| Скачать .zip |
Реферат: Проведение комбинированной общей анестезии с применением наркотического анальгетика просидола
В В Е Д Е Н И Е
Проблема боли и анальгезии занимает одно из центральных мест в современной медицине и является предметом широкомасштабного мультидисциплинарного исследования (1, 2). В настоящее время эта проблема переживает период интенсивного изучения, характеризующийся чрезвычайно быстрым появлением новых данных, концепций, теорий, которые порой даже не успевают получить должной смысловой ассимиляции, как в
Боль - не только симптом большинства фундаментальном, так и в теоретическом плане (1, 2, 3, 4) острых и хронических заболеваний, но и сложный психофизиологический феномен, вовлекающий механизмы регуляции и формирования эмоций, моторные, гуморальные и гемодинамические проявления (1, 3, 4).
Среди многообразия болеутоляющих средств ведущее место, как наиболее эффективные и специфически действующие препараты, занимают наркотические аналгетики (1, 2, 3, 4, 5).
Опиоиды всегда играли фундаментальную роль в практической анестезиологии. Включение опиоидов в качестве специфического компонента сбалансированной анестезии широко принято и несет в себе определенные преимущества (2, 4, 5). При использовании опиоидов во время вводного наркоза индукция становится более гладкой, меньше требуется препарата для выключения сознания, снижается сердечно-сосудистая реакция на ларингоскопию и интубацию трахеи (1, 3). Современное представление о нейрофизиологии боли со всей очевидностью предопределяет, что анальгетический и другие эффекты опиатов и опиоидов представляют собой результирующие их действия на различных уровнях центральной нервной системы (1, 3, 4).
Актуальность
Наркотические анальгетики занимают центральное место в системе анестезиологического обеспечения хирургических вмешательств (2, 6). Их используют в премедикации, для потенцирования наркоза (3, 4, 6, 7, 8, 9), в качестве основного компонента общей анестезии (6, 7, 8, 9, 10), для послеоперационного обезболивания и купирования болевых синдромов (2, 3, 5).
Боль является одним из самых распространенных клинических симптомов, встречающихся в практике врача любой специальности, поэтому проблемы обезболивания имеют общемедицинский характер. Сложность природы проявлений боли в жизни и «борьбы» с ней всегда вызывали интерес клиницистов (1, 3, 4, 5, 9).
Актуальность разработок в этом направлении современной медицины демонстрируется ежегодным количеством научных публикаций, посвященных проблемам боли и постоянством организаций международных и региональных съездов, конгрессов и симпозиумов (3, 11, 12).
В последнее десятилетие клиническая фармакология смогла предложить для клинического применения высокоэффективные селективные препараты и расширить показания к использованию достаточно известных и апробированных средств (1, 3, 4). Сказанное в полной мере относится и к аналгетическим препаратам. Однако, несмотря на существующее обилие средств рекомендуемых для купирования и лечения боли, проблемы лечения болевого синдрома, т. е. обезболивания, к сожалению, и сегодня далеки от полного разрешения (2, 3). Следует отметить, что кроме появления новых средств в различных областях знаний произошли существенные сдвиги в подходах к пониманию механизмов развития болевого синдрома, оценкам действия различных препаратов и методов обезболивания, начиная со способов местной, общей анестезии и завершая различными вариантами электростимуляционной анальгезии и способов аккупунктурного воздействия (3, 4, 13, 14).
В настоящее время именно синтез средств, предполагаемых к использованию в широкой практике, как правило, представляет интерес для анестезиологии, поскольку они не тривиальны и значительно отличаются от классических средств для наркоза (2, 3, 14).
Сегодня вряд ли разумно отдавать предпочтение какому-либо одному методу анестезии или анальгезии, поскольку имеются различные способы обеспечения болеутоления в конкретных случаях и наиболее показанных пациенту (3, 13, 15, 16).
От других областей клинической медицины анестезиологию отличает то, что в границах ее предмета возможно проведение досконального изучения особенностей механизма действия, фармакокинетики и фармакодинамики наркотических и аналгетических средств, без чего невозможно широкое внедрение их в практику (1, 2, 3, 8).
Арсенал средств для общей анестезии за последнее время значительно расширился, поскольку процесс создания новых препаратов стимулируется успехами исследователей, углубляющих наше понимание механизмов формирования боли, физиологии процессов, сопровождающих развитие общей анестезии (9, 10).
Уровень развития современной анестезиологии определяемый успехами фармацевтической и медицинской промышленности, трудно сравнить с уровнем 20-летней давности (3, 4, 14).
Революционным моментом для анестезиологии стало создание теории о многокомпонентности общей анестезии, которая в настоящее время общепринята. Основными компонентами общей анестезии, как известно являются: выключение сознания, анальгезия, нейровегетативная защита, миорелаксация, управление кровообращением и метаболизмом (3, 13, 15).
Компоненты общей анестезии тесно связаны между собой, свидетельством чему является тот факт, что в эпоху мононаркоза все они обеспечивались применением единственного средства для наркоза, правда в максимальных концентрациях. Именно поэтому адекватное обеспечение такого компонента при комбинированной общей анестезии, как угнетение сознания, повышает эффективность анальгезии (эффекта от применения «чистых» анальгетиков), и, в определенной степени, нейровегетативной защиты (3, 4, 9, 14).
В анестезиологическом аспекте угнетение сознания сопровождается снижением альгогнозии (знание чувства боли), анальготомией (узнаванием и дифференцировкой боли) и вызывает ретроградную амнезию (4, 5).
Вторым, не менее важным компонентом общей анестезии является анальгезия, которая определяется состоянием медикаментозной блокады на различных уровнях центральных путей ноцицепции: в терминальных отделах- местная анестезия, на протяжении - проводниковая, регионарная, на уровне центральных синапсов (ретикулярной формации ) - общая анестезия. Наиболее детальные и скрупулезные исследования этого компонента общей анестезии начались лишь после внедрения в практику мощных морфиномиметиков (1, 3, 4, 5).
Для обеспечения адекватной анальгезии в практической деятельности большинство специалистов используют такие препараты, как морфин, промедол, фентанил, меперидин и др.(3, 9, 10, 14).
Клиницистам давно известно, что при применении морфиномиметиков в дозах, обеспечивающих центральную анальгезию, очень высок риск возникновения на операционном столе вагусных осложнений, депрессии дыхания в послеоперационном периоде, повышения тонуса сфинктеров желудочно-кишечного тракта и других побочных эффектов (2, 3, 8, 13).
Поэтому, безусловно, перспективным следует считать поиск и разработку возможностей применения современных селективных препаратов на основе апробированных и зарекомендовавших себя схем общей анестезии (4).
Однако выбор этих препаратов невелик, поэтому создание и внедрение новых наркотических анальгетиков представляет несомненный интерес. В последнее десятилетие клиническая фармакология, используя современные возможности исследования, смогла предложить для клинического применения высокоэффективные, селективные препараты и расширить показания к использованию достаточно известных и апробированных средств (3, 4).
В отделе анестезиологии и реаниматологии НЦХ им. Сызганова А.Н. проведена клиническая апробация наркотического анальгетика просидола, разработанного в Институте химических наук им.Бектурова А.Б. МН АН РК, под руководством члена-корреспондента АН РК профессора д.х.н. К.Д. Пралиева.
Цель работы: исследовать клиническую эффективность нового наркотического аналгетика просидола при его применении в премедикацию, в качестве компонента наркоза и для купирования послеоперационного и хронического болевого синдрома.
Задачи:
1. Разработать способ применения просидола в премедикацию, как компонента наркоза, а также для послеоперационного обезболивания.
2. Изучить влияние просидола на основные функциональные системы организма.
3. Провести сравнительный анализ эффективности просидола с известными анальгетиками.
Научная новизна.
Впервые проведено комплексное исследование двух форм нового наркотического анальгетика просидола в анестезиологической практике, в качестве компонента премедикации, наркоза и послеоперационного обезболивания. Обнаружено, что просидол не уступает по своим фармакодинамическим параметрам промедолу и фентанилу и может с успехом применяться для премедикации, интра - и послеоперационного обезболивания.
Практическая ценность.
Осуществлено внедрение в клиническую практику нового наркотического аналгетика просидола в премедикацию, как компонента общей анестезии, для послеоперационного обезболивания и лечения хронических болевых синдромов.
1 ХАРАКТЕРИСТИКА НАРКОТИЧЕСКИХ АНАЛГЕТИКОВ
(ОБЗОР ЛИТЕРАТУРЫ)
1.1 Роль наркотических аналгетиков в анестезиологии (механизм действия, влияние на организм).
Арсенал средств для общей анестезии за последнее время значительно расширился, поскольку процесс создания новых препаратов стимулируется успехами исследователей, углубляющих наше понимание механизмов формирования боли, физиологии процессов, сопровождающих развитие общей анестезии (1, 2, 3). В настоящее время созданы лекарственные препараты, с заранее заданными свойствами, обеспечивающими тот или иной компонент защиты пациента от хирургического стресса (3, 13, 14). Естественные успехи в фармакохимии, фармакологии и токсикологии способствуют внедрению в клиническую практику все новых и новых как ингаляционных, так и неингаляционных анестетиков которые со временем либо заменяются новыми, более современными средствами, либо широко начинают использоваться в клинической практике (2, 3, 9). Тем не менее, до сих пор наблюдается устойчивая тенденция к преимущественному использованию неингаляционных способов общей анестезии (1, 3, 4, 9).
Общую анестезию, как известно, характеризуют несколько компонентов, основными из которых являются: амнезия, анальгезия, нейровегетативная блокада, миорелаксация, управление кровообращением и метаболизмом (4, 5).
С момента формирования понятий о компонентах общей анестезии эти представления прочно вошли в клиническую анестезиологию и способствовали разработке современных комбинированных методов наркоза (4, 5).
Аналгетический компонент общей анестезии в настоящее время обеспечивается в основном препаратами морфинового ряда: петидином, метадоном, рацеморфином, фентанилом, суфентанилом, альфентанилом и др (1, 3, 9). Анестезиологическая практика достаточно долго и в определенной степени успешно обходилась без этих препаратов, однако после эры безраздельного «господства» ингаляционных средств для наркоза, успехи фармакологии определили развитие и широкое внедрение в практику неингаляционных препаратов, с помощью которых в последующем были разработаны новые неингаляционные методы общей анестезии (1, 2, 3, 4, 5).
С определенностью можно сказать, что результаты исследованных механизмов анальгезии (при обеспечении этого компонента общей анестезии), стимулировали поиск и создание новых препаратов с определенными заданными свойствами, при чем исследователи, как правило, планировали создание средств, обладающих при максимальном анальгетическом эффекте действия минимумом побочных и токсических свойств, а также отсутствием привыкания (4, 6, 8, 13, 15).
Несмотря на успехи электроанальгезии, рефлексотерапии, других методов обезболивания, фармакотерапия боли не теряет своей актуальности. Проблема боли является одной из важнейших в медицинской науке, поскольку она имеет большое не только медико-биологичекое, но социально-экономическое значение (2, 3, 5, 15).
Открытие опиатных рецепторов и антагонистов наркотических аналгетиков, типа налоксона, в значительной степени увеличивало возможности изыскания новых анальгетиков и их антагонистов, изучение механизма анальгетического эффекта морфиноподобных веществ, а также выяснение причин психической и физической зависимости, возникающих под их влиянием (3, 17, 18,19).
В последние годы в создании новых анальгезирующих средств достигнуты определенные успехи. Весьма значительны они и в изучении механизмов действия анальгетиков (3, 20). Обнаружение простогландинов, энкефалинов, выяснение альгогенной и анальгетической роли этих и ряда других эндогенных веществ, а также открытие опиатных рецепторов создали новую основу для понимания механизмов боли и процессов обезболивания и стимулировали поиск новых анальгетических средств (3, 13).
По современным представлениям клеточные рецепторы, в том числе рецепторы нейронов, представляют собой белковые участки клеточной мембраны, селективно связывающие соответствующие биологически активные вещества (17, 18). При этом происходит изменение ее проницаемости, сопровождающейся передвижением ионов, а следовательно, перемещение электрических зарядов, изменяющих функцию и метаболизм клетки в целом (1, 2, 4, 17, 18, 20).
Разумеется возможны и иные принципы воздействия химических соединений на нейроны и другие клетки, примером чему может быть физико-химический способ действия общих и местных анестетиков (20, 21).
В последние годы рядом авторов (17, 18, 22) было доказано наличие в структурах ЦНС специальных рецепторов для некоторых нейротропных веществ, в том числе и для опиатных анальгетиков. Точкой приложения действия наркотических анальгетиков в ЦНС являются рецепторы опиатов (17, 20, 23, 24). Они расположены гетерогенно в разных структурах ЦНС и в некоторых внутренних органах, при этом наибольшая плотность опиатных рецепторов отмечается в афферентных путях проведения болевой чувствительности (например, в желатиновой субстанции спинного мозга, в некоторых ядрах таламуса) (17, 24, 25, 26, 27). Характерным для рецепторов опиатов является стереоспецифичность и обратимость связывания с наркотическими аналгетиками (17, 20). Антагонисты наркотических анальгетиков, имея больший аффинитет (число занятых веществом рецепторов) к рецепторам опиатов, вытесняют их и сами связываются с этими рецепторами (3, 4, 26). Однако, несмотря на появление в клинической практике новых синтетических анальгетиков, большое значение в практике продолжают иметь наркотические анальгетики (группа морфина и его аналогов) вследствие их непревзойденной способности к болеутолению (1, 14, 15, 28).
Классическим представителем наркотических анальгетиков - опиатов - является морфин, выделенный из опийного мака еще в 1803 году. Морфин - основной алкалоид опийного мака, где его содержание колеблется от 3 до 23% (3, 4, 24, 25).
В последние годы уточнены терминологические критерии, согласно которым болеутоляющие соединения, содержащиеся в соке опийного мака принято называть опиатами, вещества другого химического строения, близкие по фармакологическим эффектам к опиатам, - опиоидами или опиатоподбными веществами (25, 26, 29).
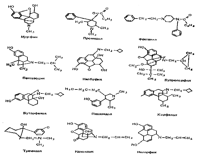
По избирательности и характеру их влияния на опиатные рецепторы наркотические анальгетики разделяются на несколько групп: морфиноподобные агонисты - морфин и его производные, промедол, фентанил и его производные, метадон, эторфин, трамадол; смешанные агонисты - антагонисты - пентазоцин, налбуфин, налорфин, корфанол; частичные (парциальные агонисты) - бупренорфин (1, 3, 29, 30, 31)
Формулы наркотических анальгетиков: (1, 3)

Нейрональные механизмы болеутоляющего действия наркотических аналгетиков и опиоидных пептидов
Современные представления о нейрофизиологии боли со всей очевидностью предопределяют, что аналгетический эффект опиатов и опиоидов представляет собой, по сути, результирующую их действия на различных уровнях центральной нервной системы (2, 4). Следует отметить, что появившиеся 6 - 8 лет назад данные о периферическом механизме их болеутоляющего действия не подтверждаются исследованиями последних лет, в которых убедительно показано, что морфин и фентанил не изменяют активность полимодальных ноцицептивных С-волокон ни при внутривенном введении, ни при аппликации на афферентные нервы (1, 32, 33, 34). В настоящее время следует считать общепризнанным, что передача ноцицептивных сигналов первично изменяется уже на уровне спинного мозга и что сегментарные механизмы действия опиатов и опиоидов играют существенную роль в реализации их болеутоляющего эффекта (34, 35, 36).
Избирательные влияния опиатов на ноцицептивные ответы соответствуют хорошо известным клиническим данным об уменьшении перцепции боли без изменения других сенсорных ощущений (34, 36, 37).
Угнетающее действие опиатов и опиоидных пептидов на нейрональную активность спинного мозга может реализоваться различными механизмами (29). Установлено, что значительное угнетение клеток V слоя под влиянием морфина происходит лишь тогда, когда он вводится в область желатинозной субстанции (1, 17, 34, 37, 38). При введении в желатинозную субстанцию- энкефалин, в отличие от морфина, угнетал ответы клеток V слоя не только на ноцицептивную, но и на неноцицептивную стимуляцию и даже уменьшал их спонтанную активность (1, 17, 36).
Болеутоляющий эффект опиатов и опиоидов при внутривенном введении может значительно варьировать, что, по-видимому, обусловлено различной ролью сегментарного компонента анальгезии у отдельных препаратов (24, 26). Так, бупренорфин, у которого при парентеральном введении анальгетическая активность в 1000 раз выше, чем у морфина, при интратекальном введении вызывает аналгезию, равную морфиновой (1, 4, 8, 38). Весьма вероятно, что болеутоляющее действие бупренорфина в большей степени по сравнению с морфином реализуется на супрасегментарном уровне, поскольку при микроинъекции в периакведуктальную область он вызывает анальгезию в 1000 раз большую, чем морфин (1, 8, 13, 36). Кроме того, значение сегментарного компонента в механизме болеутоляющего действия опиатов при субарахноидальном их введении должно оцениваться весьма осторожно, поскольку анальгезия в этих случаях возникает в результате достаточно высокой локальной концентрации опиатов и может варьировать у отдельных препаратов в зависимости от их липофильности, как было показано в отношении морфина и петидина (1, 36, 37, 39, 40, 41).
Болеутоляющее действие опиатов при системном введении обусловлено их влиянием как на сегментарном, так и супрасегментарном уровнях, причем в последнем случае изменяются влияния, регулирующие формирование восходящего ноцицептивного потока в спинном мозге (36, 39, 41, 42). О сегментарном действии системно введенных опиатов свидетельствуют данные о сохранении их анальгетического эффекта после перерезки дорсолатеральных канатиков спинного мозга или после полной спинализации. Показано, что морфин, промедол, фентанил, пентазоцин, дозозависимо и налоксонобратимо угнетали флексорный рефлекс и импульсную активность в вентролатеральных трактах спинного мозга (1, 41, 43).
Обычно аналгетический эффект опиатов и опиоидных пептидов объясняют их постсинаптическим действием (44, 45). Как показано с использованием метода внутриклеточной регистрации, опиаты и опиоиды вызывают гиперполяризацию мембраны как нейронов заднего рога спинного мозга, так и нейронов мезентериального сплетения и реснитчатого ганглия in vitro ( 1, 41, 45, 46). Кроме того, наркотические анальгетики и опиоиды налоксонобратимо устраняли деполяризацию и увеличение проводимости мембраны, вызванные глутаматом и ацетилхолином (45, 46, 47, 48). С другой стороны, уже сам факт избирательного угнетения ответов клеток заднего рога спинного мозга на ноцицептивные стимулы дает основание полагать, что оно обусловлено влиянием анальгетиков и на пресинаптическом уровне. Кроме того, известно, что опиатные рецепторы в спинном мозге локализуются не только пост - , но и пресинаптически ( 1, 48, 49, 50).
Однако данные об электрофизиологических проявлениях пресинаптического действия опиатов, лежащего в основе их болеутоляющего эффекта, довольно противоречивы, что в первую очередь определяется разнообразием представлений о пресинаптических механизмах формирования восходящего ноцицептивного потока на сегментарном уровне (50, 51, 52, 53) .
Болеутоляющее действие опиатов и опиоидных пептидов реализуется и на супрасегментарном уровне за счет нарушения проведения возбуждения по диффузной афферентной системе на уровне таких ее основных релейных звеньев, как ретикулярная формация ствола головного мозга и среднего мозга (52, 53, 54, 55).
ноцицеп-нисходя-структур
Принципиальным механизмом специфического болеутоляющего действия опиатов и опиоидов следует считать угнетение нейронов, связанных с ноцицептивной афферентацией, и снижение их активации через конвергирующие на них высокопорговые ноцицептивные входы (46, 49). Так, электрофоретическое подведение морфина и метэнкефалина всегда стереоспецифически и налоксонобратимо угнетает активность нейронов голубого пятна, которое имеет большую плотность опиатных рецепторов и участвует в регуляции болевой чувствительности (1, 3, 46, 54, 55, 56, 57).Можно считать, что в последние годы в целом сформулировано представление о болеутоляющем действии опиатов и опиоидов и достигнуто общее понимание излишней категоричности существовавших ранее контраверсий об исключительно сегментарных или супрасегментарных механизмах опиатной аналгезии (56, 57, 58, 59, 60, 61). Предложено достаточно много функциональных схем, согласно которым эта анальгезия формируется как за счет непосредственного угнетения релейных нейронов спинного мозга и особенно их активации через высокопороговые ноцицептивные входы, так и в результате усиления опиатами нисходящего торможения с различных антиноцицептивных структур центральной нервной системы (1, 55, 56, 57, 58, 59)
Влияние опиатов и опиоидов на аналгетические системы головного мозга
Одним из наиболее дискуссионных и наиболее уязвимых мест гипотезы о реализации опиатной анальгезии через эндогенные болеутоляющие системы является положение о способности опиатов усиливать нисходящее торможение и о способах этого усиления с учетом общеизвестных данных об отсутствии у них непосредственного активирующего действия на нейрональную активность (60, 62, 63, 64, 65).
Большинство гипотез о способности анальгетиков усиливать нисходящее торможение базируется на известной общности проявлений стимуляционной и опиатной анальгезии, хотя эта общность не позволяет судить об их тождественности по сути (1, 66, 67). Кроме того, в электрофизиологических исследованиях отправной точкой интерпретации действия опиатов на нисходящее торможение невольно служило допущение об идентичности нисходящего контроля сегментарных флексорных рефлексов и активности сегментарных нейронов, формирующих восходящий нецицептивный поток (3, 66, 67). Поэтому неудивительно, что некоторые данные о действии опиатов не укладываются в рамки существующих гипотез (1, 3, 55, 56, 68). Так, было показано, что морфин в минимальных анальгетических дозах в большей степени угнетал ответы нейронов V слоя и активность в антеролатеральных столбах спинного мозга, вызванные брадикинином (1, 55, 56, 69).
В работах последнего времени не находит подтверждения и устоявшееся представление о реализации нисходящего торможения, усиливаемого морфином ,через дорсолатеральные канатики спинного мозга (1, 55, 56, 70).
Дискуссионность гипотезы об усилении опиатами нисходящего торможения не уменьшилась и после того, как была предложена ее новая модификация (1, 70, 71), в которой специально сделан акцент на то, что опиаты и эндогенные опиоиды не активируют нейроны антиноцицептивных зон головного мозга, а уменьшают в этих зонах тормозные процессы, т. е. оказывают растормаживающее действие, которое проявляется как усиление нисходящего торможения (1, 3, 70, 72, 73).
Принципиально новое объяснение формированию опиатной анальгезии дали Д. Ле Барс и соавт. (1983, 1987) (1). Их модель регуляции болевой чувствительности предполагает, что ее усиление (гиперальгезия) или угнетение (гипоальгезия) обусловлены фармакологической модуляцией активности нейронов спинного мозга которые высокочувствительны к морфину в малых дозах, еще не влияющих на передачу ноцицептивных сигналов на сегментарном уровне (1). Согласно их гипотезе, боль возникает тогда, когда создается определенная контрастность между сигналами ноцицептивных и неноцицептивных нейрональных пулов, запускающих процессы перцепции боли. Опиатная аналгезия может возникать в результате уменьшения контрастности восходящего сигнала двумя способами: 1) за счет усиления исходной неноцицептивной активности нейронов, которое происходит под влиянием опиатов в малых дозах 2) за счет непосредственного угнетения опиатами в больших дозах передачи ноцицептивной информации на сегментарном уровне (1). Суммация супрасегментарного и сегментарного эффектов опиатов приводит к большему уменьшению контрастности сигналов и, следовательно, к усилению анальгезии (1).
Представленная схема формирования болеутоляющего действия морфина, несмотря на ее новизну и привлекательность, как и любая другая, не может объяснить все многообразие проявлений феномена опиатной анальгезии (73, 74, 75, 76). Неясно, как впишутся в рамки этой схемы болеутоляющие свойства других опиатов и опиоидных пептидов, отличающихся большей селективностью к определенным типам опиатных рецепторов (75, 76, 77).
Таким образом, вся совокупность полученных данных свидетельствует о том, что болеутоляющее действие разных опиоидов опосредуется различными механизмами и уровнями центральной нервной системы (1, 75, 76, 78, 79). Более того, можно считать, что каждый агонист определенного типа опиатных рецепторов имеет своеобразную, присущую только ему, последовательность вовлечения нейрональных субстратов и нейрофизиологических механизмов, формирующих его болеутоляющее действие (79, 80, 81, 82). Весьма вероятно, что отдельные процессы опиоидергической регуляции боли реализуются через различные типы опиатных рецепторов и что m-, б- и c - рецепторы в неодинаковой степени и весьма дифференцированно включаются в механизмы, модулирующие ноцицептивную информацию на супра- и сегментарном уровнях, определяющие интенсивность восходящего болевого потока и его нисходящую регуляцию (1, 79, 80, 81, 82, 83).
Существенное значение в формировании опиатной анальгезии имеет изменение восходящих влияний эндогенных анальгетических зон головного мозга (83, 84, 85,86).
Нейрохимические основы болеутоляющего действия аналгетиков и опиоидных пептидов.
Серотонинергические механизмы болеутоляющего действия опиатов и опиоидов.
Роль серотонинергических механизмов в реализации опиатной анальгезии активно исследуется уже в течение нескольких лет (1, 48, 50, 86,87). Казалось бы, что в этом вопросе достигнута определенная ясность, поскольку в виде общепринятой схемы считалось, что все воздействия, усиливающие серотонинергическую медиацию, увеличивают морфинную аналгезию, а угнетающие - ее ослабляют (1, 84, 85). В работах О. Berge и соавт. (1983), S. Dennis и P. Melzack (1980) обобщены основные данные об изменениях морфиновой анальгезии, определяемой в различных экспериментальных тестах, при изменении серотонинергической медиации (1).
