| Скачать .docx | Скачать .pdf |
Курсовая работа: Биохимия человека
1. Физико-химические свойства белков: буферные, осмотические. 2
2. Белки простые и сложные. Представление о структуре и биологической роли нуклеопротеинов. 3
3. Напишите аминокислоты, радикалы которых могут участвовать. 4
4. Витаминные коферменты (химическое строение, функции) фолиевые. 5
5. Факторы, влияющие на активность ферментов: температура, рН среды, действие ингибиторов. 6
6. Понятие о свободных радикалах, источники, биологическая роль оксида азота (NO) 9
7. Характеристика углеводов: классификация, функция. Важнейшие представители моно- и дисахаридов. 10
8. Анаэробный гликолиз. Причины перехода на менее энергетически выгодное бескислородное окисление глюкозы.. 13
9. Переваривание жиров в желудочно-кишечном тракте. Ферменты, участвующие в этом процессе. 15
10. Пути выведения холестерина из организма. Нарушения обмена холестерина (гиперлипопротеинемии, атеросклероз, желчекаменная болезнь) 17
11. Задача 1. 19
12. Задача 2. 20
13 Задача 3. 21
14. Задача 4. 21
15. Задача 5. 22
Список литературы.. 24
1. Физико-химические свойства белков: буферные, осмотические
Буферные свойства белков обусловлены обусловлены наличием в составляющих их аминокислотах (карбоксикислотах) аминогруппы (NH2-группы). Благодаря ей аминокислоты могут реагировать не только как слабые кислоты, но и как основания, то есть сами проявлять буферные свойства, присоединяя или отдавая ион водорода. Отщепляемый от карбоксильной группы протон может присоединиться к аминогруппе. В результате - молекула аминокислоты принимает дипольную форму (или форму цвиттер-иона), заряжаясь с одной стороны отрицательно, а с другой - положительно, но оставаясь в целом нейтральной. Именно в этой форме аминокислота и проявляет свои буферные свойства. При повышении концентрации протонов в среде (снижение рН) они фиксируются карбоксильной группой, а молекула оказывается положительно заряженной. Наоборот, при падении концентрации протонов третий протон с положительно заряженной стороны молекулы отдается, а вся молекула заряжается отрицательно.
NН2-R-СООН NН2-R-СОО + Н+
аминокислота диссоциирует с образованием протона и диссоциированной карбоксильной группы.
Н+ + NH2-R-СOО– NHз+-R-СOО–
аминогруппа принимает свободный протон и приобретает форму цвиттер-иона. В избытке протонов молекула заряжается положительно:
NHз-R-СОО– + Н+ NHз-R-СОО–
При дефиците протонов - молекула приобретает отрицательный заряд:
NНз-R-СОО– Н+ + NН2-R-СОО–
Буферные свойства белков проявляются в связывании не только протонов, но и других заряженных частиц. Основная масса поступающих в кровоток веществ (красители, жирные кислоты, липиды, водорастворимые наркотики, релаксанты) связывается с белками, проявляя конкурентные отношения. Естественно, при этом уменьшается буферная емкость белков в отношении протонов, и высокая концентрация последних затрудняет освобождение и ослабляет действие веществ, образующих положительные заряды (функциональная элиминация медикаментов). Одновременно продляется их циркуляция. Последующая гипервентиляция или гипероксигенация через освобождение крови от избытка протонов способствует мобилизации этих веществ и проявлению второй волны в их действии. Таков, например, общепризнанный механизм продленного действия барбитуратов и релаксантов[3.68].
Важнейшим проявлением буферных свойств белков является участие в синтезе аммиака.
Осмотическая активность белка определяется величиной доли пептидных связей, доступной для взаимодействия с водой. В результате связывания воды с белками поддерживается осмотическое равновесие клетки со средой.
2. Белки простые и сложные. Представление о структуре и биологической роли нуклеопротеинов
Белки, или протеины - это сложные органические вещества, которые являются высокомолекулярными полипептидами.
Все белки разделяют на простые и сложные. Простые белки состоят только из аминокислот. Сложные белки кроме аминокислот содержат неаминокислотные компоненты. Неаминокислотную часть сложного белка называют простетической группой. К простетическим группам относятся: гем, производные витаминов, липидные или углеводные компоненты.
