| Скачать .docx | Скачать .pdf |
Курсовая работа: Основні показники соматичного здоров`я
ЗМІСТ
ВСТУП
ПЕРЕЛІК УМОВНИХ СКОРОЧЕНЬ
РОЗДІЛ 1. ПОНЯТТЯ ПРО ЗДОРОВ`Я ТА ЙОГО КРИТЕРІЇ
1.1 Вчення про здоров'я
1.2 Градації, критерії і групи здоров'я
1.3 Визначення рівня здоров'я
1.4 Самооцінка культури здоров'я
1.5 Визначення фізичного стану людини
1.6 Методика тестування та оцінки показників фізичних якостей і рухових здібностей
РОЗДІЛ 2. Паспорт здоров'я
2.1 Потреба у складанні «Паспорту здоров`я»
2.2 Положення про «Паспорт здоров'я»
2.3 Методика оформлення «Паспорта здоров'я»
РОЗДІЛ 3. Методи та методика дослідження
3.1 Методи дослідження
3.2 Організація дослідження
РОЗДІЛ 4. Результати дослідження та заповнення «паспорту здоров`я»
ВИСНОВКИ
СПИСОК ВИКОРИСТАНИХ ДЖЕРЕЛ
ВСТУП
Актуальність. У зв'язку з екологічною й демографічною ситуацією стан здоров'я населення в Україні катастрофічно погіршується. Смертність випереджає народжуваність. Зростає кількість ракових та алергічних захворювань, розладів нервової системи. Справжнім лихом є лейкемія. На превеликий жаль, змушені констатувати: ми стоїмо на порозі виродження нації. Здоров'я народу опинилося в кризі. Тривалість життя як основний показник здоров'я стрімко знижується. Україна за ним перебуває аж у п'ятому десятку серед держав світу. Все це негативно позначається на стані здоров'я дітей. Вже з дитячого садка до школи приходять хворі діти. У школі становище погіршується. Тільки двадцять відсотків учнів можна вважати здоровими. Сьогодні в школі не здобувають, не зміцнюють здоров'я, а, навпаки, втрачають його. Генетичний фонд нації у небезпеці.
Катастрофічним є стан здоров'я дітей та підлітків з хронічними хворобами. Ці діти та підлітки належать до спеціальної медичної групи. Постійний дефіцит рухової активності, відсутність справжнього тренування гальмують їх нормальний фізичний розвиток, загрожують здоров'ю. Близько 30% дітей шкільного віку складають групу ризику, 43% учнів страждають хронічними захворюваннями, 63% мають порушення постави.
Серед об'єктивних і суб'єктивних причин різкого зниження рівня здоров'я - глибока соціально-економічна криза, глобальні економічні проблеми, слабка матеріально-технічна база й недосконала структура системи охорони здоров'я нашої країни та інші. Однією з причин такого кризового становища є відставання наявної в країні системи принципів, методів і способів охорони та зміцнення здоров'я від вимог сьогодення, розбіжністю систем знань, якими оперує національна освіта, і реалій, що ми маємо сьогодні внаслідок бурхливих соціально-економічних змін в Україні.
Важливе місце серед цих причин займають також санітарно-гігієнічне невігластво значної частини населення України, відсутність у багатьох людей пріоритету здоров'я та мотивації вести здоровий спосіб життя як провідного чинника збереження й зміцнення здоров'я.
Мета роботи – проаналізувати основні показники соматичного здоров`я та скласти «Паспорт здоров`я».
Основні завдання:
- сформувати поняття про здоров`я, основні його критерії;
- проаналізувати необхідність та етапи складання «Паспорта здоров`я»;
- провести дослідження основних показників соматичного здоров`я.
Об`єкт дослідження – студенти ЧДІЕіУ.
Предмет дослідження - основні показники соматичного здоров`я.
Методи дослідження:
- аналіз літературних джерел;
- експеримент (визначення індивідуальних показників соматичного здоров`я за відповідними методиками);
Практична значимість дослідження: знаючи показники рівня соматичного здоров`я можна пропонувати програму (при досить низькому рівні) щодо покращення стану здоров`я піддослідного.
ПЕРЕЛІК УМОВНИХ СКОРОЧЕНЬ
АТ – артеріальний тиск;
ЖЕЛ – життєва ємність легень;
ЖІ – життєвий індекс;
ІГСТ – індекс Гарвардського степ-тесту;
ІФА – індекс фізичної активності;
ІШ – індекс швидкості;
МСК – максимальна;
РФР – рівень фізичного розвитку;
РФС – рівень фізичного стану;
СІ – силовий індекс;
ФВ – фізичне виховання;
ФП – фізична підготовленість.
РОЗДІЛ 1. ПОНЯТТЯ ПРО ЗДОРОВ`Я ТА ЙОГО КРИТЕРІЇ
1.1 Вчення про здоров'я
Один східний мудрець мріяв, щоб у його школі кожен день дітям викладалися чотири предмети: урок здоров'я, урок любові, урок мудрості та урок праці. Як бачимо, урок здоров'я займає першість. Уся людська діяльність зводиться до одного - до задоволення потреби людини до нормального здорового життя
Навчання в школі є важкою роботою, і щоб виконувати цю роботу якісно потрібно мати гарне здоров'я.
Людина - перше створіння, яке усвідомило Всесвіт і його еволюцію, виникнення світової системи. В людині природа досягла найвищої складності й досконалості. У людини вперше виникла діалектична єдність біологічного й соціального, матеріального й духовного.
Людина - це найвищий продукт Земної матерії, її тонка й складна система, і щоб її зберегти непошкодженою й цілою, необхідно знати, як функціонує її організм, уміти відновити його роботу, створювати найоптимальніші умови для життєдіяльності.
Людина стає все більш активною і все більш могутньою силою не тільки планетарною, але й космічною. Людина - предмет вивчення багатьох дисциплін.
Для того, щоб людина могла повною мірою відповідати своєму призначенню як вершина природи і виконати історичну місію на Землі і в Космосі, вона повинна бути здоровою як фізично, так і духовно. Спеціальними дослідженнями доведено, що на 50% стан здоров'я залежить від способу життя людини в широкому розумінні слова, 20% здоров'я визначається впливом навколишнього середовища, 20% - спадковістю і тільки 10% - медичною допомогою.
Немає в людини цінності більшої за здоров'я. Відомо, що здоров`я - це те, без чого людина не може бути щасливою. Здоров'я має посідати перше місце в ієрархії потреб людини. Проте, на жаль, ціна здоров'я більшістю людей усвідомлюється тоді, коли вона під черговою загрозою, а то й певною мірою втрачена. Тільки точне знання сутності здоров'я і факторів, що формують його, може стати для людини порадником на шляху до розвитку всіх потенціальних можливостей організму, до життя без хвороб, до активного, творчого довголіття (Муравов І.В., Булич Е.Г., 1997).
Валеологія в перекладі з латинської мови означає "бути здоровим". Це наука про здорових людей. Уявлення про здоров'я є центральним у цій сукупності знань про нього. Особливе значення в розумінні здоров'я має його визначення. Від того змісту, який ми бачимо в здоров'ї, залежать методи і сама спрямованість дисципліни, а також засоби й методи, що використовуються для оздоровчих дій. Наводимо визначення здоров'я Всесвітньої організації охорони здоров'я.
Здоров'я — це стан повного психічного, фізичного і соціального благополуччя, а не тільки відсутність захворювань та фізичних вад.
При розкритті поняття здоров'я необхідно використати концепцію цілісності.
Це означає, що здоров'я має розумітися як цілісність, складові частини якої взаємозалежні. Все, що трапиться з якоюсь із них, негайно позначиться на всіх інших. Кожна частина має сприйматися в загальному контексті поняття «здоров'я».
Ми використали символ квітки для того, щоб проілюструвати поняття цілісності. Кожне кільце-пелюстка квітки символізує один з аспектів здоров'я фізичний, емоційний, розумовий, соціальний, особистий і духовний.
Фізичне здоров'я - функціонування нашого організму й стан здоров'я кожної з його систем. Для нас важливо знати як повинен наш організм функціонувати, як визначити, що все гаразд у нас із здоров'ям.
Розумове здоров'я - це наша здатність отримувати інформацію, це наша обізнаність, звідки отримувати необхідну інформацію, як її використовувати. Ми повинні вміти збирати потрібні знання із різноманітних джерел і бути спроможними використовувати цю інформацію для прийняття рішень стосовно нашого організму.
Емоційне здоров'я - це здатність розуміти наші почуття й виражати їх. Знання про те, як почуваємось ми самі і як почуваються інші, допомагає нам виражати свої почуття у зрозумілий для інших спосіб. Важливо комфортно почувати себе, беручи до уваги діапазон емоцій, і знати, коли людям добре, а коли - ні.
Соціальне здоров'я - це те, як почуваємо ми себе як індивідууми чоловічої або жіночої статі, як ми взаємодіємо з іншими людьми. Нам необхідно розуміти, що дійсно є для нас важливим у стосунках з друзями, сім'єю, коханими і всіма тими, з ким ми взаємодіємо. Ми повинні виробляти вміння, що допоможуть нам у цих стосунках.
Особистісне здоров'я - це відчуття себе як особи, це відчуття розвитку свого «его» («его» - це частина нашої суті, яка вимагає від нас розвитку почуття власної особистості й самовираження), це наші сподівання у досягненнях, це наше уявлення про успіх. Кожний із нас знаходить унікальні способи самовираження, залежно від того, що ми цінуємо й чого ми сподіваємось досягти для себе та суспільства. Наприклад, деякі люди знаходять самовираження в своїй роботі або кар'єрі, інші - в сім'ї, а ще інші - в діяльності на благо інших. Ми можемо визначити для себе те, що принесе задоволення нашому власному «его».
Духовне здоров'я є стеблом і серцевиною квітки, яку ми використовуємо для ілюстрування життєво важливої для всіх аспектів нашого здоров'я. Це стосується суті нашого буття (що ми цінуємо і що є для нас важливим). Це є стрижнем нашого існування, це нас об'єднує і дає можливість зрозуміти співвідношення цього аспекту здоров'я з іншими п'ятьма.
Отже, всі шість аспектів здоров'я є важливими і взаємопов'язаними. Ось чому є дуже важливим донести до свідомості учнів поняття цілісності концепції здоров'я.
1.2 Градації, критерії і групи здоров'я
Градації здоров'я. Організм може бути абсолютно здоровим, здоровим задовільно, практично здоровим і нездоровим. Абсолютно здоровим уважається той, у кого всі органи та системи розвинені й функціонують нормально, в них немає ніяких хворобливих відхилень. Як показують всебічні дослідження, абсолютно здорових людей мало - це добре треновані, звичні до навантаження люди: космонавти, пілоти, геологи, окремі фізкультурники й спортсмени. При детальній перевірці у багатьох людей виявляються відхилення, які в звичних умовах ними не відчуваються. Поняття "практично здоровий" означає такий стан організму, при якому окремі порушення не впливають на навчання, роботу й стан організму. Хворобливі явища виявляються у функціональних і структурних змінах в органах і системах органів, спричиняють неприємні суб'єктивні відчуття, біль.
Об'єктивне й суб'єктивне здоров'я. Звичайно, суб'єктивне відчуття точно характеризує стан організму, проте буває і так, коли при об'єктивних порушеннях здоров'я ніяких суб'єктивних відчуттів не виникає, і навпаки, при суб'єктивних скаргах не виявляється об'єктивних порушень. Прийнято також поняття "статичне здоров'я" - визначається в період спокою і "динамічне здоров'я" - встановлюється дослідженням показників і після дозованих та граничних навантажень.
Критерії здоров'я
Стан здоров'я визначається за допомогою чотирьох критеріїв: 1) наявність або відсутність хронічних захворювань; 2) рівень функціонального стану основних систем організму; 3) стадії резистентності організму (стійкість, загартованість); 4) рівень досягнутого фізичного розвитку і ступінь його гармонійності.
Відомо, що хвороба може виникати поступово й непомітно. Людина практично здорова до того часу, поки вимоги, що ставляться до її організму, не перевищують його пристосувальних можливостей. Тому здоров'ям називається стан людини, що характеризує працездатність та можливість пристосовуватися до мінливих умов зовнішнього середовища, впливати на фізичні та психічні функції людини. Ці риси можуть зберігатися в умовах дії сильних подразників. Чим краще пристосовується організм, тим ширший у нього діапазон пристосувальних реакцій, тим міцніше здоров'я.
Групи здоров'я
На основі критеріїв розрізняють п'ять груп здоров'я:
Перша група - здорові особи з нормальним психічним і фізичним розвитком (для заняття фізкультурою належать до основної медичної групи).
Друга група - здорові особи з деякими функціональними й морфологічними відхиленнями, що виникли внаслідок перенесеної хвороби, частих простудних захворювань (належать до підготовчої медичної групи).
Третя група - належать особи з хронічними захворюваннями в стані компенсації, з фізичними вадами, які виникли внаслідок травм (спеціальна медична група).
Четверта група - особи з хронічними хворобами в стані компенсації, що значно обмежують її пристосування до зовнішнього середовища та знижують працездатність.
П'ята група - хворі особи в стані декомпенсації, інваліди першої та другої груп.
Бути здоровим - природне прагнення людини. Здорова й духовно розвинута людина гарна, бо вона себе добре почуває, здатна одержувати задоволення від праці, має змогу вдосконалюватися, досягаючи нев'янучої молодості духу й внутрішньої краси. У фізичній культурі та медицині цілеспрямована свідомість здавна розцінюється як могутній фактор, що сприяє мобілізації захисних сил організму як у здорової, так і в хворої людини. Свідомими діями хворий здатний захистити себе від "входу" у хворобу й запобігти розвитку патологічного вогнища збудження, що називається домінантою. Принцип домінанти - це загальний принцип діяльності центральної нервової системи.
Основні ознаки здоров'я: добрий фізичний і розумовий розвиток, високий рівень працездатності й пристосування організму до зовнішнього середовища, що постійно змінюється.
До факторів, які зміцнюють здоров'я, необхідно віднести: раціональне харчування, оптимальний руховий режим, загартування, позитивні емоції, перебування на свіжому повітрі й сонці, дотримування особистої гігієни.
До чинників, які негативно впливають на здоров'я (фактори ризику), належать: гіподинамія, неправильне харчування, шкідливі звички, нераціональний спосіб життя.
