| Скачать .docx | Скачать .pdf |
Реферат: Синхротронное излучение: из рук физиков - в руки врачей
В.Г. Недорезов, д.ф.-м.н., зав. лаб. фотоядерных реакций Ин-та ядерных исследований РАН.
Название “синхротронное излучение” (СИ) связано с его источником -кольцевым ускорителем электронов (синхротроном), в котором электроны движутся по окружности в магнитном поле. Круговое движение приводит к тому, что электрон испытывает центростремительное ускорение, за счет чего и возникает СИ, которое можно получать в инфракрасном и видимом диапазонах, а можно в рентгеновском. Это зависит от энергии электронов и величины магнитного поля.
О пользе синхротронного излучения
Первый в Европе синхротрон был создан в Физическом институте АН СССР под руководством академика В.И.Векслера в 1946 г. Следующий важный шаг был сделан в 1960-х годах (и тоже в России) академиком Г.И.Будкером с сотрудниками, создавшими электронный накопитель, способный работать без инжекции пучка в течение длительного времени. Сначала синхротронное излучение рассматривалось как вредный эффект, мешающий ускорению частиц высоких энергий (потери на синхротронное излучение - порядка одного процента от полной мощности пучка электронов в накопителе). Однако в скором времени (примерно в 70-х годах) на базе электронных накопителей высоких энергий появились специализированные источники СИ, и, как это часто бывало, фундаментальные разработки дали мощный импульс различным прикладным применениям, в частности в медицине. Электронные накопители привлекательны также своей относительной экологической безопасностью. Здесь дело в том, что основную опасность в плане радиации несут частицы высокой энергии (электроны), которые излучают СИ. А в накопителе электроны остаются внутри замкнутого вакуумного объема и не выходят наружу, поэтому их радиационная опасность минимальна. Само по себе СИ в рентгеновском, а тем более в видимом диапазонах опасно не более, чем излучение от рентгеновской трубки, с которой врачи уже давно научились работать.
Несмотря на повсеместное развитие рентгеновских методов диагностики, следует признать, что они не лишены недостатков. Во-первых, качество рентгеновских снимков (их контраст) не всегда удовлетворяет врача. Контраст определяется различием плотности и атомного веса исследуемых объектов, которое для биологических тканей сравнительно невелико. Поэтому, например, распознать опухоль в организме человека на ранней стадии ее образования совсем непросто.
Во-вторых, доза облучения при тщательном обследовании может оказаться довольно значительной. Это связано с тем, что обычное рентгеновское излучение имеет непрерывный спектр, а для просвечивания желательны монохроматические фотоны с определенной энергией, соответствующей толщине и плотности объекта. В итоге большая часть фотонов не приносит пользы, а только увеличивает дозу облучения. Попытки монохроматизировать спектр с помощью фильтров или монохроматоров приводят к уменьшению интенсивности пучка фотонов и, соответственно, к увеличению времени экспозиции. При этом рентгеновские трубки становятся очень громоздкими и трудными в эксплуатации. Большинство перечисленных проблем можно решить, если воспользоваться источниками СИ в рентгеновском диапазоне.
Достоинство СИ заключается не только в высокой интенсивности, но и в том, что оно имеет малую угловую расходимость. Поэтому, кроме обычного метода поглощения, для получения изображений можно использовать рефракцию (преломление) или рассеяние фотонов на границах раздела сред. При этом оказывается, что рефракция более чувствительна к изменению плотности среды, чем поглощение. Благодаря этим уникальным параметрам использование СИ весьма эффективно в различных диагностических процедурах, например в ангиографии, маммографии, денситометрии, - то есть там, где требуется высокое качество снимков. В результате становится возможной диагностика онкологических заболеваний на ранней стадии их развития.
Помимо диагностики, в медицине важное значение имеют терапевтические методы использования излучений, особенно при лечении онкологических заболеваний. Но не секрет, что обычные электронные или рентгеновские пушки поражают не только больные, но и здоровые ткани. Использование СИ, как будет показано ниже, может существенно помочь решению этой проблемы.