В нуклеопротеинах роль протеистической группы выполняет ДНК или РНК. Белковая часть представлена в основном гистонами и протаминами. Такие комплексы ДНК с протаминами обнаружены в сперматозоидах, а с гистонами — в соматических клетках, где молекула ДНК “намотана” вокруг молекул белка-гистона.
Нуклепротеинами по своей природе являются вне клетки вирусы — это комплексы вирусной нуклеиновой кислоты и белковой оболочки — капсида.
3. Напишите аминокислоты, радикалы которых могут участвовать
Напишите аминокислоты, радикалы которых могут участвовать:
а) в гидрофобных взаимодействиях;
б) в образовании водородных связей;
в) в ионных связях.
К гидрофобным взаимодействиях способны участвовать аминокислоты, содержащие гидрофобные радикалы:
Алифатические - аланин, валин, лейцин, изолейцин
Серусодержащий метионин
Ароматические - фенилаланин, триптофан
Иминокислота пролин.
В водородных связях участвуют все аминокислоты, имеющие гидроксильные, амидные или карбоксильные группы[5.17].
Ионные (электростатические) взаимодействия между противоположно заряженными аминокислотными остатками (три радикала со знаком "+" и два со знаком "-"). Например, положительно заряженная ε-аминогруппа лизина (-NH3+) притягивается отрицательно заряженной карбоксильной группой - (СОО-) глутаминовой или аспарагиновой кислоты.
4. Витаминные коферменты (химическое строение, функции) фолиевые
Ферменты состоят как минимум из двух частей: белковая (протеиновая) часть и кофакторная часть. Специфические аминокислоты, которые составляют белковую (протеиновую) часть фермента определяются генетическим кодом. Коферментную часть полного фермента составляют или ионы минеральных солей (такие, как кальций, магний и цинку) или витамины или и те и другие в некоторых случаях. Витаминная часть обычно называется коферментом.
Фолиевая кислота и группа родственных соединений, известная в целом как витамин В5, служат в качестве коферментов, или помощников, в химических реакциях, вовлеченных в биосинтез белка и необходимых для нормального продуцирования красных кровяных клеток и клеточного деления. Итак, этот витамин чрезвычайно необходим организму для продуцирования новых клеток клеток кожи, клеток волос, иммунных белых кровяных клеток, красных кровяных клеток - всех не перечислить Но фолиевая кислота также участвует и в удалении жира, депонированного в печени, и в превращении одной аминокислоты в другую для ресинтеза белков организма, поскольку аминокислоты являются строительными блоками белка.
Фолиевая кислота (от лат. folium – лист), витамин Bc, птероилглутаминовая кислота, витамин из группы В; молекула состоит из птеридинового ядра, остатков парааминобензойной и глутаминовой кислот. Бледно-жёлтые гигроскопические кристаллы, разлагающиеся при 250 °С, малорастворимые в воде (0,001%). Фолиевая кислота к. широко распространена в природе и присутствует во всех животных, растительных и микробных клетках. Большинство микроорганизмов, низшие и высшие растения синтезируют фолиевую кислоту. В тканях человека, млекопитающих животных и птиц она не образуется и должна поступать с пищей; может синтезироваться микрофлорой кишечника. Фолиевая кислота стимулирует кроветворные функции организма. В животных и растительных тканях Ф. к. в восстановленной форме (в виде тетрагидрофолиевой кислоты и её производных) участвует в синтезе пуриновых и пиримидиновых оснований, некоторых аминокислот (серина, метионина, гистидина), холина и др. Суточная потребность в Ф. к. для взрослого человека 0,2–0,4 мг. Основной источник Ф. к. – листовые овощи, печень, дрожжи. Богата ею земляника. Ф. к. – эффективное средство лечения некоторых форм анемии и др. заболеваний. Получают Ф. к. при конденсации 2,4,5-триамино-6-оксипиримидина, 1,1,3-трихлорацетона и n-амино-бензоил-a-глутаминовой кислоты. Для лечения некоторых видов злокачественных опухолей применяют близкие по строению к Ф. к. соединения (например, аминоптерин, метотрексат), являющиеся антиметаболитами Ф. к. и оказывающие подавляющее действие на рост и развитие клеток.
5. Факторы, влияющие на активность ферментов: температура, рН среды, действие ингибиторов
Ферменты, обладающие широкой специфичностью, (например, ЩФ) способны катализировать превращение довольно большого числа субстратов. Сродство фермента к субстратам различной природы, а также скорость их превращения могут значительно отличаться. Поэтому значения активности фермента, определённые при использовании разных субстратов, могут отличаться в несколько раз, и сравнивать их нельзя[10.89].