Розподіл учнів на медичні групи
Учнів, а також членів первинних колективів фізкультури, які навчаються за державними програмами фізичного виховання, розподіляють на медичні групи (основну, підготовчу, спеціальну) за станом здоров'я, фізичним розвитком і рівнем фізичної підготовленості (табл. 1)
Таблиця 1. - Загальні рекомендації до фізичного виховання школярів
| Групи | Медична характеристика | Пропоновані заходи |
| Основна | Особи, які не мають відхилень у стані здоров'я і фізичному розвитку, а також особи з незначними відхиленнями у стані здоров'я, але з достатньою фізичною підготовкою (до 80-93%). | Дозволяється заняття за навчальними програмами фізичного виховання в повному обсязі, складання нормативних вимог, заняття в одній із спортивних секцій і участь у змаганнях з одного виду спорту. |
| Підготовча | Особи з незначними відхиленнями в стані здоров'я (переважно функціонального характеру), що не мають достатньої фізичної підготовки. До цієї групи можуть бути віднесені обстежувані із слабким фізичним розвитком і такі, що раніше не займалися фізичною культурою (від 5 до 15%). | Призначені в підготовчу групу, готові до занять з навчальних програм фізичного виховання у повному обсязі, але матеріал проходять поступово і складають контрольний норматив, їм рекомендуються заняття в секціях загальної фізичної підготовки (центри здоров'я). |
| Спеціальна | Належать особи, що мають у стані здоров'я і фізичному розвитку певні відхилення постійного або тимчасового характеру, які не є протипоказанням до навчання або виконання виробничої роботи, але потребують заборони занять за програмою фізичного виховання для навчальних закладів. | Здоров'я дозволяє заняття за спеціальними програмами індивідуально чи в спеціальних групах під постійним лікарським наглядом. |
При правильній постановці фізичного виховання протягом одного навчального року значно поліпшується здоров'я, фізичний розвиток і підготовленість, що дає можливість при повторному медичному огляді перевести із спеціальної групи в підготовчу і з підготовчої - в основну.
1.3 Визначення рівня здоров'я
Рівень здоров'я можна встановити в найбільш простому й доступному для школи варіанті, показавши його кількісно в умовних одиницях - балах або очках. При цьому враховуються такі показники: вік, співвідношення між зростом і масою тіла, ступінь отруєння організму палінням, стан серцевої діяльності в спокої, ступені відновлення серцевої діяльності після навантаження та активної м'язової діяльності.
1. Оцінка здоров'я за віком. Кожний рік життя дає один бал, наприклад, для підлітків 14 років - 14 балів.
2. Оцінка здоров'я за співвідношенням зросту і маси тіла. Вимірюють зріст учня в сантиметрах (без взуття) і його масу в кілограмах. У нормі маса тіла повинна відповідати зросту мінус 100. При цьому для оцінки здоров'я за віком додається 30 балів. Наприклад, якщо зріст дорівнює 150 см, а маса тіла буде нижчою норми (наприклад, 45 кг), то для оцінки додається ще та кількість одиниць, на яку менша маса. Зайва маса оцінюється негативно, бо, як звичайно, виникає внаслідок ожиріння і становить додаткове навантаження на серце. Через це зайва кількість одиниць маси віднімається від 30 балів. Наприклад, якщо учень важить 55 кг, то від 30 балів віднімають 5 і до 14 додають 25 одиниць.
3. Погіршення стану здоров'я у курців. Науково доведено, що тютюновий дим отруює організм, завдає шкоди здоров'ю. Через те для тих, хто курить, від одержаної суми балів здоров'я за віком і масою тіла віднімають стільки одиниць, скільки цигарок викурює досліджуваний за добу.
Ще більше знижується здоров'я при систематичному вживанні алкоголю.
4. Оцінка статичного здоров'я. Визначається за частотою пульсу за 1 хв. у спокої. Якщо пульс у стані спокою нижче 90, то за кожний удар до оцінки здоров'я додається одиниця. Якщо ж частота пульсу вища 90, то за кожний удар знижується оцінка на одиницю.
5. Оцінка динамічного здоров'я. Здійснюється за швидкістю відновлення пульсу після дозованого навантаження. Досліджується частота пульсу в спокої і після двохвилинного бігу на місці. Через чотири хвилини повторюється підрахунок частоти пульсу. Якщо вона дорівнює вихідній, то до загальної суми балів додається ще 30 одиниць. Якщо пульс залишається вищим, ніж у стані спокою, то від 30 віднімається відповідна кількість одиниць і залишок додається до загальної суми балів.
6. Оцінка здоров'я за активною м'язовою діяльністю. Якщо досліджуваний щоденно бігає протягом 12 хвилин, плаває або їздить на велосипеді, робить ранкову гімнастику, то йому до 47 загальної суми балів додається 30 балів. Якщо досліджуваний не виконує ніяких вправ, то від загальної суми віднімається 10 балів. Якщо досліджуваний веде малорухомий спосіб життя, то віднімається 20 балів.
Після складання показників рівень здоров'я оцінюється так:
менше 20 балів - незадовільний, загрозливий стан;
від 21 до 60 балів - відносно задовільний стан, "практично здоровий";
від 61 до 100 балів - здоров'я середнє і вище середнього;
101 і більше - добре здоров'я.
Висновок. Для поліпшення стану свого здоров'я слід упорядкувати режим дня і харчування, обов'язково робити ранкову гімнастику, бігати, вести рухливий спосіб життя, загартовувати свій організм.
Індивідуальний тест здоров'я
1. Ранкова гігієнічна гімнастика: щоденно - 0 балів, 2-3 рази на тиждень - 5 балів, не виконуєте - 10 балів.
2. Засоби доставки на роботу (школу); загальним (міським) транспортом 5 балів, машиною -10 балів, велосипедом, пішки - 0 балів.
3. Маса тіла: нормальна - 0 балів, а за кожні 5 кг вища норми - 5 балів.
4. Куріння: некурець - 0 балів, 10 сигарет за добу - 5 балів, пачка - 10 балів.
5. Споживання з харчами: багато масла, яєць, вершків - 5 балів; багато цукру, вуглеводів - 5 балів; ситна вечеря після 19-ї години - 5 балів.
6. Виробнича гімнастика: виконується - 0 балів, без неї - 5 балів.
7. Регулярність занять фізичними вправами: не проводяться - 10 балів, 2-4 години на тиждень - 5 балів, 8 годин на тиждень - 0 балів.
8. Споживання алкогольних напоїв: без них - 0 балів, під час свят - 5 балів, систематично - 10 балів [15].
Після підрахунку балів слід встановити, що сума балів менша 25 характеризує здоровий спосіб життя, 26-50 балів - спосіб життя достатньо здоровий, але при умові корекції звичок його можна значно поліпшити, 51 і більше - неправильний спосіб життя, який потребує негайно змінити звички.
Самооцінка здоров'я за Войтенко В. П.
1. Чи турбує Вас головний біль?
2. Чи можна сказати, що Ви легко прокидаєтесь від будь-якого шуму?
3. Чи турбує Вас біль в області серця?
4. Чи вважаєте Ви, що у Вас погіршився зір?
5. Чи вважаєте Ви, що у Вас погіршився слух?
6. Чи намагаєтесь Ви вживати кип'ячену воду?
7. Чи турбує Вас біль в суглобах?
8. Чи впливає на Ваше почуття зміна погоди?
9. Чи бувають у Вас періоди, коли після хвилювання важко заснути?
10. Чи турбує Вас затвердіння?
11 . Чи турбує вас біль в області печінки?
12. Чи буває у Вас головокружіння?
13. Чи стало Вам важче зосереджуватись, ніж раніше?
14. Чи турбує Вас послаблення пам'яті
15. Чи відчуваєте Ви у різних областях тіла поколювання, «повзання мурашок»?
16. Чи турбує Вас дзвін, або шум у вухах?
17. Чи тримаєте Ви для себе в домашній аптечці один з наступних медикаментів: нітрогліцерин, валідол, серцеві краплі?
18. Чи бувають у Вас на ногах набряки?
19. Чи доводиться Вам відмовлятись від деяких страв?
20. Чи буває у вас задуха при швидкій ходьбі?
21 . Чи турбує Вас біль в області попереку?
22. Чи вживаєте у лікувальних цілях мінеральну воду?
23. Чи можна сказати, що Вам не важко у певній ситуації розплакатись?
24. Чи ходите Ви на пляж?
25. Чи бувають у Вас періоди, коли Ви відчуваєте себе радісно, збудженим, щасливим?
26. Чи вважаєте Ви, що зараз Ви також працездатні, як і раніше?
27. Як Ви оцінюєте стан свого здоров'я?
На перші 26 запитань передбачені відповіді "так" або "ні", на останнє «добрий», "задовільний", "поганий", "дуже поганий". За перші 26 запитань респонденту нараховується 1 очко за кожну несприятливу відповідь, якщо відповідь сприятлива - 0 очок. Підсумкова цифра дає кількісну самооцінку здоров'я. Відповідно, якщо на останнє питання дана відповідь "поганий", "дуже поганий", додається 1 очко. Оцінка анкети визначається за таблицею 2.
Таблиця 2 - Оцінка анкети на предмет здоров'я
| Кількість очок | Стан здоров'я |
0-3 4-7 8-13 14-20 21-27 |
Ідеальний Добрий Посередній Задовільний Незадовільний |
1.4 Самооцінка культури здоров'я
І.І. Брехман, засновник вчення, про здоров'я, стверджував, що збереження і відтворення здоров'я перебуває в прямій залежності від рівня культури є мірою усвідомлення й оволодіння людиною свого ставлення до самої себе, до суспільства, до природи, степенем і рівнем саморегуляції її власних потреб. Культура - це особливого роду ставлення до себе, яке властиве тільки людині. Тому необхідно прагнути, щоб учні набули такі знання й навички щодо здоров'я, які б стали буттям, увійшли в культуру, в побут, у звички.
Рівень культури здоров'я учнів старшого шкільного віку можна визначити за допомогою розробленої нами методики самооцінки.
Таблиця 3 - Самооцінка культури здоров'я підлітків
| №№ п/п | Показники (критерії) культури здоров'я | Самооцінка за п'ятибальною системою | Оцінка батьків | |
| 1 | Духовний розвиток | |||
| 2 | Культура мови | |||
| 3 | Культура спілкування | |||
| 4 | Культура поведінки | |||
| 5 | Культура емоцій | |||
| 6 | Розумовий розвиток | |||
| 7 | Розумова працездатність | |||
| 8 | Культура розумової праці | |||
| 9 | Культура фізичної праці | |||
| 10 | Художньо-естетична культура | |||
| 11 | Культура тіла | |||
| 12 | Фізичний розвиток | |||
| 13 | Фізична працездатність | |||
| 14 | Фізична культура | |||
| 15 | Гігієнічна культура | |||
| 16 | Екологічна культура "' | |||
| 17 | Постава | |||
| 18 | Психофункціональний стан | |||
| 19 | Культура статевих стосунків | |||
| 20 | Побутова культура | |||
| 21 | Самоконтроль у режимі дня | |||
| 22 | Руховий режим | |||
| 23 | Режим дня | |||
| 24 | Раціональне харчування | |||
| 25 | Маса тіла | |||
| 26 | Гігієна зору | |||
| 27 | Здоровий спосіб життя | |||
| 28 | Аутогенне тренування | |||
| 29 | Культура зовнішності й ходи | |||
| 30 | Родовід за батьківською та материнською лініями | |||
| 31 | Шкідливі звички | |||
| 32 | Загартування | |||
| 33 | Активний відпочинок | |||
| 34 | Ранкова гігієнічна гімнастика | |||
| 35 | Статичне здоров'я за пульсом у стані спокою | |||
| 36 | Динамічне здоров'я (швидкість відновлення пульсу після дозованого навантаження) | |||
| 37 | Тривалість затримки дихання на вдиху (е) | |||
| 38 | Відвідування лазні | |||
| 39 | Артеріальний тиск (мм. рт. ст.) | |||
| 40 | Правова культура | |||
Максимальна сума всіх показників - 200 балів. За сумою набраних балів визначається рівень (високий, вищий за середній, середній, нижчий за середній, низький) та оцінка культури здоров'я (відмінно, добре, задовільно, незадовільно, погано).
Таблиця 4 - Шкала оцінки рівня культури здоров'я
| Бали | Рівень культури здоров'я | Оцінка рівня культури здоров'я |
| 200-161 | Високий | Відмінно |
| 160-121 | Вищий за середній | Добре |
| 120-81 | Середній | Задовільно |
| 80-41 | Нижчий за середній | Незадовільно |
| 40-1 | Низький | Погано |
Примітки:
1. Дитина до 6 років набуває близько 20% знань культури здоров'я. Решта - 80 % - набуваються в шкільному віці.
2. Для багаторазового користування таблицею оцінки виставляйте олівцем.
3. Наполегливо набувайте знань і підвищуйте оцінки, щоденно вдосконалюйте себе. Перевіряйте свої досягнення не менше 2-3 разів на рік.
4. На основі загальної оцінки культури здоров'я складайте програму збереження і зміцнення здоров'я.
Творчо організований навчально-виховний процес школярів дозволяє ефективно розв'язувати проблеми морального й духовного вдосконалення, формувати культуру здоров'я. Одним з провідних принципів організації всебічного виховання повинен стати принцип "У здоровому тілі - здоровий дух". Цей принцип дає можливість сформувати в учнів образ фізичного "Я", який містить усвідомлення тіла, зовнішності, фізичних якостей, особливостей статі. З морально-духовного погляду далеко не байдуже, яким за змістом буде цей образ, оскільки він виступає специфічним посередником. Особливо дається взнаки образ фізичного "Я" в підлітковому та юнацькому віці [4].
Знання про культуру здоров'я дозволять учням сформувати свідоме дбайливе ставлення до здоров'я як найвищої цінності, умови реалізації духовного, творчого й фізичного потенціалу, ефективного методу профілактики інфекційним, соматичним та психічним захворюванням, травматизму та нещасним випадкам, здобути вміння першої медичної само- і взаємодопомоги, навчитися застосовувати засоби нетрадиційної медицини, самооздоровлення та запобігання несприятливим чинникам довкілля.
Формування культури здоров'я - це надійний і доступний шлях самореалізації, розвитку свого потенціалу, запрограмованого біологічного й вдосконаленого соціально, шлях керування своїм здоров'ям і підтримання його на творчо-активному рівні. Глибокі знання й звички щодо культури здоров'я навчають учнів цінувати життя як власне, так і людей, що оточують.
1.5. Визначення фізичного стану людини
Останнім часом у науковій і методичній літературі поряд з терміном "фізична працездатність" використовується поняття "фізичний стан".
Поняття "фізичний стан" рівнозначне терміну "фізична кондиція". Під "фізичним станом" ряд дослідників нерідко розуміє готовність людини до виконання фізичної роботи, фізичних занять фізичними вправами і спортом. Поняття "фізичний стан" окремими авторами порівнюється з рівнем розвитку максимальних аеробних можливостей людини, які є кількісною мірою динамічного здоров'я.
Визначити фізичний стан у звичайних умовах можна за допомогою таких методів [15].