В 2001 г. введен в строй первый в России специализированный источник СИ. Он находится в Российском научном центре “Курчатовский институт” (РНЦ КИ) и предназначен для исследований в области рентгеновского излучения с энергией до 30-40 кэВ. На его базе в 2004 г. под руководством члена-корреспондента РАН М.В.Ковальчука создан центр коллективного пользования - Курчатовский центр синхротронного излучения и нанотехнологий, в задачу которого входит проведение исследований на СИ по многим направлениям науки и технологии, в том числе и развитие медицинских приложений.
Для того, чтобы получить синхротронное излучение в рентгеновском диапазоне, энергия электронов должна быть достаточно велика (несколько миллиардов электронвольт). Диаметр кольца в таком случае составляет сто и более метров. Например, на Курчатовском источнике СИ, который относится к источникам 2-го поколения, энергия электронов равна 2.5 ГэВ. В мире уже построены источники третьего поколения (European SYNchrotron Radiation Facility, ESRF, во Франции, Sрring-8 в Японии), которые в несколько раз превосходят его по времени жизни пучка, по энергии и интенсивности, а также угловой расходимости. Деление на поколения достаточно условное, но по основным параметрам источники разных поколений различаются примерно на порядок. Например, у первых источников время жизни электронов в кольце составляло около часа, у второго поколения - 10 ч, у третьего приближается к 100 ч.
Тематика работ по медицине с использованием СИ значительно шире, чем будет рассмотрено здесь. Сюда можно отнести разнообразные биологические исследования, расшифровку структуры белка, создание новых лекарственных препаратов и многое другое. Однако мы опускаем эти вопросы, сделав упор на применении СИ в практической медицине. Более того, сконцентрируемся на тех задачах, решению которых лучше всего соответствуют возможности первого в России специализированного синхротронного источника в РНЦ КИ.
Лучи диагностируют…
Сразу после открытия К.Рентгеном Х-лучей (1895) началось их практическое использование в медицине, главным образом для получения изображений внутренних органов. Впоследствии очень важную роль сыграло появление компьютеров, способных обрабатывать большой объем информации, которая заключена в рентгеновских снимках, а также детекторов для регистрации рентгеновских квантов. В результате были созданы рентгеновские компьютерные томографы, позволившие получать трехмерные изображения с высоким пространственным разрешением.
Клинические применения рентгеновского излучения разнообразны [1]. К ним относятся коронарная ангиография и микроангиография, лимфография, томография мозга и сосудов, денситометрия костей, микроэлементный анализ и многое другое. Эти же направления, но на более высоком по отношению к современной практике уровне, развиваются на источниках синхротронного излучения в Брукхэвене (США), КЕК в Цукубе (Япония) и других центрах [1]. Более высокий уровень обеспечивается главным образом тем, что кроме обычного метода поглощения применяются другие физические принципы получения изображений, такие как рефракция или малоугловое рассеяние, о чем будет сказано ниже.
Методически представленные на рис.1 направления можно разделить на три основных типа. Во-первых, получение изображений внутренних органов и оценка на этой основе различных патологий. Во-вторых, микроэлементный анализ биожидкостей, биоптатов и др. В-третьих - микролучевая терапия.

Рис. 1. Схема установки на Курчатовском источнике СИ, иллюстрирующая метод рефракционного контраста. 1 - падающий пучок СИ, 2 - кристалл-монохроматор, настроенный на отражение (511), 3 - кристалл-анализатор, регистрирующий отражение (333), 4 - исследуемый объект, 5 - регистрирующее устройство (детектор на основе ПЗС-матрицы).