Степень очистки субстратов, используемых в диагностических наборах, как правило, должна быть не менее 98 %. Примеси, содержащиеся в препаратах субстратов, могут влиять на активность ферментов. Например, примеси в препаратах L- кетоглутарата значительно ингибируют активность АСТ и АЛТ. Кроме того, примеси могут снижать точность измерений. Так, примеси n-нитрофенола в препаратах п-нитрофенилфосфата увеличивают оптическую плотность холостой пробы, что приводит к снижению точности измерений.
Концентрация субстрата — один из наиболее важных факторов, определяющих скорость ферментативной реакции. Концентрация субстрата, при которой достигается максимальная скорость реакции, называется насыщающей концентрацией. При снижении концентрации субстрата в реакционной смеси скорость реакции также снижается. Концентрации субстрата выше насыщающей могут привести к ингибированию фермента и снижению скорости ферментативной реакции.
Таким образом, определение активности ферментов нужно проводить при насыщающей концентрации субстрата.
В качестве буферных соединений в диагностических наборах используют растворы солей неорганических и органических кислот, амины (триоксиметиламинометан, диэтаноламин, триэтиламин, имидазол) и другие соединения. Природа буферного соединения влияет на скорость ферментативной реакции. Например, ион фосфата ингибирует активность ЩФ. Наибольшая скорость гидролиза субстратов ЩФ достигается в диэтаноламиновом буфере, более низкая — в 2-амино-2-метил-1-пропаноловом буфере. Поскольку в наборах для определения ЩФ различные фирмы используют разные буферные растворы, сравнение результатов определения активности, полученных с помощью этих наборов, не всегда возможно.
Буферные соединения, используемые в наборах, должны иметь квалификацию “чда” или “хч”, т.к. примеси ионов металлов могут как ингибировать, так и активировать многие ферменты. Некоторые примеси, например продукты окисления или распада органических соединений, могут инактивировать фермент, ингибировать его активность, или вызвать окрашивание в холостой пробе.
Концентрация буферного соединения влияет на конформацию фермента в растворе и должна быть оптимальной для каждого фермента.
Ферменты чрезвычайно чувствительны к изменениям рН среды. Для каждого фермента существует оптимальное значение рН раствора, при котором превращение субстрата происходит с максимальной скоростью. Например, для ЩФ оптимум рН лежит в области 9,9–10,3, для АСТ и АЛТ — в области 7,2–7,4 и т.д. Небольшие отклонения от оптимального значения рН могут вызвать уменьшение активности фермента в несколько раз.
В качестве активаторов ферментов в диагностических наборах используют ионы металлов (например, ионы магния для ЩФ) или органические соединения (например, пиридоксальфосфат в наборах для определения АСТ и АЛТ). В качестве стабилизаторов используют белки и их гидролизаты, полиэтиленгликоль, сахара, декстран и другие соединения. Как правило, в инструкциях по использованию наборов не указывают состав и количество добавленных стабилизаторов. Поэтому результаты определения активности ферментов наборами различных фирм, и тем более наборами, изготовленными в лаборатории, могут значительно отличаться.
Для большинства очищенных ферментов скорость ферментативной реакции пропорциональна концентрации фермента в реакционной смеси. Это справедливо, например, для реакций, катализируемых ЩФ. Некоторые ферменты (например, АСТ и АЛТ) не подчиняются этой закономерности. При уменьшении их концентрации в реакционной смеси скорость реакции не снижается пропорционально. Это связано со сложными структурными перестройками в молекулах ферментов при разбавлении.
В случае, когда активность ферментов определяют в сыворотке или других биологических жидкостях, где присутствует огромное количество различных соединений, зависимость активности фермента от его концентрации ещё более усложняется. Поэтому очень важно точно соблюдать дозировку сыворотки, указанную в инструкции, и отбор образца сыворотки проводить поверенной автоматической пипеткой.
Установлено, что скорость ферментативных реакций при изменении температуры инкубации на 10 °С изменяется в 2 раза. Например, активность АСТ в сыворотке фирмы Randox, определённая при 37 °С, составляет 35 U/л, а при 25 °C – 16 U/л. При дальнейшем понижении температуры реакционной смеси скорость реакции будет снижаться: при 15 °С активность АСТ равна 8 U/л, при 5 °С — 4 U/л. Поэтому определение активности ферментов необходимо всегда проводить при температуре, указанной в инструкции по использованию набора.