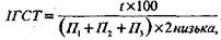
1. Гарвардський степ-тест. Тест передбачає сходження (піднімання) на сходинку: для чоловіків висота 50 см, для жінок - 43 см при частоті 30 за 1 хв. (темп метронома встановлюється на 120 уд./хв. тривалістю 5 хв.). Кожне піднімання складається з чотирьох кроків. Після закінчення роботи в обстежуваного у положенні сидячи підраховується ЧСС у перші 30 с на 2-й, 3-й і 4-й хвилині відновлення. Обчислення індексу Гарвардського степ-тесту за формулою:
(1)
де t - час сходження в с;
П1 , П2 , П3 , - частота пульсу на 2-й, 3-й і 4-й хвилинах відновного періоду.
Фізична працездатність за індексом Гарвардського степ-тесту оцінюється за шкалою:
| ІГСТ | Оцінка |
| 55 | низька |
| 55-56 | нижча середньої |
| 65-79 | середня |
| 80-89 | добра |
| 90 | відмінна |
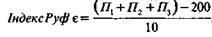
II. Проба Руф'є - непрямий метод визначення фізичної працездатності осіб з відхиленням у стані здоров'я.
Метод ґрунтується на врахуванні величини пульсу, зафіксованого на різних етапах відновлення після відносно невеликого навантаження. Використовується 30 присідань за 45 с або 3-хвилишшй степ-тест. Пульс визначається після 5 хвилин відпочинку в положенні лежачи (сидячи) за 15 с до навантаження, в перші й останні 15 с - на першій хвилині відновлення.
Для оцінки працездатності визначають індекс Руф'є.
(2)
де П1 - вихідний пульс,
П2 - пульс після навантаження,
П3 - в кінці 1-ї хвилини відновлення.
Якщо індекс Руф'є менший 3 - фізична працездатність висока, 4-5 добра, 7-10 - середня, 10-15 - задовільна, 15 і більше - незадовільна.
ІІІ. Масовий тест оцінки фізичного стану осіб різного віку
Запропонований тест оцінки розроблений О.А.Пироговою, Л.Я. Іващенко, Н.П. Страпко та ін. (1984).
Тест дозволяє оцінити фізичний стан у балах. Він містить 7 показників.
1. Характер трудової діяльності. Розумова праця оцінюється в 1 бал, фізична - в 3 бали.
2. Вік. У 20 років нараховуються 20 балів. За кожні наступні п'ять років життя віднімаються 2 бали. Наприклад, у 45 років нараховуються 10 балів [4].
3. Рухова активність. Заняття фізичними вправами 3 і більше разів на тиждень протягом 30 хв. і більше оцінюється 10 балами, менше 3 разів на тиждень - 5 балів, хто не займається - бали не нараховуються.
4. Маса тіла. Особи, які мають нормальну масу тіла, отримують 10 балів (перевищення маси на 8% вище норми). Перевищення маси на 6-14 кг вище норми оцінюється в 6 балів, на 15 кг і більше - 0 балів.
Нормальна маса тіла для осіб чоловічої і жіночої статі визначається за формулою:
(3)
1. Пульс у спокої. За кожний удар пульсу нижче 90 за 1 хв. нараховується 1 бал. Оцінюється в балах різниця між цифрою до і вихідними показниками в спокої. При пульсі вище за 90 ударів на хвилину бали не нараховуються.
2. Артеріальний тиск. Особи, в яких артеріальний тиск не більший 130/80 мм рт.ст., отримують 20 балів. За кожні 10 мм рт.ст. систолічного й діастолічного тиску вище цієї величини нараховується 5 балів.
3. Скарги. При відсутності скарг нараховується 5 балів, а при їх наявності бали не нараховуються.
1.6 Методика тестування та оцінкипоказників фізичних якостей і руховихздібностей
Оцінка рівня розвитку фізичних якостей та рухових здібностей проводиться згідно з результатами тестування на основі комплексу різноманітних вправ. Стандартна програма тестування для всіх видів спорту містить:
1. Біг на 30 м зі старту;
2. Безперервний біг протягом 5 хвилин;
3. Човниковий біг 3x10 м;
4. 10-секундний біг на місці з максимальною частотою рухів;
5. Стрибок у довжину з місця;
6. Стрибок вгору з місця;
7. Стрибки з "добавками";
8. Підтягування з вису на руках;
9. Кидок набивного м'яча;
10. Викрут з палкою;
11. Нахил уперед.
Організація та проведення тестування
При проведенні тестування слід звернути особливу увагу на дотримання вимог інструкції та створення єдиних умов для виконання вправ для всіх учнів. Тестування проводять відповідно до внутрішнього календаря змагань у встановлені строки (вересень, травень щорічно). Результати тестування заносять до паспорта здоров'я, який зберігається в школі. При переході в іншу школу паспорт здоров'я є підставою для внесення учня в списки тренувальних груп та подальшої спортивної підготовки.
Нижче подана коротка інструкція з проведення тестування юних учнів згідно з названою програмою.
1. Біг 30 м з високого старту. Проводиться на доріжці стадіону або легкоатлетичного манежу. Кількість тих, хто стартує в забігу, визначається умовами, при яких учні, що біжать, не заважають один одному. Після 10-15 хвилин розминання дається старт.
2. Безперервний біг 5 хвилин. Умови проведення ті ж. Враховують відстань, яку подолає учень протягом бігу за 5 хвилин.
3. Човниковий біг 3x10 м с. Тест проводять у спортивному залі на рівній доріжці не менше 12-13 хвилин. Відміряють 10-метрову ділянку, початок та кінець якої відмічають лінією (стартова та фінішна лінії). За кожною лінією два півкола радіусом 50 см з центром на лінії. На дальнє півколо за фінішною лінією кладуть дерев'яний кубик (5 куб.см). Обстежуваний стає за ближньою лінією на лінії старту і за командою "Руш!" починає біг у бік фінішної лінії. Оббігає півколо, бере кубик і повертається до лінії старту. Потім кладе кубик (кидати не дозволяється) у півколо на стартовій лінії і знову біжить до дальньої фінішної лінії, пробігаючи її. Враховується час виконання завдання від команди "Руш!" і до перехрещення лінії фінішу.
4. Біг на місці в максимальному темпі. Враховують кількість бігових кроків протягом 10 сек. Тестування проводять у приміщенні з використанням простого обладнання: між двома стійками на відстані 1 м натягують еластичний гумовий бинт на висоті коліна спортсмена, зігнутого під прямим кутом. За командою "Руш!" учень починає з максимальною частотою рухів швидкий біг на місці, кожного разу доторкаючись стегном натягнутої гуми. Підрахунок кроків ведеться за доторканням правим стегном гуми і помножується на 2.
5. Стрибок у довжину з місця (см). Виконують поштовхом двох ніг від лінії або краю дошки на покриття, яке не допускає приземлення. Вимірювання довжини стрибка здійснюють сталевою рулеткою.
6. Стрибок вгору (см). Виконується поштовхом двох ніг з махом рук від поверхні підлоги. Вимірювання висоти стрибка проводять рулеткою або сантиметровою стрічкою за методикою Абалакова.
7. Стрибки з "додаванням". Кількість мінімальних додавань у стрибках у довжину з місця. Процедура тестування наступна: за максимальний результат стрибка в довжину з місця визначають межі, в яких спортсмену доведеться виробляти "прибавки".
На відстані величини максимального результату школяра відмічають крейдою (або іншим орієнтиром, який не заважає виконанню вправ) першу межу. Лінію другої межі відмічають на відстані ? максимального результату. В діапазоні відмічених меж (кожний раз від лінії старту) спортсмен виконує стрибки, послідовно збільшуючи їх відстань. Підрахунок прибавок припиняють, як тільки спортсмен досягнув другої межі (дальнього від старту орієнтира) або якщо в двох стрибках підряд він не додав довжину стрибка. Зараховують стрибки ("додавання"), які своєю довжиною перевищують попередні. Випробувач має право на пробу [15].
8. Підтягування у висі на перекладині. Кількість разів. Виконують з положення вис хватом зверху, руки на ширині плечей. Темп виконання довільний. Підтягування вважається виконаним, якщо при згинанні рук підборіддя вище перекладини. Не зараховуються спроби при допоміжних рухах ніг та тулуба.
9. Кидок набивного м'яча вагою 2 кг. Вперед з-за голови, см. Виконують з положення сидячи, ноги нарізно, м'яч у витягнутих руках над головою. Перед кидком учень займає біля лінії старту положення, при якому тазовий кут, утворений при розведенні ніг, не виходить за стартову лінію. Дальність кидка вимірюють рулеткою.
10. Викрут рук з палкою (см). На палці нанесені поділки з точністю до 1 см (або наклеєна сантиметрова стрічка). З положення стоячи, руки внизу, хватом палки зверху. Піднімають прямі руки вгору й переводять палку назад за спину. Не згинаючи рук у суглобах ліктя, повертають палку у вихідне положення. Визначають відстань між внутрішніми точками хвату.
11. Нахил вперед (см). Виконується стоячи на гімнастичній лавці, ноги разом випрямлені. Глибину нахилу вимірюють за відстанню між кінчиками пальців рук на верхній поверхні лавки за допомогою 2-х закріплених вертикально до лавки лінійок таким чином, щоб нульові оцінки збігалися з верхнім краєм лавки. Одна лінійка звернена вгору, друга - вниз. Якщо кінцівки пальців випробувача нижче верхнього краю лавки, результат записують зі знаком "+", якщо вище - "-". Не дозволяється згинати коліна й робити ривкові рухи.
РОЗДІЛ 2 . Паспорт здоров'я
2.1 Потреба у складанні «Паспорту здоров`я »
Погіршення стану здоров'я й зниження фізичної підготовленості дошкільників, учнів і студентів невпинно прогресує (Р.Т. Раєвський, Є.С. Вільчковський, М.Д. Зубалій та інші). Це вкрай небезпечно, бо основи фізичного й психічного здоров'я закладаються в школі. Суспільство стоїть перед проблемою негайного зупинення цієї тенденції і стимулювання фізкультурно-оздоровчої роботи в навчальних закладах. Система фізичного виховання має формувати в учнів загальнолюдські гуманістичні цінності, образ фізичного "я", який містить усвідомлення схеми тіла, фізичних якостей, забезпечувати виховання творчої особистості, здатної самостійно приймати рішення й реалізувати їх в процесі життя.
Одним із заходів є введення єдиного "Паспорту здоров'я" (сертифікату фізичної культури й здоров'я), який дасть змогу визначити рівні здоров'я, фізичного розвитку та підготовленості учнівської молоді. Проект структури «Паспорту здоров'я» розроблявся авторським колективом на основі валеологічної концепції діалектичної єдності стану здоров'я і критеріїв, що його визначають. Це - рівні фізичного розвитку рухової підготовки, працездатності й спортивних досягнень, які відбивають функціональні можливості організму.
Головними чинниками, що сприяють зміцненню здоров'я, є здоровий спосіб життя й систематичні заняття фізичними вправами, а основними показниками стану здоров'я і чинниками, котрі впливають на його визначення, належність до медичної групи; пропуски навчальних днів через хворобу; показники фізичного розвитку й рівня працездатності та підготовленості; рівні спортивної підготовленості, знань і вмінь з фізичної культури тощо. Нагромадження даних й оцінювання групується на попередній роботі: медичному огляді, тестування, фізичній, теоретичній та методичній підготовленості, обліку спортивних досягнень. У паспорт не вносяться певні формулювання, щоб вони не принижували гідності його власника, не приносили йому морального незадоволення (наприклад, "не дотримує здорового способу життя", "палить", "вживає алкогольні напої" тощо), хоча їх враховують при оцінці стану здоров'я.
2.2. Положення про «Паспорт здоров'я»
1. Положення визначає статус "Паспорту здоров'я", мету його впровадження, порядок оформлення і вручення.
2. "Паспорт здоров'я" є офіційним свідченням індивідуальних рівнів здоров'я, фізичного розвитку й рухової підготовленості, досягнутих за період навчання. Він запроваджується згідно з "Державною програмою розвитку фізичної культури і спорту в Україні".
3. Мета впровадження "Паспорту здоров'я" - сприяти поліпшенню стану здоров'я, підвищенню усвідомлення й рівня фізичної культури підростаючого покоління, значущості та якості фізичного виховання. Показники "Паспорту здоров'я" також слугують підвищенню конкурентоспроможності його власника при прийнятті на навчання, роботу і є важливою основою для виявлення переваг за інших рівних умов.
4. "Паспорт здоров'я" є офіційним документом єдиного зразка і видається після закінчення дошкільного закладу, першого, другого й третього ступенів загальноосвітньої школи, професійного навчально-виховного та вищого навчального закладів.
Подається обов'язково при переході від одного ступеня освіти до іншого, вступі до навчального закладу, зарахуванні на роботу, під час призову до Збройних Сил України.
5. У "Паспорті здоров'я" зазначаються: особові дані; узагальнені показники стану здоров'я; показники функціональних можливостей організму; оцінки фізичного розвитку, рухової підготовленості й працездатності; показники спортивної підготовленості; оцінка рівня теоретичної і методичної підготовленості з фізичної культури, показники щодо дотримання здорового способу життя тощо.
6. "Паспорт здоров'я" оформляють: класний керівник (у середньому навчальному закладі), викладач фізичного виховання (у вузі) за стандартною методикою на основі особової справи, даних медичного огляду, спеціальних обстежень, результатів державного тестування, заліків з фізичного виховання, педагогічних спостережень і співбесід.
7. Заповнений документ підписують класний керівник (учитель фізичної культури, викладач фізичного виховання), лікар, керівник навчального закладу, його завіряють печаткою.
8. Вручається "Паспорт здоров'я" в урочистій обстановці.
9. Відповідальність за об'єктивність даних і видачу "Паспорта здоров'я" несе адміністрація дошкільної установи, середнього загальноосвітнього, професійного навчально-виховного або вищого навчального закладів.
Паспорт здоров'я (сертифікат фізичної культури і здоров'я)
Прізвище
ім'я, по батькові
число, місяць, рік народження
навчальний заклад
місто (селище, село)
стан здоров'я (медична група)
кількість занять, пропущених через захворювання
Зріст, см
Маса тіла, кг
Окружність грудної клітки, см
Артеріальний тиск, мм рт. ст.
систолічний
діастолічний
ЧСС,уд/хв.
Максимальне споживання кисню, мл/хв./кг
(прогнозоване)
Фізична працездатність
оцінка (висока, середня, низька)
Фізична підготовленість за державним тестуванням
якісна (відмінна, добра, задовільна, незадовільна) і кількісна оцінки
Теоретична підготовленість
оцінка
Методична підготовленість
оцінка
Спосіб життя
наявність шкідливих звичок
участь у процесі фізичного виховання
спортивна підготовленість
Керівник навчального закладу
підпис
Класний керівник
підпис
(учитель фізичної культури, викладач фізичного виховання)
Лікар
підпис
МП
«__»_____2000р.
