| Похожие рефераты | Скачать .docx | Скачать .pdf |
Курсовая работа: Лекарственные растения и лекарственное растительное сырье, содержащее сердечные гликозиды
Федеральное агентство по здравоохранению и социальному развитию РФ
ГОУ ВПО «САМАРСКИЙ ГОСУДАРСТВЕННЫЙ МЕДИЦИНСКИЙ УНИВЕРСИТЕТ РОСЗДРАВА»
Кафедра фармакогнозии с ботаникой и основами фитотерапии
Курсовая работа
Лекарственные растения и лекарственное растительное сырье, содержащее сердечные гликозиды
Исполнитель: Аксенова Екатерина Владимировна
студентка 3 курса группы 32
Руководитель: зав. кафедрой,
доктор фармацевтических наук Куркин В.А.
Самара 2008
План
Введение. 3
1. Гликозиды: понятие, классификация. 4
2. Классификация гликозидов. 6
3. Лекарственные растения, содержащие гликозиды.. 10
3.1 Семена строфанта - Semina Strophanthi 10
3.2 Цветки ландыша - Flores сonvallariae. 13
3.3 Трава адониса весеннего - Herba аdonidis vernalis. 20
3.4 Трава желтушника раскидистого свежая - Herba erysimi diffusi recens. 27
Заключение. 31
Литература. 32
Свое название гликозиды получили от греческих слов glykys — сладкий и eidos — вид, поскольку они при гидролизе распадаются на сахаристую и несахаристую компоненты. Чаще всего гликозиды встречаются в листьях и цветах растений, реже в других органах. В их состав входят углерод, водород, кислород, реже азот (амигдалин) и только некоторые содержат серу (синальбин, мирозин) [3].
Гликозиды в растительном мире распространены широко. Среди однодольных растений особенно богаты семейства ароидных, мятликовых. Наиболее часто гликозиды встречаются у двудольных в семействах лилейных, норичниковых, бобовых, лютиковых, кутровых, астровых, гречишных, розоцветных, крушиновых. Гликозиды могут находиться во всех органах растений. В одном и том же растении они накапливаются в различных органах, например, в ландыше майском они содержатся в листьях, цветках, траве. Иногда в одном органе могут накапливаться гликозиды, различные как по химическому строению, так и по физиологическому действию; например, в листьях наперстянки пурпурной встречаются гликозиды кардиотонического действия и сапонины стероидного ряда. В присутствии сапонинов активность гликозидов возрастает. Содержание гликозидов в растениях колеблется от 0,01 до 60-70%. В растениях гликозиды находятся в клеточном соке в растворенном состоянии, многие из них обладают флюоресценцией, что позволяет обнаружить локализацию флавоноидов и антрагликозидов с помощью люминесцентного микроскопа [1].
1. Гликозиды: понятие, классификация
Гликозиды - это природные углеводосодержащие вещества органического характера, преимущественно растительного происхождения. В состав молекулы гликозидов входит сахар и несахаристая часть - агликон, или генин. Греческая приставка "а" означает отрицание, агликон в переводе означает "несахар". Агликон и сахар соединены между собой связью, подобной сложноэфирной, поэтому молекула гликозида легко расщепляется в присутствии воды под влиянием энзимов (ферментов), содержащихся в этих растениях. Формулу гликозида можно представить следующим образом [11]:



Связь сахарного остатка (гликозила) с генином (R) осуществляется либо через кислород (O-гликозиды), либо азот (N-гликозиды), либо серу (тиогликозиды), либо углерод (С-гликозиды).




2. Классификация гликозидов
В 1890 г. Е. И. Шацкий предложил классификацию гликозидов. В настоящее время в зависимости от химического строения агликона все гликозиды делятся на 2 группы: гомогликозиды и гетерогликозиды.
Гомогликозиды (полисахариды) - сахаристая часть и агликон принадлежат к одному классу соединений, то есть полисахаридам (крахмал, целлюлоза или клетчатка, слизи, камеди, пектиновые вещества).
Полисахариды содержат только углеводные остатки, поэтому и называются гомогликозидами. Алтей лекарственный, подорожник большой, лен обыкновенный и др.