Таким образом, для получения воспроизводимых и сопоставимых данных при определении активности ферментов в биологических жидкостях необходимо учитывать всё многообразие факторов, влияющих на активность ферментов.
6. Понятие о свободных радикалах, источники, биологическая роль оксида азота (NO)
Свободные радикалы. или химические соединения с неспаренным электроном (обозначается жирной точкой), например. Парамагнитны, реакционноспособны. Короткоживущие радикалы - промежуточные частицы во многих химических реакциях. Некоторые радикалы свободные стабильны и выделены в индивидуальном состоянии. С участием радикалов свободных осуществляются важные биохимические процессы, например ферментативное окисление.
Оксид азота (NO) является одним из наиболее важных биологических медиаторов, который вовлечен в множество физиологических и патофизиологических процессов. Он представляет собой уникальный по своей природе и механизмам действия вторичный мессенджер в большинстве клеток организма. В частности, оксид азота участвует в реализации многих важных физиологических функций, таких как вазодилатация, нейротрансмиссия, снижение агрегации тромбоцитов, реакции иммунной системы, регуляция тонуса гладких мышц, состояние памяти и др., а также некоторых патологических процессов. Важная роль оксида азота в многочисленных биологических процессах в организме явилась основанием для того, чтобы назвать NO в 1991 году Молекулой Года.
Термином «оксид азота» (или «окись азота») обозначается восстановленная форма моноокиси азота (NO) с периодом полураспада от 2 до 3 представляет собой растворимый в воде и жирах бесцветный газ с уникальными физиологическими свойствами. В химическом отношении NO представляет собой маленькую липофильную молекулу, состоящую из одного атома азота и одного атома кислорода и имеющую непарный электрон, что превращает ее в высоко реактивный радикал, свободно проникающий через биологические мембраны и легко вступающий в реакции с другими соединениями[8.115].
В организме NO синтезируется клетками из аминокислоты L-аргинин [25,39]. Этот процесс представляет собой комплексную окислительную реакцию, катализируемую ферментом NO-синтазой (NOS), которая присоединяет молекулярный кислород к конечному атому азота в гуанидиновой группе L-аргинина (рис.1).
Характерной особенностью NO является его способность быстро диффундировать через мембрану синтезировавшей его клетки в межклеточное пространство и также легко (не нуждаясь в рецепторах) проникать в клетки-мишени. Внутри клетки он активирует одни энзимы и ингибирует другие.
7. Характеристика углеводов: классификация, функция. Важнейшие представители моно- и дисахаридов
Углеводы — широкий класс органических соединений, которые состоят из углерода, водорода и кислорода. В большинстве углеводов атомное соотношение водорода и кислорода одинаково с их отношением в воде, равным 2 : 1 (этим и объясняется происхождение названия «углеводы»); общая формула таких углеводов СmН2nОn. Исключение представляют дезоксисахара, которые имеют другой состав, например дезоксирибоза С5Н10О4, рамноза и фукоза С6Н12О5.
С точки зрения строения все углеводы можно рассматривать как многократно гидроксилированные альдегиды и кетоны, или как многоатомные аль-дегидо- и кетоспирты.
По числу углеводных остатков все углеводы классифицируют на:
моносахариды — углеводы, молекулы которых не могут быть разложены на более простые молекулы углеводов;
олигосахариды — углеводы, содержащие от двух до десяти одинаковых или различных моносахаридных остатков. По числу таких остатков различают дисахариды, трисахариды, тетрасахариды и т. д.;
полисахариды — углеводы, содержащие более десяти (до тысячи и выше) одинаковых или различных моносахаридных остатков.
Все олиго- и полисахариды подвергаются гидролизу с расщеплением на моносахаридные остатки, которые в результате присоединения воды образуют молекулы моносахаридов, например при кипячении в разбавленных кислых растворах. Образование олиго- и полисахаридов из моносахаридов по реакции конденсации протекает с выделением воды,
Моносахариды по виду функциональной группы (отличной от гидроксила ОН) делятся на альдозы (содержат альдегидную группу) и кетозы (содержат карбонильную группу). Все альдозы дают характерные реакции на альдегиды.