2.3. Методика оформлення «Паспорта здоров'я»
«Паспорт здоров’я» заповнюють після проходження медичного огляду, державного тестування, оцінювання теоретичних і методичних знань з фізичної культури. До нього вносять такі дані:
Особові дані: прізвище, ім'я, по батькові, рік народження, клас (група, курс), назва навчального закладу тощо (переносять у документ з особової справи власника "Паспорта здоров'я").
Характеристика стану здоров'я і фізичного розвитку: відомості про стан здоров'я й фізичний розвиток отримують з результатів останнього медичного обстеження. У графі "Стан здоров'я" записують узагальнені висновки фахівців щодо медичної групи власника «Паспорта здоров'я»: «віднесений до основної (підготовчої, спеціальної) медичної групи».
Дані фізичного розвитку (зріст, маса тіла, окружність грудної клітки, артеріальний тиск, ЧСС) переносять з медичної картки без їх оцінювання.
Визначення максимального споживання кисню (МСК).
Максимальне споживання кисню встановлюють під час спеціального обстеження проведеного лікарем або досвідченим учителем фізичної культури (викладачем фізичного виховання) за однією із загальноприйнятих методик. Для цього використовують природні фізичні вправи (плавання, біг тощо), тести на східцях, велоергометрі, тредбані (тредмилі). За браком належних умов МСК можна прогнозувати за результатами бігового тесту на витривалість, що застосовується для оцінки фізичної підготовленості.
За медичних протипоказань МСК не визначають, а в графі записують: «не визначалося».
Оцінка фізичної працездатності. Фізичну працездатність оцінюють за чотирибальною шкалою ("відмінна", "добра", "задовільна"„ "незадовільна") за прогнозованою величиною максимального споживання кисню (МСК). За показником МСК оцінюємо фізичну працездатність. У цьому разі вона – «відмінна».
Оцінка фізичної підготовленості. Фізичну підготовленість оцінюють за результатами державного тестування. Записують якісну й кількісну (в балах) оцінку.
Характеристика спортивної підготовленості. Спортивна підготовленість визначається виступами в змаганнях, наявністю спортивного розряду або звання з виду спорту. В "Паспорт здоров'я" записують за документальним підтвердженням одне з таких формулювань: "виступав (ла) у змаганнях з... (зазначається вид спорту)"; "має... розряд з... (розряд і вид спорту)"; "є кандидатом у майстери спорту... (майстром спорту України, майстром спорту України міжнародного класу) з... (вид спорту)". Якщо власник "Паспорту здоров'я" не брав участі в змаганнях і не має спортивного розраду або звання, то в графі "спортивна підготовленість" роблять прочерк [7].
Оцінка теоретичної і методичної підготовленості з фізичної культури. Теоретичну й методичну підготовленість з фізичної культури оцінює вчитель фізичної культури (викладач фізичного виховання) за чотирибальною шкалою ("відмінна", "добра", "задовільна", "незадовільна") за результатами співбесіди з цих розділів або заліків з фізичного виховання (якщо вони проводилися). Висновок про дотримування здорового способу життя (ЗСЖ). Учитель фізичної культури (викладач фізичного виховання) визначає місце в способі життя (дошкільника, учня, студента) фізичної праці, ефективного пієляробочого відновлення, раціональної рухової активності у фізіологічне обґрунтованому обсязі, загартовування, особистої гігієни, психогігієни. Фахівці фізичної культури також визначають наявність чи відсутність в учня (дошкільника, студента) шкідливих звичок, чи дотримує він режиму життя, раціонального харчування тощо.
Для цього користуються різними видами опитування, педагогічними спостереженнями, методом незалежних характеристик тощо. На основі одержаних даних роблять висновки: "веде ЗСЖ" (якщо обстежуваний регулярно використовує всі дійові компоненти ЗСЖ, рекомендовані для його віку); загалом дотримує ЗСЖ (якщо використовують всі дійові компоненти ЗСЖ, але з деякими відхиленнями від науково обґрунтованих рекомендацій);
«прагне дотримувати ЗСЖ» (якщо використовуються основні дійові компоненти ЗСЖ, але нерегулярно). Окремо характеризують ставлення до шкідливих звичок: паління і вживання алкогольних напоїв. Указують тільки на негативне ставлення до них: «не палить», «алкогольні напої не вживає».
Оцінка участі в процесі фізичного виховання. Оцінюють за регулярністю відвідування навчальних і позакласних (позаудиторних) занять фізичною культурою (фізичним вихованням) протягом останнього року. У "Паспорті здоров'я" за цим критерієм описуються такі формулювання: "фізичною культурою (фізичним вихованням) не займається"; "був(ла) звільнений(а) від уроків фізичної культури (практичних занять фізичним вихованням) за станом здоров'я"; "нерегулярно займався (лася) фізичною культурою (фізичним вихованням) на навчальних заняттях" (при відвідуванні до 80% уроків фізкультури чи занять фізичним вихованням); "нерегулярно займався(лася) фізичною культурою на навчальних і позакласних (позааудиторних) заняттях" (при відвідуванні до 80% уроків фізкультури чи занять фізичним вихованням) та епізодичних заняттях у спортивній секції, участі в одному-двох фізкультурних або спортивних заходах); "регулярно займався(лася) фізичною культурою (фізичним вихованням) на уроках фізкультури" (заняттях фізичним вихованням) (при відвідуванні понад 80% уроків фізкультури чи занять фізичним вихованням); "регулярно займався(лася) фізичною культурою (фізичним вихованням) на навчальних і позакласних (позааудиторних) заняттях" (при відвідуванні понад 80% уроків фізкультури, занять фізичним вихованням, у спортивній секції самостійних тренувань, участі в трьох-чотирьох фізкультурних або спортивних заходах тощо); "регулярно займався(лася) спортом" (при відвідуванні занять у ДЮСШ, спортивному відділенні вузу, СДЮШОР, ШВСМ тощо).
РОЗДІЛ 3. Методи та методика дослідження
3.1 Методи дослідження
Вимірювання сили м’язів.
Використовується кистьовий динамометр. Кистьовий динамометр має овальну форму і представлений сталевою пружиною, ступінь стиску якої реєструється стрілкою. Використовуються кистьові динамометри різних марок: ДК-25 – для дітей, ДК-50 – для жінок і підлітків, ДК-100 – для чоловіків, ДК-140 – для спортсменів.
Візьміть кистьовий динамометр кистю правої руки, яку відведіть від тулуба до отримання з ним прямого кута. Стисніть з максимальною силою пальці правої кисті 5 раз, роблячи інтервали в декілька хвилин і кожен раз фіксуючи положення стрілки. Найбільше відхилення стрілки динамометра являється показником максимальної сили м’язів кисті. Зробіть ці ж визначення для лівої руки.
Вислуховування тонів серця, визначення частоти пульсу, вимірювання артеріального тиску, систолічного і хвилинного обсягу крові у людини
Серцеві скорочення супроводжуються рядом механічних і звукових проявів, реєструючи які можна отримати уявлення про динаміку скорочення серця.
При роботі серця виникають звуки, які називають тонами серця. При прослуховуванні (аускультації) тонів серця на поверхні лівої половини грудної клітки чутно два тони: І тон (систолічний), ІІ тон – на початку діастоли (діастолічний). Тон І більш протяжний і низький, ІІ – короткий і високий.
Поява І тону пов’язана із закриттям прередсердньо-шлуночкових клапанів в систолу шлуночків і вібрацією стінок шлуночків. ІІ тон виникає при захлопуванні клапанів аорти і легеневого стовбура, що призводить до коливання крові.
На ФКГ, крім І і ІІ тонів, реєструються ІІІ і ІV тони серця (більш тихі, чим І і ІІ, тому нечутні при звичайній аускультації).
Тон ІІІ виникає внаслідок вібрації стінок шлуночків при швидкому припливу крові в шлуночки на початку їх наповнення.
Тон ІV має два компонента. Перший із них виникає при скороченні міокарда передсердь, а другий з’являється на самому початку розслаблення передсердь і падіння тиску в них.
Серце вислуховують за допомогою приладів – фонендоскопа та стетоскопа.
Існує певна послідовність при вислуховуванні серця. У першу чергу вислуховують двостулковий (митральний) клапан біля верхівки серця – у п’ятому міжреберному проміжку на 1-2 см досередини від серединно-ключичної лінії, потім тристулковий клапан – біля основи мечовидного відростка груднини; потім аортальний клапан справа від грудини у другому міжребер’ї і нарешті, клапан легеневого стовбура – у другому міжребер’ї зліва від грудини [10].
Одним з найважливіших показників серцевої діяльності є артеріальний пульс. У момент викидання крові розширюється початкова частина судинного русла, це явище через еластичність стінок артерій поширюється, як хвиля коливань уздовж всієї артеріальної системи. Коливання ці названо пульсовими.
При кожному скороченні серця в артерії викидається певна кількість крові, що називається систолічним або ударним обсягом крові.
Величина кров'яного тиску залежить головним чином від систолічного обсягу крові і діаметру судин. В свою чергу систолічний обсяг крові залежить від сили скорочень серця: чим сильніше скорочення, тим більше обсяг крові, що викидається. Тому тиск в артеріях буде тим вище, чим сильніше скорочення серця.
Тиск в артеріях неоднаковий в різних фазах серцевого циклу. Він найбільший під час систоли і називається систолічним або максимальним тиском.
Під час діастоли тиск крові найменший, він називається діастолічним або мінімальним тиском.
ПТ=СТ-ДТ
Різниця між систолічним і діастолічним тиском одержала назву пульсового тиску. Він є важливим показником функціонального стану серцево-судинної системи.
Вислуховування тонів серця у людини.
Оливи фонендоскопа продезинфікувати спиртом і вислухати тони серця у досліджуваного в стані спокою. Зазначити відмінності в силі тонів. Схарактеризувати перший і другий тони серця.
Підрахунок пульсу пальпаторним методом.
В основі великого пальця руки нащупують пальцями (вказівним, середнім, підмізинним одночасно) променеву артерію (за її пульсацією), злегка притискують до кості, а потім відпускають до найбільш відчутних коливань і підраховують частоту пульсу за 1 хв. Повторюють підрахунок після фізичного навантаження (10—20 присідань), завважують відмінності у частоті пульсу.

Рис. 1. Вимірювання кров’яного тиску за способом Короткова. 1- ртутний сфігмоманометр, 2- манжетка, 3- фонендоскоп
Вимірювання кров’яного тиску.
Досліджуваний оголює ліву руку. Обгорнути манжету щільно навколо середини плеча випробуваного так, щоб її нижній край знаходився на 2,5—3 см вище ліктьового вигину.
Сфігмоманометр не повинний знаходитися в полі зору випробуваного. Рівень ртуті в ньому (або положення стрілки пружинного манометра) повинний відповідати нулю. В області ліктьового згину на променевій артерії установіть фонендоскоп. Нагнітайте повітря в манжету доти, поки сфігмоманометр покаже 160—180 мм рт. ст. (до повного зникнення пульсу).
Повільно випускайте повітря з манжети. Знижуючи тиск у манжетці, уважно слухайте, і з появою першого звуку зафіксуйте показання манометра. Це буде величина максимального (систолічного) тиску, тобто в цей момент тільки під час систоли кров проштовхується через здавлену ділянку судини. Продовжуйте прослухувати пульсові поштовхи.
Вони поступово загасають, і в момент повного зникнення звуку знову зафіксуйте показання сфігмоманометру. Ця величина відповідає мінімальному (діастолічному) тискові. У цей час тиск у манжеті дорівнює діастолічному і кров безшумно починає протікати під манжетою не тільки під час систоли, але і під час діастоли.
Досліджуйте вплив фізичного навантаження на величину кров'яного тиску і пульс. Для цього запропонуєте випробуваному зробити 10-20 присідань (глибоких і швидких), після чого протягом 10 с підрахуйте його пульс і відразу ж визначте величину кров'яного тиску. Розрахуйте частоту серцевих скорочень (ЧСС) за 1 хв, для чого отримане число ударів за 10 с помножте на 6. Це число вам знадобиться надалі для підрахунку хвилинного обсягу крові.
Визначення систолічного і хвилинного обсягу крові розрахунковим методом.
У зв'язку з неможливістю широко використовувати існуючі лабораторні методи визначення систолічного (СО) хвилинного (ХОК) обсягів крові в мілілітрах різні слідчі на підставі експериментальних даних вивели формули для їхнього розрахунку.
Широке застосування одержала формула Старра:
С0= [(101 + 0,5 ПТ)-(0,6 ДТ)]-0,6А,
де СО — систолічний обсяг; ПТ — пульсовий тиск; ДТ - діастолічний тиск;
А — вік випробуваного.
Установлено, що розрахункові величини СО, отримані за допомогою цієї формули, добре збігаються з даними, добутий класичними методами.
Використовуючи отримані вами дані при визначенні артеріального тиску, розрахуйте по формулі Старра функціональних величин: у спокої і після виконання фізичного навантаження. Розрахуйте також хвилинний обсяг крові в спокої і після роботи, для чого величину СО помножте на число скорочень ца в 1 хв:
ХОК =СО ЧСС
Визначення основних показників функціонування дихальної системи.
Спірометрія – метод визначення життєвої емкості легенів і об’ємів повітря, що її складають. Ці показники залежать від віку, зросту, статі, фізичного розвитку людини та інших факторів.
Дихальний об’єм (ДО) – об’єм повітря, що його людина вдихає і видихає у спокійному стані.
Резервний об’єм вдиху (РОВд) – максимальний об’єм повітря, яке можна вдихнути додатково після спокійного вдиху.
Резервний об’єм видиху (РОВид) – максимальний об’єм повітря, яке можна видихнути додатково після спокійного видиху.
Життєва ємність легенів (ЖЄЛ) — максимальний об'єм повітря, яке можна видихнути після максимального вдиху.
ЖЄЛ=ДО+РОВд+РОВид
Залишковий об'єм (ЗО) — об'єм повітря в легенях, після максимального видиху. Залишковим об'ємом вважають 1000 мл.
Функціональна залишкова ємність (ФЗЄ) — об'єм повітря в легенях, що залишається після спокійного видиху. Вона дорівнює сумі залишкового і резервного об'ємів.
ФЗЄ = ЗО+РОВид
Загальна ємність легенів (ЗЄЛ) — об'єм повітря в легенях після максимального вдиху. Визначається сумою величин ЖЄЛ і ЗО.
ЗЄЛ=ЖЄЛ+ЗО
Хвилинний об'єм дихання (ХОД) — об'єм повітря, яке проходить через легені за 1 хв. Його розраховують, підсумовуючи дихальні об'єми (ДО) за 1 хв спокійного дихання, або спрощено:
ХОД мл/хв = ЧД∙ДО
де ЧД — число дихальних рухів за 1 хв (частота дихання), ДО — дихальний об'єм, мл.