Предполагается, что серотонинергическая медиация играет существенную роль в реализации анальгетического действия морфина только на супрасегментарном уровне и не имеет существенного значения в том компоненте его анальгетического эффекта, который обусловлен воздействием на спинной мозг (1, 56, 57,76) .
Ускорение синтеза серотонина под влиянием морфина может быть обусловлено и повышением уровня триптофана, поскольку морфин изменяет соотношение связанного и свободного триптофана в плазме и увеличивает содержание серотонина (1, 76, 77, 78). Весьма интересное предположение высказали F. Godefroy и соавт. (1980), согласно которому морфин может активировать синтез серотонина за счет воздействия на опиатные рецепторы (41, 56, 57, 82). Они полагают, что в этом процессе есть опиоидергическое звено, поскольку увеличение синтеза серотонина из триптофана блокировалось налоксоном и в то же время налоксон практически не изменял уровень триптофана в головном мозге (1, 41, 42, 78, 86). Несмотря на то, что неоднократно было показано ускорение кругооборота серотонина под влиянием морфина, очень мало обращалось внимания на два весьма существенных для интерпретации этих данных обстоятельства. Во-первых, во всех исследованиях морфин вводился, как правило, в одной дозе и, как правило, в сверханалгетической, хотя известно, что существует прямая зависимость между концентрацией морфина в головном мозге и его аналгетическим эффектом. Во-вторых, практически не исследовались зависимость и корреляция биохимических эффектов морфина от его уровня в центральной нервной системе (1, 3, 41, 56, 57, 58, 60).
Однако не все данные укладываются в рамки, казалось бы, хорошо обоснованной гипотезы об участии серотонинергических систем в морфиновой анальгезии (1, 41, 57, 58, 60, 80). Установлено, что разрушение большого ядра шва, селективная блокада нисходящих серотонинергических путей интратекальным введением 5,7-дигидрокситриптамина или блокада сегментарных серотониновых рецепторов снижает только исходную болевую чувствительность и в меньшей степени ослабляет болеутоляющее действие морфина (39, 40, 41, 43). В качестве доказательства участия серотонинсодержащих ядер шва в реализации морфиновой аналгезии обычно приводились данные об ее ослаблении при их электролитическом разрушении. Однако сейчас эти доказательства следует рассматривать весьма критически, поскольку при таком методе происходит деструкция нейрональных элементов различного нейрохимического профиля (1, 41, 43).
С гипотезой об усилении опиатами нисходящего торможения не согласуются также данные последнего времени о влиянии морфина на серотонинсодержащие нейроны ствола головного мозга (1, 4, 41, 57, 58). Если морфин действительно увеличивает это торможение, то он должен усиливать нейрональную активность нейронов - источников нисходящих проекций. Однако и ранее уже было известно, что морфин при системном введении или при микроинъекциях в ядра шва не оказывал однонаправленного действия на импульсную активность этих клеток (77, 78). Не исключено, что взаимодействие морфина с опиатными рецепторами надсегментарных структур сопровождается усилением выброса другого медиатора (вероятно, норадреналина), который воздействует в спинном мозге на серотонинергические терминалии и усиливает выход серотонина (1, 77, 78).
Роль серотонинергической медиации может быть разной в реализации болеутоляющего действия агонистов различных опиатных рецепторов. Анальгетическая активность метадона, меперидина и кодеина не изменялась при разрушении ядер шва среднего мозга, приводящем к снижению уровня серотонина в головном мозге (1, 41, 77, 78). Кроме того, было показано, что влияние морфина, леворфана, петидина, пентазоцина на содержание серотонина в синаптосомах головного мозга не коррелирует с их болеутоляющей активностью. Большинство из этих препаратов не препятствовали снижению содержания серотонина в мозге, вызываемому фенфлюрамином (50, 51, 77, 78). Следовательно, их болеутоляющее действие причинно не связано с изменением содержания серотонина в головном мозге (1, 3, 41, 51, 52). Эти данные дают основание полагать, что серотонинергическая медиация имеет ключевое значение в возникновении анальгетического действия c - агонистов и играет меньшую роль в болеутоляющем эффекте m - агонистов (1, 41). В связи с этим закономерно встает вопрос, насколько действительно специфичны для анальгетического действия опиатов изменения в серотониновой медиации (1, 41, 77, 78). Несомненно, что серотонин необходим для проявления центрального действия морфина, поскольку воздействия, изменяющие серотонинергическую медиацию, существенно влияют не только на его анальгетическое действие, но и на гипотермический, локомоторный, эйфоригенный эффекты (78, 79, 80). Однако вопрос о том, насколько серотонинергическая медиация специфически вовлекается в реализацию болеутоляющего эффекта опиатов, требует дальнейшего экспериментального обоснования (1, 41, 77, 78, 80).
Адренергические механизы болеутоляющего действия опиатов и опиоидов
В настоящее время имеются веские доказательства сопряженного участия опиоидергических и адренергических механизмов в регуляции болевой чувствительности. В исследованиях (88, 89) выявлено усиление болеутоляющего эффекта при совместном применении наркотических анальгетиков и адренопозитивных соединений, подтвержденное в других работах (1, 41, 88, 89). Вместе с тем уже на протяжении ряда лет дискутабельным является вопрос об уровнях и рецепторных основах опиоидадренергического взаимодействия (1, 41, 88, 89).
Вполне обоснованной представляется гипотеза о том, что угнетение ноцицептивных реакций под влиянием опиатов и опиоидов обусловлено усилением процессов нисходящего торможения структур спинного мозга, которое реализуется через норадренергические системы (83, 88).
Однако, несмотря на общепризнанную точку зрения о важном вкладе сегментарных структур в реализацию анальгетического влияния опиатов и опиоидов, весьма противоречивы данные о возможности взаимодействия собственно спинальных опиоидергических и адренергических систем (88, 89, 90). С одной стороны, о такой возможности прямо свидетельствуют результаты, показывающие развитие отчетливой анальгезии при одновременном введении морфина и адренергических агонистов в субанальгетических дозах под оболочки спинного мозга (88, 90, 91, 92). С другой стороны, с применением блокаторов разных нейромедиаторных систем спинного мозга установлено, что на этом уровне центральной нервной системы опиоидергические механизмы тесно связаны с серотонинергическими, но не адренергическими процессами (88, 89, 90, 93). He вносят ясности в этот вопрос данные об изменениях уровня и обмена норадреналина на фоне опиатной аналгезии (1, 41, 88, 90). Так, одни авторы обнаружили увеличение концентрации в спинном мозге одного из метаболитов норадреналина - З-метокси-4-оксифенигликоля - под влиянием морфина, а другие выявили противоположные или двуфазные сдвиги в его содержании (1, 41, 57, 58, 75, 76).
He менее противоречивы представления о рецепторных основах болеутоляющего эффекта, развивающегося при сочетании введения агонистов опиатных и адренергических рецепторов (87, 88, 89). Предполагается, что взаимодействие между опиоидами и адренопозитивными средствами не реализуется через общий рецептор, поскольку аналгетический эффект и тормозное действие на ноцицептивные ответы нейронов заднего рога спинного мозга не устраняются налоксоном (57, 58, 75, 76, 88, 90, 91). Авторы считают, что адрено- и опиатные рецепторы могут взаимодействовать и модулировать ноцицептивную передачу в спинном мозге (1, 41, 57, 58, 88, 89).
Наиболее убедительным и в значительной мере примиряющим противоречивые мнения является предположение о том, что взаимодействие адренергических и опиоидергических механизмов может осуществляться через разные рецепторы, но с последующим запуском общего аналгетического механизма (89, 92). Правомочность такого предположения подтверждается данными, показывающими, что опиаты угнетают высвобождение норадреналина из пресинаптических окончаний и что на уровне головного мозга адреномиметики и опиаты регулируют активность одних и тех же нейронов, но через разные рецепторы (1, 41, 55, 57, 56, 88, 90, 92, 93. 94). Аналогичным образом взаимодействие этих систем осуществляется и на сегментарном уровне, поскольку установлено, что анальгезия развивается при избирательной активации адренергической и опиоидергической систем спинного мозга (54, 55, 57, 77, 78, 88, 92).
С этих же позиций объясняют существенную роль адренергических механизмов в формировании зависимости и в реализации проявлений абстинентного синдрома (41, 78, 79, 88, 92). Считают, что существует общий механизм пресинаптической регуляции норадренергической передачи возбуждения в центральной нервной системе, в который вовлечены опиатные рецепторы, их активация угнетает высвобождение нейромедиаторов. Поэтому адренопозитивные средства и опиаты действуют через независимые друг от друга места связывания, хотя при этом может запускаться общий механизм, обусловливающий коррекцию повышенного оборота норадреналина при отмене опиатов (44, 45, 55, 56, 57, 88, 92, 93).
Необходимо подчеркнуть, что, несмотря на противоречивость представлений о механизмах опиоидадренергического взаимодействия, сам факт синергичного функционирования этих болеутоляющих систем не вызывает сомнения (1, 41, 88, 92, 95). В свою очередь, очевидно, его прикладное значение, заключающееся в возможности уменьшения дозировки наркотических анальгетиков и, следовательно, их побочных эффектов при сочетанном применении опиатных и адренопозитивных препаратов. Важным практическим аспектом является также пролонгация медикаментозного обезболивания адренопозитивными средствами у пациентов с толерантностью к опиатам и опиоидам (1, 41, 45, 55, 56, 57, 77, 78, 79, 88).
Морфин
Большой опыт клинического применения морфина показал, что препарат обладает несомненными достоинствами: обеспечивает глубокое обезболивание, не сопровождающееся амнезией, не вызывает сенсибилизации миокарда катехоламинами, не нарушает регуляции кровотока в головном мозге, сердце, почках, не оказывает токсического воздействия на печень, почки и др. (1, 3, 41, 103). Вместе с тем морфин нельзя признать идеальным анальгетиком прежде всего в связи с его высоким наркогенным потенциалом, способностью угнетать дыхание, вызывать обстипацию и некоторыми другими свойствами (1, 41, 96, 97, 98, 104, 106, 107, 108). Внутримышечное введение морфина обеспечивает оптимальную длительность действия морфина, тогда как после его внутривенного введения период полувведения (Т 1/2) составляет около 100 минут (1, 41, 97, 98). Морфин частично связывается с белками плазмы. Пороговое анальгетическое действие развивается при концентрации свободного морфина в плазме крови 30 нг/мл. Лишь незначительная часть от введенного морфина (менее 0,01%) обнаруживается в ткани головного мозга, что вероятно связано с относительно низкой липоидотропностью препарата. Выводится морфин из организма главным образом через почки преимущественно в виде глюкуронида. В экспериментах установлено, что активность морфина может изменяться в 7 раз в зависимости от времени суток и фазы менструального цикла у женщин (1, 41, 97, 98, 99, 100, 101, 106, 107).
Высокий наркогенный потенциал ограничивает длительное (за исключением инкурабельных больных) применение морфина (101). К сожалению, уже при его 1-2-кратном введении проявляется большое число побочных реакций, среди которых наиболее выражены угнетение дыхания, тошнота и рвота, спазмы гладкомышечных органов (101, 102). Примечательно, что негативные эффекты морфина прямо коррелируют с его концентрацией в крови (1, 104, 105, 106). На основании клинических наблюдений в ряде исследований было показано, что оптимальной однократной дозой морфина является доза 10 мг на 70 кг массы тела пациента, поэтому эта доза принята в качестве эталона для оценки других существующих и изучаемых болеутоляющих средств ІТаблица 1І (1, 4, 41).
Таблица 1
Сравнительная активность анальгетиков (по отношению к 10 мг морфина)
название препарата доза
|
Кодеин |
90 мг |
|
|
Петидин |
75 мг |
|
|
Оксиморфин |
65 мг |
|
|
Пентазоцин |
50 мг |
|
|
Налбуфин |
30 мг |
|
|
Морфин |
10 мг |
|
|
Декстраморамид |
5 мг |
|
|
Бутарфанол |
2 мг |
|
|
Бупренорфин |
0,3 мг |
|
|
Фентанил |
0,1 мг |
Болеутоляющий эффект морфина обусловлен его влиянием на межнейронную передачу ноцицептивных (болевых) импульсов на различных уровнях центральной нервной системы (1, 102, 103)
Появились работы, где в противоположность общепринятым представлениям высказывается мысль о том, что опиоиды вызывают анальгетический эффект отчасти за счет взаимодействия с периферическими рецепторами (102, 103, 104).
Действие морфина, как известно, всегда сопровождается угнетением дыхания в той или иной степени, которая проявляется в уменьшении частоты, глубины дыхания, МОД и снижением чувствительности дыхательного центра к двуокиси углерода (99, 100, 109). В связи с гиповентиляцией отмечается накопление двуокиси углерода в альвеолярном воздухе и крови, приводящая к развитию дыхательного ацидоза (99, 100, 110). Гиперкапния и падение насыщения церебральной крови кислородом в свою очередь приводит к расширению сосудов головного мозга и повышению внутричерепного давления. Морфин также значительно изменяя функцию сердечно-сосудистой системы, вызывает гипотензию, снижает сердечный выброс, угнетает атриовентрикулярную проводимость в 33% случаях (99, 100, 111, 112). Кроме того, общеизвестно, что морфин вызывает тошноту в 20-40% и рвоту в 10-15% случаев, в 60-85% случаев он вызывает головокружение. Морфин и другие наркотические анальгетики угнетают также кашлевой рефлекс (101, 102, 104, 105, 111, 112). Сравнительная характеристика активности наркотических анальгетиков приведена вІ Таблице 2І (4).
Таблица 2
Сравнительная активность некоторых анальгетических препаратов по отношению к морфину, сила которого приравнена к 1
|
Степень анальгезии |
Препарат |
Сила |
|
Очень сильная |
Суфентанил |
1000 |
|
Фентанил |
100-300 |
|
|
Бупренорфин |
40-50 |
|
|
Альфентанил |
10-50 |
|
|
Оксиморфон |
12-15 |
|
|
Сильная |
Бутарфанол |
8-11 |
|
Гидроморфон |
7-10 |
|
|
Диаморфин |
1-5 |
|
|
Декстраморамид |
2-4 |
|
|
Рацеморфон |
2,5 |
|
|
Леваметадон |
2 |
|
|
Метадон |
1,5 |
|
|
Изометадон |
1-1,3 |
|
|
Пиминадин |
1 |
|
|
Проперидин |
1 |
|
|
Морфин |
1 |
|
|
Налбуфин |
0,5-0,8 |
|
|
Слабая |
Пиритрамид |
0,7 |
|
Гидрокодеин |
0,35 |
|
|
Пентазоцин |
0,3 |
|
|
Кодеин |
0,2 |
|
|
Петидин |
0,1 |
|
|
Очень слабая |
Тимедин |
0,07 |
|
Трамадол |
0,05-0,09 |
Промедол
Отечественный синтетический аналог мепередина, примерно в 5-6 раз менее активен, чем морфин, при различных способах введения. Обладает сходной с морфином фармакокинетикой и, соответственно, длительностью болеутоляющего действия, в эквианальгетических дозах отчетливо угнетает дыхание (1, 3, 5). Обычно используется при болевых синдромах средней выраженности в небольших дозах (около 40 мг на 70кг массы тела парентерально), что минимизирует депрессию дыхания и практически нивелирует изменения тонуса гладкомышечных органов (1, 3, 6, 8, 113).
Фентанил
Открытие в период с 1957 по 1962 гг. новых наркотических анальгетиков и среди них фентанила привело к существенному изменению роли опиоидов в анестезиологическом пособии (1, 41, 105). Именно фентанил явился основой таких новых способов обезболивания, как нейролептаналгезия, атаралгезия. В конце 60-х годов фентанил вместе с морфином стал применяться в больших дозах в качестве основного или единственного компонента наркоза.
Фентанил отличается очень высокой болеутоляющей активностью, однако резко угнетает дыхание, особенно у пожилых лиц, вызывает ригидность дыхательной мускулатуры и мышц брюшной стенки (1, 39, 41, 105, 106, 113).
Вводится фентанил преимущественно внутривенно или внутримышечно, при этом скорость развития обезболивающего эффекта составляет 1-3 минуты и 10-15 минут соответственно, а продолжительность аналгезии не превышает 30 минут. Быстрая и выраженная аналгезия обусловлена высокой липоидотропностью фентанила и его способностью проникать через гематоэнцефалический барьер. Основными органами метаболизма являются печень и в значительно меньшей степени почки, в которых осуществляются окислительное дезалкилирование и гидроксилирование фентанила до фенилуксусной кислоты, норфентанила и некоторых других продуктов, которые вместе с небольшой фракцией неизменного фентанила выделяются с мочой (1, 105, 106, 107, 113, 114, 115, 116, 117, 118, 119, 120, 121, 122).
В настоящее время нашли применение ряд аналогов фентанила: альфентанил, суфентанил, ремифентанил, - последний из которых обладает наибольшей продолжительностью действия (1, 41, 105, 106, 107, 114, 123, 124).
Для фентанила и его производных характерно брадикардическое действие обусловленное, по-видимому, активацией центральных парасимпатических механизмов, поскольку брадикардия предупреждается атропином. Другие побочные эффекты выраженные у эталонного анальгетика морфина, при применении фентанила наблюдаются редко (105, 106, 107, 108, 109, 111, 114, 115, 118, 119).
Суфентанил
Синтетический опиоид, в 5-10 раз мощнее фентанила (124). Период полураспределения - 0,72 минут, Т1/2 - 13,7 минут. Почти полностью связывается с белками (92,5%), липофилен. Обладает более быстрым, по сравнению с фентанилом, началом действия (67, 115, 116, 119, 124).
В дозах 10-20 мкг/кг создает надежную антигипертензивную защиту. Не освобождает гистамин (74, 79, 115, 124).
Альфентанил
Синтетический опиоид, в 4 раза слабее фентанила, но обладает более быстрым началом действия и короткой продолжительностью(41, 114, 115).
Альфентанил успешно применяется при коротких операциях. В эксперименте показано, что средние дозы не вызывают изменений центральной гемодинамики, в то время как большие (5 мг/кг) приводят к увеличению ЧСС и СВ (115). Имеются данные, что у некоторых больных после введения альфентанила возникают опасная гипотония, гипертензия или сердечная аритмия ( 110, 112, 115, 119, 121).
Ремифентанил
Первый в этом классе опиоид с очень коротким временем полужизни (менее 10 мин.) за счет высокой степени эстеразной активности метаболизма, что обусловливает быстрое прекращение действия. В дозе 0,4 мкг/кг/мин ремифентанил оказался эффективнее фентанила. Побочные реакции не выявлены (115, 124, 125).
Ремифентанил создает глубокую анальгезию, блокирующую ноцицептивные импульсы (1, 115, 124).
Пентазоцин
Синтетический анальгетик, один из наиболее хорошо изученных представителей нового класса опиоидов, обладающих смешанным агонист - антагонистическим взаимодействием с опиатными рецепторами (1, 126).
Современными методами исследования доказана несостоятельность предположения о том, что особенности фармакологических эффектов пентазоцина обусловлены его селиктивностью к c - опиатным рецепторам. Сравнительно большая избирательность влияния на c - рецепторы характерна для тифлуадома, который хорошо проникает в мозг при парентеральных способах введения (113, 114, 126, 127).
По анальгетической активности пентазоцин в 3-6 раз слабее морфина. В анальгетических дозах вызывает такую же депрессию дыхания, активирует центральные симпатические механизмы, вследствие чего развиваются гипотенезия и тахикардия, может ухудшать коронарный кроваток (67, 68, 113, 114, 115, 127).
В дозах 30-60 мг вызывает анальгезию, соответствующую эффекту морфина в дозе 10 мг. В отличие от морфина пентазоцин может вызывать повышение АД и тахикардию, что связано с активацией адренергических рецепторов (1, 41, 115, 126, 127).
Скорость и длительность болеутоляющего эффекта пентазоцина сходны с таковыми при применении морфина. В связи с низкой биодоступностью (20%) действие пентазоцина при энтеральном применении выражено слабее, чем при внутривенном или внутримышечном способах введения.
Кинетика пентазоцина обычно би-или триэкспоненциальная со средним Т1/2 3-5 ч., плазменным клиренсом 1200-2600 мл/мин и объемом распределения 200-400 литров (114, 115, 126).
Выводится пентазоцин из организма почками, преимущественно в виде метаболитов. Достоинствами его являются слабое проникновение через плаценту и благоприятное влияние на сократительную функцию миометрия, на чем основано его применение в акушерской практике (1, 41, 113, 114, 115, 126).
Бупренорфин
Производное ориповина, обладает высоким аффинитетом к µ - и c- опиатным рецепторам (39, 127, 128). Однако, его фармакологический профиль первично определяется агонизмом к рецепторам и необычно замедленной кинетикой их освобождения. Эти особенности обусловлены наличием в структуре бупренорфина N-бутильной группировки в положении С7, придающей ему сходство с энкефалинами и определяющей его сильное и длительное болеуталяющее действие (39, 74, 76, 128).
Бупренорфин считается первым наркотическим анальгетиком, с помощью которого в определенной степени достигнуто «разделение» болеутоляющих и токсиманических свойств (39). Он обладает очень высокой, близкой к фентанилу, аналгетической активностью и, в отличие от последнего высокой биодоступностью, которая колеблется в зависимости от способов введения от 40-100% (1, 128). При парентеральном введении разовая анальгетическая доза, обеспечивающая достаточный эффект при умеренных и сильно выраженных болевых синдромах, составляет 0,3-0,6 мг на 70 кг массы тела, Т1/2 составляет от 3-5 часов, максимальная анальгетическое действие длится не менее 6 часов (1, 39, 46, 128).
Выраженность угнетающего действия бупренорфина на дыхание совпадает с таковой для морфина в диапазоне оптимальных анальгетических доз, однако, этот нежелательный эффект бупренорфина практически не зависит от дозы (117, 118, 120).
Описано применение бупренорфина без тяжелых последствий в дозе 8мг в сутки в течение нескольких дней подряд. Бупренорфин считается удобным препаратом для терапии послеоперационных болей, причем с этой целью рекомендуется его сублингвальное применение в таблетках (0,2 мг). В этом случае биодоступность бупренорфина составляет в среденм 55%, Т1/2 - 76 мин. при значительной продолжительности действия (117, 118, 119).
Из побочных эффектов отмечают тошноту, рвоту, сонливость, выраженность которых прямо зависит от дозы препарата.
Другие представители этой группы агонист-антагонистов опиатных рецепторов принципиально отличаются от бупренорфина. Они вызывают аналгезию, воздействуя на c - рецепторы, а за счет µ - антоганистической активности препятствует угнетению дыхания(1, 117, 118). К этой группе относятся производные морфина, синтезированные в 80-х годах, - налбуфин, буторфанол, корфанол, пиценадол (1, 116, 117, 118). Все они характеризуются минимальным угнетением дыхания, незначительным влиянием на желудочно-кишечный тракт и сердечно-сосудистую систему. Однако, небольшой диапазон между анальгетическими дозами и дозами, вызывающими психотоматические расстройства, ограничивает их широкое применение в клинике (128).
Налбуфин
Равен морфину по анальгетической активности при внутримышечном введении, при энтеральном приеме эффективность налбуфина в 4-5 раз ниже. Пик концентрации в плазме крови возникает через 30-60 минут, длительность действия 3-6 часов, Т1/2 составляет 2-3 и 7-8 часов при парентеральном и энтеральном введении соответственно (40, 118, 128).
Метаболизируется налбуфин в печени и выделяется с желчью через кишечник. Очень незначительная часть неизмененного налбуфина экскретируется с мочой (74, 118, 129).
Наиболее типичный побочный эффект налбуфина - седативное действие, которое возникает у 36% больных. Другие побочные эффекты бывают редко, например: тошнота, рвота - всего в 6% случаев (40, 128, 129).
Выраженность угнетения дыхания под влиянием налбуфина в дозе 10 мг (внутривенно) сходна с эффектом морфина в такой же дозе. Однако, при увеличении дозы налбуфина депрессия дыхания не усиливается. Налбуфин обладает сравнительно низким психотомиметическим потенциалом, слабым влиянием на моторику желудочно-кишечного тракта, минимальной толерантностью и способностью вызывать физическую зависимость (46, 128, 129).
Буторфанол
По своим свойствам очень близок к налбуфину и отличается от последнего более высокой анальгетической и психотомиметической активностью. Может повышать артериальное давление (105, 130, 131, 132).
Корфанол
Препарат, эффективный при энтеральном применении и обладающий резистентностью к антагонистам опиатов. На основании преимущественно экспериментальных данных предполагают, что корфанол и еще один новый анальгетик - пиценадол - обладают минимальным наркогенным потенциалом (1, 133, 134, 135).
Трамадол
Новый синтетический анальгетик со сравнительно высокой (60-70%) биодоступностью при разных способах введения, быстрым и длительным болеутоляющим эффектом (1, 46). Однако, он уступает морфину по анальгетической активности в 5-10 раз. После внутривенного введения трамадола болеутоляющее действие развивается через 5-10 минут, Т1/2 составляет 6 часов. При энтеральном введении аналгезия возникает через 30-40 минут и не снижается в течение 10 часов(1, 46, 136). В обоих случаях используют трамадол в дозах 100-200 мг на 70 кг массы тела, что обеспечивает создание в крови анальгетической концентрации - 100 нг/мл и более (136, 137).
На фоне трамадола отмечают стабильность параметров кровообращения.
К сожалению, трамадол не лишен характерных для опиодиов не желательных эффектов: часто возникают тошнота и рвота, характерным также считают угнетение дыхания в раннем послеоперационном периоде (137, 138, 139).
Выбор препарата для использования в конкретной клинической ситуации должен определяться в первую очередь фармакокинетическими характеристиками, с обязательным учетом особенностей организма (возраст, состояния систем метаболизма). В ІТаблице 3І приведены сравнительная оценка болеутоляющей активности и длительности действия традиционных и новых наркотических анльгетиков и некоторые показатели из фармакокинетики при энтеральном и парентеральном способах введения (1, 140, 141).