По числу атомов кислорода в молекуле (обычно оно равно числу атомов углерода) среди моносахаридов различают триозы (С3О3), тетрозы (С4O4), пентозы (С5О5), гексозы (С6О6), гептозы (С7О7) и т. д. К этим названиям при построении названий моносахаридов присоединяют функциональную приставку (альдо- или кето-), например; альдотриоза, альдотетроза, альдогексоза, альдопентоза.
Все моносахариды оптически активны, поскольку в их молекулах имеется асимметрический атом С (т. е. отсутствуют плоскость и центр симметрии молекулы). В зависимости от того, где расположена группа —ОН у предпоследнего атома С в углеродной цепи, изомерные углеводы будут D-и L-соединениями.
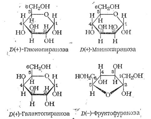
Наиболее важными представителями моносахаридов являются пентозы (арабиноза, ксилоза, рибоза) и гексозы (глюкоза, манноза, галактоза, фруктоза).

Дисахариды (простейшие олигосахариды) образуются при конденсации двух молекул моносахаридов с отщеплением воды:
С6Н12О6 + С6Н12О6 → С12Н22О11 + Н2О
Наиболее известными представителями дисахидов являются сахароза, лактоза, мальтоза.


Под термином гликолиз понимают происходящее без участия кислорода (анаэробно) окисление глюкозы до молочной кислоты. Исходным субстратом гликолиза является глюкоза, она доставляется в мышцы кровью, или в результате распада в мышце гликогена. Глюкоза активируется соединяясь с фосфорной кислотой, модифицируется и затем в результате несложных ферментативных процессов превращается в пировиноградную кислоту (ПВК). В анаэробных условиях, т.е. в условиях абсолютной или относительной недостаточности кислорода, ПВК окисляется до молочной кислоты. Таким образом, в условиях недостатка кислорода ресинтез АТФ осуществляется в результате гликолиза с накоплением недоокисленных продуктов метаболизма, в частности молоч- ной кислоты (лактата). Интенсивность анаэробной нагрузки может составлять не более 60 минут. Количество молекул АТФ синтезируемых за один цикл 2 - 3 . Гликолиз хорош тем, что не требует повышенного снабжения организма кислородом. Кроме того, он обладает гораздо большим резервом, чем креатин-киназный путь ресинтеза АТФ. Однако, во-первых он малоэффективен (всего три молекулы АТФ на молекулу глюкозы); во-вторых запасы гликогена в организме хотя и велики, но не безграничны и легко могут быть исчерпаны; в-третьих, гликолиз способствует накоплению в организме лактата, что приводит к закислению среды и далеко не безразлично для функций организма; в-четвертых, "запуск" гликолиза требует некоторого времени, он не настолько быстрый как креатинкиназная реакция и полное его развертывание возможно только через 10-20 секунд.
Бескислородное окисление, хотя и является малоэффективным в энергетическом отношении процессом, совершенно необходимо организму для быстрого реагирования на бескислородные условия и экстремальные нагрузки. Ведь при экстремальных нагрузках организм переходит на бескислородный путь окисления только лишь потому, что кислородные транспортные системы просто не успевают, да и не могут доставить к работающему органу адекватное количество кислорода.
9. Переваривание жиров в желудочно-кишечном тракте. Ферменты, участвующие в этом процессе
В процессах пищеварения все омыляемые липиды (жиры, фосфолипиды, гликолипиды, стериды) подвергаются гидролизу на составные части, уже названные ранее, стерины же химическим изменениям не подвергаются. При изучении этого материала следует обратить внимание на отличия пищеварения липидов от соответствующих процессов для углеводов и белков: особую роль желчных кислот в распаде липидов и транспорте продуктов пищеварения.
В составе липидов пищи преобладают триглицериды. Фосфолипидов, стреинов и других липидов потребляется значительно меньше.
Большая часть поступающих с пищей триглицеридов расщепляется до моноглицеридов и жирных кислот в тонком кишечнике. Гидролиз жиров происходит под влиянием липаз сока поджелудочной железы и слизистой оболочки тонкого кишечника. Соли желчных кислот и фосфолипиды, проникающие из печени в просвет тонкого кишечника в составе желчи, способствуют образованию устойчивых эмульсий. В результате эмульгирования резко увеличивается площадь соприкосновения образовавшихся мельчайших капелек жира с водным раствором липазы, и этим самым увеличивается липолитическое действие фермента. Соли желчных кислот стимулируют процесс расщепления жиров не только участвуя в их эмульгировании, но и активируя липазу.