Величина ХОД залежить від ряду факторів: фізичного навантаження, вмісту СО2 , недостачі О2 у повітрі, що вдихується. Збільшення легеневої вентиляції спостерігається при підвищеній потребі організму в кисні і може відбуватися шляхом поглиблення дихання та збільшення його частоти [14].
Максимальна вентиляція легенів (МВЛ)—об'єм повітря, яке може пройти через дихальну систему протягом 1 хв при максимально інтенсивному диханні. Досліджуваний повинен дихати якомога глибше і частіше. МВЛ визначають, підсумовуючи об'єми всіх дихальних рухів при форсуванні дихання за 15 хв і потім перераховуючи на 1 хв.
Величина МВЛ показник від індивідуальних властивостей досліджуваного.
Людина може довільно регулювати частоту і глибину дихання, здійснювати затримку дихання. Однак затримка дихання не може бути занадто довгою. тому що в крові людини, що затримала дихання, накопичується вуглекислий газ, а коли його концентрація досягає надпорогового рівня, збуджується дихальний центр і дихання поновлюється незалежно від волі людини. Так як збудливість дихального центру у різних людей різна, то і тривалість довільної затримки дихання виявляється у них різною.
Час затримки дихання можна збільшити, якщо провести гіпервентиляцію легень (декілька частих та глибоких вдихів та видихів протягом 20-30 с). Під час гіпервентиляції вуглекислий газ “вимивається” із крові та час його накопичення до рівня, що збуджує дихальний центр, збільшується. Це і дозволяє після гіпервентиляції легень здійснювати затримку дихання на значно більший час.
При наявності газоаналізатора, що служить для визначення вмісту кисню та вуглекислого газу в повітрі, що вдихується, можна переконатися в тому, що при гіпервентиляції та затримці дихання в повітрі, що вдихується, значно змінюється вміст вуглекислого газу і майже не змінюється вміст кисню. Отже, гуморальним фактором, що збуджує дихальний центр та впливає на тривалість затримки дихання, є вуглекислий газ.
Матеріали та обладнання: спірометр, секундомір, спирт, вата.

Рисунок 2. Схематичне зображення об’ємів легень і ємності легень.
РОвд – резервний об’єм вдиху; ДО – дихальний об’єм; РОвид – резервний об’єм видиху; ОО - залишковий об’єм; Євд – ємність вдиху; ФОЄ – функціональна залишкова ємність; ЖЄЛ – життєва ємність легень; ОЄЛ – загальна ємність легень.
Для визначення показників дихальної системи використовують спірометр, мундштук якого протирають змоченою спиртом ватою. Для визначення дихального об’єму (ДО) досліджуваний в стані спокою вдихує і видихує повітря в спірометр. Точність буде вище, якщо вимірювання зробити кілька разів і обчислити середню величину. При багаторазових вимірюваннях необхідно щоразу встановлювати вимірювальну шкалу спірометра у вихідне положення, для чого її повертають на нульову позначку і сполучають із стрілкою.
Життєву ємність легень визначають так: досліджуваний після максимального вдиху робить максимальний видих у спірометр. По шкалі спірометра визначають ЖЄЛ. ЖЄЛ визначають у сидячому положенні досліджуваного, а також після фізичного навантаження. Зазначають різницю в результатах.
Для визначення резервного об'єму видиху досліджуваний після чергового спокійного видиху робить максимальний видих у спірометр. По шкалі визначають резервний об'єм видиху. Повторюють кілька разів і обчислюють середню величину.
Резервний об'єм вдиху можна обчислити або виміряти спірометром. При обчисленні необхідно від величини ЖЄЛ відняти суму дихального об'єму і резервного об'єму видиху. При вимірюванні резервного об'єму вдиху спірометром у нього набирають певний об'єм повітря, і досліджуваний після спокійного вдиху робить максимальний вдих із спірометра. Різниця між первинним об'ємом повітря у спірометрі і тим, який лишився після глибокого вдиху, відповідає резервному об'єму вдиху.
Для визначення залишкового об'єму повітря поки що не існує прямих методів, тому використовують непрямі. Вони ґрунтуються на різних принципах. Використовують, наприклад, плетизмографію, оксигемометрію і вимірювання концентрації індикаторних газів (гелій, азот). Вважають, що в нормі залишковий об'єм становить 25 % від величини ЖЄЛ (1000 мл).
Для визначення ХОД необхідно порахувати число дихальних рухів за хвилину.
Визначення величини максимального споживання кисню
Величина максимального споживання кисню (МСК) залежить головним чином від розвитку систем дихання та кровообігу. Тому Всесвітня організація охорони здоров’я признала МСК найбільш об’єктивним та інформативним показником функціонального стану кардіореспіраторної системи [7].
Оскільки основним джерелом енергії при м’язовій роботі являються процеси, які відбуваються за участю кисню, то по величині максимального споживання кисню судять про фізичну працездатність людини.
Величина максимального споживання кисню змінюється з віком і неоднакова у осіб різної статті. Найбільш об’єктивним показником працездатності людини являється величина відносного МСК (МСК/кг). Для її визначення ділять величину МСК, отриману в експерименті, на масу тіла піддослідного (в кг).
Таблиця 5 - Оцінка фізичної працездатності людини по показникам відносного максимального споживання кисню МСК/кг)
| МСК/кг | Оцінка | |
| Чоловіки | Жінки | |
| 55-60 | 45-50 | Відмінно |
| 50-54 | 40-44 | Добре |
| 45-49 | 35-39 | Задовільно |
| 44 і нижче | 34 і нижче | Незадовільно |
Величину потужності роботи і частоту серцевих скорочень визначають при фізичному навантаженні, яке отримало назву степ-тест (сходження на сходинку висотою 40см і спуск із неї).
На 5-й хв. роботи підраховують точну кількість циклів з 1хв і відразу по закінченні роботи (після останнього спуску зі сходинки) пальпаторно чи за допомогою фонендоскопа визначають частоту серцевих скорочень протягом перших 10с відновлювального періоду.
Знаючи масу тіла піддослідного, висоту стільця і кількість циклів в 1хв, розраховують потужність роботи по формулі
N=P∙h∙n∙1,5,
де N – потужність роботи; Р – маса тіла піддослідного, h∙- висота стільця; n – кількість циклів; 1,5 – коефіцієнт підйому і спуску.
Якщо, наприклад, маса тіла 20-річного піддослідного 70кг, висота стільця 0,4м (40см) і зробив він 20 сходжень і спусків (циклів) за 1хв, то потужність виконаної їм роботи виявиться:
N = 70∙0,4∙20∙1,5 = 840 кг/хв.
Пульс, підрахований протягом 10с відновлення, дорівнює 24 ударам. Отже, в 1хв
ЧСС = 24∙6 = 144 уд/хв.
Визначення величини максимального споживання кисню проводиться по формулі Добельна, яка враховує потужність роботи в степ-тесті (кгм/хв.), пульс в стійкому стані на 5-й хв. роботи та вік піддослідного:
МПК = 1,29
,
де N – потужність роботи (кгм/хв.); Н – пульс на 5-й хв. (уд/хв.); К – віковий коефіцієнт.
Таблиця 2. Величина коефіцієнта (К) в залежності від віку
| Вік, в роках | Коефіцієнт, К | Вік, в роках | Коефіцієнт, К |
| 18 | 0,853 | 22 | 0,823 |
| 19 | 0,846 | 23 | 0,817 |
| 20 | 0,839 | 24 | 0,809 |
| 21 | 0,831 | 25 | 0,799 |
МСК в нашому прикладі буде дорівнювати:
МСК = 1,29
;
МСК/кг = ![]()
Піддослідний по сигналу експериментатора починає роботу (сходження на сходинку і спуск). Робота здійснюється зі швидкістю 80 кроків в 1хв (20 циклів). Час роботи контролюється по секундоміру.
В процесі експерименту піддослідний повинен здійснити строго вертикальний спуск (не відтягувати ногу далеко назад) і не менше двох разів міняти опорну для підйому ногу.

В кінці 3-ї хвилини експериментатор зупиняє піддослідного на 10с і підраховує у нього пульс. Якщо він виявився нижче 130 ударів в 1хв, то темп роботи необхідно збільшити на 4-5 циклів в 1хв. Якщо ж пульс вище 150 уд/хв., то кількість циклів слід зменшити.
Після цієї проби робота в степ-тесті продовжується. На 5-й хвилині точно підраховується кількість циклів і після останнього кроку (спуску зі сходинки) протягом 10с визначається пульс.
3.2 Організація дослідження
Дослідження проводилося на 15 студентах Чернігівського Державного Інституту Економіки і Управління
Дослідження проводилося в 3 етапи, тобто присутні три види контролю. Дослідження показників соматичного здоров`я проводилися за відповідними методиками.
Вид контролю Дата обстеження
Базовий контроль (вересень-жовтень) 25.09.2005
Проміжний контроль (січень-лютий) 20.01.2006
Граничний контроль (квітень-червень) 05.04.2006
РОЗДІЛ 4. Результати дослідження та заповнення «паспорту здоров`я»
«Паспорта здоров`я»
Студент
Навчальний заклад: Чернігівський Державний Інститут Економіки і Управління
| Початкова оцінка | Дата обстеження | Кількість балів | Рівень соматичного здоров`я | |
| Базовий контроль (вересень-жовтень) | 25.09.2005 | 8 | Середній | |
| Проміжний контроль (січень-лютий) | 20.01.2006 | 8 | Середній | |
| Граничний контроль (квітень-червень) | 05.04.2006 | 8 | Середній | |
| Показники | Базовий контроль | Проміжний контроль | Граничний контроль | |
| Вік (років, місяців) | 19 років 6 міс. | 19 років 10 міс | 20 років | |
| Зріст (см) | 192 | 192 | 192 | |
| Вага (кг) | 134 | 134 | 134 | |
| ЧСС в спокої (за 15 сек.) | 17 | 17 | 16 | |
| Р1 – ЧСС в спокої (за 15 сек.) | 17 | 17 | 16 | |
| Р2 – ЧСС після 30 присідань (за 15 сек.) | 22 | 22 | 22 | |
| Р3 – ЧСС через 45 після 30 присідань (за 15 сек.) | 20 | 21 | 20 | |
| АТ тиск в стані спокою | 110/70 | 110/70 | 110/70 | |
| АТ після 30 присідань (мм.рт.ст.) | 120/80 | 120/80 | 120/80 | |
| Динамометрія | ||||
| Права рука | 31 | 31 | 30 | |
| Ліва рука | 29 | 30 | 29 | |
| ЖЕЛ (мл) | 4600 | 4650 | 4600 | |
| Виконання нормативів на уроках фізкультури | Всі згідно програми | Всі згідно програми | Всі згідно програми | |
| Перенесені захворювання | відсутні | відсутні | відсутні | |
| Дотримання режиму дня, сон (годин) | 8 год. сну | 8 год. сну | 8 год. сну | |
| Виконання уроків (годин) | 3-4 | 4-5 | 3-4 | |
| Прогулянки на свіжому повітрі (годин) | 4-5 | 2-3 | 4-5 | |
| Характер харчування (раз на день) | 3 разове | 3 разове | 3 разове | |
| Молочні продукти | + | + | + | |
| М`ясні і рибні продукти | + | + | + | |
| Фрукти | + | + | + | |
| Овочі, соки | + | + | + | |
| Яйця | + | + | + | |
| Рослинне масло | + | + | + | |
| Улюблена страва | + | + | + | |
| Ранкова зарядка (хв.) | 30 хв. | 35 хв. | 30 хв. | |
| Заняття в спортивних секціях | + | + | + | |
«Паспорта здоров`я»
Студент
Навчальний заклад: Чернігівський Державний Інститут Економіки і Управління
| Початкова оцінка | Дата обстеження | Кількість балів | Рівень соматичного здоров`я | ||
| Базовий контроль (вересень-жовтень) | 25.09.2005 | 8 | Середній | ||
| Проміжний контроль (січень-лютий) | 20.01.2006 | 8 | Середній | ||
| Граничний контроль (квітень-червень) | 05.04.2006 | 8 | Середній | ||
| Показники | Базовий контроль | Проміжний контроль | Граничний контроль | ||
| Вік (років, місяців) | 19 років 3 міс. | 19 років 7міс | 19 років 10 міс. | ||
| Зріст (см) | 190 | 190 | 190 | ||
| Вага (кг) | 124 | 121 | 124 | ||
| ЧСС в спокої (за 15 сек.) | 16 | 16 | 15 | ||
| Р1 – ЧСС в спокої (за 15 сек.) | 16 | 16 | 16 | ||
| Р2 – ЧСС після 30 присідань (за 15 сек.) | 24 | 24 | 24 | ||
| Р3 – ЧСС через 45 після 30 присідань (за 15 сек.) | 21 | 21 | 21 | ||
| АТ тиск в стані спокою | 110/70 | 110/70 | 110/70 | ||
| АТ після 30 присідань (мм.рт.ст.) | 120/80 | 120/80 | 120/80 | ||
| Динамометрія | |||||
| Права рука | 30 | 32 | 30 | ||
| Ліва рука | 30 | 30 | 30 | ||
| ЖЕЛ (мл) | 4500 | 4550 | 4500 | ||
| Виконання нормативів на уроках фізкультури | Всі згідно програми | Всі згідно програми | Всі згідно програми | ||