Гетерогликозиды - гликозиды, содержащие в молекуле различные агликоны. Они классифицируются на следующие группы:
1. Растения и сырье, содержащие монотерпеновые гликозиды. Вахта трехлистная, одуванчик лекарственный, золототысячник зонтичный;
2. Растения и сырье, содержащие карденолиды и буфадиенолиды (сердечные гликозиды). Наперстянка (пурпуровая, крупноцветковая, шерстистая и др.), строфант Комбе, адонис весенний, ландыш майский, желтушник раскидистый, морозник красноватый [4].
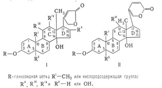
Сердечные гликозиды стимулируют сердечную деятельность. Содержатся в растениях различных родов, в частности наперстянки (Digitalis). Агликоны гликозиды сердечные (генины)- производные пергидропента[а]фенантрена. По строению заместителя у С17 гликозиды сердечные делят на карденолиды (общая ф-ла I) и буфадиенолиды (II). Большинство гликозиды сердечные принадлежат к первой группе.

Углеводный компонент (глюкон) присоединен эфирной связью, как правило, по атому С3 и содержит от одного до пяти моносахаридных звеньев. В зависимости от строения глюкона различают первичные, или генуинные, и вторичные гликозиды сердечные, образующиеся при ферментативном отщеплении моносахаридов от соответствующих первичных гликозиды сердечные К вторичным относятся, в частности, одни из Наиб. физиологически активных гликозиды сердечные-дигитоксин (т. пл. 233-236 °С) и дигоксин, образующиеся при отщеплении глюкозы соотв. от пурпуреогликозида А и от ланатозида С (в последнем случае отщепляется также ацетильная группа). Дигитоксин [в ф-ле I R - олигосахарид, содержащий 3 остатка D-дигитоксозы (см: ф-лу III), R = СН3, RII = RIII = RIV = RV = Н] и дигоксин (в ф-ле I R-остаток D-дигитоксозы, RI = CH3, RIV = OH; RII = RIII = Rv = Н) представляют собой карденолиды.

Гликозиды сердечные оказывают кардиотонич. действие, проявляющееся в замедлении частоты и усилении сердечных сокращений. Механизм этого действия полностью не выяснен. Показано, что гликозиды сердечные влияют на биоэнергетику и ф-цию кон-трактильных белков, на систему обмена электролитов в миокарде, усиливают проникновение в клетки ионов Са2+. Выделяются гликозиды сердечные, как правило, почками. Дигитоксин и дигоксин хорошо всасываются в пищеварит. тракте, образуют прочные связи с белками плазмы и оказывают длит. воздействие. Они применяются как лекарственные средства [5].
При отравлении гликозиды сердечные возникают нарушения деятельности сердца, органов пищеварения, нервной системы и др. Противоядия -унитол, КС1, аспаркам (смесь калиевой и магниевой солей аспарагиновой к-ты), этилендиаминтетраацетат и цитрат Na, антиаритмич. ср-ва.
3. Растения и сырье, содержащие тритерпеновые гликозиды (сапонины). Солодка (голая, уральская), синюха, женьшень, аралия маньчжурская, первоцвет весенний;
4. Растения и сырье, содержащие стероидные гликозиды (сапонины). Диоскорея (кавказская и ниппонская), эхинопанакс (заманиха) высокий;
5. Растения и сырье, содержащие фенольные соединения и их гликозиды (простые фенолы и их гликозиды). Мужской папоротник, толокнянка, брусника, родиола розовая, фиалка трехцветная и полевая;
6. Растения и сырье, содержащие антраценопроизводные. Кассия (остролистная и узколистная), алоэ, жостер слабительный, крушина ольховидная, ревень тангутский, щавель конский, зверобой продырявленный, марена красильная;
7. Растения и сырье, содержащие флавоноиды. Боярышник (различные виды), пустырник сердечный, софора японская, бессмертник песчаный, пижма обыкновенная, горец (перечный, почечуйный, птичий), стальник полевой, шлемник байкальский, хвощ полевой, сушеница топяная, череда трехраздельная;
8. Растения и сырье, содержащие кумарины и фуранохромоны: амми большая, амми зубная, пастернак посевной, укроп огородный, псоралея костянковая, горичник (русский, Морисона, горный);
9. Растения и сырье, содержащие танниды (дубильные вещества). Скумпия кожевенная, сумах дубильный, бадан толстолистный, дуб обыкновенный, змеевик, кровохлебка лекарственная, лапчатка прямостоячая, черемуха обыкновенная, черника, ольха (серая и клейкая);
10. Растения и сырье, содержащие тиогликозиды. Горчица (сарептская и черная);
11. Растения и сырье, содержащие нитрилгликозиды. Миндаль горький;
12. Растения и сырье, содержащие гликоалкалоиды. Это природные соединения, в которых сочетаются свойства алкалоидов и стероидных сапонинов, например соласадин. Содержится в траве паслена дольчатого. Используется в производстве гормональных препаратов;
13. Растения и сырье, содержащие различные гликозиды.