Таблица 3
Сравнительная оценка болеутоляющей активности и длительности действия традиционных наркотических анальгетиков.
|
Препарат (международное название) |
Путь введения |
Эквианальгет-ические дозы (мг) |
Анальгезия, ч |
Т1/2, ч |
|
|
Максимум |
Длительность |
||||
|
Морфин |
в/м per os |
10 60 |
0,5-1 1,5-2 |
4-6 4-7 |
2-3,5 |
|
Меперилин |
в/м per os |
75 300 |
0,5-1 1-2 |
4-5 4-6 |
3-4 |
|
Лефорфанол |
в/м per os |
2 4 |
0,5-1 1,5-2 |
4-6 4-7 |
12-14 |
|
Пентазоцин |
в/м per os |
60 180 |
0,5-1 1,5-2 |
4-6 4-7 |
2-3 |
|
Налбуфин |
в/м |
10 |
0,5-1 |
4-6 |
5 |
|
Буторфанол |
в/м |
2 |
0,5-1 |
4-6 |
2,5-3,5 |
|
Бупренорфин |
в/м сублин-гвально |
0,4 8,8 |
0,5-1 2-3 |
6-8 6-12 |
3-5 |
Завершая краткое изложение механизмов действия, влияния на организм наркотических анальгетиков следует подчеркнуть парадоксальность ситуации, которая заключается в том, что даже при наличии определенного набора лекарственных средств, способных эффективно коррегировать болевые синдромы, практически любой выраженности, неудачи в обезболивании могут достигать 70% (134, 135, 136, 139). Одной из причин этого является неправильное применение анальгетиков - неэффективные дозы, нарушение режима и метода введения препаратов. Очень часто не удается достигнуть необходимой концентрации анальгетиков в крови, тем более поддерживать ее длительное время (139, 140).
Создание новых анальгетиков приводит к тому, что у них уменьшается какой-либо побочный эффект, однако, проявляется способность вызывать другие нежелательные реакции (1, 3, 46, 74, 79, 140).
1.3 Характеристика нового наркотического анальгетика просидол
Просидол (Prosidolum), производное оксипипередина, разработан в Институте химический наук им.А.Б.Бектурова МН АН РК, под руководством члена-корреспондента НАН РК д.х.н. профессора Пралиева К.Д. Препарат был синтезирован Новокузнецким научно-исследовательским химико-фармакологическим институтом, является опиоидным анальгетиком центрального действия, который помимо обезболивающего, обладает противокашлевым и спазмолитичским действиями. По анальгетической активности просидол уступает морфину и сравним с промедолом (141,142, 143).
Состав: Просидол - 1- (2-этоксиэтил) -4-фенил-4-пропионилокси пиперидин гидрохлорид в медицинской практике применяют в виде 1% раствора для инъекций и в таблетках.
Имеет следующее химическое строение: С18Н27NO3 НСl (144, 145)
Молекулярная масса 341,86.
Препарат содержит не менее 99% С18Н27NO3 НСl, в пересчете на сухое вещество. Белый или белый со слабым желтоватым оттенком кристаллический порошок без запаха. Негигроскопичен(143, 144, 145).
Фармакологические свойства
Просидол - оригинальный синтетический анальгетик центрального действия. Препарат обладает анальгетической активностью в сочетании с седативным эффектом, оказывает противокашлевое действие, местноанестезирующее при проводниковой анестезии, спазмолитическое - на гладкую мускулатуру, слабое угнетающее действие на перистальтику кишечника (143, 144, 145)).
Просидол практически не влияет на артериальное давление и другие функции сердечно-сосудистой системы. Угнетающее влияние просидола на дыхательный центр выражено значительно слабее, чем у морфина (144).
Просидол быстро всасывается и проявляет болеутоляющий эффект, как при энтеральных, так и при парентеральных путях введения ( 143,144).
Исследования специфической фармакологической активности просидола проводилась в сравнении с промедолом и морфином в эксперименте Новокузнецким научно-исследовательским химико-фармацевтическим институтом (144, 145, 146).
Изучение анальгетической активности просидола при 4 видах болевого раздражения (термическом, механическом, электрическом, химическом) показало, что он проявляет мощный анальгетический эффект, как при умеренно, так и интенсивном болевом раздражении. Введенный парентерально просидол по болеутоляющей активности в 3-10 раз превосходит промедол и в 4-13 раз - морфин (147, 148).
По широте терапевтического действия он превосходит промедол в 2-8 раз, а морфин в 2-4 раза. При назначении внутрь эффективность всех 3-х анальгетиков снижается, но, тем не менее, сохраняется преимущество перед морфином по активности, а перед промедолом - по активности и широте терапевтического действия. Просидол хорошо всасывается и снимет боль, также при буккальном и сублингвальном назначении, при этом активность препарата почти на порядок выше, чем при приеме внутрь и приближается к активности его при подкожном введении (145, 146, 148, 149).
Действия просидола усиливается морфином и ингибируется налорфином и налоксоном (145, 146, 147, 150).
Просидол, являющийся производным пиперидина, в эксперименте проявил выраженную анальгетическую активность. С целью получения разрешения на клиническое изучение препарата проведена доклиническая оценка безопасности просидола на основе комплексного подхода с использованием широкого спектра специфических видов токсичности (145, 146, 147, 148, 149, 150).
Установлено, что средняя смертельная доза субстанции просидола в эксперименте при внутрижелудочном введении составляет 400 мг/кг, при подкожном введении - 70 мг/кг. Коэффициент кумуляции равен 4,0. При изучении хронической токсичности выявлено, что просидол вызывает симптомы, свидетельствующие о влиянии препарата на центральную нервную систему. Просидол не изменяет показатели ЭКГ. Не установлено существенного влияния препарата на изменения гематологических и биохимических показателей при внутрижелудочном введении субстанции и таблеток. При парентеральном введении растворов наблюдалось сокращение времени свертывания крови. При длительном внутрижелудочном введении просидола в дозах, в 30-120 раз превышающих терапевтическую дозу для человека, обнаружены необратимые морфологические изменения в печени. Сравнительное изучение хронической токсичности просидола, промедола, морфина в эксперименте не выявило каких-либо отличий в характере воздействия на организм (140, 141, 143, 144, 145, 146, 150, 151).
Сопоставление в динамике анальгетического эффекта просидола и его содержание в крови после назначения инъекционного раствора и таблеток, позволило выявить довольно четкую корреляцию между временем обнаружения препарата в крови, временем достижения максимальной концентрации и наступлением анальгезии, а также ее максимальным эффектом. При введении обеих лекарственных форм препарат в крови обнаруживается уже через 3 минуты, анальгетический эффект проявляется через 5 минут. Время достижения максимальной концентрации для раствора и таблеток составляет 9 и 10 минут соответственно, максимальный аналгетический эффект («полная» анальгезия) достигается через 15 минут после назначения обеих лекарственных форм (145, 146, 147, 150, 151, 152).
В экспериментах на животных показано, что новый анальгетик просидол, подобно промедолу и морфину, оказывает угнетающее действие на центральную нервную систему. Он тормозит выполнение условно-оборонительных рефлексов, уменьшает двигательную активность. Однако указанные эффекты, как правило, проявляются в дозах, значительно превышающих аналгетические. Как и эталонные наркотические анальгетики (промедол, морфин), просидол угнетает кору головного мозга. Он возбуждает неспецифическую таламическую систему. Просидол угнетает восходящую активирующую систему ретикулярной формации, предупреждая развитие реакции активации при ее электростимуляции ( 142, 143, 144, 145,154).
Рекомендовано применение просидола взрослым, в качестве болеутоляющего средства при травмах и различных заболеваниях, сопровождающихся острыми болями (инфаркт миокарда, язвенная болезнь желудка и 12-перстной кишки, панкреатит и др.) (1, 146).
В хирургической практике просидол применяют для премедикации в качестве анальгетического компонента общей анестезии, в послеоперационном периоде, а также при болезненных диагностических процедурах (147, 148, 150).
Просидол назначают при хроническом болевом синдроме у онкологических больных, при хронических ишемических болях в конечностях (синдром Лериша, облитерирующий эндартериит) (147, 151, 152).
Способ применения и дозы
Просидол назначают внутрь, внутримышечно, внутривенно, подкожно.
При травматических болях, язве желудка и др., а также в раннем послеоперационном периоде просидол назначают по 10-40 мг (1,0-4,0 мл 1% раствора) подкожно или внутримышечно, или по 5-10 мг (0,5-1,0 мл 1% раствора) внутривенно, в суточной дозе 20-60 мг (2,0-6,0 мл 1% раствора).
При премедикации просидол назначают по 5-10 мг (0,5-1 мл 1% раствора) внутримышечно или внутривенно, медленно (151, 152).
При общей анестезии, в качестве анальгетического компонента, препарат вводят внутривенно по 0,2-0,7 мг/кг/ч в сочетании с другими компонентами анестезии. Следует учитывать, что одновременное внутривенное введение просидола уже в дозе 0,3-0,5 мг/кг может сопровождаться угнетением дыхания, требующего проведения вспомогательной вентиляции. В то же время просидол обеспечивает стабильное течение анестезии и достаточно быстрый и легкий выход из наркоза (147, 150).
При остром инфаркте миокарда, для снятия боли и предотвращения кардиогенного шока просидол вводят внутривенно, медленно в дозе 0,1 мг/кг массы тела в 20 мл изотонического раствора натрия хлорида или по 5-10 мг внутримышечно (151, 152).
При острых и хронических ишемических болях в конечностях просидол назначают внутримышечно по 10-15 мг (1,0-1,5 1% раствора) (142, 150, 153 154).
При хронических болях онкологическим больным обычно назначают просидол по 1-2 таблетки (25-50 мг). Суточная доза составляет от 50 до 250 мг, в зависимости от интенсивности боли и предшествующей терапии. Для усиления болеутоляющего эффекта при хроническом болевом синдроме просидол можно сочетать с транквилизаторами, нейролептиками и др. (142, 153, 154).
Продолжительность анальгетического действия просидола при приеме внутрь - 4 часа, при парентеральном пути введения - 1,5 часа, в зависимости от индивидуальной чувствительности и дозы (142, 145, 154).
При длительном применении просидола более 3-х месяцев его анальгетическая активность может постепенно снижаться, вследствие развития толерантности (142, 151, 152).
Побочные действия
В начале лечения может наблюдаться головокружение, слабость, сухость во рту, тошнота, рвота, редко головная боль. Эти явления происходят самостоятельно, при последующих введениях просидола легко поддаются корректировке (143, 155).
При парентеральном назначении просидола возможно угнетение дыхания. Во избежании этого препарат следует вводить дробными дозами или в разведении медленно (147, 155).
При передозировке или отравлении просидолом рекомендуется использовать в качестве антидотов антагонисты наркотических анальгетиков (налорфин, налоксон) (150, 155).
Противопоказания
Просидол противопоказан при угнетении функции дыхания.
Форма выпуска
Просидол выпускают в таблетках по 0,01-0,025 г в упаковке по 10 штук и в виде 1% раствора для инъекций в ампулах по 1мл в упаковке по 10 штук (143, 144).
Условия хранения
Таблетки просидола хранят в сухом, защищенном от света месте, ампулы при температуре не выше +5 С°. Список А (143, 144).
На основании полученных экспериментальных исследований и литературных данных, мы продолжили изучение нового наркотического анальгетика просидола в клинических условиях, применив его в качестве средства, как компонента наркоза и как средство для купирования послеоперационного и хронического болевого синдромов.
2 МЕТОДЫ ОБСЛЕДОВАНИЯ БОЛЬНЫХ
2.1 Клиническое исследование боли
Клиническое исследование боли проводилось у больных 1 группы (применение просидола в премедикацию) и у больных 4 группы (лечение хронических болевых синдромов). По 5 бальной шкале определялась интенсивность боли (ИБ) и степень устранения боли (СУБ) - по времени исчезновения боли в минутах. Это в основном психологические и психофизиологические тесты
Пятибалльная шкала: 0-нет боли, 1-слабая боль, 2-умеренная боль, 3-сильная боль, 4-непереносимая боль. СУБ определяли через определенные сроки после назначения препарата (5, 10, 20, 30, 40 и т.д. минут).
2.2 Сенсометрия
Сенсометрия проводилась у больных 1 группы (применение просидола
в премедикацию). Многообразие существующих и вновь предлагаемых схем преднаркозной подготовки и способов оценки их эффективности свидетельствует о том, что проблема эффективности премедикации не решена и продолжает оставаться актуальной.
Основным направлением работ последних лет является поиск наиболее
информативных объективных методов оценки эффективности различных фармакологических средств и уточнение роли последних в достижении важнейших эффектов премедикации: седативного, анальгетического, вегетативной стабилизации, подавления рефлекторных и секреторных реакций, потенцирования общих анестетиков (5, 28).
Среди методов оценки эффективности премедикации особое место принадлежит сенсометрии. Преимущество этого метода состоит в возможности количественной оценки такого важного показателя, как реакция больного на внешние раздражители разной интенсивности, включая болевые.
Сенсометрия как субъективно - объективный метод допускает получение результатов при условии сознательного участия больного в оценке собственных ощущений, т. е. при сохраненном сознании, поэтому во время наркоза метод не применялся (5, 128, 156).
Применялся оригинальный аппарат «Электротермоэстезиометр» (разработанный к.м.н. Кургузкиным А.В.), позволяющий определять пороги ощущения боли и переносимости боли по интенсивности и продолжительности теплового и электрического раздражения кожи (5). К достоинствам прибора относятся простота и надежность электрической схемы, высокое внутреннее сопротивление, большая мощность выходного импульса, портативность и получение амплитудного значения (5).
Термосенсометрию проводили по модифицированному методу Сангайло А.К. (28, 155) :
1. Регистрация порогов ощущения, боли и выносливости боли, по интенсивности воздействия при постепенном повышении температуры контактного элемента, расположенного на внутренней поверхности предплечья, от 29-50 С°.
2. Регистрация этих же порогов в секундах по продолжительности воздействия, при наложении контактного элемента нагретого до 42 C°.
Электросенсометрию проводили путем стимуляции электрическим, импульсным током второй фаланги указательного пальца, через токопроводящую клипсу, постепенно увеличивая силу тока с дискретность 0,1 мА/сек.
Суточная экскреция катехоламинов
Определение свободного и связанного адреналина и норадреналина в моче (по Эйлер и Лишако в модификации Матлиной Э.Ш. ) (157).
При количественном определении свободных и связанных катехоламинов пользуются хроматографическими и флюорометрическими методами (157).
Принцип : адреналин и норадреналин вначале адсорбируются на окиси алюминия, затем элюируются и окислением красной кровяной солью переводятся во флюоресцирующие производные - адренолютин и норадренолютин. Названные лютины обладают различными максимумами возбуждения и испускания флюоресценции, что дает возможность дифференцировать их при различных наборах светофильтров (157).
В норме выделение с мочой свободных и связанных катехоламинов у здоровых людей: адреналин - свободный - 3,4; связанный - 4,7 мкг/сут; норадреналин - свободный - 30,9; связанный - 8,4 мкг/сут.
Суточная экскреция катехоламинов определялась флуорометрическим методом в биохимической лаборатории.
2.4 Оценка адекватности анестезии
Оценка адекватности общей анестезии осуществлялась по следующим критериям:
2.4.1 клиническим
(характер кожных покровов, реакция зрачков на свет, потребность в миорелоксантах, контроль гемодинамики, наличие и продолжительность послеоперационной депрессии сознания и дыхания, характеристика выхода из наркотического сна, продолжительность послеоперационной анальгезии).
В большинстве случаев анестезиологи используют общеклинические методы оценки адекватности анестезии. Эти критерии продолжают оставаться ведущими, хотя многие из них не отличаются особой объективностью. Если по ним анестезия была адекватной, то и другие показатели гемодинамического и нейрогуморального гомеостаза, включая центральную гемодинамику, содержание катехоламинов не должны выходить за пределы физиологически допустимых норм.
2.4.2 биофизическим
(анализ ЭКГ, вариационная пульсография)
Вариационная пульсография по Р.М. Баевскому (математический анализ сердечного ритма (158).
Изменение ритма сердца - универсальная оперативная реакция целостного организма в ответ на любое воздействие внешней среды. Одно из важных звеньев этого механизма обеспечивает баланс между парасимпатическим и симпатическим отделам вегетативной нервной системы. Известно, что уменьшение тонуса парасимпатического отдела может сопровождаться соответствующим уменьшением и тонуса симпатического отдела, и тогда средняя частота пульса не изменяется. Одной и той же частоте пульса могут соответствовать различные комбинации активностей звеньев, обеспечивающих вегетативный гомеостаз. Кроме того, на ритм сердца оказывают влияния различные звенья более высоких уровней регуляции и управления функциями организма. Поэтому, для того, чтобы судить о ходе приспособительных реакций, о процессе адаптации системы кровообращения и организма в целом к изменяющимся условиям существования, к разнообразным стрессорным воздействиям, необходимо располагать соответствующей информацией, а именно уметь определить функциональное соответствие различных звеньев аппарата управления.
Прежде всего возникает вопрос: содержит ли такую информацию ритм сердечных сокращений и если содержит, то какими способами можно ее извлечь (158).
В настоящее время существуют 2 метода получения информации о длительности кардиоинтервалов: метод визуальной оценки и автоматический. Автоматический анализ может осуществляться при помощи специализированных устройств или по специальным программам ЭВМ (158).
Метод визуальной оценки.
Самым распространенным и доступным способом является изучение ритма сердца по записи ЭКГ. С этой целью на любом отведении непрерывно регистрируют массив кардиоциклов. С помощью циркуля, линейки измеряются R-R интервалы. С учетом скорости записи ЭКГ вычисляют временные значения каждого интервала и группируют по одинаковым временным значениям. Затем строится график, где по оси абсцисс откладываются временные значения, а по оси ординат их количество. Подобное распределение сгруппированных значений кардиоинтервалов носит название гистограммы. Изображение той же функции в виде сплошной линии называется вариационной пульсограммой. Р.М.Баевский с соавторами (1984) считают возможным использовать маленькие выборки - 40-60 кардиоциклов.
Для удобства оценки функций распределения В.П.Летников с соавторами (157) предложили строить гистограмму не по абсолютным значениям временных интервалов, а по их процентному выражению. Отклонение крайних точек гистограммы составляет обычно не более ±40% от единицы, причем единица принята за 100%. Подобная гистограмма получила название нормированной. Построение нормированной гистограммы проводится по формуле:
N (R-R) i = (R-R)i , m = S (R-R), (1)
m n
где N (R-R) i - нормированная величина
n - число комплексов R-R
(R-R) i - текущий комплекс.
Автоматический анализ ритма сердца.
Новым в изучении ритма сердца является автоматический метод анализа.
Соответствие глубины наркоза и тяжести операционной травмы характеризуется стабильностью вариационного размаха. При поверхностной неадекватной анестезии вагусные рефлексы сопровождаются увеличением вариационного размаха, а при выраженном операционном стрессе (симпатическое напряжение) наблюдается резкое уменьшение вариационного размаха. Алгоритм определения адекватности анестезиологической защиты заключается в следующем: перед введением в наркоз определяют разность между максимальным и минимальным значениями R-R интервалов ЭКГ при реализации 120 кардиоциклов. Эту разность принимают за исходную. За тем, в течение всей операции определяют разность между максимальными и минимальными значениями R-R интервалов за тоже количество кардиоциклов, сравнивают исходную разность с разностями, полученными во время операции, и по отклонению значений вариационного размаха во время операции от исходных данных судят о достаточности глубины анестезии.
Кривые распределения (РС) или пульсограммы принято различать по видам и типам.
Под нормальной гистограммой подразумевают кривую типичную для здоровых людей в состоянии покоя.

Ассиметричные кривые с правой или левой ассиметрией обычно указывают на нарушение стационарности процесса, переход его на новый уровень функционирования. У здоровых людей асимметричные кривые могут наблюдаться при переходе от состояния покоя к физическим нагрузкам или к психоэмоциональному напряжению и, наоборот, при переходе от физического и психического напряжения к состоянию покоя. В клинических условиях асимметричные кривые наблюдаются при введении фармакологических средств, влияющих на частоту сердечных сокращений (атропин, прозерин, адреналин).
Эксцессивные кривые характеризуются очень узким основанием и заостренной вершиной. Они встречаются при сильном психоэмоциональном стрессе, при больших физических нагрузках, когда регуляция PC подчинена только командам высших отделов нервной системы. Как правило, эксцессивные кривые отмечаются у пожилых людей с выраженным кардиосклерозом и характерны для так называемого ригидного пульса. Эксцессивные кривые могут быть получены при ликвидации экстракардиальных влияний путем фармакологической денервации и при пересадке сердца. В этих условиях PC зависит только от функционирования авторегулирующей системы синусового узла.
Многовершинные (мономодальные, полимодальные) кривые пульсограммы, совершенно неправильные по форме, с несколькими вершинами и широким основанием, характерны для мерцательной аритмии. Подобную кривую авторы предлагают называть моно-полимодальной.
В зависимости от состояния вегетативной нервной системы, преобладания одного из ее отделов различают три главных типа вариационных кривых (157): нормотонические (мономерные, с модой в районе 0,7-0.9 с и колеблемостью от 0,15 до 0,40 с), симпатотонические (мономерные, с модой в районе 0,5-0,7 с и колеблемостью менее 0,10 с) и в аготонические (моно- или полимерные, с модой в районе 1,0-1,2 с и колеблемостью более 0,40 с).
Статистические показатели.
Полученная информация о распределении последовательных значений динамического ряда кардиоинтервалов является основой для расчета целого ряда статистических показателей, имеющих статистический и динамический характер. Статистические показатели отражают определенные свойства распределения кардиоинтервалов на дискретном участке изучения РС.
Совершенно очевидно, что характеристика гистограммы по отдельным показателям требует многих сопоставлений и весьма затруднительно для восприятия. Поэтому заслуживают внимания показатели обобщающие эти взаимосвязи. Р.М.Баевский разработал новый показатель - индекс напряжения (ИН), учитывающий эти отношения. ИН вычисляется по формуле:
И= АМо (в%) , (2)
2Мо Dх (в с)
Мо - наиболее часто встречающиеся значение кардиоинтервала пульсограммы.
АМо - амплитуда моды
Dх - вариационный размах
2.4.3 Биохимические (уровень глюкозы в крови )
Глюкозооксидазный метод определения глюкозы в крови по Городецкому В.К.
Принцип : ферментативный метод определения глюкозы основан на каталитическом действии глюкозоксидазы. Фермент глюкозоксидаза катализирует окисление b- глюкозы кислородом воздуха до глюконовой кислоты. При этом в реакции образуется перекись водорода в эквимолярных количествах. Перекись водорода разлагается пероксидазой, а выделившийся атомарный кислород окисляет добавленный к реактивной смеси хромогенный кислородный акцептор. В качестве окисляющего красителя применяют о - толидин. Количественное определение глюкозы заключается в измерении степени окраски красителя и сравнении оптической плотности испытуемого раствора со стандартными растворами глюкозы.
Нормальные величины глюкозы при этом методе 3,9-5,6 ммоль/л.
2.4.4 Метаболические
Потребление кислорода с помощью газоанализатора «DATEX» КЩС и газов крови микрометодом «АСТРУПА».
Гемодинамика определялась методом Фика, рассчитывались показатели центральной гемодинамики и газообмена.
Параллельно гемодинамическим параметрам при стрессе начинают изменяться и метаболические, характеризуя процессы снижения тканевой перфузии и гипоксическую перестройку внутриклеточного метаболизма. В условиях недостаточной перфузии тканей активируются гликолиз и начинает угнетаться функция лактатдегидрогеназы (ЛДГ).
К непосредственным метаболическим проявлениям симпато-адреналовой реакции при неадекватной анестезии относятся увеличение содержания глюкозы, свободных жирных кислот, глицерина в плазме крови.
К метаболическим критериям адекватности анестезии можно отнести степень эндогенной интоксикации, возникающей при нарушении функции детоксицирующих систем организма или избыточном поступлении токсических субстанций в кровь. Специфических маркеров эндогенной интоксикации, по-видимому не существует, однако интегральным показателем ее уровня может служить содержание веществ с молекулярной массой от 500-5000, так называемых средних молекул (СМ). Эти вещества представлены главным образом полипептидами - продуктами деградации белков (5).
Метаболическим нарушениям сопутствовали изменения кислородного режима организма. Для адекватной анестезии характерен истинный гипометаболический эффект, сопровождающийся снижением транспорта и потребления кислорода. Повышение общего потребления кислорсда свидетельствует о неадекватной анестезии и обычно сопровождается метаболическим ацидозом (159, 160).
Показатели газообмена и центральной гемодинамики определялись с помощью метода Фика. Показатели КЩС и газов крови определялись микрометодом «АСТРУП» при ИВЛ кислородно-воздушной смесью с 20% содержанием кислорода.
В 1870 г. Фик описал принцип, согласно которому сердечный выброс может быть представлен как частное от деления величины потребленного в легких кислорода (в мл/мин) на количество кислорода, потребленного в тканях из каждого поступающего литра крови (выраженного, следовательно, в мл/л) (160).
СВ = ЛПО2 , (3)
а- uDo2
где СВ - сердечный выброс (МОС, л/мин);
ЛПО2 - потребление О2 в легких (мл/мин);
а - uDo2 - артериовенозное различие объемного содержание О2 мл/л.