| Перенесені захворювання | відсутні | відсутні | відсутні | ||
| Дотримання режиму дня, сон (годин) | 7 год. сну | 7 год. сну | 7 год. сну | ||
| Виконання уроків (годин) | 3-4 | 4-5 | 3-4 | ||
| Прогулянки на свіжому повітрі (годин) | 4-5 | 2-3 | 4-5 | ||
| Характер харчування (раз на день) | 3 разове | 3 разове | 3 разове | ||
| Молочні продукти | + | + | + | ||
| М`ясні і рибні продукти | + | + | + | ||
| Фрукти | + | + | + | ||
| Овочі, соки | + | + | + | ||
| Яйця | + | + | + | ||
| Рослинне масло | + | + | + | ||
| Улюблена страва | + | + | + | ||
| Ранкова зарядка (хв.) | 40 хв. | 35 хв. | 30 хв. | ||
| Заняття в спортивних секціях | + | + | + | ||
«Паспорта здоров`я»
Студент:
Навчальний заклад: Чернігівський Державний Інститут Економіки і Управління
| Початкова оцінка | Дата обстеження | Кількість балів | Рівень соматичного здоров`я | ||
| Базовий контроль (вересень-жовтень) | 25.09.2005 | 8 | Середній | ||
| Проміжний контроль (січень-лютий) | 20.01.2006 | 8 | Середній | ||
| Граничний контроль (квітень-червень) | 05.04.2006 | 8 | Середній | ||
| Показники | Базовий контроль | Проміжний контроль | Граничний контроль | ||
| Вік (років, місяців) | 19 років 8 міс. | 20 років | 20 років 3 міс. | ||
| Зріст (см) | 178 | 178 | 178 | ||
| Вага (кг) | 104 | 104 | 104 | ||
| ЧСС в спокої (за 15 сек.) | 17 | 17 | 16 | ||
| Р1 – ЧСС в спокої (за 15 сек.) | 17 | 17 | 16 | ||
| Р2 – ЧСС після 30 присідань (за 15 сек.) | 22 | 22 | 22 | ||
| Р3 – ЧСС через 45 після 30 присідань (за 15 сек.) | 20 | 21 | 20 | ||
| АТ тиск в стані спокою | 120/70 | 120/70 | 120/70 | ||
| АТ після 30 присідань (мм.рт.ст.) | 120/80 | 120/80 | 120/80 | ||
| Динамометрія | |||||
| Права рука | 31 | 31 | 30 | ||
| Ліва рука | 29 | 30 | 29 | ||
| ЖЕЛ (мл) | 4550 | 4550 | 4600 | ||
| Виконання нормативів на уроках фізкультури | Всі згідно програми | Всі згідно програми | Всі згідно програми | ||
| Перенесені захворювання | відсутні | відсутні | відсутні | ||
| Дотримання режиму дня, сон (годин) | 8 год. сну | 8 год. сну | 8 год. сну | ||
| Виконання уроків (годин) | 3-4 | 4-5 | 3-4 | ||
| Прогулянки на свіжому повітрі (годин) | 4-5 | 2-3 | 4-5 | ||
| Характер харчування (раз на день) | 3 разове | 3 разове | 3 разове | ||
| Молочні продукти | + | + | + | ||
| М`ясні і рибні продукти | + | + | + | ||
| Фрукти | + | + | + | ||
| Овочі, соки | + | + | + | ||
| Яйця | + | + | + | ||
| Рослинне масло | + | + | + | ||
| Улюблена страва | + | + | + | ||
| Ранкова зарядка (хв.) | 30 хв. | 35 хв. | 30 хв. | ||
| Заняття в спортивних секціях | + | + | + | ||
«Паспорта здоров`я»
Студент
Навчальний заклад: Чернігівський Державний Інститут Економіки і Управління
| Початкова оцінка | Дата обстеження | Кількість балів | Рівень соматичного здоров`я | ||
| Базовий контроль (вересень-жовтень) | 25.09.2005 | 8 | Середній | ||
| Проміжний контроль (січень-лютий) | 20.01.2006 | 8 | Середній | ||
| Граничний контроль (квітень-червень) | 05.04.2006 | 8 | Середній | ||
| Показники | Базовий контроль | Проміжний контроль | Граничний контроль | ||
| Вік (років, місяців) | 19 років 6 міс. | 19 років 10 міс | 20 років | ||
| Зріст (см) | 172 | 172 | 172 | ||
| Вага (кг) | 94 | 94 | 94 | ||
| ЧСС в спокої (за 15 сек.) | 18 | 18 | 18 | ||
| Р1 – ЧСС в спокої (за 15 сек.) | 18 | 18 | 18 | ||
| Р2 – ЧСС після 30 присідань (за 15 сек.) | 22 | 22 | 22 | ||
| Р3 – ЧСС через 45 після 30 присідань (за 15 сек.) | 20 | 21 | 20 | ||
| АТ тиск в стані спокою | 100/70 | 100/70 | 100/70 | ||
| АТ після 30 присідань (мм.рт.ст.) | 110/80 | 110/80 | 110/80 | ||
| Динамометрія | |||||
| Права рука | 30 | 30 | 30 | ||
| Ліва рука | 29 | 29 | 29 | ||
| ЖЕЛ (мл) | 4300 | 4350 | 4300 | ||
| Виконання нормативів на уроках фізкультури | Всі згідно програми | Всі згідно програми | Всі згідно програми | ||
| Перенесені захворювання | відсутні | відсутні | відсутні | ||
| Дотримання режиму дня, сон (годин) | 6 год. сну | 6 год. сну | 6 год. сну | ||
| Виконання уроків (годин) | 4 | 4 | 4 | ||
| Прогулянки на свіжому повітрі (годин) | 4-5 | 2-3 | 4-5 | ||
| Характер харчування (раз на день) | 4 разове | 4 разове | 3 разове | ||
| Молочні продукти | + | + | + | ||
| М`ясні і рибні продукти | + | + | + | ||
| Фрукти | + | + | + | ||
| Овочі, соки | + | + | + | ||
| Яйця | + | + | + | ||
| Рослинне масло | + | + | + | ||
| Улюблена страва | + | + | + | ||
| Ранкова зарядка (хв.) | 30 хв. | 30 хв. | 30 хв. | ||
| Заняття в спортивних секціях | + | + | + | ||
«Паспорта здоров`я»
Студент
Навчальний заклад: Чернігівський Державний Інститут Економіки і Управління
| Початкова оцінка | Дата обстеження | Кількість балів | Рівень соматичного здоров`я | |||
| Базовий контроль (вересень-жовтень) | 25.09.2005 | 8 | Середній | |||
| Проміжний контроль (січень-лютий) | 20.01.2006 | 8 | Середній | |||
| Граничний контроль (квітень-червень) | 05.04.2006 | 8 | Середній | |||
| Показники | Базовий контроль | Проміжний контроль | Граничний контроль | |||
| Вік (років, місяців) | 19 років 5 міс. | 19 років 9 міс | 20 років | |||
| Зріст (см) | 162 | 162 | 162 | |||
| Вага (кг) | 84 | 84 | 84 | |||
| ЧСС в спокої (за 15 сек.) | 17 | 17 | 16 | |||
| Р1 – ЧСС в спокої (за 15 сек.) | 17 | 17 | 16 | |||
| Р2 – ЧСС після 30 присідань (за 15 сек.) | 22 | 22 | 22 | |||
| Р3 – ЧСС через 45 після 30 присідань (за 15 сек.) | 20 | 21 | 20 | |||
| АТ тиск в стані спокою | 120/70 | 120/70 | 120/70 | |||
| АТ після 30 присідань (мм.рт.ст.) | 120/80 | 120/80 | 120/80 | |||
| Динамометрія | ||||||
| Права рука | 31 | 31 | 30 | |||
| Ліва рука | 29 | 30 | 29 | |||
| ЖЕЛ (мл) | 4600 | 4650 | 4600 | |||
| Виконання нормативів на уроках фізкультури | Всі згідно програми | Всі згідно програми | Всі згідно програми | |||
| Перенесені захворювання | відсутні | відсутні | відсутні | |||
| Дотримання режиму дня, сон (годин) | 8 год. сну | 8 год. сну | 8 год. сну | |||
| Виконання уроків (годин) | 3 | 4 | 3 | |||
| Прогулянки на свіжому повітрі (годин) | 4 | 3 | 4 | |||
| Характер харчування (раз на день) | 3 разове | 3 разове | 3 разове | |||
| Молочні продукти | + | + | + | |||
| М`ясні і рибні продукти | + | + | + | |||
| Фрукти | + | + | + | |||
| Овочі, соки | + | + | + | |||
| Яйця | + | + | + | |||
| Рослинне масло | + | + | + | |||
| Улюблена страва | + | + | + | |||
| Ранкова зарядка (хв.) | 15 хв. | 15 хв. | 15 хв. | |||
| Заняття в спортивних секціях | + | + | + | |||
«Паспорта здоров`я»
Студент
Навчальний заклад: Чернігівський Державний Інститут Економіки і Управління
| Початкова оцінка | Дата обстеження | Кількість балів | Рівень соматичного здоров`я | |
| Базовий контроль (вересень-жовтень) | 25.09.2005 | 8 | Середній | |
| Проміжний контроль (січень-лютий) | 20.01.2006 | 8 | Середній | |
| Граничний контроль (квітень-червень) | 05.04.2006 | 8 | Середній | |
| Показники | Базовий контроль | Проміжний контроль | Граничний контроль | |
| Вік (років, місяців) | 19 років 9 міс. | 20 років | 20 років 3 міс. | |
| Зріст (см) | 185 | 185 | 185 | |
| Вага (кг) | 84 | 85 | 85 | |
| ЧСС в спокої (за 15 сек.) | 19 | 19 | 18 | |
| Р1 – ЧСС в спокої (за 15 сек.) | 19 | 19 | 18 | |
| Р2 – ЧСС після 30 присідань (за 15 сек.) | 22 | 22 | 22 | |
| Р3 – ЧСС через 45 після 30 присідань (за 15 сек.) | 20 | 21 | 20 | |
| АТ тиск в стані спокою | 100/70 | 100/70 | 100/70 | |
| АТ після 30 присідань (мм.рт.ст.) | 120/80 | 120/80 | 120/80 | |
| Динамометрія | ||||
| Права рука | 31 | 31 | 30 | |
| Ліва рука | 29 | 30 | 29 | |
| ЖЕЛ (мл) | 4300 | 4350 | 4300 | |
| Виконання нормативів на уроках фізкультури | Всі згідно програми | Всі згідно програми | Всі згідно програми | |
| Перенесені захворювання | відсутні | відсутні | відсутні | |
| Дотримання режиму дня, сон (годин) | 8 год. сну | 8 год. сну | 8 год. сну | |
| Виконання уроків (годин) | 3 | 4 | 4 | |
| Прогулянки на свіжому повітрі (годин) | 5 | 3 | 5 | |
| Характер харчування (раз на день) | 3 разове | 3 разове | 3 разове | |
| Молочні продукти | + | + | + | |
| М`ясні і рибні продукти | + | + | + | |
| Фрукти | + | + | + | |
| Овочі, соки | + | + | + | |
| Яйця | + | + | + | |
| Рослинне масло | + | + | + | |
| Улюблена страва | + | + | + | |
| Ранкова зарядка (хв.) | 40 хв. | 45 хв. | 40 хв. | |
| Заняття в спортивних секціях | + | + | + | |
«Паспорта здоров`я»
Студент:
Навчальний заклад: Чернігівський Державний Інститут Економіки і Управління
| Початкова оцінка | Дата обстеження | Кількість балів | Рівень соматичного здоров`я | ||
| Базовий контроль (вересень-жовтень) | 25.09.2005 | 8 | Середній | ||
| Проміжний контроль (січень-лютий) | 20.01.2006 | 8 | Середній | ||
| Граничний контроль (квітень-червень) | 05.04.2006 | 8 | Середній | ||
| Показники | Базовий контроль | Проміжний контроль | Граничний контроль | ||
| Вік (років, місяців) | 19 років 3 міс. | 19 років 7 міс | 19 років 10 міс | ||
| Зріст (см) | 160 | 161 | 161 | ||
| Вага (кг) | 74 | 74 | 74 | ||
| ЧСС в спокої (за 15 сек.) | 17 | 17 | 16 | ||
| Р1 – ЧСС в спокої (за 15 сек.) | 17 | 17 | 16 | ||
| Р2 – ЧСС після 30 присідань (за 15 сек.) | 25 | 25 | 25 | ||
| Р3 – ЧСС через 45 після 30 присідань (за 15 сек.) | 23 | 23 | 23 | ||
| АТ тиск в стані спокою | 120/80 | 120/80 | 120/80 | ||
| АТ після 30 присідань (мм.рт.ст.) | 140/90 | 140/90 | 140/90 | ||
| Динамометрія | |||||
| Права рука | 34 | 34 | 34 | ||
| Ліва рука | 32 | 32 | 32 | ||
| ЖЕЛ (мл) | 4600 | 4650 | 4600 | ||
| Виконання нормативів на уроках фізкультури | Всі згідно програми | Всі згідно програми | Всі згідно програми | ||
| Перенесені захворювання | відсутні | відсутні | відсутні | ||
| Дотримання режиму дня, сон (годин) | 7 год. сну | 7 год. сну | 7 год. сну | ||
| Виконання уроків (годин) | 3-4 | 4-5 | 3-4 | ||
| Прогулянки на свіжому повітрі (годин) | 4-5 | 2-3 | 4-5 | ||
| Характер харчування (раз на день) | 3 разове | 4 разове | 3 разове | ||
| Молочні продукти | + | + | + | ||
| М`ясні і рибні продукти | + | + | + | ||
| Фрукти | + | + | + | ||
| Овочі, соки | + | + | + | ||
| Яйця | + | + | + | ||
| Рослинне масло | + | + | + | ||
| Улюблена страва | + | + | + | ||
| Ранкова зарядка (хв.) | 40 хв. | 45 хв. | 40 хв. | ||
| Заняття в спортивних секціях | + | + | + | ||
«Паспорта здоров`я»
Студент
Навчальний заклад: Чернігівський Державний Інститут Економіки і Управління
| Початкова оцінка | Дата обстеження | Кількість балів | Рівень соматичного здоров`я | ||
| Базовий контроль (вересень-жовтень) | 25.09.2005 | 8 | Середній | ||
| Проміжний контроль (січень-лютий) | 20.01.2006 | 8 | Середній | ||
| Граничний контроль (квітень-червень) | 05.04.2006 | 8 | Середній | ||
| Показники | Базовий контроль | Проміжний контроль | Граничний контроль | ||
| Вік (років, місяців) | 19 років 11 міс. | 20 років 3 міс | 20 років 6 міс | ||
| Зріст (см) | 190 | 190 | 190 | ||
| Вага (кг) | 92 | 92 | 94 | ||
| ЧСС в спокої (за 15 сек.) | 18 | 20 | 20 | ||
| Р1 – ЧСС в спокої (за 15 сек.) | 18 | 20 | 20 | ||
| Р2 – ЧСС після 30 присідань (за 15 сек.) | 22 | 22 | 22 | ||
| Р3 – ЧСС через 45 після 30 присідань (за 15 сек.) | 20 | 21 | 20 | ||
| АТ тиск в стані спокою | 110/70 | 110/70 | 110/70 | ||
| АТ після 30 присідань (мм.рт.ст.) | 120/80 | 120/80 | 120/80 | ||
| Динамометрія | |||||
| Права рука | 32 | 31 | 32 | ||
| Ліва рука | 31 | 30 | 31 | ||
| ЖЕЛ (мл) | 4700 | 4650 | 4700 | ||
| Виконання нормативів на уроках фізкультури | Всі згідно програми | Всі згідно програми | Всі згідно програми | ||
