| Скачать .docx |
Реферат: Жидкостные ракетные двигатели
ББК 39.65-02я73
К65 УДК 621.454.2.018(075.8)
Авторы: В. Г. Попов, Н. Л. Ярославцев
К65
Жидкостные ракетные двигатели /В.Г.Попов, Н.Л.Ярославцев.-М.: Издательско-типографский центр - «МАТИ» - КТУ им. К.Э. Циолковского , 2001, 171 с, ил. 103., табл. 3. ISBN5-230-21212-8
Даны классификация и характеристики жидкостных ракетных двигателей (ЖРД). Приведены основные схемы и параметры ракетных двигателей, особенности процессов горения, истечения и теплообмена в ракетных двигателях, сведения о конструкции основных узлов, агрегатов и систем автоматического регулирования ЖРД.
Для студентов высших учебных заведений, специализирующихся в области проектирования ракетных двигателей.
2705140400 - 255
К---------------------------- Без объявл.
038(01)-01
ББК 39.65-02я73
ISBN5-230-21212-8
© «МАТИ» -Российский Государственный технологический Университет им.К.Э. Циолковского Издательско-типографский центр «МАТИ»- Российского государственного технологического университета им. К.Э.Циолковского
1. Принцип работы реактивного двигателя Основные понятия и определения
1.1.Принцип создания реактивной силы
Возьмем замкнутый сосуд и создадим в нем избыточное давление Рк. На сосуд будет также действовать сила атмосферного давления Рн окружаю-шея среды, рис. 1.

Рис.1
Если силы давления Рк и Рн уравновешены жесткостью стенок сосуда, то он останется в покое.
Выполним в сосуде отверстие, рис.2, при этом равновесие сил Рк и Рн
нарушится и сосуд придет в движение (трение между наружной поверхностью
в и окружающей средой не учитывается). В результате этого возникнет
реактивная сила R, величина которой пропорциональна скорости и массе рабо-
![]() |
| Рис.2 |
чего тела истекающего потока.
Потенциальная энергия избыточного давления будет преобразована в кинетическую энергию (Ек ) истекающей струи. Реактивная сила Rнаправлена в сторону, противоположную истечению реактивной струи.
На поверхность сосуда также действует сила, зависящая от величины давлений, воздействующих на его внутреннюю и наружную поверхности, т.е.
Р' = Рк - Рн.
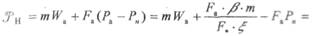
Тяга двигателя
является результирующей реактивной силы Rи сил давлений Р', воздействующих на поверхность сосуда без учета сил внешнего аэродинамического сопротивления
![]()
Для создания реактивной силы необходимо наличие 3х элементов:
- первичного источника энергии;
- рабочего тела;
- собственно двигателя, в котором происходят преобразования.
Реактивный двигатель - устройство, обеспечивающее перемещение летательного аппарата ЛА в пространстве, путем преобразования первичного источника энергии в кинетическую энергию реактивной струи.
Различают реактивные двигатели прямой и непрямой реакции.
Для двигателя непрямой реакции характерно наличие движителя -устройства, обеспечивающего реактивную силу, например, винт в турбовинтовом двигателе.
Для создания реактивной силы движитель и двигатель используют разные рабочие тела. В качестве рабочего тела могут использоваться:
- жидкая или газообразная окружающая среда;
- топливо;
- окружающая среда и топливо.
1.2. Классификация ракетных двигателей (РД) На рис. 3 представлена классификация ракетных двигателей.
![]() |
Рис.3
Если в качестве первичного источника энергии используется химическая реакция, то такой двигатель называется химическим.
Термическим РД называется двигатель, у которого энергия первичного источника преобразуется в тепло, а затем в кинетическую энергию истекающей струи. Химические РД являются термическими.
Структурные схемы ХРД и НХРД приведены на рис. 4
ХРД
(химический ракетный двигатель)
НХРД
(нехимический ракетный двигатель)
![]() |
Г-
1-
2-3-4-
Рис.4
совмещённый источник первичной энергии и рабочего тела;
источник первичной энергии;
камера энергопреобразователь;
ускоритель;
источник рабочего тела.
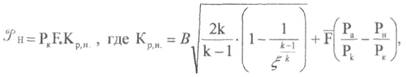
1.3. Тяга ракетного двигателя
Вывод формулы тяги ракетного двигателя базируется на Ш-м законе Ньютона, при условии, что поток рабочего тела по тракту рассматривается стадион арным.
Стационарным называется движение, при котором расход газа во всех поперечных сечениях канала одинаков и не зависит от времени, а параметры газа в указанных сечениях, включая входное, постоянны и также не являются функцией времени.
Тяга реактивного двигателя является равнодействующей сил давления газов на внутренние и наружные поверхности камеры двигателя. Она возникает в результате преобразования химической энергии топлива в кинетическую энергию, истекающих из камеры, продуктов сгорания.
Тяга в пустоте -
=0, рис.5

Рис.5
Определим результирующую силу
, воздействующую на стенки
| где Fa - площадь среза сопла, м2 . |
камеры двигателя:
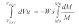
Воспользуемся теоремой импульсов - импульс силы равен изменению количества движения:
![]()
где:
- масса израсходованного топлива, тн
- начальная масса
двигательной установки, тк
- конечная масса двигательной установки;
- время работы двигательной установки; AWc
, Wa
- скорости газового потока на входе в сопло и на его срезе, соответственно, так как Wa
>> Wс
.
![]()
![]()
где т - массовый секундный расход, кг/с;
![]()
![]()
где:
- тяга ракетного двигателя в пустоте, Н;
Wэ.п. - эффективная скорость истечения в пустоте, м/с;
![]()
![]() |
| Рис.6 |
Тяга в условиях атмосферы
Рн
Ф
0; рис.6
где: Wэн - эффективная скорость истечения при наличии давления окружающей среды, м/с.
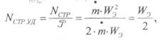
1.4. Мощностные параметры ракетных двигателей 1.Мощность реактивной струи, Вт.
2.Мощность первичного источника энергии, Вт.
где: |
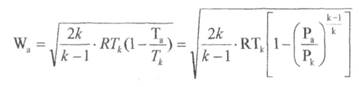
1.5. Удельные параметры ракетных двигателей 1) Удельный импульс, (Н • с)/ кг

Удельный импульс является основным параметром, характеризующим совершенство конструкции и эффективность преобразования энергии в нём. Величина удельного импульса не зависит от тяги, создаваемой двигателем. Для химических ракетных двигателей величина удельного импульса лежит в диапазоне 2000/4000![]()
Вышеприведённый вывод формулы тяги осуществлялся при условии её постоянства во время работы двигательной установки. Однако на практике это не соответствует действительности. На рис.7 приведена зависимость тяги двигательной установки от времени её полёта. (Iвзл, Iпол, Iпд - значения импульса ДУ на режимах взлёта, полёта и выключения, Iпд- импульс последействия).

Рис7
![]() |
Суммарный импульс двигательной установки 1^, \н ■ с] можно оп-ршишь по следующим зависимостям:
Величину IПД стараются уменьшить, т.к. это обеспечивает точность доставки полезного груза к цели.
2) Удельный расход топлива, кг/Н • с .

Для химических ракетных двигателей величина удельного расхода топлива, существенно выше аналогичного параметра для воздушно-реактивных двигателей (ВРД). Поэтому время работы ВРД существенно больше, чем ХРД.
3) Удельная мощность реактивной струи, Вт/Н.

4) Удельная масса ДУ, кг/Н, кг/Т.
где: М - масса ДУ без учёта топлива.
Величины удельной массы двигателей различных типов приведены
| ниже: |
1т=104
Н.
Дополнительные параметры, характеризующие работу ракетного двигателя
1) Тип рабочего тела - выбирается в зависимости от области применения.
2) Время работы двигателя.
ЖРД - 1000с РДТТ - 200 - 300с Если двигатель обладает системой многократного включения, то задаётся количество включений и интервал времени между ними.
3) Отклонение величины тяги от её номинального значения
ном-
4) Значения давлений в камере Рк и на срезе сопла Ра .
5) Величина суммарного импульса![]()
6) Величина импульса последействия![]()
2. Формула Циолковского и её практическое применение
2.1. Идеальная скорость и массовые характеристики ракеты
Идеальная скорость - скорость, которую приобрел бы летательный аппарат, двигаясь прямолинейно, если бы весь запас энергии, находящийся на его борту, был бы израсходован на ускорение.
![]()
где:
,,
- действительная скорость и её потери;
dVrp , dУАяр , dVynp - потери скорости гравитационные, аэродинамические и на управление, соответственно.
Первая космическая скорость VK , = 7900м / c
V К 1 + dV пк 1 = V К2 = 10200 м / с
Идеальная скорость характеризует запас топлива на борту ракеты, необходимый для проведения определенного маневра.
Массовая характеристика ракеты
Массовые модели одно и двухступенчатых ракет приведены на рис. 8.

Рис.8
Условные обозначения: о. к, п, п.ф., коне, т, - массы стартовая, конечная, полезная, полезная фиктивная, конструкции и топлива, соответственно.
Масса ракеты, находящаяся над ступенью, также называется полезной фиктивной нагрузкой.
Одноступенчатая ракета называется субракетой.
Количество субракет определяется требуемой дальностью доставки полезного груза. Так при использовании ЖРДУ для обеспечения дальности полёта до 1000 км используется 1 ступень, при дальности 1000 - 3000 км - 2 ступени, а при дальности более 3000 км - 3 ступени.
2.2. Относительные массовые характеристики субракет
1. Относительная масса полезного груза
![]()
11
2. Относительная масса конструкции
3.Относительная масса
топлива
![]()
4.Число Циолковского - Zи модифицированное число Циолковско
го -z:
![]() |
2.3. Формула Циолковского
Предназначена для определения идеальной скорости ракеты. При выводе формулы Циолковского примем следующие допущения:
ракета летит прямолинейно;
гравитационные силы не рассматриваются;
давление окружающей среды отсутствует.
Рассмотрим расчётную схему исследуемого процесса, рис.9.
![]() |
![]() |
Согласно первого закона Ньютона:
Рис.9
Согласно формуле тяги:
![]()
Знак «-» в вышеприведенной формуле указывает на снижение массы двигательной установки М за счет уменьшения массы топлива.
![]() |

Если конструкция космического аппарата состоит из N субракет и при этом значения числа Циолковского и эквивалентной скорости для них одинаковы, то изменение идеальной скорости можно рассчитать по формуле:
![]()
3. Рабочий процесс в химических ракетных двигателях
3.1. Аэрогазодинамический нагрев в полёте
При движении газа с гиперзвуковыми скоростями М>5 на процесс теплообмена существенное влияние оказывают явления диссоциации, рекомбинации и ионизации.
Диссоциация - процесс разложения молекулярных соединений и атомов на их составляющие. Процесс сопровождается значительным поглощением тепла.
Рекомбинация - процесс обратный диссоциации; происходит с выделением тепла.
Существенная интенсификация данного процесса наблюдается при наличии катализатора, в качестве которого можно рассматривать поверхность летательного аппарата (ЛА).
Ионизация - процесс отрыва свободных электронов от атомов.
При М<20 ионизируется менее 1% воздуха. Поэтому при указанных режимах полета влияние ионизации на теплообмен можно не учитывать.
В случае исследование теплообмена между поверхностью ЛА и газовым потоком при М<20 могут быть использованы зависимости, полученные в курсе «Термодинамика газовых потоков», с учетом влияния рассмотренных процессов на теплофизические свойства окружающей среды.
При движении ЛА с космическими или околокосмическими скоростями в сильно разреженных слоях атмосферы протяжённость свободного пробега молекулы соизмерима, а в некоторых случаях превышает протяжённость летательного аппарата.
Такая зона полета называется областью свободномолекулярного потока. При этом у поверхности ЛА отсутствует пограничный слой и математические зависимости полученные в курсе «Термодинамика газовых потоков», становятся не применимы.
При полёте в области свободно молекулярного потока определяющим является критерий Кнудсена:
где: М и Re- критерии Маха и Рейнольдса, соответственно; к - показатель адиабаты.
В области свободномолекулярного потока величина критерия Кнудсена Кn >10.
При 0,1>Кn>0,01 у поверхности ЛА образуется тонкий пограничный слой скользящий вдоль неё, в котором наблюдается резкое изменение параметров потока.
Процесс соударения между потоком и поверхностью ЛА характеризуется коэффициентом аккомодации А. Его величина зависит от параметров потока и состояния поверхности; характеризует относительную энергию, передаваемую от молекулы к поверхности ЛА при их соударении.
При проведении технических расчетов величина А принимается равной 0,9.
Процесс теплообмена в области свободно молекулярного потока с достаточной степенью точности характеризуется уравнением:

где:
- характеризует отношение скорости полёта ЛА к возможной скорости
молекулы;
- критерий Прандтля.
3.2. Реакции химически активных газов
Процессы расширения газов в значительной степени зависят от температуры и химического состава этих газов. С этой точки зрения все газы можно разделить на две группы: реагирующие (активные) и не реагирующие (пассивные).
Активный газ — это газ, в котором при расширении происходят те или иные химические реакции; пассивный — расширяющийся без сопровождения химическими реакциями.
Обычно, химические реакции, происходящие в газах при их расширении, отрицательно влияют на параметры термодинамического процесса и двигательной установки в целом. К таким реакциям относятся диссоциация, конденсация и ионизация.
Так как диссоциация (процесс разложения молекулярных соединений на составляющие элементы) протекает с поглощением большого количества тепла, то это приводит к снижению температуры потока, то есть уменьшению его общей энергетики, а, следовательно, к ухудшению основных параметров двигателя.
При расширении газового потока происходит снижение его температуры, а, следовательно, возможно явление конденсации — частичный переход рабочего тела из газообразного состояния в жидкое. Это отрицательно влияет на характеристики двигательной установки, уменьшая совершаемую газом полезную работу.
Наглядное представление возникновения потерь от конденсации показано на рабочей диаграмме, рис.10.
![]() |
Располагаемая работа Потери располагаемой работы от конденсации Начало конденсации |
Рис. 10
Ионизация — процесс отрыва электронов с внешних орбит электронейтральных атомов. Возникает при больших скоростях газового потока и обтекании им тел. Ионизация вызывает появление на выходе из сопла электрозаряженных частиц, вследствие чего наблюдается снижение тяги из-за взаи-
моотталкивания одноимённо заряженных ионов рабочего тела. Кроме того, в процессе эксплуатации корпус летательного аппарата приобретает высокий электрический потенциал, что может вызвать электрический разряд между корпусом этого ЛА и другими электронейтральными или противоположно заряженными телами. При этом могут образоваться мощные кратковременные дуговые разряды, порой приводящие к серьёзным последствиям. Даже просто нахождение корпуса ЛА под высоким электрическим потенциалом уже может быть небезопасно для экипажа и приборов. Поэтому в случае процесса ионизации необходимо применять специальные устройства — нейтрализаторы, которые усложняют конструкцию двигателя и увеличивают его массу.
3.3. Потери в химических ракетных двигателях
Рассмотрим идеальный ABCDи реальный abcdциклы РД в рабочей P-Vдиаграмме, рис. 11.

Рис.11
АВ - изохорический процесс сжатия компонентов топлива в магистралях и турбонасосном агрегате (ТНА);
ВС - изобарный процесс с подводом тепла Qi; горение топлива в камере его рания;
CD - адиабатический процесс расширения газа в канале сопла; DA - изобарный процесс с отводом тепла Q2 , происходящий за пределами двигателя;
Площади ABCDи abс d - работы реального и идеального циклов РД, соответственно;
Площадь аАВв - потери на сжатие; Площадь ЬСс - потери в камере сгорания; Площадь CDdc - потери в канале сопла;
16
Потери в камере обусловлены:
а)диссоциацией;
б)трением газа о стенки камеры;
в)неполнотой сгорания топлива;
г)разгоном газового потока по тракту камеры.
Снижение потерь, обусловленных процессом диссоциации, может осуществляться путем:
а)использования топлив, не склонных к процессу диссоциации;
б)увеличения давления в камере сгорания до 300МПа.
Потери в канале сопла обусловлены:
а)конденсацией;
б)трением потока о стенки сопла;
в)непараллельностью течения потока относительно оси камеры;
г)неадиабатичностью процесса.
3.4. Скорость истечения газов из сопла ракетного двигателя
Из теории газового потока известно, что для каждого поперечного сечения канала при установившемся режиме течения выполняется условие: сумма энтальпии iгазового потока и его кинетической энергии Ек остается величиной постоянной.
![]() |
![]() |
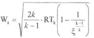
Степень расширения газа
в канале сопла равна:
![]() |
| тогда: |
Термический КПД:
![]() |
Коэффициент тяги:

где:
К - безразмерный коэффициент тяги, характеризующий увеличение силы тяги за счёт расширяющейся части сопла;
B=f(k)

где:
- относительная степень расширения сопла.
3.5. Оценка эффективности процессов в химических ракетных двигателях
Для оценки качества работы ракетных двигателей используются энергетические коэффициенты полезного действия (к.п.д.)
и импульсные коэффициенты потерь![]()
Энергетические к.п.д. г\
- учитывают совершенство процесса преобразования теплоты в работу, а импульсные коэффициенты потерь
- потери энергии в элементах камеры ракетного двигателя.
| 1.Суммарный коэффициент полезного действия: |
где Lц - работа, совершаемая ракетным двигателем за цикл (эквивалентна площади abcdна рабочей P-Vдиаграмме, см. рис. 11). Нраб - теплота, выделяемая двигателем за цикл.
![]()
где
- энергетический к.п.д. импульса давления;![]()
- энергетический к.п.д. в канале сопла;
- энергетический к.п.д. процесса расширения;
- термический к.п.д.
2.Импульсный коэффициент потерь в камере сгорания:
![]()
Индексы «и» и «д» соответствуют идеальным и действительным значениям параметра.
Принято считать, что
;
, тогда
![]()
3.Импульсный коэффициент потерь в канале сопла:
![]()
где: Кр - коэффициент тяги;
Нижний предел изменения величины
соответствует ДУ с малыми тягами, а верхний - с большими тягами.
4. Импульсный коэффициент потерь удельного импульса:
![]()
4. Характеристики ракетного двигателя
4.1. Дроссельная характеристика ракетного двигателя
Зависимость тяги и удельного импульса двигателя от массового секундного расхода топлива при постоянной высоте полета и неизменном соотношении компонентов топлива называется дроссельной характеристикой ракетного двигателя.
В действительности при работе ракетного двигателя изменение массового секундного расхода топлива т сопровождается изменением параметров потока по тракту двигателя (Wa , Ра , Тк ). Однако, т.к. изменение т на стабилизированном участке полета незначительно, то принимают:
![]()
Определим зависимость![]()
![]()
![]()
-импульс
давления
![]()
![]()
![]()
Дроссельные характеристики представляют собой семейство прямых с угловым коэффициентом А, зависящим от скорости на срезе сопла, рис.12.
Зона нежелательной работы

Рис.12
При массовом секундном расходе
, согласно полученной
графической зависимости, рис. 12, тяга принимает отрицательные значения. В действительности этого не наблюдается, т.к. в этом случае существенным образом меняется режим истечения (отрыв потока от стенок сопла), что обуславливает положительные значения тяги. При работе ЖРД существует некоторое значение массового секундного расхода
, меньше которого работа двигательной установки является нежелательной в течение длительного периода времени.

Зависимость удельного импульса Iуд от массового секундного расхода т представлена на рис. 13
При работе двигателя целесообразно поддерживать постоянной величину удельного импульса даже при изменении массового секундного расхода. Это возможно за счет обеспечения следующих мероприятий:
поддержание постоянным перепада давления на форсунках;
поддержание постоянным давления в камере, Pк=const;
обеспечение работы двигательной установки на расчетном режиме.
![]()

Рис.13
Мероприятия, обеспечивающие изменение протекания дроссельной характеристики.
![]() |
| Рис.14 |
1.Изменение вида топлива, рис.14
2.Изменение площади среза сопла, рис. 15
![]() |
| Рис.15 |
4.2. Высотная характеристика
Высотная характеристика - зависимость тяги и удельного импульса от высоты полета при постоянном значении массового секундного расхода и неизменном соотношении компонентов топлива.
![]() |
| Рис. 16 |
На рис. 16 представлена зависимость давления окружающей среды Рн от высоты Н.

На рис. 16 приведены зависимости тяги
и удельного импульса Iуд
от высоты полёта. Необходимо отметить, что при малых высотах полёта из-за сильного перерасширения газа наблюдается отрыв потока от стенок сопла, что учтено при построении высотной характеристики.

Рис.17
4.3. Режимы работы сопла
1) Расчетный режим, Ра = Рн , рис. 18а
![]()
2)Режим недорасширения,![]()
рис. 186.
Режим недорасширения наблюдается при полете летательного аппарата по траектории выше расчетной.
3) Режим перерасширения, Ра < Рн . рис. 18а.
Режим перерасширения наблюдается при полете летательного аппа-г-о-э по траектории ниже расчетной.
![]() |
а)
![]() |
б )
![]() |
в)
Рис.
18
Влияние высотности сопла на протекание высотной характеристики
Высотность сопла определяется расчетным значением давления на срезесопла Ра; чем меньше Ра, тем высотность сопла больше.
1) Возьмём серию сопел для которых справедливо соотношение
, при условии![]()
2)Для сопла с относительной степенью расширения - F1
на расчетной высоте - Н1
наблюдается расчетное значение тяги - -Ун,1, ко
торое является для него максимальным, рис.19.
3)Рассмотрим сопло, у которого относительная степень расширения![]()
, причем
Так как
, то
и![]()
4)Точки с экстремальными значениями тяг соединим кривой, ко
торая будет являться высотной характеристикой всережимного со
пла, рис.19
![]() |
Рис.19 5.
Общие сведения о ЖРД
5.1. Системы космических летательных аппаратов
Различают следующие типы космических летательных аппаратов: 1) Баллистические ракеты (Б.Р.). Обеспечивает доставку полезного груза к цели без вывода на орбиту.
![]() |
Б.Р.
26
2) Ракетоносители (Р.Н.).
Обеспечивает доставку полезного груза к цели с выводом на орбиту.
![]() |
Р.Н.
а) Последовательная схема.
б) Пакетная схема.
![]() |
![]() |
3) Многоразовые транспортные космические аппараты (МТКА). Назначение такое же, как у Р.Н.
![]() |
МТКА
КА).
4) Межорбитальные транспортные космические аппараты (МоТ-
![]() |
Обеспечивает вывод полезного груза на более высокие, чем Р.Н., космические орбиты.
МоТКА
5) Искусственные спутники земли (ИСЗ).
![]() |
исз
6) Лунные космические аппараты (ЛКА), межпланетные космические аппараты (МпКА)..
![]() |
ЛКА, МпКА
![]() |
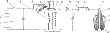
| 5.2. Классификация и схемы ЖРД |
| Одна из возможных классификаций ЖРД (по способу получения рабочего тела для турбины ТНА) представлена на рис.20. |
Рис.20
Условные обозначения к рис.20:
ВСПК - вытеснительная система подачи компонентов, рис.21; 1-ЖРД с газогенератором, работающим на автономном топливе, рис.22; 2-ЖРД с газогенератором, работающим на основных компонентах топлива, рис.23;
3-ЖРД без газогенератора с газификацией охладителя в зарубашечном пространстве, рис.24; 4-ЖРД с двумя газогенераторами, рис.25.
В зависимости от агрегатного состояния компонентов ( «Ж» -жидкость или «Г» - газ), поступающих в камеру сгорания, все конструктивные схемы ЖРДУ можно условно классифицировать на «Ж - Ж», «Ж -Г» или «Г -Г». Необходимо отметить, газификация компонента способствует улучшению энергетических показателей ЖРДУ.
В ЖРД с ВСПК, рис.21, рабочее тело (инертный газ) из газового аккумулятора давления 1 через редукторы 2 направляется в баки окислителя и горючего 3. Далее окислитель поступает в смесительную головку 4 камеры, а горючее в зарубашечное пространство, образованное двойными стенками камеры ЖРД.
Основным преимуществом данной схемы является конструктивная простота (отсутствие ТНА). Однако, для ЖРД работающих по указанной схеме характерны сравнительно невысокие значения тяги и удельного импульса, что
29

Рис.21
![]() |
| Рис.22 |
определило ее применение в качестве двигателей ориентации. Кроме того, в связи с нагруженностью баков для компонентов избыточным давлением они выполняются толстостенными, что приводит к существенному ухудшения массовых характеристик ЖРДУ в целом.
В данной конструктивной схеме ЖРДУ, рис.22, в качестве рабочего тела приведения во вращение турбины 1 ТНА используется перекись водорода . поступающая в парогазогенератор 8 и разлагающаяся в нём под действием катализатора перманганата калия К Mg04 с образованием парогаза при температуре 600 - 800К. Парогаз направляется на лопатки турбины, обеспечивая вращение насосов 2, 3, 4 и, следовательно, подачу компонентов в комеру сгорания ЖРД - 5. Генераторный газ из турбины выбрасывается через патрубок 6 а сопло 7 за пределы двигателя. В некоторых ЖРД, работающих по указан-ной схеме, генераторный газ использовался для создания управляющих усилий для ориентации ЛА в пространстве и для создания дополнительной тяги путём его введения в расширяющуюся часть сопла. Данная конструктивная схема ЖРДУ использовалась до 70 годов двадцатого столетия.

Рис23
Особенностью данной конструктивной, рис.23, схемы является более эффективное использование генераторного газа, путём его подачи в смеситель-нуюголовку камеры через газовод 9. В зависимости от соотношения компо-нентов (величины коэффициента избытка окислителя - а), подаваемых в газогенератор, он может быть окислительного или восстановительного типа. Дав-ление в полости турбины должно быть выше давления в смесительной головке на величину гидравлического сопротивления газовода.
Конструктивная схема ЖРД, представленная на рис.24, используется, когда в качестве одного из компонентов применяется жидкий водород, который проходя через систему последовательно расположенных насосов (снижение вероятности взрыва при резком повышении давления компонента), направляет-
|
| Рис.24 |
ся в зарубашечное пространство камеры, образованное её двойными стенками, где газифицируется и в дальнейшем поступает на лопатки турбины, приводя во вращение насосы, а затем - через газовод в смесительную головку камеры.

Рис.25
В данной конструктивной схеме ЖРДУ. рис.25, оба компонентапоступают в головку камеры в газообразном состоянии. При этом один изгазогенераторов относится к окислительному типу, другой - к восстановительному.
5.3. Общие сведения о жидкостных ракетных топливах (ЖРТ) Классификация ЖРТ
Успешное освоение космического пространства осуществляется в основном с помощью жидкостных ракетных двигательных установок (ЖРДУ). Жидкие ракетные топлива, по сравнению с твердыми (ТРТ) обеспечивают лучшие энергетические характеристики, возможность многократного включе-нияи выключения двигателя, а также оперативное изменение тяги при полете
-А. Перспективное в принципе использование ядерных ракетных двигателей сдерживается в настоящее время их массовыми характеристиками, а также
сложностями, связанными с обеспечением радиационной безопасности и отво-з:ч тепла от активной зоны после выключения двигателя, вследствие остаточ-ного тепловыделения радиоизотопов — продуктов цепной реакции деления. Несомненно, что ЖРТ останутся основным энергетическим источником для ракетных двигателей различного назначения на ближайшие десятилетия.
В ракетных двигателях на химическом топливе выделение энергии происходит за счёт следующих химических реакций:
а)реакции окисления
—восстановления (окисления), когда энергия вы
деляется при реакции между окислительными и горючими элементами; топли
во состоит в этом случае по крайней мере из двух веществ — окислителя и го
рючего;
б)реакции разложения
, когда тепло выделяется в процессе разложе-
ния сложного вещества на более простые; топливо в этом случае может состо
ять только из одного вещества;
в)реакции рекомбинации (соединения)
, когда тепло выделяется при
соединении одноименных атомов или радикалов в молекулы.
Окислитель и горючее в общем случае являются сложными соедине-ниями. в состав которых могут входить как окислительные, так и горючие элементы, а также нейтральные.
Горючим является такое вещество, которое независимо от того, содержатся в нем окислительные элементы или нет, для полного окисления своих горючих элементов требует окислителя извне. Так, например, этиловый спирт С2 Н5 ОН, кроме горючих элементов (С и Н), содержит в себе и окислительный элемент — кислород, но его совершенно недостаточно для полного окисления горючих элементов спирта; поэтому этиловый спирт является горючим.
Окислителем является вещество, в котором хотя и могут быть горючие элементы, но окисляющих элементов в нем имеется значительный избыток, так что при полном окислении его собственных горючих элементов остается сво-5одное количество окислительных элементов, которые могут быть использова-ля окисления какого-либо другого горючего. Например, азотная кислота HNO3 или перекись водорода Н2 02 содержат в себе горючий элемент — водород, однако окислительный элемент (кислород) в них имеется в таком количестве, что при полном окислении водорода азотной кислоты или перекиси водорода в них остается избыток кислорода, который можно использовать для
окисления какого-либо горючего; поэтому HN03 и Н2 02 являются окислителями.
К горючим элементам относятся углерод С, водород Н, бор В, алюминий А1, литий Liи другие. Окислительными элементами являются фтор F, кислород О, хлор О. Фтор и кислород значительно превосходят по эффективности другие окислительные элементы.
Доли окислителя и горючего в топливе определяются величиной, называемой соотношением компонентов. Теоретическим (стехиометрическим) соотношением компонентов
называется такое минимальное количество окислителя, которое необходимо для полного окисления 1 кг горючего. Иначе говоря, теоретическое соотношение компонентов, это такое отношение расходов окислителя и горючего, при котором окислитель полностью окисляет горючее, не оставаясь при этом в избытке.
Действительным соотношением компонентов
называется дейст-
вительное отношение расходов окислителя и горючего, подаваемых в камеру, которое может отличаться от теоретического. Обычно![]()
Отношение
называется коэффициентом избытка окислителя.
Коэффициент избытка окислителя, при котором получается максимальная величина удельного импульса, называется оптимальным.
На рис.26 представлена классификация жидкостных ракетных топлив, а в таблице 1 - их основные параметры и области применения.