При определении КЩС учитывались показатели рН, ВЕ, рО2 и рСО2 артериальной и венозной крови. Осуществлялась коррекция полученных результатов с учетом температурного фактора по А.А.Руденко (1979). Насыщение гемоглобина О2 (НbO2) находили с помощью монограммы SEVERINGHAUS по известным величинам рО2 и рН. Для определения рО2 применялся прибор ОТ-101 (Финляндия), предназначенный для получения содержания О2 в дыхательной смеси. Для повышения точности измерений с разъема задней панели прибора снимался аналоговый сигнал с амплитудой 10 мВ/1% О2. Регистрация сигнала по шкале милливольтметра позволяла ввести измерения с точностью до 0,1% при использовании микровольтметра- до 0,01% содержания О2. Дыхательный объем измерялся с помощью волюметра. Содержание О2 вычисляли по формуле:
CtaO2 = [Hb] · 1,39 · StaO2 + 0,031 · PaO2 (4)
100
CtvO2 = [Hb] · 1,39 · StvO2 + 0,031 · PvO2 (5)
100
где CtaO2, CtvO2 содержание О2 в артериальной и смешанной венозной крови, 1мл/л; 0,031 - коэффициент растворимости О2 в 1л плазмы при стандартных условиях; StaO2, StvO2 насыщение гемоглобина артериальной и венозной крови О2, %; [Нb] - концентрация гемоглобина г/л; PaO2, PvO2 - артериальное и венозное напряжение О2, мм рт.ст.
Для вычисления рО2 применялась формула:
рО2 =FiO2 - FeO2 · МОД (6)
100
где FiO2 - фракция О2 во вдыхаемом воздухе, %; FeO2 - фракция кислорода в выдыхаемом воздухе, % , МОД - минутный объем, л/мин, рО2- потребление О2, л/мин.
Индекс рО2 вычисляется по формуле:
ИрO2 = pO2 , (7)
S
где ИрО2 - индекс потребления кислорода, л/мин/мІ; S - площадь тела мІ. Для оценки сердечного выброса применялась формула основанная на принципе Фика:
МОС = рО2 (8)
CtaO2
- CtvO2
где МОС - сердечный выброс, л/мин.
Сердечный индекс (СИ) вычислялся по формуле:
СИ=МОС = л/мин/мІ (9)
S
Для вычисления сердечного артериального давления применялась формула:
САД=ДАД - 0,42 ПД (10)
где ДАД - диастолическое артериальное давление, мм рт.ст.; ПД - пульсовое давление, мм рт.ст.
ОПСС вычислялось по формуле:
ОПСС=САД · 79,92 (11)
МО
где ОПСС - общее переферическое сосудистое сопративление, Дин/(с/см), САД - среднее артериальное давление, мм рт ст.
2.5 ОБЩАЯ ХАРАКТЕРИСТИКА ОБСЛЕДОВАННЫХ БОЛЬНЫХ
2.5.1 Общая характеристика обследованных больных, при применении 1% - 1,0 мл раствора просидола.
Применялся просидол в виде 1% раствора для внутривенного и внутримышечного введения.
В исследование было включено 219 больных (160 мужчин и 59 женщин). Средний возраст которых 43,5+4,7 лет и средняя масса тела 82±22кг. У всех больных просидол применялся в виде 1% раствора по 1,0 мл. В зависимости от цели применения просидола было выделено четыре группы больных. Просидол использован в качестве премедикации у 58 больных (1 группа), как компонент общей анестезии у 219 больных (2 группа), для послеоперационного обезболивания у 123 больных (3 группа), для купирования хронического болевого синдрома 38 больных (4 группа). Все эти больные оперированы по поводу различных заболеваний. Количество и характеристика обследованных больных приведены вІТаблице 4І.
Таблица 4
Общая характеристика больных
|
Характеристика больных |
Группы больных (количество) |
|||
|
1 |
2 |
3 |
4 |
|
|
Вид оперативных вмешательств (всего) |
58 |
219 |
123 |
38 |
|
Микрохирургически |
28 |
28 |
6 |
- |
|
Общехирургически |
20 |
35 |
25 |
3 |
|
Ангиохирургические |
5 |
60 |
12 |
35 |
|
Кардиохирургические с ИК |
- |
27 |
29 |
- |
|
Пульмонологические |
5 |
69 |
51 |
- |
|
Нозологические формы |
||||
|
Повреждение СНП |
25 |
26 |
4 |
- |
|
Реимплантация конечностей |
- |
2 |
2 |
- |
|
ЖКБ |
5 |
11 |
14 |
3 |
|
Эхинококк печени |
4 |
6 |
4 |
- |
|
Язвенная болезнь желудка и 12-перстной кишки |
14 |
18 |
7 |
- |
|
Синдром Лериша |
5 |
32 |
6 |
30 |
|
Синдром Такаясу |
- |
8 |
2 |
- |
|
Окклюзии магистральных артерий |
- |
13 |
4 |
5 |
|
ВРВ |
- |
7 |
- |
- |
|
Приобретенные пороки сердца |
- |
27 |
29 |
- |
|
Бронхоэктатическая болезнь |
3 |
32 |
30 |
- |
|
Эхинококк легких |
2 |
10 |
10 |
- |
|
Опухоли легких |
- |
13 |
10 |
- |
|
Гипоплазия легких |
- |
5 |
1 |
- |
|
Плеврит |
- |
9 |
- |
- |
2.5.2 Общая характеристика обследованных больных при применении таблетированной формы просидола 0,02 г.
Нами также в исследование были включены 132 больных (92 мужчин, 40 женщин). Средний возраст 39,3+7,6 лет, средняя масса тела 78±13 кг. В этой группе больных просидол был применен в виде таблеток, содержащих 0,01 - 0,02 г препарата. В зависимости от цели применения было выделено 3 группы. 1 группу составили (132 больных) просидол применяли в премедикации, 2 группу (132) - пациенты у которых препарат применялся для послеоперационного обезболивания, 3 группу - больные (53) с хроническим болевым синдромом. Количество и характеристика обследованных больных приведены в ІТаблице 5І.
Таблица 5
Общая характеристика больных
|
Характеристика больных |
Группы больных (количество) |
||
|
1 |
2 |
3 |
|
|
Вид оперативных вмешательств |
|||
|
общехирургические |
60 |
60 |
5 |
|
ангиохирургические |
52 |
52 |
41 |
|
пульмонолагические |
20 |
20 |
7 |
|
Нозологические формы |
|||
|
ЖКБ |
35 |
35 |
0 |
|
Эхинококк печени |
7 |
7 |
2 |
|
Язвенная болезнь желудка и 12-перстной кишки |
10 |
10 |
2 |
|
Сндром Лериша |
25 |
25 |
21 |
|
Синдром Такаясу |
4 |
4 |
4 |
|
Окклюзии магистральных артерий |
13 |
13 |
10 |
|
Бронхоэктатическая болезнь |
3 |
3 |
1 |
|
Эхинококк легких |
4 |
4 |
2 |
|
Опухоли легких |
8 |
8 |
2 |
|
Гипоплазия легких |
1 |
1 |
1 |
|
Плеврит |
4 |
4 |
1 |
|
Прочее |
18 |
18 |
7 |
ВСЕГО: 132 132 53
4 ПРИМЕНЕНИЕ 1% - 1,0 МЛ РАСТВОРА ПРОСИДОЛА У БОЛЬНЫХ ДЛЯ ПРЕМЕДИКАЦИИ, ОСНОВНОГО НАРКОЗА, КУПИРОВАНИЯ ПОСЛЕОПЕРАЦИОННГО И ХРОНИЧЕСКОГО БОЛЕВОГО СИНДРОМА.
4.1 Применение просидола для премедикации
Для анестезиолога давно уже стало аксиомой то, что подготовкка больного к оперативному вмешательству является не менее важным этапом, чем период самой операции и общей анестезии. Ожидание операции, связанной с определенной степенью риска для жизни, возможными осложнениями и т. д., воздействуя на эмоциональные сферы больного, приводит, как известно, к значительному повышению уровня катехоламинов, учащению пульса, повышению артериального давления, нарушению сна, расстройству деятельности нейроэндокринной системы гомеостаза. Психологический настрой больного, характер, склад личности имеют определяющее значение при выборе фармакологических препаратов, предназначенных для премедикации.
Предложенные в настоящее время многочисленные схемы и комбинации препаратов для премедикации не могут быть использованы с одинаковой эффективностью у каждого конкретного пациента, поэтому по-прежнему остаются актуальными поиск и исследование новых средств для индивидуальной оптимальной подготовки больных. Перспективным средством для проведения премедикации по данным литературы препаратом, обладающим мощным аналгетическим и седативным действием, является просидол. Целью настоящего фрагмента исследования являлось изучение эффективности предоперационной подготовки больных с помощью просидола и оценка ее на основе методов, применяемых в широкой клинической практике. Адекватность премедикации изучена у 58 больных, которым предполагалось плановое оперативное вмешательство по поводу различных заболеваний.
Схема применения
За один час до операции внутримышечно вводили 1%-1,0 мл раствор просидола. 26 больным за 10-15 минут до вводного наркоза внутривенно вводили 1 мл 1% раствора просидола. С целью определения влияния различных разведений препарат, у 6 больных вводили в чистом виде, остальным 20 больным препарат разводили в 10 мл физиологического раствора, и вводили медленно в течение 30-40 секунд. У больных 1 группы до и через 30 минут после введения препарата осуществляли термо- и сенсометрию. У всех больных в динамике регистрировали частоту дыхания и пульса, измеряли АД, ЧСС, КЩС и газы крови, оценивали состояние по субъективным признакам. Контрольной группой служили больные, которым аналогичным образом вводили 2% - 1,0 мл промедол (15 больных), и 0,005% 2,0 мл фентанил (15 больных). Других средств, обладающих нейро- и психотропным действием не применяли.
Клиническая оценка эффективности премедикации.
Оценивались седативные, снотворные эффекты препаратов, стабильность гемодинамики после вводного наркоза и интубации трахеи. Существенных различий по этим критериям между просидолом, промедолом и фентанилом у больных 1 группы не обнаружено. Синдром тревоги, связанный с ожиданием операции имел место у 18 больных 1 группы. Изолированное введение просидола уменьшило его проявление у 8 больных, у 4 больных наступил сон. Промедол купировал синдром тревоги у 3-х из 8-ми больных, снотворного эффекта не отмечалось. Фентанил седативным и снотворным действием не обладал.
Головокружение отмечено у 6 больных после просидола, у 2 - после промедола и у 4 - после фентанила.
Болюсное внутривенное введение не разведенного просидола привело к выраженному угнетению дыхания у 2 из 6 больных, снижению систолического артериального давления (САД) более чем на 30% от исходного у 3 больных в связи с чем, в дальнейшем просидол для внутривенного введения разводили физиологическим раствором.
Результаты исследования гемодинамики и КЩС через 30 минут после введения препаратов приведены в ІТаблице 6І. Эти же показатели у больных 2 группы регистрировались через 10 минут после введения препаратов.
Таблица 6
Гемодинамика и КЩС при внутримышечном (1 группа) и вутривенном (2 группа) введении наркотических анальгетиков для премедикации
|
Показатель |
Исх. знач. |
1 группа |
2 группа |
||||
|
просид |
промед |
Фент. |
Просид |
промед. |
Фентан |
||
|
Чд, мин |
16+2 |
14,1+2 |
14,2+2 |
14,1+2 |
10,3+4 |
13,7+1 |
12,1+1 |
|
ЧСС, мин |
84+8 |
80,6+2 |
82,3+4 |
78,7+2 |
72,1+3 |
78,6+2 |
70,1+4 |
|
САД, мм рт. |
115+9 |
112,6+5 |
114,1+7 |
112+8 |
105,3+4 |
112,8+3 |
110,7+4 |
|
ДАД, мм рт. |
63+5 |
60,4+4 |
61,2+5 |
64,3+3 |
59,1+3 |
60,6+2 |
65,8+3 |
|
Рv02 мм рт. |
82+3 |
80,6+3 |
81,7+3 |
80,4+4 |
77,1+3 |
80,9+5 |
78,1+4 |
|
РvС02 мм рт. |
37+2 |
39,4+4 |
38,7+4 |
38,3+3 |
42,1+4 |
39,5+5 |
41,7+4 |
|
ВЕ |
-1,2 |
-1,5 |
-1,4 |
-1,5 |
-2,3 |
-2,0 |
-2,1 |
Анализируя данные гемодинамики существенных изменений показателей ЧСС, САД, ДАД по сравнению с исходными данными не наблюдалось. Показатели ЧДД и КЩС также не менялись.
С целью исследования анальгетического эффекта просидола в премедикации, сенсометрия выполнена у 58 больных.
Результаты термо - и электросенсометрии представлены в ІТаблице 7І.
Таблица 7
Результаты сенсометрии при внутримышечном введении наркотических анальгетиков
|
Показатель |
Исход. Знач. |
Просидол |
Промедол |
Фентанил |
|
ПО, С° |
40,7+1,2 |
41,4+2,1 |
41,7+2,4 |
41,0+1,8 |
|
ПБ, С° |
42,1+1,4 |
44,2+1,9 |
44,1+0,8 |
45,8+1,4 |
|
ВБ, С° |
42,9+1,6 |
44,7+1,3 |
44,9+1,2 |
45,9+1,5 |
|
ПО, сек |
14,3+2,1 |
16,8+1,9 |
15,3+1,1 |
17,2+2,1 |
|
ПБ, сек |
18,4+2,0 |
20,1+0,8 |
18,9+1,2 |
21,4+2,6 |
|
ВБ, сек |
23,7+1,5 |
24,1+1,8 |
19,6+0,7 |
21,7+1,4 |
|
ПО, мА |
0,72+0,13 |
1,2+0,21 |
0,94+0,18 |
1,7+0,51 |
|
ПБ, мА |
1,56+0,11 |
2,74+0,64 |
1,25+0,15 |
2,96+0,24 |
Полученные нами результаты термо - и электросенсометрии свидетельствовали о способности всех анальгетиков увеличивать пороги чувствительности при их назначении в премедикацию. В наибольшей степени повышаются пороги ощущений и боли, которые зависят от функционального состояния рецепторного и антиноцептивного звеньев механизма формирования боли. Менее значимо изменяется порог выносливости боли, в формировании которого основную роль играет психоэмоциональная сфера.
По эффективности, в качестве средств для премедикации препараты расположились следующим образом:
фентанил > просидол > промедол.
Следует отметить способность просидола в большей степени, чем другие препараты снижать АД, что делает его предпочтительней у больных с артериальной гипертензией. В то же время большая вероятность угнетения дыхания ограничивает его применение у ослабленных больных, больных пожилого и старческого возраста, а также при патологии со стороны органов дыхания.
Таким образом, по всей совокупности полученных данных, можно заключить, что внутримышечное введение просидола в дозе 10 мг позволяет обеспечить адекватную медикаментозную предоперационную подготовку больных в 70 % случаев без существенного влияния на функцию внешнего дыхания.
Возможной причиной неадекватной премедикации с применением просидола является, повышенная личностная тревожность больного. Для успешной премедикации в таких случаях необходимо повысить дозу просидола до 20 мг, либо использовать комбинированные ( с производными бензодиазепинов ) схемы предоперационной подготовки.
4.2 Применение просидола в качестве компонента общей анестезии
Просидол применен фракционно - болюсно внутривенно при 219 операциях: 35 - общехирургического профиля, 60 - при операциях на магистральных сосудах, 69 - на легких, 28 - с использованием микрохирургической техники, 27 - при сердечных операциях в условиях искусственного кровообращения (ИК).
Во всех наблюдениях период подготовки пациентов к операции был унифицирован. Стандартная премедикация, состоявшая из назначения 142 мкг/кг просидола была проведена во всех наблюдениях и обеспечивала состояние полного психоэмоционального покоя.
Индукция в наркоз была неодинаковой в различных группах больных. Были изучены три комбинированные методики вводного наркоза. В 1-ом варианте индукция была осуществлена последовательным внутривенным введением просидола в дозе 10 мг в сочетании с тиопенталом натрия в дозе 3-5 мг/кг, миоплегия проводилась листеноном в дозе 2-2,5 мг/кг массы тела с последующей интубацией трахеи; ИВЛ в режиме умеренной гипервентиляции аппаратом РО-6.
Во 2-ом варианте при всех прочих равных условиях дозирования, последовательности введения препаратов - тиопентал натрия был заменен на седуксен в дозе 0,5 мг/кг массы тела.
3-й вариант комбинированной внутривенной индукции от ранее приведенных методик отличался тем, что на фоне введения просидола в дозе 10 мг вводили седуксен в дозе 10 мг и калипсол в дозе 1,5-3,0 мг/кг массы тела.
Поддержание анестезии у больных с патологией брюшной полости, с заболеваниями легких и с заболеваниями сосудов нижних конечностей проводили дробным введением просидола в дозе 10 мг при увеличении ЧСС, САД, ДАД более чем на 15-20% от исходного уровня. ИВЛ проводили кислородно-закисной смесью в соотношении 1:1, 1:2. Миорелаксация проводилась ардуаном (0,07 мкг/кг/ч).При такой анестезии следующую инъекцию просидола осуществляли при увеличении более чем на 15-20% от исходных, в среднем через 20-30 минут. Последняя инъекция просидола была за 30-40 минут до окончания операции.
Расход просидола в этих группах больных в среднем составил 200-300 мкг/кг/ч.
Поддержание анестезии у больных оперированных, по поводу, врожденных и приобретенных пороков сердца, в условиях искусственного кровообращения, требующих глубокой центральной анестезии, осуществляли дробным, внутривенным введением просидола в дозе 10 мг, расход препарата у этих больных составил в среднем 760±230мкг/кг/ч. Как правило, доза введения препарата к моменту подключения искусственного кровообращения удваивалась. ИВЛ проводили также кислородно-закисной смесью в соотношении 1:1, 1: 2. Наряду с этим больным внутривенно капельно вводили тиопентал натрия в дозе 3-5 мг/кг/ч. Миоплегия проводилась ардуаном в дозе 0,07 мкг/кг/ч.
В момент травматичных этапов операции просидол в дозе 10 мг вводили дополнительно даже если показатели гемодинамики существенно не менялись.
Таким этапом при микрохирургических операциях считали выделение сосудисто-нервного пучка, при операциях на органах брюшной полости-манипуляции на висцеральной брюшине, ангиохирургических - пережатие магистральных сосудов, кардиохирургических-стернотомию, пульмонологических - выделение корня легкого.
Клиническая картина.
После введения расчетной дозы просидола, на фоне предварительного введения диазепама и, - или тиопентала натрия наступало выключение сознания без эмоционального дискомфорта и возбуждения. Дыхание было равномерным. Кожные покровы розовые, сухие и теплые на ощупь. Зрачки умеренно сужены, центрально фиксированы. Реакция на свет сохранена.
Введение просидола во время индукции при дозе 0,142 мг/кг вызывало седацию больного, снижение реакции на болевые и звуковые раздражения, у некоторых больных отмечалось угнетение дыхания. Бронхоспазма или затруднения проведения ИВЛ, даже у больных с сопутствующим астматическим бронхитом или бронхиальной астмой не было выявлено, что убедительно подтверждает отсутствие влияние препарата на бронхиальное сопротивление. В ответ на интубацию трахеи АД, ЧСС практически не изменялось, т.е. применение просидола в сочетании с другими препаратами при индукции не вызывало гипердинамической реакции на интубацию трахеи.
Течение анестезии с использованием просидола, как в сочетании с ингаляционными анестетиками, так и с внутривенными анестетиками характеризовалось стабильностью гемодинамики, что проявлялось несущественным снижением АД и ЧСС.
Период пробуждения проходил, как правило, гладко. Больные после пробуждения в течении 3-4 часов не требовали обезболивания. При дыхании через интубационную трубку, пациенты на вопрос Імешает ли трубка ? І- почти все отвечали отрицательно.
В ответ на экстубацию не наблюдали выраженной гипердинамической реакции. Это свидетельствует об аналгетической эффективности просидола. По окончании операций на сердце и легких, в зависимости от объема операции, тяжести исходного состояния, интраоперационной кровопотери, переводили в отделение интенсивной терапии для проведения продленной ИВЛ. Сохранение у больных остаточного гипнотического и анальгетического эффектов анестезии позволяет легко синхронизировать их с дыхательным аппаратом.
Послеоперационный период не сопровождается какими-либо галлюцинациями или психотическими явлениями.
В качестве иллюстрации, отражающей адекватность проведения общей анестезии, с использованием просидола как средства обеспечения аналгезии приводим описание и сами анестезиологические карты.
Пример 1 (карта 1)
Больной Б-ов С.И., 45 лет. № истории болезни 1426. Диагноз: язвенная болезнь луковицы двенадцатиперстной кишки. Вес больного 78 кг, рост 182 см. Вечерняя премедикация, накануне операции, включала в себя 2 таблетки диазепама и 1 таблетку димедрола, утренняя премедикация, за 30 минут до операции - 10 мг просидола, 20 мг димедрола, 0,5 мг атропина.
Больной был доставлен в операционную в состоянии эмоционального покоя. Исходное АД - 120/70 мм рт ст, ЧСС 88 ударов в 1 мин. Индукция в наркоз: тиопентал натрия 400 мг, просидол 10 мг, листенон 160 мг. Интубация трахеи трубкой № 9 с манжеткой, гемодинамика оставалась стабильной АД-110/70 мм рт ст, ЧСС 76 ударов в 1 минуту. ИВЛ проводили в режиме умеренной гипервентиляции, по полуоткрытому контуру респиратором РО-6, кислородно-закисной смесью NO2 : O2 = 1:1. Аналгезию проводили внутривенным дробным введением просидола в общей дозе 40 мг. Миоплегия проводилась ардуаном в дозе 6 мг.
Внутривенно капельно больному введено: физиологический раствор 500 мл, 5% декстроза 500 мл, раствор Рингера 400 мл, свежезамороженная плазма 200 мл; всего 1500 мл.
Гемодинамика во время операции и наркоза была стабильная: АД 110/70, 115/70, 120/80 мм рт ст, ЧСС 76-82 удара в 1 минуту. Общее время операции составило 85 минут. Больной проснулся на операционном столе и на самостоятельном дыхании, через интубационную трубку переведен в отделение интенсивной терапии, где через 40 минут на фоне ясного сознания, адекватного мышечного тонуса и дыхания - экстубирован.
Пример 2 (карта 2)
Больной И-ов Н.Г. 68 лет. № истории болезни 134. Диагноз: синдром Лериша. Вес больного 84 кг, рост 178 см. Вечерняя премедикация, накануне операции, включала в себя 2 таблетки диазепама и 1 таблетку димедрола, утренняя премедикация, за 30 минут до операции - 10 мг просидола, 20 мг димедрола, 0,5 мг атропина.
Больной был доставлен в операционную в состоянии эмоционального покоя. Исходное АД - 160/90 мм рт ст, ЧСС 92 удара в 1 мин. Индукция в наркоз: седуксен 40 мг, просидол 10 мг, листенон 180 мг. Интубация трахеи трубкой № 9 с манжеткой, гемодинамика после вводного наркоза стабилизировалась АД-130/80 мм рт ст, ЧСС 82 удара в 1 минуту. ИВЛ проводили в режиме умеренной гипервентиляции, по полуоткрытому контуру респиратором РО-6, кислородно-закисной смесью NO2:O2 = 2:1. Аналгезию проводили внутривенным, дробным введением просидола в общей дозе 70 мг. Внутривенная анестезия - седуксен 30 мг. Миоплегия проводилась ардуаном в дозе 8 мг.
Внутривенно, капельно, больному введено: физиологический раствор 500 мл, 5% декстроза 500 мл, раствор Рингера 400 мл, свежезамороженная плазма 200 мл, эритроцитарная масса 230 мл, раствор бикарбоната натрия 150 мл; всего 1980 мл.
Гемодинамика во время операции и наркоза была стабильная: АД 140/80, 130/80, 120/70 мм рт ст, ЧСС 72-84 ударов в 1 минуту. Общее время операции составило 205 минут. Больной проснулся на операционном столе, но, учитывая тяжесть оперативного вмешательства, переведен в отделение интенсивной терапии на ИВЛ.
Пример 3 (карта 3)
Больная Р-ова П.Р., 42 лет. № истории болезни 345. Диагноз: эхинококкоз правого легкого. Вес больной 62 кг, рост 166 см. Вечерняя премедикация, накануне операции, включала в себя 2 таблетки диазепама и 1 таблетку димедрола, утренняя премедикация, за 30 минут до операции - 10 мг просидола, 20 мг димедрола, 0,5 мг атропина.
Больная была доставлена в операционную в состоянии эмоционального покоя. Исходное АД - 120/70 мм рт ст, ЧСС 78 ударов в 1 мин. Индукция в наркоз: седуксен 10 мг, просидол 10 мг, калипсол 120 мг, листенон 120 мг. проводили в режиме умеренной гипервентиляции, по полуоткрытому контуру респиратором РО-6, кислородно-закисной смесью NO2:O2 = 1:1. Интубация трахеи трубкой № 7,5 с манжеткой, гемодинамика оставалась стабильной АД-115/70 мм рт ст, ЧСС 78 ударов в 1 минуту. ИВЛ Аналгезию проводили внутривенным, дробным введением просидола в общей дозе 30 мг. Миоплегия проводилась ардуаном в дозе 4 мг.
Внутривенно, капельно, больному введено: физиологический раствор 500 мл, 5% декстроза 500 мл; всего 1000 мл.
Гемодинамика во время операции и наркоза была стабильная: АД 110/70, 115/70, 120/70 мм рт ст, ЧСС 76-82 удара в 1 минуту. Общее время операции составило 70 минут. Больная проснулась на операционном столе и на самостоятельном дыхании через интубационную трубку переведена в отделение интенсивной терапии, где через 1 час на фоне ясного сознания адекватного мышечного тонуса и дыхания - экстубирована.
В качестве, иллюстрации, отражающей адекватность проведения общей анестезии, с использованием просидола, как средства обеспечения аналгезии приводим сравнительное описание и анестезиологические карты с применением промедола и фентанила у больных с язвенной болезнью желудка и луковицы двенадцатиперстной кишки.