3. Лекарственные растения, содержащие гликозиды
3.1 Семена строфанта - Semina Strophanthi
Строфант Комбе - Strophanthus Kombe

Ботаническая характеристика. Древовидная лиана с супротивно расположенными овальной формы листьями и кремовыми мелкими собранными в небольшие зонтики цветками. Плод - сложная листовка, состоящая из двух супротивно расположенных веретенообразных долей, длиной до 1 м, содержащая многочисленные шелковистые семена.
Распространение. В диком виде в Восточной Африке по р. Замбези, обитает во влажных тропических лесах. В незначительных количествах введен в культуру в Африке и Индии. Допускается заготовка других видов строфанта. В нашей стране культивирование тропической лианы невозможно, поэтому ученые ищут аналоги в отечественной флоре. Найдены растения, у которых агликоном гликозидов является, как и у строфанта, строфантидин. Это ландыш майский, желтушник раскидистый, горицвет золотистый и др. Однако сахарный компонент гликозидов этих растений отличается от углеводной части гликозидов строфанта и поэтому действие этих гликозидов на сердечную мышцу несколько иное, чем гликозидов строфанта.
Местообитание. В тропических лесах по опушкам.
Заготовка. Собирают плоды в момент созревания, освобождают семена и удаляют ость с летучкой.
Охранные мероприятия. Не разрабатываются.
Сушка. В тени.
Внешние признаки. Семена по форме продолговато-вытянутые, сплюснутые, с закругленным нижним концом и заостренным верхним, переходящим в ость летучки, обычно обломанной у основания. Длина семян - 12-18 мм, ширина - 3-6 мм, толщина 2-3 мм. Они покрыты шелковистыми прижатыми волосками. Цвет семян зеленовато-серый; после стирания волосков семена становятся желтовато-бурыми или светло-коричневыми. Запах слабый. Ввиду сильной ядовитости вкус не определяется [10].
Химический состав. В семенах строфанта Комбе содержится гликозид К-строфантозид, являющийся триозидом (2-3%). Буквенная приставка К означает сырьевой источник (Комбе). При ступенчатом гидролизе получается вторичный гликозид К-строфантин-b, являющийся ценным лекарственным средством. При дальнейшем гидролизе образуется гликозид цимарин. В конечном итоге отщепляется сахар цимароза и остается агликон строфантидин, содержащий альдегидную группу в положении С10.
Хранение. Список А. В аптеках в хорошо укупоренных банках, на складах - в ящиках. Биологическую активность семян контролируют ежегодно.
Фармакологические свойства. Строфантин характеризуется высокой эффективностью, быстротой и малой продолжительностью действия. Эффект при внутривенном введении проявляется через 5-10 минут, достигает максимума через 15-30 минут. Особенно выражено у строфантина систолическое действие; он относительно мало влияет на частоту сердечных сокращений и проводимость по пучку Гиса.
Лекарственные средства. Из семян получают препараты: Cтрофантин K (0,025 % раствор для инъекций в ампулах по 1 мл) и К-строфантин-b. Препараты выпускают в ампулах.
Применение. Строфантин К (Strophanthinus К) - смесь сердечных гликозидов, выделяемых из семян строфанта Комбе, и содержит в основном К-строфантин-b и К-строфантозид. К-строфантин-b состоит из агликона строфантидина и сахарного остатка (глюкоза и цимароза); К-строфантозид имеет дополнительно одну часть a-D-глюкозы. Строфантин К в 1 г содержит 43000-58000 ЛЕД или 5800-7100 КЕД. Является основным представителем "полярных" сердечных гликозидов.