| Тип топлива | Характер воспламенения | Область применения | ||||
| Катализатор | - | 1440 | 1250 | 1900 | Рабочее тело для турбины | |
| Катализатор | - | 1000 | 1475 | 2200 | Рабочее тело для турбины или вспомогательного ЖРД |
|
| Самовосп. | 3,0 5 |
1180 | 3415 | 2770 | Маршевые двигатели РН типа «Протон» | |
| Несамовосп. | 2,7 | 1020 | 3690 | 2930 | Маршевые двигатели РН «Союз» и 1-ой ступени «Энергия» | |
| Самовоспл. | 3,0 | 1270 | 3165 | 2680 | Маршевые двигатели ракет и малых РН | |
| Самовоспл. | 15, 0 | 670 | 4760 | 3970 | Опытные образцы сверхмощных РН | |
| Несамо-воспл. | 6,0 | 350 | 3420 | 3790 | Маршевые двигатели верхних ступеней РН |
Топлива ракетных двигателей могут быть разделены на следующие: жидкие топлива раздельной подачи (многокомпонентные) и жидкие унитарные (однокомпонентные) топлива.
В случае жидкого топлива раздельной подачи выделение энергии про-исходитв результате реакции окисления — восстановления. Процесс окисле-ния условно может быть представлен как обмен электронами на внешней элек-троннойоболочке атомов, участвующих в этом процессе. При этом атомы горючихэлементов отдают свои электроны, а атомы окислительных элементов приобретаютих.
Унитарным (однокомпонентным) топливом может быть такое индиви-дуальноевещество или такая заранее приготовленная смесь веществ, которые приопределенных условиях выделяют тепло в результате химических реак-цийразложения или окисления; в последнем случае все необходимые для окис-
ементы находятся в самом унитарном топливе. Несомненным преиму-ществом унитарных жидких топлив перед жидкими тонливами раздельной подачиявляется большая простота конструкции двигателей, использующих эти топлива, так как при этом требуется лишь одна линия системы подачи.
Однако жидкие унитарные топлива не нашли широкого применения в
ЖРДи используются главным образом для вспомогательных целей, например,
для привода турбин турбонасосных агрегатов, а также для вспомогательных
двигателей малых тяг, предназначенных для ориентации и стабилизации лета-
тельного аппарата. Это объясняется тем, что приемлемые по своим эксплуата-
ционным свойствам жидкие унитарные топлива обладают меньшей эффективностью в сравнении с широко используемыми топливами раздельной подачи. Известны унитарные жидкие топлива, обладающие сравнительно высокой эффективностью, но они неприемлемы для эксплуатации, в основном из-за большой склонности к взрыву.
Несмотря на заметное упрощение системы питания однокомпонентные ЖРТ, как мономолекулярные, так и смесевые, широкого распространения в ракетной технике не получили вследствие относительно низких энергетических характеристик и взрывоопасности.
Жидкие топлива раздельной подачи находят самое широкое применение, так как они обеспечивают двигателю достаточно высокие удельные параметры при сравнительно приемлемых эксплуатационных свойствах.
Многокомпонентные гетерогенные топлива включают в себя высокоэнергетические пары типа 02 +Ве, О3 +Ве, F2 +Liи водород в качестве разбавителя. Металл в порошкообразном состоянии может находиться в горючем и смесь при необходимости может быть подана в камеру центробежным насосом. Обычно в состав гетерогенных топлив включается полимерное горючее - связка, предотвращающее вынос из камеры несгоревшего порошкообразного горючего.
Топлива, имеющие температуру кипения при Рн=101325 Па более 293 К называются высококипящими, а менее 120 К - низкокипящими (криогенными). К последним относятся 02 ,ж , Н2,Ж , F2,ж и они заправляются в ракету, как правило, непосредственно перед пуском.
Топлива раздельной подачи могут быть самовоспламеняющимися и не самовоспламеняющимися. К первым относятся такие топлива, воспламенение которых начинается самопроизвольно при контакте окислителя и горючего в условиях, имеющихся в камере при запуске, без какого-либо дополнительного вмешательства. Несамовоспламеняющиеся топлива для первичного воспламенения (при запуске двигателя) требуют средства зажигания.
Смесь окислителя и горючего в общем случае является взрывоопасной. Поэтому все факторы, исключающие возможность накопления такой смеси в двигателе, повышают надежность двигателя. С этой точки зрения более выгодны самовоспламеняющиеся топлива, так как в силу высокой химической активности компонентов такого топлива накопление смеси окислителя и горючего практически невозможно. Высокая химическая активность самовоспламеняющихся топлив часто является важным условием обеспечения устойчивой работы двигателя.
Наибольшее распространение получили двухкомлонентные самовоспламеняющиеся и несамовоспламеняющиеся топлива.
В литературе можно встретить классификацию ЖРТ на взрывоопасные и взрывобезопасиые. Однако, такое деление топлив чисто условно, так как при несоблюдении правил хранения все ЖРТ склонны к саморазложению, воспламенению и взрыву.
5.4. Требования, предъявляемые к ЖРТ
Основные требования, предъявляемые к ЖРТ и идущие от особенно-nolЖРДУ и ЛА, можно разбить на четыре группы:
1. Энергетические требования.
2. Эксплуатационные требования для обеспечения надежной работы двигателя.
3. Требования при эксплуатации топлив вне двигателя.
4.Экономические требования.
Энергетические требования:
- высокая теплопроизводительность;
- высокая температура продуктов сгорания;
- низкая молекулярная масса продуктов сгорания;
- высокая плотность топлива.
Если под энергетической эффективностью ЖРТ понимать совместное влияние удельного импульса тяги и плотности топлива на конечную скорость ступени ЛА. то для обеспечения высокой эффективности необходимо в общем случае учитывать все четыре требования.
Наиболее эффективные ракетные топлива должны обладать высокой теплопроизводительностью химической реакции; малой молекулярной массой продуктов сгорания и высокой плотностью компонентов.
Для получения высокотеплопроизводительных топлив в качестве
окислителей выгодно использовать фтор, кислород или соединения с большим
содержанием реакционноспособных F2 и 02 . В качестве горючих выступают
элементы первых трех периодов и, в первую очередь, водород, углерод и обо-
щенные водородом соединения углерода и азота.
Наиболее высокоэнергетическим ЖРТ является фторводородное топ-ливо теоретический удельный импульс в пустоте которого составляет 4880 Н с/кг , Рк = 15 Мпа, аок = 1. Несмотря на низкую плотность водорода,
высокое стехиометрическое массовое соотношение компонентов обеспечивает приемлемую плотность. Однако фторводородное ЖРТ не нашло пока применения в ракетной технике из-за таких эксплуатационных свойств, как высокая токсичность собственно фтора и продуктов сгорания, высокая коррозионная активность. Кроме того, высокая температура продуктов сгорания вызывает трудности с охлаждением камеры и неизбежные при этом потери удельного импульса.
Высоким удельным импульсом обладает кислородно-водородное то-пливо прочно вошедшее в ракетнокосмическую технику
Продукты сгорания кислородно-водородного топлива нетоксичны, а
сами компоненты коррозионно-неактивны, что создает благоприятные экс-
плутационные условия. К сожалению, кислород и водород при криогенных и
обычных температурах не обеспечивают самовоспламенения, поэтому для про-
цесса горения необходима система зажигания.
Эксплуатационные требования для обеспечения надежной работы двигателя . Жидкостной ракетный двигатель является высокотеплонапряжен-ным преобразователем тепловой энергии топлива в кинетическую энергию струи, и для его работы необходимо обеспечить надежное охлаждение камеры. Охлаждение огневой стенки камеры обычно осуществляют компонентами теплив. Охлаждающая способность компонента в значительной степени определяется комплексом его теплофизических свойств.
Топливо или его компонент, являющийся охлаждающей жидкостью, должны обладать:
1. Высокой удельной теплоемкостью, при этом единицей веса жидкости поглощается наибольшее количество тепла.
2.Высокой теплопроводностью. Такая жидкость способна пропускать и распределять по объему большие тепловые потоки.
3. Значительной скрытой теплотой парообразования. При более высокой скрытой теплоте парообразования охлаждающая жидкость закипит при более высокой Г и будет способна отнять от стенок большее количество тепла.
4. Наиболее высокой температурой кипения, что обеспечивает большую надежность охлаждения без вскипания жидкости в охлаждающем тракте.
5. Высокой химической стойкостью против разложения при высокой температуре в охлаждающем тракте двигателя, что обеспечивает надежность охлаждения двигателя жидкостью с одинаковыми, принятыми в расчете, физическими свойствами.
б.Наименьшей возможной вязкостью, так как при высокой вязкости резко растут гидравлические сопротивления, увеличивается давление насосов, что ведет к увеличению веса турбонасосного агрегата (ТНА).
7. Наименьшим коэффициентом поверхностного натяжения, что способствует лучшему растеканию по поверхности охлаждающей жидкостии исключает возможность образования паровых пузырей, вызывающихместные перегревы и точечные прогары стенок камеры.
8. Высокой скоростью сгорания;
9. Малым периодом задержки воспламенения.
Требования при эксплуатации топлив вне овигатая. Эксплуатационные требования определяются свойствами топлив. Ими же определяются и эксплуатационные затраты, связанные с заправкой, хранением и контролем. Выбор конструкционных материалов зависит как от коррозионнойактивности компонентов топлива, так и от их температуры застывания. Длительноехранение ЛА в заправленном состоянии требует высокой стабильности к омпонентов топлива. Отработка ЖРДУ на нетоксичных, пожаро- ивзрыво-безопааныхтоп-ливах значительно упрощается вследствие снижения требоваваний погерметичности, значительного удешевления стендовой базы, транспортныхрасходов. Значение эксплуатационных требований возрастает для пилотируемыхЛА, а также для аппаратов многократного использования и длительногохранения. Наконец, экологические проблемы требуют дополнительного и подробного анализа воздействия компонентов топлива и их продуктов, сгораниянаокружающую среду. Поэтому в данном случае желательно использоватьнетоксичные, пожаробезопасные, взрывобезопасные, коррозийно-неактивныеста-
бильные при длительном хранении имеющие низкую температуру застывания, жидкие ракетные топлива.
Большие эксплуатационные затруднения создают коррозионно-активные компоненты топлива. Высокой коррозионной активностью отличаются азотная кислота, окислители на ее основе, а также азотный тетраксид. Приходится использовать только такие материалы, на которых образуется пассивная пленка, предохраняющая металл от воздействия окислителя. Например, при воздействии азотнокислого окислителя на поверхности алюминия образуется тонкая пленка окиси Аl2 03 , надежно защищающая металл от дальнейшего окисления.
Скорость коррозии металла в окислителе увеличивается с увеличением содержания воды и температуры окислителя. Для уменьшения коррозии широко используются ингибиторы коррозии: йод и его соли, фтористый водород, ортофосфорная и серная кислоты. Так, например, коррозия легированной хро-моникелевой стали уменьшается примерно в 10 раз при добавлении в красную дымящую азотную кислоту (КДАК) 1 % ортофосфорной кислоты.
Продукты коррозии металлов в азотно-кислотном окислителе могут забивать фильтры, каналы малого сечения в топливно-регулирующей аппаратуре и являться причиной отказа ЖРДУ. Особенно жестко контролируется наличие твердых примесей в двигательных установках длительного хранения.
Важным эксплуатационным свойством компонентов ЖРТ явтяется их стабильность при длительном хранении. Один из наиболее ненадежных компонентов ЖРТ при этом — перекись водорода, склонная к самопроизвольном}' разложению. Стабильность перекиси возрастает с увеличением ее чистоты и концентрации. Для стабилизации технической перекиси водорода используются оловянная, орто- и пирофосфорная кислоты, а также их соли (1-3%).
Для обеспечения длительного хранения перекиси водорода в составе заправленной ЖРДУ необходимо использовать комплексный подход, который может быть реализован при:
1) обеспечении чистоты исходного продукта;
2) выборе конструкционных материалов, исключающих каталитическое воздействие (исключаются серебро, платина, свинец, ртуть, органические соединения и др.);
3) использовании стабилизаторов, дезактивирующих катализаторы разложения;
4) удалении продуктов разложения из системы подачи топлива.
Большое значение для систем подачи топлива ЖРДУ имеет температурный диапазон существования компонента топлива в жидкофазном состоянии. Длительная стоянка ЛА в заправленном состоянии при температуре окружающей среды не позволяет использовать ряд компонентов с хорошими энергетическими свойствами. Так, четырехокись азота при нормальном давлении кипит при 294 К и при 262 К застывает. Концентрированная перекись водорода застывает при 276 К, а трифторид хлора кипит при 285 К. Для задач, связанных с длительным хранением компонентов в заправленном состоянии, приходится либо ставить специальную систему термостатирования, либо использовать
смешанные окислители (АК-20, АК-27 и др.) с более широким температурным диапазоном, но несколько худшими энергетическими характеристиками. Постановка системы термостатирования усложняет весь ракетный комплекс.
Заметное усложнение ЖРДУ вызывает применение несамовоспламеняющихся компонентов. В этом случае приходится использовать систему зажигания (химическую, электрическую, пиротехническую либо газодинамическую). Использование пусковых самовоспламеняющихся компонентов топлива влечет на собой введение дополнительных емкостей, трубопроводов, клапанов и агрегатов управления. Для электрозажигания требуется источник электроэнергии, при этом усложняется конструкция головки камеры, на которой размещается блок зажигания. Пиротехническая система предусматривает постановку нескольких пиропатронов, газоводов для двигателей многократного запуска.
Газодинамическая система основана на использовании части кинетической энергии расширяющейся струи (5—6%) для нагрева специальной поверхности, контактирующей с компонентами топлива. При ее применении также усложняется конструкция головки камеры и требуется источник газа.
Жидкий кислород не обеспечивает воспламенения с большинством освоенных горючих, но триэтилалюминий, триэтилборан и их смеси с кислородом самовоспламеняются. Углеводородные горючие при обычных температурах не воспламеняются с азотно-кислотными окислителями и перекисью водорода.
Практически со всеми горючими только фтор и ряд его производных обеспечивают хорошее самовоспламенение однако высокая их активность приводят к существенному усложнению и удорожанию как стендовых комплексов, так и летных образцов ЛА.Учет конкретных эксплуатационных характеристик компонентов ЖРТ на ранних этапах проектирования ДУ позволяет обеспечить надежное функционирование системы подачи, а также хранение и транспортировку ЛА в заправленном состоянии.
Большинство топлив ракетных двигателей представляет собой токсичные, т. е. ядовитые отравляющие вещества.
Установлены предельно допустимые концентрации ядовитых веществ в воздухе рабочих помещений, которые даже при длительном (6—8 ч) и непрерывном воздействии не оказывают вредного влияния на здоровье работающих.
Сокращением срока пребывания в атмосфере, зараженной ядовитыми газами или парами компонентов топлива, предельная допустимая концентрация может быть несколько повышена, так, например, для окиси углерода СО, если время пребывания не более одного часа разрешается до 0,05 мг/м3 воздуха, а для времени пребывания в 15—20 мин может достигать даже 0,2 мг/м3 . Однако надо иметь в виду, что ряд веществ с особенно высокой токсичностью, таких как фтор, окислы азота, производные фтора и хлора, не допускает даже незначительных отклонений от установленных норм.
Степень токсичности различных веществ различна и обычно оценивается так называемой допустимой концентрацией ядовитого вещества в воздухе (мг/л). Иногда степень токсичности сравнивается по так называемой летальной
лозе (LD50) — это такое количество ядовитого вещества в миллиграммах на 1 кг веса живого организма, которое будучи введено в организм приводит к 50 % -ной смертности подопытных животных.
Важным экономическим фактором при создании и эксплуатации комплексов с ЖРДУ является стоимость компонентов ЖРТ. Вклад стоимости компонентов в суммарную стоимость технической системы возрастает с увеличением габаритных размеров ЛА и их количества в серии.
Экономические требования. При массовом использовании ЛА с ЖРДУ, а также ЛА с ЖРДУ многократного использования возрастает роль экономического фактора. Производство новых высокоэффективных ракетных топлив невозможно без подготовки и развития сырьевой и производственной базы. При этом стоимость производимых компонентов должна быть достаточно низкой.
Выполнить все требования, предъявляемые к ЖРТ и сформулированные в настоящем разделе, практически невозможно. Более того, одна группа требований часто противоречит другой. Поэтому выбор компонентов топлива должен определяться в основном теми задачами, которые выполняет ЛА.
5.5. Перспективные ЖРТ
Вслед за освоением и широким применением одного из наиболее эффективных топлив — кислородно-водородного — стали осваивать топлива с использованием наиболее активного окислителя — жидкого фтора и его соединений. Применение этих окислителей для двигателей нижних ступеней ракет сдерживается высокой токсичностью фтора и его продуктов сгорания. Поэтому возможной областью использования фторных топлив являются верхние ступени ракет и космические аппараты, для которых исключительно важны высокие энергетические характеристики. Для межпланетных космических аппаратов ведется разработка многофункциональных двигателей на фторгидразиновом топливе. При малых уровнях тяг (для коррекции траектории полета) используется режим работы двигателя на однокомпонентном гидразиновом топливе. Для обеспечения высоких уровней тяг (торможение космического аппарата, увеличение скорости полета и т. д.) используется режим работы на двухкомпо-нептном топливе (впрыск фтора в поток продуктов разложения гидразина). Дальнейшей перспективой по применению более эффективных топлив может явиться освоение и внедрение металлосодержащих топлив. Для двигательных установок боевых ракет имеется существенное ограничение круга возможных топлив—они должны допускать длительное хранение ракет в заправленном состоянии. При этом необходимо сочетать высокий удельный импульс и большую плотность топлива. Работы по созданию и освоению металлосодержащих топлив, типичным среди которых является гелированный гидразин с алюминиевым порошком в качестве горючего и высококонцентрированная перекись водорода или четырехокись азота в качестве окислителя, могут привести к существенному улучшению энергетических и массовых характеристик двигательных установок на высококипящих топливах.
Низкая плотность и низкая температура кипения жидкого водорода затрудняют его использование в ракетах для продолжительных космических полетов. В связи с этим перспективным представляется применение шугообраз-ного водорода. Содержание твердого водорода в двухфазной смеси может составлять около 50 %. Основные преимущества шугообразного водорода перед обычным — повышенная плотность и увеличенная хладоемкость, а, следовательно, увеличение времени хранения. Использование гелей шуги водорода может облегчить решение проблемы относительно длительного хранения жидкого водорода в космических условиях.
Значительное внимание уделяется криогенным углеводородным горючим, полученным на основе низкомолекулярных газообразных углеводородов: метана
этана
пропана
и др. Эти углеводороды доступны, могут храниться в условиях космического пространства, имеют низкую стоимость и сравнительно высокие значения удельного импульса при использовании в паре с жидким кислородом. Жидкий метан, например, является еще и хорошим охладителем, позволяет получать восстановительный генераторный газ, не содержащий конденсата. Газообразный метан может быть нагрет в рубашке охлаждения ЖРД до 1000 К. Все это делает перспективным применение криогенных углеводородов (возможно в шугообразиом состоянии) для мощных марщевых двигателей ракет-носителей и для двигателей космических аппаратов с длительным пребыванием в космосе.
Так, например, следуя букве и духу концепции двигательных установок на экологически чистых и дешевых компонентах топлива. КБ химической автоматики им. С. А. Косберга (Воронеж) в инициативном порядке приступило к освоению топлива «жидкий кислород - сжиженный природный газ» («ЖК -СПГ»). Природный газ на 98% по объему- содержит метан и оценивается ведущими специалистами отрасли как топливо, наиболее полно удовлетворяющее требованиям к двигателям нового поколения.
При первом огневом испытании экспериментального двигателя на топливе ЖК-СПГ 30 апреля 1998 г. выполнены работы по проверке работоспособности стендовых систем, отработке технологии заправки метаном, термостати-рования ЖРД перед пуском, исследования характеристик запуска и выхода двигателя на основной режим.
Цели и задачи начального (демонстрационного) этапа освоения нового топлива выполнены. Полученные экспериментальные данные и приобретенный опыт работ с СПГ позволяет перейти к проектированию и подготовке огневых испытаний ЖРД нового поколения.
По контрактам с Корпорацией КОМПО-МАШ и Центромим. М. В. Келдыша проведена расчетно-конструкторская, материаловедческая и технологическая проработка ряда новых двигателей.
Большое внимание уделяется улучшению свойств высококипящих углеводородных горючих. Разрабатываются углеводородные горючиенефтяного происхождения и синтетические, с улучшенными физико-химическими свойствами, повышенной плотностью и т. п. В США создано углеводородное горючее RJ-5, имеющее плотность, существенно более высокую, чемкеросин.
42
Среди исследуемых двухкомпонентных топлив, окислитель и горючее которых являются химически устойчивыми индивидуальными веществами, топливо фтор + водород является наиболее эффективным из всех известных. Вместе с высоким удельным импульсом эти топливо имеет и сравнительно высокую плотность вследствие высокой плотности жидкого фтора и большого значения оптимального соотношения компонентов. Несмотря на высокую токсичность и агрессивность фтора и продуктов сгорания, освоение этого топлива рассматривается как дальнейшее развитие и улучшение уже освоенного топлива 02 + Н2 .
Комбинация F2,ж +N2 Н4 и имеет сравнительно высокие значения удельного импульса и плотности. Охлаждающие свойства гидразина позволяют преодолеть трудности теплозащиты, связанные с высокой температурой горения. Специальные добавки, не влияющие на энергетику, устраняют опасность разложения и взрыва гидразина при использовании его для регенеративного охлаждения.
Исследуемые высококипящие топлива сравнительно немногочисленны. Согласно публикуемым материалам наиболее эффективным по удельному импульсу является топливо на основе высококонцентрированной перекиси водорода с пентабораном. Пентаборан чрезвычайно токсичен и самовоспламеняется в воздухе. Однако найдены присадки, устраняющие эту опасность (температура самовоспламенения повышается на 100 К). К недостаткам рассматриваемого топлива относят высокую температуру плавления концентрированной перекиси водорода. В то же время стабильность Н2 02 достаточна для применения во многих случаях: чистые растворы концентрированной Н2 02 разлагаются со скоростью, меньшей 0,6% в год.
Топливо N2 04 + B5 H9 имеет существенно меньшее теоретическое значение удельного импульса, но более высокую плотность и стабильность, оба его компонента пригодны для применения в системах с предварительной заправкой и герметизацией емкости.
Среди выосокоэнергетических горючих внимание привлекают металлы Be, Li, A1 и их гидриды. При горении этих металлов в кислороде и фторе на единицу массы продуктов сгорания (окислов и фторидов) выделяется больше теплоты, чем, например, при горении водорода. Кроме этого, указанные металлы имеют довольно высокую плотность. Согласно термодинамическим расчетам применение добавок легких металлов, главным образом Be, может обеспечить существенное повышение энергетических характеристик топлив.
Применение металлических добавок к топливу на основе жидкого водорода снижает плотность топлива, что связано с уменьшением количества окислителя в топливе и увеличением количества водорода при оптимальных соотношениях. Оптимальным соотношением всех компонентов является примерно такое, когда весь окислитель расходуется на стехиометрическое окисление металла, а водород добавляется до достижения максимального удельного импульса.
Аналогичные данные показывают возможности повышения характеристик некоторых высококипящих топлив путем использования металлических добавок.
43
Для высококипящих топлив также характерно уменьшение оптимального количества окислителя при добавлении металла, однако из-за более высокой плотности горючих по сравнению с Н2 ,ж, добавление металла, более тяжелого, чем оба компонента, повышает плотность топлива.
Из гидридов металлов особый интерес представляет ВеН2 и А1Н3 .
Плотность этих веществ довольно высока и равна 0.63 и 1.48г/см3 соответственно. Идеальный удельный импульс в пустоте топлива Н2 02 - ВеН2 при оптимальном соотношении компонентов составляет 4800 м/с. т. е. близок к удельному импульсу топлива F2 + H2 . Это наиболее высокая характеристика для высококипящих топлив, горючее и окислитель которых являются индивидуальными веществами.
Вследствие высокой теоретической эффективности металлосодержащих топлив оправданным становится поиск решения вопросов их практического использования. Одной из важных проблем является проблема хранения и подачи металла в камеру сгорания. Важным также является поиск путей реализации высокого импульса в связи с потерями из-за неравновесного течения двухфазной смеси в сопле, а также связанными с защитой камеры, от воздействия конденсированных частиц. Содержание конденсата (окислов алюминия, бериллия и др.) в продуктах сгорания при оптимальном соотношении компонентов составляет до 40 % по массе, рис.27.
![]() |
![]() |
Рис.27
Гелеобразные топлива исследуют в связи с решением задачсоздания хранимой однородной суспензии металлов в компонентах топлива, увеличения срока хранения криогенных компонентов топлив в условияхнесовместимости, улучшения эксплуатационных характеристик топлив (гелирование способству-ет быстрому затуханию колебаний в баке) и т. д. Создание новыхгелеобразных топлив и комбинирование современных окислителей с гелеобразнымигорючими позволит существенно уменьшить размеры крупных ракет-носителей.
При получении гелеобразных топлив обычно используются химически активные или механические гелеобразователи. В качестве химически активных гслеобразователей применяют высшие жирные кислоты и их соли (мыла), высокомолекулярные соединения (полимеры), тяжелые углеводороды. Механическими гелеобразователями могут служить тонкоизмельченные металлы (разме-ром 0,8 ... 3 мкм) и их соединения, силикагель, сажа, глина и т.д.
Используя с загущенным органическими горючими наполнители, представляющие собой порошкообразный окислитель, и высокоэнергетические добавки, получают гелеобразные монотоплива. В загущенном состоянии монотоплива похожи на твердые ракетные топлива, обладая, например, способностью выдерживать большие перегрузки. В отличие от твердых ракетных топлив гелеобразные монотоплива могут прокачиваться по трубопроводам; их приготовление можно организовать непосредственно на стартовой позиции, отработка рецептур таких топлив происходит более быстрыми темпами и имеет более низкую стоимость, а возможности варьирования рецептуры гелеобразных составов гораздо шире, так как их не нужно отверждать.
Энергетические характеристики монотоплив весьма близки к характеристикам средних по удельному импульсу жидких ракетных топлив.
Псевдожидкое топливо (или его компонент) состоит из порошкообразных веществ, которые можно флюидизировать газом по методу кипящего слоя и подавать в камеру сгорания ракетного двигателя аналогично жидкому компоненту. При прохождении с некоторой скоростью потока газа, т. е. ожи-жающего агента, через слой сыпучего, зернистого вещества частицы этого вещества начинают интенсивно перемещаться относительно друг друга, напоминая при этом кипящую жидкость и приобретая некоторые ее свойства. Переход неподвижного слоя в кипящий происходит при такой скорости газа, когда гидродинамическое давление потока уравновешивает силы, действующие на частицу: инерционные, силы тяжести и др.
В качестве псевдоожижаемого окислителя рассматриваются порошкообразные перхлорат аммония, нитрат аммония, гексанитроэтан и др., а в качестве горючего—алюминий, бор, полиэтилен, гидриды алюминия, бериллия, циркония и др. Сжижающим агентом может быть нейтральный газообразный азот, а также активные сжижающие газы, например, для окислителя — кислород, а для горючего — водород.
В настоящее время работы в области псевдожидких и гелеобразных топлив находятся в стадии экспериментальных исследований и стендовых испытаний опытных образцов.
6. Основные конструктивные элементы камер ЖРД. Топливные баки
6.1. Особенности условий работы и конструкции камеры ЖРД
Камера ЖРД—важнейший агрегат ЖРД, работающий в весьма трудных условиях. Сгорание топлива происходит в малом объеме при высоких зна-
чениях температуры и давления. С целью повышения скорости сгорания поступающие жидкие компоненты должны быть очень мелко распылены и равномерно перемешаны. Распыление осуществляется форсуночной головкой (ФГ), от хорошей работы которой зависит эффективность работы камеры ЖРД. Смешивание газообразных компонентов осуществляется смесительной головкой.
Внутренние стенки камеры сгорания омываются газами, температура которых значительно превышает температуру плавления материала стенки. Поэтому стенки должны интенсивно охлаждаться. Кроме того, стенки камеры ЖРД испытывают высокое давление газов. Так как вес камеры сгорания должен быть минимальным, ее выполняют из высокопрочных тонколистовых материалов.
Камера ЖРД, рис.28, состоит из следующих основных, технологических узлов: форсуночной или смесительной головки (СГ); камеры сгорания или средней части; охлаждаемой сопловой части; неохлаждаемой сопловой части — насадка.

Рис . 28
Разбивка камеры ЖРД на технологические узлы
Эти узлы камеры ЖРД соединяются сваркой или с помощью болтов. Средняя часть и сопловая охлаждаемая часть часто выполняются за одно целое. Форсуночная головка схематически изображена на рис.2. Она состоит из огневого днища 1, среднего днища 2, верхнего днища 3, шаровой опоры 4, патрубков подвода окислителя 5, коллектора подвода горючего 6. форсунок окислите-
46
| ля 8. форсунок горючего 7. Количество форсунок определяется размером камеры ЖРД и требованиями к распылу компонентов. |

Рис. 29
Схемафорсуночнойголовки:
А — полость окислителя; Б— полость горючего; 1—огневое днище; 2—среднее днище; 3—верхнее днище; 4— шаровая опора; 5—патрубок; 6—коллектор; 7— форсунка горючего; 8—форсунка окислителя
Некоторые камеры ЖРД вместо центральной шаровой опоры 4 имеют специальные цапфы, приваренные к рубашке средней части камеры примерно в центре тяжести (например, камеры ЖРД «Гамма» для ракеты «Блек Найт»).
Узел — камеры сгорания и охлаждаемая часть сопла - схематически изображен на рис.3. Он состоит из внутренней (огневой) оболочки или стенки 1, внешней оболочки или рубашки 2, цапф 3, коллектора 4, патрубков с фланцами 5.
Стенка 1 соприкасается с газами при высокой температуре и должна нтенсивно охлаждаться. С этой целью по каналам межрубашечного пространства протекает охлаждающая жидкость — один из компонентов топлива, чаще всего горючее.
Каналы для жидкости могут быть образованы несколькими способами: а) установкой гофрированных проставок между рубашкой и стенкой (рис.30, а); 6) соединением пайкой П-образных профилей с последующей проточкой по поверхности прилегания рубашки (рис.30,6);
в)соединением пайкой профилированных трубок (рис.30, в);
г) фрезерованием, травлением или выдавливанием продольных каналов в
стенке (рис.30,г).

Рис 30
Конструкция средней части камеры ЖРД:
1 и 2 — внутренняя и внешняя стенки камеры ЖРД, соответственно;
3 — цапфа; 4 — коллектор; 5—патрубок с фланцем
Наибольшее распространение в практике фирм США, Англии и Франции получил метод изготовления стенок из профилированных стальных или алюминиевых трубок (см. рис.30, в), хотя применяется и метод, указанный на рис.30, б.
Рубашка 2 изготовляется из высокопрочных материалов — стали, титана. Она может быть выполнена сплошной по всему контуру стенки или в виде отдельных колец, что определяется расчетом на прочность камеры ЖРД при условии минимального веса конструкции. В некоторых конструкциях рубашка изготовляется намоткой стальной ленты или приволоки с последующей пайкой. Применяются также рубашки из стекловолокна, пропитанного пластмассой.
Цапфы 3 воспринимают силу тяги камеры и привариваются к усиленной части рубашки камеры ЖРД. Чтобы избежать больших деформаций гибких трубопроводов при поворотах качающихся камер, горючее и окислитель можно подводить через осевые сверления в цапфах.
Коллектор 4 служит для равномерного распределения охлаждающей жидкости по каналам стенки камеры. Он выполняется из листового металла и приваривается или припаивается к рубашке. Жидкость подводится через один, два или более патрубков с приваренными фланцами 5 для соединения с трубопроводами, идущими от ТНА.
Неохлаждаемая часть сопла испытывает сравнительно небольшое внутреннее давление и изготовляется из тонколистового материала (стали, тагана). Для защиты от высокой температуры применяются различные по-крытия, наносимые электроосаждением, плазменным распылением, диффузионным и другими способами.
6.2. Особенности проведения прочностного расчёта камер ЖРД
1)Камера двигателя является, как правило, двустенной, скрепленной
связями, оболочкой, находящейся под силовым и температурным воздействи
ем.
При работе ЖРД температуры наружной и внутренней оболочек различны и переменны как вдоль оболочки, так и по ее толщине. В наиболее тяжелых температурных условиях работает внутренняя оболочка. Средняя температура ее много выше, чем у наружной оболочки и, кроме того, значительно изменяется температура по толщине ее (тем больше, чем больше тепловой поток через стенку и чем меньше теплопроводность стенки). При таких температурных условиях работы в стенках возникают большие температурные на-пряжения и ухудшаются механические свойства материала. Ввиду этого при прочностных расчетах камеры ЖРД необходимо учитывать температуру и неравномерность ее по толщине внутренней оболочки, а также изменение механических свойств материала при повышении температуры.
2)Разность между давлением в охлаждающем тракте и статистическим
давлением в камере, а также температура внутренней стенки переменны по
длине камеры двигателя.
Вследствие этого прочностные расчеты внутренней оболочки необходимо проводить минимум для двух сечений: сечения наибольшей разности давлений и сечения наибольшей температуры внутренней оболочки.
3)Проведение расчетов камеры двигателя на прочность по допускае
мым напряжениям не всегда приемлемо. Дело в том, что одни только темпера
турные напряжения в стенках камеры могут значительно превосходить предел
упругости, так что материал камеры двигателя работает в области пластиче
ских деформаций при одновременном силовом и температурном воздействии.
Поэтому основным критерием пригодности камеры ЖРД целесообразно считать не значения возникающих напряжений, а величину деформаций как оболочки в целом, так и ее элементов.
4)Прочностные расчеты камеры ЖРД имеют характер проверочного
расчета.
Все основные размеры оболочек, способы скреплений, а также нагрузки на оболочку и температуры ее определяются в первую очередь условиями жности системы охлаждения и обеспечения заданной тяги двигателя и лишь затем - условиями прочности.
Если какие-либо элементы камеры не удовлетворяют условиям прочности, мы не можем изменять их размеры без введения существенных поправок в расчет охлаждения или тепловой расчет камеры. Так, например, мы не можем
увеличить толщину стенки внутренней оболочки, так как при этом резко изменятся условия охлаждения.
6.3. Требования, предъявляемые к камерам ЖРД
Камера ЖРД любого типа и конструкции должна удовлетворять определенным требованиям, обусловленным особенностями ее работы и эксплуатации.
Основными особенностями камеры ЖРД отличающими ее от камер сгорания других тепловых двигателей, являются:
1) высокая теплонапряженность ее рабочего объема, что предъявляет особые требования к конструкции камеры сгорания;
2) большие давления и температуры газов в ней (около 20-80 ата и 2800-3600 К), что предъявляет особые требования к материалам и к системе охлаждения;
3) малое время, отводимое для сгорания в ней топлива (не больше 0,005 сек.), что требует очень хорошего распыла компонентов топлива при подаче в камеру сгорания для более полного их сгорания;
4) большие секундные расходы компонентов топлива, в силу чего требуется надежное зажигание его при запуске двигателя;
5) резкое ухудшение экономичности работы камеры двигателя и условий ее охлаждения при изменении режима работы относительно расчетного;
6) жёсткое ограничение по весу, вследствие специфики использования ЖРД на летательных аппаратах, что требует применения для изготовления камеры легких и прочных материалов при условии их работы с весьма малыми запасами прочности.
Главной задачей при проектировании и конструировании камеры двигателя является обеспечение возможно большего удельного импульса при минимальном весе и максимальной надежности конструкции. В ряде случаев, когда это компенсируется соответствующим уменьшением веса, вполне допустимо некоторое снижение удельного импульса. Хотя такое мероприятие дает косвенный эффект и связано иногда со значительным изменением конструкции двигателя, но тем не менее им не следует пренебрегать.
Конструктивные и эксплуатационные особенности ЖРД во многом зависят от вида применяемых компонентов топлива.
При проектировании камеры двигателя необходимо стремиться обеспечить:
1) надежное воспламенение топлива при запуске в любых атмосферных условиях;
2) устойчивое горение топлива (без пульсаций давления) в диапазоне установленных режимов работы двигателя;
3) малые потери энергии топлива при сгорании в минимальном объеме и заданном режиме работы двигателя;
4) надежность охлаждения (если двигатель охлаждаемый) и работы в пределах установленных режимов и ресурса;
5) небольшой перепад давления жидкости в охлаждающем тракте;
6) простоту конструкции камеры, минимальные удельный вес и стоимость.
Камеры ЖРД существующих двигателей, созданные на основании экспериментальных исследований, большинству этих требований в значительной мере удовлетворяют.
Совершенство камеры ЖРД в основном определяется величиной развиваемого удельного импульса при простой, легкой и надежной конструкции. Величина удельного импульса двигателя является наиболее существенным параметром, определяющим дальность полета боевого аппарата при заданном совершенстве его конструктивного выполнения.
Основным фактором, влияющим на величину удельного импульса камеры двигателя, является качество организации и осуществления в ней рабочего процесса. Изучение процессов сгорания топлива в камерах ЖРД с целью дальнейшего их улучшения и совершенствования представляет весьма обширную область экспериментальных и теоретических исследований.
Для совершенствования конструкции камеры двигателя необходимы дальнейшие исследования процессов сгорания в ней заданных топлив при различных соотношениях компонентов и давлениях горения в зависимости от конструкций распыляющего устройства, скоростей впрыска компонентов топлива, конфигурации камеры сгорания и сопла, а также других факторов и условий работы двигателя.
6.4. Выбор материала для камеры ЖРД
Материал камеры двигателя должен быть по возможности более прочным, легким и обладать хорошими пластическими свойствами. Для материала внутренней оболочки желательно сочетание высокой теплопроводности и удовлетворительных прочностных свойств при высоких температурах, однако, как правило, жаропрочные сплавы имеют плохую теплопроводность. Для внешней оболочки теплопроводность большого значения не имеет и поэтому МПЧ главным требованием к материалу является его высокая прочность и возможно меньшая плотность. В некоторых случаях, при высокотеплопроводных скреплениях, температура наружной оболочки может достигать 300-400°С и тогда материал должен обладать достаточно хорошей жаропрочностью.
Кроме того, в зависимости от типа конструкции и применяемых ком-понентов, материал должен удовлетворять условиям свариваемости, кислото-стойкости и не являться катализатором.
Основные рекомендации по выбору конструкционных материалов при производстве камер ЖРД представлены ниже:
1. Сталь 12Х18НЮТ применяется для внутренних оболочек цилиндрической и сужающейся части камер при температуре газа менее 3000 К, а также для внутренней оболочки расширяющихся частей сопел.
2. Сталь 12Х18Н9Т в настоящее время не рекомендуется для внутренних оболочек камер из-за склонности к межкристаллической коррозии.
3. Сталь 1X21Н5Т целесообразно применять для выполнения силовых колец камер, т.к. она не требует термообработки после сварки.
Кроме того, сталь 1X21Н5Т хорошо сваривается с бронзой, и поэтому может использоваться в качестве промежуточного кольца при сварке внутренних оболочек из стали 12Х18Н1ОТ и бронзы типа БрХ-08. Сталь 1Х21Н5Т рекомендуется также для изготовления наружных оболочек расширяющихся частей сопел. Эта сталь при температуре пайки обладает высокой пластичностью, что обеспечивает хороший контакт со связями и высокое качество пайки узлов сложной формы.
4. Сталь Х16Н4БА используется для изготовления наружной оболочки цилиндрической и сужающейся частей камеры двигателя, т.к. при температуре более 500 К она обладает высокими механическими характеристиками.
5. Титановые сплавы применяются для изготовления наружной и внутренней оболочек расширяющейся части сопел, работающих в восстановительной среде. Для окислительной среды титановые сплавы применять не рекомендуется, т.к. они могут возгораться из-за растрескивания окисной плёнки.
6. Медные сплавы используются для изготовления внутреннего днища и внутренних оболочек цилиндрической части камеры и суживающейся части сопла в двигателях с высоким давлением в камере (более 10 Мпа).
6.5. Формы камер ЖРД
Камера двигателя является главным агрегатом ракетной двигательной установки.
Различают изобарические и скоростные камеры сгорания. Камеры сгорания с приблизительно постоянным по длине давлением иногда называются изобарическими камерами. К ним следует относить камеры, у которых FK / F * >3
Отношение FK / F* , называют обычно безразмерной площадью камеры сгорания. Если значение FK / F* < 3, то при сгорании в камере скорость потока
значительно возрастает по её длине, в то время как давление, согласно уравнению закона сохранения энергии, падает. Такие камеры сгорания уже нельзя относить к изобарическим; их называют скоростными. В пределе FK / F* =1 камеры двигателя носят название полутеплового сопла.
Известны следующие основные формы камер сгорания ЖРД рис.31.
1.Цилиндрическая.
2.Шарообразная (или грушевидная).
3.Коническая.
4.Кольцевая (торовая, цилиндрическая).
Рассмотрим особенности каждой из этих форм.
В настоящее время наиболее распространены цилиндрические камеры сгорания. Они применяются для камер двигателей всех тяг.
Основным достоинством цилиндрической камеры сгорания по сравнению с камерами сгорания других форм является простота ее конструкции и изготовления а, следовательно, малая стоимость. Кроме того, она имеет меньший габаритный диаметр.