Мягкие ткани
Цель маммографического обследования - обнаружение и наблюдение за локальными изменениями плотности в мягкой ткани молочных желез. При этом желательно обнаруживать опухоли с малым изменением плотности (порядка нескольких процентов) и малым размером (менее 0.1 мм), что необходимо для ранней диагностики и лечения заболевания. Для существующих методов, включая обычную рентгеноскопию, это оказывается практически невыполнимой задачей.
Представим теперь, что вместо обычного метода поглощения будет использован метод рефракции излучения на границах объектов с разной плотностью. Таким образом, мы будем измерять изменение (градиент) плотности на границе раздела сред путем регистрации преломленной волны. Новые методы получения изображений, получившие название фазового контраста, если используется изменение фазы, или рефракционной интроскопии, если измеряется преломление, уже широко используются на различных источниках СИ в мире. У нас в России основополагающими по рефракционной интроскопии стали опыты В.А.Соменкова, С.А.Шильштейна с сотрудниками [2]. Первые работы по биологии с использованием СИ по этой тематике выполнялись в Новосибирском институте ядерной физики совместно с Вазиной А.А. и другими биофизиками из Пущино [3].
Для получения изображений по методу рефракционной интроскопии объект помещается внутрь специального прибора, состоящего из двух совершенных кремниевых кристаллов (рис.1). Первый кристалл служит монохроматором излучения, второй - анализатором.
Угловое отклонение пучка на границе воздух-объект в приближении геометрической оптики равно
da = (1 – n)·ctga. (1)
Изменение коэффициента преломления на границе органической ткани с воздухом задается формулой
(1 – n) = 1.5·10–6l2, (2)
где a - угол между пучком и преломляющей поверхностью, n - показатель преломления, l - длина волны, выраженная в ангстремах. Величина рефракционного контраста определяется относительным локальным изменением интенсивности пучка, испытавшего отклонение на угол a. Для цилиндрического объекта наибольший контраст возникает на его краях, поэтому изображения кажутся объемными (см., например, рис.2). Подробный расчет контраста и дозы облучения для рефракционной интроскопии можно найти в [4].
Рис. 2. Изображение древесного листа,
полученное методом рефракционной интроскопии.

Для количественных оценок параметров маммографических диагностических аппаратов используются специально разработанные фантомы, которые представляют собой восковую пластину с различными включениями, имитирующими опухоли. На Курчатовском источнике СИ К.М.Подурец с сотрудниками выполнил эксперимент [5], используя сертифицированный фантом RM156, и показал, что использование рефракционного метода значительно повышает чувствительность метода и позволяет обнаруживать такие объекты, как микрокальцинаты, кальцинированные сосуды и опухоли в несколько раз меньшего размера, чем при стандартной, абсорбционной съемке (см. рис.3). Новый тип контраста в сочетании с высоким качеством пучка синхротронного излучения дает возможность не только повысить информативность изображений, но и значительно снизить дозовую нагрузку на пациента. Было также установлено, что если слегка пожертвовать информативностью изображений за счет уменьшения времени экспозиции, удается при стандартном уровне обнаружения признаков заболевания дополнительно снизить дозу облучения при обследовании.



Рис. 3. Изображения фрагментов фантома, моделирующих микрокальцинаты (а), кальцинированный сосуд (б) и опухоль (в).
Важная часть этой работы - разработка и создание детекторов нового типа для получения изображений, потому что обычная рентгеновская пленка неадекватна новым диагностическим методам. И дело здесь не только в том, что рентгеновская пленка создает некоторые неудобства в работе, связанные с проявкой и др. Для получения более качественных изображений, особенно трехмерных, необходимы более совершенные устройства, позволяющие сразу вводить информацию в компьютер и выполнять обработку данных. Поэтому специально для таких задач Н.К.Кононовым и др. в РНЦ КИ совместно с Институтом ядерных исследований (ИЯИ) РАН были разработаны детектирующие системы на основе ПЗС-матриц [6].