Применяют при острой сердечно-сосудистой недостаточности, в том числе на почве острого инфаркта миокарда; при тяжелых формах хронической недостаточности кровообращения II и III степени, особенно при неэффективности лечения препаратами наперстянки. Строфантин благодаря слабому влиянию на функцию блуждающего нерва можно назначать при сердечной декомпенсации с нормальной частотой сердечного ритма или брадисистолическай формой мерцания предсердий. При тахикардической форме мерцательной аритмии более эффективны дигоксин и изоланид.
Вводят строфантин в вену в виде 0,025% раствора обычно 0,25 мг (1 мл), реже 0,5 мг. Раствор строфантина разводят предварительно в 10-20 мл 5%, 20% или 40% раствора глюкозы или изотонического раствора натрия хлорида. Вводят медленно (в течение 5-6 мин), так как быстрое введение может вызвать шок. Вводят один раз (редко 2 раза) в сутки. Можно вводить раствор строфантина капельно в 100 мл изотонического раствора натрия хлорида или 5% раствора глюкозы. При капельном введении реже отмечаются токсические явления.
При невозможности внутривенного введения иногда строфантин назначают внутримышечно. Для уменьшения болезненности (внутримышечные инъекции резко болезненны) предварительно вводят 5 мл 2% раствора новокаина, а затем через ту же иглу - нужную дозу строфантина, разведенного в 1 мл 2% раствора новокаина. При внутримышечном введении дозы увеличивают в 1,5 раза [8].
Высшие дозы строфантина К для взрослых в вену: разовая 0,0005 г (0,5 мг), суточная 0,001 г (1 мг) или соответственно 2 и 4 мл 0,025% раствора. Ввиду большой активности и быстрого действия строфантина требуется осторожность и точность в дозировке и показаниях.
При передозировке строфантина могут появиться экстрасистолия, бигеминия, диссоциация ритма; в этих случаях необходимо уменьшить при очередных введениях дозу и увеличить промежутки между отдельными вливаниями, назначить препараты калия. При резком замедлении пульса инъекции прекращают. Возможны тошнота и рвота.
Противопоказания: резкие органические изменения сердца и сосудов, острый миокардит, эндокардит, выраженный кардиосклероз. Осторожность требуется при тиреотоксикозе и предсердной экстрасистолии из-за возможности ее перехода в мерцание предсердий.
3.2 Цветки ландыша - Flores Convallariae
Ландыш майский - Convallaria majalis L. и его разновидности: ландыш кавказский - Convallaria L. transcaucasica Utk., ландыш дальневосточный (Кейске) - С. Keiskei
Сем. ландышевые - Convallariaceae

Ботаническая характеристика. Многолетнее травянистое растение высотой 15-20 см. От корневища отходят 2, реже 1-3 листа длиной около 20 см и тонкая цветочная стрелка, почти равная по длине листьям, окруженная у основания пленчатыми листочками. Сверху цветочной стрелки однобокой повислой кистью собраны приятно пахнущие белые цветки (5-20 штук), похожие на маленькие шарообразные колокольчики. Плод - красная ягода. Все растение ядовито. Цветет в апреле - июне, плодоносит в августе-сентябре [13].
Распространение. Лесная зона европейской части страны. Основные районы заготовок ландыша: Воронежская, Липецкая и другие области России, Беларусь, Украина, Северный Кавказ, Поволжье.
Местообитание. Особенно много в осинниках, дубняках, березняках. Растет преимущественно в тенистых влажных местах, реже встречается в еловых лесах. В сосняках образует заросли, удобные для заготовки, но надземная масса там значительно меньше, чем во влажных местах.
Заготовка. К заготовке допущено три вида сырья. Качество его зависит от правильного сбора и сушки. Листья собирают в фазе бутонизации, когда распустилось 2-3 цветка, траву и цветки с цветоносами - в момент цветения. Все сырье собирают в сухую, солнечную погоду, обсохшее от росы, не ранее 11-12 ч дня. Цветки с цветоносами срезают не длиннее 3 см, листья - на уровне 4-5 см от земли, стараясь не повредить корневища. Для сбора травы срезают всю надземную часть растения на расстоянии 3-4 см от земли. Растения срезают серпом или ножницами [11].
Охранные мероприятия. Не разрешается срывать растения руками, так как при этом повреждаются листовые почки, которые закладываются на будущий год. Сырье складывают в тару рыхло. При заготовке оставляют часть растений для возобновления. Кроме того, необходимо соблюдать очередность районов заготовки.