Рис.31
Формы камер сгорания:
а —цилиндрическая; б—полугепловое сопло; в —шарообразная; г — коническая; д, е —кольцевые
К основным недостаткам цилиндрической камеры сгорания, по сравнению с камерами других форм, относятся:
1) при одинаковом объеме она имеет большую поверхность оболочки, что усложняет ее охлаждение;
2) при прочих равных условиях она имеет худшую прочностную характеристику, что увеличивает ее удельный вес и стоимость;
3) газовый поток в этой камере сгорания больше обжимается поверхностью оболочки, чем в шарообразной камере сгорания, что несколько гасит его турбулентность и утоняет ламинарный слой газа около поверхности оболочки, снижая полноту сгорания топлива и, следовательно, удельный импульс и увеличивая теплоотдачу от газов к оболочке;
4) меньшая устойчивость работы в отношении высокочастотных колебаний, что ограничивает ее расходонапряженность, а также сужает пределы регулирования тяги изменением расхода топлива.
Цилиндрические камеры сгорания выполняются со съемными или приварными головками. Эти камеры обычно стоят на двигателях малых и средних тяг однократного и многократного применения, где в первую очередь требуются простота и дешевизна конструкции. В последнее время наиболее часто применяются камеры сгорания цилиндрической формы с плоской головкой и од-нокомпонентными центробежными форсунками. Примером ЖРД с цилиндрической камерой сгорания могут служить двигатели ОРМ-65и РД-107, рис.32 Шарообразные и близкие к ним грушевидные камеры сгорания по сравнению с камерами сгорания других форм имеют следующие основные достоинства:
1) при заданном объеме они имеют относительно меньшую поверхность оболочки, что уменьшает удельный вес камеры сгорания и облегчает ее охлаждение;
![]() |
![]() |
Рис. 32
Двигатели с цилиндрической камерой сгорания: а- ОРМ-65 (1936 г.); б— РД-107 (1954—1957 гг.); 1 - внутренняя оболочка камеры; 2 - корпус; 3 - вкладыш; 4 - штуцер подачи окислителя; 5—форсунка окислителя; 6—головка; 7—форсунка горючего, 8—нить накаливания: 9— воспламеняющий состав; 10 — зажигательная шашка
2) при заданном давлении в камере сгорания они имеют меньшую толщину оболочки, что уменьшает удельный вес камеры сгорания;
3) оболочка этих камер сгорания обладает большей устойчивостью против вдавливания внутрь под воздействием на нее статического давления охлаждающей жидкости;
4) процесс сгорания топлива в них протекает более полно благодаря сравнительно хорошей турбулизации газового потока, что повышает удельный импульс двигателя на 2—3%;
5) при прочих равных условиях в этих камерах меньше теплоотдача от газов к оболочке камеры вследствие наличия около ее поверхности более толстого ламинарного слоя, ухудшающего теплоотдачу к оболочке от газов и
облегчающего этим охлаждение камеры сгорания (газовый поток сравнительно меньше обжимается поверхностью оболочки).
К основным недостаткам шарообразных камер сгорания относятся:
1) сложность конструкции и технологии изготовления, что увеличивает ее стоимость;
2)сравнительно больший диаметр камеры сгорания, что может потребовать увеличения миделя ракеты.
Шарообразные камеры сгорания обычно имеют приварную шарообразную головку. Эту форму камеры сгорания имеют двигатели большой тяги со значительной продолжительностью работы, когда объем камеры сгорания настолько велик, что становится целесообразным предкамерный распыл компонентов, а также когда выгоды от уменьшения ее веса и повышения экономичности работы за счет формы преобладают над увеличением стоимости ее изготовления.
Примером ЖРД с шарообразными камерами сгорания может служить немецкий спирто-кислородный двигатель А-4, рис.33.
У конических камер сгорания по существу вся камера является входной частью сопла. Они имеют пониженные значения Iуд по сравнению с другими типами камер и вследствие этого не применяются, представляя только исторический интерес.
Основной причиной снижения Iуд являются большие скорости продуктов сгорания в камере. Вследствие этого превращение тепловой энергии в работу расширения является менее полным, т.е. имеют место большие потери на тепловое сопротивление. Кроме того, в конических камерах зона распыливания и испарения занимает значительную часть её полного объёма; зона сгорания при этом уменьшается, что приводит к худшему сгоранию или требует увеличения полного объёма камеры.
Применение кольцевых камер сгорания в ЖРД определено использованием сопел с центральным телом. Различают цилиндрические и торовые кольцевые камеры сгорания.
Кольцевые камеры круглого сечения (торовые) целесообразно применять при разгоне газа в сопле с центральным телом до больших чисел М.
По сравнению с другими типами кольцевые камеры сгорания имеют ряд недостатков. Поверхность их значительно больше, что приводит к увеличению веса и затрудняет охлаждение камеры, особенно, «юбки» сопла. Кольцевая камера сгорания сложна в изготовлении, а для обеспечения её жесткости необходимы либо специальные наружные рёбра жесткости, либо охлаждаемые стойки, связывающие наружный контур камеры с внутренним.
Достоинствами кольцевой камеры сгорания являются: возможность регулирования модуля и направления вектора тяги, а также уменьшение вероятности возникновения вибрационного горения при разбивке камеры по окружности на ряд отдельных секций; пониженные продольные геометрические размеры, по сравнению с другими типами камер;
возможность установки в полости центрального тела ТНА или других агрегатов.

Рис.33
Камера двигателя ракеты А-4: 1—верхняя полость; 2— главный клапан горючего; 3— нижняя полость горючего 4—форкамера; 5—"упор для передачи силы тяги на раму: 6—патрубок подвода горючего 7— тор; S—нижний пояс внутреннего охлаждения, 9—внутренняя оболочка камеры; 10— внешняя оболочка камеры;
56
11, 12 - пояса внутреннего охлаждения: и—дополнительный пояс внутреннего охлаждения; 14—
верхний пояс внутреннего охлаждения
6.6. Головки камер ЖРД и их конструкция
Головка камеры двигателя является главным узлом, обеспечивающим правильную организацию смесеобразования в камере сгорания. Конструк-цияголовки должна обеспечить устойчивое горение в камере, а также способствовать плавному выходу двигателя на режим и уменьшению импульса последействия. При проектировании головки должно быть осуществлено необ-мое размещение и надежное крепление форсунок, наиболее удобный подвод компонентов к форсункам и технологически возможно более простое соединение головки с камерой сгорания.
На головке располагаются устройства для ввода в камеру топлива.
Жидкое топливо подается в камеру форсунками, а в случае применения схемы
с дожиганием газа, поступающего из ТНА, или при подаче топлива (например,
перекиси водорода) в газообразном состоянии - через специальные окна, вы-
полненные в головке. При двухкомпонентном жидком топливе головка имеет
днeполости. В двигателях с регулированием тяги путем отключения групп
форсунок эти полости могут иметь дополнительные перегородки, позволяющие
отдельно подводить топливо к различным группам форсунок.
На головке размещаются также узлы крепления двигателя, клапаны, служащие для запуска, отсечки и регулирования тяги двигателя, а в ряде случаев и антивибрационные устройства, и воспламенители.
Основным требованием к конструкции головки является обеспечение заданных условий смесеобразования и защиты стенок камеры от чрезмерного нагрева и прогара. Эти задачи, как указывалось, решаются рациональным размещением форсунок на головке, выбором производительности отдельных групп форсунок и их характеристик, а также надлежащим охлаждением двигателя. Одновременно конструкция головки должна обладать достаточной жесткостью несмотря на ослабление ее стенок большим количеством отверстий под форсунки, обеспечивать возможность подвода компонентов с минимальным гидравлическим сопротивлением и иметь надежную защиту от перегрева горячими газами.
Для наилучшего смешения компонентов на головке желательно разместить максимально возможное число форсунок. Минимальное расстояние между форсунками определяется условиями прочности стенки головки, условиями размещения в теле головки каналов для подвода компонентов, если головка не имеет общей полости компонента, и, наконец, размерами форсунки. При центробежных форсунках определяющим фактором является размер форсунки, так как жесткость головки может быть обеспечена включением корпуса форсунки в силовую схему, а подвод компонентов в большинстве случаев осуществляется из общей полости. При струйных форсунках, имеющих относительно малые размеры, минимальный шаг определяется при данном угле рас-пыла расстоянием от поверхности головки зоны соударения струй или усло-
виями подвода компонента. В выполненных конструкциях при центробежных форсунках шаг составляет 6-30 мм, а при струйных форсунках минимальный шаг может быть доведен до 3 - 4 мм.
Тот или иной способ размещения форсунок выбирается либо на основании имеющегося опыта смешения компонентов топлива данного состава, либо из чисто конструктивных соображений, включающих подвод топлива и жесткость головки.
Основными конструктивными элементами головки являются форсуночное днище и наружная стенка. В свою очередь форсуночное днище чаще бывает двухстенным и реже - одностенным. При двухстенном форсуночном днище головка в целом является трехстенной. Тогда стенку форсуночного днища, обращенную к камере сгорания, называют внутренней или огневой, а вторую средней.
Одним из основных требований, предъявляемых к конструкции головки, является обеспечение достаточной ее жесткости, а также сохранениягерме-тичности ее элементов при возможных деформациях.
Головки камер ЖРД подразделяются на плоские, шатровые, сферические, цилиндрические и вихревые, рис.34.
Плоские головки являются наиболее распространенным типом. Плоские головки камеры имеют различное конструктивное оформление.- Иногда их выполняют трехстенной конструкции с отдельными полостями для горючего и окислителя. Верхнее днище обычно имеет шаровидную форму, тогда как последние два днища — плоские, в которых монтируют форсунки. При этом: компонент топлива, используемый для охлаждения камеры, поступает в нижнюю полость головки, образуемую плоскими днищами, откуда через форсунки впрыскивается в камеру сгорания. Второй компонент топлива подается прямо в верхнюю полость головки, образуемую шарообразным верхним и плоским средним днищами, а из нее затем поступает в камеру сгорания через сквозные трубки, пересекающие плоские днища головки и заканчивающиеся форсунками. Все три днища головки камеры связаны между собой. Верхнее днище связывается со средним плоским днищем косынками различной формы, а для связи плоских днищ можно использовать точечные выштамповки или развальцовку корпуса форсунок. Так как число форсунок обычно бывает весьма большим (измеряется сотнями), то последний способ связи между собой оболочек практически оказывается также достаточно надежным.
Конструктивное оформление головки в основном зависит от выбранной формы камеры сгорания, ее диаметра, вида компонентов топлива, а также от того, какой компонент топлива используется для охлаждения камеры. Плоские головки применяются в камерах двигателей малых и средних тяг. Они наиболее удобны для цилиндрических камер сгорания благодаря конструктивной простоте и удобству расположения на них струйных и центробежных форсунок горючего и окислителя. Плоские головки в сочетании с цилиндрической камерой сгорания обеспечивают хорошую однородность поля скоростей и концентрацию компонентов топлива по поперечному сечению камеры.

Рис.34
Классификация головок камер ЖРД
Преимущество плоских головок - в простоте конструкции; кроме того, плоские головки позволяют достаточно хорошо обеспечить однородность поля скоростей и концентраций топлива по поперечному сечению камеры сгорания. Недостатком плоских головок является относительно небольшая прочность и малая жесткость. Поэтому в плоских головках крegyогабаритных двигателей необходимо предусматривать подкрепляющие элементы, обеспечивающие требуемую прочность и жесткость головки.
Сферические головки часто выполняются с предкамерами и применяются в основном в камерах спирто-кислородных двигателей средних и больших тяг. Эта головка удачна и с точки зрения борьбы с явлениями, связанными с поперечными акустическими колебаниями, характерными для двигателей с камерой сгорания большого диаметра. Достоинство этой головки состоит в высокой ее прочности и жесткости, а недостаток—в сравнительно сложной конструкции.
Постановка предкамер на головке камеры облегчает экспериментальную отработку распыливающего устройства, так как в этом случае возможна предварительная доводка только одной предкамеры, что значительно проще и дешевле доводки всей распылительной плоской головки.
Шатровые головки, по форме напоминающие шатер, находят применение в двигателях малых и средних тяг, а также в качестве форкамер. Преимуществами шатровой головки являются большая, чем у плоской головки, поверхность для размещения форсунок и хорошие прочностные свойства. Недостатки головки - в сложности изготовления и неравномерности распределения топлива по сечению. При шатровой головке возможно образование «жгута» распыленного топлива.
Вихревые и цилиндрические головки обеспечивают достаточно эффективный распыл компонентов топлива, за счет их лобового соударения. Один из компонентов через подводящий коллектор и отверстия, выполненные в боковой стенке, подается во внутреннюю полость головки (в вихревой головке отверстия тангенциальны по отношению к полости смешения, а в цилиндрической - перпендикулярны), а другой - направляется в нее через, как правило, струйные форсунки, установленные в верхней (вихревая) или периферийной (цилиндрическая) зоне головки. На внутреннюю полость вихревой головки камеры нанесено выгорающее покрытие, обеспечивающее охлаждение стенки.
6.7. Конструктивные особенности выполнения систем охлаждения
камер сгорания
Камеры сгорания в основном выполняются двухстенными. В отдельных случаях находят применение одностенные и трёхстенные конструкции. Возможны и комбинированные конструкции, когда отдельные части камеры при принятой в целом двухстенной конструкции могут иметь одну или три стенки. Все эти различия в основном определяются принятой схемой охлаждения или тепловой защиты стенок.
Простейшими являются одностенные камеры; они могут быть неохла-ждаемыми и охлаждаемыми. При малой продолжительности работы двигателя
и невысоком тепловом режиме иногда применяются одноетенные камеры с ёмкостнымохлаждением.
Значительно большую длительность работы обеспечивает нанесение на стенку теплоизолирующих покрытий и тугоплавких материалов или материа-лов с малой теплопроводимостью. Тогда стенка сохраняет относительно низкую температуру и её несущая способность практически не понижается к кон-цу работы двигателя. Применение теплоизолирующих покрытий, керамиче-ских, наносимыхнепосредственно на стенку, в некоторых случаях, например, при кратковременной работе двигателя с невысокой температурой в камере сгорания, может дать экономию в весе по сравнению с системой наружного охлаждения, до 20-30%.
Находят применение также конструкции камер сгорания с теплоизоли-рующимпокрытием, образующимся в процессе работы двигателя, рис.35. Если одностеночная камера выполняется из стекловолокна, пропитанного феноль-ными или эпоксидными смолами, то теплоизолирующее покрытие наносить не обязательно. При нагреве связующие вещества стеклопластика, выгорая, обуг-ливаются, образуя на обращенной к камере сгорания поверхности стенки по-крытие, плохо проводящее тепло и обеспечивающее сохранность механических свойств материала в невыгоревших слоях.
В некоторых конструкции камера образована из стекловолокна с ненаправленным расположением волокон. Толстостенный корпус камеры сгорания жестко соединён с металлическим фланцем, с помощью которого корпус камеры винтами крепится к головке. Уплотнение достигается с помощью пазового стыка. Лучшими механическими свойствами под действием газовой нагрузки обладает корпус камеры сгорания, выполненный из стеклопластиковой узкой ленты с направленным расположением волокон, которая в процессе намотки укладывается ребром к оси камеры.
Стенки камеры могут защищаться от нагрева, как в конструкции камеры с вихревой головкой и выгорающей вставкой, изготовленной из силиконо-вой ткани, пропитанной фенольными смолами. Вставка с зазором входит внутрь алюминиевого корпуса камеры сгорания со стороны расширяющейся части сопла. Кольцевой зазор между вставкой и корпусом заливается изоляци-онным материалом. К сопловому фланцу корпуса ка болтах крепится неохлаж-даемая сопловая приставка с рёбрами жесткости на наружной поверхности.
Охлаждаемые одноетенные камеры могут быть с внутренними каналами и без каналов. В первом случае камера сгорания и сопло выполняются толстостенными с внутренними сверлеными и относительно редко расположенными каналами. Для облегчения камера может изготавливаться из алюминиевого сплава. Недостатком такой конструкции является трудность выполнения каналов внутри стенки на сужающейся и расширяющейся части сопла. При этом требуется либо большая толщина стенки для возможности сверления наклонного относительно оси камеры длинного канала, либо изготовление сопла из отдельных коротких отсеков.
Наиболее просто осуществляется охлаждение одностенной камеры сгорания при размещении её непосредственно в баке одного компонента топ-

Рис.35
Камера с вихревой головкой, выгорающей вставкой и неохлаждаемым насадком сопла.
1-грибовидный распылитель окислителя; 2 - форсунки горючего; 3-коллектор горючего; 4 - выгорающая вставка; 5 - стенка камеры; 6 - сопловая приставка.
лива, рис.36. Такая конструкция применима, если двигатель имеет сравнительно малую тягу, а диаметральные размеры летательного аппарата позволяют разместить бак вокруг камеры ЖРД. Стенка камеры сгорания может быть прак-тическиразгружена от действия сил давления газов, когда применяется, балон-ная подача топлива.
Двухстенные конструкции применяются в тех случаях, когда камеры имеют регенеративное охлаждение. Они отличаются типами связей между стенками и формами каналов для наружного охлаждения. Двухстенные камеры могут быть совсем без силовых связей между стенками на участке между головкой и соплом, с редко расположенными и часто расположенными связями.
Двухстенные камеры без промежуточных связей могут выполнятся при малых диаметрах камеры сгорания, а также при низких давлениях в камере и температуре внутренней стенки порядка 250-400°С. При таких температурных условиях внутренняя стенка толщиной 2-5 мм обладает достаточной жесткостью и способна без потери устойчивости выдержать нагрузку от сил давления охлаждающей жидкости и газов. Наружная стенка, имеющая ещё более благоприятные температурные условия, также способна воспринять нагрузку от сил давления охлаждающей жидкости.

Рис. 36
ЖРД с камерой сгорания, размещенной внутри топливного бака:
1 - стенка сопла; 2 - бак горючего; 3 - кожух; 4 - внутренняя стенка камеры сгорания; 5 - наружный корпус бака
Внутренняя и наружная стенки в таких конструкциях связываются между собой через головку и вблизи обреза сопла, а иногда дополнительно у конца камеры сгорания
Применение конструкции без связи между стенками возможно для камер сгорания двигателей с небольшой тягой или рулевых и вспомогательных двигателей при давлении в камере 15-20 кГ/см2 . Развитие ЖРД, сопровождающееся увеличением диаметра камер, температуры горения и давления, вынудило перейти к конструкции сначала с редко расположенными, а затем и с часто расположенными связями.
Редко расположенные связи выполняются в виде жестких колец, связывающих стенки, что способствует уменьшению деформации. Кроме того, вблизи колец внутренняя и наружная стенки работают совместно, что повышает общую несущую способность камеры. На участках между связями для разгрузки от температурных напряжений, которые возникают от разности продольных температурных деформаций стенок, размещаются кольцевые компенсаторы, которые служат одновременно дополнительными ребрами жесткости.
Такого типа конструкции применимы при толщине стенок порядка 5 мм и более, сравнительно низкой температуре стенок и давлениях в камере порядка 25-30кГ/см2 . В весовом отношении конструкции с редко расположенными связями невыгодны. Наиболее легкими и надежными являются конструкции с часто расположенными связями, находящимися столь близко друг от друга, что действие избыточного давления охлаждающей жидкости не вызывает
сколько-нибудь заметных местных прогибов стенки и работоспособность камеры определяется только несущей способностью под действием сил давления газов и осевой силы. Стенки связываются между собой сваркой или пайкой .
При сварном соединении на наружной стенке выполняются точечные или сплошные выштамповки. Точечные выштамповки могут быть круглыми или овальными с большой осью, направленной вдоль образующей камеры. Точечная сварка производится в местах выщтамповок. Однако выштамповки при большой толщине стенок загромождают тракт охлаждающей жидкости и не позволяют расположить связи достаточно часто.
Сплошные выштамповки под роликовую сварку могут располагаться в зависимости от принятого способа циркуляции охлаждающей жидкости -вдоль образующей камеры сгорания и сопла или по винтовой линии, как в конструкции камеры ЖРД с соединением стенок сваркой по винтовым вы-штамповкам. При многозаходной винтовой связи увеличивается длина контактной поверхности стенок, по сравнению с продольными связями, что способствует увеличению жесткости камеры и прочности связей.
Повышение давления газов приводит к необходимости значительно уменьшить расстояние между связями, что возможно в паяных конструкциях. Для пайки используются твердые припои. Припои наносятся предварительно на спаиваемые поверхности. Пайка производится в печи. Твердые припои имеют температуру плавления до 1500°С. При рабочей температуре в месте соединения 500°С допустимые напряжения в паяном шве составляют до 8 кГ/мм2 ,а при температуре 700°С - около 1 кГ/мм2 .
Паяные конструкции выполняются с ребрами и трубчатого типа.
Простейшей является конструкция с припайкой ребер, выполненных задело с одной из стенок, по преимуществу с внутренней, к другой стенке. Ребра на внутренней стенке получают механической обработкой. Они могут иметь переменный шаг по сечениям камеры и сопла и располагаются вдоль образующей или по винтовой линии. Для простоты ребра выполняются прямоугольного профиля; толщина их должна быть наименьшей допустимой технологическими возможностями. Для уменьшения загромождения тракта охлаждающей жидкости и снижения веса ребра могут образовываться тонкостенными штампованными профилями, которые затем либо припаиваются к обеим стенкам, либо припаиваются к одной стенке, а к другой не припаиваются. Трудности создания подобных паяных конструкций, где шов находится внутри охлаждающей полости, состоят в необходимости обеспечить гладкую поверхность шва и предотвратить затекание припоя в каналы рубашки. От этого технологического недостатка свободны паяные трубчатые конструкции, у которых шов находится снаружи каналов для охлаждения.
Трубчатые камеры выполняются из отдельных тонкостенных трубок, уложенных вдоль образующей камеры сгорания и сопла, а иногда по винтовой линии. Трубки имеют прямоугольное, овальное и U-образное сечение. На нецилиндрической части камеры сгорания и сопла площадь поперечного сечения трубок переменна. При относительно малых степенях расширения сопла и камера сгорания система охлаждения может быть образована из одного и того же количества трубок. Количество трубок выбирается таким, чтобы каждая
трубка занимала дугу с центральным углом 0,75-1,25 градусов. При больших степенях расширения сопла при таком угловом шаге на срезе сопла трубки должны быть сильно сплющены, что технологически затруднительно. Поэтому в таких случаях применяются комбинированные конструкции, когда часть тру-роходит вдоль всей образующей камеры сгорания и сопла, а между ними на расширяющейся части сопла ставится по одной или по две укороченных трубки. Трубки спаиваются по боковым прилегающим поверхностям. На пая-ные швы при этом приходится весьма значительная нагрузка от газовых сил, стремящихся разорвать камеру вдоль образующей. Для обеспечения надлежащей прочности необходимо применять усиливающие элементы. Такими элементами могут быть наружные кожухи, бандажи или сплошная обмотка.
При толстостенном металлическом кожухе вес камеры значительно увеличивается. Поэтому чаще применяют отдельные усиливающие бандажи, расположенные почти вплотную друг к другу на камере сгорания и горловине сопла и с большими промежутками на расширяющейся части сопла. В отдель-ныхконструкциях применяется обмотка снаружи трубчатой камеры проволокой квадратного сечения, которая может пропитываться связующей эпоксид-ной смолой. Вместо проволоки применяется и обмотка стеклопластиком с направленным расположением волокна.
Специфичными условиями охлаждения может быть вызвано и приме-нение трехстенной трубчатой камеры, рис.37. В ней по внутреннему ряду тру_ бок охлаждающая жидкость течет от головки к срезу сопла, а по наружному ряду - в обратном направлении. Иногда, например, в конструкции цилиндрической камеры ЖРД, применяется система охлаждения, при которой по одной из двух соседних трубок охлаждающая жидкость течет от головки к соплу, а по другой - в обратном направлении.

Рис 37 Трехстенная камера:
l-трубка наружного ряда; 2—трубки внутреннего ряда: 3— подвод горючего; 4—главный клапан горючего; 5—головка двигателя
При трубчатой конструкции сравнительно просто может быть осуществлен ввод в камеру отработанного газа из турбины ТНА для создания допол-нительной тяги. Окна для ввода газа имеют треугольную форму и образованы в томсечении сопла, где между основными длинными трубками вставлены укороченные трубки.
На рис. 38 показана трубчатая камера двигателя RZ-2, работающего на топливе жидкий кислород - керосин. Тяга двигателя на земле 62 Т («620 кн), удельная тяга 245 кГ-сек/кг (24-102 н-сек/кг}; отношениеFK / F* =1,8 т. е. камера сгорания скоростная; степень уширения сопла равна 8; давление в камере сгорания 38 ата (3,73 н/м2 ).
Охлаждение производится в «два хода». Охладитель по трубке проходит в сопловой коллектор 24 и возвращается обратно по соседней трубке, после чего поступает в форсуночное днище головки 5.
Жидкий кислород поступает в головку через угловой патрубок 2. Из головки кислород и керосин поступают в камеру сгорания, где смесь воспламеняется от пиротехнического запальника 8, который в свою очередь поджигается электрической искрой.
Оболочка камеры выполнена из 312 спаянных никелевых трубок. Для повышения прочности набор трубок стягивается бандажными кольцами 13, которые на участке камеры сгорания образуют сплошную обечайку. Керосин, охлаждающий стенки камеры, подается во входной коллектор 6 и через отверстия 19 поступает в трубки.
Камеры с регенеративным охлаждением могут иметь теплоизолирующие покрытие в тех случаях, когда недостаточна теплоемкость охладителя и нет внутреннего охлаждения, а также если применено топливо с очень высокой температурой горения.
Стенки камер большей частью выполняются составными и соединяются продольными и поперечными швами; реже применяются бесшовные камеры. Стенки цилиндрических камер сгорания свариваются из листового материала.
Толщина внутренней стенки камеры определяется условиями охлажде-ния. В двигателях с высокой тепловой напряженностью толщина внутренней стенки составляет примерно 0,8-2мм. Толщина наружной стенки из условии необходимой несущей способности и в зависимости от действующей нагрузки, температуры, материала и допустимых радиальных деформаций имеет большие размеры.
Внутренние стенки выполняются из жаростойких сталей или сплавов или из материалов с большой теплопроводностью, например, из меди, бронзы или алюминия. Наружные стенки при малых относительных нагрузках могут выполняться из малоуглеродистой или жаростойкой стали, а при больших нагрузках - из высокопрочных материалов.
Толщины стенок трубок порядка 0,2-0,4 мм; материалами трубок служат сталь, никелевые и алюминиевые сплавы.

Рис.38
Трубчатая камера двигателя:
— карданнаяподвеска; 2— подвод жидкого О2 ; а—штуцер для замера давления: 4— фланец 5— головка, 6—входной коллектор керосина; 7— уплотнительное кольцо; 8 —пирозапальник V— кабель; 10— камера сгорания; Л— место крепления рычага для управления вектором тяги 12 — критическое сечение; 13 бандажные кольца; 14 сливной штуцер: 15—спрямляющая решетка;
16—крышкаголовки; 17 —подвод пускового горючего; 18- —фланец: 19 —вход горючего 20— трубки, 21 —силовое кольцо в критическом сечении; 22—фланец для крепления экрана 23 — выходноесечение сопла; 24 — коллектор горючего: 25 —корпус головки: 26— подвод кислорода; 27—подвод пускового горючего; 28 — подвод горючего
6.8. Потери в соплах ракетных двигателей
Сопло — необходимый элемент всякого ракетного двигателя, в котором тепловая энергия продуктов сгорания преобразуется в кинетическую энергию истекающей из сопла струи газов. Величина кинетической энергии в конечном итоге определяет главную характеристику двигателя — удельный импульс. Всякий реальный процесс преобразования энергии сопровождается некоторыми потерями. В данном случае потери снижают кинетическую энергию струи и, следовательно, удельный импульс.
Одна из задач организации рабочего процесса в соплах ракетных двигателей—снижение всякого рода потерь, максимальное приближение реального процесса истечения из сопла к идеальному. С другой стороны, сопло ракетного двигателя, особенно при современных больших степенях расширения газов в нем, представляет собой довольно громоздкую конструкцию и в общих габаритах и в массе двигателя занимает весьма заметную роль. Другая задача
- всяческое снижение необходимых габаритов сопла ракетного двигателя.
Таким образом, объединяя обе задачи, можно сказать, что при проектировании сопла ракетных двигателей основной целью является максимальное приближение процесса истечения к идеальному при минимальных габаритах сопла. Тогда сопло двигателя будет иметь минимальные потери при минимальной массе и габаритах.
В соплах реактивных двигателей потери с достаточной точностью можно разделить на следующие виды:
Потери трения. Этот вид потерь связан с трением газа о стенку. Наличие вязкого трения при течении газового потока вдоль стенки КС и сопла создает силу, стремящуюся увлечь стенку в направлении потока, т. е. создает силу, противоположную тяге.
Газодинамические потери. Этот вид потерь связан с неравномерностью поля скорости по величине и направлению на срезе сопла. Дело в том, что, рассматривая характеристики идеального или теоретического двигателя, подразумеваем одномерное течение в сопле и, следовательно, параллельное оси сопла истечение с одинаковой скоростью по всему срезу сопла. В действительности течение в соплах пространственное, близкое к его разновидности
— осесимметричному потоку, с непараллельным и неравномерным истечени
ем. Это снижает тягу по сравнению с идеальным двигателем.
Термодинамические потери. К термодинамическим процессам, которые могут оказать отрицательное влияние на тяговые свойства сопла, относят недовыделение теплоты в сопле, за счет некоторой степени неравновесности и потери теплоты за счет теплоотдачи в стенку или в систему охлаждения. Эти потери отклоняют реальный процесс от идеализированного, и поскольку в обоих случаях имеют место потери тепловой энергии при расширении, то это вызывает и соответствующие потери тяги в сопле.
Полные потери тяги в соплах. В общем случае суммарный коэффициент, отражающий все основные составляющие потери:
![]()
где (при «хорошо» спрофилированных и изготовленных соплах):
= 0,990—0,975 — коэффициент, отражающий потери тяги из-за трения, зависит главным образом от степени расширения газов в сопле и шероховатости внутренней поверхности сопла;
= 0,990—0,985 — коэффициент, отражающий газодинамические потери. зависит главным образом от формы и особенностей профиля сопла; --
0.990—0,995 — коэффициент, отражающий потери термодинамического
ера, зависит главным образом от степени неадиабатичности процесса, степени расширения газов в сопле и рода топлива.
В итоге, учитывая приведенные выше значения отдельных состав-
ляющих, полный коэффициент сопла равен
= 0,975— 0,940, т. ё. потери
тяги в соплах составляют от 2,5 до 6,0%, рис.39. Пунктирная кривая расширя-
ет область в сторону его увеличения при применении сопел с полированной
внутренней поверхностью.

Рис.39
Примерное значение полного коэффициента профилированного сопла
в зависимости от степени расширения Рк
/Pa
.
6.9. Схемы сопел ЖРД
Применяемые в ракетных двигателях сопла могут быть разделены на конические, профилированные, кольцевые или сопла с центральным телом.
Конические сопла. Это наиболее простая в техническом отношении схема сопла. Сверхзвуковая часть сопла выполняется в виде прямолинейного расходящегося конуса, а область критического сечения по дуге окружности. Несмотря на большие потери тяги по сравнению с профилированными, эти сопла во многих случаях используются в ракетных двигателях. Больше того, для двигателей, работающих при больших противодавлениях среды (подводных) на режимах с отрывом потока в сопле, конические сопла оказываются более предпочтительными. С достаточной степенью точностью потери тягн на
неравномерность поля скорости на срезе сопла или непараллельность истечения оцениваются соотношением:
![]()
т. е. определяются в основном непараллельностью истечения, 2
- угол конусности сопла. Для безударности входа сопла область критического сечения рекомендуется выполнять по дуге радиуса R=
(1— 0,75)d*
. Если положить, что кроме потерь на неравномерность потока и трения других нет, то теоретический коэффициент сопла:
![]()
будет иметь экстремум при некотором угле конусности. Действительно, при увеличении угла конусности потери непараллельности растут, потери трения уменьшаются, рис.40.