Расщепление стероидов происходит в кишечнике при участии фермента холинэстеразы, выделяющегося с соком поджелудочной железы. В результате гидролиза стероидов образуются жирные кислоты и холестерин.
Фосфолипиды расщепляются полностью или частично под действием гидролитических ферментов - специфических фосфолипаз. Продуктом полного гидролиза фосфолипидов являются : глицерин, высшие жирные кислоты, фосфорная кислота и азотистые основания.
Всасыванию продуктов переваривания жиров предшествует образование мицелл - надмолекулярных образований или ассоциатов. Мицеллы содержат в качестве основного компонента соли желчных кислот, в которых растворены жирные кислоты, моноглицериды, холестерин и т.п.
В клетках кишечной стенки из продуктов пищеварения, а в клетках печени, жировой ткани и других органов из предшественников, возникших в обмене углеводов и белков, происходит построение молекул специфических липидов тела человека - ресинтез триглицеридов и фосфолипидов. Однако их жирнокислотный состав по сравнению с жирами пищи изменен: в триглицеридах, синтезируемых в слизистой оболочке кишечника содержатся арахидоновая и линоленовая кислоты даже в том случае, если они отсутствуют в пище. Кроме того, в клетках кишечного эпителия жировая капля покрывается белковой оболочкой и происходит формирование хиломикронов - большая жировая капля, окруженная небольшим количеством белка. Транспортирует экзогенные липиды в печень, адипозную ткань, соединительную ткань, в миокард. Поскольку липиды и некоторые их составные части нерастворимы в воде, для переноса из одного органа в другой они образуют особые транспортные частицы, в составе которых обязательно есть белковый компонент. В зависимости от места образования эти частицы различаются структурой, соотношением составных частей и плотностью. Если в составе такой частицы в процентном соотношении жиры преобладают над белками, то такие частицы называются липопротеинами очень низкой плотности (ЛПОНП) или липопротеинами низкой плотности (ЛПНП). По мере увеличения процентного содержания белка (до 40%) частица превращается в липопротеин высокой плотности (ЛПВП). В настоящее время изучение таких транспортных частиц дает возможность с большой степенью точности оценивать состояние липидного обмена организма и использование липидов в качестве источников энергии.
Если образование липидов происходит из углеводов или белков, предшественником глицерина становится промежуточный продукт гликолиза - фосфодиоксиацетон, жирных кислот и холестерина - ацетилкофермент А, аминоспиртов - некоторые аминокислоты. Синтез липидов требует больших энерготрат для активации исходных веществ.
Основной часть продуктов распада жиров всасывается из клеток кишечного эпителия в лимфатическую систему кишечника, грудной лимфатический проток и только затем - в кровь. Незначительная часть короткоцепочечных жирных кислот и глицерина способна всасываться непосредственно в кровь воротной вены.
Липиды, образовавшиеся из продуктов пищеварения, поступают, в основном, в депо, где откладываются в запас. Они могут мобилизоваться при увеличении потребности организма в них. Часть вновь синтезированных липидов поступает в клетки различных органов, где используется преимущественно как структурный компонент протоплазмы и мембран клеток. Эти липиды, в отличие от депонированных, обладают видовой специфичностью и значительной устойчивостью.
Мобилизация липидов из депо особенно усиливается при охлаждении организма, длительной мышечной работе, понижении содержания углеводов. Мобилизация представляет собою липолиз (гидролитическое расщепление) липидов и включение продуктов этого расщепления в обменные процессы в различных органах.
Холестерин поступает в организм из животной пищи или синтезируется в печени из других компонентов пищи. Подобно другим жирам, холестерин не растворяется в крови (которая имеет водную основу) и для перемещения по кровеносной системе должен прикрепляться к белкам. Существует два типа белков, переносящих холестерин. Белок первого типа, ЛПНП (липопротеин низкой плотности), призван доставлять холестерин к клеткам-потребителям, где он используется по назначению. При контакте ЛПНП с мембраной (оболочкой) клетки, холестерин легко отсоединяется от ЛПНП и проникает в клетку. В клетках существуют рецепторы, которые отвечают за количество поглощенного холестерина.
Соединение ЛПНП-холестерин легко окисляется. Это означает, что он становится легкой добычей свободных радикалов кислорода, и в этот момент сам выступает в роли свободного радикала, способного повреждать стенки кровеносных сосудов. По этой причине очень важно достаточное использование антиоксидантов для профилактики сердечно-сосудистых заболеваний (ССЗ). Кроме этого, имея низкую плотность, ЛПНП легко теряют холестерин, который переходит на стенки сосудов.