Маммографические исследования с использованием синхротронного излучения ведутся на различных источниках СИ в разных странах, например в Триесте (Италия) [7], в Брукхэвене (США) [8] и др., причем с помощью разных модификаций метода рефракционной интроскопии. Например, вместо двухкристалльной схемы применяют однокристалльную (без кристалла-анализатора). В этом случае изображение по методу поглощения получается при минимальном расстоянии между объектом и детектором, а рефракционное - при значительном удалении детектора от образца.
В настоящее время нельзя сказать, что диагностические методики в маммографии с использованием фазового контраста или рефракционной интроскопии полностью отработаны. Существуют нерешенные проблемы, связанные как с формированием пучков, так и с анализом и интерпретацией получаемых изображений. Однако с точки зрения возможностей источника СИ в РНЦ “Курчатовский институт” данное направление представляется одним из наиболее перспективных.
…Костные структуры
В последние годы костные заболевания, связанные с потерей массы костной ткани или уменьшением ее плотности, вышли на четвертое место в мире по распространенности. Особенно это касается пожилых людей, у которых вероятность переломов кости весьма велика. Неудивительно, что проблеме остеопороза в развитых странах сейчас уделяется большое внимание.
Остеопороз в буквальном переводе с древнегреческого языка означает отверстие, или дырка (“пороз”) в кости (“остео”). Поэтому до сих пор диагностика остеопороза проводится в основном посредством измерения массы костной ткани (денситометрии) с помощью рентгеновских аппаратов. Использование синхротронного излучения позволяет не только качественно улучшить метод денситометрии (что в основном связано с уменьшением дозы на каждую экспозицию), но и разработать другие, более надежные методики для ранней диагностики заболеваний костей.

Рис. 4. Cхема “трехцветной” оптики, обеспечивающей одновременное получение изображения по методу фазового контраста (область Р1,Р2), рефракции (An) и поглощения (Ab). М - монохроматор, S - сплиттер, MI, MII - кристаллы, изменяющие направление лучей, А - анализатор.
Переход от простых (с точки зрения структуры) маммографических объектов к более сложным, например костям человека, сопровождается как совершенствованием рентгено-оптических методов, так и разработкой алгоритмов для обработки и анализа получаемых изображений. В работе М.Андо с сотрудниками [9] предложен новый метод получения изображений (“трехцветная оптика”), позволяющий одновременно изучать объект в трех видах: в обычном поглощении, в фазово-интерференционном контрасте и по методу рефракции. Идею эксперимента можно понять с помощью рис.4. Первый кристалл - монохроматор - используется для того, чтобы из падающего узкого пучка СИ создать пучок определенной энергии с максимально возможной светосилой. Половина этого пучка (i) направляется непосредственно на объект, а вторая половина (iў) расщепляется на кристалле S (“сплиттер”) еще на два луча. Первый луч (i), испытав поглощение, но не изменив направления, создает абсорбционное изображение в области Ab. Преломленные на границе объекта лучи от сплиттера попадают в область An, где формируется рефракционное изображение. Чтобы обеспечить их попадание в эту область, необходим еще один кристалл MII, который отклоняет их нужным образом. Третье изображение получается с помощью двух лучей от сплиттера: один из них изменяет фазу при взаимодействии с объектом, а другой луч, который через объект не проходит (его направление изменяется кристаллом МI), - нет. Изображение в области Р1 и P2 получается в результате интерференции этих двух пучков после прохождения анализатора А. Такой способ получения изображения называется методом фазового контраста. Как показано в работе [9], комбинация разных методов повышает надежность диагностики и существенно уменьшает ошибки измерений.