Рис.40
Кривые зависимости
от угла конусности 2
для ряда значений степени расширения газов в сопле.
По мере увеличения степени расширения газов, т. е. увеличения относительной площади среза
величина
из-за роста потерь на трение уменьшается и её, экстремум сдвигается на большие углы конусности. Из графика следует, что оптимальные углы конусности
при рк
/ра
=100—1000. Этим данным соответствует значение
=0,978— 0,972.
Профилированные сопла. Профилированные сопла в настоящее время широко распространены. Контур сверхзвуковой части выполняется по специальной образующей, которая сначала резко отклоняется от оси сопла, а затем, достигнув максимального угла отклонения в точке перегиба, плавно выравнивается к концу сопла.
Профилированные сопла обладают определенными преимуществами по сравнению с коническими:
а)при одинаковой длине будут иметь меньшие угол конусности на срезе
и потери на непараллельность;
б)при одинаковой конусности на срезе и соответственно одинаковых по
терях на непараллельность будут значительно более короткими.
Построение криволинейного контура производится по специальным схемам, основанным на свойствах сверхзвукового потока.
Независимо от схемы построения контура профилированные сопла, так же как и конические, имеют при определенных условиях экстремальное значение коэффициента сопла
Действительно, если считать что сопло имеет только потери на трение и неравномерность потока, то теоретический коэффициент
=
(
будет иметь максимальное значение при определенной длине сопла). В самом деле, при данной схеме профилирования с увеличением длины сопла уменьшается угол не параллельности на срезе и, следовательно, уменьшаются потери на неравномерность потока. С другой стороны, с увеличением длины сопла растут потери на трение. Отсюда произведение
, так же как и при конических соплах, будет иметь где-то экстремум.
Оптимальные (
профилированных сопл лежат при углах конусности на срезе порядка
, соответствующие Рк
/Ра
-
=500-1000.
Кольце вые сопла. Одним из перспективных методов уменьшения габаритов двигателя является использование вместо обычных круглых сопел Лаваля кольцевых или сопел с центральным телом. В этих схемах принцип разгона газового потока до сверхзвуковой скорости остается прежним— геометрическим: дозвуковой поток разгоняется до скорости звука в сужающемся канале, а затем в расширяющемся канале достигает сверхзвуковой скорости. Разница между обычным и новым соплом состоит в том, что новая схема сопла имеет форму критического сечения не круглую, а кольцевую или щелевую.
На рис.41 представлена схема сопла с простым кольцевым критическим сечением. Контур этого сопла получается, если вращать контур обычного сопла Лаваля с осью х —х вокруг центральной оси 1-1.
Для образования кольцевой или щелевой формы критического сечения сопла, как видно из схемы, внутри сопла располагается тело вращения, называемое центральным телом.
Для сопла с центральным телом наиболее подходит торовая форма КС. В этом случае центральная часть КС и сопла (внутренняя полость центрального тела) оказывается свободной. В ней очень хорошо можно расположить турбонасосный агрегат, а также и все остальные агрегаты, обслуживающие двигатель. В результате двигатель с новым соплом получается очень компактным и коротким.
В качестве примера, подтверждающего сказанное, на рис.42,а приведены габариты двигателей ракеты «Сатурн-5» Ф-1, имеющего тягу Р = 7000 кН с обычным соплом на рис.42,6 — габариты двигателя ракеты «Сатурн-1В» Н-1 с тягой Р=900 кН, на рис.42,е — габариты двигателя Ф-1 с кольцевым (тарельчатым) соплом.
Как видно, двигатель с кольцевым соплом оказывается в 100/40 что в 2,5 раза короче и равным по длине двигателю с тягой, почти в 8 раз меньшей. Отсюда соответственно уменьшаются габариты и всей ракеты, что в конечном
итоге приводит к заметному выигрышу в массе. Причем в полости центрального тела размещаются все агрегаты двигателя вместе с ТНА. Кольцевые сопла с центральным телом используются для двигателей большой тяги.

Рис.41
Схема простого кольцевого сопла:
Da -диаметр выходного сечения;
nкр - высота кольца критического сечения;
Rкр - средний радиус кольцевой щели критического сечения

Рис.42
Сравнение размеров двигателей
6.10. Кольцевые сопла
Простая схема сопла с центральным телом легко может быть видоизменена так, что получится новая схема кольцевого сопла, представленная на рис.43,а, у которой центральную цилиндрическую поверхность тока, проходившую через ось контура сопла х — х, заменили твердой стенкой. С точки зрения газовой динамики это вполне возможно, так как поверхность тока для газа так же непроницаема, как и твердая стенка. В результате получим схему сопла с центральным телом, которая в некоторых случаях может быть предпочтительнее: это сопло имеет внешнюю оболочку в виде простого цилиндра.
Газодинамическая схема течения в таком сопле практически ничем не отличается от схемы течения в предыдущем, если только учесть, что контур этого сопла соответствует «половине» контура предыдущего сопла.
Заметим здесь, что так как за выходной характеристикой АВ поток является однородным, т. е. с постоянной и параллельной скоростью, то совершенно нет необходимости продолжать внешнюю цилиндрическую оболочку сопла дальше точки А. Следовательно, можно внешнюю оболочку «обрезать» по сечению, в котором находится точка А, и получить сопло, показанное на рис.43, б. Естественно, такое сопло более выгодно, так как оно меньше по массе и его удобнее охлаждать — меньше огневая поверхность. В случаях если из условия обеспечения необходимой степени расширения выходной диаметр сопла получается меньше диаметра корпуса ЛА, то внешний диаметр тогда можно сделать равным диаметру корпуса, а нужную площадь выходного сечения сопла получить за счет устройства центрального тела с плоским торцом.
Наконец, как и в круглых соплах, с целью сокращения длины и уменьшения потерь на трение более выгодным будет сопло не с полностью параллельным истечением, а с некоторой степенью непараллельности. Такое сопло получается, если соответственно «обрезать» предыдущее сопло.
Кроме рассмотренных выше схем кольцевых сопел известны и другие их разновидности. Например, на рис.44, представлены две интересные схемы сопел и их разновидности, отличительной чертой которых является расположение плоскости критического сечения под некоторым углом к центральной оси сопла. Причем расположение критического сечения может быть двояким: с наклоном сечения к оси (вектор скорости в критическом сечении направлен к оси сопла, схема а) и от оси (вектор скорости в критическом сечении направлен от оси сопла, схема б). Такие сопла также можно представить себе как полученные вращением некоторого основного контура сопла вокруг центральной оси 1—1. Причем обе разновидности получаются в зависимости от расположения центральной оси 1—1 по отношению к исходному контуру. Первая схема (а) называется соплом с внешним расширением или штыревым соплом. Вторая схема (б) называется соплом с внутренним расширением или тарельчатым соплом.


Рис.43
Схемы кольцевых сопл с прямым критическим сечением
Кольцевые сопла с наклонным кр итическим сечением.

Рис.44
Схемы кольцевых сопл с наклонным критическим сечением
б.11.Требования, предъявляемые к распыливающему устройству ЖРД
Для эффективного сжигания жидкого топлива должно быть обеспечено егс полное испарение в заданное время и в нужном месте камеры сгорания двигателя. Для этого в нужный момент вся масса топлива, подаваемая в камеру сгорания, должна иметь максимальную поверхность. Значительное увеличение поверхности компонента может быть получено распылением его на мельчай-шие частицы. Поэтому распыливающее устройство ЖРД должно обеспечивать дробление жидких компонентов топлива, подаваемых в камеру сгорания под определенным давлением и в соответствующих количествах, на мельчайшие капли, быстрое и хорошее смешение их между собой. От того, насколько совершенно осуществляются эти процессы, в значительной мере зависят скорость
и полнота сгорания образующейся топливной смеси, величина потребного объ-ема камеры сгорания, ее размеры, удельный вес, устойчивость работы и другие характеристики. Чем совершеннее смесеобразование, тем экономичнее, устой-чивее и надежнее работа двигателя.
Процесс распыла жидких компонентов топлива зависит от их физиче-ских свойств, типа и конструкции форсунок, режима их работы и других фактов.
Форсунки двигателя дробят компоненты топлива на миллиарды ка-пель, имеющих поверхность, измеряемую десятками квадратных метров.
Если, например, 1 я жидкости до подачи в камеру сгорания имеет диаметр около 0,124 м и поверхность -0,0483 м2 , то после дробления ее на капли диаметром 100 мк (10~4 .м ) суммарная поверхность жидкости увеличится почти в 1240 раз и будет составлять около 60 м2 .
Состояние теории смесеобразования и горения топлива в ЖРД в настоящее время не позволяет еще производить точные расчеты этих процессов. Поэтому при проектировании головок камеры двигателя приходится исходить из необходимости удовлетворения основных требований к смесеобразованию,
используя при этом результаты исследований и опыт эксплуатации.
Распылительное устройство (головка камеры) ЖРД должно удовлетворять следующим требованиям.
V1. Компоненты, топлива должны быть раздроблены на капли доста-шючно мелко и однородно, так как от тонкости распыла зависят качество смесеобразования, равномерность и скорость горения топлива.
В обычных схемах ЖРД тонкость распыла компонентов топлива зависит от типа, конструкции и производительности форсунок, их геометрических характеристик, перепада давлений на форсунках и других факторов.
Тонкость распыла компонентов топлива является качественным крите-г-ем смесеобразования и характеризуется средневесовым диаметром обра-зующихся капель. Чем меньше средний диаметр капель, тем лучше распыл и эффективнее процесс сгорание топлива.
Однородность распыла характеризуется изменением диаметров капель в факеле распыленного компонента топлива. Чем уже пределы, между которы-ми располагаются диаметры капелек распыливаемых компонентов топлива.
тем больше однородность распыла.
В современных ЖРД распыленные капли компонентов топлива имеют диаметр около 25—250 мк. Это значит, что 1 cм3 распиливаемой жидкости делится примерно на 6-106 капель. В азотно-кислотных двигателях средние весовые диаметры, капель керосина лежат в диапазоне 120—150 мк.
Топливо, состоящее из наиболее крупных капель, будет запаздывать с завершением смесеобразования и, следовательно, с завершением процесса диффузионно-турбулентного сгорания. При слишком грубом распыле, что возможно в результате неправильного выполнения распиливающего устройства или регулирования тяги двигателя изменением перепада давления компонентов топлива, может получиться резкое снижение эффективности процесса сгорания и неустойчивая работа.
Однако, тонкость распыла компонентов топлива сама по себе не является единственным средством улучшения качества рабочего процесса в камере сгорания двигателя. Система смесеобразования должна обеспечивать не только тонкий распыл и хорошее перемешивание компонентов топлива, но и организованный подвод тепла для их подогрева, испарения и воспламенения.
2. Концентрация распыливаемых, компонентов топлива по поперечному сечению камеры сгорания должна быть одинаковой, так как в противном случае сгорание их будет неполным.
В начале камеры сгорания обычно получается грубо перемешанная горючая смесь, которая при дальнейшем движении по камере сгорания продолжает перемешиваться и становится более однородной. Параллельно с этим процессом идут подогрев и испарение распыленных компонентов и выгорание образующейся горючей смеси.
Время завершения процесса сгорания топлива определяется главным образом скоростью смешения компонентов топлива. При прочих равных условиях смешение будет протекать тем интенсивнее, чем мельче газовые струйки компонентов топлива и больше скорость их относительно друг друга. Полнота сгорания топлива в конечном итоге определится отношением времени пребывания рабочего тела в камере сгорания ко времени, потребному для завершения процесса сгорания топлива.
Местные отклонения коэффициента состава топлива в камере сгорания от расчетного всегда приводят к неполноте сгорания и, следовательно, к понижению удельной тяги двигателя.
Доказано, что начальная неравномерность состава компонентов топлива в пределах шага между форсунками быстро выравнивается без заметного снижения удельной тяги двигателя, а неравномерность состава топлива при ее масштабе больше шага форсунок обычно не успевает выравниваться и значительно снижает удельный импульс.
Для защиты оболочки камеры двигателя от перегрева иногда горючую смесь вблизи поверхности оболочки преднамеренно обогащают специальной подачей через периферийные форсунки около 2—4% горючего от общего расхода его в камеру сгорания. При этом головка двигателя обеспечивает постоянство коэффициента избытка окислителя в центральной части камеры сгорания и заниженное значение его у поверхности оболочки камеры.
3. Расходонапряженность топлива по поперечному сечению камеры сгорания должна быть одинаковой, так как там, где расход топлива будет больше расчетного, процесс сгорания будет неполным, а в местах, где этот расход окажется меньше указанного, объем камеры сгорания будет использован неполностью.
Равномерность расхода топлива по поперечному сечению камеры сгорания является количественным критерием распыла компонентов топлива. Этот критерий влияет на выбор формы камеры двигателя.
4. Зона смесеобразования топлива по длине камеры сгорания должна быть возможно короткой, так как в противном случае потребуется относительно больший объем камеры сгорания, что может увеличить ее габариты и удельный вес.
Зона распыла компонентов лежит вблизи головки камеры, определяется типом и конструкцией форсунок и характеризуется расстоянием от головки камеры до места проникновения капель. Эта зона при обычных струйных форсунках имеет большую длину, чем при центробежных форсунках.
Форма факела обусловливается в основном конструкцией распылительной головки камеры и дальнобойностью струи распыливаемых компонента топлива.
5. Суммарный факел распыла компонентов топлива относительно оси камеры сгорания должен быть симметричным, так как если факел горящего топлива будет бить о поверхность оболочки камеры и сгорать на ней, то возможны ее перегрев и прогар.
Струя окислителя не должна бить по поверхности оболочки камеры, так как это вызовет быстрый ее прогар вследствие окисления металла.
Форсунки нужно расположить на головке так, чтобы результирующее направление потока топлива после столкновения всех струй было параллельно оси камеры. Это требование особенно относится к струйным форсункам с пересекающимися струями.
Задачей конструктора является распределить форсунки на головке камеры так, чтобы при равномерном распределении компонентов топлива по поперечному сечению камеры сгорания не попадало много окислителя на стенки.
Уменьшения попадания компонентов топлива при распыле его форсунками на поверхность оболочки камеры можно добиться соответствующим направлением форсунок, изготовлением их со срезом под углом и т. п.
б. Перепад давлений компонентов топлива в форсунках должен быть оптимальным как по физической полноте сгорания топлива, так и по удельному весу системы топливоподачи двигателя.
При понижении перепада давлений распыливаемой жидкости в форсунках уменьшаются давление подачи топлива в камеру сгорания и, следовательно, мощность и вес системы топливоподачи, но при этом ухудшаются процессы смесеобразования и сгорания топлива. При повышении же перепада давлений в форсунках происходит обратное.
Удовлетворение этого требования практически сопряжено с большими трудностями, и поэтому при расчете ЖРД перепадом давлений компонентов
топлива в форсунках обычно задаются на основании статистических данных. 7. Распыливающее устройство двигателя должно быть конструктивно простым и дешевым в производстве, мало чувствительным к изменению режима работы двигателя и к возможным вибрациям.
К распыливающему устройству двигателя с регулируемой тягой предъявляются дополнительные требования.
Опыты показывают, что перепад давлений в форсунках меньше 2 кг/см2 , как и малое число форсунок, приводит к неудовлетворительному распылу компонентов топлива и, следовательно, к неустойчивой работе двигателя.
Если при работе двигателя на минимальном режиме перепад давлений компонентов топлива в форсунках принять равным 2— 3 кг/см2 , то при этом перепад давлений в форсунках на режиме номинальной тяги окажется резко завышенным (может быть в 5—10 раз больше, чем на режиме минимальной тяги), что весьма невыгодно из-за относительно большого веса системы топли-воподачи. Поэтому регулирование тяги двигателя изменением перепада давлений компонентов топлива в форсунках может быть оправдано только в небольшом диапазоне.
Выполнить все перечисленные выше требования к распыливающему устройству ЖРД можно путем правильного проектирования и конструирования головки камеры двигателя, т. е. целесообразным выбором ее формы, типа форсунок, их параметров, числа и схемы расположения на головке и т. д.
Правильная организация распыла компонентов топлива в ЖРД позволяет уменьшить объем камеры сгорания, ее габариты и удельный вес, повысить надежность, ресурс, экономичность и устойчивость работы двигателя. Качественное смесеобразование также облегчает условия зажигания топлива при запуске двигателя и снижает число аварий.
6.12.Типы топливных форсунок
Топливные форсунки ЖРД представляют собой весьма важные органы смесеобразования горючего и окислителя, подаваемых в камеру сгорания. От типа и конструкции форсунок в значительной мере зависит качество процесса смесеобразования.
Применяемые в двигателях форсунки в большинстве случаев не имеют специальной регулировки тонкости распыла, а некоторые из них вообще обладают невысокими качественными характеристиками.
Топливные форсунки ЖРД можно разделить по следующим характерным признакам.
1.По числу распыливаемых компонентов топлива одной форсункой:
а)однокомпонентные форсунки,
предназначенные для распыла одного
компонента топлива;
б)двухкомпонентные форсунки,
предназначенные для одновременного
распыла двух компонентов топлива.
2.По принципу действия форсунки:
а) струйные форсунки, подающие жидкость в камеру сгорания в виде струек в направлении своей оси;
б)центробежные форсунки,
в которых движущаяся под напором дав
ления жидкость закручивается и за счет развиваемого при этом центробежного
эффекта вытекает с определенной скоростью в камеру сгорания в виде тонкой
и легко разрушающейся конической пленки;
в)центробежно-струйные форсунки (смешанного типа).

Рис.45
Струйные форсунки:
а - одноструйные; б - двух струйные; в - трех струйные; г пяти струйные, д - щелевые с параллельным течением струй; е - щелевые с перекрёстным течением струй; ж - с отражающей
пластиной
Двухкомпонентные струйные форсунки, все типы центробежных форсунок и центробежно-струйные конструктивно выполняются в виде отдельных узлов, устанавливаемых в отверстиях головки камеры двигателя.
В ЖРД без дожигания генераторного газа используются струйные, центробежные и струйно-центробежные форсунки. В двигателях с дожиганием генераторного газа применяются газовые и газожидкостные форсунки.
Струйные форсунки конструктивно делятся на:
1) одноструйные, представляющие калиброванные отверстия в головке камеры диаметром на выходе жидкости в камеру сгорания 0,8—2,5 мм, рис.45 а:
2)двухструнные, предназначенные для распыла одного компонента топлива в виде двух соударяющихся между собой струй, рис.45 б;
3)трехструйные, предназначенные для распыла двух компонентов топлива в виде одной центральной струи горючего и двух боковых струй окислителя, расположенных в одной плоскости и пересекающихся в одной точке, рис.45 в;
4)четырех- и пятиструйные, предназначенные для распыла двух компонентов топлива в виде одной центральной струи горючего или соответственно четырех струй окислителя, расположенных в двух плоскостях и пересекающихся в одной точке, рис.45 г;
5) щелевые, предназначенные для одновременного распыла двух компонентов и конструктивно представляющие концентрические щели в головке камеры двигателя. Различают щелевые форсунки:
- с параллельным течением струи, рис.45 д;
- с перекрестным течением струек, рис.45 е;
- с отражающей пластиной, рис.45 ж.

Рис.46
Схемы центробежных форсунок
а - тангенциальная закрытая; б - тангенциальная открытая; в - с завихрителем (шнековая); 1 - вход жидкости; 2 - завихритель (шнек); 3 - вихревая камера.
Центробежные форсунки по способу получения закрутки в них потока жидкости делятся на:
а)тангенциальные,
в которых жидкость входит в полость форсунки
через отверстие, ось которого перпендикулярна к оси форсунки, но не пересе
кается в ней, в результате чего распыливаемая жидкость получает закручива
ние относительно оси форсунки, способствующее распаду ее на капли,
рис.46 а-б;
б)шнековые,
в которых закручивание жидкости создается по
средством специального завихрителя (шнека), имеющего на своей внешней
поверхности винтовые каналы,рис.46 в.
В двухкомпонентных центробежных форсунках горючее и окислитель смешиваются между собой в сопле форсунки или в ее специальной камере смешения и поступают в камеру сгорания в виде эмульсии. Существуют разные конструкции этих форсунок, но принцип их действия остается одним и тем же. Преимущества струйных форсунок:
- струйные форсунки обладают конструктивной простотой и относительной дешевизной изготовления;
- сравнительно малые диаметральные размеры форсунок, что позволяет увеличить количество установленных форсунок при постоянстве пло-
щади;
- невозможность прогара огневого днища, в связи с повышенной дально
бойности.
Недостатки струйных форсунок:
- малая тонкость распыла;
- повышенная длина зоны распыла этих форсунок обуславливает увели чение потребного объема и удельного веса камеры сгорания.
Угол факела распыла струйной форсунки весьма мал, 5—10°, причем зона конца распада струи на капли далеко отстоит от головки камеры. Этот угол измеряется от среза сопла форсунки и характеризует форму факела распиливаемой жидкости. Величина этого угла зависит в основном от соотношения длины сопла (отверстия) к его диаметру, степени турбулизации расширяющегося факела и давления в камере сгорания.
Для укорочения зоны распыла, получения более тонкого распыла и равномерного распределения компонентов топлива по поперечному сечению камеры сгорания струйные форсунки обычно располагают так, чтобы струи распыливаемых жидкостей пересекались между собой. Приближение точек столкновения струй к головке позволяет с максимальной полнотой использовать объем камеры сгорания и создать более устойчивое сгорание образующейся топливной смеси благодаря уменьшению до минимума нереагирующих газовых застойных зон вблизи головки камеры, а также более качественному смесеобразованию.
Углы, определяющие направление струй впрыска компонентов топлива одноструйными форсунками, должны быть выбраны так, чтобы результирующий вектор количества движения после столкновения струй имел осевое направление, т.е. параллельное оси камеры двигателя.
При увеличении угла соударений струй средний диаметр капель уменьшается в связи с увеличением относительной скоростижидкостей струй в точке соударения. Это способствует более равномерному распределению топлива по поперечному сечению факела. Одновременно улучшается однородность смешиваемых компонентов топлива.
Оптимальными углами соударения струй, создаваемых струйными форсунками, следует считать 80—100°, так как при больших углах значительная часть распыливаемой жидкости будет отлетать в сторону головки, что ухудшит смесеобразование, а при малых углах соударения струй (60° и меньше) образуется резко выраженная неравномерность расходонапряженности в ядре факела и удлиняется камера сгорания за счет увеличения зоны перемешивания компонентов.
Преимущества и недостатки центробежных форсунок.
Центробежные форсунки имеют относительно больший угол распыла жидкости (около 70—120°) при небольшой длине факела и дают более тонкий распыл, чем струйные форсунки; но изготовление их относительно сложнее. Форма факела этих форсунок в основном зависит от степени закручивания в них распыливаемой жидкости.
В центробежной форсунке жидкость поступает в камеру закручивания
по тангенциальным каналам, ось которых смещена относительно оси сопла. В камере закручивания жидкость приобретает интенсивное вращательное движение и далее поступает в сопло.


Рис. 47 Двухкомпонентные центробежные форсунки:
а - со смешением компонентов топлива вне форсунки; б - со смешением компонентов топлива внутри форсунки (эмульсионная форсунка).
При выходе из сопла форсунки тонкая пленка жидкости, на которую прекратилось действие центростремительных сил, делится на капли, разлетающиеся по прямолинейным траекториям, образуя факел. Угол факела и коэффициент расхода центробежных форсунок обусловлены законом сохранения момента количества движения жидких частиц относительно оси сопла. На указанные параметры можно действовать соответствующим выбором соотношений между размерами сопла, камеры закручивания и входных каналов.
В настоящее время наибольшее применение в двигателях получили однокомпонентные центробежные форсунки благодаря их надежной работе и достаточно эффективному распылу. Кроме того, в этих форсунках в широком диапазоне можно изменять угол распыла для наиболее равномерного распределения компонентов топлива по поперечному сечению камеры сгорания.
Двухкомпонентные центробежные форсунки по способу смешения компонентов топлива делятся на два типа:
1) со смешением компонентов топлива вне форсунки, рис.47 а.
2) со смешением компонентов топлива внутри форсунки, в спе-
анальной смесительной камере (эмульсионные форсунки), рис.47 б.
Существуют также конструкции двухкомпонентных форсунок, в которых компоненты топлива смешиваются в сопле форсунки.
Форсунки первого типа выполняются соосными, одна в другой. Сопло внутренней форсунки вписывается зазором в воздушный вихрь наружной форсунки. Чтобы обеспечить хорошее смешение компонентов топлива, угол распыла внутренней форсунки должен быть больше угла распыла наружной форсунки.
Форсунка второго типа состоит из двух расположенных друг за другом форсунок. Размеры распылительной части двухкомпонентной форсунки должны быть подобраны так, чтобы обеспечить безопасность запуска ее даже при входе в камеру закручивания одного из компонентов топлива раньше другого.

Рис.48
Двухкомпонентные газожидкостные форсунки:
а,б,в - с внутренним смешением компонентов; г - с внешним смешением компонентов.
Преимущества двухкомпонентных эмульсионных форсунок. Применение двухкомпонентных эмульсионных центробежных форсу-
нок существенно улучшает смесеобразование и уменьшает зону распыла, так как они обеспечивают смешение компонентов топлива в заданном весовом соотношении перед подачей их в камеру сгорания. К тому же топливная эмульсия обладает меньшими вязкостью и поверхностным натяжением и поэтому легко дробится на мельчайшие капли.
Применение эмульсионного распыла компонентов топлива в ЖРД дает следующие выгоды:
а)уменьшается длина камеры сгорания за счет укорочения зоны рас
пыла;
б)получается почти полное сгорание топлива при относительно мень
шем объеме меры сгорания, а, следовательно, и при меньшем ее удельном
весе;
в)требуется меньшее число форсунок;
г)отпадает необходимость в большом перепаде давлений компонентов
топлива в форсунках, что имеет существенное значение для двигателей боль
ших тяг одноразового действия, где вопросы простоты и дешевизны конструк
ции имеют решающее значение.
Недостатки двухкомпонентных эмульсионных форсунок.
При использовании форсунок этого типа несколько затруднена защита горючим оболочки камеры от перегрева ее горячими газами. В этом случае оболочку приходится защищать, устанавливая на головке камеры периферийные однокомпонентные струйные или центробежные форсунки.
Существует еще одна разновидность двухкомпонентных форсунок -это двухкомпонентные газожидкостные форсунки, которые применяются в камерах ЖРД с дожиганием генераторного газа. Они выполняются двух типов - с внешним и с внутренним смешиванием компонентов, рис.48.
Форсунки с внешним смешиванием компонентов представляют собой две соосные форсунки - газовую и жидкостную, размещенные в одном корпусе. Газовая форсунка - струйная, а жидкостная - обычно центробежная с тангенциальным завихрителем.
Преимущества форсунки с внешним смешением компонентов.
Смешение компонентов происходит в камере сгорания (вне форсунки), при этом внешний жидкий конус распыла, создаваемый центробежной форсункой, защищает огневое днище от перегрева обратными токами горячих газов.
В форсунках с внутренним смешением компонентов газ течет по центральному каналу, а жидкость впрыскивается в него через наклонные отверстия в стенке корпуса форсунки. Для защиты днища головки от воздействия горячих газов конструкцию газожидкостной форсунки дополняют наружным контуром в виде центробежной тангенциальной или шнековой жидкостной форсунки.
Преимущества форсунок с внутренним смешением комп онентов.
Широкий конус распыла жидкости (до 120°), создаваемый этим контуром форсунки, обеспечивает при небольшом расходе жидкости (10-15%общего
расхода через форсунку) надежную пленочную защиту поверхности днища между форсунками.
Чтобы избежать взрыва двухкомпонентной форсунки, нужно исключить возможность проникновения одного из компонентов топлива в полость другого, для чего:
1) угол распыла задней форсунки подобрать так, чтобы входные отверстия передней форсунки находились вне полости удара конуса распыла о стенку задней форсунки;
2) диаметр газового вихря передней форсунки должен быть больше диаметра сопла задней форсунки.
Момент количества движения в передней форсунке распространяется на всю массу смешанной и распыливаемой жидкости.
Форсунки всех типов должны иметь хорошо обработанную поверхность, соприкасающуюся с движущейся жидкостью. Струйные форсунки должны иметь точный угол направления оси сопла относительно оси камеры двигателя.
Производительность единичных однокомпонентных центробежных форсунок ЖРД с цилиндрической камерой сгорания и плоской головкой составляет около 20—80 г/сек горючего и 50—200 г/сек окислителя, а перепад давлений в форсунках—порядка 3,5—12 кг/см2 .
Чем большее число форсунок установлено на головке камеры двигателя, тем качественнее распыл ими компонентов топлива. Поэтому в двигателях средней и большой тяг число форсунок достигает нескольких сотен.
Практически число форсунок двигателя ограничивается конструктивными и другими соображениями, в частности, необходимостью иметь не слишком малые проходные сечения каждой форсунки. При малых проходных сечениях форсунка может легко засориться механическими примесями, попавшими случайно в распыливаемую жидкость или образовавшимися в ней вследствие ее физической и химической нестойкости.
Для изготовления топливных форсунок в виде отдельных узлов применяются различные материалы, от низко- и высоколегированных сталей до бронзы и латуни.
Выбор материала для форсунок обусловливается видом и состоянием распыливаемых компонентов топлива, продолжительностью и условиями работы двигателя, числом его запусков, требованиями прочности и другими факторами.
В случае применения химически активных компонентов топлива (например азотной кислоты, жидкого фтора и т. п.) внутренняя поверхность материала форсунок должна обладать высокой сопротивляемостью окислению и коррозии. Если у головки камеры двигателя будет значительная турбулизация горячих газов, вследствие которой в ряде мест форсунки будут нагреваться до 1300—1400° С, то материал этих форсунок должен обладать также высокой прочностью. При высокой температуре возможно оплавление сопел форсунок и нарушение их работы, что в результате может привести к аварии двигателя.
Во время работы двигателя форсунки охлаждаются потоком проходящей через них распыливаемой жидкости. Температура этой жидкости перед
поступлением в форсунки может быть отрицательной (в случае использования сжиженных компонентов топлива) и положительной, иногда даже близкой к температуре кипения при данном рабочем давлении, если жидкость предварительно используется для охлаждения камеры двигателя.
6.13.Способы размещение топливных форсунок на плоских головках
камеры двигателя
Форсунки размещают на головке камеры после того, как выбраны конструкция головки, тип наиболее приемлемых форсунок и их количество, а также определены их геометрические параметры.

Рис.49
Схема расположения форсунок на плоских головках.
а - шахматное; б - сотовое; в - круговое; О- форсунки окислителя; «форсунки горючего
При выборе схемы расположения форсунок на головке камеры проектируемого ЖРД необходимо учесть требования, предъявляемые к распылу компонентов топлива, и данные по распылу на существующих двигателях.
В настоящее время форсунки горючего и окислителя размещают на головке камеры ЖРД в шахматном, сотовом, кольцевом и групповом порядках, рис. 49
При шахматном расположении форсунки горючего и окислителя чередуются между собой. При этом каждая форсунка горючего окружена четырьмя форсунками окислителя.
Недостаток такого размещения форсунок состоит в том, что количество форсунок горючего примерно равно количеству форсунок окислителя большей производительности, так как окислителя в топливе почти в 2—5 раз больше, чем горючего. Вследствие этого мощная струя окислителя плохо смешивается со слабой струёй горючего, сбивая ее в сторону, что отрицательно сказывается на качестве смесеобразования.
Наиболее совершенным является сотовое расположение форсунок.
При сотовом расположении количество форсунок окислителя больше количества форсунок горючего. При этом каждая форсунка горючего окружена
шестью форсунками окислителя, в результате чего смесеобразование сравнительно с шахматным расположением улучшается. В данном случае образуется столько отдельных пучков капель, сколько единичных групп форсунок расположено на головке камеры.
При сотовом расположении можно иметь лишь вполне определенное количество форсунок горючего и окислителя.
Шахматное и сотовое расположение форсунок можно осуществить, применяя плоскую головку с двумя полостями, расположенными одна над другой. Такая головка обеспечивает примерно одинаковый перепад давлений в форсунках каждого из компонентов топлива.
По конструктивным соображениям в нижнюю полость головки обычно подают тот компонент топлива, который охлаждает камеру двигателя.
При концентричном расположении форсунок, т. е. по поясам головки камеры, форсунки горючего и окислителя между собой чередуются.
Удобство этого способа состоит в том, что при его применении упрощается подвод компонентов топлива к форсункам. Однако этот способ имеет небольшое применение. Для двигателей с плоской головкой камеры в основном применяют шахматное и сотовое расположение форсунок.
При групповом расположении форсунки располагаются отдельными группами на огневом днище для обеспечения рационального температурного поля в объеме камеры ЖРД.
Соответствующим расположением на головке форсунок горючего и окислителя можно защитить оболочку камеры от чрезмерного ее нагрева и прогара, создавая избыток горючего около ее поверхности. В этом случае приходится несколько нарушить выбранный принцип чередования форсунок и на периферии головки размещать избыточное количество форсунок горючего, которое могло бы создавать завесу горючего около поверхности оболочки.
Для уменьшения расхода горючего на образование защитной завесы эти периферийные форсунки иногда выполняют с уменьшенным расходом топлива относительно основных форсунок.
Защитить оболочку от перегрева горючим проще при сотовом расположении. При шахматном расположении форсунок по периферии головки необходимо устанавливать форсунки с уменьшенным расходом горючего; если расстояние от крайних форсунок до оболочки камеры будет велико, то около поверхности оболочки образуются мощные конвективные газовые токи, которые будут размывать пристеночный слой горючего, служащий для защиты оболочки от перегрева.
Соответствующим расположением на головке форсунок горючего и окислителя можно защитить оболочку камеры от чрезмерного ее нагрева и прогара, создавая избыток горючего около ее поверхности. В этом случае приходится несколько нарушить выбранный принцип чередования форсунок и на периферии головки размещать избыточное количество форсунок горючего, которое могло бы создавать завесу горючего около поверхности оболочки.
Для уменьшения расхода горючего на образование защитной завесы эти периферийные форсунки иногда выполняют с уменьшенным расходом топлива относительно основных форсунок.
Защитить оболочку от перегрева горючим проще при сотовом расположении. При шахматном расположении форсунок по периферии головки необходимо устанавливать форсунки с уменьшенным расходом горючего; если расстояние от крайних форсунок до оболочки камеры будет велико, то около поверхности оболочки образуются мощные конвективные газовые токи, которые будут размывать пристеночный слой горючего, служащий для защиты оболочки от перегрева.
6.14. Назначение, схемы и конструктивные особенности топливных баков
Топливные баки являются конструктивной составной частью (подсистемой) пневмогидравлической системы ЖРДУ, Они служат емкостями для размещения компонентов жидкого топлива и осуществления их подачи в камеры ЖРД. Топливные баки двухкомпонентных ЖРДУ обычно объединяются в отдельные агрегаты — баковые отсеки.
Основными конструктивными элементами топливных баков являются оболочки (обечайки) и днища, образующие емкость; устройства для сбора топлива и ввода газа; заправочные и дренажные горловины; демпферы, разделители и другие устройства.
Конструкция топливных баков зависит от типа и параметров ЖРДУ и особенностей летательных аппаратов, применяемых компонентов топлива, типа системы подачи, числа включений двигателя, максимальной и минимальной величин тяги, способов ее регулирования, величин действующих продольных и поперечных перегрузок, невесомости, места размещения баков на летательном аппарате, условий их нагружения и некоторых других специфических особенностей компоновки ЖРДУ на ЛА.
К конструкции топливных баков предъявляется ряд требований:
— размещение (хранение) заданного объема компонентов топлива;
— обеспечение устойчивой подачи компонентов топлива в двигатель при всех допустимых режимах полета и колебаниях топлива в баках;
— обеспечение минимальной массы баков при выполнении условий прочности и жесткости в диапазоне действующих эксплуатационных нагрузок;
— применение оптимальных конструктивных решений, обеспечивающих прогрессивные технологические методы изготовления и испытаний;
— применение рациональной компоновки баков на летательном аппарате, обеспечивающей удобства эксплуатации и заправки топливом и дающей минимальные перемещения центра масс в процессе выработки топлива;
— изготовление из материалов, обладающих высокими удельными прочностными характеристиками, коррозионной стойкостью (для агрессивных компонентов), пластичностью при низких температурах (для криогенных компонентов).
Конструкции топливных баков в зависимости от восприятия обечайками баков внешних нагрузок разделяют на несущие и ненесущие.
В несущих баках обечайки совмещают в себе функции стенок баков и обшивки корпуса и воспринимают как внешние нагрузки на корпус летательного аппарата, так и внутреннее давление наддува баков. Создаваемые избыточным давлением наддува растягивающие напряжения в обечайках уменьшают сжимающие напряжения от внешних нагрузок, что повышает устойчивость
конструкции корпуса и позволяет уменьшить толщину стенок. Поэтому в конструктивном отношении несущие баки наиболее совершенны. Их широко применяют как в маломаневренных, так и в высокоманевренных летательных аппаратах. Баки, устанавливаемые внутри корпуса летательного аппарата и не воспринимающие внешние нагрузки, называются ненесущими. Они обычно применяются на маломаневренных летательных аппаратах, когда конструкцию баков следует изолировать от внешнего воздействия либо по конструктивным или эксплуатационным требованиям нельзя совмещать стенки баков с обшивкой корпуса. На летательных аппаратах могут применяться баки, подвешиваемые под корпусом или крылом и сбрасываемые после их опорожнения. Такие топливные баки позволяют уменьшить полетную массу и аэродинамическое сопротиэление летательного аппарата после их сбрасывания.
Анализ действующих напряжений в обечайках несущих баков показывает, что в зависимости от соотношения величин внутреннего избыточного давления Ризб и внешних нагрузок, действующих на корпус летательного аппарата (изгибающего момента Мизг , продольных Nx и поперечных Ny ), обечайки несущих топливных баков могут испытывать растяжение и сжатие, а при определенном сочетании этих нагрузок напряжения в обечайках баков могут полностью отсутствовать, либо быть очень небольшими. Поэтому все несущие баки можно разделить на нагруженные и разгруженные.
К нагруженным бакам относятся баки ЖРДУ с вытеснительными системами подачи, так как высокое избыточное давление в этих баках создает растягивающие напряжения в обечайках, являющиеся определяющими расчете баков на прочность. К разгруженным бакам относятся обычно баки ЖРДУ с насосными системами подачи при невысоком избыточном давлении наддува и ограниченных внешних нагрузках. В этом случае избыточное давление в растягивающее обечайки баков, уменьшает суммарные напряжения в обечайке бака до минимальных (разгружает бак).
Однако если сжимающие напряжения, создаваемые внешними нагрузками, существенно больше растягивающих напряжений от избыточного давления (характерно для высокоманевренных летательных аппаратов) такие топливные баки относятся к нагруженным.
Формы топливных баков, применяемых на летательных аппаратов разнообразны, рис.50. При выборе форм баков учитываются функциональное назначение летательного аппарата, условия их оптимальной компоновки, возможность обеспечения минимальной массы баков, а также получения требуемых удобств при эксплуатации. Наибольшее распространение на летательных аппаратах получили баки цилиндрической формы, рис.50 а, имеющие при заданном объеме наименьшее поперечное сечение и обеспечивающее плотную компоновку летательного аппарата.
Вопрос выбора взаимного расположения баков горючего и окислителя в топливном отсеке должен решаться исходя из требований по центровке ЛА и заданных эксплуатационных условий (например, требований по заправке баков компонентами топлива). При выборе порядка размещения баков следует учитывать, что плотность окислителей, применяемых в ЖРД двухкомпонентных топлив, обычно значительно больше плотности горючих. Поэтому взаимная перестановка баков горючего и окислителя позволяет существенно изменять положение центра масс летательного аппарата.