ЛПВП (липопротеин высокой плотности), наоборот, имеют свойство "впитывать" свободный холестерин с поверхности клетки, избытки холестерина, а также холестерин, связанный с ЛПНП, и высвобождать его только в печени, выполняя функцию пылесоса, высасывающего холестерин из клеток организма, и затем транспортного средства для доставки его в печень. При этом ЛПВП никогда не теряют холестерин при транспортировке его в печень.
В печени часть холестерина превращается в желчные кислоты, а часть вместе с желчными кислотами поступает в кишечник. В кишечнике холестерин и желчные кислоты частично могут реабсорбироваться (снова всасываться в кишечнике) либо выводиться из организма вместе с калом. Значительную роль в связывании и выведении из организма холестерина и желчных кислот играют некоторые виды растительной клетчатки. Это определяет необходимость достаточного потребления клетчатки для снижения уровня холестерина в крови.
Нормальное содержание холестерина в сыворотке крови взрослого человека - 3,9 - 5,2 ммоль/л.
Более высокий уровень холестерина в крови требует коррекцию диетой, а при еще более значительном повышении необходима медикаментозная коррекция. Большое значение в профилактике атеросклероза имеет содержание ЛПВП в крови. Рекомендуемые цифры для подростков и взрослых - 1,5 - 3,3 г/л.
При исследовании желудочного сока методом гель-фильтрации выделили неактивную форму пепсина с молекулярной массой 42кДа. После добавления к ферменту соляной кислоты молекулярная масса пепсина уменьшилась до 35 кДа и фермент стал активным. Объясните полученные данные. Какой вид регуляции характерен для данного фермента.
Пепсин является одним из основных протеолитических ферментов пищеварительного тракта. Вырабатывается в клетках слизистой оболочки желудка в неактивной форме - как профермент пепсиноген, который превращается в активный фермент пепсин в желудочном содержимом. Пепсин гидролизует пептидные связи и расщепляет практически все природные белки; играет важную роль в процессах пищеварения.
Имеются два уровня рН, при которых пепсины максимально активны: 1,5—2,4 и 3,4—3,9. При рН свыше 5,0 действие пепсинов прекращается. Эти ферменты выделены в кристаллическом виде. Пепсины расщепляют белки до полипептидов различной степени сложности.
Пепсины выделяются клетками желудочного сока в неактивной форме — в виде так называемых пепсиногенов, которые превращаются в активные ферменты — пепсины под влиянием соляной кислоты . Активация пепсиногена заключается в том, что от него отщепляется полипептид, содержащий аргинин и являющийся парализатором пепсина.
Соляная кислота: 1) создает такую концентрацию водородных ионов в желудке, при которой пепсины максимально активны; 2) превращает пепсиногены в пепсины.
Какова судьба образовавшегося в цикле трикарбоновых кислот НАДН и ФАДН. Напишите химические реакции ЦТК, сопряженные с дыхательной цепью.
Цикл Кребса состоит из 8 стадий (в двух стадиях на схеме выделены промежуточные продукты), в ходе которых происходит:
1) полное окисление ацетильного остатка до двух молекул СО2,
2) образуются три молекулы восстановленного никотинамидадениндинуклеотида (НАДН) и одна восстановленного флавинадениндинуклеотида (ФАДН2), что является главным источником энергии, производимой в цикле и
3) образуется одна молекула гуанозинтрифосфата (ГТФ) в результате так называемого субстратного окисления.
В целом, путь энергетически выгоден (G0' = –14,8 ккал.)
Образующиеся при окислении пирувата и последующих реакциях цикла Кребса 3 моля НАДН и 1 моль ФАДН2 являются важными продуктами окислительных превращений. Дальнейшее их окисление осуществляется ферментами дыхательной цепи также в митохондриях и сопряжено с фосфорилированием, т.е. образованием АТФ за счет этерификации (образования фосфороорганических эфиров)минерального фосфата. Гликолиз, ферментное действие ПДГазы и цикл Кребса – всего в сумме 19 реакций – определяют полное окисление одной молекулы глюкозы до 6 молекул CO2 с образованием 38 молекул АТФ – этой разменной «энергетической валюты» клетки. Процесс окисления НАДН и ФАДН2 ферментами дыхательной цепи энергетически весьма эффективен, происходит с использованием кислорода воздуха, приводит к образованию воды и служит основным источником энергетических ресурсов клетки (более 90%). Однако в его непосредственной реализации ферменты цикла Кребса не участвуют. В каждой клетке человека есть от 100 до 1000 митохондрий, обеспечивающих жизнедеятельность энергией.