На Курчатовском источнике СИ были проведены исследования биоптатов костной ткани человека, предоставленные Центральным институтом травматологии и ортопедии им.Н.Н.Приорова (ЦИТО). Биоптаты представляют собой небольшие фрагменты, объемом менее одного кубического сантиметра, извлеченные посредством операции из кости и помещенные в формалин. На рис.5 показаны снимки, сделанные методом рефракции (а) и поглощения (б). Видно, что структура кости на рис.5,а проявляется значительно лучше, чем на рисунке 5,б. На верхнем рисунке хорошо виден внешний (кортикальный слой) кости, а также внутренний, который состоит из продольных слоев (трабекул) размером до нескольких сотен микрон. Здесь использование синхротронного излучения приобретает особое значение, потому что другие методы для оценки прочности кости оказываются малоприменимыми. Хотя с помощью электронного микроскопа, дающего очень высокое пространственное разрешение, можно увидеть в кости кристаллы кальцита размером около 1 мкм, но в практической медицине это пока не нашло широкого применения. На синхротронных пучках размеры и ориентацию таких кристаллов удается определять с помощью электронной спектроскопии.


Рис. 5. Изображение биоптата кости человека, полученное методом рефракции (а) и поглощения (б) на Курчатовском источнике СИ.
Таким образом, использование СИ позволяет сделать качественно новый шаг в экспериментальных и клинических исследованиях физиологических и патологических процессов, происходящих в костной ткани. В частности, это касается изучения механизмов формирования переломов кортикальной и губчатой костной ткани вследствие травматического воздействия на фоне заболеваний опорно-двигательного аппарата, опухолей и опухолеподобных заболеваний. Представляют интерес изучение механизмов формирования зон перестройки в костной ткани при различных нарушениях ее метаболизма, мониторинг процессов сращения переломов в физиологических условиях на фоне нарушенного ремоделирования (обновления), анализ поведения имплантатов и трансплантатов в костной ткани при различных патологических и физиологических состояниях. Использование СИ позволит в клинических условиях выявлять микропереломы и изучать структуру костей, не определяемую другими методами, а значит, повысить качество обследования и лечения пациентов. При этом возможен переход от исследования биоптатов к живым костям, поскольку дозы облучения сравнительно малы и диагностику можно будет проводить на живых объектах.
Следует отметить, что синхротронные методы исследования структуры костей не исключают, а дополняют обычные рентгеновские методы. Возможности цифровой рентгеновской диагностики для лечения костных заболеваний изучались в последние годы в ЦИТО с помощью денситометра, разработанного в Институте ядерных исследований РАН [10]. В приборе использована полихромная рентгеновская трубка и фильтры, обрезающие низкоэнергетическую часть спектра рентгеновского излучения. Он позволяет определять плотность кости, точнее говоря, массу костной ткани, в шейке бедра человека, которому сделана операция эндопротезирования. Прибор может использоваться и для поликлинической диагностики остеопороза.
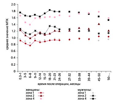
С помощью прибора было проведено около 1000 обследований более 100 пациентов в течение полутора лет. На рис.6 приведены результаты сравнения изменения минеральной плотности костной ткани в различных зонах вокруг эндопротеза у мужчин и женщин в зависимости от времени, прошедшего после операции. Видно, что потеря костной массы в первые месяцы после операции у женщин происходит интенсивнее, чем у мужчин. По мере накопления статистической информации будут получены новые данные о зависимости массы костной ткани от разных факторов, что позволит более эффективно использовать лекарственные препараты.

Рис. 6. Сравнение минеральной плотности костной ткани (МПК) в различных зонах шейки бедра вокруг эндопротеза у мужчин и женщин в зависимости от времени, прошедшего после операции.
На смену биохимической лаборатории
С течением времени кость человека, так же как и внутренние органы, постоянно обновляется, и зачастую болезнь связана с тем, что нарушен баланс между процессами старения и новообразования. Например, при остеопорозе не только уменьшается масса костной ткани, но также изменяется структура и элементный состав кости [11].