Сушка. Производится немедленно после сбора, лучше в сушилках при температуре 50-60°С или в тени под навесом, на сквозняке или чердаках с железной крышей. Сырье раскладывают тонким слоем, часто ворошат. При замедленной сушке сырье желтеет и качество его снижается.
Внешние признаки. По ГФ XI листья эллиптической или ланцетовидной формы, длиной 10-12 (20) см, шириной 4-8 см, с заостренной верхушкой, суживающиеся у основания, переходящие в длинные влагалища. Окраска листьев зеленая, черешков - желтоватая, цветоносов - светло-зеленая. Край листа цельный, жилкование дугонервное, листья голые. Цветоносы треугольной формы, заканчиваются рыхлым соцветием, состоящим из 5-20 желтовато-белых цветков. Околоцветник шаровидно-колокольчатый с 6 короткими отогнутыми зубцами; тычинок 6, завязь верхняя, цветки сидячие на коротких цветоножках. Запах слабый. Вкус не определяется. Качество сырья регламентируется числовыми показателями и биологической активностью. Потеря в массе после высушивания должна быть: в траве - не более 14%; в цветках - не более 12%; соцветий с побуревшими цветками должно быть не более 5%, цветоносов, имеющих длину более 3 см, - не более 4%, цельных и изломанных цветоносов без цветков - не более 1%. Органических примесей - не более 0,5%, минеральных - не более 0,3%. В качестве органических примесей могут быть грушанка и купена. У купены лекарственной (Polygonatum officinale All.) листьев много и они расположены в два ряда. У грушанки круглолистной (Pyrola rotundifolia L.) листья округлые, а цветки пятичленные с ярко-красными пыльниками. 1 г травы должен содержать не менее 120 ЛЕД или 20 КЕД, 1 г цветков - не менее 200 ЛЕД или 33 КЕД, 1 г листьев - не менее 90 ЛЕД или 15 КЕД. Качество сырья определяется по внешним и микроскопическим признакам. Клетки эпидермы вытянуты по оси листа (анатомический признак однодольных), с прямыми стенками; рафиды расположены пучками; призматические кристаллы одиночные, парные, иногда по три. Имеется "лежачая" палисадная ткань.
Химический состав. В траве выявлено около 20 сердечных гликозидов, в которых агликон К-строфантидин связан с различными сахарными остатками. Имеются карденолиды: конваллятоксин, конваллятоксол, конваллозид, локундьезид. Основными из них являются конваллятоксин и конваллозид. При расщеплении конваллятоксин образует агликон строфантидин и l-рамнозу, конваллозид - агликон конваллятоксин и глюкозу. В растении имеются и другие сердечные гликозиды. Кроме сердечных гликозидов, выделены сапонины, флавоновые гликозиды, кумарины, стероидные сапонины, следы эфирного масла, полисахариды.
Хранение. Список Б. Цветки хранят в ящиках, листья и траву - в мешках, кипах. Срок годности листьев и травы 2 года, цветков - 1 год. Биологическую активность сырья контролируют ежегодно [3].
Фармакологические свойства. Из гликозидов ландыша наиболее изучен конваллятоксин. В 1 г кристаллического препарата содержится 9260 КЕД, или 66600-83300 ЛЕД, то есть по биологической активности в эксперименте конваллятоксин превосходит другие сердечные гликозиды.
При внутривенном введении конваллятоксин оказывает быстрое и сильное действие на сердечную деятельность. При введении под кожу он действует медленнее и менее активно. Эффективность препарата заметно уменьшается при приеме внутрь: гликозиды ландыша медленно всасываются и быстро разрушаются в желудочно-кишечном тракте. По характеру действия конваллятоксин близок к строфантину. После введения в вену эффект развивается через 5 мин, достигает максимума через 1-2 ч и, постепенно ослабевая, продолжается 20-22 ч.
Гликозиды благоприятно влияют на образование и использование энергии в миокарде, изменяют внутриклеточную концентрацию ионов, непосредственно влияют на сократительные белки. Экспериментально показано, что препараты ландыша вызывают регулирующее влияние на энергетический и липидный обмен в миокарде, нарушенный принедостаточности кровообращения, коронарной недостаточности. Предполагается также периферический эффект сердечных гликозидов, их участие в обменных процессах на периферии, в поглощении кислорода тканями и нормализации тканевого дыхания.