Рис.50
Формы баков, применяемых на ЛА:
а — цилиндрический; б — шаровые; в - эллипсоидальные;
г — тороидальные; д - бак, состоящий из сегментов.
Сферические баки, рис.50 б, по сравнению со всеми другими формами баков получаются наиболее легкими. Однако плотность компоновки сферических баков в корпусе летательного аппарата существенно меньше по сравнению с цилиндрическими. Поэтому сферические баки целесообразно применять только тогда, когда их диаметры равны поперечным размерам корпуса летательного аппарата, либо существенно меньше, позволяет создавать более плотную компоновку набором сферических баков внутри корпуса.
Эллипсоидальные, рис.50 в, и тороидальные, рис-50 г, баки имеют хорошие прочностные качества и при определенных условиях обеспечивают достаточно плотную компоновку (например, при применении торовых баков, если внутри торов размещается какой-либо поле груз или проходит труба и тд.). Иногда в летательных аппаратах применяются баки более сложной формы. Так, например, для получения формы бака, близкой к прямоугольной его стенки могут быть выполнены из отдельных сегментов, скрепленных между собой стяжками, рис.50 д.
Расположение топливных баков на летательном аппарате определяется прежде всего особенностями его конструктивно-компоновочной схемы. Однако на выбор месторасположения баков прежде всего влияют требования по центровке ЛА, от которой зависят продольная устойчивость его движения и динамические характеристики управления. Центровка ЛА по времени зависит от взаимного расположения топливных баков по длине корпуса ЛА, величины и направления действующих продольных и поперечных перегрузок, формы и компоновки топливных баков, рис.51.
![]() |
Рис.51
Влияние исходного положения топлива в баке на центровку JIA:
а—у заднего днища; б - вдоль обечайки; в - у переднего днища; г - наклонно к оси ЛА
Таким образом, конструктивные особенности топливных баков определяются как особенностями летательных аппаратов, так и специфическими особенностями пневмогидравлических систем ЖРДУ. Поэтому выбор проектных параметров и конструкции топливных баков должен осуществляться при проведении тщательного анализа как параметров пневмогидравлической системы ЖРДУ, так и конструкции летательного аппарата.
7. Система охлаждения камер ЖРД
7.1. Физическая картина теплообмена в камере ЖРД
На рисунке представлено распределение температуры в системе "полоссть камеры сгорания - внутренняя стенка камеры ЖРД - зарубашеч-ное пространство", т.е. рассматривается процесс теплопередачи между газообразной и жидкими средами, разделёнными твёрдой стенкой. Условные обозначения к рис.52:
Тг , Тохл , ТСТ1 , Тст2 - температуры газового потока, охладителя в зару-оашечном пространстве и поверхностей внутренней стенки, соответственно, К;
Wr и W0 XJI - скорости теплового потока и охладителя, соответственно, м/с.
qx- суммарная плотность газового потока, воздействующая на внутреннюю стенку камеры сгорания, Вт/м2 ;
ar
- коэффициент теплоотдачи от газа к внутренней стенке камеры ЖРД, Вт/м2
К.
![]()

Рис.52
Распределение температуры в камере ЖРД
В первоначальный момент времени при запуске двигателя температура внутренней стенки со стороны газа и охладителя изменяются с течением времени; причём темп изменения температур может быть неодинаков.
Такой тепловой режим называется нестационарным или неустановившимся.
Через некоторый период времени наступает установившийся (стационарный) режим, который характеризуется постоянством параметров (Тст1 , Тст2 ) рассматриваемого процесса (при неизменных режимных параметрах теплообмена qi, Tr и Тохл ).
Суммарная плотность теплового потока, воспринимаемая внутренней стенкой камеры ЖРД, может быть определена следующим образом:
![]()
где: qK и qл - плотности теплового потока, воспринимаемые внутренней стенкой камеры ЖРД, обусловленные явлениями конвекции и лучистого теплообмена, соответственно.
![]()
92

где: Сn - приведенный коэффициент лучеиспускания.
![]()
7.2. Распределение плотности теплового потока по длине камеры ЖРД
Величина плотности теплового потока и её распределение по Длине камеры ЖРД в основном определяется следующими параметрами, рис.53:

Рис.53
Изменение параметров газового потока по длине камеры ЖРД
- температурой газа
;
- скоростью газового потока Wr ;
- плотностью газа
;
- площадью поперечного сечения камеры F.
Величина конвективной составляющей плотности теплового потока qK в основном определяется массовой скоростью рабочего тела (Wr pr ) и величиной площади поперечного сечения (F):

Величина конвективной составляющей плотности теплового потока qK в основном определяется массовой скоростью рабочего тела (Wr pr ) и величиной площади поперечного сечения (F):
![]()
Величина лучистой составляющей плотности теплового потока зависит от температуры газового потока Тг :
![]()
Как видно из рис.53 максимальное значение суммарной плотности теплового потока qs; maxнаблюдается в зоне критического сечения сопла и в некоторых случаях указанная величина может достигать 60 МВт/м2 , что определяет необходимость создания эффективной тепловой защиты.
7.3. Классификация систем охлаждения ЖРД. Внешнее охлаждение
Проточное охлаждение - это охлаждение элементов, за счет обтекания поверхности нагрева охладителем с внешней стороны.
При автономном охлаждении охладитель после отбора тепла с внешней стороны стенки направляется не в камеру сгорания, а отводится к другим элементам или узлам (схема ЖРД с газификацией охладителя в зарубашечном пространстве).
При регенеративном охлаждении в качестве охладителя используется один из компонентов топлива, который после прохождения по зарубашечно-му пространству направляется в камеру сгорания.
При радиационном охлаждении отвод тепла с внешней стороны элемента осуществляется за счет излучения.
На рис.54 представлена классификация систем охлаждения ЖРД.

Рис.54
Классификация систем охлаждения ЖРД
7.4. Требования, предъявляемые к внешнему (наружному) охлаждению
Основное требование, обеспечивающее создание эффективного внешнего охлаждения может быть сформулировано следующим образом:
1 охп < T охя.доп ,
где: Тохг.Тоа.доп - действительная и допустимая температура охладителя, соответственно.
Величина Тохл.доп выбирается исходя из следующих условий:
1) Т охл < T кип *
где: Tкип, - температура кипения компонента в зарубашечном пространстве камеры ЖРД . В противном случае в зарубашечном пространстве будет наблюдаться увеличение давления, что может привести к нарушению целостности конструкции, а за счет образования паровых пробок - к изменению гидродинамики потока.
2) T охл < T разл
где: Тразл - температура разложения компонента протекающего по заруба-шечному пространству. В противном случае на стенках охлаждающего тракта может начаться процесс смолообразования вещества, что приведет к увеличению термического сопротивления стенки, а, следовательно, к росту величины температурного градиента в ней. Кроме того, образования летучих продуктов при разложении компонента может отрицательно сказаться на работе форсунок смесительной головки камеры ЖРД.
3)Скорость течения охладителя WOXJI
должна быть равна своему рас
четному значению.
Невыполнение этого условия может привести к существенному увеличению величины гидравлического сопротивления охлаждающего тракта зарубашечного пространства камеры ЖРД.
4)Компонент должен обладать малыми значениями вязкости корро
зионной активности и температуры замерзания. При этом значение теплоем
кости, температуры кипения и разложения компонента желательно иметь мак
симально большими.
Обычно в качестве охладителя используется горючее, однако в некоторых случаях (при недостатке горючего) в качестве охладителя может использоваться окислитель.
7.5. Внутреннее охлаждение
При указанной схеме охлаждения охладитель вводится во внутреннюю полость камеры сгорания, создавая при этом простеночный слой газа с пониженной температурой. Охладитель должен обладать повышенными значениями теплоемкости, температуры кипения и диссоциации.
Для внутреннего охлаждения обычно используют горючее (водород, монометил, гидрозин). При внутреннем охлаждении подача охладителя в камеру ЖРД может осуществляться следующими способами:
1) через периферийные форсунки, расположенные по внешнему диаметру головки камеры, рис.55.
Этот способ охлаждения наиболее прост по своему конструктивному выполнению. Однако, пристеночный слой газа с пониженной температурой отрывается от поверхности внутренней стенки, вследствие интенсивного вихревого движения в камере и пульсации давления в ней.
Поэтому для обеспечения эффективного охлаждения внутренней стенки камеры ЖРД могут быть использованы пояса завес.
![]() |
Рис.55
Охлаждение периферийными форсунками
1) через пояса завес, которые представляют собой ряд мелких (обычно тангенциальных) отверстий, выполненных во внутренней стенке камеры. Указанные отверстия могут иметь форму окружности или кольцевой щели.

Рис.56
Пояса завес
Обычно пояса завес выполняются перед наиболее теплонапряженны-ми зонами камер ЖРД.
Для ЖРД малых тяг, используемых на высотах до 5км, как правило, достаточно иметь только завесное охлаждение.
3) через пористые вставки (транспирационное охлаждение). Охладитель подается в камеру ЖРД через вставки, выполненные из пористого материала, уставленные во внутренней стенке камеры. В качестве преимущества указанного способа охлаждения необходимо отметить равномерное распределение охладителя по внутренней поверхности камеры. К недостаткам транс-пирационного охлаждения можно отнести высокое гидравлическое сопротивление материала вставок, пониженное значение прочности, сложность закрепления вставки в стенке камеры, а также зашлаковывание пористых вставок в процессе эксплуатации.
7.6.Система теплозащитных покрытий (ТЗП)
Использование ТЗП на наиболее теплонапряженных элементах двигательной установки при неизменных внешних тепловых нагрузках позволяет снизить габаритно-массовые характеристики ДУ на 15-20 %, если бы обеспечение нормативно-прочностных характеристик осуществлялось путем увеличения толщины элементов конструкции или постановкой дополнительных ребер жесткости.
Различают активные и пассивные ТЗП. К пассивным ТЗП относятся теплоизоляционные и емкостные, а к активным (аблирующим) - сгорающие, коксующиеся и испаряющиеся.
Абляция - комплексный процесс разрушения материала, включающий нагрев, плавление, испарение, разрушение и механический унос материалов.
Процесс абляции является планируемым, то есть толщина покрытия зависит от условий эксплуатации и может быть рассчитана.
Условия работы стенок камеры осложнены тем, что вследствие неравномерности смешения компонентов топлива даже при значениях среднего коэффициента избытка окислителя меньше единицы вблизи стенок могут возникать местные участки с наличием свободного окислителя. При высокой температуре окисление металлов протекает очень быстро и может привести к прогоранию стенок.
Высокие скорости газового потока в сопле способствуют эрозии — размыванию материала стенки. Процесс эрозии усиливается при достижении стенками температуры размягчения материала, а также при наличии в потоке твердых частиц (сажа, твердые продукты полного и неполного горения). Эрозия может привести к недопустимому уменьшению толщины стенок камеры и их разрушению.
Таким образом, для обеспечения надежной работы стенок камеры требуется защита их от чрезмерного нагрева, окисления (коррозии) и размывания (эрозии). Основным требованием, предъявляемым к системам защиты стенок, является надежное обеспечение необходимого ресурса при минимальном снижении удельной тяги и минимальном увеличении веса камеры.
Емкостные ТЗП
На аккумуляции тепла стенками камеры в процессе нестационарного теплообмена с газом основан метод так называемого емкостного охлаждения камеры.
Очевидно, что время безопасной работы камеры при емкостном охлаждении будет ограничено временем, за которое температура огневой по-верхности достигнет предельно допустимой, которая близка к температуре плавления материала; при этом глубинные слои стенки должны обеспечивать необходимую прочность. Время достижения опасной температуры зависит от уровня температуры плавления или сублимации для данного материала, его теплоемкости и теплопроводности.
Чем выше теплоемкость материала, тем большее количество тепла может аккумулироваться в массе стенки, тем медленнее будет расти температура стенки со стороны газа. Увеличение теплопроводности материала позволяет быстрее отводить тепло от огневой поверхности и также замедляет рост Тст.г.
Различные материалы имеют различные сочетания значений теплоемкости и теплопроводности, поэтому в одинаковых условиях время безопасной заботы для них различно.
Время безопасной работы медной стенки, несмотря на ее более низкую, чем у стали, температуру плавления и примерно одинаковую теплоемкость, существенно больше. Причина в значительно большей теплопроводности меди.
В стальной стенке тепло, воспринятое огневой поверхностью, не отводится в глубь стенки с такой же скоростью, как в медной, поэтому температура поверхности возрастает очень быстро, в то время как соседние слои материала относительно холодные. Таким образом, теплоемкость стальной стенки используется лишь частично, а время безопасной работы лимитируется теплопроводностью.
Материалы, относящиеся к емкостным ТЗП должны обладать хорошими теплоаккумулирующими способностями при высоких значениях температуры разрушения материала (вольфрам, молибден, медь и т.д.).
Теплоизоляционные ТЗП
Защита стенок камеры облегчается при использовании материалов, более тугоплавких, чем современные конструкционные металлы. Такими материалами являются карбиды и окислы металлов, различные виды огнеупорной керамики и металлокерамики, графиты, обладающие низкими значениями коэффициента теплопроводности. В связи с более высокой температурой плавления возможно повышение температуры стенки со стороны газа и, следовательно, снижение тепловых потоков в стенку.
Некоторые современные керамические материалы хорошо противостоят нагреву, химическому и эрозионному воздействию газового потока, однако имеют и существенные конструктивные и эксплуатационные недос-
татки. К ним относятся довольно низкое сопротивление разрыву и изгибу, хрупкость (опасны удары и сотрясения) и недостаточное сопротивление тепловому удару: керамика склонна к растрескиванию при быстром изменении температуры (запуск или остановка двигателя).
Тугоплавкие материалы могут применяться для изолядии основного материала стенки со стороны огневой поверхности. Так как тугоплавкие покрытия имеют обычно низкую теплопроводность, то температура основного материала значительно ниже температуры огневой поверхности. Как видно, в этом случае низкая теплопроводность не является недостатком (если температура плавления покрытия достаточно высока). Изменение температуры в основном материале, имеющем большую теплопроводность, менее значительно. Толщина тугоплавких покрытий составляет 0,1— 0,6 мм.
Уместно отметить, что аналогичную керамическим покрытиям роль в эксплуатации двигателя выполняют плохо теллопроводящие отложения сажи, кокса и шлака.
Тугоплавкие материалы лучше нержавеющей стали по таким показателям, как допустимая температура, удельный вес, теплоемкость, коэффициент линейного расширения.
В качестве примера можно назвать покрытую керамикой "Ниафракс А" камеру ЖРД американского управляемого снаряда "Найк", работающую без жидкостного охлаждения 35 сек. (Компоненты топлива - углеводородное горючее с азотной кислотой, Т гор = 2780°С). Экспериментальные сопла, выполненные из "Ниафракса", работали в условиях ЖРД до 60 сек.
Аблирующие ТЗП
При организации теплозащиты абляцией материал стенок должен обладать высокой теплотой плавления или сублимации и в то же время - низкой теплопроводностью. В этом случае количество тепла, отводимого уносимым материалом, преобладает над количеством тепла, аккумулируемого в сохраняющихся слоях материала стенок.
При расчете характеристик ЖРД, сопло которого имеет теплозащиту абляцией, необходимо учитывать изменение площади проходных сечений сопла (прежде всего критического ) по времени.
Теплозащитные покрытия, полученные на основе полимерных материалов, являются практически единственными теплозащитными системами, позволяющими наиболее эффективно защищать конструкцию ДУ от воздействия высокотемпературных газовых потоков.
Указанное обстоятельство определяется многообразием форм поглощения тепловой энергии полимерными материалами в результате их плавления, сублимации и деструкции.
Большинство исследователей при рассмотрении механизма работы полимерных ТЗП указывает на образование при термодеструкции в полимерных покрытиях трёх подвижных зон взаимодействия со средой:
- зона, непосредственно примыкающая к газовому потоку;
- переходная зона, в которой происходят основные реакции пиролиза полимеров;
- зона практической незатронутости материала.
Теплозащитные свойства полимерных ТЗП складываются из их спо
собности поглощать и задерживать тепло (химические факторы абляции) и
противостоять механической эрозии газовой струи (механические факторы
абляции).
Факторы химической абляции . Тепло, подводимое к поверхности ТЗП, первоначально поглощается за счёт большой теплоёмкости полимеров, а скорость продвижения изотермы ограничивается малой теплопроводностью. Однако замедление продвижения тепла вглубь материала приводит к резкому увеличению температуры в поверхностных зонах покрытий, что ускоряет деструкцию материала полимеров.
Дальнейшее поглощение части тепловой энергии, подводимой к ТЗП, осуществляется за счёт различных фазовых превращений, претерпеваемых полимерным материалом в процессе прохождения термодеструкции. Выделяющиеся при термодеструкции газообразные продукты, диффундируя в окружающую среду, охлаждают нагретые внешние слои материала, тем самым дополнительно поглощая ещё некоторое количество тепловой энергии. Указанный "термоблокирующий" эффект зависит от количества материала подвергнутого деструкции; скорости абляции материала и энтальпии газового потока. Кроме того, немаловажное значение на величину поглощённого тепла оказывают состав и количество газообразных продуктов деструкции. Наибольший теплрпоглощающей способностью отличаются летучие продукты, содержащие большое количество водорода.
Следующий возможный фактор, в результате которого поглощается ещё некоторая часть тепловой энергии - поглощение тепла за счёт излучения нагретой поверхностью. В данном случае тепловое излучение зависит, в основном, от степени нагрева поверхности материала и определяется уравнением Стефана-Больцмана, как функция температуры поверхности в 4-й степени. Отсюда следует, что наибольшей излучательной способностью должны обладать полимерные материалы, у которых процессы абляции сопровождаются более высоким нагревом поверхности (т.е. материалы, содержащие неорганические наполнители, различные обуглероженные материалы и т.п.).
Исходя из вышеизложенного, следует, что тепловой баланс на поверхности аблирующего ТЗП состоит из слагаемых поглощения подводимого тепла за счёт:
- теплоёмкости полимеров;
- химических реакций (фазовых переходов);
- выделения летучих продуктов деструкции и излучения. При этом следует отметить, что указанные реакции имеют место только в двух первых подвижных зонах, тогда как третья зона (зона незатронутого материала) несёт на себе функции теплоизоляционного и конструкционного материала.
Механические ф акторы разрушения обусловлены в основном термическими и механическими эффектами. Согласно работам ряда исследователей, разрушение полимерных ТЗП, их эрозионный унос, складывается из разрушения материалов вследствие больших термических напряжений, сублимации, испарения, а также чисто механической эрозии покрытий.
Устойчивыми оказались ТЗП, полученные на основе коксующихся полимером, способных образовывать при термодеструкции прочный поверхностный слой, предохраняющий нижележащие слой полимера от интенсивного разрушения. Величина и прочность образованного поверхностного слоя в ряде случаев является единственной определяющей величиной эрозионной стойкости полимерных ТЗП. Одним из наиболее эффективных методов упрочнения поверхностного слоя ТЗП, образованного при термодеструкции коксующихся полимеров, оказалось отложение в порах кокса вторичных продуктов. При термодиструкции подавляющего большинства полимерных ТЗП в струе ЖРД создаются благоприятные термические условия для получения пироуглерода (пиролитического графита), отложение которого на внутренней поверхности стенок пор способствует значительному улучшению физико-механических и теплофизических свойств поверхностного слоя ТЗП. В литературе приводится прямая взаимосвязь между способностью полимеров образовывать пироуглерод и эрозионной стойкостью ТЗП. Наиболее прочный поверхностный слой образуется при термодиструкции полимерных ТЗП, полученных на основе коксующихся полимеров и содержащих в своём составе большое количество атомов углерода. Кроме того, на прочностные характеристики твёрдых продуктов пиролиза существенное влияние оказывает количественное содержание в полимере кислорода, способного вызывать преждевременное окисление образующихся при пиролизе обуглероженных продуктов.
На эрозионную стойкость полимерных ТЗП определённое влияние, помимо прочности поверхностных слоев, образующихся при термодиструкции, оказывает величина механической прочности ТЗП в исходном состоянии. Экспериментально доказано, что чем больше прочность полимера (величина его разрывного напряжения), тем дольше период разрушения материала. Однако, исходя из механизма эрозии, представляющего собой процесс разрушения материала за счёт упругих и пластических деформаций, следует ожидать, что указанное равенство справедливо лишь в случае сохранения материалом некоторой эластичности. Положительное влияние эластичности полимеров на их эрозионную стойкость состоит в уменьшении абразивного износа покрытий за счёт срезывающих усилий, имеющих место при проявлении пластической деформации.
Таким образом, основными требованиями предъявляемыми к полимерным материалам, предназначенным для создания ТЗП, являются:
- высокие температуры плавления или разложения;
- низкий коэффициент теплопроводности и высокая теплоёмкости;
- большая излучательная способность;
- выделение при пиролизе большого количества низкомолекулярных газообразных продуктов;
- образование при пиролизе прочного твёрдого остатка;
- высокая прочность и небольшая величина жёсткости полимеров.
Сгорающие ТЗП
Они представляют собой твердотопливную систему, состоящую из
горючего и окислителя, причем элементов, являющихся горючим существенно
больше по сравнению с тем количеством, которое обеспечивало бы эффектив
ный процесс горения.
Продукты сгорания такого ТЗП имеют существенно меньшую температуру, по сравнению с основным газовым потоком, что определяет возможность создания более холодного пристеночного слоя.
В случае использования указанного типа ТЗП необходимо определить оптимум между толщиной покрытия и массовыми характеристиками двигательной установки для обеспечения создания тепловой защиты.
Обычно указанный тип используется для бронировки твердотопливных зарядов РДТТ.
Коксующиеся ТЗП
Они представляют собой матричную систему на основе фенольных смол или каучука. При этом в качестве наполнителя используются асбест, стекло или нейлон. Температура материала, уносимого газовым потоком, существенно ниже по сравнению с температурой самого потока. Коксовый остаток, образовавшийся на поверхности ТЗП, имеет плотную структуру, что определяет постоянство сечений каналов.
Коксующие ТЗП могут использоваться вторично при условии их последующей пропитки фенольными смолами.
Испаряющиеся ТЗП
Они представляют собой сотовую конструкцию. В качестве материала, образующего соты используются пористые вольфрам или молибден, а в качестве наполнителя - медь.
8. Система подачи компонентов топлива
8.1. Турбонасосная система (ТНС) подачи компонентов топлива
Турбонасосная система состоит из следующих подсистем.
1. Турбонасосный агрегат (ТНА), предназначенный для увеличения давления и подачи компонентов топлива в камеру ЖРД и газогенератор. Основными элементами ТНА является турбина, развивающая мощность при подаче на нее высокотемпературного газа, и насосы, преобразовывающие мощность турбины в напор компонентов топлива.
2. Система повышения давления на входе в насосы состоит из системы предварительного наддува баков, который осуществляется, как правило, с помощью инертных газов или из системы предвключенных насосов.
3. Система запуска турбины. Запуск турбины осуществляется с помощью твердотопливного газогенератора, как правило, работающего кратковременно только в момент запуска ЖРДУ.
4. Система питания турбины. Питание турбины высокотемпературным газом осуществляется с помощью жидкостного газогенератора, работающего на основном или вспомогательном компоненте топлива, или путем подачи на лопатки турбины одного из компонентов, газифицированного в зарубашечном пространстве.
5. Система выброса генераторного газа. Для ЖРД работающих по схеме «жидкость-жидкость» с выбросом генераторного газа в окружающую среду, система отвода включает в себя выхлопной патрубок турбины, заканчивающийся расширяющимся соплом, плоскость среза, которого обычно совпадает с плоскостью среза основных сопел камеры ЖРД.
Для ЖРД, работающих по схеме «жидкость - газ» или «газ-газ», система отвода генераторного газа включает газовод (толстостенный патрубок), соединяющий выхлопной коллектор турбины с головкой камеры ЖРД.
8.2. Компоновочные схемы ТНА
ТНА подразделяются на одновальные и многовальные. В одновальных ТНА турбина и насосы располагаются на одном валу. Преимуществом ТНА, выполненных по такой схеме, является простота конструкции и малый вес. В качестве недостатка необходимо отметить, что только один из насосов (как правило, насос окислителя) работает при оптимальном числе оборотов. При этом насос горючего эксплуатируется при пониженных значениях КПД.
Различают следующие компоновочные схемы ТНА, рис.57.
При трехвальной схеме ТНА числа оборотов насосов и турбины независимы друг от друга и могут выбираться из условий оптимальности работы насосов. Однако, наличие редукторов, работающих в сложных условиях (высокие значения/Окружной скорости, сложность обеспечения эффективной системы смазки и охлаждения), в некоторых случаях сводит к минимуму выигрыш от повышения значений КПД насосов.
![]() |
![]() |

Рис.57
Компоновочные схемы ТНА
Наибольшее распространение в ЖРДУ получили одновальные схемы ТНА.
8.3. Устройство центробежного насоса
В ТНА ЖРД обычно в качестве основных применяются центробежные насосы. Основными достоинствами, определяющими преимущественное использование этих видов насосов в ЖРД, являются:
- обеспечение высоких давлений подачи и производительности при
малых габаритах и массе;
- возможность работы на агрессивных и низкокипящих компонентах;
- возможность работы с большим числом оборотов и удобство использования турбины для их привода.
На рис.58 показана схема одноступенчатого центробежного насоса. Жидкость по входному патрубку 1 подается на вращающееся колесо (крыльчатку) 2. В колесе насоса жидкость движется по каналу, образованному стенками колеса и лопатками 3. Усилие, действующее со стороны лопаток колеса на жидкость, заставляет ее двигаться так, что запас энергии в единице массы жидкости увеличивается. При этом происходит прирост как потенциальной энергии (статического давления), так и кинетической энергии жидкости.

Рис.58
Схема центробежного насоса:
1 — входной патрубок; 2 — колесо насоса (крыльчатка); 3 — лопатки;
4 — диффузор; 5 — лопатки диффузора; 6 — сборник или улитка; 7 — переднее уплотнение;
8 — подшипник вала; 9 — уплотнение подшипника
На выходе из колеса жидкость поступает в диффузор 4, где уменьшается ее абсолютная скорость и дополнительно возрастает давление. Простейший
дифузор состоит из гладких дисков, составляющих его стенки, и называется безлопаточным. Лопаточный диффузор имеет неподвижные лопатки 5 (на рис.58 показаны пунктиром), которые способствуют более быстрому гашению скорости потока. Пройдя диффузор, жидкость поступает в спиральный канал (улитку) б, назначение которого состоит в том, чтобы собирать жидкость, вы-ооящую из колеса, а также уменьшать ее скорость. По нагнетающему патруб-ц жидкость подается в сеть.
Чтобы уменьшить перетекание жидкости из полости высокого давшая (диффузора, улитки) в область низкого давления, в насосе делаются уп-лотнения 7.

Рис.59
' Схемы центробежных насосов:
а —с осевым входом; б—со спиральным входом; в—с двухсторонним входом; г —многоступенчатый насос
Центробежные насосы выполняют с осевым, спиральным и двойным входом, одно-и многоступенчатые. Выбор осевого или спирального входа (рис.59, а,б)определяется в первую очередь условиями компоновки ТНА и двигательной установки. Двойной вход (рис.59, в) выполняют при больших расходах для уменьшения скорости на входе и тем самым для улучшения антикави-тационных свойств насоса. Многоступенчатые насосы (рис.59, г) применяют при необходимости получения особенно больших напоров.
Обычно корпуса насосов выполняются литьем из высокопрочных алюминиевых сплавов, а в случае высоких давлений - из стали. Количество профилированных лопаток крыльчатки составляет не более 8, а их толщина лежит в диапазоне 2 ч- 5 мм.
8.4. Крыльчатки насосов
Различают крыльчатки, открытого и закрытого типов, рис.60 (а, б).
Открытая крыльчатка используется в насосах с малым расходом и давлением компонента. Для крыльчатки такого типа характерны значительные потери, обусловленные перетеканием компонента из области повышенного давления (на выходе из насоса) в область пониженного (на входе в насос). Крыльчатка состоит из диска 1 и выполненных на нем лопаток 2.
В закрытых крыльчатках на торцевых поверхностях лопаток устанавливается крышка 3., которая может быть выполнена за единое целое с крыльчаткой. В крыльчатках такого типа потери на перетекание компонента значи-
тельно меньше, чем в открытых крыльчатках. Обычно крыльчатки изготавливают литьем. Число профилированных лопаток, как правило не превышает 8, а их толщина менее 5мм. Крыльчатки, представленные на рис.60, относятся к крыльчаткам с односторонним подводом компонента.
Для снижения расхода компонента через лопаточный канал крыльчатки (с целью исключения возникновения процесса кавитации) используются крыльчатки с двухсторонним подводом компонента, рис.61.
![]() |
![]() |
Рис.60
Односторонние крыльчатки: а- открытого типа; б - закрытого типа

Рис.61
Двухсторонняя крыльчатка
8.5. Уплотнения крыльчаток
С целью снижения перетечек жидкости в крыльчатках насосов устанавливаются уплотнения следующих типов: щелевые, лабиринтные и плавающие, рис.62 а,б,в, соответственно.
Принцип работы щелевых уплотнений основан на обеспечении высокого гидравлического сопротивления кольцевой щели между графитовым вкладышем, установленным в корпусе насоса, и проточкой, выполненной во входном сечении диска. Конструкция данного уплотнения допускает до 15% перетечек от объема перекачиваемой жидкости, в то время как лабиринтное, рис.62 б, и плавающее (набор фторопластовых и алюминиевых шайб, установленных во входном сечении крыльчатки), рис.62 в, - до 10 % и 5 %, соответственно.