Пример 4 (карта 4)
Больной К-ов А.Ю., 51 года, № истории болезни 785. Диагноз: язвенная болезнь желудка. Вес больного 85 кг, рост 182 см. Вечерняя премедикация, накануне операции, включала в себя 2 таблетки диазепама и 1 таблетку димедрола, утренняя премедикация, за 30 минут до операции - 20 мг промедола, 20 мг димедрола, 0,5 мг атропина.
Больной был доставлен в операционную в состоянии эмоционального покоя. Исходное АД - 140/80 мм рт ст, ЧСС 84 ударов в 1 мин. Индукция в наркоз: тиопентал натрия 300 мг, промедол 20 мг, листенон 170 мг. Интубация трахеи трубкой № 8,5 с манжеткой, гемодинамика после интубации АД-150/90 мм рт ст, ЧСС 92 удара в 1 минуту. ИВЛ проводили в режиме умеренной гипервентиляции, по полуоткрытому контуру респиратором РО-6, кислородно-закисной смесью NO2:O2=1:1. Аналгезию проводили внутривенным, дробным введением промедола в общей дозе 60мг. Миоплегия проводилась ардуаном в дозе 6 мг.
Внутривенно, капельно больному введено: физиологический раствор 500 мл, 5% декстроза 500 мл, полиглюкин 400 мл, свежезамороженная плазма 220 мл; всего 1620 мл.
Гемодинамика во время операции и наркоза: АД 140/80, 150/90, 160/90 мм рт ст, ЧСС 86-92 удара в 1 минуту. Общее время операции составило 90 минут. Больной в стадии медикаментозного сна переведен, на ИВЛ, в отделение интенсивной терапии, где через 1 час на фоне ясного сознания адекватного мышечного тонуса и дыхания - экстубирован.
Пример 5 (карта 5)
Больной М-ов К.О., 54 года. № истории болезни 369. Диагноз: язвенная болезнь луковицы двенадцатиперстной кишки. Вес больного 78,5 кг, рост 178 см. Вечерняя премедикация, накануне операции, включала в себя 2 таблетки диазепама и 1 таблетку димедрола, утренняя премедикация, за 30 минут до операции - 20 мг промедола, 20 мг димедрола, 0,5 мг атропина.
Больной был доставлен в операционную в состоянии эмоционального покоя. Исходное АД - 160/80 мм рт ст, ЧСС 78 ударов в 1 мин. Индукция в наркоз: тиопентал натрия 250 мг, фентанил 0,1 мг, листенон 150 мг. Интубация трахеи трубкой № 9 с манжеткой, гемодинамика после интубации АД-125/70 мм рт ст, ЧСС 80 ударов в 1 минуту. ИВЛ проводили в режиме умеренной гипервентиляции, по полуоткрытому контуру респиратором РО-6, кислородно-закисной смесью NO2:O2=1:1. Аналгезию проводили внутривенным, дробным введением фентанила в общей дозе 0,5 мг. Миоплегия проводилась ардуаном в дозе 5 мг.
Внутривенно капельно больному введено: физиологический раствор 500 мл, 5% декстроза 500 мл, раствор Рингера 400 мл, свежезамороженная плазма 200 мл; всего 1600 мл.
Гемодинамика во время операции и наркоза: АД 130/80, 120/70 мм рт ст, ЧСС 78-84 удара в 1 минуту. Общее время операции составило 95 минут. Больной проснулся на операционном столе, на самостоятельном дыхании через интубационную трубку переведен в отделение интенсивной терапии, где через 45 минут на фоне ясного сознания адекватного мышечного тонуса и дыхания - экстубирован.
Исследования показали, что аналгетический эффект просидола не хуже, чем у известных наркотических аналгетиков (промедол, фентанил). По сравнению с промедолом просидол обладает более выраженным аналгетическим эффектом. Эти наблюдения являются свидетельством мощной анестезиологической защиты создаваемой сочетанием просидола с седуксеном, тиопенталом натрия, дроперидолом, закисью азота, а также указывает на адекватный уровень анестезии (стабильность гемодинамики в наиболее травматичные этапы операции) и выраженную аналгетическую активность препарата.
Результаты исследования показали, что при всех трех вариантах вводного наркоза гемодинамические показатели (САД, ДАД, ЧСС, ЦВД ) и метаболизма (показатели КЩС и газов крови, содержание глюкозы в плазме крови ) были в пределах нормы.
Основные клинические, физиологические и биохимические признаки адекватности анестезии свидетельствовали о достаточно надежной защите организма. В ІТаблице 8І приведены основные показатели, характеризующие адекватность анестезии на травматичном этапе операции.
Таблица 8
Показатели адекватности внутривенной комбинированной анестезии просидолом
|
Показатель |
Исход. Знач. |
На травматичном этапе операции |
||||
|
1 |
2 |
3 |
4 |
5 |
||
|
Кожно-рект. градиент т-ры С° |
6,2+1,4 |
8,2+1,7 |
7,1+1,2 |
5,2+1,2 |
8,2+1,3 |
6,7+2,0 |
|
ЧСС, мин |
85,7+ 19 |
88,4+14 |
77,9+21 |
92,1+19 |
87,1+34 |
92,1+ 21 |
|
САД, мм рт.ст. |
126,4+ 28 |
109,1+ 20 |
112,7+18 |
136,1+22 |
104,2+ 21 |
112,3+ 16 |
|
ДАД, мм рт.ст. |
84,3+23 |
78,7+19 |
80,8+16 |
88,3+24 |
62,7+21 |
72,6+18 |
|
Индекс напряжения усл.ед. |
210+64 |
166+32 |
120+40 |
216+77 |
189+60 |
174+37 |
|
СИ, л/мин м2 |
- |
- |
- |
2,4+03 |
1,8+0,4 |
- |
|
ОПСС, кПа/с л |
- |
- |
- |
181+21 |
260+43 |
- |
|
ПО2, мл/мин |
- |
- |
- |
184,6+28 |
197,2+ 30 |
- |
|
Глюкоза плазмы ммоль/л |
6,4+1,5 |
5,9+1,6 |
6,7+2,0 |
6,1+2,2 |
8,4+2,0 |
6,0+1,4 |
|
РvО2, мм рт.ст. |
38,2+6 |
39,1+1 |
34,6+7,1 |
41,6+8,0 |
38,7+6 |
31,3+9 |
|
РvСО2, мм рт.ст. |
28,7+8 |
27,4+6 |
29,7+8 |
34,6+6 |
29,8+5 |
43,2+7 |
|
ВЕ |
3,2+0,6 |
4,7+1,3 |
4,2+3,1 |
5,0+3,6 |
5,2+2,6 |
2,4+1,1 |
Динамика показателей кровообращения и газообмена, потребления кислорода на этапах операции существенно не отличались от аналогичной при операциях в условиях центральной аналгезии промедолом или фентанилом. Расход просидола в среднем составил 200-300 мкг/кг/ч; при кардиохирургических операциях, требующих глубокой центральной анальгезии -760+230 мгк/кг/ч.
Обнаружено, что в большинстве случаев клиника просидоловой анестезии не отличается от анестезии с применением фентанила. Первое введение просидола сопровождалось более значительным снижением ДАД и ОПСС, по сравнению с фентанилом. По ходу операции и, особенно на ее травматичном этапе, происходило достоверное увеличение этих показателей с превышением на 15-20% от исходного уровня. У больных контрольной группы ДАД и ОПСС сохранялись более стабильными. Не обнаружено различий в динамике САД, СИ у исследуемых больных.
Фентаниловая анестезия характеризовалась более значительным уменьшением ЧСС на этапе индукции и более частым развитием субкомпенсированного метаболического ацидоза, особенно во время согревания перфузата. На этом этапе происходило значительное повышение содержание глюкозы в плазме крови. Фентаниловая анестезия сопровождалась меньшим уровнем гипергликемии. Существенных различий в динамике билирубина, азотистых шлаков, электролитов, гепато- и кардиоспецифических ферментов у исследуемых групп больных отмечено не было. Почасовой диурез у больных опытной группы составил 88,5 + 20, 3 мл/час; контрольной - 97,5 + 22,9 мл/час (р>0,05).
В большинстве случаев пробуждение наступало на операционном столе, происходило быстрое восстановление сознания - 4 - 6 часов, самостоятельного дыхания - 7 - 10 часов, что существенно не отличалось от общепринятой при таких операциях центральной анальгезии фентанилом.
У 2-х больных, несмотря на повторное 3-х кратное введение просидола до 10 мг, не удалось предотвратить гемодинамических нарушений, характерных для стресс - реакции, что потребовало перехода на центральную аналгезию фентанилом. Серьезных осложнений, связанных с применением просидола, в обследованной группе больных не было. У 3-х больных имела место артериальная гипотензия, у 2-х больных - брадикардия, у 2-х - продленное апноэ. Во всех случаях эти нарушения были коррегированны общепринятыми методами. Аллергических реакций при введении препарата не отмечалось. Просидол надежно защищает организм от различных факторов хирургической агрессии, что позволяет рекомендовать его в качестве аналгетического компонента общей анестезии.
Изученные комбинированные методики индукции в наркоз и методика поддержания общей анестезии с использованием, в качестве аналгетического компонента, просидола, демонстрируют правомочность каждой из них вследствие адекватной защиты пациентов в период вводного наркоза. Удовлетворительные эффекты 3-х вариантов индукции, по данным сравнительного гемодинамического исследования, однозначно свидетельствуют о целесообразности их клинического применения.
4.3 Применение просидола для лечения послеоперационного болевого синдрома
Для этих целей препарат применяли у 115 больных; у 108 больных просидол вводили внутримышечно в виде 1% раствора по 1 мл, у 7 больных - сублингвально в таблетках по 0,025 г. Препарат применяли по двум вариантам:
по требованию больного при возникновении боли (у 84 больных);
профилактически, каждые 6 часов.
Для оценки состояния в прцессе исследования отмечали наличие и характер жалоб, уровень сознания, состояние кожных покровов, интенсивность боли. Интенсивность боли (ИБ) и эффективность обезболивания оценивали по клиническим критериям с применением 5-балльной аналого - визуальной шкалы оценки боли (ВАШ), (0 - нет боли, 1-слабая боль, 2 - умеренная боль, 3 - сильная боль, 4 - непереносимая боль), степень устранения боли (СУБ) в определенные сроки после назначения препарата (5, 10, 20, 40, 60, 90 и т.д. минут).
Динамику гемодинамических показазателей регистрировали с помщью мобильного диагностического монитора PROPAQ 106 EL фирмы «Protocol syst. Inc.» (США). Фиксировали величину АД (систолическое, диастолическое), ЧСС, регистрировали ЭКГ в 3 стандартных отведениях. Визуально всем больным проводили подсчет частоты дыхательных движений (ЧДД). Измерения проводили до введения аналгетика (исходный уровень) и через 5, 15, 30, 60 минут после его введения.
У 12 больных оперированных на органах брюшной полости и у больных после ангиохирургических операций осуществляли вариационную пульсографию (по Р.М.Баевскому) при помощи оригинального микропроцессорного устройства, позволяющего проводить математический анализ ритма сердца (МАРС) с цифровой индикацией вариационного размаха (х), индекса напряжения (ИН), моды, амплитуды моды, средней ЧСС. Эти показатели отражают степень активации симпатической и парасимпатической нервных систем. Результаты исследования приведены в ІТаблице 9І.
Таблица 9
Эффективность просидола (1) и промедола (2) в качестве послеоперационного обезболивания
|
Показатель |
Время от момента введения, мин |
||||||||||
|
10 |
20 |
40 |
60 |
90 |
|||||||
|
1 |
2 |
1 |
2 |
1 |
2 |
1 |
2 |
1 |
2 |
||
|
Интенсивность боли, баллы (количество больных) |
4 3 2 1 0 |
0 18 60 30 0 |
0 9 20 4 0 |
0 5 44 46 13 |
0 7 13 10 4 |
0 2 13 57 36 |
0 4 10 12 8 |
0 2 10 60 36 |
0 4 15 10 5 |
0 3 12 68 25 |
0 7 20 6 1 |
|
ИН, усл.ед. |
306+ 20 |
354+ 31 |
214+ 21 |
310+ 48 |
226+35 |
288+ 44 |
261+24 |
340+ 27 |
180+ 30 |
346+ 32 |
|
|
х, мсек |
171+ 54 |
158+ 41 |
190+ 42 |
163+ 40 |
198+23 |
171+ 33 |
187+28 |
164+ 32 |
180+ 31 |
160+ 24 |
|
|
ЧСС ср., мин |
92+ 12 |
90+8 |
88+7 |
88+ 11 |
87+4 |
88+6 |
88+9 |
90+ 8 |
88+ 4 |
90+ 9 |
|
Примечание: промедол вводили 34 больным оперированным на органах брюшной полости и магистральных сосудах.
Обращает внимание, что обезболивающий эффект начинается на 10-й минуте после внутримышечного введения просидола, достигает максимума на 20-40 минуте и уменьшается через 1,5 часа после введения. Это подтверждается динамикой интенсивности боли и показателей МАРС. Из «Таблицы» 10 видно, что у 33% больных удалось полностью купировать болевой синдром (отличный результат), причем у 25% больных боли не возобновлялись в течение 2 часов после введения; у 56% больных произошло значительное (на 2 балла) снижение ИБ (хороший результат); у 9% больных боль уменьшилась на 1 балл (удовлетворительный результат); и у 2 больных эффекта от просидола не было. По сравнению с промедолом эти данные выглядят следующим образом -ІТаблица 10І.
Таблица10
Сравнительная характеристика просидола и промедола при проведении послеоперационной анальгезии.
|
Результат |
Просидол |
Промедол |
|
Отличный |
13 (33%) |
8 (24%) |
|
Хороший |
22 (56%) |
12 (35%) |
|
Удовлетворительный |
4 (9%) |
10 (29%) |
|
Нет эффекта |
2 (2%) |
4 (12%) |
То есть, промедол в меньшей степени, чем просидол, купирует послеоперационный болевой синдром, что подтверждается более высоким числом неэффективных аналгезий, меньшим числом отличных и хороших результатов, более поздним наступлением эффекта и ранним восстановлением болевого синдрома. В отличие от просидола, после введения промедола только у 1 из 34 больных произошло стойкое, более 2-х часов, купирование боли.
При введении просидола по требованию средний расход препарата составил 29,4+12,0 мг/сут., с преимущественно хорошим эффектом; при плавном введении - 4 раза в сутки - также удалось достичь хороших результатов, однако при более высоких дозах - 40 мг/сут. В послеоперационном периоде при применении просидола, парезы кишечника имели место у 10 больных, атония мочевого пузыря у 16 больных, гиповентиляционный синдром - у 2 больных. Количество и структура этих осложнений не отличается от других видов послеоперационной анальгезии.
Таким образом, учитывая полученные данные при использовании просидола, в качестве препарата для послеоперационного обезболивания, можно заключить, что внутримышечное введение его в дозе 10 мг (0,12 мг/кг массы тела) позволяет обеспечить адекватное обезболивание в послеоперационном периоде, с небольшим количеством побочных эффектов.
Данные исследования изменений показателей систолического артериального давления (САД мм рт ст), диастолического (ДАД мм рт ст), частоты дыхательных движений (ЧДД в 1 мин) до и после введения наркотических аналгетиков представлены в ІТаблице 11І.
Таблица 11
Показатели системной гемодинамики и дыхания при обезболивании промедолом и просидолом
|
Время от момента введения препарата |
|||||||||||
|
аналгетик |
показатель |
исх.знач. |
10 |
20 |
40 |
60 |
|||||
|
просидол |
САД |
140±4 |
125±5 |
110±5 |
120±5 |
130±2 |
|||||
|
промедол |
САД |
140±4 |
140±4 |
130±5 |
130±5 |
145±5 |
|||||
|
просидол |
ДАД |
90±5 |
90±5 |
80±5 |
80±2 |
85±5 |
|||||
|
промедол |
ДАД |
95±5 |
95±5 |
90±5 |
90±5 |
95±5 |
|||||
|
просидол |
ЧДД |
24 |
19 |
18 |
18 |
20 |
|||||
|
промедол |
ЧДД |
22 |
22 |
18 |
22 |
24 |
|||||
4.4 Применение просидола для лечения хронических болевых синдромов
В основном осуществляли внутримышечное введение препаратов у больных с поражением магистральных сосудов, т.е. имеющих боли ишемического происхождения (35 больных). Просидол вводили 1 раз в сутки. Контрольной группой служили 35 аналогичных больных, которым вводили промедол. У 3 больных со злокачественными опухолями легких (1) и желудочно-кишечного тракта (2) просидол применяли сублингвально в течение 2-3 месяцев.
Обследование проводили также, как в группе больных с послеоперационным болевым синдром -ІТаблица 12І
Таблица 12
Эффективность просидола (1) и промедола (2) при лечении хронического болевого синдрома у больных с окклюзионными поражениями магистральных сосудов
|
Показатель |
Время от момента введения, мин |
||||||||||
|
10 |
20 |
40 |
60 |
90 |
|||||||
|
1 |
2 |
1 |
2 |
1 |
2 |
1 |
2 |
1 |
2 |
||
|
Интенсивность боли, баллы (количество больных) |
4 3 2 1 0 |
2 9 24 1 0 |
1 12 22 0 0 |
1 7 21 5 1 |
1 10 21 3 0 |
0 4 10 9 12 |
1 8 20 2 12 |
0 3 8 7 17 |
1 8 19 5 3 |
1 3 22 7 12 |
1 9 20 3 2 |
|
ИН, усл.ед. |
471+ 26 |
480+ 30 |
325+ 37 |
415+ 42 |
260+20 |
350+ 34 |
286+28 |
354+ 21 |
294+ 28 |
350+ 41 |
|
|
х, мсек |
145+ 20 |
129+ 12 |
168+ 27 |
142+ 18 |
189+16 |
151+ 24 |
180+31 |
154+ 28 |
178+ 17 |
144+ 25 |
|
|
ЧСС ср., мин |
94+ 5 |
94+5 |
90+10 |
94+ 6 |
90+ 12 |
92+8 |
86+11 |
90+ 8 |
88+ 7 |
90+ 7 |
|
Из ІТаблицы 12І видно, что просидол более эффективен при купировании ишемических болей, чем промедол. Их сравнительная характеристика приведена в ІТаблице 13І.
Таблица 13
Сравнительная характеристика просидола и промедола при лечении болевых синдромов
|
Результат |
Просидол |
Промедол |
|
Отличный |
17 (49%) |
5 (17%) |
|
Хороший |
15 (42%) |
3 (9%) |
|
Удовлетворительный |
2 (6%) |
26 (74%) |
|
Нет эффекта |
1 (3%) |
1 (3%) |
Просидол в более значительной степени и на более продолжительное время уменьшал хроническую боль. У 2 больных, у которых промедол не имел эффекта, введением просидола удалось купировать боль. Этот факт, можно объяснить способностью просидола оказывать умеренное вазодилятирующее действие (снижение ОПСС), что очень полезно для больных с поражением магистральных сосудов. Кстати, некоторые больные отмечали потепление конечностей уже через 30-40 минут после введения просидола, т.е. на высоте его анальгетического эффекта.
У 8 больных с ишемическим болевым синдромом (ИБ - 3 балла) исследовали суточную экскрекцию катехоламинов с мочой до, и после лечения просидолом. По клиническим критериям у 3 больных был отличный результат, у остальных 5 - хороший. Экскреция норадреналина до лечения составила 32,3 нг/мин, адреналина - 20,3 нг/мин; после лечения экскреция норадреналина составила 20,9 нг/мин; адреналина - 10,6 нг/мин. Снижение уровня стрессовых гормонов в 1,5-2 раза свидетельствует об антистрессовом эффекте просидола. За это же говорит и динамика ритмологических показателей: уменьшение индекса напряжения и увеличение вариационного размаха в среднем на 30-50% от исходных значений.
Характеризуя просидол, как аналгетик для купирования хронических болевых синдромов, можно заключить, что он в дозе 10-20 мг, обеспечивает вполне адекватное и продолжительное обезболивание у больных с различной патологией.
Полученные результаты и их сравнительный анализ показывают, что просидол способен обеспечить адекватную премедикацию, период индукции и поддержание общей анестезии, а также послеоперационное обезболивание и купирование хронических болевых синдромов. Изученные комбинированные методики индукции в наркоз и данные сравнительного анализа гемодинамических исследований при проведении общего обезболивания, свидетельствуют о целесообразности их клинического применения.
Таким образом, фармакологоические свойства и характеристики позволяют применять просидол на всех этапах анестезиологической защиты больного, начиная с момента премедикации, проведения индукции, поддержания общей анестезии и завершая проведением послеоперационного обезболивания.
5 ПРИМЕНЕНИЕ ТАБЛЕТИРОВАННОЙ ФОРМЫ ПРОСИДОЛА ДЛЯ ПРЕМЕДИКАЦИИ, КУПИРОВАНИЯ ПОСЛЕОПЕРАЦИОННОГО И ХРОНИЧЕСКОГО БОЛЕВЫХ СИНДРОМОВ
5.1 Применение просидола для премедикации.
Схема применения.
За один час до операции давали 1-2 таблетки просидола в буккальной форме. Аналогично препарат применяли накануне вечером. У больных 1 группы до и через 30 минут после дачи препарата осуществляли термо - и сенсометрию. У всех больных регистрировали частоту дыхания и пульса, измеряли АД, КЩС и газы крови, оценивали состояние по субъективным признакам. Контрольной группой служили больные которым, аналогичным образом вводили 1 мл 2% раствора промедола (15 больных), 2 43мл 0,005% фентанила (15 больных). Других средств, обладающих нейро- и психотропным действием не применяли.
У всех больных производили оценку ИБ по 5-ти бальной шкале (0-нет боли, 1-слабая боль, 2-умеренная боль, 3-сильная боль, 4-неперонисамя боль), и СУБ в определенные сроки после назначения препарата (5,10, 20, 40 и т.д. мин). У 12 больных, оперированных на органах брюшной полости и у больных после ангиохирургических операций осуществляли вариационную пульсографию по Р.М. Баевскому. Эти показатели отражали степень активации симпатической и парасимпатической нервной системы.
Клиническая оценка эффективности премедикации.
Существенных различий по этим критериям между просидолом, прмедолом и фентанилом у больных 1 группы не обнаружено. Синдром тревоги, связанный с ожиданием операции имел место у 5-ти больных. Изолированное введение просидола уменьшало его проявление у 4-х больных, у одного наступил сон. Промедол купировал синдром тревоги у 3-х из 8-ми больных, снотворного эффекта не отмечалось. Фентанил седативным снотворным действием не обладал. На головокружение жаловались 2-е больных, которым давали просидол, 1 - после промедола и 2-е больных после фентанила. Термосенсометрию проводили в тех же режимах, что и при применении 1% - 1,0 мл просидола. Результаты термо- и электросенсометрии представлены в ІТаблице 14І.
Таблица 14
Результаты сенсометрии при применении таблеток просидола и внутримышечных анальгетиков
|
Показатель |
Исход.знач. |
Просидол |
Промедол |
Фентанил |
|
ПБ, С° |
39,3+0,7 |
40,7+1,0 |
44,2+1,6 |
45,0+1,4 |
|
ПО, С° |
38,0+0,4 |
38,5+0,4 |
41,2+1,8 |
42,1+1,1 |
|
ВБ, С° |
41,5+1,4 |
43,7+0,7 |
44,8+1,5 |
45,2+1,6 |
|
ПО, мА |
1,09+0,5 |
1,76+0,6 |
1,80+0,4 |
1,9+0,9 |
|
ПБ, мА |
1,25+0,1 |
1,80+0,7 |
2,00+0,2 |
2,1+0,6 |
|
ВБ, мА |
2,10+0,4 |
2,70+0,6 |
2,9+0,7 |
2,9+0,7 |
Обращает внимание способность всех наркотических анальгетиков увеличивать пороги чувствительности при их назначении в премедикацию. В наибольшей степени повышаются пороги ощущения и боли, зависящие от функционального состояния рецепторного и антиноцептивного звеньев механизма формирования боли. Менее значимо изменяется порог выносливости боли, в формировании которого основную роль играет психоэмоцианальная сфера.
По эффективности в качестве средств, для премедикации препараты расположились следующим образом:
фентанил > промедол > просидол
Следует отметить способность таблеток просидола в большей степени, чем других препаратов снижать АД, что делает его предпочтительным у больных с артериальной гипертензией. Вероятность угнетения дыхания при применении буккальной формы просидола выражена гораздо меньше, чем у раствора просидола.
5.2 Применение буккальной формы просидола для купирования послеоперационных и хронических болевых синдромов
Применение просидола у больных с патологией легких.
Исследование проводилось в комплексе лечения 20-ти больным с патологией легких в послеоперационном периоде, из них было 16 мужчин и 4 женщины. По нозологии больные были распределены следующим образом, «Таблица 15».
Таблица 15.
Нозология и количество больных, у которых просидол былприменен для купирования послеоперационного болевого синдрома.
|
нозология |
количество больных |
|
рак легкого (лобэктомия или пульмонэктомия) |
8 |
|
туберкулез легких (удаление нижней доли легкого) |
1 |
|
бронхоэктотическая болезнь (лобэктомия) |
3 |
|
киста средостения (удаление кисты) |
1 |
|
эхинококкоз легкого (эхинококкэктомия из легкого) |
1 |
|
эмпиема плевры (торакоскопия, биопсия, дренирование) |
5 |
В послеоперационном периоде исследовалось влияние просидола на:
Гемодинамику - АД, ЧСС;
Дыхательный центр - ЧДД;
Порог температурной и болевой чувствительности;
КЩС и газы крови;
Сахар крови;
Содержание катехоламинов в моче;
Побочные эффекты;
Осложнения.
