоксическая гипоксия).
Содержание
1. Содержание………………………………………………………………… 1 ст.
2. Вступление………………………………………………………………… 2 ст.
3. Морфологическое описание системы………..………………………….. 3 ст.
4. Функциональное описание системы ……………………………………. 19 ст.
5. Анализ медико-биологических исследований системы ………………... 31 ст.
6. Список литературы………………………………………………………… 34 ст.
![]() |
Список литературы:
1. Фомин Н.А. «Физиология человека»: Учеб. пособие для студентов фак. физ. воспитания пед. ин-тов. – М.: Просвещение, 1982. – 320с.
2. Н.П. Наумов, Н.Н. Карташов “Зоология позвоночных.
3. К. Шмидт-Ниельсен “Физиология животных” (перевод с английского М. Д. Гроздовой ).
4. “Основы Физиологии” под редакцией П. Стерки перевод с английского Н. Ю. Алексеенко.
5. Коган О.Б. Наумов Н.П. Режабек Б.Г. Чораян О.Г. «Биологическая кибернетика»
бронхиол
дыхания

Рис.5