| Перенесені захворювання | відсутні | відсутні | відсутні | ||
| Дотримання режиму дня, сон (годин) | 7 год. сну | 7 год. сну | 7 год. сну | ||
| Виконання уроків (годин) | 5 | 5 | 4 | ||
| Прогулянки на свіжому повітрі (годин) | 2 | 2 | 2 | ||
| Характер харчування (раз на день) | 3 разове | 3 разове | 3 разове | ||
| Молочні продукти | + | + | + | ||
| М`ясні і рибні продукти | + | + | + | ||
| Фрукти | + | + | + | ||
| Овочі, соки | + | + | + | ||
| Яйця | + | + | + | ||
| Рослинне масло | + | + | + | ||
| Улюблена страва | + | + | + | ||
| Ранкова зарядка (хв.) | 30 хв. | 35 хв. | 30 хв. | ||
| Заняття в спортивних секціях | + | + | + | ||
«Паспорта здоров`я»
Студент
Навчальний заклад: Чернігівський Державний Інститут Економіки і Управління
| Початкова оцінка | Дата обстеження | Кількість балів | Рівень соматичного здоров`я | ||
| Базовий контроль (вересень-жовтень) | 25.09.2005 | 8 | Середній | ||
| Проміжний контроль (січень-лютий) | 20.01.2006 | 8 | Середній | ||
| Граничний контроль (квітень-червень) | 05.04.2006 | 8 | Середній | ||
| Показники | Базовий контроль | Проміжний контроль | Граничний контроль | ||
| Вік (років, місяців) | 19 років 8 міс. | 20 років | 20 років 4 міс | ||
| Зріст (см) | 174 | 174 | 174 | ||
| Вага (кг) | 64 | 64 | 66 | ||
| ЧСС в спокої (за 15 сек.) | 17 | 17 | 16 | ||
| Р1 – ЧСС в спокої (за 15 сек.) | 17 | 17 | 16 | ||
| Р2 – ЧСС після 30 присідань (за 15 сек.) | 20 | 20 | 20 | ||
| Р3 – ЧСС через 45 після 30 присідань (за 15 сек.) | 19 | 20 | 19 | ||
| АТ тиск в стані спокою | 110/70 | 110/70 | 110/70 | ||
| АТ після 30 присідань (мм.рт.ст.) | 120/80 | 120/80 | 120/80 | ||
| Динамометрія | |||||
| Права рука | 25 | 25 | 20 | ||
| Ліва рука | 20 | 20 | 17 | ||
| ЖЕЛ (мл) | 4300 | 4250 | 4300 | ||
| Виконання нормативів на уроках фізкультури | Всі згідно програми | Всі згідно програми | Всі згідно програми | ||
| Перенесені захворювання | простудні | відсутні | Кір, ангіна | ||
| Дотримання режиму дня, сон (годин) | 8 год. сну | 8 год. сну | 8 год. сну | ||
| Виконання уроків (годин) | 3-4 | 4-5 | 3-4 | ||
| Прогулянки на свіжому повітрі (годин) | 4-5 | 2-3 | 4-5 | ||
| Характер харчування (раз на день) | 3 разове | 3 разове | 3 разове | ||
| Молочні продукти | + | + | + | ||
| М`ясні і рибні продукти | + | + | + | ||
| Фрукти | + | + | + | ||
| Овочі, соки | + | + | + | ||
| Яйця | + | + | + | ||
| Рослинне масло | + | + | + | ||
| Улюблена страва | + | + | + | ||
| Ранкова зарядка (хв.) | - | 35 хв. | 30 хв. | ||
| Заняття в спортивних секціях | + | + | + | ||
«Паспорта здоров`я»
Студент
Навчальний заклад: Чернігівський Державний Інститут Економіки і Управління
| Початкова оцінка | Дата обстеження | Кількість балів | Рівень соматичного здоров`я | |
| Базовий контроль (вересень-жовтень) | 25.09.2005 | 8 | Середній | |
| Проміжний контроль (січень-лютий) | 20.01.2006 | 8 | Середній | |
| Граничний контроль (квітень-червень) | 05.04.2006 | 8 | Середній | |
| Показники | Базовий контроль | Проміжний контроль | Граничний контроль | |
| Вік (років, місяців) | 20 років 4 міс. | 20 років 8 міс | 20 років 11 міс | |
| Зріст (см) | 180 | 180 | 180 | |
| Вага (кг) | 58 | 60 | 60 | |
| ЧСС в спокої (за 15 сек.) | 18 | 17 | 16 | |
| Р1 – ЧСС в спокої (за 15 сек.) | 18 | 17 | 16 | |
| Р2 – ЧСС після 30 присідань (за 15 сек.) | 20 | 20 | 20 | |
| Р3 – ЧСС через 45 після 30 присідань (за 15 сек.) | 20 | 21 | 20 | |
| АТ тиск в стані спокою | 100/70 | 100/70 | 100/70 | |
| АТ після 30 присідань (мм.рт.ст.) | 110/80 | 110/80 | 110/80 | |
| Динамометрія | ||||
| Права рука | 27 | 27 | 30 | |
| Ліва рука | 24 | 24 | 29 | |
| ЖЕЛ (мл) | 4200 | 4250 | 4300 | |
| Виконання нормативів на уроках фізкультури | Всі згідно програми | Всі згідно програми | Всі згідно програми | |
| Перенесені захворювання | відсутні | ангіна | відсутні | |
| Дотримання режиму дня, сон (годин) | 8 год. сну | 8 год. сну | 8 год. сну | |
| Виконання уроків (годин) | 4 | 5 | 4 | |
| Прогулянки на свіжому повітрі (годин) | 4-5 | 2-3 | 4-5 | |
| Характер харчування (раз на день) | 3 разове | 3 разове | 3 разове | |
| Молочні продукти | + | + | + | |
| М`ясні і рибні продукти | + | + | + | |
| Фрукти | + | + | + | |
| Овочі, соки | + | + | + | |
| Яйця | + | + | + | |
| Рослинне масло | + | + | + | |
| Улюблена страва | + | + | + | |
| Ранкова зарядка (хв.) | 20 хв. | 25 хв. | 30 хв. | |
| Заняття в спортивних секціях | + | + | + | |
«Паспорта здоров`я
Студент
Навчальний заклад: Чернігівський Державний Інститут Економіки і Управління
| Початкова оцінка | Дата обстеження | Кількість балів | Рівень соматичного здоров`я | |
| Базовий контроль (вересень-жовтень) | 25.09.2005 | 8 | Середній | |
| Проміжний контроль (січень-лютий) | 20.01.2006 | 8 | Середній | |
| Граничний контроль (квітень-червень) | 05.04.2006 | 8 | Середній | |
| Показники | Базовий контроль | Проміжний контроль | Граничний контроль | |
| Вік (років, місяців) | 19 років 10 міс. | 20 років 2 міс | 20 років 5 міс | |
| Зріст (см) | 186 | 186 | 186 | |
| Вага (кг) | 90 | 90 | 90 | |
| ЧСС в спокої (за 15 сек.) | 16 | 16 | 16 | |
| Р1 – ЧСС в спокої (за 15 сек.) | 16 | 16 | 16 | |
| Р2 – ЧСС після 30 присідань (за 15 сек.) | 22 | 22 | 22 | |
| Р3 – ЧСС через 45 після 30 присідань (за 15 сек.) | 20 | 21 | 20 | |
| АТ тиск в стані спокою | 110/80 | 110/80 | 110/80 | |
| АТ після 30 присідань (мм.рт.ст.) | 120/90 | 120/90 | 120/90 | |
| Динамометрія | ||||
| Права рука | 31 | 31 | 30 | |
| Ліва рука | 32 | 30 | 32 | |
| ЖЕЛ (мл) | 4500 | 4500 | 4500 | |
| Виконання нормативів на уроках фізкультури | Всі згідно програми | Всі згідно програми | Всі згідно програми | |
| Перенесені захворювання | відсутні | відсутні | відсутні | |
| Дотримання режиму дня, сон (годин) | 8 год. сну | 8 год. сну | 8 год. сну | |
| Виконання уроків (годин) | 5 | 4-5 | 4 | |
| Прогулянки на свіжому повітрі (годин) | 4-5 | 4 | 4-5 | |
| Характер харчування (раз на день) | 3 разове | 3 разове | 3 разове | |
| Молочні продукти | + | + | + | |
| М`ясні і рибні продукти | + | + | + | |
| Фрукти | + | + | + | |
| Овочі, соки | + | + | + | |
| Яйця | + | + | + | |
| Рослинне масло | + | + | + | |
| Улюблена страва | + | + | + | |
| Ранкова зарядка (хв.) | 10 хв. | 15 хв. | 10 хв. | |
| Заняття в спортивних секціях | + | + | + | |
«Паспорта здоров`я»
Студент
Навчальний заклад: Чернігівський Державний Інститут Економіки і Управління
| Початкова оцінка | Дата обстеження | Кількість балів | Рівень соматичного здоров`я | ||
| Базовий контроль (вересень-жовтень) | 25.09.2005 | 8 | Середній | ||
| Проміжний контроль (січень-лютий) | 20.01.2006 | 8 | Середній | ||
| Граничний контроль (квітень-червень) | 05.04.2006 | 8 | Середній | ||
| Показники | Базовий контроль | Проміжний контроль | Граничний контроль | ||
| Вік (років, місяців) | 20 років 1 міс. | 20 років 5 міс | 20 років 8 міс | ||
| Зріст (см) | 167 | 167 | 167 | ||
| Вага (кг) | 74 | 74 | 76 | ||
| ЧСС в спокої (за 15 сек.) | 18 | 18 | 18 | ||
| Р1 – ЧСС в спокої (за 15 сек.) | 18 | 18 | 19 | ||
| Р2 – ЧСС після 30 присідань (за 15 сек.) | 20 | 20 | 20 | ||
| Р3 – ЧСС через 45 після 30 присідань (за 15 сек.) | 20 | 21 | 19 | ||
| АТ тиск в стані спокою | 110/70 | 110/70 | 110/70 | ||
| АТ після 30 присідань (мм.рт.ст.) | 120/80 | 120/80 | 120/80 | ||
| Динамометрія | |||||
| Права рука | 22 | 22 | 23 | ||
| Ліва рука | 25 | 24 | 24 | ||
| ЖЕЛ (мл) | 4500 | 4650 | 4620 | ||
| Виконання нормативів на уроках фізкультури | Всі згідно програми | Всі згідно програми | Всі згідно програми | ||
| Перенесені захворювання | Грип, отит | відсутні | відсутні | ||
| Дотримання режиму дня, сон (годин) | 8 год. сну | 8 год. сну | 8 год. сну | ||
| Виконання уроків (годин) | 3-4 | 4-5 | 3-4 | ||
| Прогулянки на свіжому повітрі (годин) | 4-5 | 2-3 | 4-5 | ||
| Характер харчування (раз на день) | 3 разове | 3 разове | 3 разове | ||
| Молочні продукти | + | + | + | ||
| М`ясні і рибні продукти | + | + | + | ||
| Фрукти | + | + | + | ||
| Овочі, соки | + | + | + | ||
| Яйця | + | + | + | ||
| Рослинне масло | + | + | + | ||
| Улюблена страва | + | + | + | ||
| Ранкова зарядка (хв.) | 20 хв. | 25 хв. | 20 хв. | ||
| Заняття в спортивних секціях | + | + | + | ||
«Паспорта здоров`я»
Студент
Навчальний заклад: Чернігівський Державний Інститут Економіки і Управління
| Початкова оцінка | Дата обстеження | Кількість балів | Рівень соматичного здоров`я | |
| Базовий контроль (вересень-жовтень) | 25.09.2005 | 8 | Середній | |
| Проміжний контроль (січень-лютий) | 20.01.2006 | 8 | Середній | |
| Граничний контроль (квітень-червень) | 05.04.2006 | 8 | Середній | |
| Показники | Базовий контроль | Проміжний контроль | Граничний контроль | |
| Вік (років, місяців) | 20 років 7 міс. | 20 років 11 міс | 21 рік 2 міс | |
| Зріст (см) | 165 | 165 | 165 | |
| Вага (кг) | 74 | 74 | 72 | |
| ЧСС в спокої (за 15 сек.) | 18 | 17 | 18 | |
| Р1 – ЧСС в спокої (за 15 сек.) | 18 | 17 | 18 | |
| Р2 – ЧСС після 30 присідань (за 15 сек.) | 22 | 22 | 22 | |
| Р3 – ЧСС через 45 після 30 присідань (за 15 сек.) | 20 | 21 | 20 | |
| АТ тиск в стані спокою | 110/60 | 110/60 | 110/60 | |
| АТ після 30 присідань (мм.рт.ст.) | 120/80 | 120/80 | 120/80 | |
| Динамометрія | ||||
| Права рука | 24 | 26 | 25 | |
| Ліва рука | 20 | 20 | 22 | |
| ЖЕЛ (мл) | 4130 | 4150 | 4120 | |
| Виконання нормативів на уроках фізкультури | Всі згідно програми | Всі згідно програми | Всі згідно програми | |
| Перенесені захворювання | відсутні | відсутні | Запалення легень | |
| Дотримання режиму дня, сон (годин) | 8 год. сну | 8 год. сну | 8 год. сну | |
| Виконання уроків (годин) | 3-4 | 4-5 | 3-4 | |
| Прогулянки на свіжому повітрі (годин) | 5 | 3 | 4-5 | |
| Характер харчування (раз на день) | 3 разове | 3 разове | 3 разове | |
| Молочні продукти | + | + | + | |
| М`ясні і рибні продукти | + | + | + | |
| Фрукти | + | + | + | |
| Овочі, соки | + | + | + | |
| Яйця | + | + | + | |
| Рослинне масло | + | + | + | |
| Улюблена страва | + | + | + | |
| Ранкова зарядка (хв.) | - | 35 хв. | 30 хв. | |
| Заняття в спортивних секціях | + | + | + | |
«Паспорта здоров`я»
Студент
Навчальний заклад: Чернігівський Державний Інститут Економіки і Управління
| Початкова оцінка | Дата обстеження | Кількість балів | Рівень соматичного здоров`я | |
| Базовий контроль (вересень-жовтень) | 25.09.2005 | 8 | Середній | |
| Проміжний контроль (січень-лютий) | 20.01.2006 | 8 | Середній | |
| Граничний контроль (квітень-червень) | 05.04.2006 | 8 | Середній | |
| Показники | Базовий контроль | Проміжний контроль | Граничний контроль | |
| Вік (років, місяців) | 19 років 9 міс. | 20 років | 20 років 3 міс | |
| Зріст (см) | 171 | 171 | 171 | |
| Вага (кг) | 64 | 62 | 63 | |
| ЧСС в спокої (за 15 сек.) | 14 | 16 | 16 | |
| Р1 – ЧСС в спокої (за 15 сек.) | 14 | 16 | 16 | |
| Р2 – ЧСС після 30 присідань (за 15 сек.) | 20 | 20 | 20 | |
| Р3 – ЧСС через 45 після 30 присідань (за 15 сек.) | 18 | 18 | 18 | |
| АТ тиск в стані спокою | 100/60 | 100/60 | 100/60 | |
| АТ після 30 присідань (мм.рт.ст.) | 120/70 | 120/70 | 120/70 | |
| Динамометрія | ||||
| Права рука | 20 | 21 | 20 | |
| Ліва рука | 19 | 20 | 19 | |
| ЖЕЛ (мл) | 4300 | 4250 | 4320 | |
| Виконання нормативів на уроках фізкультури | Всі згідно програми | Всі згідно програми | Всі згідно програми | |
| Перенесені захворювання | Вітряна віспа | відсутні | відсутні | |