По химическому составу кости состоят из органических (коллагены и белки) и минеральных (кристаллический гидроксиаппатит) компонентов. Отношение между этими компонентами очень важно для ремоделирования кости. Молодая кость имеет недостаток минерального вещества, и размер кристаллов в ней мал. С ростом кристаллов гидроксиаппатита возможно замещение ионов кальция на ионы натрия, калия, магния, стронция и даже свинца; возможно также и замещение анионов. В значительной степени это может быть связано с экологическими условиями жизни человека, различными профессиональными факторами вредности и др. Результатом становится изменение физических свойств кости, таких как прочность, гибкость, упругость. Поэтому измерение элементного состава кости или обнаружение редких элементов в ней может быть полезным в ранней диагностике остеопороза.
Обычно неинвазивный (неразрушающий) элементный анализ проводится по флюоресцентной методике (когда под воздействием внешнего излучения возбуждаются и флюоресцируют атомы вещества). Возбужденные атомы или ядра излучают характеристические рентгеновские или гамма-лучи, по которым можно определить состав образца. До настоящего времени такие методики исследования элементного состава для анализа костей применялись мало, потому что требования к ним очень высоки. Во-первых, такие исследования желательно делать на живом организме, и, следовательно, дозы облучения должны быть очень низкими. Во-вторых, точность измерений должна быть высока, потому что процент содержащихся вредных примесей, как правило, очень мал. Этим требованиям можно удовлетворить за счет использования СИ.
Известно огромное влияние макроэлементов (кальций, натрий, магний и др.) и микроэлементов (цинк, медь, кобальт и др.) на функционирование организма и на состояние здоровья. Как теперь выяснено, при возникновении многих патологий, в том числе и опухолевых, возникает дисбаланс в распределении этих физиологически значимых элементов. С другой стороны, в настоящее время достоверно установлено, что загрязнение окружающей среды различными токсикантами, среди которых особое место занимают тяжелые металлы, приводит к существенному увеличению вероятности возникновения определенных заболеваний. При попадании в организм человека тяжелых металлов, особенно через органы пищеварения и дыхания, происходит бессимптомное накопление этих элементов в определенных органах, в том числе и в биожидкостях. Связь процесса накопления тяжелых металлов с хроническим стрессом и трансформацией в разнообразные нозологические патологии особенно очевидна при наблюдении за развитием онкологических заболеваний. Клинически идентифицировать воздействие окружающей среды в конкретный момент и на конкретного человека весьма сложно и не всегда представляется возможным. В связи с этим особое значение приобретает разработка методов ранней диагностики накопления и распределения некоторых химических элементов в организме человека.

Рис.7. Спектр, полученный на пучке СИ по методу рентгеновского флюоресцентного анализа для биожидкости, взятой у больного (опухоль) в сравнении с фоном (пленка).
Было показано [12], что микроскопический элементный анализ дегидратированных биожидкостей (кровь, моча, плазма) может решить проблему экологического мониторинга профессиональных заболеваний. Избыток тех или иных микроэлементов, в основном тяжелых металлов, служит меткой различных, особенно профессиональных заболеваний, связанных с работой во вредных условиях. На рис.7. показан спектр флюоресцентного излучения, полученный с помощью Ge-детектора на пучке СИ. В качестве образца использовалась проба биожидкости, взятая у онкологического больного. Здесь видна широкая подложка, связанная с рассеянным излучением, на которой выделяются пики (характеристические линии), соответствующие определенным элементам. Благодаря использованию СИ удается измерять примеси микроэлементов до одной миллионной доли (1 ppm) в биоптатах и биожидкостях.
Эти первые результаты были получены сотрудниками Всероссийского научно-исследовательского института экспериментальной физики (г.Саров) совместно с ИЯИ РАН и РНЦ КИ на пучке синхротронного излучения РНЦ КИ по методу рентгеновского флюоресцентного анализа для различных медико-биологических проб. Они показали перспективность предложенного метода.
В глубь сосудов
Работы по получению изображений коронарных сосудов и сердца заняли одно из ведущих мест на многих источниках синхротронного излучения (КЕК в Японии, ESRF во Франции, ВЭПП-4 в Новосибирске и др.), потому что потребность в них исключительно велика. Так, на источнике ESRF в Гренобле уже несколько лет ведутся регулярные обследования пациентов [13].