а)б)в)
Рис.62
Уплотнения крыльчаток: а - щелевое; б - лабиринтное; в - плавающее
8.6. Основные параметры насосов 1 .Объемная производительность насоса, V, м3 / с
![]()
где:
- массовый секундный расход жидкости, кг/с;
- плотность рабочего тела на входе в крыльчатку, м3
/ кг .
Относительная скорость движения жидкости в насосе, а, следовательно, Vи
пропорциональны частоте вращения крыльчатки:
![]()
2. Действительный напор насоса, Нд , Дж/кг.
Действительный напор насоса характеризует приращение энергии, приобретенное 1 кг жидкости, прошедшей через насос.
![]()
где:
Р вых. > Р вх. - давление на выходе и входе в крыльчатку, н/ м2
;
- средняя плотность жидкости в крыльчатке насоса, м3
/ кг ;
Напор пропорционален произведению квадратов частоты вращения nи внешнего диаметра крыльчатки:![]()
3.Давление на выходе из насоса, PBblX , Па.
![]()
где:
- давление в камере, Па;
- перепад давления на форсунках, Па;
-перепад давления, обеспечивающий преодоление гидравлического
сопротивления магистрали от насоса до камеры ЖРД, Па.
4.Число оборотов крыльчатки, n, об/мин.
![]()
где:
- угловая скорость крыльчатки, 1/ с .
5.Полезная мощность насоса, N, Вт.
Полезная мощность насоса - мощность, переданная насосом жидкости, т.е. затраченная на создание действительного напора при заданной объемной производительности.![]()
Полезная мощность насоса пропорциональна кубу числа оборотов крыльчатки![]()
б.Коэффициент полезного действия насоса насоса,
, %.
![]()
где:
,
,
-объемный, гидравлический и механический коэффициенты
полезного действия (к.п.д.) насоса, соответственно.
![]()
где Vут. - объемная производительность насоса, обусловленная перетечками в нем.
Объемный КПД определяет количество жидкости, перетекающей из полости высокого давления обратно в полость низкого давления, и утечек жидкости из полости высокого давления через уплотнения.
![]()
- учитывает потери:
- на трение жидкости в каналах входного патрубка, крыльчатки, улитки, выходного диффузора, а также на трение в самой жидкости, обусловленные ее вязкостью;
- на удар и срыв потока, обусловленные несовпадением геометрического профиля лопатки и направлением вращения крыльчатки.
Потери на трение пропорциональны квадрату объемной производительности V2 или квадрату относительной скорости жидкости W2 .
Потери на удар минимальны при расчетном числе оборотов крыльчаг-ки.
= 70 / 90 %
Произведение объемного и гидравлического к.п.д. носит название внутреннего к.п.д. насоса.
- учитывает механические потери, связанные с трением жидкости о нерабочие поверхности крыльчатки, потери в подшипниках, уплотнениях и т.д.
= 70 / 80 %
7.Потребная мощность насоса, NH , Вт.
![]()
Потребная мощность насоса определяется экспериментально при его проливках, в процессе проведения которых находят объемную производительность, значения давления на входе и выходе из насоса, число оборотов крыльчатки и крутящий момент на валу.
8.Коэффициент быстроходности насоса, ns .
Коэффициент быстроходности насоса - число оборотов этатонного насоса, геометрически подобного натурному, с тем же гидравлическим и объемным к.п.д., но с напором в 1 Дж/кг и полезной мощностью в 1 Вт. В общем случае:
![]()
Величина ns характеризует форму колеса насоса, рис.63. Действительно, при данном числе оборотов п большее значение п s соответствует большим объемным производительностям Vи меньшим напорам Я. Увеличение же Vи уменьшение Я приводит к увеличению проходного сечения канала
колеса (ширины) и к уменьшению выходного диаметра колеса D2 . Таким образом, при больших значениях ns канал колеса будет коротким и широким. С уменьшением ns канал сужается, а отношение выходного и входного диаметров колеса (D2 / DI ) увеличивается.
Насосы ЖРД, как правило, имеют относительно малые расходы объемные производительности Vи большие напоры Н, т.е. малые значения ns (обычно меньше 100).

Рис.63
Форма колеса насоса в зависимости от ns : а - тихоходное колесо; б - нормальное колесо; в - быстроходное колесо
8.7. Характеристики насосов
Рассмотрим движение жидкости в проточной части центробежного насоса, рис.64.
Частицы жидкости, находящиеся в межлопаточном канале участвуют в двух движениях: в относительном ( W- относительная скорость ) и в переносном (U- окружная скорость). В результате указанных движений частичка жидкости перемещается в канале с абсолютной скоростью С , при этом U2 > U1 .
С целью уменьшения потерь и создания наиболее благоприятных условий течения жидкости по каналу крыльчатки рекомендуется принимать Wi = W2 , при условии U2 > U1 .
Индексы "1" и "2" относятся к входному и выходному сечениям крыльчатки соответственно, рис.65.

Рис.64
Изменение параметров по тракту центробежного насоса
Согласно формуле Эйлера, напор насоса с бесконечным числом лопаток может быть определен по следующей зависимости:
![]()
где: G2 ,u- проекция абсолютной скорости на выходе из крыльчатки на окружную скорость (окружная составляющая абсолютной скорости на выходе из крыльчатки).
В насосе с бесконечным числом лопаток любая струйка жидкости, перемещающаяся от входа в колесо к спиральной камере, имеет одинаковые параметры. При конечном числе лопаток это условие нарушается. Со стороны лопатки, оказывающей силовое воздействие на жидкость, давление будет больше, рис.66,а. Такая неравномерность полей давлений связана с неравномерностью полей скоростей, рис.66,6. Относительная скорость будет больше на стороне лопатки, не оказывающей давление на жидкость.
Указанные распределения параметров вызывают изменения характера скорости жидкости в межлопаточном канале, т.е. приводят к появлению циркуляционных течений и к некоторому отклонению потока на выходе в сторону противоположную вращению, что определяет снижение напора, создаваемого насосом.

Рис.65
Треугольники скоростей на входе и на выходе из
крыльчатки центробежного насоса
Потери на циркуляцию оцениваются коэффициентом потерь насоса nЛ, который характеризует снижение напора, за счет конечного числа лопаток.
Теоретический напор насоса с конечным числом лопаток определяется из соотношения:
![]() |
Для центробежного насоса:
где: D1,
CP
- средний диаметр лопатки крыльчатки на входе;
- угол наклона лопатки крыльчатки на выходе .
![]() |
а)
б )

Рис.66
Неравномерности полей давления, скорости и пульсации в межлопаточном канале крыльчатки
Объемная производительность насоса может быть определена по следующей зависимости:![]()
где: b2 - ширина выходного сечения крыльчатки.
Радиальная составляющая абсолютной скорости на выходе из крыльчатки С2, г определяется из выражения:
![]()
Теоретический напор насоса при бесконечном числе лопаток, с учетом, рис.67, что:
равен:

Рис.67
Треугольник скоростей на выходе из центробежного насоса
Напорная характеристика насоса представляет зависимость напора от объемной производительности при постоянном числе оборотов крыльчатки, рис.68.

Рис.68
Напорная характеристика насоса с бесконечным числом лопаток крыльчатки
116
В центробежных насосах
меньше
, т.к. при увеличе-
нии
наблюдается существенный рост гидравлического сопротивле-
ния жидкости в межлопаточном канале.
Поток жидкости при движении от входного сечения насоса до выхода аз диффузора испытывает неоднократные повороты, проходит сужения и рас-ширения канала, обтекает входные кромки лопаток и т.п. Во всех этих случаях теряется энергия на преодоление местного сопротивления, кроме того, всегда существуют потери на трение жидкости о стенки. Эти суммарные потери энергии в процессе течения жидкости через насос составляют гидравлические потери.
Зависимость гидравлических потерь в насосе от объемной производительности очень сложна: минимальные гидравлические потери имеют место при расчетном режиме течения жидкости, т.е. при расчетном значении объемной производительности насоса. Действительная напорная характеристика насоса Нд= f( V) представляет собой параболу, рис.69.

Рис.69
Напорные характеристики центробежного насоса
8.8. Кавитация
Кавитация - процесс образования пузырьков пара в тех зонах жидкости, в которых статическое давление меньше давления насыщенного пара,
завершающийся заполнением этих пузырьков жидкостью при их попадании в зону повышенного давления. Это явление наблюдается при чрезмерно больших скоростях жидкости (числах оборотов крыльчатки - n).
При высоких скоростях движения потока статическое давление может стать меньше давления насыщенных паров Ps и тогда происходит закипание
жидкости, т. е. возникает кавитация.
В колесе центробежного насоса в отношении кавитации наиболее опасным является сечение входа жидкости на лопатки колеса, где полное давление жидкости минимально (насос еще не сообщил жидкости энергии), а абсолютная и относительная скорости потока велики.
Высокие относительные скорости жидкости на входе в лопатку способствуют образованию полостей пониженного давления с задней стороны лопатки, рис.70, т.е. способствуют возникновению кавитации. Кроме того, неравномерное поле абсолютных скоростей при подходе к лопатке вызывает дополнительное падение давления в струйках, где скорость будет больше средней.

Рис.70
Область пониженного давления при обтекании лопаток насоса
Кавитация нарушает нормальную работу насоса по двум причинам.
Во-первых, вследствие того, что часть объема, подаваемого насосом, оказывается заполненной парами жидкости, происходит падение напора и уменьшение расхода подаваемой жидкости.
Во-вторых, при попадании жидкости, имеющей в своей массе паровые мешки, в область более высоких давлений пар конденсируется и заполнение объема паровых мешков жидкостью происходит с большой скоростью (до 1500—1800 м/сек), что приводит к явлению гидравлического удара в момент заполнения объема. Совокупность направленных гидравлических ударов в фокус полусферы паровых объемов, находящихся на поверхности лопаток, приводит к эрозионному разрушению металла.
Различают режимы частичной и полной кавитаций. При режиме частичной кавитации, образовавшиеся пузырьки пара успевают «захлопнуться» во входном сечении крыльчатки. Так как кавитационная эрозия развивается постепенно, то ввиду малой продолжительности работы насосов ЖРД указанный режим работы не опасен. Однако кавитация в межлопаточной полости насосов ЖРД (режим полной кавитации) недопустима из-за падения напора и уменьшения объемной производительности.
Изменение напора при возникновении кавитации характеризуется так называемыми кавитационными характеристиками.
Различают срывные характеристики, рис.71, а, 6, т. е. зависимость напора Н от давления на входеРвх (или величиныРвх — Ps ), и кавитационные характеристики, выражающие зависимость предельного давления на входе Рвх кав , ниже которого начинается кавитация, от числа оборотов п и объемной производительности V, рис.71 в. Срывные характеристики получают по результатам испытания насосов при заданных объемной производительности и числе оборотов.

Рис.71
Кавитационные характеристики: а,б — срывные характеристики; в — кавитационная характеристика
Рвх.кав = f ( n . У)
Предельное давление на входе Рвх кав , ниже которого начинается кавитация, определяется как давление, при котором падение напора составляет 2— 3%. На основании серии проведенных испытаний строят кавитационные характеристики Рвх.кав . = f (n,V), рис.71, в. Кавитационные свойства насоса надежно устанавливаются только опытным путем.
Наименьшее давление при входе на лопатки Рт in может быть определено как разность статического давления на входе в колесо Рвх и величины
дополнительного падения давления
вследствие образования зон пони-
женного давления и неравномерности абсолютных скоростей, т. е.
![]()
Условие безкавитационной работы:
![]()
или
![]()
Величина (Рвх — Ps ) характеризует напор, который еще может быть
использован для увеличения скорости потока без возникновения кавитации и называется кавитационным запасом.
При прочих равных условиях увеличение числа оборотов насоса п и
объемной производительности V приводит к увеличению относительной и абсолютной скорости потока, а, следовательно, и к увеличению опасности возникновения кавитации. С ростом п и V кавитация на лопатках возникает при меньших давлениях на входе.
При расчете насосов одной из основных задач является определение максимально допустимого по условиям кавитации числа оборотов насоса при заданных значениях давления на входе и объемной производительности. Исходя из условия безкавитационной работы
и проведя анализ величины составляющих
получим расчетную формулу
для определения максимально допустимого числа оборотов насоса (формула С. С. Руднева):

где: С - антикавитационный коэффициент насоса;
Нвх - напор на входе в крыльчатку насоса;
Нs - напор, соответствующий условиям образования насыщенных паров жидкости.
Для обычных насосов С =800—1100. Для колес с высокими антикави-тационными свойствами, имеющих особые формы и лопатки специального профиля, С может достигать 2000—2200. При применении осевых или шнеко-вых преднасосов, что является одной из основных мер предотвращения кавитации, величина С увеличивается до 3000—3100. Имеются данные, что с помощью преднасосов удается повысить С до значений 3500—4000.
Кавитация может быть предотвращена также наддувом баков до 2—6 ата (= 0,2 / 0,6 МПа), что обеспечивает повышение давления на входе в насос, или применением крыльчаток с двухсторонним подводом жидкости.
Антикавитационные свойства насосов зависят от их конструктивных решений (количества и длины лопаток, угла атаки и т.д.), а также от термодинамических свойств подаваемого компонента.
8.9. Предвключенные насосы
Предвключенные насосы обеспечивают увеличение давления жидкости на входе в основной центробежный насос. Они бывают струйные и шнековые (бустерные).
Работа струйного преднасоса основана на процессе инжекции, т.е.
увеличении давления на входе в основной центробежный насос путем
подпитки поступающего потока жидкости более высоконапорной струей,
отбираемой от выхода центробежного насоса, рис.72.'

Рис.72
Схема струйного преднасоса: /—сопло; 2~ входная магистраль центробежного насоса
Повышение давления во входном сечении центробежного насоса определяется энергией струи, вытекающей из центрального сопла. Достоинство струйных насосов в их конструктивной простоте и отсутствии вращающихся частей. Однако коэффициент полезного действия этих насосов невысок и для обеспечения существенного повышения давления в магистрали они требуют на привод большого расхода высоконапорной струи. Струйные насосы пока не нашли применения в ЖРД в качестве основных насосов, хотя в последнее время рассматривается возможность их использования .
Шнековый преднасос - это осевой насос, состоящий из 2х - 3х винтовых лопаток трапециидального сечения, рис.73.
![]() |
Рис. 73
Шнековый преднасос
Шнековый преднасос не только повышает давление жидкости, но и создает закрутку потока, уменьшающую относительную скорость движения жидкости на входе. Напорность шнека составляет 3—20% от общего напора центробежного насоса.
Такой насос обладает повышенными антикавитационными свойствами по сравнению с центробежными насосами. Это достигается за счет того, что:
- разница давления на рабочих и нерабочих поверхностях шнека существенно ниже, чем у лопаток центробежных насосов;
- осевой подвод жидкости уменьшает возможность появления процесса кавитации у верхних кромок шнека.
8.10. Зависимость мощности и к.п.д. насоса от его объёмной производительности
С увеличением объемной производительности насоса наблюдается рост мощности насоса, рис.74, а :
![]()
Коэффициент полезного действия насоса определяется по формуле:
![]()
При увеличении объемной производительности объемный к.п.д. г|об также увеличивается, т.к. доля утечек по отношению к расходу жидкости, перекачиваемой насосом, уменьшается, рис.74, б.
Гидравлический к.п.д.
с ростом объемной производительности
уменьшается, т.к. увеличивается скорость жидкости, а значит потери на трение и удар, рис.74, б.
С увеличением объемной производительности насоса доля механических потерь, по сравнению с увеличением мощности уменьшается, следовательно,
растет, рис.74, б.
![]() |
![]() |
Рис.74
Зависимость мощности и к.п.д. насоса от его объёмной производительности.
8.11. Турбина ТНА
Одним из основных элементов ТНА является газовая турбина. В турбине потенциальная энергия продуктов сгорания из газогенератора или паров охладителя преобразуется в механическую работу турбины. Турбина предназначена для приведение во вращение насосов ТНА. Турбина состоит из соплового аппарата 1, рабочего колеса 2 с двумя рядами рабочих лопаток 3 и 4, направляющего аппарата 5 и корпуса турбины 6 с выходным патрубком 7, рис.75.
Первая ступень турбины представляет совокупность соплового аппарата 1 и лопаток рабочего колеса 3, вторая образована неподвижными лопатками направляющего аппарата 5 и вторым рядом рабочих лопаток 4.
Преобразование энтальпии газового потока в механическую энергию вращения вала осуществляется в два этапа: энтальпии газового потока - в кинетическую энергию струи (в сопловом аппарате); кинетической энергии струи - в механическую энергию вращения вала (на рабочем колесе).

Рис.75
Конструкция турбины ТНА
Валы турбонасосных агрегатов (ТНА) работают при высоких нагрузках и больших числах оборотов. Для облегчения веса их делают полыми. Наибольшие знакопеременные напряжения в металле вала возникают на его наружной поверхности. При этом всякого вида резкие переходы, следы от режущего инструмента и другие дефекты поверхности являются концентраторами напряжений. В этих местах при работе могут образоваться трещины, что приведет к поломке вала. Поэтому особое внимание уделяется чистоте отделки поверхности вала с введением в некоторых случаях упрочняющих операций. Отделке подвергаются не только места под подшипники, уплотнения, посадки, но и все другие участки вала, не сопрягаемые с другими деталями.
Большие числа оборотов (10000—20000 об/мин и более) заставляют конструктора назначать очень жесткие допуски на соосность шеек и посадочных мест, точность расположения осевого отверстия, разностенность и другие размеры. Малейшие геометрические погрешности приводят к неравномерному распредзелению вращающихся масс металла, что вызывает вибрации и тряску ТНА.
На рис.76 изображено два наиболее характерных типа валов: с фланцем (а) и без фланца (б).
Наиболее ответственные валы изготовляются из высококачественной легированной стали с пределом прочности после соответствующей термической обработки 1000—1200 Мн/м2 (100—120 кГ/мм2 ). Применяются стали 2X13, 18ХНВА, 40ХНМА, 12ХНЗА и некоторые другие.
Для менее ответственных валов используются стали типа 38ХА или сталь 45.
Диски турбин ТНА работают при больших числах оборотов, вследствие чего в металле возникают высокие напряжения от действия центробежных сил. Кроме того, возникают температурные напряжения от неравномерности нагрева металла диска.

б!
Рис.76
Характерные типы валов
Диски турбин изготовляют из высоколегированных сталей и сплавов, обладающих высокой прочностью и жаростойкостью: стали ЭИ415, ЭИ481, ЭИ395, Х18Н9Т, сплавы ЭИ437Б, ЭИ617 (ХН70ВМТЮ) и другие.
Форма дисков определяется из условия равнопрочности, т. е. примерно равной нагруженности металла во всех сечениях диска.
На рис.77 изображено несколько характерных конструкций дисков турбин. Диск состоит из ступицы для соединения с валом, обода для крепления лопаток и средней части, соединяющей ступицу с ободом. Нагрузка от центробежных сил возрастает по мере приближения к ступице, что вызывает необходимость выполнять среднюю часть с постепенным утолщением к ступице. Профили А и Б средней части получаются сложными, что затрудняет обработку диска. Хотя торцовые поверхности А и Б не сопрягаются с другими деталями, они должны быть выполнены точно, с высокой чистотой поверхности. Все дефекты механической обработки в виде рисок (следов от резца) или переходов являются концентраторами напряжений и понижают механическую прочность диска. Очень большое значение имеет равномерное распределение массы металла по диску.
Даже небольшие односторонние утолщения приводят к неравномерности распределения массы, что ведет к неуравновешенности. При быстром вращении неуравновешенных дисков появляются недопустимые вибрации тур-
| бины, которые могут привести к аварии. Поэтому при конструировании дисков задаются жесткие допуски на все размеры дисков. |

Рис.77
Конструкция дисков турбин ТНА
Особенно высокие требования по точности обработки предъявляются к сопрягаемым размерам — посадочному отверстию в ступице или посадочным пояскам и к пазам для крепления лопаток. Посадочные пояски и отверстия в ступице обычно выполняются по 2-му классу точности. Допуски на размеры паза для крепления лопаток— 0,01—0,03 мм. Допускаемое биение наружных поверхностей посадочных мест — 0,03—0,06 мм.
Передача крутящего момента от диска к валу осуществляется болтами или штифтами, вставляемыми в отверстия Г (см. рис.77,а) или шлицами Е (см. рис.77, б). Иногда вал вытачивается заодно с фланцем, а диск турбины приваривается к фланцу вала, как это изображено на рис.77, в. При такой конструкции диска достигается экономия дорогостоящих жаропрочных сплавов, так как вал изготовляется из более дешевых сталей.
При конструировании дисков турбин очень большое внимание уделяется рациональному способу крепления лопаток с учетом конструктивной прочности и технологичности конструкции.
Наибольшая конструктивная прочность при минимальном весе диска достигается в том случае, когда лопатки выполнены за одно целое с диском. У таких дисков обод получается наиболее легким. Однако технология их изготовления сложна и сопряженна с большой затратой труда. Кроме того, качество обработки профиля лопаток выше, если лопатки изготовляются отдельно от ротора. Повышенная шероховатость или несоответствие профиля лопатки расчетному снижает коэффициент полезного действия турбины. Все эти факторы подробно анализируются и в каждой конкретной конструкции ТНА находится наиболее рациональное решение.
Несмотря на кажущиеся выгоды получения заготовок дисков турбин за одно целое с лопатками в реальных условиях иногда целесообразнее изготовлять лопатки отдельно с последующим соединением их с диском с помощью замков или сваркой.
Лопатка газовой турбины состоит из двух основных конструктивных элементов — пера и корневой части с замком. Перо—рабочий элемент лопатки, а корневая часть, или замок, служит для соединения пера с диском турбины. Перо лопатки имеет сложную форму, определяемую газодинамическим расчетом. Вогнутую сторону пера называют корытом, а выпуклую—спинкой. Профили корыта и спинки соединяются, образуя кромки пера: переднюю, или входную, кромку со стороны входа газа на лопатку и заднюю, или выходную, кромку. На практике широкое распространение получили три характерных типа лопаток газовых турбин ТНА:
- лопатка, изготовленная отдельно и соединяемая с диском турбины сваркой или замком;
- лопатки открытого типа, выполненные за одно целое с диском турбины;
- лопатки, выполненные за одно целое с диском турбины, соединенные сверху бандажным кольцом.
У каждого из этих типов лопаток свои достоинства и недостатки как эксплуатационного, так и технологического характера.
Лопатки первого типа изготовляются отдельно от диска и могут быть выполнены более точно и с лучшей чистотой поверхности, чем лопатки остальных типов.
На каждую турбину идет большое количество лопаток, что позволяет даже при мелкосерийном производстве ТНА организовать поточное изготовление лопаток с применением специального оборудования и высокопроизводительной оснастки. Однако необходимость крепления отдельно выполненных лопаток к диску с помощью замков усложняет технологический процесс и утяжеляет диск турбины. Этот недостаток в значительной мере устраняется при соединении лопаток с диском сваркой.
Лопатки второго типа наиболее рациональны конструктивно, так как не требуют крепления. Однако такие лопатки нельзя изготовить обычной механической обработкой. Для выбирания металла между лопатками приходится применять электроэрозионный, ультразвуковой или другие методы, по производительности значительно уступающие обычной механической обработке. Кроме того, изготовление такого типа лопаток требует весьма точного соблюдения технологического процесса, так как наличие одной забракованной лопатки ведет к браку всего диска турбины. Лопатки второго и третьего типа не могут быть выполнены из металла или сплава, отличного от металла диска (так как составляют с диском одно целое), что не всегда рационально, а иногда даже недопустимо.
Лопатки третьего типа так же рациональны с конструктивной точки зрения, как и лопатки второго типа. Наличие бандажа, выполненного за одно целое с лопатками, даже улучшает их характеристики, но технология изготовления таких лопаток не позволяет получить точные геометрические размеры профиля лопаток. Отливка по выплавляемым моделям дает значительные погрешности, а обработка закрытых профилей лопаток затруднена.
Технологический процесс изготовления каждого из трех типов лопаток имеет свои особенности. Большое влияние на технологический процесс оказывает также материал лопаток.
Лопатки газовых турбин работают в тяжелых условиях—при высокой температуре и высоких напряжениях от центробежных сил. Материал лопаток должен обладать хорошей жаропрочностью и вместе с тем удовлетворительно обрабатываться резанием и давлением. Материал для литых лопаток должен обладать высокими литейными свойствами. Материал приварных лопаток должен хорошо свариваться с материалом диска. Для изготовления лопаток турбины применяются следующие стали и сплавы: 1Х18Н9Т, ЗОХГСА, ЭИ69, ВЛ7-20 и другие.
Для кратковременной работы при не очень высоких температурах могут применяться сплавы на алюминиевой основе типа АК4.
Корпусные детали турбонасосных агрегатов можно разделить на следующие основные группы:
1. Корпусы насосов.
2. Корпусы турбин.
3. Выхлопные патрубки и коллекторы.
4. Крышки.
Рис.78 Корпусные детали ТНА |
Большинство корпусных деталей ТНА, рис.78, имеет сложную форму, образованную криволинейными, плоскими и цилиндрическими поверхностями. Криволинейные поверхности, образующие улитки, полости, выемки, не подвергаются механической обработке, но зачищаются для удаления неровностей поверхности. Некоторые из таких поверхностей обозначены буквой Я.

Для установки подшипников, уплотнений и других деталей, примыкающих к валам турбин и насосов, в корпусах делаются расточки, выточки, посадочные пояски. Эти посадочные места механически обрабатываются с высокой точностью—по 2 или 1 -му классу. Взаимное биение посадочных поверхностей допускается в пределах 0,03-0,05 мм, а непараллельность торцев — 0,03-0,08 мм. С такой же высокой точностью обрабатываются места стыков корпусных деталей друг с другом по плоскостям разъема П. Особенно жесткие требования к посадочным и стыковочным местам предъявляются в конструкциях ТНА, имеющих общий вал турбины и насосов.
Сочетание в одной детали необработанных поверхностей, имеющих относительно грубые допуски, с поверхностями, обработанными с высокой точностью, — одна из характерных особенностей корпусных деталей.
Материал для корпусов выбирается исходя из условий их работы, возможно минимального веса и технологичности конструкции. Корпусы насосов изготовляют чаще всего из алюминиевых литейных сплавов типа АЛ4, обладающих высокими литейными свойствами при достаточной прочности.
Корпусы турбин также предпочтительно изготовлять из сплавов типа АЛ4, если это допускается по температурным условиям. При высокой температуре газов корпусы турбин изготовляют из жаропрочных нержавеющих сталей типа 1Х18Н9Т. Корпусы насосов для перекачивания агрессивных жидкостей изготовляют из титановых сплавов, обладающих высокой коррозионной стойкостью. Иногда по условиям минимального веса и конструктивным соображениям корпусные детали изготовляются штамповкой из листа с последующей сваркой. Для сварных штампованных корпусов применяют сплавы ЭИ606, ЭИ654, сталь 1Х18Н9Т и другие.
Сварные корпусы из листовых материалов, как правило, дешевле и легче литых, поэтому они находят широкое применение.

Рис.79
Сварной корпус турбины:
1-фланец; 2 — коллектор; 3—кольцо
На рис.79 показан пример изготовления сварного корпуса турбины с выхлопным коллектором.
Корпус расчленен на три элементарные детали. Средняя часть — коллектор 2 изготовляется штамповкой из тонкого листа, а фланец 1 и посадочное кольцо 3 получены токарной обработкой. Элементарные детали соединены двумя кольцевыми сварными швами С. Сварка ведется в специальном приспособлении, детали поворачиваются сварочным манипулятором.
8.12. Классификация турбин
По различным признакам турбины разделяют на активные и реактивные, осевые, радиальные и тангенциальные, одноступенчатые и многоступенчатые. Кроме того, отличают турбины со ступенями скорости и ступенями давления, парциальные и непарциальные, одновальные и двухвальные.
Разделение на активные и реактивные турбины производится по способу распределения перепадов давления в ступени турбины.
В активных турбинах весь перепад давления, приходящийся на ступень, срабатывается в сопловом аппарате, а на рабочих лопатках колеса турбины перепад давлений отсутствует. В межлопаточном канале колеса поток поворачивается и на лопатки действует сила реакции. Таким образом, часть энергии газов передается ротору и абсолютная скорость газа уменьшается. Если пренебречь потерями, относительная скорость w остается неизменной, т. е. w1 = w2 -В реактивных турбинах перепад давления срабатывается в сопловом аппарате и на рабочих лопатках. Вследствие расширения газа на рабочих лопатках относительная скорость w возрастает, т. е. w2 >wi, рис.80.

Рис.80
Элементарная схема и треугольники скоростей турбины:
а —активной; б—реактивной
130
Величина располагаемой работы L0 , т. е. максимально возможной работы турбины без потерь, определяется адиабатическим перепадом тепла hад (теплоперепадом) от параметров газа в заторможенном состоянии на входе в турбину ( Рвх; Твх) до давления на выходе Рвых.:

где: R, k - показатель адиабаты и газовая постоянная рабочего тела турбины, соответственно;
Твх и Рвх - заторможенные значения температуры и давления газа перед турбиной, соответственно; Рвых - давление газа за турбиной.
Отношение адиабатического перепада тепла, срабатываемого на рабочих лопатках, к полному перепаду тепла на ступени называется степенью реактивности:
Классификация турбин на осевые, радиальные и тангенциальные производится по направлению газового потока, рис.81.
![]() |
![]() |
Рис.81
Типы турбин:
- осевая; б —радиальная центростремительная; в —тангенциальная: 7—сопловый аппарат, 2—лопатки
Осевыми турбинами называются турбины, в которых направление потока в меридиональном сечении параллельно (или почти параллельно) оси турбины.
Радиальными называются турбины, в которых направление потока в меридиональном сечении перпендикулярно оси турбины. В зависимости от направления потока газа различают центростремительные (направление потока от периферии к центру) и центробежные (направление потока от центра к пе-
риферии) турбины. В некоторых случаях применение радиальной турбины упрощает компоновку ТНА
Тангенциальными называются турбины, в которых газ движется по окружности в плоскости, перпендикулярной к оси турбины, и за счет трения увлекает за собой лопатки турбины.
По числу ступеней различают одноступенчатые и многоступенчатые турбины, рис.82.