Критерий оценки переносимости выбирался на основе субъективных симптомов и ощущений больного с учетом объективных данных. Изучалась фармакологическая активность (анальгетическая, седативная, противошоковая) и побочные эффекты новой лекарственной формы просидола в виде таблеток по 0,01 и 0,02 г для буккального применения в сравнении с уже известными анальгетиками. Дозы препарата подбирались индивидуально с учетом степени выраженности болевого синдрома и достигнутой степени обезболивания - 0,01 или 0,02 г, суточная доза не больше 0,06 г. Нужно отметить, что организм женщин и подростков до 15 лет оказался наиболее чувствителен к просидолу. Для снижения или полного исчезновения болевого синдрома было достаточно дозы не более 0,01 за исключением одной женщины с диагнозом рак легкого. При дозе 0,02 у нее отмечалось головокружение, тошнота, слабость, полное исчезновение боли отмечалось через 10-15 минут с момента приема, быстро наступил сон. У мужчин побочных эффектов не отмечалось. Выраженность анальгетического и седативного действия зависело от индивидуальной чувствительности, тяжести состояния и времени с момента перенесенной операции. Онкологическим больным для уменьшения интенсивности боли требовалась доза 0,02 г в течение 2-4 суток с момента перенесенной операции с переходом на меньшую дозу 0,01 г в течение еще 2-3 дней. При других заболеваниях легких доза 0,02 г была достаточна на 1-2 дня, в зависимости от объема оперативного вмешательства с переходом на дозу 0,01 в течение 1-3 дней.
Субъективная оценка каждого больного от приема препарата - положительная. Значительно облегчалось течение послеоперационного периода в первые дни. Было отмечено снижение или исчезновение боли в области операционной раны или дренажа через 10-15 минут с момента приема просидола. Появлялась возможность более глубокого дыхания, кашля, отхаркивание мокроты, что было невозможно при нарастающей боли в ране. Больных меньше беспокоил дренаж в плевральной полости, появлялась легкая сонливость или сон. Угнетение кашлевого рефлекса не отмечалось. Необходимость в повышении разовой дозы более 0,02 г не было.
Влияние просидола на гемодинамику определялась измерением АД, подсчетом ЧСС и ЧДД до приема и через 30 минут после приема просидола. При этом отмечалось незначительное снижение исходно, повышенного АД к нормальным показателям. Урежение частоты пульса и дыхания к норме, видимо за счет уменьшения или исчезновения болевого фактора. В качестве плацебо 6 больным была дана глюкоза, при этом показатели АД, ЧСС и ЧДД не изменялись.
Определение порога болевой и температурной чувствительности проводилось с помощью электротермоэстезиометра. После приема просидола отмечалось повышение порога болевой чувствительности при дозе 0,02 г через 15 минут и при дозе 0,01 г через 20-25 минут у всех больных. При даче плацебо 6 больным показатели не изменились.
КЩС, газы и сахар крови определялись перед приемом просидола (исходные данные), в первые сутки и в конце курса. При этом у 18 больных отмечалась тенденция к нормализации КЩС и у 2-х склонность к компенсированному метаболическому алкалозу. Улучшение газового состава крови наблюдалось у 19 больных (возможно, это связано с изменением глубины дыхания). Сахар крови нормализовался у 9 больных, незначительное снижение - у 8 больных, незначительное повышение - у 3 больных.
Определение показателей катехоламинов в моче проводилось у 10 больных по окончании курса лечения просидолом. Полученные результаты были в пределах нормы у всех больных.
Из побочных эффектов отмечалась сухость в ротовой полости у 19 больных. Легкое головокружение наблюдалось у 4 больных.
Осложнений связанных с приемом просидола не было.
Применение таблеток просидола у больных с окклюзионными поражениями артериальной системы.
Исследование было проведено у 52 больных с окклюзионными поражениями артериальной системы, «Таблица 16».
Таблица 16.
Нозологические формы и количество больных с окклюзионными поражениями.
|
Нозология |
количество больных |
|
Облетерирующий атеросклероз сосудов нижних конечностей |
12 |
|
Синдром Лериша |
13 |
|
Синдром Такаясу |
4 |
|
Неспецифический аортоартериит, синдром Такаясу |
8 |
|
Неспецифический аортоартериит, синдром Лериша |
5 |
|
Острый тромбоз бедренной и подколенной артерий |
3 |
|
Стеноз чревного ствола |
3 |
|
Диабетическая ангиопатия |
1 |
Исследования проводились у больных подвергавшихся оперативному лечению накануне операции, в ближайшем послеоперационном периоде и при сохранении ишемических болей в отдаленные сроки после операции.
Дозы просидола выбирались в каждом случае отдельно с учетом возраста, степени выраженности болевого синдрома и варьировали от 0,05-0,08 г в сутки. При неэффективности первоначальной дозы, последняя увеличивалась вдвое до достижения значительного клинического эффекта.
Выраженность анальгезии зависела от индивидуальной чувствительности и степени ишемии. В среднем эффективная анальгезия продолжалась в течение 2-5 часов и меньшая анальгезия - в течение последующих 2-3 часов. Как правило, анальгезия наступала в течение 15-30 минут после приема просидола. Больные становились более подвижны, облегчался кашель, углублялось дыхание. Седативный эффект был более выражен у больных с интоксикацией. Угнетение дыхания и кашлевого рефлекса не наблюдалось.
Влияние просидола на гемодинамику оценивалось регистрацией АД и подсчетом ЧСС перед приемом и через 30 минут после приема препарата. Достоверно отмечалось небольшое снижение САД и ДАД, урежение ЧСС.
КЩС и газы крови определялись у 10 больных, оперированных по поводу синдрома Лериша. При этом углублялось дыхание, что проявлялось нормализацией рСО2. Достоверных изменений других показателей КЩС и газов крови не было.
Порог болевой и температурной чувствительности определялся с помощью электротермоэстизиометра до и после приема просидола у 10 больных. После приема просидола отмечалось увеличение толерантности к боли через 20-30 минут. Побочный эффект отмечен у одного больного в виде головокружения, слабости, тошноты . осложнений, связанных с приемом просидола не было. Анальгетический эффект просидола оценивался в баллах (0- отсутствие боли, 1- слабая боль, 2 - выраженная боль, 4 - нестерпимая боль).
Просидол применялся у пациентов с болевыми ощущениями в пределах 2-3 баллов. У 2-х пациентов боль оценивалась в 4 балла. У пациентов с оценкой боли 2-3 балла отмечалась снижением уровня болевых ощущений до 0 баллов в течении 2-5 часов. Наибольшая длительность анальгезии отмечалась у больных этой группы в течение 6-8 часов. Пациентам с болью, оцененной в 4 балла, требовалось увеличение дозы просидола до 0,03 г или более частые приемы его (через 2-3 часа).
Применение таблеток просидола у больных с патологией органов брюшной полости.
Всего было обследовано 60 больных с патологией органов брюшной полости. Из них женщин 36, мужчин 24. По нозологии больные были распределены следующим образом «Таблица 17».
Таблица 17.
Нозология и количество больных с патологией брюшпой полости.
|
Нозология |
Количество больных |
|
Язвенная болезнь желудка (резекция желудка по Бильрот II) |
10 |
|
Желчнокаменная болезнь, хронический калькулезный холецистит (холецистэктомия) |
35 |
|
Эхинококкоз печени (эхинококкэктомия из печени) |
7 |
|
Гепатома печени (гемигепатэктомия) |
2 |
|
Кишечный свищ (ушивание свища) |
1 |
|
Наложение холецисто-дуаденоанастомоза |
1 |
|
Хронический калькулезный холецистит, стриктура терминального отдела холедоха (холецистэктомия, папилосфинктеропластика) |
2 |
|
Закрытие сигмастомы |
1 |
|
Разлитой желчный перитонит |
1 |
В плане применения у 10 больных с патологией брюшной полости, просидола в премедикацию судить об эффективности обезболивания и седации очень трудно, так как и вечерняя и утренняя премедикация многокомпонентна. В послеоперационном периоде для оценки эффективности обезболивания просидолом использовали следующие параметры:
АД, ЧСС, ЧДД;
Измерение порога болевой и температурной чувствительности;
КЩС и газы крови;
Побочные эффекты;
Осложнения.
При обследовании больных дозы препаратов подбирались индивидуально с учетом выраженности болевого синдрома, объема оперативного вмешательства и достигаемого эффекта. Дозы составляли 0,01 и 0,02 г. Суточная доза колебалась от 0,04 до 0,06 г. Так, у больных после холецистэктомий эффект обезболивания достигался при приеме 0,01 грамма, однократно, у всех больных, помимо купирования болевого синдрома, через 10-15 минут наступал сон или появлялась сонливость. Продолжительность обезболивания у этой группы больных составила от 4 до 6 ч.
Выраженность анальгетического эффекта и седативного действия зависела от тяжести состояния больного, индивидуальной чувствительности, степени интоксикации. У больных с механической желтухой и у больных с раковой интоксикацией дозы препарата были гораздо меньше, в сутки было достаточно 0,03 г.
Субъективная оценка обезболивающего эффекта просидола без сомнения положительная. Во всех случаях удавалось купировать болевой синдром в первые сутки послеоперационного периода, без применения других обезболивающих средств. Боль исчезла с момента приема просидола в среднем через 10-15 мин. У многих больных появлялась сонливость или сон. Угнетения дыхания не наблюдалось.
Влияние просидола на гемодинамику определялось измерением АД и подсчетом ЧСС. Измерение проводилось до и после приема препарата. Время после приема выдерживалось до 30 мин. Если до приема просидола АД и ЧСС были в норме, то после, изменение АД и ЧСС не наблюдалось, лишь у больного с диагнозом рак поджелудочной железы с выраженной механической желтухой отмечалось снижение АД до 80/60 мм рт ст.
Если же до приема таблеток АД, исходно было повышено и отмечалась тахикардия, в результате выраженного болевого синдрома, то после приема препарата АД снижалось к нормальным показателям и отмечалось урежение пульса.
При появлении одышки, как факта выраженного болевого синдрома, после дачи 1 таблетки у 5 больных отмечалась нормализация дыхания.
Исследование порога болевой чувствительности проводилось с помощью электротермоэстизиометра. Обследованы были 20 больных. После приема просидола повышалось повышение порога болевой чувствительности только на температурный раздражитель, при дозе 0,01 г через 15-20 минут у всех больных. При обследовании с помощью электросенсометрии изменений порога болевой чувствительности не было.
КЩС и газы крови определялись у 12 больных. После приема просидола происходило снижение рСО2. Побочные эффекты были следующие: у 26 больных отмечалась сухость во рту и жажда, у 30 больных тошнота, у 1 больного рвота.
Осложнений при приеме препарата не было.
Таблетки просидола использовались как анальгетическое средство у больных с интенсивностью боли, оцененной в 2-3 балла. У пациентов с балльной оценкой боли 2-3 балла, снижение боли до 0 баллов происходило в течение 3-6 часов, через 15-20 минут от момента дачи просидола.
Произведенные в биохимической лаборатории исследования экскрекции катехоламинов в моче дают основание полагать, что стимуляции симпатоадриналовой системы на введение препарата не наблюдалось. Во всех случаях была отмечена нормальная суточная экскрекция катехоламинов в моче.
Эффективность просидола и промедола в послеоперационном обезболивании представлена в І Таблице 18І.
Таблица 18
Эффективность просидола (I) и промедола (2) в качестве послеоперационного обезболивания у больных общехирургического профиля
|
Показатель |
Время от момента введения, мин |
||||||||||
|
10 |
20 |
40 |
60 |
90 |
|||||||
|
1 |
2 |
1 |
2 |
1 |
2 |
1 |
2 |
1 |
2 |
||
|
Интенсивность боли, баллы (количество больных) |
4 3 2 1 0 |
0 21 40 17 0 |
0 5 13 6 0 |
0 9 15 21 7 |
0 4 2 9 3 |
0 11 7 12 12 |
0 3 4 4 14 |
0 3 4 4 14 |
0 2 4 2 4 |
0 1 3 11 16 |
0 2 5 4 5 |
|
ИН, усл.ед. |
305+ 11 |
307+ 21 |
228+ 17 |
317+ 16 |
224+25 |
291+ 24 |
226+19 |
312+ 17 |
217+ 27 |
281+ 30 |
|
|
х, мсек |
168+ 29 |
161+ 27 |
209+ 34 |
177+ 17 |
189+28 |
167+ 24 |
171+31 |
188+ 29 |
194+ 25 |
158+ 30 |
|
|
ЧСС ср., мин |
93+ 10 |
92+9 |
89+6 |
87+ 10 |
79+7 |
84+5 |
85+8 |
78+ 8 |
86+ 7 |
91+ 6 |
|
Примечание: промедол вводили 41 больному, оперированному на органах брюшной полости и магистральных сосудах.
Обращает внимание, что обезболивающий эффект начинается на 12 минуте после буккального введения просидола, достигает максимума на 40-50 минуте и уменьшается через 3 часа. Это подтверждается динамикой интенсивности боли и показателей МАРС. У 30% больных удалось полностью купировать болевой синдром (отличный результат), у этих больных боль не возобновлялась в течение 6 часов; у 60% больных произошло значительное (на 2 балла) снижение ИБ (хороший результат); у 8 % больных боль уменьшилась на 1 балл (удовлетворительный результат) и у 2% больных эффекта не было. По сравнению с промедолом эти данные выглядят следующим образом - ІТаблица 19І.
Таблица 19
Сравнительная характеристика просидола и промедола при проведении послеоперационной анальгезии.
|
Результат |
Просидол |
Промедол |
|
Отличный |
18 (30%) |
10 (25%) |
|
Хороший |
36 (60%) |
14 (33%) |
|
Удовлетворительный |
5 (8%) |
12 ( 30%) |
|
Нет эффекта |
1 (2%) |
5 ( 12%) |
То есть, промедол гораздо в меньшей степени, чем просидол купирует послеоперационный болевой синдром, что подтверждается более высоким числом неэффективных аналгезий, меньшим числом отличных и хороших результатов, более поздним наступлением эффекта и ранним восстановлением болевого синдрома. В отличие от просидола, после введения промедола только у 1 из 34 больных произошло стойкое, более 6 часов купирование боли.
При сублингвальном применении просидола у всех больных произошло уменьшение ИБ на 1-2 балла в течение 20-30 минут, то есть примерно в те же сроки, что и после внутримышечного его применения. Однако этот эффект был менее стоек и продолжителен.
При введении просидола по требованию больного средний расход препарата составил 32,5+10,1 мг/сут., с преимущественно хорошим эффектом; при плановом введении - 4 раза в сутки, также удалось достичь хороших результатов, однако при более высоких дозах - 40 мг/сут. В послеоперационном периоде при применении просидола, парезы кишечника имели место у 7 больных, атония мочевого пузыря у 3 больных, гиповинтеляционный синдром у 3 больных. Количество и структура этих осложнений существенно не отличается от других видов послеоперационной анальгезии.
Экскреция норадреналина до лечения составила 32,3 нг/мин, адреналина - 20,3 нг/мин; после лечения экскреция норадреналина составила 20,9 нг/мин, адреналина - 10,6 нг/мин. Снижение уровня стрессовых гормонов в 1,5-2 раза свидетельствуют об антистрессовом эффекте просидола. За это же говорит и динамика ритмологических показателей: уменьшение индекса напряжения и увеличение вариационного размаха в среднем на 30-50% от исходных значений.
Сублингвальное применение просидола у 3 онкологических больных показало его высокую эффективность в дозах 0,075-0,1 г/сут. У одного больного с опухолью прямой кишки удавалось надежно купировать боль в течение 3 месяцев, применяя ежедневно 2 таблетки препарата.
ЗАКЛЮЧЕНИЕ
Борьба с болью была одной из насущных задач медицины с момента ее зарождения и остается таковой до наших дней. Помимо тех страданий, которые причиняет боль людям, ее значение велико в развитии и прогрессировании ряда психосоматических, да и просто соматических заболеваний. В современном обществе боль создает ряд трудно разрешимых социальных и экономических проблем. До сих пор нет «идеального» средства, устраняющего боль. Наиболее активные и специфически действующие обезболивающие средства - наркотические анальгетики часто вызывают побочные эффекты. Практически невозможно определить потери, которые приносит распространение наркоманий, обусловливаемых применением опиатов и опиоидов. Все это обусловливает необходимость расширения исследований, направленных на совершенствование наших представлений о механизмах формирования боли и поиск новых средств и методов болеутоления.
Боль, представляет собой крайне сложный феномен, образуемый переплетением анатомического, психического, физиологического, биохимического и социального компонентов, каждый из которых включает в себя целый ряд составных элементов. Рассмотрение боли должно осуществляться с позиций функциональных систем и анализа процессов саморегуляции как главного принципа их деятельности, позволяющего выявить функциональные связи, определяющие экспериментальные и клинические проявления патологии. Однако до последнего времени системный подход к организации ноцицепции использовался, как правило, в качестве постулата, а не идеологии исследований. Типичным примером подобного подхода, являются рассмотрение гемодинамических ноцицептивных реакций только в качестве корреляторов эмоционально-аффективных проявлений боли и формирование на этой основе аксиоматического представления об идентичности механизмов регуляции разно-модальных компонентов болевых реакций.
Боль является одним из следствий острой травмы и операционного вмешательства, которое играет активную роль в формировании и поддержании хирургического стресса. На основе большого числа исследований эффективности интраоперационной аналгезии различными средствами клиницисты пришли к выводу, что многие ингаляционные и неингаляционные препараты не способны значительно препятствовать развитию ответной реакции на хирургический стресс, за исключением комбинации ингаляционных анестетиков и опиатных аналгетиков.
Опиоиды всегда играли фундаментальную роль в практической анестезиологии.
Детальный анализ нейрофизиологических и нейрохимических механизмов боли и анальгезии позволил выдвинуть концепцию о разобщенности эмоциональных и вегетативных, в частности гемодинамических, проявлений боли и выявил детерминированность этой разобщенности уже на уровне опиатных рецепторов различных структур центральной нервной системы, прежде всего спинного мозга. Следовательно, проблема опиоидергической регуляции гемодинамических ноцицептивных реакций не может быть полностью решена изысканием новых морфиноподобных анальгетиков, поскольку резистентность реакций кровообращения к этим препаратам обусловлена их недостаточной селективностью к m-опиатным рецепторам.
В последние годы привлекли к себе внимание наркотические анальгетики, обладающие смешанным агонист - антагонистическим свойством. Для этих препаратов характерно расширение диапазона между дозами, вызывающими обезболивание, и дозами, формирующими побочные эффекты, прежде всего угнетение дыхания. Однако они вызывают аналгезию за счет влияния на c-опиатные рецепторы, одновременно воздействуя на m - рецепторы как антагонисты, чем и объясняется отсутствие у них вегетокоррегирующего эффекта при боли. С этих позиций клинически наиболее перспективными представляются соединения с направленным на m - рецепторы агонистическим действием.
Помимо изыскания новых соединений, предпринимаются попытки совершенствования опиатной аналгезии с помощью более рационального использования существующих препаратов. Существующая зависимость эффекта обезболивающих средств от конкретных показателей исходного состояния организма может быть использована для прогнозирования влияния опиатов на проявления болевого синдрома у конкретного пациента и тем самым явиться основой для индивидуализированной болеутоляющей терапии.
В течение нескольких десятилетий в анестезиологии прочно укоренился принцип поликомпонентности общей анестезии, то есть достижение всех необходимых ее элементов за счет сочетания у многих фармакологических агентов со специальными преимущественными свойствами (подавление сознания, болевой чувствительности, мышечного тонуса, гемодинамических и других стрессовых реакций организма). Это обусловлено тем, что ни один ингаляционный или внутривенный общий анестетик при мононаркозе не обеспечивает необходимой антистрессовой защиты организма в условиях операционной травмы.
Накопление новых знаний, в связи с последними фундаментальными исследованиями механизмов боли и обезболивания побуждает исследователей к переосмыслению и уточнению представлений клиницистов о путях и средствах достижения наиболее полной антиноцептивной защиты пациента во время и после оперативных вмешательств.
Чтобы реально обеспечить эту защиту необходимо предусмотреть, прежде всего:
а) до безопасного (не стрессового) уровня интенсивности ноцицептивного потока из операционной раны на всем пути его следования (от периферических рецепторов до центральных структур мозга);
б) устранение стрессовых гемодинамических, эндокринных и метаболических реакций;
в) предотвращение психологического восприятия боли и сопутствующих ей эмоциональных реакций.
Выбор средств, для достижения этих целей зависит от этапа формирования боли, связанной с оперативным вмешательством, каждый из которых требует специального подхода:
а) этап предоперационного эмоционального стресса;
б) этап операционной травмы;
в) этап выведения пациента из анестезии;
г) послеоперационный период.
Хорошая защита пациента от страха и боли в период предоперационной подготовки и непосредственно перед оперативным вмешательством гарантирует от ситуационного стресса и вегетативных реакций при поступлении больного в операционную, облегчает выполнение необходимых манипуляций и введение в общую анестезию.
Новым направлением в настоящее время является профилактический подход к защите пациента от действия операционной травмы и последующего развития болевого синдрома. При этом, следует исходить из механизмов формирования боли, связанной с травмой, на периферическом и центральном уровнях.
По показаниям применяются аналгетики центрального действия (трамадол, бупренорфин, просидол, промедол, морфин и др.).
Известно, что главным средством интра - и послеоперационной антиноцицептивной защиты являются аналгетики центрального действия (опиоиды), активирующие антиноцицептивные системы центральной нервной системы на спинальном и супраспинальном уровнях путем взаимодействия с опиоидными рецепторами. Известно также, что далеко не всегда удается достичь стабильного течения общей анестезии и полноценного послеоперационного обезболивания даже при применении очень больших доз опиоидов, приводящих к глубокой общей депрессии центральной нервной системы и другим побочным эффектам.
Болеутоляющий эффект наркотических аналгетиков является важнейшим, но не единственным элементом спектра активности данной группы фармакологических средств. Широко известны другие центральные эффекты морфиноподобных соединений (снотворный, эйфоригенный, угнетение дыхания и кашлевого рефлекса, тошнота, рвота и др.), способность изменять функции желудочно-кишечного тракта, сердечно-сосудистой системы, мочевыводящих путей, эндокринных органов. Эти эффекты являются естественной составляющей фармакологического профиля опиоидов, однако, с клинических позиций многие из них рассматриваются как побочные и нежелательные свойства наркотических аналгетиков.
Наиболее существенным недостатком опиоидов, ограничивающим их применение при хроническом болевом синдроме, является выраженный наркогенный потенциал, т.е. способность вызывать пристрастие с выраженным синдромом зависимости. Как правило, развитие зависимости сочетается с быстрым привыканием к фармакологическому действию морфиноподобных веществ. При разовых назначениях наркотических аналгетиков основную опасность представляет их способность угнетать легочную вентиляцию, а также обстипационное действие.
Послеоперационный период по тяжести течения с субъективной точки зрения пациента, характеризуется прежде всего интенсивностью боли, а с объективной точки зрения анестезиолога - реаниматолога - выраженностью посттравматических метаболических, сердечно-сосудистых, респираторных и других расстройств и в не меньшей степени усилиями, необходимыми для устранения послеоперационного синдрома.
Не устраненный болевой синдром не только означает резкий дискомфорт, физические и эмоциональные страдания пациента, но и серьезные нарушения общего гомеостаза. В этих случаях традиционно используются наркотические анальгетики - морфин, промедол, фентанил и др.
«Классический аналгетик» морфин имеет целый ряд общеизвестных недостатков, что в ряде случаев ограничивает его применение. Стремление к созданию аналгетика, который имел бы высокую эффективность, минимум побочных эффектов, достаточную терапевтическую широту, незначительное перекрестное взаимодействие с другими препаратами привело к появлению новых опиоидных аналгетиков .
Успехи в изучении механизмов развития аналгезии, общей анестезии, качественно новый подход к изучению фармакологии наркотических аналгетиков и впечатляющие результаты исследования энкефалинов и эндорфинов произвели в последнее десятилетие «революцию» в представлениях о возможности терапии болевого синдрома.
Синтез новейших представителей ряда наркотических анальгетиков существенно дополнил арсенал средств с успехом применяемых в клинической практике. Одним из таких препаратов является просидол.
Изучаемый новый наркотический анальгетик просидол (производное оксипиперидина), разработан в Институте химических наук им. А.Б. Бектурова МН АН РК, под руководством члена-корреспондента АН РК д.х.н. профессора Пралиева К.Д. До начала проведения клинических исследований были получены данные от создателей препарата о его применении, как наркотического аналгетика в эксперименте на животных.
На основании полученных результатов экспериментальных исследований и имеющихся литературных данных об аналгетических свойствах препарата было начато изучение возможностей применения просидола в клинической анестезиологии на широком контингенте хирургических больных.
Просидол выпускается в виде 1% раствора в ампулах по 1,0 мл и в виде таблеток по 0,01-0,025 г для сублингвального и буккального применения.
Поскольку по своему химическому составу и механизму действия просидол относится к аналгетикам центрального действия, является агонистом опиоидных рецепторов, обладающих весьма выраженным болеутоляющим свойством, его можно применять для купирования сильных болей различного происхождения, а также использовать в качестве аналгетического компонента общей анестезии. К сожалению просидол, как и другие препараты этого ряда может вызывать угнетение дыхания. Аналгезия и угнетение дыхания возрастают пропорционально увеличению вводимой дозы .
Помимо оценки адекватности аналгезии просидолом, нами было изучено его влияние на основные функции организма.
Проблеме боли посвящено большое количество работ, предлагающих для ее изучения различные методические подходы. Исследование болевого феномена представляет определенные трудности. Одной из главных проблем является объективный анализ алгического феномена. Попытки объективизировать боль с помощью различных методов предпринимались неоднократно. Регистрация изменений сосудистого тонуса, кровенаполнения сосудов, биоэлектрической активности мозга, электромиографических и термографических параметров, анализ содержания моноаминов и эндорфинов в крови и церебральной жидкости, другие исследования лишь указывают на то, что выявляемые нейрофизиологические, гуморальные и вазомоторные сдвиги сопровождают боль. Однако эти критерии неспецифичны и в строгом смысле не могут быть критерием объективизации боли и ее интенсивности.