Основной недостаток обычной рентгеновской диагностики сердца связан с необходимостью введения контрастного вещества в вену для получения контрастного изображения. Введение контрастного вещества в кровеносные сосуды осуществляется с помощью катетера, что является довольно рискованной операцией и требует дополнительного облучения пациента для ее контроля (операция проводится под рентгеном). Принцип использования контрастного вещества основан на том, что в спектре поглощения рентгеновских квантов есть верхняя граница по энергии (К-край, соответствующий возбуждению К-оболочки), выше которой вероятность поглощения резко падает. Это объясняется структурой электронной оболочки данного элемента (К-оболочка - самая нижняя оболочка, для возбуждения ее нужна максимальная энергия). Делая два снимка при двух энергиях пучка (чуть выше и чуть ниже К-края) и вычитая затем один из другого, мы получили изображения с высоким контрастом. Обычно в ангиографии в качестве контрастного вещества используется йод, у которого К-край рентгеновского излучения равен 33.17 кэВ. В последние годы разработан метод просвечивания с использованием гадолиния, у которого К-край соответствует более высокой энергии (50.24 МэВ), что повышает точность измерений.
Использование СИ позволило упростить процедуру введения контрастного вещества и снизить количество этого препарата. В результате при введении контрастных веществ в очень небольших количествах с помощью обычного шприца получают качественное изображение артериальных сосудов. Напомним еще один важный момент: благодаря монохроматичности излучения СИ дозы облучения оказываются минимальными.
На помощь терапевту
Современные методы лучевой терапии для лечения онкологических заболеваний разнообразны, но все они имеют большой недостаток: под действием излучения оказываются не только раковые клетки, но и здоровые, из-за чего возникают негативные побочные явления. С этим недостатком борются разными способами, например, используя пучки ионизирующих частиц, которые производят ионизацию главным образом в конце трека (протоны). Но протонная терапия очень дорога, потому что требует создания протонных ускорителей достаточно высокой энергии.
Принципиально новый терапевтический подход (микролучевая терапия) с использованием СИ был предложен в Брукхэвене около 10 лет тому назад и получил развитие на ESRF [14]. Идея нового метода основана на использовании пучка специальной формы (в виде множества планарных, узких пучков - типа расчески). Экспериментально показано, что благодаря такой структуре пучка после облучения возможна регенерация здоровой ткани. Иначе говоря, микропоражения здоровой ткани исчезают благодаря быстрому воздействию крови, которая сама по себе менее чувствительна к дозе облучения. Пораженные раком клетки при этом разрушаются и не восстанавливаются. Если к тому же свести пучки локально в место расположения опухоли, то терапевтический эффект еще более возрастет. В результате с помощью таких пучков можно эффективно повышать дозу облучения (в сотни и тысячи раз), не разрушая здоровые ткани. При этом лечению поддаются опухоли самых различных органов, включая головной мозг, который сейчас облучают в основном на кобальтовых пушках, вызывающих в отличие от микролучевой терапии более значительные негативные побочные явления.
Синхротронное излучение оптимально подходит для использования в микролучевой терапии, потому что оно обладает высокой интенсивностью, достаточно высокой проникающей способностью и легко формируется с помощью коллиматоров. Модельные расчеты и экспериментальные исследования показали [12], что оптимальной структурой обладает пучок шириной в несколько сантиметров в виде расчески с “зубьями” шириной до 40 мкм при расстоянии между ними около 75 мкм.