Ландыш обладает слабо выраженными кумулятивными свойствами и наименьшей по сравнению с другими растениями, содержащими сердечные гликозиды, токсичностью. Гликозиды ландыша оказывают мочегонное действие не только вследствие улучшения условий гемодинамики, но и благодаря воздействию на систему мочевыделения. Конваллятоксин оказывает также успокаивающее действие.
Новогаленовый препарат ландыша коргликон повышает концентрацию ионизированного кальция в сыворотке крови, не изменяя его общей концентрации, за счет усиленного отщепления ионов кальция от сывороточных белков или неорганических анионов. Предполагают, что это один из механизмов ионотропного действия сердечных гликозидов. Коргликон обладает выраженной фармакодинамической эффективностью. По сравнению с конваллятоксином менее токсичен.
Лекарственные средства. Настойка ландыша вместе с настойкой пустырника, валерианы; "Коргликон" в ампулах; чистая настойка ландыша. Из ландыша дальневосточного получен препарат "Конвафлавин" - суммарный флавоноидный препарат в таблетках [5].
Применение. Препараты ландыша широко применяют при заболеваниях сердца. Галеновые формы - настойку и сухой экстракт ландыша - назначают в основном при неврозах сердца, чаще в сочетании с препаратами валерианы, пустырника, боярышника и др. Относительно слабое кардиотоническое действие галеновых форм ландыша объясняется разложением гликозидов ландыша в желудочно-кишечном тракте.
Настойка ландыша (Tinctura Convallariae). В 1 мл препарата содержится 10,4-13,3 ЛЕД, или 2-2,5 КЕД. Биологическую активность контролируют ежегодно. Прозрачная жидкость зеленовато-бурого цвета с горьким вкусом и своеобразным запахом. Назначают взрослым по 15-20 капель, детям от 1 до 12 капель 2-3 раза в день.
Настойка ландыша входит в состав ряда готовых лекарственных форм: капли ландышево-валериановые; ландышево-валериановые с бромидом натрия; ландышево-валериановые с адонизидом; ландышево-валериановые с бромидом и адонизидом; капли ландышево-пустырниковые.
Выпускаются также капли, содержащие настойку ландыша 20 мл, настойку красавки 10 мл, ментол 0,2 г и капли, в которые входят настойка ландыша 10 мл, настойка красавки 5 мл, настойка валерианы 10 мл, ментол 0,2 г (капли Зеленина). Применяют при неврозах сердца на фоне брадикардии по 20-25 капель 2-3 раза в день за 20-30 мин. до еды.
Коргликон (Corglyconum). Слегка желтоватый аморфный порошок, содержит сумму гликозидов из листьев ландыша, очищенную от балластных веществ. Выпускают в ампулах 0,06% раствор по 1 мл. Коргликон при внутривенном введении по характеру действия близок к строфантину, уступает ему по быстроте действия, инактивируется несколько медленнее, чем строфантин, обладает большей продолжительностью действия; выводится полностью из организма на 3-и сутки после введения. Латентный период действия несколько больше, чем у строфантина (от 3 до 10 мин). По сравнению со строфантином оказывает более выраженное влияние на блуждающий нерв.
Коргликон назначают при острой и хронической недостаточности кровообращения II и III стадии, при тахисистолической форме мерцания предсердий. Коргликон вводят внутривенно: взрослым по 0,5-1 мл, детям - соответственно возрасту от 0,2 до 0,75 мл. Высшие дозы для взрослых в вену: разовая 1 мл, суточная 2 мл. Инъекции производят очень медленно струйно или капельно в растворе глюкозы. В пожилом возрасте для коррекции числа сердечных сокращении у больных мерцательной аритмией рекомендуют вводить коргликон в небольших индивидуально подобранных дозах. Имеются попытки применения коргликона в свечах, что имеет ряд преимуществ: отпадает надобность в внутривенных введениях, часто болезненных и технически трудных при ежедневных манипуляциях; можно применять у детей; удается достигнуть более медленного нарастания концентрации гликозидов в крови, чем при внутривенном введении. Кроме того, гликозиды при всасывании через систему ректальных сосудов попадают в кровь и сосуды сердца, минуя печень и не подвергаясь первичному метаболизму в ней, что имеет место при всасывании гликозидов в желудке. По силе и характеру действия ректальное введение коргликона не уступает внутривенному. Ректальное применение коргликона показано больным с застойными явлениями в системе воротной вены, с нарушением функции пищеварения, у больных пожилого возраста и у детей [1].