Рис.82
Многоступенчатые турбины:
а —со ступенями скорости; б— со ступенями давления;
в—с поворотом газа
В многоступенчатой турбине газ после выхода из лопаток колеса попадает в спрямляющий (сопловой) аппарат и снова поступает на колесо во второй ряд рабочих лопаток. Количество ступеней может равняться двум, трем и более. Применение многоступенчатых турбин позволяет использовать больший теплоперепад, хотя установка ступеней связана с дополнительными гидравлическими потерями, вследствие чего максимальное значение КПД многоступенчатой турбины меньше, чем КПД одноступенчатой. Применение более двух ступеней дает незначительный выигрыш в работе.
Различают многоступенчатые турбины со ступенями скорости и со ступенями давления. В первых - перепад давлений срабатывается в сопловом аппарате первой ступени и полученная кинетическая энергия постепенно используется на других ступенях. В турбине со ступенями давления в каждой ступени срабатывает определенный перепад давления. Турбины со ступенями скорости имеют меньший КПД, по сравнению с турбинами со ступенями давления, однако, при их применении:
- требуется меньшее количество ступеней для срабатывания задан
ного теплоперепада (при одинаковой окружной скорости)'.
- более существенно снижается температура газа, поступающего в последующие ступени;
- значительно уменьшаются осевые силы.
В целом турбины со ступенями скорости проще и в сравнительно небольших ЖРД целесообразны. В двигателях больших тяг с выбросом генераторного газа в окружающую среду, когда эффективность ТНА играет существенную роль, возможно применение турбин со ступенями давления.
Разновидностью многоступенчатой турбины со ступенями скорости является турбина с поворотом подвода газа В этих турбинах газ из рабочих лопаток колеса поступает в поворотный канал, где изменяется направление потока, и повторно подводится к рабочему колесу. Такая турбина имеет большие потери, но зато рабочее колесо имеет один венец. Известно применение турбины с поворотом потока в ЖРД «Вальтер».
По степени использования проходного сечения соплового аппарата различают парциальные и непарциальные турбины Парциальными называются турбины, в которых сопловые каналы имеются только на части окружности. Отношение рабочей дуги соплового аппарата ар ко всей окружности называется степенью парциальности:
![]()
Парциальность вызывает дополнительные потери. В ряде случаев улучшение КПД турбины за счет увеличения и и за счет увеличена длины лопаток получается большим, чем падение его вследствие потерь на парциальность. Кроме того, при заданной температуре газа температура лопаток парциальной турбины ниже.
По числу валов различают одновальные и двухвальные турбины. Схема двухвальной турбины показана на рис.83.
Применение двухвальной турбины в ТНА ЖРД может оказаться целесообразным из-за значительной разницы в максимально допустимых числах оборотов насосов горючего и окислителя. Однако применение двухвальных турбин в ТНА может привести к усложнению запуска и регулирования двигателя, а также и усложняет конструкцию ТНА в целом.
Специфика условий работы турбины в ТНА и требования к ТНА, как важнейшему агрегату двигательной установки, определяют типы турбин, которые рационально использовать при различных схемах двигательных установок ЖРД. В ТНА жидкостных ракетных двигателей применяются главным образом осевые активные турбины. Эти турбины конструктивно проще и достаточно надежны в работе. Для ТНА жидкостных ракетных двигателей, работающих по открытой схеме (с выбросом генераторного газа в окружающую среду),
![]() |
Рис.83
Двухвальная турбина
характерно применение парциальных активных турбин. Дело в том, что при открытой схеме для уменьшения потерь компонентов на привод ТНА стремятся уменьшить расход рабочего тела на турбину (это достигается увеличением перепада давления на турбине
= Рвх / Рвых = 15 - 60, за счет снижения давления за турбиной; однако, Рвых,min > 1,4 Рн). Вследствие малых расходов турбину целесообразно выполнять парциальной. Наличие же парциальности обусловливает применение активных турбин, так как в реактивных турбинах вследствие перепада давлений на лопатках колеса возникли бы большие потери из-за перетекания газа в области перед рабочими лопатками, где отсутствуют окна для подачи рабочего тела.
В ТНА двигателей открытых схем используют как одно-, так и двухступенчатые турбины, чаще со ступенями скорости.
В ТНА жидкостных ракетных двигателей с замкнутой схемой (с подводом генераторного газа в головку камеры ЖРД) в основном используются осевые одноступенчатые, низконапорные (пт = 1,15-1,8) турбины с большим расходом рабочего тела. Применение нескольких ступеней при этом нецелесообразно из-за малого срабатываемого теплоперепада. При замкнутой схеме наряду с активными турбинами могут использоваться и турбины с небольшой реактивностью. Из удобства компоновки при замкнутой схеме возможно применение радиальных турбин.
Турбины для первоначальной раскрутки ТНА, работающие от пиро-стартера, обычно выполняют осевыми, одноступенчатыми, парциальными.
8.13. Основные параметры турбины
1.Мощность турбины
Nt= Nh,o+NH . r +Nвсп. ,
где: NHО,Nht, Nbcп. - мощности насосов окислителя, горючего и вспомогатель-ныхагрегатов, соответственно.
2.Перепад давления на турбине
пт = Рвх / Рвых .
3.Температура газа перед турбиной
Величина Тг, как правило, определяется жаропрочностью материала лопаток, Тг= 1100-1500 К.
4.Число оборотов вала турбины
n = 60 u / (п Дср), где:
и - окружная скорость рабочих лопаток, м/с; Дср - средний диаметр рабочих лопаток турбины.
При одновальной компановки ТНА число оборотов рабочего колеса турбины определяется исходя из условия безкавитационной работы насосов, а при многовальной - из условия обеспечения максимального коэффициента полезного действия турбины.
5.Эффективный коэффициент полезного действия турбины
![]()
где:
- потери на трение в сопловом аппарате;
- потери на перетекание рабочего тела через радиальный зазор, образован
ный торцами рабочих лопаток и корпусом турбины;
- потери на трение и удар о диск турбины;
- механические потери в подшипниках и лабиринтных уплотнениях;
- потери с выходной скорость, т.е. потери обусловленные выбросом газо
вого потока в окружающую среду. Данный вид потерь характерен только для
ЖРД без дожигания генераторного газа;
-учитывает вентилляционные потери, обусловленные перетеканием рабо-
чего тела из зоны повышенного давления за рабочими лопатками в зону пониженного после соплового аппарата на тех участках соплового аппарата, где отсутствуют выходные сечения сопел.
8.14. Требования, предъявляемые к газогенераторам
Величина тяги ЖРД, как известно, является линейной функцией секундного расхода топлива. Секундный расход топлива для каждого конкретного двигателя с насосной системой подачи компонентов зависит от мощности, развиваемой турбиной. Мощность турбины полностью определяется секундным расходом и параметрами рабочего тела на входе в турбину, т. е. на выходе из газогенератора. Поэтому газогенератор является устройством, задающим режим работы всей двигательной установки. Это обстоятельство и определяет особые требования к данному звену системы топливоподачи (помимо общих требований, предъявляемых ко всем агрегатам ЖРД, вне зависимости от специфики их работы). Эти требования сводятся к следующему.
1. Высокая стабильность работы. Это значит, что газогенератор на всех режимах работы двигателя должен возможно точнее обеспечивать заданный секундный расход газа и при этом значения параметров газа (состав, давление, температура и др.) не должны выходить за определенные (допустимые) пределы. Чем стабильнее работа газогенератора, тем меньшие нагрузки испытывают в полете системы управления работой двигателя, а это повышает надежность двигателя и точность стрельбы.
Особенно важна стабильность работы газогенератора для ракет с нерегулируемыми ЖРД и ракет, управление дальностью полета которых осуществляется только по скорости полета в конце активного участка траектории. В последнем случае отклонение координат конца активного участка траектории, вызванное отклонением тяги двигателя от расчетного значения, вследствие нестабильной работы газогенератора, целиком перейдет в отклонение точки падения ракеты от цели.
2.
Простота управления рабочим процессом в широком диапазоне из
менения его параметров.
Это требование также обусловлено регулирующим
воздействием газогенератора на двигатель и необходимостью изменения режи
ма работы двигателя в процессе одного запуска (при регулировании тяги во
время старта и в полете, при переходе с главной ступени тяги на конечную и т.
д.).
3.
Высокая работоспособность генераторного газа,
обусловливающая
либо минимальную затрату энергии (и соответственно минимальный расход
топлива) на привод ТНА, либо повышение мощности ТНА. Это требование
выдвигается в связи с тем, что удельный импульс двигателя определяется от
ношением тяги ко всему секундному расходу отбрасываемой массы. В понятие
же «отбрасываемая масса» входят как продукты сгорания топлива в камере, так
и отработанный после турбины газ. Для ЖРД, у которых этот газ выбрасывает
ся в атмосферу и развивает удельный импульс меньший, чем продукты сгора
ния топлива, истекающие из камеры двигателя, решающим условием повыше
ния экономичности двигателя является уменьшение расхода топлива на привод
ТНА. Для ЖРД с дожиганием генераторного газа главное—увеличение мощно
сти ТНА, так как это позволяет увеличить давление в камере и при заданном
значении давления на срезе сопла повысить степень расширения отбрасывав-
мыхпродуктов сгорания, т. е. увеличить термический КПД камеры. Уменьше-ниерасхода топлива на привод ТНА и увеличение мощности ТНА зависят от количества энергии, отдаваемой турбине одним килограммом рабочего тела. Эга энергия равна, как известно, произведению относительного эффективного КПД турбины на располагаемый адиабатический теплоперепад.
8.15. Классификация газогенераторов
Основу классификации газогенераторов составляет способ получения генераторного газа. В настоящее время распространены три способа газогенерации.
1. Разложение (с помощью катализаторов или без них) вещества, способного после внешнего инициирующего воздействия перейти к дальнейшему устойчивому самопроизвольному распаду, сопровождающемуся выделением значительного количества тепловой энергии и газообразных продуктов разложения. Таким веществом может быть как компонент основного топлива двигателя, так и специальное средство газогенерации, запасенное только для этой цели на борту ракеты. Газогенераторы, в которых реализуется этот процесс, называются однокомпонентными. В дальнейшем их различают главным образом по виду разлагаемого вещества (перекисеводородные, гидразиновые, на твердом топливе и т.п.).
2. Сжигание жидкого топлива, состоящего из двух компонентов. Лучше всего использовать для этой цели основное топливо двигателя, так как при этом существенно упрощается его подача в газогенератор и улучшаются условия эксплуатации ракеты. Газогенераторы этого типа называются двухкомпо-нентными.
3. Испарение жидкости в тракте охлаждения камеры двигателя. При этом способе получения рабочего тела турбины одновременно решается и задача охлаждении стенок камеры двигателя. Газогенераторы этого типа называют парогенераторами, а схемы двигателей—безгенераторными. Схемы парогенераторов подразделяются на циркуляционные и со сменой рабочего тела. В первых произвольное рабочее тело (например, вода) циркулирует по замкнутому контуру «тракт охлаждения камеры — турбина — конденсатор — насос — тракт охлаждения камеры», превращаясь попеременно то в пар, то в жидкость в различных его частях. В схемах со сменой рабочего тела эта циркуляция отсутствует. Рабочее тело после турбины выводится из цикла. Очевидно, что непосредственный выброс отработавшего газа в атмосферу заметно ухудшил бы экономичность двигателя, так как удельная тяга выхлопных патрубков всегда меньше удельной тяги камеры двигателя. Чтобы устранить эти потери, в тракт охлаждения камеры обычно посылается один из компонентов топлива. После испарения и срабатывания в турбине он направляется в камеру двигателя, где и сжигается вместе со вторым компонентом. Таким образом, безгенераторные двигатели выполняются по схеме с дожиганием рабочего тела турбины.
По конструкции системы газогенерации значительно, отличаются друг от друга, но тем не менее в каждой из них можно выделить следующие общие основные элементы:
- газогенератор;
- топливоподающие устройства;
- автоматику.
В газогенераторе (иногда называемом реактором) непосредственно образуется рабочее тело турбины - газ или пар заданных параметров. Топливоподающие устройства обеспечивают поступление средств газогенерации (исходных веществ) в реактор. Автоматика осуществляет регулирование рабочего процесса, а также запуск и выключение газогенератора. Иногда (например, при работе на основном топливе) система газогенерации не имеет самостоятельных топливоподающих устройств. В этом случае питание газогенератора топливом обеспечивается системой подачи двигателя. В ЖРД нашли применение следующие типы газогенераторов (ГТ):
- твердотопливный (ТГГ);
- гибридный (ТГГ);
- однокомпонентный жидкостный (однокомпонетный ЖГГ);
- двухкомпонентный жидкостный (двухкомпонентный ЖГГ);
- испарительный жидкостный (испарительный ЖГГ);
- аккумулятор сжатого газа (АСГ).
Твердотопливный газогенератор. В качестве источника газа в ТГТ используется заряд твердого вещества, генерирующий при сгорании или разложении газ с заданными физико-химическими характеристиками. Один из образцов ТГТ приведен на рис.84.

Рис.84
Твердотопливный ГГ
1 —корпус ТГГ; 2 —воспламенитель; 3—пружина; 4-заряд;5,9-гайки;
б, 11— шайбы; 7-прокладка; 8- диафрагма; 10 —сопло; /2-крышка.
К веществам, используемым в ТГГ, предъявляют следующие основные требования: возможно большее значение RTпри конструктивно допустимых температурах, физическая и химическая стабильность при хранении и эксплуатации, способность устойчиво гореть при заданных температуре и давлении,
однозначность физико-химических свойств в партии зарядов, отсутствие или минимальное количество твердых частиц в газе, минимальное коррозионное и эрозионное воздействие газа на конструктивные элементы, минимальное отклонение параметров газа от расчетных при работе в заданном диапазоне температур окружающей среды и др.
Выбор состава твердого топлива. В состав заряда ТГГ в общем случае могут входить окислитель, горючее, замедлители горения, флегматизаторы (добавки, уменьшающие чувствительность составов к трению и удару), связующие вещества (органические полимеры, обеспечивающие механическую прочность спрессованных составов), вещества технологического назначения (например, растворители для связующих). Следует отметить, что одно и то же вещество может выполнять в составе заряда несколько функций, например связующие выполняют функцию горючего, а в некоторых случаях и замедлителей горения. Основой всякого состава является смесь окислителя с горючим.
Давление в камере ТГГ для заданной конструкции камеры и вида твердого топлива определяется газопроизводительностью заряда и расходом газа через критическое сечение сопла. Связь между этими параметрами определяется зависимостями, с помощью которых можно по заданному давлению в камере сгорания и поверхности горения заряда определить площадь сопла.
При проектировании нужно стремиться к снижению гидравлического сопротивления по газовому тракту и обеспечению его постоянства по времени. Наибольшая величина гидравлических сопротивлений обычно приходится на диафрагму, поддерживающую заряд. Через отверстия диафрагмы газ истекает в предсопловой объем. Гидравлическое сопротивление диафрагмы рассчитывают по общим формулам газодинамического расчета трактов. Обычно площадь сечений диафрагмы принимается в 3—5 раз больше площади сопла ТГГ. Рекомендуется, чтобы скорость течения газа не превышала 100—150 м/с.
Гибридный ТГГ. Работа гибридного ТГГ основана на введении во внутренний объем камеры ТГГ жидкого или газообразного окислителя, в результате взаимодействия которого с твердым горючим, находящимся в камере, генерируется газ. Преимущество гибридного ТГГ—возможность регулирования его газопроизводительности и параметров газа.
В качестве примера можно указать на гибридный ТТТ, у которого в качестве твердого горючего использована смесь «литий + полибутадиен»; в качестве жидкого окислителя - смесь фтора с кислородом. Этот ТГГ устойчиво работает в широком диапазоне изменения соотношения компонентов топлива (стехиометрическое соотношение 2,8) и обеспечивает генерацию газа как с избытком, так и с недостатком окислителя.
В системах с ТГГ иногда устанавливают фильтры и устройства для охлаждения и регулирования расхода газа. Фильтры используют для устранения твердых продуктов, образующихся при горении многих типов твердых топлив. Применяют фильтры динамического (сепарационного), сетчатого, а иногда комбинированных типов. В последнем случае грубая очистка осуществляется в сепараторе, мелкая - сетками. Расход газа можно регулировать путем установки клапанов сброса или регуляторов, изменяющих сечение сопла ТГГ, при этом потребное изменение площади сопла можно определить аналитическим путем.
Последнийспособ регулирования может обеспечить наиболее полное и эффек-тивноеиспользование всей массы заряда. Его конструктивное решение ослож-няетсятребованием создания малоинерционного регулятора, работающего в условиях термического и эрозионного воздействия продуктов сгорания твердотопливного заряда.
Однокомпонентный ЖГГ. Работа однокомпонентного ЖГТ основана на использовании компонента топлива, обладающего экзотермической реакцией разложения (перекиси водорода, гидразина, изопропилнитрата, аммиака, несимметричного диметилгидразина и др.). Основными условиями, определяющими возможность использования компонента топлива в однокомпонентом ЖГГ, являются: способность к каталитическому или термическому разложению; устойчивость протекания процесса разложения; постоянство давления, температуры, химического состава и др.). Температура газа на выходе из ЖГТ не должна превышать допустимую для конструктивных элементов, находящихся под воздействием газового потока. Разложение компонента топлива может осуществляться каталитическим или термическим методом. Каталитическое разложение осуществляется подачей компонента топлива на активную поверхность твердого катализатора, размещенного во внутреннем объеме ЖГТ или вводом жидкого катализатора в камеру ЖГТ. Последний способ разложения в современных двигателях применяется лишь для некоторых специальных целей, так как он влечет за собой усложнение схемы и увеличение массы ЖРД
В современных ЖРД среди однокомпонентных газогенераторов наибольшее распространение получили перекисеводородные, т. е. работающие на перекиси водорода Н2 О2 .- Обычно применяется ее водный раствор, содержащий не менее 80—85%- (по весу) перекиси водорода; из растворов меньшей концентрации образуется газ с низкой температурой (и работоспособностью).
В качестве катализаторов используются перманганаты щелочных металлов (NaMn04 , КМ1Ю4) или сетки из серебряной проволоки. Тепло, выделяющееся при разложении раствора перекиси водорода, затрачивается на испарение балластной воды и подогрев смеси паров воды и молекулярного кислорода, именуемой парогазом.
Кроме перекиси водорода однокомпонентными средствами газогенерации могут служить несимметричный диметилгидразин (НДМГ), гидразин, изопропилнитрат, окись этилена и другие вещества. НДМГ и гидразин используются в качестве компонентов основного топлива ЖРД, поэтому, применяя их как средства газогенерации, можно упростить конструкцию двигателя, повысить его надежность и облегчить эксплуатацию ракеты. НДМГ является эндотермическим соединением и при температуре, превышающей 350° С, способен быстро разлагаться, выделяя тепло, достаточное для нагрева продуктов разложения выше температуры начала интенсивного разложения (т. е. выше 350° С). Поэтому процесс разложения НДМГ, будучи возбужден, в дальнейшем может самоподдерживаться без дополнительного подвода тепла извне.
Использование гидразина в качестве однокомпонентного средства газогенерации также основывается на его способности к термическому разложению, причем распад гидразина сопровождается выделением такого количества тепла, которого вполне достаточно для того, чтобы поддержать процесс на
нужном температурном уровне. Важное преимущество гидразина по сравнению с другими однокомпонентными средствами газогенерации—отсутствие твердой фазы в продуктах разложения.
При термическом методе реакция протекает под действием тепла, получающегося за счет разложения ранее поступивших порций компонента топлива или подводимого от внешнего источника. Для запуска пусковой расход компонента топлива должен быть прогрет от постороннего источника тепла до температуры саморазложения (электросвеча, химический источник тепла и т. д.). Возможен изотопный подогрев, при котором во внутреннем объеме камеры ЖГГ размещают капсулы с радиоизотопом.
При расчете однокомпонентного ЖГТ задаются физико-химическими параметрами газа, потребным количеством катализатора, эффективным объемом и площадью смесительной головки ЖГТ. Параметры газа определяются на основании термодинамического расчета реакции разложения заданного компонента топлива.
Под эффективным объемом понимают внутренний объем ЖГГ (от головки до выходного сечения) за вычетом объема, занимаемого катализатором или тепловым аккумулятором. Потребное количество катализатора определяется условиями протекания реакции разложения и количеством разлагаемого компонента топлива.
Количество катализатора рассчитывают из условия обеспечения разложения секундного расхода компонента топлива
, Эффективный объем газогенератора определяется временем пребывания компонента в камере. Время пребывания в свою очередь определяется условиями протекания реакции разложения и находится экспериментально.
Двухкомпонентный ЖГГ. Работа двухкомпонентного ЖГГ основана на химической реакции между жидкими окислителем и горючим, подаваемыми во внутренний объем ЖГТ. Процесс горения топлива в двухкомпонентном ЖГГ протекает при таких значениях коэффициента избытка окислителя, при которых обеспечивается заданная температура газа на выходе из ЖГТ. Соответственно процесс в ЖГТ может проходить при избытке (восстановительные продукты ГГ) или недостатке (окислительные продукты ГГ) горючего. Выбор восстановительных или окислительных продуктов ГГ определяется конкретными задачами, решаемыми при проектировании ЖРД. При этом нужно учитывать, что величина RTвосстановительных продуктов ГТ, полученных из углеводородных топлив, при прочих равных условных выше RTокислительных. Применение окислительных продуктов ГТ обусловливает повышенные требования к коррозионной стойкости конструктивных элементов; при генерации восстановительного газа возможно наличие твердой фазы, вызывающей повышенный эрозионный износ конструктивных элементов, загромождение проходных сечений газовых трактов и т. п.
В результате отложения твердых продуктов неполного сгорания во внутреннем объеме ЖГГ может изменяться расчетное время пребывания газа в камере ЖГТ, условия смесеобразования и, как следствие этого, химический состав генерируемого газа.

Рис.85
Схемы двухкомпонентных ЖГГ
Огаосительно простым типом двухкомпонентного ЖГГ является одно-зонный, рис.85 а, в котором подвод компонентов топлива осуществляется только через смесительную головку 1. К недостаткам такого ЖГГ можно отнести сложность обеспечения устойчивого процесса горения, протекающего в условиях относительно низких температур. Указанного недостатка лишен многозонный газогенератор, рис.85 б. В этом газогенераторе имеются: смесительная головка 1, обеспечивающая подачу топлива для генерации высокотемпературного газа, пояс (пояса) разбавления 2, обеспечивающий подачу и смешение с высокотемпературным газом компонента топлива, находящегося в избытке. Конструкция, условия работы и методы расчета смесительной головки аналогичны головке камеры сгорания ЖРД. Соответственно внутренний объем таких ЖГГ делится на две зоны: горения и разбавления.
Рассматриваемый тип газогенератора позволяет: иметь в газогенераторе стабильный высокотемпературный очаг пламени (зону горения); организовывать наиболее эффективные образом ввод избыточного компонента топлива, обеспечивая тем самым минимальный объем зоны разбавления и равномерное поле температур по сечению газогенератора; подбирать объем зоны разбавления, обеспечивающий оптимальные параметры газа на выходе из газогенератора.
При проектировании двухкомпонентного ЖГГ рассчитывают объем ЖГГ, площади смесительной головки и пояса разбавления, смесеобразование и охлаждение.
В общем виде процесс газогенерации можно рассматривать как одновременное протекание взаимосвязанных процессов—горения и испарения топливных компонентов, идущих одновременно с разложением избыточного компонента топлива. Полнота реакций, протекающих при этих процессах, во многом зависит от организации рабочего процесса в ЖГГ и от времени пребывания в нем топлива.
В ряде случаев время пребывания топлива в ЖГГ оказывает определяющее влияние на химическое равновесие протекающей реакции, следовательно, на температуру и химический состав генерируемого газа. Например, для ЖГГ, вырабатывающего восстановительный газ, время пребывания, с одной стороны, должно быть достаточным для того, чтобы был завершен процесс частичного сгорания, испарения и разложения избыточного горючего, а с другой—при слишком большом времени пребывания и установлении химически равновесного процесса, из избыточного горючего могут образоваться побочные продукты с большой молекулярной массой (кокс, тяжелые смолы), что помимо снижения газовой постоянной может привести к загромождению газового тракта. Чтобы этого избежать, в ЖГГ, генерирующих восстановительный газ, иногда заведомо стремятся создать химически неравновесный рабочий процесс путем задания меньшего времени пребывания. Для каждого топлива при задан -ной температуре газа и конструктивном типе ЖГГ время пребывания подбирается экспериментально из условий получения наибольшего значения газовой постоянной и обеспечения стабильного протекания рабочего процесса.
При температуре газа порядка (1000—1200) К время пребывания топлива в однозонном ЖГГ - (0,004— 0,008) с.
Время пребывания топлива в зоне горения (0,002— 0,004) с.
Время пребывания в зоне разбавления определяется временем испарения избыточного компонента. В первом приближении при диаметре капель <60 микрон и температуре газа на выходе из газогенератора не меньше 1100 К можно принять время пребывания топлива в зоне разбавления (0,001-0,003) с.
Как уже отмечалось, в современных ЖРД применяются только такие двухкомпонентные газогенераторы, которые в качестве средств газогенерации используют компоненты основного топлива двигателя при соотношении между ними, далеком от стехиометрического.
На рис.86 изображены графики зависимости температуры Т, газовой постоянной Rи работоспособности (RT) продуктов сгорания топлива «керосин + HN03 » от коэффициента избытка окислителя а типичные и для других топ-лив.
Видно, что одна и та же температура То (порядка 1000—1300° К), приемлемая для рабочих органов турбины, может быть достигнута как при большом избытке горючего, так и при большом избытке окислителя. Образовавшийся из топлива с большим избытком горючего восстановительный генераторный газ при одной и той же температуре имеет существенно большее значение газовой постоянной R, чем окислительный, вследствие значительного количества составляющих с малым молекулярным весом (СО, Н и т. п.). Этот газ оказывает также слабое воздействие на большинство конструкционных
![]() |
| материалов, что дает возможность повысить предельно допустимое значение температуры до 1300° К. |
Рис.86
Графики зависимости Т, Rи RTот а
По этим причинам работоспособность восстановительного газа существенно выше, чем у окислительного. Кроме того, параметры восстановительного газа (R, Т) менее чувствительны к изменению а.
Это значит, что выходные параметры восстановительного газогенератора являются стабильными даже при не очень точном регулировании соотношения между компонентами топлива. Большой недостаток восстановительного газа состоит в том, что в нем обычно имеются сажа и смолообразные продукты, способные засорить проточную часть турбины и форсунки камеры (в схемах ЖРД с дожиганием генераторного газа).
Окислительный газ способен оказывать сильное окисляющее воздействие на металлы, что заставляет снижать предельно допустимое значение Г до 800—1000° К. Вследствие пониженной работоспособности окислительный газ характеризуется отсутствием в его составе смол и сажи, а также тем, что не воспламеняется на воздухе. Окислительный газ более целесообразен там, где этот недостаток может быть без большого ущерба для экономичности двигателя компенсирован увеличением его расхода, например в ЖРД с дожиганием генераторного газа. В этом случае использование окислительного газа увеличивает к тому же располагаемую мощность турбины, так как при прочих равных условиях расход окислителя всегда больше расхода горючего. Увеличивая же располагаемую мощность турбины, можно повысить давление в камере двигателя и тем самым увеличить его удельную тягу.
Восстановительный генераторный газ из-за его большой работоспособности чаще применяют в ЖРД с выбросом генераторного газа в атмосферу,
где потери энергии топлива на привод ТНА имеют существенное значение и поэтому расход рабочего тела турбины целесообразно уменьшать.
Вследствие большого избытка одного из компонентов топлива в двух-юмпонентном газогенераторе при любой схеме смесеобразования невозможно обеспечить равномерное температурное поле.
Это положение, очевидное в случае применения однокомпонентных форсунок, является справедливым также и при использовании двухкомпонент-кых форсунок, поскольку при их изготовлении всегда существует разброс размеров, соосности, чистоты обработки каналов и других факторов, влияющих наравномерность распределения жидкости в конусах распыла. Благодаря этому в газогенераторе образуются зоны с самым различным соотношением компонентов, .
В зонах с благоприятным (близким к стехиометрическому) соотношением компонентов горение протекает быстро и на высокотемпературном уровне. В зонах с неблагоприятным соотношением компонентов горение топлива происходит вяло или вообще не имеет места. Из этих зон смесь диффундирует в соседние зоны (зоны горения) и там перемешивается с продуктами реакции, вступая с ними в химическое взаимодействие, термически разлагается или просто подогревается и испаряется. В результате диффузионных процессов параметры газа постепенно выравниваются.
Испарительный ЖГГ. Принцип работы испарительного ЖГГ основан на газификации жидкости (в специальном теплообменном устройстве) путем подвода к ней тепла. В качестве такой жидкости может быть использован либо один из компонентов топлива, либо вещество, специально для этого предназначенное, запасы которого находятся на борту ЛА в отдельных емкостях.
Широкое применение в качестве испарительного ЖГГ систем наддува для криогенных топлив получил трубчатый змеевик, расположенный в выхлопном коллекторе турбины.
Аккумулятор сжатого газа. АСГ, являясь источником газа, может рассматриваться как ГГ, отличающийся той особенностью, что газ в нем не вырабатывается во время работы ЖРД, а запасен заранее и расходуется по мере необходимости. В настоящем разделе рассмотрена методика расчета указанных ГГ. В качестве исходных данных для расчета ГГ должны быть заданы вещества, служащие для получения газа; давление в топливных баках; температура газа на выходе из ГГ; секундный расход газа и допуски на его изменение; время работы и требования, предъявляемые к физико-химическим свойствам газа: кислородный баланс, наличие твердой или жидкой фазы степень равновесности химического состава газа на выходе ГГ и т. д.
9. Системы управления ЖРД
9.1. Система запуска ЖРД
Запуск двигательной установки является наиболее ответственным динамическим режимом её работы, во время которого параметры рабочего про-
десcaизеняются в широких пределах от нуля до номинальных значений; ем это изменение происходит очень быстро, вследствие чего трудно, а иногда невозможно воздействовать на процесс запуска. Во время запуска на конструкцию двигательной установки и ракеты воздействуют различные динамические нагрузки, к которым относятся тепловой удар, давление и ускорение. Этим можно объяснить тот факт, что наибольшее количество отказов и аварий двигательной установки появляется во время запуска.
Весь процесс запуска условно можно разделить на два периода:
- воспламенение топлива, поданного в камеру сгорания и газогенератор;
- выход двигательной установки на режим номинальных параметров.
Для безаварийного запуска необходимо обеспечить надежное воспламенение топлива, а также такое изменение параметров (в основном-давления в камере сгорания и газогенераторе) во времени, которое не приводило бы к большим перегрузкам, действующим на конструкцию, и взрывам. Процесс запуска начинается с открытия топливных клапанов. Компоненты топлива под действием сил давления насосов или гидростатических сил подаются в камеру двигателя с большими скоростями и в значительных количествах. Если не отработано воспламенение, то может произойти выброс компонентов топлива из камеры без воспламенения или, наоборот, воспламенение со взрывом. По этому в камере двигателя должен создаваться мощный источник тепла, способный зажечь движущееся топливо.
Температура воспламенения паров топлива, применяемого в ЖРД обычно не менее 300 °С. Такая температура может достигаться различными методами. В том случае, когда применяются самовоспламеняющиеся компоненты топлива, не требуется дополнительных источников тепла.
Самовоспламеняющиеся компоненты топлива при обычных температурах реагируют при контакте в жидкой фазе с выделением тепла, в результате чего обеспечивается разогрев и воспламенение. Такой вид воспламенения называется химическим.
Несамовоспламеняющиеся компоненты топлива требуют для испарения и воспламенения подвода тепла от внешнего источника. Воспламенение топлива с внешним подводом тепла называется термическим.
Термическое воспламенение характеризуется минимальной температурой, при которой развивается процесс воспламенения, и периодом задержки.
Период задержки воспламенения определяется временем от момента впрыска топлива в зону горения до момента появления пламени.
Для надежности запуска ЖРД в первую очередь должно быть гарантировано воспламенение топлива при минимально возможном времени выхода на режим. Сокращение времени выхода на режим позволяет уменьшить необходимый запас топлива, а, следовательно, уменьшить стартовый вес, что особенно важно для космических и баллистических ракет.
В некоторых случаях, кроме того, должна быть обеспечена возможность многократного запуска, запуска двигателя в высотных условиях или в условиях космического полета. Специфические требования к организации запуска возникают при запуске камер двигателей больших тяг.
В зависимости от характера выхода на режим принято различать плавный, ступенчатый и пушечный запуски.
Важными характеристиками запуска являются скорость нарастания давления в камере при запуске (dP/dt) и величина заброса (или пика) давления, т. е. величина отношения наибольшего давления в камере при запуске к номинальному.
Величины скорости нарастания давления и заброса давления характеризуют жесткость запуска. Чем больше эти величины, тем более жестким является запуск. На рис.87. приведены типичные графики изменения давления в камере сгорания при запуске. Запуск, протекающий в соответствии с кривой 3, очевидно, является наиболее жестким.
При больших значения dP/drи большом забросе давления появляется опасность разрушения и даже взрыва камеры, как вследствие потери ее прочности, так и в результате возникновения детонационного горения топлива.
Основное влияние на жесткость запуска оказывает время задержки воспламенения топлива t3 . Очевидно, чем больше значение т3 , тем больше успеет накопиться топлива до начала воспламенения и тем больше будет заброс даатения.

Рис87
Изменение давления в камере при запуске:
1 - плавный запуск; 2 - ступенчатый запуск; 3 - жесткий запуск;
t , - время задержки воспламенения
При плавном запуске воспламенение происходит при небольшом расходе топлива и с последующим сравнительно плавным нарастанием расхода топлива. Плавный запуск характерен для ЖРД малых и средних тяг с турбона-сосной системой подачи. При этом плавность нарастания расхода топлива обеспечивается за счет инерции ТНА. Продолжительность запуска определяется в основном временем выхода ТНА на номинальный режим («раскруткой ТНА»).
Ступенчатый запуск характерен введением промежуточной (или предварительной) ступени работы ЖРД и иногда целесообразен при запуске двигателей больших тяг. Необходимость введения промежуточной ступени обуслов-
лена тем, что с ростом тяги, а, следовательно, и мощности ТНА время, расходуемое на раскрутку ТНА (инерционность ТНА) уменьшается. В результате влияние инерционности ТНА на скорость нарастания давления становится ничтожным, так что запуск приходится смягчать введением промежуточного режима.
При запуске ЖРД, работающих на несамовоспламеняющихся компонентах, введение предварительной ступени обеспечивает прогрев камеры и образование надежного факела.
Пушечным называют запуск, при котором сразу подается полный расход топлива. В чистом виде пушечный запуск не применяется, так как при этом получился бы очень большой заброс давления в камере, поэтому в системе подачи или в головке двигателя всегда устанавливаются устройства, смягчающие запуск. Запуски, близкие к пушечному, возможны при использовании вытеснительных систем подачи.
9.2. Влияние условий запуска двигателя
Начальная температура топлива. Изменение начальной температуры приводит к изменению химической активности топлива, а также к изменению физических свойств, влияющих на перемешивание топлива при впрыске (вязкость, поверхностное натяжение). С уменьшением начальной температуры t3 увеличивается. Так, например, для топлива, состоящего из азотной кислоты и смеси фурфурилового спирта с анилином, при понижении температуры с -10 до -30 °С время задержки воспламенения увеличивается с 0,015 до 0,040 сек, т. е. более чем в два раза.
Начальное давление в камере сгорания. Вопрос о влиянии начального давления в камере на воспламенение очень важен при организации запуска двигателя в высотных условиях. Понижение давления приводит к увеличению t3 и, как следствие, к увеличению заброса давления при запуске. Некоторые самовоспламеняющиеся топлива при большом уменьшении давления могут вообще утратить способность к самовоспламенению. Такие условия могут, в частности, возникнуть при запуске двигателя в космосе, где давление окружающей среды равно нулю. Однако, в таких случаях топливо, поступающее в камеру с давлением близким к нулю, оказывается в перегретом состоянии. Происходит очень быстрая возгонка топлива и за счет образовавшихся паров давление в камере сгорания повышается.
Состав топлива. На величину t3 влияет как изменение соотношения компонентов топлива, так и наличие различных, иногда неизбежных (например, вода), а иногда специально вводимых разбавителей или добавок.
Наименьшее значение t3 ряда топлив не соответствует стехиометриче-скому соотношению.
![]() |
![]() |
Рис.88
Влияние состава топлива (а)
и опережения впрыска на
(б)
Так, например, для топлива «азотная кислота + 50% ксилидина и 50% фурфурилового спирта» изменение t3
при изменении коэффициента избытка окислителя
происходит, как показано на рис. а и минимальное значение
соответствует
=1,1.
Аналогичные графики можно получить и для других топлив. В каждом случае наименьшему значению
будет соответствовать свое а.
Различные добавки в топливе могут увеличивать или уменьшать
Так, например, увеличение содержания воды в азотной кислоте приводит к росту t3
.
Опережение подачи одного из компонентов.
В ЖРД трудно обеспечить одновременную подачу окислителя и горючего, запаздывание же одного из них может привести к увеличению, а иногда к уменьшению
Так, из графика изменения
в зависимости от опережения подачи t для топлива «азотная кислота + фурфуриловый спирт», рис.88 б, видно, что для данного топлива опережение подачи окислителя уменьшает
т. е. улучшает запуск. Величина рационального опережения подачи того или иного компонента зависит от состава топлива, а также от конструкции головки, так что для каждого топлива и конструкции головки имеется свой наиболее целесообразный порядок подачи компонентов.
Иногда при выборе опережения подачи горючего или окислителя учитывают также, что при догорании несгоревшей в камере части горючего за соплом двигателя образуется мощный факел.
Прочие влияния.
На t3и запуск двигателя, кроме указанных основных факторов, оказывают влияние также физические свойства топлива, перепад давления на форсунках dРФ
(увеличение dРФ
обычно уменьшает
), форма и объем камеры, количество подаваемого компонента (увеличение количества подаваемого топлива часто приводит к уменьшению
), многократность запуска и т. д.
149
9.3. Способы воспламенения горючих смесей
В классификации задач, возлагаемых на системы управления ДУ, задача воспламенения горючих смесей отнесена к обеспечению нестационарного процесса запуска двигателя и решается с помощью автономных систем воспламенения топлив в камерах и газогенераторах ЖРД.
Под системой воспламенения топлив предусматривается полный цикл мероприятий по организации не только начального этапа воспламенения компонентов топлива, но также и весь цикл обеспечения этого процесса без аномальных явлений (срывов горения, незапусков, пульсации, забросов давлений и других возможных видов отказов на этапе запуска).
Естественно, что принудительного воспламенения требуют несамовоспламеняющиеся топлива. Ими являются углеводородные горючие, работающие с кислородом или с азотнокислотными окислителями, а также кислородно-водородное топливо.
Существует несколько способов воспламенения горючих смесей.
Химический способ предусматривает на начальном этапе запуска использование самовоспламеняющихся компонентов топлива, которые запасают в трубопроводах или специальных емкостях перед камерами двигателя и отделяют их от основного топлива мембранами свободного прорыва. Запас пусковых порций самовоспламеняющегося топлива должен обеспечивать работу камеры на пусковом топливе, примерно равном 80 % времени запуска. Целесообразность применения этого способа ограничивается ДУ однократного включения.
Добавка триэтилбора или триэтилалюминия («2 — 3 %) к керосину обеспечивает надежное одно- и многократное его воспламенение с кислородом. Однако высокая токсичность этих добавок сдерживает их широкое практическое применение, так как токсичным становится не только горючее, но и продукты сгорания, содержащие эти добавки.
Пиротехнический способ воспламенения горючих смесей предусматривает установку на стартовых позициях внутрь камеры двигателя системы пирс-зарядов, одновременное срабатывание которых обеспечивает надежное воспламенение пусковой части топлива, рис.89. Число пирозарядов зависит от размеров камеры двигателя. Для одновременного воспламенения многокамерных двигателей в каждой камере должно быть размещено не менее шести зарядов, ориентированных друг относительно друга так, чтобы первый воспламенившийся заряд поджигал соседний с ним. Для обеспечения надежного воспламенения горючих смесей необходима определенная мощность тепловыделения в короткий промежуток времени, которая способна не только инициировать горение топлив, но и уменьшить начальную задержку его воспламенения.
Систему пирозарядов можно применять для многократного включения газогенераторов и камер двигателя. При этом число установленных зарядов будет определять число включений. Однако если не применять специальных мероприятий по теплоизоляции этих зарядов, то в процессе работы двигателя
![]() |
| или после его останова вследствие чрезмерного нагрева зарядов возможно их самопроизвольное срабатывание. |
Рис89
Система пирозарядов, обеспечивающая воспламенение топлива в камере двигателя на стартовых позициях
Предварительный нагрев элементов конструкции двигателей, использующих гидразин как монотопливо, примерно на 600 К способствует активному процессу саморазложения гидразина.
Термохимический способ воспламенения горючих смесей предусматривает организацию пускового факела с помощью специальной пусковой камеры (форкамеры), которая устанавливается на форсуночной головке двигателя, рис.90. Перед запуском основной камеры двигателя любым из способов воспламеняется пусковое топливо в форкамере. В частности, возможен вариант использования газов, отобранных из газогенератора питающего ТНА, для воспламенения пускового топлива. Возможно также применение в форкамере самовоспламеняющихся топлив или легковоспламеняющихся топлив («кислород + этиловый спирт»).
Для обеспечения надежного воспламенения топлива в камере требуется непрерывная работа запального факела для поддержания горения основных расходов топлива вплоть до установления номинального давления в основной камере двигателя. Для этого необходимо, чтобы давление подачи пускового топлива перед форсунками форкамеры всегда превышало давление в основной камере двигателя, а перепад давлений на сопле форкамеры всегда был сверхкритическим. Если основное топливо только пересекает пусковой факел или в него не попадает, то оно воспламеняется с большой задержкой, что сопровождается забросами и пульсациями давления и запуск становится ненадежным.
Для избежания аномальных явлений необходим такой пусковой факел, чтобы время пребывания в нем основного топлива было наибольшим, а его форма гарантировала попадание в пусковой факел всего основного топлива. Из всех возможных вариантов расположения форкамеры на основной камере для надежного воспламенения топлива должен быть принят вариант соосного расположения форкамеры с основной камерой двигателя. При этом профиль расширяющейся части сопла форкамеры обеспечивает полный контакт пускового факела с основным топливом (хотя продукты сгорания не во всех случаях могут следовать за профилем сопла).