Большинство разработанных методов, используемых для изучения боли в медицинской практике, основываются на субъективной оценке исследуемых, т.е. на ощущениях самого больного. Это, в основном, психологические и психофизиологические тесты: визуальная аналоговая шкала, цифровые шкалы, метод описательных определений боли, определение болевых порогов в актуальной и нейтральной зонах и др.
В данной работе были использованы следующие методы исследования:
клиническое исследование боли
сенсометрия
суточная экскреция катехоламинов
оценка адекватности анестезии. Оценивались следующие параметры: клинические (характер кожных покровов, реакция зрачков на свет, потребность в миорелаксантах, контроль гемодинамики, наличие и продолжительность послеоперационной аналгезии); биофизические ( анализ ЭКГ, вариационная пульсография по Баевскому Р.М.); биохимические (уровень глюкозы); метаболические ( потребление кислорода, КЩС и газы крови, гемодинамика определялась методом Фика)
Для оценки адекватности аналгетической активности препарата при премедикации были использованы различные методы исследования. Прежде всего это клиническая оценка боли по 5-ти балльной шкале. Определяли пороги болевой чувствительности и переносимости боли с помощью сенсометрии.
Учитывая, что любая боль сопровождается стрессом и, как следствие выбросом стресс-гормонов проводили исследование суточной экскреции катехоламинов.
При оценке адекватности общей анестезии, у больных, использовались следующие критерии: клинические (характер кожных покровов, реакция зрачков на свет, потребность в миорелаксантах, контроль гемодинамики), наличие и продолжительность послеоперационной депрессии сознания и дыхания, характеристика выхода из наркотического сна, продолжительность послеоперационной аналгезии; биофизические - анализ ЭКГ, вариационная пульсография, многоканальная термометрия; биохимические - уровень глюкозы в плазме; метаболические - анализ КЩС и газов крови, рассчитывались показатели центральной гемодинамики и газообмена методом Фика.
Изучение показателей, характеризующих вариабельность ритма сердца, показало, что они могут успешно использоваться для объективизации оценки адекватности премедикации. Значительное снижение показателя индекса напряжения свидетельствует о нормализации исходно повышенной активности симпато-адреналового звена вегетативной нервной системы в результате адекватной предоперационной подготовки, осуществленной просидолом.
В исследования были включены 219 больных, у которых был применен 1% раствор просидола 1,0 мл и 132 пациента у которых применялась таблетированная форма препарата по 0,01-0,025 г. В зависимости от цели применения просидола было выделено четыре группы больных. Просидол использован в качестве премедикации у 58 больных, как компонент общей анестезии у 219 больных, для послеоперационного обезболивания у 123 больных, для купирования хронического болевого синдрома у 38 больных. Все эти больные оперированы по поводу различных заболеваний.
При исследовании аналгетического эффекта таблетированной формы просидола было выделено три группы больных. У 132 больных просидол применен в качестве компонента премедикации, у 132 пациентов - для послеоперационного обезболивания, у 53 больных - для купирования хронического болевого синдрома.
Не устраненный предоперационный эмоциональный стресс, согласно экспериментальным и клиническим исследованиям, может приводить к значительному обострению болевых ощущений (т.е. к снижению болевого порога), активации гемодинамических и эндокринных реакций (выброс стресс-гормонов), что затрудняет стабилизацию общей анестезии, требует применения повышенных доз общих анестетиков и наркотических аналгетиков. В связи с этим на данном этапе главное в тактике анестезиолога - создание психологического покоя для пациента путем психотерапевтической подготовки и адекватной премедикации. Больной должен быть уверен, что будет защищен от боли и переживаний на всех этапах хирургического лечения. Поэтому наряду с препаратами бензодиазепинового ряда в премедикацию применяются аналгетики центрального действия.
На основании полученных данных, в результате проведенных исследований была клинически оценена эффективность премедикации у 58 больных (применение просидола 1% - 1,0 мл) и у 132 больных (применение препарата в таблетках 0,01-0,25) с различной хирургической патологией.
Премедикацию осуществляли путем внутримышечного введения просидола 1% - 1,0 мл за 30 - 40 минут до операции. Успешный эффект премедикации был зафиксирован у 70% больных. Оптимальной дозой просидола для премедикации является 142 мкг/кг (в среднем 1% - 1,0 мл раствора), вводимого за 1 час до операции.
При применении таблетированной формы просидола оптимальной дозой является 10 - 20 мг (1-2 таблетки ) за 30-40 минут до начала операции. Успешный эффект при такой премедикации был отмечен у 52% больных.
Поскольку в настоящее время понятие общей анестезии многокомпонентно был оценен аналгетический эффект просидола, как компонента наркоза.
При этом учитывались клинические параметры адекватности анестезии (характер кожных покровов, реакция зрачков на свет, потребность в миорелаксантах, контроль гемодинамики).
Оценивались также биофизические критерии (анализ ЭКГ, вариационная пульсография, термометрия, показатели центральной гемодинамики).
Динамика показателей кровообращения и газообмена, потребления кислорода существенно не отличалась от аналогичной при операциях в условиях центральной анальгезии промедолом или фентанилом. Обнаружено, что в большинстве случаев клиника просидоловой аналгезии не отличается от аналгезии с применением фентанила.
Исходя из литературных данных и собственных наблюдений, было разработано три варианта индукции в наркоз на основе применения просидола. С этой целью были апробированы три методики, основанные на комбинированном применении просидола в дозе 0,12 мг/кг массы тела в сочетании соответственно или с тиопенталом натрия в дозе 3-5 мг/кг или седуксеном в дозе 0,5 мг/кг, или калипсолом в дозе 1,5-3,0 мг/кг и седуксеном в дозе 10 мг. Поддержание общей анестезии во всех случаях осуществляли также применением просидола, внутривенным дробным введением, в дозе 10 мг на фоне инсуффляции газонаркотической смеси кислорода и закиси азота в соотношении 1:2, 1:1. Вместе с этим внутривенно капельно вводили тиопентал натрия в дозе 3-5 мг/кг. Миоплегия проводилась внутривенным введением ардуана в дозе 0,07 мг/кг/ч.
Вводный наркоз с использованием седуксена, тиопентала натрия, калипсола с седуксеном, в качестве гипнотического эффекта и просидола, обеспечивающего аналгезию, характеризовался стабильностью всех исследованных показателей периферической и центральной гемодинамики. Период поддержания общей анестезии, по данным изучения изменений периферической и центральной гемодинамики, характеризовался также стабильностью регистрируемых показателей. Исследования параметров центральной и периферической гемодинамики на остальных травматичных этапах операции соответствовали особенностям изменений изучаемых показателей при выполнении подобных вмешательств и не были связаны с воздействием примененных препаратов.
Обезболивание всегда остается ведущей задачей анестезиолога. Помимо наших представлений о том, что анестезия должна обеспечить комфортность в работе хирургов и безопасность больного от хирургического стресса, в не меньшей степени мы должны уделять внимание послеоперационному обезболиванию пациентов.
Существуют единичные и противоречивые исследования по прогнозированию послеоперационной боли. Во многих наблюдениях отмечается, что значительную роль играют личностные факторы, например, невротическое состояние. При этом возраст и пол не имеют решающих выборе премедикации и методики анестезии. В отдельных случаях предоперационный осмотр и анамнез может потребовать серьезных поправок в виду наличия несомненной толерантности к послеоперационной боли. Послеоперационный период по тяжести течения с субъективной точки зрения пациента характеризуется прежде всего интенсивностью боли, а с объективной точки зрения анестезиолога - реаниматолога - выраженностью посттравматических метаболических, сердечно-сосудистых, респираторных и других расстройств и в не меньшей степени усилиями, необходимыми для устранения послеоперационного болевого синдрома.
Не устраненный болевой синдром не только означает резкий дискомфорт, физические и эмоциональные страдания пациента, но и серьезные нарушения общего гомеостаза. Неизбежные последствия неустраненной боли: малоподвижность пациента, поверхностное дыхание, легочная гипервентиляция, тахикардия (аритмия), гипертензия, периферический вазоспазм и, как следствие, последнего - нарушение кровотока и функций тканей и органов, в том числе оперированных, развитие послеоперационных осложнений (хирургических, респираторных, сердечно-сосудистых, тромбоэмболических и др.), обострение хронических сопутствующих заболеваний.
«Обычная» боль в области раны - лишь одна из послеоперационных жалоб пациента, т.к. на состояние его комфортности могут оказать влияние беспокойство, головная боль, тошнота, рвота и кишечные боли. Контролируемая пациентом аналгезия помогла увидеть важность учета внутренних субъективных отлтчий, которые определяют необходимый уровень аналгезии. Оказалось, что есть пациенты, которые фактически вообще не нуждаются в опиатных аналгетиках даже после крупных абдоминальных операций, а есть такие, которые требуют повышенных доз этих препаратов после операций из разряда так называемой «малой хирургии». И все же уровень потребления для большинства пациентов представляется стабильным, поэтому относительно короткого периода наблюдения, примерно 3-4 часа в послеоперационной палате, может быть вполне достаточно для планирования необходимой аналгезии на первый послеоперационный день. В свою очередь, это позволит судить о реальной потребности пациента в аналгетиках на весь послеоперационный период. После исследований с контролируемой пациентом аналгезией стало очевидным, что фармакокинетическому прогнозированию болевого синдрома путем определения пороговых концентраций не следует придавать решающего значения.
В отношении выбора аналгетика трудно дать определенные рекомендации. Исходя из опыта, применимы все доступные агонисты опиатов при условии их использования в эквивалентных и соответствующих дозах. Более спорными представляются место и вид применения лекарственного препарата. Считается более предпочтительным внутримышечный способ введения, однако на этот счет есть много возражений. Скорость всасывания аналгетика очень различна, особенно у пациентов с нарушенной тканевой перфузией из-за гиповолемии и гипертермии, в связи с чем требуется много времени с момента введения препарата до его действия.
Много противоречий в себе несет аналгезия, управляемая пациентом. Согласно многим исследованиям, около 75% пациентов предпочитают самоназначение аналгетиков. Аналгезия, управляемая пациентом, имеет важное значение, т.к. позволяет при наблюдении за пациентами выяснить недостатки общепризнанных методик аналгезии.
Поэтому был изучен аналгетический эффект просидола для купирования послеоперационных и хронических болевых синдромов. У этих больных определялась суточная экскреция катехоламинов флуорометрическим методом, а также клиническая оценка боли по 5 балльной шкале, сенсометрия и математический анализ ритма сердца.
В качестве средства для послеоперационной аналгезии просидол применен у 142 больных в инъекциях, в дозе 142 мкг/кг внутримышечно при возникновении или усилении болей; и у 132 больных в таблетках в дозе 100 мкг/кг (1-2 таблетки) сублингвально для купирования хронического болевого синдрома у 38 больных в инъекциях по 1,0 мл - 1% раствора 1-2 раза в сутки, у 53 пациентов в таблетках в дозе 0,025-0,075 г/сут. При этом было отмечено выраженное адекватное и достаточно продолжительное обезболивание препаратом, особенно у больных с окклюзионными поражениями сосудов нижних конечностей.
Проведенное клиническое исследование нового наркотического аналгетика просидола и имеющийся опыт применения его в других клиниках, представленные в литературе, свидетельствует о том, что просидол может быть с успехом принят и внедрен в практическую анестезиологию в качестве средства обеспечения анальгезии.
Выявленные нами активные дозы препарата 10 мг (1% - 1,0 мл) раствора или 1-2 таблетки для премедикации; 10 мг для комбинированной индукции; 200-300 мкг/кг/ч (в кардиоанестезиологии 530-990 мкг/кг/ч), как компонента общей анестезии и 10 мг (1 мл - 1% раствора) или 1-2 таблетки (100 мкг/кг) для послеоперационной анальгезии и купирования хронических болевых синдромов позволяют их рекомендовать при разнообразных хирургических вмешательствах.
Препарат может быть применен практически в любой частной области анестезиологии при выполнении абдоминальных операций; в торакальной и сердечно-сосудистой хирургии.
По нашему мнению, особо показанным является проведение анестезиологической защиты просидолом при предполагаемом длительном вмешательстве. Наш опыт свидетельствующий о длительном эффекте действия препарата, позволяет заключить, что последующие дозы для поддержания общей анестезии определяются по клиническим данным и составляют в среднем 10 мг.
Максимально применялось 1000 мкг/кг/ч просидола (70 мг/ч), при этом не отмечено токсического влияния препарата на функцию паренхиматозных органов и нервную систему (это были больные, оперированные на открытом сердце в условиях искусственного кровообращения, которым в послеоперационном периоде проводили ИВЛ).
Отмечены следующие побочные эффекты: тошнота, головокружение, снижение артериального давления, угнетение дыхания. Частота и структура этих осложнений существенно не отличается от других наркотических анальгетиков. По силе аналгетическогоческого эффекта исследованные наркотические аналгетики можно расположить следующим образом:
а) применение 1% - 1,0 раствора просидола
фентанил > просидол > промедол
б) применение 0,01- 0,025 г. просидола в таблетках
фентанил > промедол > просидол
Таким образом, просидол можно рекомендовать для применения в клинической практике.
ВЫВОДЫ
1 Просидол обладает выраженной анальгетической активностью, повышая пороги болевой чувствительности на 25-45%, уменьшая психоэмоциональное восприятие боли, предупреждая и коррегируя гемодинамические и метаболические проявления болевого синдрома.
2 В ряду известных наркотических анальгетиков по эффективности просидол занимает следующую позицию:
фентанил > просидол > промедол.
3 Просидол следует применять для премедикации, интра- и послеоперационной анальгезии, а также для лечения острых и хронических болевых синдромов у различных категорий больных.
ПРАКТИЧЕСКИЕ РЕКОМЕНДАЦИИ
1 Для премедикации просидол следует применять в дозе 142 мкг/кг ( в среднем 1 мл 1% раствора ), вводимого внутримышечно за 1 час до операции.
Для премедикации просидол также применяют в виде таблеток в дозе
0,01-0,025 г ( в среднем 1-2 таблетки) за 1 час до вводного наркоза.
2 В качестве компонента наркоза просидол применяют в дозе 200-300 мкг/кг/ч, для кардиохирургических операций на открытом сердце-500-600 мкг/кг/ч.
3 Для лечения болевых синдромов просидол применяют в дозе 10 мг ( 1,0 мл 1% раствора ) 1-2 раза в сутки или сублингвально - в дозе 0,025-0,075 г/сут.
СПИСОК ИСПОЛЬЗУЕМОЙ ЛИТЕРАТУРЫ
Михайлович В.А., Игнатов Ю.Д. Болевой синдром // Л., 1990 - 336 с.
Белоярцев Ф.Ф. Компоненты общей анестезии // М.,1979 - 215 c.
Вейн А.М., Авруцкий М.Я. Боль и обезболивание // М.,1997 - 280 с.
Авруцкий М.Я., Ширяев В.С., Смольников П.В. Морадол // М.,1990 - 80 с.
Алиев М.А., Храпов А.В., Кургузкин А.В., Верболович В.П. Адекватность общей анестезии // Алма-Ата, 1992 - 168 с.
Белоярцев Ф.Ф. и др. Критерии адекватности общих компонентов анестезии // Материалы 3-го Всесоюзного съезда анестезиологов и реаниматологов, Рига - 1983 - с. 9-10
Бунятян А.А. и др. Применение мониторно - компьютерных систем для оценки адекватности анестезии // Материалы 3-го Всесоюзного съезда анестезиологов и реаниматологов, Рига - 1983 - с.13-14
Белоярцев Ф.Ф. Центральная анальгезия - один из методов защиты организма от операционной травмы // Анестезиология и реаниматология - 1977 - № 3 - с. 41-47
Женило В.М., Белявский А.Д., Лысов И.П. Современная концепция общей анестезии // Шестой Всероссийский съезд анестезиологов и реаниматологов, тезисы докладов и сообщений, Москва - 1998 - с.111
Женило В.М., Бычков А.А. К вопросу о механизме потенцирования общей анестезии // Шестой Всероссийский съезд анестезиологов и реаниматологов, тезисы докладов и сообщений, Москва - 1998 - с.111
Бунятян А.А. и др. Атаралгезия // Будапешт , 1983 - с. 3-5
Дарбинян Т.М. Критерии адекватности общей анестезии // Материалы 3-го Всесоюзного съезда анестезиологов и реаниматологов, Рига - 1983 - с. 31-32
Осипова Н.М. Место внутривенной анестезии в анестезиологии // Шестой Всероссийский съезд анестезиологов и реаниматологов, тезисы докладов и сообщений, Москва - 1998 - с.195
Осипова Н.А., Береснев В.А., Абузарова Г.Р., Лосева Н.А. Новые аспекты лечения болевых синдромов // Шестой Всероссийский съезд анестезиологов и реаниматологов, тезисы докладов и сообщений, Москва - 1998 - с.195
Голуб И.Е., Малышев В.В., Чижова Е.О., Скатов Б.В. Новые аспекты повышения качества анестезиологической защиты при оперативных вмешательствах // Шестой Всероссийский съезд анестезиологов и реаниматологов, тезисы докладов и сообщений, Москва - 1998 - с.91
Войтович А.В., Кустов В.М., Кияшко О.Л., Лопушан А.И. Анестезиологическое пособие больным пожилого возраста // Шестой Всероссийский съезд анестезиологов и реаниматологов, тезисы докладов и сообщений, Москва - 1998 - с.81
Папин А.А., Карелин А.А. Опиатные рецепторы, эндорфины и их антагонисты // Анестезиология и реаниматология - 1984 - № 3 - с. 52-60
Stanly T.H Opiates, receptors and the new anesthetic deliveri systems // Cardithorac Anesth. - 1987- p. 503-509
Hug C.C., Jr. Djts opioid anesthesia exist // Anesthesiolоgy - 1990 - № 73 - p. 1-4
Овечкин М.А., Гнездилов А.В. Боль в Европе // Обзор материалов 2-го конгресса Европейской ассоциации по изучению боли // Анестезиология и реаниматология - 1998 - № 5 - с. 64-67
Авакян О.М. Фармакологическая регуляция адренорецепторв - М., 1988 112с.
Балткайс Я.Я., Фатеев В.А. Взаимодействие лекарственных средств - М., 1991 - 145с.
Гологорский В.А. Метаболические изменения как критерий адекватности некоторых видов комбинированной общей анестезии // Анестезиология и реаниматология - М., 1984 - с.16-19
Беркович А.Н., Кузнецова О.Ю. Патофизиология и фармакология боли - М., 1993 - с. 153
Бутакова С.С., Дмитриев А.В., Даринский Ю.А. Фармакология болеутоляющих средств в эксперименте и клинике - Л., 1990 - с. 200-207
Бутакова С.С., Игнатов Ю.Д. Патофизиология и фармакология боли - 1993 - с. 155
Денисенко П.П. Холинергические элементы в механизме боли и фармакотерапии боли // Фармакологические аспекты обезболивания - Л. 1983 - 140 с.
Папин А.А., Петров О.В., Какурин Ф.Ф., Вагина М.А., Зетилов В.Б. Исследование анальгетического компонента премедикации методом тепловой сенсометрии // Анестезиология и реаниматология - 1983 - № 1 - с. 18-20
Громов Л.А. Пути создания обезболивающих средств на основе опиоидных нейропептидов // Синтез, фармакология и клинические аспекты новых обезболивающих средств - Тезисы докладов Всесоюзной конференции - Новгород, 1991 - с. 56
Никода В.В., Лебедева Р.Н., Маячкин Р.Б. Применение контролируемой пациентом аналгезии в раннем послеоперационном периоде // Шестой Всероссийский съезд анестезиологов и реаниматологов, тезисы докладов и сообщений - Москва, 1998 - с.188
Осипова Н.М., Ветшева М.С., Данильченко Т.А., Евдокимов Е.А. Операционный риск, общее обезболивание и интенсивная терапия у онкологических больных с ограниченными функциональными резервами // Методические рекомендации - М., 1994 - 24 с.
Панов А.В. Болеутоляющее действие наркотических анальгетиков, клофелина и их влияние на сдвиги артериального давления при висцеральной боли // Диссертация канд. мед. Наук 1989 - 140 с.
Половинкин П.В., Марютин П.В., Кондратьев А.Н., Тихомиров Д.М. Послеоперационное обезболивание больных (от наркотических к ненаркотическим аналгетикам) // Шестой Всероссийский съезд анестезиологов и реаниматологов, тезисы докладов и сообщений - Москва, 1998 - с.203
Шварц Г.Я. Актуальные проблемы лекарственного обезболивания - Л., 1988 - с. 61-62
Петрова В.В., Осипова Н.А., Береснев В.А. Оптимальные компоненты послеоперационного обезболивания // Шестой Всероссийский съезд анестезиологов и реаниматологов, тезисы докладов и сообщений - Москва, 1998 - с.198
Зайцев А.А. Актуальные проблемы лекарственного обезболивания - Л., 1988 - с.24-28
Freye E. Opioid in der Medicin. Wirkung und Einsatzgebiete centraler Analgetika ( Springer, Berlin - Heidelberg - New-York - Tokyo - London - Paris , 1990 )
Freye E. Opioid Agonists, Antagonists and Mixed Narcotic Analgesics. Theoretical backrgound and consederations for practical use ( Springer, Berlin - Heidelberg - New-York - Tokyo - London - Paris , 1987 )
Muller H. et al. Intra and post - operative interaktions zwischen den beiden opioiden Fentanyl and Buprenorphin // Anatsthesist, 1986 - vol.35 - р. 219-225
Sear J.W. et al. Disposition of nalbufine in patients undergoing general anesthesia // Br. S. Anesth., 1987 - vol. 59 - р.572-575
Wite P.F. et al. Comparison of alfentanyl with fentanyl of out patient anesthesia // Anesthesiology , 1986 - vol. 64 - р. 99-105
Freye E. Klinische Imdikationsbereiche der opioid Agonisten, Agonisten - Antagonisten and der reinch Antagonisten // Schmers., 1986 - vol. 2 - р. 44-45
Закусов В.В. и др. Новый класс антагонистов наркотических анальгетиков // Вестник АМН СССР , 1980 - № 9 - с. 48-51
Калюжный Л.В. Физиологические механизмы регуляции болевой чувствительности // М., 1984 - 216 с.
Freye E., Ciaramelli F. New aspect in der schmers therapie mit opioiden-theoretischer Hintergrungen // Anesthesiol. Reanim., 1987 - vol. 12 - р. 3-18
Чурюканов В.В. Болеутоляющие средства : сравнительная оценка, механизмы действия, перспективы // Анестезиология и реаниматология - 1998 - № 5 с.5
Блинов А.В., Литовченко В.С. Особенности послеоперационного обезболивания у больных с высокой степенью невротизации// Шестой Всероссийский съезд анестезиологов и реаниматологов, тезисы докладов и сообщений, Москва - 1998, с.65
Raja S.N. et all. Peripheral mechanisms of somatic pain // Anesthesiology-1988- № 68, p. 571-590
Белоусов Ю.Б., Моисеев В.С., Лепахин В.К. Клиническая фармакология и фармакотерапия - М., 1997 - 289 с.
Рудиченко В.М., Славнов В.Н., Комиссаренко И.В. Опиоиды и их антагонисты в регуляции секреции вазопрессина: обзор // Анестезиология и реаниматология - 1992 - № 4 - с. 74-78
Руководство по профилактической медицине постоянного комитета США по профилактической медицине: Перевод с английского языка - М.: Новая слобода, 1993
Рид А.П., Каплан Дж. А. Клинические случаи в анестезиологии - М., 1995 - 183 с.
Лоуренс Д.Р., Бенит П.Н. Клиническая фармакология М., 1991 - 322 с.
Hardman J.G., Limbird L. E. Goodman and Gilmans the Phаrmacological Basis of Therapuitics 9-th Ed./Eds-in-chief // 1996
Брагин Е.О. Нейрохимические механизмы регуляции болевой чувствительности // Успехи физиологических наук - 1985- № 1 - с.21-42
Вальдман А.В., Бабаян Э.А., Звартау Э.Э. Психофармакологические и медико-правовые аспекты токсикоманий // М., 1988 - с. 288
Виноградов В.А., Смагин В.Г., Титов М.И. Синтетические пептиды как лекарственные вещества // Нейропептиды в эксперименте и клинической практике - М., 1986 - с. 3-7
Дмитриев А.В. Оценка спектра активности болеутоляющих средств с помощью многофакторного регрессивного анализа // Нейрофармакологическая регуляция болевой чувствительности - Л. , 1984 - с. 34-53
Дуринян Р.А., Решетняк В.К., Брагин Е.О. Нейрофизиологические и нейрохимические механизмы рефлекторной анальгезии // Сенсорные системы, сенсорное взаимодействие, протезирование - Л. : Наука - 1983 - с. 110-120
Булаев В.М. Рецепторы опиатов и их лиганды // Итоги науки и техники - 1982 - Т. 13 - с. 101-144
Звартау Э.Э. Рецепторные аспекты опиатной толерантности // Нейрофармакологическая регуляция болевой чувствительности - Л., 1984 - с. 129 - 140
Игнатов Ю.Д. Сегментарные механизмы болеутоляющего действия опиатов и опиоидных пептидов // Нйропсихофармакология болеутоляющих средств - Л., 1986 - с. 9-29
Лиманский Ю.П. Физиология боли // Киев , 1986 - 96 с.