| Дотримання режиму дня, сон (годин) | 8 год. сну | 8 год. сну | 8 год. сну | |
| Виконання уроків (годин) | 3-4 | 4-5 | 3-4 | |
| Прогулянки на свіжому повітрі (годин) | 4-5 | 2-3 | 4-5 | |
| Характер харчування (раз на день) | 4 разове | 3 разове | 3 разове | |
| Молочні продукти | + | + | + | |
| М`ясні і рибні продукти | + | + | + | |
| Фрукти | + | + | + | |
| Овочі, соки | + | + | + | |
| Яйця | + | + | + | |
| Рослинне масло | + | + | + | |
| Улюблена страва | + | + | + | |
| Ранкова зарядка (хв.) | - | - | - | |
| Заняття в спортивних секціях | + | + | + | |
«Паспорта здоров`я»
Студент
Навчальний заклад: Чернігівський Державний Інститут Економіки і Управління
| Початкова оцінка | Дата обстеження | Кількість балів | Рівень соматичного здоров`я |
| Базовий контроль (вересень-жовтень) | 25.09.2005 | 8 | Середній |
| Проміжний контроль (січень-лютий) | 20.01.2006 | 8 | Середній |
| Граничний контроль (квітень-червень) | 05.04.2006 | 8 | Середній |
| Показники | Базовий контроль | Проміжний контроль | Граничний контроль |
| Вік (років, місяців) | 19 років 6 міс. | 19 років 10 міс | 20 років |
| Зріст (см) | 181 | 181 | 181 |
| Вага (кг) | 134 | 134 | 134 |
| ЧСС в спокої (за 15 сек.) | 17 | 17 | 16 |
| Р1 – ЧСС в спокої (за 15 сек.) | 17 | 17 | 16 |
| Р2 – ЧСС після 30 присідань (за 15 сек.) | 22 | 22 | 22 |
| Р3 – ЧСС через 45 після 30 присідань (за 15 сек.) | 20 | 21 | 20 |
| АТ тиск в стані спокою | 110/80 | 110/80 | 110/80 |
| АТ після 30 присідань (мм.рт.ст.) | 120/90 | 120/90 | 120/90 |
| Динамометрія | |||
| Права рука | 26 | 26 | 26 |
| Ліва рука | 23 | 22 | 23 |
| ЖЕЛ (мл) | 4240 | 4270 | 4250 |
| Виконання нормативів на уроках фізкультури | Всі згідно програми | Всі згідно програми | Всі згідно програми |
| Перенесені захворювання | відсутні | відсутні | відсутні |
| Дотримання режиму дня, сон (годин) | 8 год. сну | 8 год. сну | 8 год. сну |
| Виконання уроків (годин) | 3-4 | 4-5 | 3-4 |
| Прогулянки на свіжому повітрі (годин) | 4-5 | 2-3 | 4-5 |
| Характер харчування (раз на день) | 3 разове | 3 разове | 3 разове |
| Молочні продукти | + | + | + |
| М`ясні і рибні продукти | + | + | + |
| Фрукти | + | + | + |
| Овочі, соки | + | + | + |
| Яйця | + | + | + |
| Рослинне масло | + | + | + |
| Улюблена страва | + | + | + |
| Ранкова зарядка (хв.) | 30 хв. | 35 хв. | 30 хв. |
| Заняття в спортивних секціях | - | - | + |
«Паспорта здоров`я»
Студент
Навчальний заклад: Чернігівський Державний Інститут Економіки і Управління
| Початкова оцінка | Дата обстеження | Кількість балів | Рівень соматичного здоров`я |
| Базовий контроль (вересень-жовтень) | 25.09.2005 | 8 | Середній |
| Проміжний контроль (січень-лютий) | 20.01.2006 | 8 | Середній |
| Граничний контроль (квітень-червень) | 05.04.2006 | 8 | Середній |
| Показники | Базовий контроль | Проміжний контроль | Граничний контроль |
| Вік (років, місяців) | 20 років 2 міс. | 20 років 6 міс | 20 років 9 міс |
| Зріст (см) | 162 | 162 | 162 |
| Вага (кг) | 57 | 54 | 54 |
| ЧСС в спокої (за 15 сек.) | 17 | 18 | 18 |
| Р1 – ЧСС в спокої (за 15 сек.) | 17 | 18 | 18 |
| Р2 – ЧСС після 30 присідань (за 15 сек.) | 22 | 22 | 22 |
| Р3 – ЧСС через 45 після 30 присідань (за 15 сек.) | 20 | 21 | 20 |
| АТ тиск в стані спокою | 110/70 | 110/70 | 110/70 |
| АТ після 30 присідань (мм.рт.ст.) | 120/80 | 120/80 | 120/80 |
| Динамометрія | |||
| Права рука | 20 | 21 | 20 |
| Ліва рука | 15 | 14 | 15 |
| ЖЕЛ (мл) | 4200 | 4250 | 4200 |
| Виконання нормативів на уроках фізкультури | Всі згідно програми | Всі згідно програми | Всі згідно програми |
| Перенесені захворювання | Перелом руки | відсутні | Кір |
| Дотримання режиму дня, сон (годин) | 8 год. сну | 8 год. сну | 8 год. сну |
| Виконання уроків (годин) | 5 | 5 | 5 |
| Прогулянки на свіжому повітрі (годин) | 2 | 2-3 | 4 |
| Характер харчування (раз на день) | 3 разове | 3 разове | 3 разове |
| Молочні продукти | + | + | + |
| М`ясні і рибні продукти | + | + | + |
| Фрукти | + | + | + |
| Овочі, соки | + | + | + |
| Яйця | + | + | + |
| Рослинне масло | + | + | + |
| Улюблена страва | + | + | + |
| Ранкова зарядка (хв.) | 30 хв. | 35 хв. | 30 хв. |
| Заняття в спортивних секціях | + | + | + |
Експрес-оцінка рівня соматичного здоров`я
| Визначення і оцінка стану функціональних систем | Результат | Бали | Оцінка | Результат | Бали | Оцінка | Результат | Бали | Оцінка |
| ІДП | 47,8 | 1 | низький | 105,6 | 1 | низький | 96,0 | 1 | низький |
| ІР | 3,6 | 7 | високий | 3,6 | 7 | високий | 3,6 | 7 | високий |
| ДІ | 34,3 | 0 | низький | 34,3 | 0 | низький | 34,3 | 0 | низький |
| СІ | 22,38 | 0 | низький | 22,38 | 0 | низький | 22,38 | 0 | низький |
| МІ | -3 | 0 | низький | -3 | 0 | низький | -3 | 0 | низький |
| Сумарний показник | 8 | середній | 8 | середній | 8 | середній |
Основні показники соматичного здоров`я досліджуваних спортсменів
| П.І.П. студента | Вік | ЧСС в спокої за 15 сек. | ЖЕЛ, мл | Норма у нетренованих молодих людей | |||||
| Базовий контроль | Проміжний контроль | Граничний контроль | Базовий контроль | Проміжний контроль | Граничний контроль | ЧСС в спокої за 15 с | ЖЕЛ, мл | ||
| 1. Височний Сергій | 19 років | 17 | 17 | 16 | 4600 | 4650 | 4600 | 18 | 4500 |
| 2. Степаненко Анатолій | 19 років | 16 | 16 | 15 | 4500 | 4550 | 4500 | 18 | 4500 |
| 3. Антоненко Ярослав | 19 років | 17 | 17 | 16 | 4550 | 4550 | 4600 | 18 | 4500 |
| 4. Тарасенко Костянтин | 19 років | 18 | 18 | 18 | 4300 | 4350 | 4300 | 18 | 4500 |
| 5. Науменко Максим | 19 років | 17 | 17 | 16 | 4600 | 4650 | 4600 | 18 | 4500 |
| 6. Самусь Олексій | 19 років | 19 | 19 | 18 | 4300 | 4350 | 4300 | 18 | 4500 |
| 7. Сидоренко Роман | 19 років | 17 | 17 | 16 | 4600 | 4650 | 4600 | 18 | 4500 |
| 8. Процко Олександр | 19 років | 18 | 20 | 20 | 4700 | 4650 | 4700 | 18 | 4500 |
| 9. Садова Олена | 19 років | 17 | 17 | 16 | 4300 | 4250 | 4300 | 18 | 4500 |
| 10. Степанець Марина | 20 років | 18 | 17 | 16 | 4200 | 4250 | 4300 | 18 | 4500 |
| 11. Коваль Тетяна | 19 років | 16 | 16 | 16 | 4500 | 4500 | 4500 | 18 | 4500 |
| 12. Дерев`Янко Валентин | 20 років | 18 | 18 | 18 | 4500 | 4650 | 4620 | 18 | 4500 |
| 13. Шкель Олексій | 19 років | 18 | 17 | 18 | 4130 | 4150 | 4120 | 18 | 4500 |
| 14. Воробей Станіслав | 19 років | 14 | 16 | 16 | 4300 | 4250 | 4320 | 18 | 4500 |
| 15. Марусик Олег | 20 років | 17 | 17 | 16 | 4240 | 4270 | 4250 | 18 | 4500 |
| 16. Пилипенко Володимир | 20 років | 17 | 18 | 18 | 4200 | 4250 | 4200 | 18 | 4500 |
| Середній показник в групі | 19 років | 17 | 17 | 16 | 4400 | 4150 | 4420 | 18 | 4500 |
За середніми значеннями досліджуваних показників в групі побудуємо графіки, які покажуть вплив тренування на значення ЧСС в спокої та ЖЕЛ
Рис. 1. Середні показники частоти серцевих скорочень (ЧСС) в спокої за 15 с. в досліджуваній групі

Рис. 2. Середні показники життєвої ємності легень (ЖЕЛ) в досліджуваній групі
В результаті обробки результатів дослідження ми одержали результати, що піддослідні мають середній рівень соматичного здоров`я. Проведене дослідження на 16 студентах показало, що всі студенти дотримується раціонального режиму дня (обов`язковий 8-годинний сон, ранкова зарядка, прогулянки на свіжому повітрі), займається спортом, але було виявлено у деяких невідповідність ваги та зросту. Всі критерії оцінки для кожного студента відповідають середньому рівню соматичного здоров`я.
Отже в результаті проведеного дослідження показників ЧСС та ЖЕЛ можемо зробити висновок, що у нетренованих людей вони дещо вищі, ніж у тренованих.
Ми досліджували стан захворюваності серед спортсменів рукопашного бою. Слід відмітити, що серед 16 спортсменів рукопашного бою, які займаються цим видом спорту від 1 до 4 років хворіли лише 25 %.
ВИСНОВКИ
Здоров'я — це стан повного психічного, фізичного і соціального благополуччя, а не тільки відсутність захворювань та фізичних вад. Організм може бути абсолютно здоровим, здоровим задовільно, практично здоровим і нездоровим. Абсолютно здоровим уважається той, у кого всі органи та системи розвинені й функціонують нормально, в них немає ніяких хворобливих відхилень. Стан здоров'я визначається за допомогою чотирьох критеріїв: 1) наявність або відсутність хронічних захворювань; 2) рівень функціонального стану основних систем організму; 3) стадії резистентності організму (стійкість, загартованість); 4) рівень досягнутого фізичного розвитку і ступінь його гармонійності. На основі критеріїв розрізняють п'ять груп здоров'я.
Рівень здоров'я можна встановити показавши його кількісно в умовних одиницях - балах або очках. При цьому враховуються такі показники: вік, співвідношення між зростом і масою тіла, ступінь отруєння організму палінням, стан серцевої діяльності в спокої, ступені відновлення серцевої діяльності після навантаження та активної м'язової діяльності. Формування культури здоров'я - це надійний і доступний шлях самореалізації, розвитку свого потенціалу, запрограмованого біологічного й вдосконаленого соціально, шлях керування своїм здоров'ям і підтримання його на творчо-активному рівні.
«Паспорт здоров’я» заповнюють після проходження медичного огляду, державного тестування, оцінювання теоретичних і методичних знань з фізичної культури. До нього вносять такі дані. Особові дані: прізвище, ім'я, по батькові, рік народження, клас (група, курс), назва навчального закладу тощо (переносять у документ з особової справи власника "Паспорта здоров'я"). Характеристика стану здоров'я і фізичного розвитку: відомості про стан здоров'я й фізичний розвиток отримують з результатів останнього медичного обстеження. Дані фізичного розвитку (зріст, маса тіла, окружність грудної клітки, артеріальний тиск, ЧСС) переносять з медичної картки без їх оцінювання.
В результаті проведення та обробки результатів дослідження ми одержали результати, що піддослідний має середній рівень соматичного здоров`я. Він дотримується раціонального режиму дня, але було виявлено значна невідповідність ваги та зросту.
СПИСОК ВИКОРИСТАНИХ ДЖЕРЕЛ
3. Валеология: Програма для учнів 1 — 11-х класів загальноосвітніх шкіл Під общ. ред. О.Л. Трещевой Омськ, 1999. - 70 с.
4. Валеологія – наука про здоровий спосіб життя. Інформативно-методичний збірник. Випуск 1. – К., 1996. – 336 с.
6. Новосельский В.Ф. Азбука физической закалки детей. – К., 1991.
7. Основы валеологии. В 3-х книгах. / Под ред. В.П.Петленко. – К.: Олимпийская литература, 1998.
8. Павлова И.В. Удосконалювання валеологического утворення студентів фізкультурного вузу; Автореф канд. дис. Омськ, 1999. - 20 с.
9. Столярів В.И., Биховська И.М., Лубишева Л.И. Концепція фізичної культури і фізкультурного виховання (інноваційний підхід) //Теор. і практ. фіз. культ., 1998, № 5, с. 11-15.
10. Татарникова Л.Г. із соавт. Валеология — основа безпеки життя дитини. — СПб: Петрос, 1997. — 240 з
11. Свириденко С. Дбаємо про здоров’я дітей: Програма основ здорового способу життя. Початкова школа, - 1998, №9.
12. Трещева О.Л. Програмно-методические основы обучения здоровому образу жизни учащихся. Теория и практика физической культуры. 2000. № 10.
13. Физкультурно-оздоровительная работа в школе: Пособие для учителя. Под ред. А.М.Шлемина. – М., 1988.
14. Формирование здорового способа жизни молодежи (медико-социальные аспекты) / А.В. Мартыненко, Ю.В. Валентик и др. – М.: Медицина, 1988. – 192
15. Язловецький В.С., Язловецька О.В. Учням про здоров`я. – Кіровоград, 2000. – 212 с.