При передозировке возможны экстрасистолия, бигеминия, диссоциация ритма, тошнота, рвота. При органических изменениях сердца и сосудов, при остром миокардите, эндокардите, при выраженном кардиосклерозе, остром инфаркте миокарда имеется повышенная чувствительность к сердечным гликозидам: нарушения ритма и проводимости могут возникать при применении относительно малых доз.
Конвафлавин (Convaflavinum) - суммарный флавоноидный препарат из листьев ландыша дальневосточного. В его составе кейозид, гиперозид и небольшие количества кверцетина. Сердечных гликозидов не содержит. Выпускают в таблетках (по 0,01 г), покрытых оболочкой. Применяют как желчегонное и спазмолитическое средство при острых и хронических заболеваниях печени.
3.3 Трава адониса весеннего - Herba adonidis vernalis
Адонис весенний - Adonis vernalis L.
Сем. лютиковые - Ranunculaceae

Ботаническая характеристика. Многолетнее дикорастущее травянистое растение с 3-4 стеблями длиной 5-20 см в начале цветения, а затем вырастающими до 40 см и более. Стебли у основания покрыты бурыми чешуевидными листьями: стеблевые листья сидячие, очередные, пальчато-рессеченные на 5 долей; доли листьев цельнокрайние, узколинейные, голые. Цветки одиночные, желтые, крупные. Плоды овальные с крючковидно загнутым книзу столбиком. Цветет в апреле-мае, плодоносит в июне-июле. Все растение ядовито. Максимально горицвет развивается к 40-50 годам.
Распространение. Степная и лесостепная зоны европейской части страны, Сибирь. Заготовка травы в основном ведется на Алтае, в Башкортостане, Западной Сибири, Кемеровской и Новосибирской областях, Ставропольском крае, Среднем Поволжье. Встречаются и другие виды горицвета. Горицвет волжский не заготовляется.
Местообитание. По опушкам лесов, открытым склонам, на лугах, в степях, особенно на известняках.
Заготовка. Заготавливают всю надземную часть растения от начала цветения до осыпания плодов; срезают траву серпом, оставляя стебель выше нижних листьев, стараясь не повредить корневую систему. Запрещается вырывать растение с корнем [7].
Отличительные признаки различных видов адониса
| Название растения | Жизненная форма и распространение | Диагностические признаки |
| Адонис туркестанский - Adonis turkestanicus Adolf | Многолетнее травяниcтое растение. Произрастает на горных лугах Средней Азии. | Листья перисто-рассеченные, сидячие, доли листьев ланцетовидные. Крупные желтые цветки при сушке блекнут и приобретают синеватый оттенок. |
| Адонис золотистый - Adonis chrysocyathus Hock. f. et Thorn. | Многолетнее травянистое растение. Растет на высокогорных лугах Тянь-Шаня. Сырьевая база ограничена. | Листья длинночерешковые, трижды-перистонадрезанные, доли листьев ромбические. Цветки крупные, золотистые, наружные лепестки с лиловым оттенком. Сырье может быть использовано для получения К-строфантина-b. |
| Адонис сибирский - Adonis sibiricus Pair. | Многолетнее высотой 60-70 см травянистое растение. Растет в Западной и Восточной Сибири, в Западном Приуралье. | Листья перисто-раздельные, доли листьев ланцетовидные, зубчатые. Цветки меньше, чем у горицвета весеннего, ярко-желтые. Биологическая активность невысокая. |
| Адонис амурский - Adonis amurensis Rgl. et Rodde | Многолетнее растение. Встречается рассеянно: Сахалин, юг Курил, Приморский край. Многолетник высотой до 20-30 см. Районы произрастания те же, что у адониса весеннего. | Биологическая активность выше, чем у адониса весеннего. |
| Адонис волжский - Adonis wolgensis Stev. | Многолетник высотой до 20-30 см. Районы произрастания те же, что у адониса весеннего. | Куст имеет шарообразную форму. Листья перисто-рассеченные, доли их более широкие, опушенные. Цветки мелкие, бледно-желтые. Плоды овальные, с прямым (а не отогнутым), прижатым к плоду носиком. Биологическая активность невысокая. |
Охранные мероприятия. Для возобновления зарослей часть растений оставляют нетронутыми. Культура адониса весеннего пока не удается. Растения из семян вырастают очень медленно; требуются годы, чтобы получились полновозрастные растения, пригодные для заготовки. В старых, традиционных районах заготовки должна соблюдаться периодичность 4-5 лет. Поэтому ученые продолжают поиски новых зарослей горицвета. Изучаются также другие виды горицвета - многолетние и однолетние. Однолетние невысокие растения с красными цветками, хотя и обладают кардиотоническими свойствами, но дают небольшую надземную массу. Многолетние травянистые растения имеют большую надземную массу и желтые цветки. Необходимо организовать заказники на адонис весенний.