Kehlet H. Surgical stress: the role of pain and analgesia // Br.J.Anetsth.,1989;63, p.189-195
Баден Д. Фармакогенетические аспекты анестезии // Актуальные проблемы анестезиологии и реаниматологии ( Освежающий курс лекций, перевод с английского языка ) - Архангельск - 1993 - с. 5-8
Олккола К. Часто встречающиеся лекарственные взаимодействия в анестезиологии // Актуальные проблемы анестезиологии и реаниматологии ( Освежающий курс лекций, перевод с английского языка) - Архангельск - 1993 - с. 9-12
Стенли Т. Основы фармакологии фармакокинетики опиоидов // Актуальные проблемы анестезиологии и реаниматологии ( Освежающий курс лекций, перевод с английского языка ) - Архангельск - 1993 - с. 55-57
Бовилл Дж. Использование опиоидов для анестезии // Актуальные проблемы анестезиологии и реаниматологии ( Освежающий курс лекций, перевод с английского языка ) - Архангельск - 1993 - с. 58-60
Цыбуляк Г.Н., Корнилов В.А., Губарь Л.Н. Общие принципы лечения травматической болезни // Дерябин Р.И., Насонкин О.С. Травматическая болезнь - Л., 1987 - с. 178-200
Беляков В.А., Амбрамян А.Х., Загреков В.И., Соловьев И.К., Колесов М.В. и др. Купирование острого болевого синдрома после операций у травматолого - ортопедических больных// Шестой Всероссийский съезд анестезиологов и реаниматологов, тезисы докладов и сообщений - Москва, 1998 - с.64
Dahl J.B., Kehlet H. Et all. Prevention of postoperative pain by balansed anesthesia // Br.J.Anetsth.,1990;64 p.518-520
Сафронов А.Г., Кузьмин А.В., Пчелинцев М.В. и др. Клинико-экспериментальное изучение наркогенных свойств агонист - антагонистов опиатных рецепторов и опыт их применения в наркологической практике - М., 1994 - № 4 - с. 13-16
Фрей Е. К вопросу о практическом применении опиоидных антагонистов // Актуальные проблемы анестезиологии и реаниматологии ( Освежающий курс лекций, перевод с английского языка ) - Архангельск - 1993 - с. 62-67
Осипова Н.А. Оценка эффекта наркотических, анальгетических и психотропных средств в клинической анестезиологии // Л., 1988 256 с.
Davis P., Cook D. Clinical pharmacokinetics of the newer intravenous anaesthetic agents // Clinical Pharmacokinetics - 1986 - р. 18-35
Mehlich D. Narcotic agonist - antagonist: a brief historical reviaw with clinical application // Clinical Res. Pract. and Drug Regul. Affairs-1986- vol. 4 - р. 367-379
Freye E. Opioidagonists, antagonists and mixed narcotic analgesics: Theoretical background and considerations for practical use // Berlin: Springer Verlag - 1987 - р. 108
Зайцев А.А., Игнатов Ю.Д. Нейропсихофармакология болеутоляющих средств - Л., 1986 - с. 20- 43
Бунятян А.А. Актуальные вопросы тотальной внутривенной анестезии // Вестник интенсивной терапии ; Актуальные вопросы общей анестезии и седации - М., 1998 - с. 1-5
Прошина И.В. с соавт. Анестезиологическое обеспечение оперативных лапароскопий в гинекологии // Вестник ассоциации акушеров - гинекологов - 1995- № 3 - с. 76-80
Трифонова Н.А. с соавт. Особенности анестезиологического обеспечения лапароскопических вмешательств // Вестник интенсивной терапии - 1996 - № 1 - с. 11-16
Hare B.D. The opioid analgesics: rational selectional of agents for acute and chronic pain // Hosp. Formul., 1987 - vol.22 - р. 64-86
Игнатов Ю.Д. Сегментарные механизмы болеутоляющего действия опиатов и опиоидных пептидов // Нейропсихофармакология болеутоляющих средств - Л., 1986 - с. 9-29
Duggan A.W. Pharmacology of descending control systems // Phil. Trans. R. Soc. London , 1985 - vol. 308 - р. 375-391
Martin W.R. Pharmacology of opioids // Pharmacol. Rew. - 1984 - vol.35 - р. 283-322
Yaksh T.L., Noneihed R. The physiology and pharmacology of spinal opiates //Ann. Rev. Pharmacol. Toxicol. - 1985 - vol.25 - р.433-467
Игнатов Ю.Д. Эндогенные болеутоляющие системы мозга и их изменения под влиянием опиатов и опиоидов // Актуальные проблемы лекарственного обезболивания - Л.- 1988 - с.7-29
Игнатов Ю.Д., Зайцев А.А., Михайлович В.А., Старшнов В.И. Адренергическая аналгезия // СП.б - 1994 - с. 32-46
Лемина Е.Ю. Экспериментальная и клиническая фармакология - М.,1995 Т.58 - № 4 - с. 58-60
Berge O.G. Regulation of pain seusitivity - Cefalgia - 1986 - Supll. 4 - р. 21-31
Hammond D.L. Pharmacology of central pain-modulating network (diogenic amines and nonopioid analgetics) // Adv. Pain. Res. Ther. - 1985- vol. 9 - р. 499-511
Зайцев А.А. Фармакологигический анализ опиоид - и адренергических механизмов регуляции гемодинамических ноцицептивных реакций // Нейрофармакологическая регуляция болевой чувствительности - Л., 1984 - с. 53-74
Келет Х. Анальгезия и ответная реакция на хирургический стресс // Актуальные проблемы анестезиологии и реаниматологии ( Освежающий курс лекций, перевод с английского языка ) - Архангельск - 1993 - с. 43-46
Лемнанн К. Послеоперационное обезболивание // Актуальные проблемы анестезиологии и реаниматологии ( Освежающий курс лекций, перевод с английского языка ) - Архангельск - 1993 - с. 69-71
Зайцев А.А., Игнатов Ю.Д. Нейрохимический анализ роли адренергических процессов в регуляции боли // Нейропсихофармакология болеутоляющих средств - Л., 1986 - с. 30-43
Fields H.L., Heinricher M.M. Anatomy and physiology of a nociceptive modulatory system // Phil.-Trans. R. Soc. London - 1985 - vol. 308 - р. 361-375
Shipley M. Боли в области кисти и запястья // Русский медицинский журнал - 1995 - Т. 2 - № 4 - р. 221-226
Wetchler B.V., General anesthesia for the ambulatory surgery patiens // Clin.in Anesth. Proc. of a Symp. - 1986 - Vol 132 - р. 37-47
Ветшева М.С. Адренергическое средство клофелин, как компонент общего и послеоперационного обезболивания // Автореферат диссертации кандидата медицинских наук - М., 1990
Осипова Н.А., Ветшева М.С., Долгополова Т.В. Специальные компоненты общей анестезии и послеоперационной интенсивной терапии в онкологии // Пособие для врачей - М., 1997 - 218 с.
Davison J.K., Gaudon M., Malledant Y. et al. Clinical Anesthesia Procedures of the Massachusetts General Hospital. 4-th Edition - 1993 - 711 p.
Koch E., Treed R.D., Schulte am Esch J., Broom B. Modulation of Pain - Related Somatosensory Evoked Potential by General Anesthesia // Anesth. Analg. - 1990 - v. 71 - p. 225-230
Осипова Н.М., Петрова В.В., Ветшева М.С. Синтетические опиоиды в онкохирургии ( трамадол, налбуфин, бупренорфин, буторфанол ) // Пособие для врачей - М., 1997 - 168 с.
Артамошина М.П., Никода В.В., Судьин В.И. Обезболивание налбуфином, бупренорфином и морфином пациентов с травмой опорно-двигательного аппарата в условиях скорой помощи // Шестой Всероссийский съезд анестезиологов и реаниматологов, тезисы докладов и сообщений, Москва - 1998 - с.57
Гольятина И.А., Палехова А.В. Оценка эффективности буторфанола в лечении хронического болевого синдрома // Шестой Всероссийский съезд анестезиологов и реаниматологов, тезисы докладов и сообщений, Москва - 1998 - с. 92
Богданов Е.Г. Влияние морфина на нейрофизиологические механизмы регуляции гемодинамических ноцицептивных реакций // Нейропсихофармакология болеутоляющих средств - Л., 1986 - 208 с.
Osborne R., Joels S. Morphine and metabolite behavior after different routes of morphine administraition : demonstraition of the active metabolite morphine - 6 - glucuronide // Clin. Pharm. - 1990 - № 47 - 12-19
Свиридов С.В. Специальные неопиатные компоненты общего обезболивания при обширных абдоминальных операциях в онкологии // Автореферат диссертации кандидата медицинских наук - М., 1992 - 22 с.
Зильбер А.П. Клиническая физиология для анестезиолога - М., 1984 - 480 с.
Зильбер А.П. Респираторная медицина // Этюды критической медицины том 2 - Петрозаводск , 1996 - 479 с.
Semenkovich C.F. Clinical effect of morphine sulfate // Am. J. Med. - 1985 - vol. 79 - р. 325-330
Schurig J.E., Cananagh R.L. The effects of butorphanol and morphine on pulmonary mechanics, arterial blood pressure and venous plasma histamine levels in anesthesiology dogs // Arch. Int. Pharmacodyn. Ther. - 1978 - р.296-304
Осипова Н.М. Современные принципы клинического применения анальгетиков центрального действия // Анестезиология и реаниматология - 1994 - № 4 - с. 16-21
Лебедева Р.Н., Никода В.В. Современные аналгетические средства и новые методы их применения // Шестой Всероссийский съезд анестезиологов и реаниматологов, тезисы докладов и сообщений, Москва - 1998 - с.151
Лихванцев В.В. Практическое руководство по анестезиологии // М., 1998 - 283 с.
Greeley W.J., de Bruin N.P. Changes in sufentanyl pharmacokinetcs within the neonatal period // Anest. Analg. -1988- № 67 - p. 86-90
Осипова Н.А., Абрамов Ю.Б., Ефимова Н.В., Рыбакова Л.В., Сергеенко С.И. Объективная оценка анальгетического эффекта фентанила и некоторые факторы, влияющие на эффективность анальгетиков // Анестезиология и реаниматология - № 2 - с.44-48
Фрей Е. К вопросу о практическом применении опиоидных антагонистов // Актуальные проблемы анестезиологии и реаниматологии ( Освежающий курс лекций, перевод с английского языка ) - Архангельск - 1993 - с. 62-67
Чиченков О.Н. Анальгетические свойства различных лигандов опиоидных рецепторов // Анестезиология и реаниматология - 1994- № 4 - с. 5-9
Ackerman W. E., Juneja M.M.,Colclough C.W., Guiler J.M. A comparison of epidural fentanyl, buprenorphin and butorphanol for the mentgement of post cesarean section pain // Anesth. Rev. - Vol / Iss Pg. - 1989 - № 16/3 - р. 37-40
Wite P.F., Coc V., Shafer A. Comparison of alfentanyl with fentanyl for outpatient anеsthesia //Anesth. - 1986 - Vol 64 - р. 99-105
Freye E. Klinisch indikationsbereiche der opioid Agonisten, Agonisten-Antagonisten und der reinch Antagonisten // Schmer. - 1986- Vol 1.2 - р. 44-54
Матросов В.И., Карташов О.Н. Модифицированная методика анестезии с использованием препаратов для НЛА // Шестой Всероссийский съезд анестезиологов и реаниматологов, Москва - 1998 - с.169
Гринберг Б.И., Левит А.Л. Коиндукция в наркоз медозаламом и фентанилом // Шестой Всероссийский съезд анестезиологов и реаниматологов, тезисы докладов и сообщений, Москва - 1998 - с.95
Davis P.J., Cook D.R. Clinical pharmacocinetics of the newer intravenous anesthetic agents // Clin. Pharmacokinet. - 1986 - vol.11 - р. 18-35
Coldstein G. Pentazocine // Drug and Alcohol Depend. - 1985 - vol. 14 - р. 313-323
Fredman M. A comparison of byprenorphine and pentazocine for the relief of postoperative pain // Atr. Med. J. - 1986 - vol - р. 27-29
Никода В.В., Лебедева Р.Н., Артамошин М.П., Стороженко И.Н. Сравнительная оценка применения налбуфина и бупренорфина в условиях оказания догоспитальной помощи // Анестезиология и реаниматология - 1998 - № 5 - с. 23-27
Freye E., Ciaramelli F., Fournel M. Nalbuphine versus pentazocin in postoperative pain after orthopedic surgery. A double- blind study // Schmers. - 1986 - Vol 3 - р. 101 - 105
Joyse T.H., Kubiek M.F., Skjonsby B.S., Jones M.M. Efficacy of transnasal butorfanol tartraet in postepicistostomy pain; a model to assess analgesia // Clin.Ther. - 1993 - Vol 15(1) - р.160-167
Phillip B.K., Scot D.A., Freiberger D., Gibbs A., Hunt C., Murray E. Butorphanol compared with R.R. fentanyl in general anesthesia for ambulatory laparoscopy // Canad. J. Anesth. - 1991 - Vol 33(2) - р. 183-189
Schwesinger W. H., Reynolds J.C., Harshaw L., Frakes A. Transnasal butorphfanol and D.H. intramuscular meperidin in the treatment of postoperative pain // Adv. Ther. - 1992 - Vol / Iss / Pg. 9/3 - р. 123-129
Авруцкий М.Я., Смольников П.В., Ширяев В.С. Стадол - альтернатива наркотических анальгетиков - М.: Ультра-Мед, 1994 - 186 с.
Аринова А.А., Богданов Е.Г., Зайцев А.А. и др. Болеутоляющее действие серотонинергических средств - М., 1994 - № 4 - с. 9-13
Игнатов Ю.Д., Страшнов В.И., Зайцев А.А. Новые возможности применения центральных адренопозитивных препаратов в анестезиологии // Анестезиология и реаниматология - М.,1994 - № 4 - с. 33-36
Кукшкин М.Л., Решетняк В.К., Воробейчик Я.М. Нейрогенные болевые синдромы и их патогенетическая терапия // Анестезиология и реаниматология - 1994 - № 4 - с.36-41
Маркевич А. Клиническая хронофармакология . Значение биоритмов в терапии // Новости фармации и медицины - 1994 - № 6 - с. 130-137
Машковский М.Д. Лекарственные средства - М., 1993
Осипова Н.А., Петрова В.В., Новиков Г.А. и др. Норфин в онкологической клинике - М., 1992 - с. 3-7
Осипова Н.А. Современные принципы клинического применения анальгетиков центрального действия // Анестезиология и реаниматология - 1994- № 4 - с. 16-21
Осипова Н.А., Чиссов В.И. Предложение по модификации традиционной трехступенчатой схемы фармакотерапии хронической боли у инкурабельных онкологических больных // Анестезиология и реаниматология - 1994 - № 4 - с. 30-33
Осипова Н.А., Новиков Г.Н., Ветшева М.С., Прохоров Б.М. и др. Первый опыт применения нового отечественного наркотического анальгетика просидола в онкологии // Анестезиология и реаниматология - 1994- № 4 - с. 53-57
Хлиенко Ж.Н., Моисеева Л.М., Куриленко В.М., Пралиев К.Д., Ю В.К., Попова В.Ф., Иванова Р.А. Фармакологические свойства просидола - нового эффективного анальгетика // Синтез, фармакология и клинические аспекты новых обезболивающих средств - Тезисы докладов Всесоюзной конференции - Новгород - 1991 - с. 103
Пралиев К.Д., Ю В.К., Фомичева Е.Е. и др. Производные пиперидина: взаимосвязь структуры с обезболивающей активностью // Синтез, фармакология и клинические аспекты новых обезболивающих средств - Тезисы докладов Всесоюзной конференции - Новгород - 1991 - с. 106
Осипова Н.М., Новиков Г.А., Петрова В.В., Береснев В.А. Опиатные и опиоидные анальгетики в лечении острого и хронического болевого синдрома // Синтез, фармакология и клинические аспекты новых обезболивающих средств - Тезисы докладов Всесоюзной конференции - Новгород - 1991 - с.140
Кулик В.Ф., Белогорохов С.А., Слепушкин В.Д., Макаренко А.М. Клиническое изучение эффективности нового центрального анальгетика просидола // Синтез, фармакология и клинические аспекты новых обезболивающих средств - Тезисы докладов Всесоюзной конференции - Новгород - 1991 - с. 141
Храпов А.В., Кургузкин А.В., Минакев В.А. Первый опыт применения просидола в анестезиологической практике // Синтез, фармакология и клинические аспекты новых обезболивающих средств - Тезисы докладов Всесоюзной конференции - Новгород - 1991 - с. 148
Мальцева Л.Ф., Романова Т.В., Муратова Г.П., Фильцанова Г.А. и др. Доклиническая оценка просидола // Синтез, фармакология и клинические аспекты новых обезболивающих средств - Тезисы докладов Всесоюзной конференции - Новгород - 1991 - с. 166
Хлиенко Ж.Н., Лукьянова М.С., Моисеева Л.М., Пагнуева С.В. Корреляция между показателями фармакодинамики и фармакокинетики лекарственных форм просидола // Синтез, фармакология и клинические аспекты новых обезболивающих средств - Тезисы докладов Всесоюзной конференции - Новгород - 1991 - с.167
Башмаков А.И., Чимбаев Т.Е., Маркова Е.Т. Оценка адекватности центральной анальгезии просидолом // Синтез, фармакология и клинические аспекты новых обезболивающих средств - Тезисы докладов Всесоюзной конференции - Новгород - 1991 - с. 169
Искаков К.М., Тукешева Б.Ш., Каминский А.Л., Юлдашев А.А. и др. Клиническая оценка обезболивающего действия просидола при остром инфаркте миокарда // Синтез, фармакология и клинические аспекты новых обезболивающих средств - Тезисы докладов Всесоюзной конференции - Новгород - 1991 - с.171
Корпань А.И., Иленко В.М., Хлиенко Ж.Н. Влияние просидола на некоторые функции центральной нервной системы // Синтез, фармакология и клинические аспекты новых обезболивающих средств - Тезисы докладов Всесоюзной конференции - Новгород - 1991 - с. 172
Муллов А.Б., Слепушкин В.Д., Михайлова Н.И., Баев В.В. и др. Опыт применения буккальной формы просидола на догоспитальном этапе в подземных условиях шахты у пострадавших с травмой и шоком // Шестой Всероссийский съезд анестезиологов и реаниматологов, тезисы докладов и сообщений - Москва, 1998 - с.179
Никода В.В. Применение отечественного анальгетика просидола в послеоперационном периоде // Анестезиология и реаниматология - 1997- М. - № 5, с. 102-103
Лукьянова М.С., Попова В.Ф., Моисеева Л.М., Хлиенко Ж.Н., Иванова Р.А. О некоторых сторонах побочного действия просидола // Синтез, фармакология и клинические аспекты новых обезболивающих средств - Тезисы докладов Всесоюзной конференции - Новгород - 1991 - с. 104
Осипова Н.А., Абрамова Ю.Б., Рыбакоава Л.В., Ефимова Н.В., Багдатьев М.Г. Сенсометрия в оценке эффективности премедикации // Анестезиология и реаниматология - 1984 - № 1 - с.54-59
Биохимические методы исследования в клинике // под редакцией Покровского А.А. - М., 1969 - 651с.
Баевский Р.М., Кириллов О.И., Клецкин С.З. Математический анализ изменений сердечного ритма при стрессе - М., 1984 - 221 с.
Архипова Г.П., Лаврова И.Г., Трошина И.М. Некоторые современные методы статистического анализа в медицине - М., 1971 - 115 с.
Рябов ....................................................................................................
Борьба с болью была одной из насущных задач медицины с момента ее зарождения и остается таковой до наших дней. Помимо тех страданий, которые причиняет боль людям, ее значение велико в развитии и прогрессировании ряда психосоматических, да и просто соматических заболеваний. В современном обществе боль создает ряд трудно разрешимых социальных и экономических проблем. До сих пор нет «идеального» средства, устраняющего боль. Наиболее активные и специфически действующие обезболивающие средства -наркотические анальгетики-часто вызывают тяжелые побочные эффекты. Практически невозможно определить потери, которые приносит распространение наркоманий, обусловливаемых применением опиатов и опиоидов. Все это обусловливает необходимость расширения исследований, направленных на совершенствование наших представлений о механизмах формирования боли и поиск новых средств и методов болеутоления.
Боль представляет собой крайне сложный феномен, образуемый переплетением анатомического, психического, физиологического, биохимического и социального компонентов, каждый из которых включает в себя целый ряд составных элементов. Рассмотрение боли должно осуществляться с позиций функциональных систем и анализа процессов саморегуляции как главного принципа их деятельности, позволяющего выявить функциональные связи, определяющие экспериментальные и клинические проявления патологии. Однако до последнего времени системный подход к организации ноцицепции использовался, как правило, в качестве постулата, а не идеологии исследований. Типичным примером подобного подхода являются рассмотрение гемодинамических ноцицептивных реакций только в качестве корреляторов эмоционально-аффективных проявлений боли и формирование на этой основе аксиоматического представления об идентичности механизмов регуляции разно-модальных компонентов болевых реакций.
Детальный анализ нейрофизиологических и нейрохимических механизмов боли и анальгезии позволил выдвинуть концепцию о разобщенности эмоциональных и вегетативных, в частности гемодинамических, проявлений боли и выявил детерминированность этой разобщенности уже на уровне опиатных рецепторов различных структур центральной нервной системы, прежде всего спинного мозга. Следовательно, проблема опиоидергической регуляции гемодинамических ноцицептивных реакций не может быть полностью решена изысканием новых морфиноподобных анальгетиков, поскольку резистентность реакций кровообращения к этим препаратам обусловлена их недостаточной селективностью к m-опиатным рецепторам.
В последние годы привлекли к себе внимание наркотические анальгетики, обладающие смешанным агонист-антагонистическим свойством. Для этих препаратов характерно расширение диапазона между дозами, вызывающими обезболивание, и дозами, формирующими побочные эффекты, прежде всего угнетение дыхания. Однако они вызывают анальгезию за счет влияния на m-опиатные рецепторы, одновременно воздействуя на d-рецепторы как антагонисты, чем и объясняется отсутствие у них вегетокорригирующего эффекта при боли. С этих позиций клинически наиболее перспективными представляются соединения с направленным на m-рецепторы агонистическим действием.
Помимо изыскания новых соединений, предпринимаются попытки совершенствования опиатной анальгезии с помощью более рационального использования существующих препаратов. Существующая зависимость эффекта обезболивающих средств от конкретных показателей исходного состояния организма может быть использована для прогнозирования влияния опиатов на проявления болевого синдрома у конкретного пациента и тем самым явиться основой для индивидуализированной болеутоляющей терапии. Новым этапом в развитии опиатной анальгезии следует признать так называемую регионарную анальгезию, осуществляемую путем непосредственной доставки препаратов к структурам спинного мозга. При этом создается возможность достижения уникальной концентрации препаратов в области введения при уменьшении их общей дозы, а значит -и снижения возможностей развития побочных реакций. Изучаются и другие возможности совершенствования опиатной анальгезии, например введение препаратов в депо-форме, использование автоматизированных систем для внутривенных или эпидуральных инфузий, регулируемых компьютером и срабатывающих «по требованию» больного.
Литература
1. Алиев М.А., Храпов А.В., Кургузкин А.В., Верболович В.П. Адекватность общей анестезии // Алма-Ата, 1992- 168с.
2. Башмаков А.И., Чимбаев Т.Е., Маркова Т.Е. Оценка адекватности центральной анальгезии просидолом // Синтез, фармакология и клинические аспекты новых обезболивающих средств - Тезисы докладов Всесоюзной конференции - Новгород - 1991, с.169
3. Искаков К.М., Тукешева Б.Ш., Каминский А.Л. и др. Клиническая оценка обезболивающего действия просидола при остром инфаркте миокарда // Синтез, фармакология и клинические аспекты новых обезболивающих средств - Тезисы докладов Всесоюзной конференции - Новгород - 1991, с.171
4. Кулик В.Ф., Белогорохов С.П. и др. Клиническое изучение эффективности нового центрального анальгетика просидола // Синтез, фармакология и клинические аспекты новых обезболивающих средств - Тезисы докладов Всесоюзной конференции - Новгород - 1991, с.141
5. Лукьянова М.С., Попова В.Ф., Моисеева Л.М. и др. О некоторых сторонах побочного действия просидола // Синтез, фармакология и клинические аспекты новых обезболивающих средств - Тезисы докладов Всесоюзной конференции - Новгород - 1991, с.104
6. Мальцева Л.Ф., Романова Т.В., Муратова Г.П. и др. Доклиническая оценка просидола // Синтез, фармакология и клинические аспекты новых обезболивающих средств - Тезисы докладов Всесоюзной конференции - Новгород - 1991, с.166
7. Осипова Н.М., Новиков Г.А., Петрова В.В. и др. Опиатные и опиоидные анальгетики в лечении острого и хронического болевого синдрома // Синтез, фармакология и клинические аспекты новых обезболивающих средств - Тезисы докладов Всесоюзной конференции - Новгород - 1991, с.140
8. Осипова Н.М., Новиков Г.А., Ветшева М.С. Первый опыт применения нового отечественного наркотического анальгетика просидола в онкологии // Анестезиология и реаниматология - 1994 - №4, с. 53-57
9. Пралиев К.Д., Ю В.К., Фомичева Е.Е. и др. Производные пиперидина: взаимосвязь структуры с обезболивающей активностью // Синтез, фармакология и клинические аспекты новых обезболивающих средств - Тезисы докладов Всесоюзной конференции - Новгород - 1991, с.106
10. Хлиенко Ж.Н., Моисеева Л.М., Пралиев К.Д. и др. Фармакологические свойства просидола - нового наркотического анальгетика // Синтез, фармакология и клинические аспекты новых обезболивающих средств - Тезисы докладов Всесоюзной конференции - Новгород - 1991, с.103
11. Храпов А.В., Кургузкин А.В., Минакев В.А. Первый опыт применения просидола в анестезиологической практике // Синтез, фармакология и клинические аспекты новых обезболивающих средств - Тезисы докладов Всесоюзной конференции - Новгород - 1991, с.148