Рис.90
Форкамерный способ воспламенения горючих смесей
Для более плавного запуска с форкамерным устройством больших камер двигателей в атмосферных условиях при включении основного расхода топлива предпочтительнее опережение подачи окислителя.
В современных ЖРД необходимая мощность тепловыделения для гарантированного воспламенения горючих смесей требует пусковых расходов для форкамерного устройства примерно на два - три порядка меньше, чем расходы основной камеры.
Форкамерные устройства для воспламенения горючих смесей по сравнению с другими способами имеют то преимущество, что могут быть включены и в период останова двигателя. Это способствует принудительному догоранию топлива, попадающего в камеру двигателя из заклапанных полостей после закрытия главных топливных клапанов.
Термоакустический способ воспламенения горючих смесей основан на эффекте разогрева газа в тупиковой полости при набегании на ее открытый торец струи холодного газа со сверхзвуковой скоростью, рис.91.

Рис.91
Принципиальная схема термоакустического устройства
для воспламенения горючих смесей:
1 - сверхзвуковое сопло; 2 - корпус; 3 - дренажная полость; 4 - цилиндрическая
тупиковая полость; 5 - реакционная полость; 6 - фланец крепления
Если подавать холодный газ через сопло 1 в открытый торец цилиндрической тупиковой полости 4, который затем дренируется через полость 3, то во внутренней полости цилиндра образуются колебания газа с частотой, соответствующей собственной акустической частоте цилиндрической тупиковой полости. Усиление амплитуд колебаний давления газа в цилиндре вызывается резонансом вынужденных и собственных колебаний в динамической системе «сопло — полость».
Турбулентное течение газов из сопла 1 со сверхзвуковой скоростью при встрече с неподвижной средой сопровождается широким спектром колебаний давления газа в струе. В этом спектре также содержатся колебания с частотой, равной (или близкой) частоте собственных акустических колебаний цилиндрической тупиковой полости. Колебания давления газа в набегающей струе являются вынужденными по отношению к собственным колебаниям цилиндрической тупиковой полости. Настройка динамической системы «сопло -полость», вызывающая резонанс этих колебаний, производится изменением расстояния «х» от сопла до открытого торца тупиковой полости. Таким образом определяется взаимное положение сопла и цилиндра, обеспечивающее сдвиг фаз между вынужденными и собственными колебаниями, равными (или близкими) 180°. При этом в цилиндре тупиковой полости устанавливается максимальная амплитуда колебаний давления колебаний газа. В результате усиления амплитуды колебаний газа в тупиковой полости цилиндра в каждой волне сжатия повышается температура газа и с течением времени за счет большой (собственной) частоты циклов колебаний в цилиндрической тупиковой полости температура одной и той же порции газа намного превышает температуру торможения газовой струи. В результате происходит разогрев стенок цилиндра и особенно закрытого торца тупиковой полости до температур, которые соответствуют установившемуся тепловому балансу цилиндра. Из опытов получено, что за время, приблизительно равное 50 с, торец тупиковой полости нагревает-
ся до 1ООО К; за время 100 с - до 1500 К и более, вплоть до расплавления материала тупиковой полости (если не будет организован теплоотвод). Использование термоакустического эффекта разогрева тупиковой полости от холодной струи газа состоит в том, что по достижении необходимой температуры нагреваемого цилиндра на его поверхность направляются пусковые порции несамовоспламеняющихся окислителя и горючего, которые воспламеняются на ней, а затем из реакционной полости 5 подаются в виде нагретых продуктов сгорания в основную камеру двигателя. В результате реализуется форкамерное устройство, которое крепится к форсуночной головке двигателя фланцем 6, представляющее собой автономный агрегат системы воспламенения топлив в камерах двигателя и газогенератора ЖРДУ. Работоспособность такого устройства обеспечивается при давлении подачи холодного газа в сверхкритическое сопло 1 в диапазоне (4 — 15) 105 Па при атмосферном противодавлении в дренажной полости 3.
Принципиально цилиндрическая тупиковая полость 4 может быть помещена в полость газогенератора или камеры двигателя без реакционной полости 5 и может служить нагревным источником воспламенения основного топлива.
Недостатком термоакустического способа воспламенения горючих смесей является низкая мгновенная мощность тепловыделения и низкий термический коэффициент полезного действия. Усиление мощности тепловыделения возможно путем многокаскадной подачи пускового топлива в реакционной камере форкамерного устройства, или за счет увеличения числа нагревательных цилиндров, помещенных в газогенераторы или камеры двигателя. Низкий термический КПД приводит к значительному расходу холодного газа.
Положительным свойством термоакустического устройства следует считать его полную независимость от характера протекания рабочих процессов в камере двигателя или газогенераторах. Нагревный цилиндр полностью изолирован от воздействия на него окружающей среды. Выполненный из жаропрочных и антикоррозионных материалов, он оказывается защищенным от агрессивной среды, нагарообразования, воздействия высоких и низких температур, давления и влажности окружающей среды и других внешних факторов.
Свойства автономности термоакустического устройства позволяют предполагать его преимущественное применение при низких начальных температурах окружающей среды (например в космических условиях) для надежного воспламенения несамовоспламеняющихся топлив и в низкотемпературных газогенераторах, использующих жидкий кислород и жидкий водород.
Электрические способы воспламенения горючих смесей предполагают применение высоковольтных искровых свечей и низковольтных свечей поверхностного нагрева.
Высоковольтная свеча искрового разряда получила широкое распространение в двигателях внутреннего сгорания и других атмосферных двигателях, и ее применение в ЖРД обусловлено естественной исторической преемственностью.
| Поскольку бортовая система питания электроэнергией располагает низковольтным источником постоянного тока, то для его преобразования в ток высокого напряжения необходимо применение специальных устройств. |

Рис.92
Принципиальная схема системы электрического зажигания горючих смесей
с помощью высоковольтной искровой свечи: 1 - искрогасящий конденсатор; 2 - источник питания постоянного тока; 3 - ключ зажигания, 4 - низковольтная обмотка преобразователя напряжения; 5 - подвижный контакт,6 - неподвижный контакт; 7 - пружина якоря; 8 - якорь; 9 - сердечник; 10 - высоковольтная обмотка преобразователя напряжения; 11 - резистор; 12 - контакт центрального электрода; 13 - корпус свечи; 14 - керамический вкладыш; 15 - керамический изолятор; 16 - центральный электрод свечи; 17 - боковой электрод свечи
На рис.92 показана принципиальная схема системы электрического зажигания горючих смесей с помощью высоковольтной искровой свечи. В состав этой системы входят источник питания, преобразователь напряжения и собственно свеча. При включении ключа зажигания 3 источник питания постоянного тока 2 через замкнутые с помощью пружины 7 подвижный 5 и неподвижный контакты 6 питает низковольтную обмотку преобразователя напряжения 4. Образовавшийся при этом магнитный поток замыкается через высоковольтную обмотку 10, которая по сравнению с обмоткой 4 имеет на три порядка больше витков. Образовавшийся от первичной обмотки магнитный поток проходит через якорь 8, как через магнитопровод. В результате якорь притягивается к сердечнику 9, расположенному между обмотками, и разрывает контакты 5 и 6 питания первичной обмотки. При этом магнитный поток резко падает, а вторичная обмотка 10, испытывая это изменение, генерирует импульс электрического тока с напряжением, пропорциональным соотношению обмоточных характеристик катушек 4 и 10. Этот импульс электрического тока с высоковольтной обмотки 10 подается на контакт центрального электрода 12 электрической свечи. Второй полюс обмотки соединен с корпусом свечи 13 (обычно через массу двигателя). Зазор между центральным электродом 16 и боковыми электродами 17 выбирается таким, чтобы был гарантирован искровой разряд (=1-2 мм). Для избежания пробоя между центральным электродом и корпусом свечи вне искрового промежутка центральный электрод защищен керамическим изолятором 15, а корпус — керамическим вкладышем 14.
При исчезновении магнитного потока пружина 7 замыкает контакты 5 я 6, с помощью которых включается питание обмотки 4, и все начинается сначала. Для гашения новообразования при срабатывании контактов 5 и 6 установлен конденсатор 1.
Для увеличения частоты автоколебаний сердечник 9, размещенный между обмотками 4 и 10, выполнен из трансформаторных пластин, что способствует в элементах системы преобразователя напряжений существенному снижению остаточного магнетизма. Параметры обмоточных характеристик катушек 4 и 10 подбираются так, что во вторичном контуре питания свечи реализуется напряжение, приблизительно равное 16000 — 20000 В. В каждом цикле автоколебаний в искровом промежутке свечи происходит электрический разряд, а за время включения контакта 3 реализуется серия электрических разрядов, мгновенная мощность которых способна воспламенить находящиеся в окрестностях электродов свечи компоненты топлива.
Рассмотренная электрическая система высоковольтной свечи имеет два существенных недостатка. Один из них связан с чрезмерно высоким напряжением, которое способствует самопроизвольному отеканию заряда в местах контакта проводника (на катушке 10 и центрального электрода 12 свечи). Особенно заметно самопроизвольное отекание электрического заряда в ионизированной и влажной атмосфере, при которой каждый импульс сопровождается коронным разрядом в контактных соединениях, а между электродами свечи мощность разряда настолько падает, что это может приводить к отказу зажигания топливной смеси. В местах касания проводника высокого напряжения массы двигателя возможен пробой его изоляции.
Второй существенный недостаток заключен в самой свече. При влажной атмосфере окружающей среды центральный и боковые электроды оказываются замкнутыми этой средой и искрообразование становится невозможным. При повторном запуске двигателя, использующего углеводородное горючее, в результате нагарообразования на части корпуса и керамическом изоляторе свечи (обращенных внутрь камеры двигателя или газогенератора) происходит частичное или полное шунтирование центрального и бокового электродов свечи по образовавшемуся нагару, которое вызывает ослабление мощности искрового разряда или полный отказ искрообразования. Несмотря на то, что в системе зажигания для частичной компенсации шунтирования нагаром электродов свечи предусмотрен резистор 11, повторные запуски двигателя, работающего на углеводородных горючих, затруднены (особенно в газогенераторах). Свеча высокого напряжения практически не пригодна для воспламенения топлив с окислителями на основе азотной кислоты, так как попадание окислителя на электроды свечи и особенно на керамический изолятор разрушают последние. Область целесообразного применения высоковольтных свечей вследствие недостатков, собственно касающихся свечей, определяется их применением лишь для воспламенения кислородно-водородных топлив.
Для устранения недостатков высоковольтной системы зажигания разработана и применяется в практике низковольтная свеча поверхностного нагрева.

Рис.93
Принципиальная схема системы электрического зажигания горючих смесей с помощью низковольтной свечи поверхностного нагрева:
1 - искрогасящий конденсатор; 2 - источник питания постоянного тока; 3 - ключ зажигания; 4 -низковольтная обмотка преобразователя напряжения; 5 - подвижный контакт, 6 - неподвижный контакт, 7 - пружина якоря; 8 - якорь; 9 - сердечник; 10 - высоковольтная обмотка преобразователя напряжения; 11 - полупроводник; 12 - конденсатор-накопитель заряда; 13 - газоразрядное уст-ройство; 14 - контакт центрального электрода; 15 - центральный электрод; 16 - керамический изолятор; 17 - корпус свечи; 18 - пластинка двуокиси титана
На рис.93 приведена принципиальная схема системы зажигания горючих смесей с помощью свечи поверхностного нагрева. Принцип действия преобразователя напряжения в этой системе остался тем же, что и в рассмотренной выше. Для этой части системы на рис.93 сохранена та же нумерация составляющих эту часть элементов, что и на рис.92 (позиция с 1 по 10).
Существенная разница рассматриваемой системы по отношению к предыдущей начинается с того, что соотношение обмоточных характеристик катушек 4 и 10 преобразователя напряжения выполнено так, что напряжение высоковольтной катушки на порядок меньше, чем в предыдущей системе, и составляет примерно 1500 — 3000 В.
В цепи электрического питания свечи установлен полупроводник 11. конденсатор-накопитель заряда 12 (емкостью примерно 10 мкФ) и газоразрядное устройство 13, которое наполнено парами ртути либо инертным газом (неоном или аргоном). Если в предыдущей системе каждый импульс электрического тока с катушки 10 поступал на свечу, то в рассматриваемой системе этому препятствует газоразрядное устройство, которое может проводить ток только при достижении определенного напряжения (напряжения зажигания газоразрядника Uзаж )- Выключение газоразрядного устройства происходит при несколько более низком напряжении, чем его зажигание (напряжении потухания газоразрядника Un от ). Функционально газоразрядник 13 в цепи питания свечи работает как двухпозиционный ключ, пропуская на центральный электрод свечи электрический ток в диапазоне напряжений Uзаж >=U>=Uпот . Напряжение, подаваемое в высоковольтную сеть со стороны катушки 10, заведомо меньше напряжения Uзаж и при выключенном газоразряднике через полупроводник 11 питает конденсатор 12. В каждом цикле автоколебаний преобразователя напряжений конденсатор получает электрическую энергию и накапливает в себе электрический потенциал, так как его разряду, с одной стороны, препятствует полупроводник, а с друтой, — газоразрядник. Как только напряжение на
обкладках конденсатора становится равным напряжению Uзаж , включается газоразрядное устройство и пропускает ток на свечу. С этого момента свечу питает конденсатор, на котором напряжение начинает падать. Как только оно становится равным напряжению Uпот , газоразрядное устройство перестает проводить ток и конденсатор снова заряжается и весь цикл повторяется сначала. На рис.94 этот процесс показан в виде зависимости напряжения на обкладках конденсатора Uконд времени.
Поскольку конденсатор в цепи активного электрического сопротивления обладает свойством инерционного звена, то нарастание и спад напряжения происходят во времени по экспоненциальной кривой. Из рис. видно, что после некоторого пускового периода в высоковольтной части системы устанавливаются собственные автоколебания напряжения. Их частота определяется соотношением напряжений срабатывания газоразрядника и емкостью конденсатора. В реально выполненных системах частота автоколебаний напряжения в высоковольтном контуре находится в диапазоне 100- 150Гц.
Низковольтная свеча поверхностного нагрева также имеет существенное отличие от высоковольтной искровой свечи, рассмотренной выше. В ее корпусе 17 размещен керамический изолятор 16, внутри которого находится центральный электрод 15. Рабочая часть свечи представляет собой коническую пластинку 18 шириной примерно 2—3 мм, через которую центральный электрод соединен с корпусом. Эта пластинка выполнена из двуокиси титана (ТiO2 ).
![]() |
![]() |
Рис94
Процесс установления автоколебаний напряжения в высоковольтном контуре свечи поверхностного накаливания
Рис.95
Зависимость электрического сопротивления двуокиси титана от изменения температуры
Двуокись титана обладает тем свойством, что при ее нагреве в восстановительной среде происходит частичное восстановление Ti02 , которое сопровождается появлением в материале избытка металлических ионов. Вблизи ионов локализуются слабо связанные с ним электроны. При увеличении температуры связь электронов с ионами нарушается. Количество электронов резко возрастает. Соответственно резко увеличивается проводимость материшга и падает его внутреннее электрическое сопротивление, рис.95. В результате этого двуокись титана приобретает свойство электрической проводимости, которая возрастает с увеличением температуры. Падение внутреннего сопротивления ма-
териала приводит к увеличению силы пропускаемого тока, а это в свою очередь
— к последующему возрастанию температуры материала и т. д.
Таким образом, при каждом цикле питания свечи током высокого на-пряжения пластинка с двуокисью титана разогревается и примерно на пятом цикле происходит гарантированное воспламенение горючих смесей вблизи разогретой пластинки.
Свеча поверхностного нагрева стойка по отношению ко всем окислителям, но для быстрого нагрева предпочтительно наличие вблизи свечи восстановительной среды (избытка горючего). Мгновенная мощность тепловыделения свечи составляет примерно 40 тыс. Вт, средняя потребляемая первичной катушкой мощность преобразователя напряжения — примерно 300 Вт, полезный коэффициент использования энергии - примерно 0,8.
Недостатком этого способа является сравнительно малая тепловая мощность электрической свечи. Поэтому часто при применении электрического зажигания с помощью свечи воспламеняют топливо при небольшом расходе в форкамере, где создается дежурный факел, от которого уже происходит воспламенение компонентов при основном расходе. Кроме того, для обеспечения электрического зажигания необходим источник электрической энергии, который не всегда имеется на летательном аппарате. Электрическое зажигание удобно использовать в камерах многоразового действия и многократного запуска.
Для воспламенения некоторых топлив (например, перекиси водорода) возможно использование каталитических поверхностей, способствующих возникновению реакции.
9.4. Остановка двигателя
Требования к последовательности остановки ЖРД определяют, назначением. При этом предусматривается либо остановка двигателя полной выработкой компонентов из баков, либо принудительная остановка путем закрытия в заданный момент отсечных клапанов топлива.
Работа двигателя до полной выработки компонентов применяется на ЗУРах, торпедах и в некоторых случаях на начальных ступенях многоступенчатых ракет.
Принудительная остановка двигателя необходима на баллистических или космических ракетах, когда двигатель должен прекратить работу в заданный момент, например при достижении ракетой определенной скорости. При этом часто двигатель сначала переводится на режим меньшей тяги, а затем полностью отключается. Для прекращения подачи топлива используются пневмогидравлические или пиротехнические отсечные клапаны. Важным критерием качества принудительной остановки двигателя является величина так называемого импульса последействия.
9.5. Система управления направлением вектора тяги
Для создания направляющих моментов и усилий в ЖРД используются следующие мероприятия:
- подвижные элементы, устанавливаемые в газовом потоке, истекающем из сопла;
- камеры, устанавливаемые на шарнирном или карданном подвесе;
- рулевые двигатели;
- поворотные сопла;
- впрыск жидкости или вдув газа в расширяющуюся часть сопла;
- изменение тяги отдельных камер многокамерного двигателя.
Подвижные элементы установленные в газовом потоке, истекающем из сопла

Рис.96
Газовые рули
А) газовые рули - подвижные элементы управления вектором тяги, постоянно находящиеся в газовом потоке, как правило, на срезе сопла, управляемые с помощью рулевых машинок (РМ). Материал газовых рулей представляет графито-металло-полимерную композицию, получаемую методом порошковой металлургии. Применение газовых рулей для изменения направления вектора тяги обеспечивает достаточно широкий диапазон управляющих воздействий, рис.96.
К недостаткам указанной конструкции необходимо отнести:
- повышенные значения гидравлических потерь, обусловленные торможением газового потока;
- высокие значения термопрочности материала газовых рулей;
- работа элементов управления газовыми рулями в условиях высоких
температур.
![]() |
Рис.97
Дефлекторы
Б) Дефлекторы - представляют собой насадки конической или цилиндрической формы, устанавливаемые на выходное сечение сопла. Создание управляющего воздействия обеспечивается поворотом насадка, с помощью расположенных под 90 градусов рулевых машин, рис.97.
![]() |
а)
Рис.98
Триммеры: а) интерцепторы; б) заслонки
б )
В) Триммеры
Представляют собой наиболее сложную систему обеспечения управляющих воздействий, за счет подвижных элементов. Триммеры- щитки, выдвигаемые в газовый поток на срезе сопла, только в процессе создания управляю-
щих воздействий. Если щитки, выдвигаемые в поток, ориентированы своей плоскостью перпендикулярно истекающей струе, то они называются интерцеп-торами, рис.98 а, а если параллельно (вдоль потока) - заслонками, рис.98 б.
Камеры, устанавливаемые на шарнирном или карданном подвесе
А) шарнирный подвес позволяет отклонять камеру в какой либо одной плоскости. Если двигательная установка состоит из четырех, установленных на шарнирном подвесе камер, то их подвесы могут быть закреплены на общей раме, при этом оси подвесов должны пересекаться в ее центре, рис.99. Такая установка камер позволяет создавать силы и моменты для управления ракетой по углам тангажа, рыскания и крена; например, для управления по крену все четыре камеры должны быть повернуты в одну сторону по окружности.
Вид А

Рис.99
Схема расположения камер четырехкамерного двигателя с их установкой на шарнирном подвесе
Б) карданный подвес является более эффективным, но и более сложным. Его применение позволяет отклонять камеру одновременно в двух взаимно перпендикулярных плоскостях, при этом продольная ось камеры может занять любое положение в некотором конусе, рис.100. При карданном подвесе одной камеры достаточно, чтобы управлять по углам тангажа и рыскания. Управление по крену обеспечивается отдельной системой. Если на двигательной установке имеются две камеры, установленные на карданном подвесе, то они обеспечивают управление ракетой по углам рыскания, тангажа и крена.

Рис.100
Карданный подвес камеры ЖРД
Рулевые двигатели
Рулевые, управляющие или верньерные двигатели - это дополнительные двигатели, устанавливаемые на шарнирном или карданном подвесе, как правило, в аэродинамических рулях (стабилизаторах), рис. 101. Рулевые двигатели могут работать как непрерывно, так и в импульсном режиме; подача топлива в рулевые двигатели может осуществляться с помощью основного или вспомогательного ТНА.
Рис. 101 Рулевые двигатели |
Рулевые двигатели усложняют схему и конструкцию двигательной установки, снижая в некоторой степени ее надежность.

163
Поворотные сопла
В конструкдии ЖРД без дожигания генераторного газа для создания управляющих воздействий, могут быть использованы поворотные сопла, рабочим телом для которых является генераторный газ, отбираемый от турбины.
Возможны следующие варианты таких сопел.
1. Один или два выхлопных патрубка турбины оканчиваются соплом, которое крепится к ним с помощью шарнирного или карданного подвеса.
2. К выхлопному коллектору турбины подсоединяется выхлопной патрубок, с которым соединены трубопроводы с газораспределителями, оканчивающиеся соплами. При этом минимальное количество сопел для управления ракетой по углам рыскания, тангажа и крена равно шести (по два сопла на каждое направление возможной эволюции ракеты ), рис.102.

Рис.102
Рулевая система двигателя РД- 119: 1 - газораспределитель крена, 2, 5, 6 -электроприводы; 3 - пироклапан; 4 - выхлопной трубопровод; 7 - газораспределитель рыскания; 8 - газораспределитель тангажа; 9, 11, 13, 14, 15, 18, 19,20-сопла; 10, 12,16,17,21 - кронштейны
Впрыск жидкости или вдув газа в расшир яющуюся часть сопла
Для создания сравнительно небольших управляющих воздействий и сил можно вводить рабочее тело в расширяющуюся часть сопла через отверстия (сопла), расположенные в стенке сопла, рис.103. Четырехсопел достаточно, чтобы создавать боковые управляющие силы по тангажу и рысканию. Сопла каждого квадранта вступают в работу после открытия клапана установ- ленного на трубопроводе, который подводит жидкость или газ.
При вводе рабочего тела через сопло газ или пары жидкости поступают в поток продуктов сгорания. На участке сопла перед местом ввода рабочего тела обеспечивается торможение части потока, устанавливается фронт косого скачка и образуется зона повышенного давления. В результате этого истекающая струя продуктов сгорания отклоняется от осевого направления и возникает боковая сила, направленная в сторону сопла, через которое вводится рабочее тело.
В качестве газообразного рабочего тела могут быть использованы:
газы (азот, аргон, гелий и т.д.), обеспечивающие предварительный наддув баков с основными компонентами топлива;
генераторный газ;
продукты сгорания, перепускаемые из камеры сгорания или сажающейся части сопла.

Рис.103
Газодинамическая система управляющих моментов и сил
Изменение величины тяги отдельных камер многокамерного двигателя
Если изменить величину тяги жестко закрепленных диаметрально расположенных двигателей, входящих в состав двигательной установки, то можно создать управляющий момент относительно центра масс ракеты и обеспечить ее разворот в плоскостях тангажа и рыскания.
9.6. Система регулирования величины вектора тяги ЖРД
Величина тяги ЖРД определяется расходом топлива в камеру. Расход, а, следовательно, и тягу можно изменять варьируя:
а)при вытеснительной подаче - давление в баках компонентов топли
ва;
б) при насосной подаче - частоту вращения вала ТНА;
в)при вытеснительной и насосной подаче - регуляторами расхода, ус
танавливаемыми на магистралях перед камерой (для вытеснительной подачи) и
управляемыми приводами.
Основными условиями обеспечения устойчивого и плавного горения при снижении тяги двигателя являются одновременное сохранение перепада давления на форсунках и давления продуктов сгорания в камере.
Условие поддержания постоянства перепада давления на форсунках при работе двигателя с изменяющейся тягой осуществляется варьированием: числа форсунок, через которые компоненты топлива впрыскиваются в камеру сгорания; площади проходного сечения форсунки: плотности компонентов топлива (путем их насыщения газом); коэффициента соотношения компонентов топлива km .
Если различная величина тяги ЖРД с насосной системой подачи обеспечивается изменением частоты вращения насосов компонентов топлива, то турбина ТНА должна иметь систему, управляющую её мощностью. Нашли применение температурный, расходный и смешанный способы изменения мощности турбины ТНА.
Температурный способ применяется для двухкомпонентных ЖГТ; он
состоит в изменении температуры генераторного газа, подаваемого на турбину,
для чего на одной из магистралей питания газогенератора устанавливают регу
лятор расхода с электро - или гидроприводом, позволяющим увеличивать или
уменьшать расход одного из компонентов в ЖГГ, а, следовательно, и коэффи
циент соотношения km
для газогенератора.
Расходный способ состоит в изменении расхода газа через турбину при поддержании его постоянной температуры, что обеспечивается постановкой на подающих магистралях ЖГТ регуляторов расхода со специальными стабилизаторами, поддерживающими неизменным величину km .
При смешанном способе изменения мощности турбины одновременно изменяются и турбина и расход газа, подаваемого в камеру.
9.7. Основные направления совершенствования ЖРД
1. Применение перспективных жидких ракетных топлив.
а) повышение плотности компонентов (жидкий кислород и водород в «шугообразном» состоянии; кислород и водород в состоянии, соответствующем их тройной точке; углеводородные горючие из отходов и побочных продуктов нефтехимического производства);
б) повышение энергетических характеристик теплив (использование топлив на основе фтора, металлосодержащих горючих, трехкомпонентных топлив).
2.Разработка новых схем ЖРД и ДУ.
А) ЖРД с кольцевой камерой и соплом с центральным тел
б)двухтопливные ЖРД (один окислитель и два горючих, последова
тельно подаваемые в камеру ЖРД, например, « (О2
)ж + керосин » и « (О2
)ж +
(Н2
)ж>>);
в)ЖРД линейной конструкции, в которых камера и сопло имеют пря
моугольное сечение.
3.Уменьшение габаритных размеров.
А) переход на повышенные значения давления в камере;
б)использование рациональных компоновок двигателя;
в)усовершенствование конструкции агрегатов (использование камер с
центральным телом и т.д.).
4.Снижение массы ДУ.
а)использование конструкционных и композиционных материалов по
вышенной прочности;
б)использование передовых технологий производства;
в)интенсификация методов охлаждения камеры сгорания.
5. Обеспечение простоты и удобства эксплуатации, снижение времени подготовительных работ при запуске.
6. Повышение уровня надежности, ресурса и безопасности работы
ДУ.
а)обеспечение эксплуатационной технологичности конструкции:
б) резервирование работы наиболее ответственных агрегатов;
в)испытание материалов, систем и агрегатов с имитацией эксплуата
ционных условий;
в) использование перспективных стратегий технического обслуживания и ремонта.
7.Снижение стоимости и времени конструкторско-технологической
стадии создания ДУ
а)унификация основных узлов и агрегатов;
б)разработка систем, обеспечивающих спуск нижних ступеней раке
тоносителей.
Литература
1. Болгарский А.В. Рабочие процессы в ЖРД. М: Высшая школа. 1990. 282 с.
2. Добровольский М.В. Жидкостные ракетные двигатели. М.: Машиностроение, 1968. 395 с.
3. Володин В.А., Ткаченко Ю.Н. Конструкция и проектирование ракетных двигателей. М.: Машиностроение, 1984, 273 с.
4. Козлов А.А., Новиков В.Н., Соловьев Е.В. Системы питания и управления ЖРДУ. М.: 1988. 286 с.
5. Овсянников Б.В., Боровский Б.И. Теория и расчёт агрегатов питания ЖРД. М.: Машиностроение, 1979, 343 с.
6. Ракеты - носители / под ред. Осипова СО. М.: Воениздат, 1981, 314 с.
ОГЛАВЛЕНИЕ
1.
Принцип работы реактивного двигателя. Основные понятия и
определения
.................................................................... .........
1.1. Принцип создания реактивной силы...............................
1.2. Классификация ракетных двигателей (РД)........................... 4
1.3. Тяга ракетного двигателя.................................................. 6
1.4. Мощностные параметры ракетных двигателей.................... 8
1.5. Удельные параметры ракетных двигателей,........................ 8
2. Формула Циолковского и её практическое применение ........... .. 10
2.1. Идеальная скорость и массовые характеристики ракеты....... .. 10
2.2. Относительные массовые характеристики субракет............ .. 11
2.3. Формула Циолковского.................................................... 12
3. Рабочий процесс в химических ракетных двигателях ............ 13
3.1. Аэродинамический нагрев в полете.................................... 13
3.2. Реакции химически активных газов.................................... .. 15
3.3. Потери в химических ракетных двигателях........................ .. 16
3.4. Скорость истечения газов из сопла ракетного двигателя....... .. 17
3.5. Оценка эффективности процессов в химических ракетных двигателях19
4 Характеристики ракетного двигателя ...................................... .. 20
4.1. Дроссельная характеристика ракетного двигателя............... 20
4.2. Высотная характеристика ракетного двигателя.................... .. 23
4.3. Режимы работы сопла...................................................... .. 24
4.4. Влияние высотности сопла на протекание высотной
характеристики.............................................................. .. 25
5. Общие сведения о ЖРД .......................................................... 26
5.1. Системы космических летательных аппартов....................
5.2. Классификация и схемы ЖРД........................................... 29
5.3. Общие сведения о жидкостных ракетных топливах (ЖРТ). Классификация ЖРТ33
5.4. Требования, предъявляемые к ЖРТ................................... 37
5.5. Перспективные ЖРТ......................................................... 41
6.
Основные конструктивные элементы камер ЖРД.
Топливные баки
.................................................................... .. 45
6.1. Особенности условий работы и конструкции камеры ЖРД....45
6.2. Особенности проведения прочностного расчета камер ЖРД...49
6.3. Требования, предъявляемые к камерам ЖРД....................... . 50
6.4. Выбор материала для камер ЖРД...................................... 51
6.5. Формы камер ЖРД........................................................... 52
6.6. Головки камер ЖРД и их конструкция................................ 57
6.7. Конструктивные особенности выполнения систем охлаждения камер сгорания60
6.8. Потери в соплах ракетных двигателей................................ .. 68
6.9. Схемы сопел ЖРД............................................................ .. 69
6.10.Кольцевые сопла............................................................ .. 73
б.11. Требования, предъявляемые к распиливающему устройству
ЖРД........................................................................................................ 75
6.12. Типы топливных форсунок.............................................................. 78
6.13. Способы размещения топливных форсунок на плоских
головках камеры ЖРД...................................................................... . 86
6.14. Назначение, схемы и конструктивные особенности
топливных баков................................................................................ . 88
7.Система охлаждения камер ЖРД ......................................................... .. 91
7.1. Физическая картина теплообмена в камере ЖРД....................... 91
7.2. Распределение плотности теплового потока по длине
камеры ЖРД......................................................................................... 93
7.3.Классификация систем охлаждения ЖРД. Внешнее
охлаждение............................................................................................ 94
7.3. Требования, предъявляемые к внешнему (наружному)
охлаждению......................................................................................... 95
7.5. Внутреннее охлаждение.................................................................. 96
7.6. Система теплозащитных покрытий (ТЗП)................................... 98
8.Система подачи компонентов топлив ................................................. .. 104
8.1. Турбонасосная система (ТНС) подачи компонентов
топлива.................................................................................................. 104
8.2. Компоновочные схемы ТНА............................................................. 104
8.3. Устройство центробежного насоса................................................ 106
8.4. Крыльчатки насосов.......................................................................... 107
8.5. Уплотнения крыльчаток..................................................................... 109
8.6. Основные параметры насосов......................................................... 109
8.7. Характеристики насосов.......................................... ........................ 112
8.8. Кавитация.............................................................................................. . 117
8.9. Предвключенные насосы.................................................................. ,121
8.10. Зависимость мощности и к.п.д. насоса от его объёмной производительности '122
8.11. Турбина ТНА........................................................................................ .123
8.12. Классификация турбин...................................................................... 130
8.13. Основные параметры турбины....................................................... . 135
8.14. Требования, предъявляемые к газогенераторам....................... 136
8.15. Классификация газогенераторов................................................... 137
9.Системы управления ЖРД ....................................................................... 145
9.1. Система запуска ЖРД......................................................................... 145
9.2. Параметры, влияющие на запуск ЖРД.......................................... 148
9.3. Способы воспламенения горючих смесей.................................... . 150
9.4. Остановка двигателя........................................................................... . 159
9.5. Система управления направлением вектора тяги...................... . 160
9.6. Система регулирования величины вектора тяги ЖРД.............. 166
9.7.Основные направления совершенствования ЖРД....................... 166
Литература .............................................................................................................. 168
В. Г. Попов
H.Л Ярославцев
ЖИДКОСТНЫЕ РАКЕТНЫЕ ДВИГАТЕЛИ
Под редакцией Н.Л. Ярославцева
Лицензия ЛР 20447 от 17.04.97


























