Предложите витамины, которые следует использовать для усиления энергетического обмена. Приведите биохимическое объяснение их участия в энергетическом обмене.
Витамины группы В принимают непосредственное участие в энергическом обмене. Витамин В1, превращаясь в организме в тиаминдифосфат (кокарбоксилазу), в качестве кофермента входит в состав важнейших ферментов энергетического обмена. Вместе с ним в энергетическом обмене на разных этапах биологического окисления углеводов, жиров и белков принимают участие витамин В2, никотинамид и биотин.
Введение глюкагона и кортизола вызывают гипергликемию. Объясните, почему при введении глюкагона она возникает быстро и длится долго, а при введении кортизола – развивается через несколько часов и долго сохраняется?
Рассмотрим принципиальное действие данных ферментов:
| Название | Строение | Сигнал для секреции | Органы мишени | Механизм передачи сигнала | Изменение метаболизма в клетках мишени |
| Глюкагон α-клетки поджелудочной железы | пептид | сниженная концентрация глюкагона в крови | печень, жировая ткань | Через мембранные рецепторы | Ускорение распада гликогена, ускорение гликонеогенеза, ускорение липолиза |
| Кортизол, клетки коркового слоя надпочечников | Стероид | сниженная концентрация глюкагона в крови, опосредованное кортикотропином | Печень мышцы | Через цитоплазматические рецепторы | ускорение гликонеогенеза, индукция синтеза ферментов гликонеогенеза и катабализма неокислот Ускорение катабализма аминокислот Снижение скорости поступления аминокислот |
Таким образом, при введении глюкагона гипергликемия образуется сразу, так как стимулом для секреции глюкагона является уменьшение уровня глюкозы в крови. Действует за счет гликогенолиза. Увеличение глюкозы в крови стимулирует распад белка, из аминокислот образуется глюкоза. Кортизон же стимулирует катаболизм белка и глюконеогенез, вызывая повышение содержания глюкозы в плазме крови. Этот эффект обусловлен стимулированием процессов глюконеогенеза в печени, т.е. образования глюкозы из аминокислот и жирных кислот.
В сыворотке крови больного снижена активность холинэстеразы, повышена активность аргиназы. Объясните, почему этому больному врач рекомендовал принимать фенипептол, который увеличивает количество желчи, повышает в ней содержание холестерина, желчных кислот и повышает ток желчи по желчным путям.
Роль печени в белковом обмене заключается в расщеплении и "перестройке" аминокислот, образовании химически нейтральной мочевины из токсичного для организма аммиака, а также в синтезе белковых молекул. Аминокислоты, которые всасываются в кишечнике и образуются при расщеплении тканевого белка, составляют "резервуар аминокислот" организма, который может служить как источником энергии, так и строительным материалом для синтеза белков.
При снижении активности холинэстеразы и повышении активности аргиназы нарушается белоксинтезирующая функции печени.
1. Березов Т.Т., Коровкин Б.Ф. Биологическая химия: Учебник.- М.: Медицина, 2001.- с.115
2. Кнорре Д.Г., С.М. Мызина Биологическая химия. – М.: Высшая школа, 2003. – с.293.
3. Кочетов Г.А. Практическое руководство по энзимологии.- М., 1989
4. Василенко Ю.К. Биологическая химия. – М.: Высшая школа, 1978. –с.46.
5. Основы биохимии / Под ред. Анисимова. – М.Высшая школа, 1986. – с.55.
6. Ермолаев М.В., Ильичева Л.П. Биологическая химия. – М.:Медицина, 2002. – 214.
7. Журавлева И.А., Мелентьев И.А., Виноградов Н.А. Роль окиси азота в кардиологии и гастроэнтерологии // Клиническая медицина,1997; 75; 4: 18-21.
8. Фёршт Э. Структура и механизм действия ферментов.- М.: Мир., 1980.- с. 373-388
9. Диксон М., Уэбб Э. Ферменты: пер.англ.- М.: Мир, 1982.- т.1.- с. 370-375
10. Асатиани В.С. Биохимическая фотометрия.- М.: Изд. АН СССР, 1957.- с.248-253