Перспективы
Использование синхротронного излучения в медицине имеет хорошие перспективы не только в области рентгеновской диагностики и терапии, но и в более широком плане, который поначалу может показаться фантастическим. Например, с помощью СИ можно создать микроустройства (капсулы с дистанционно управляемыми микродвигателями), которые, двигаясь по сосудам, будут доставлять лекарственные препараты в нужное место и в нужных количествах. Метод создания подобных микроустройств уже достаточно хорошо разработан (глубокая рентгеновская литография); он позволяет изготавливать микродвигатели, химические микрореакторы и другую микротехнику. Выгоды от применения такой техники достаточно очевидны. В медицине это может привести к принципиально новым методам лечения. И дело не только в том, что лекарства будут использованы более эффективно и их потребуется намного меньше, чем при пероральном введении или инъекциях. Одно из возможных применений может быть связано с генной инженерией.
Исследования в области генотерапии болезней человека показывают перспективность введения ДНК-конструкций в стволовые костно-мозговые клетки [15]. Проведение подобных исследований наталкивается на значительные трудности, поскольку используемые в настоящее время хирургические методы проникновения в полость берцовой кости травматичны, вызывают большое количество осложнений и требуют длительного пребывания больных в клинике. Точность введения генетических конструкций при этом сильно снижена. Поэтому использование достижений микромеханики для создания устройств, способных обеспечить микроинвазивную доставку лекарств по кровеносным сосудам, становится актуальными.
В последние годы генетика все чаще вторгается в область практической медицины, что дает весьма впечатляющие результаты. Работы в этом направлении, естественно, находят своих последователей и среди специалистов синхротронных центров. Пока использование пучков СИ в генетических исследованиях можно рассматривать только как предложение, потому что оно еще находится в самой начальной стадии. Тем не менее развитие данного подхода не только возможно, но и вполне реально в ближайшем времени.
Работа выполнена при поддержке Российского фонда фундаментальных исследований. Проект 04-02-16996.
Список литературы
1. Medical Applications of SYNchrotron Radiation / Eds M.Ando, C.Uyama. Tokyo, 1998.
2. Шильштейн С.Ш., Подурец К.М., Соменков В.А., Манушкин А.А. // Поверхность: рентгеновские, синхротронные и нейтронные исследования. 1996. №3-4. С.231-241.
3. Gerasimov V.S., Korneev V.N., Kulipanov G.N. et al. // Nuclear Instruments and Methods in Physics Research. 1998. V.A405. P.525-531.
4. Артемьев А.Н., Манушкин А.А., Недорезов В.Г. и др. // Препринт ИАЭ. 1998. Т.6065/15. С.1-20.
5. Podurets K.M., Pogorelyi D.K., Manushkin A.A. et al. // Crystallography Reports. 2004. V.49. Suppl.1. P.50-54.
6. Кононов Н.К., Беляев А.Д., Игнатов С.М. и др. // Приборы и техника эксперимента. 2004. №5. С.123-125.
7. Arfelli F., Barbiellini G., Bernstoff S. et al. // Reviews of Scientific Instruments. 1995. V. 66. P.1325-1328.
8. Johnston R.E., Washburh D., Pisano E. et al. // Proceedings of International Society for Optical Engine. 1995. V.2432. P.434-441.
9. Ando M., Sugiyama H., Maksimenko A. et al. //Jap. J. Appl. Phys. 2001. V.40. P.L298-L301.
10. Кононов Н.К., Беляев А.Д., Гришкин Ю.Л. и др. // Тезисы доклада на конференции “Медицинская физика-2005” (2-й Евразийский конгресс), М., 21-24 июня 2005 г.
11. World Health Organization. Assessment of Fracture Risk and its Application to Screenung for Postmenopausal Osteoporosis. Geneva, 1994.
12. ШабалинВ.Н., ШатохинаС.Н. // БюллетеньРАМН. 2000. №3. P.45-49.
13. Elleaume H., Charvet A.M., Berkvens P. et al. // Nuclear Instruments and Methods in Physics Research. 1999. V.A428. P.513-527.
14. Charvet А.М. et al. // Proc. of Int. Sch. of Physics “Enrico Fermi”, CXVIII. 1996.
15. Сергиенко В.И. и др. // Патент РФ 99122938.