Сушка. На воздухе, в тени, без доступа прямых солнечных лучей, в искусственных сушилках при температуре 40-50°С. Нельзя сушить траву, связанную в пучки, она чернеет.
Внешние признаки. По ГФ XI стебли длиной 10-35 см, толщиной до 4 мм, слегка ребристые, облиственные, с цветками или без них, иногда с бутонами или плодами. Листья очередные, сидячие, полустеблеобъемлющие, пальчато-рассеченные на 5 долей, из которых две нижние - перисто-рассеченные, три верхних - дважды перисто-рассеченные. Цветки одиночные, золотисто-желтые, правильные. Плод сборный, состоящий из отдельных, почти шаровидных орешков с крючкообразно загнутым книзу столбиком. Запах слабый, характерный. Вкус горький, пробовать ядовитое сырье не рекомендуется. В аптеки трава поступает резаная. Сырье состоит из мелких отрезков зеленых стеблей и долек листьев; попадают части цветков и плоды размером до 10 мм. Качество сырья регламентируется числовыми показателями; потеря в массе после высушивания - не более 13%; побуревших частей не более 3%, измельченных частей - не более 2%; осыпавшихся долек листьев - не более 5%; растений со стеблями, имеющими бурые чешуйчатые листья, - не более 2%, органических примесей - не более 2%, минеральных примесей - не более 0,5%. Подлинность сырья определяется по морфологическим признакам и микроскопии. Диагностическими признаками являются пузыревидные и шланговидные волоски, крупные, вытянутые по длине дольки листа, извилистые, иногда имеются четковидные утолщения. Устьица овальной формы, крупные, расположены по длине листа, окружены 4-5 клетками эпидермы [11].
Химический состав. В траве содержится 0,13-0,83% сердечных гликозидов, наиболее богаты ими зеленые плоды и листья. Всего в растении обнаружено 25 индивидуальных сердечных гликозидов. В надземных органах растения содержится К-строфантин-b и цимарин, в корнях - К-строфантин-b. Специфический карденолид адониса - адонитоксин, который гидролизуется до адонитоксигенина и l-рамнозы. Кроме гликозидов, из травы выделены также 2,6-диметоксихинон, фитостерин, флавоноиды - 0,59-1,2% (флавоновый гликозид - адонивернит), стероидные сапонины (6,8-9,4%), органические кислоты (0,6-1,2%), аскорбиновая кислота (33,4-49,2 мг%), каротин (1,3- 2,6 мг%), а также холин, кумарины, спирт адонит (4%). В семенах содержатся сердечные гликозиды неустановленной природы. Из корней выделены: цимарин, К-строфантин-b, сапониноподобные вещества, кумарин, вернадин. Содержание сердечных гликозидов изменяется в зависимости от фазы развития растения, наибольшее их содержание и фармакологическая активность отмечаются в фазах цветения и плодоношения. В подземных органах растения гликозиды накапливаются в конце периода вегетации.
Хранение. В сухом, защищенном от света месте, по списку Б. Биологическая активность 55-60 ЛЕД. Срок годности 1 год после даты исследования.
Фармакологические свойства. Приоритет экспериментального исследования адониса принадлежит Н. О. Бубнову (1880), который по предложению С. П. Боткина изучил галеновые лекарственные формы адониса. Препараты адониса относятся к группе сердечных гликозидов. Они замедляют ритм сердца, усиливают систолу, удлиняют диастолу, увеличивают ударный объем сердца, умеренно тормозят внутрисердечную проводимость.
Гликозиды адониса изменяют биоэлектрическую активность сердца и процессы реполяризации в сердечной мышце, что находит отражение на ЭКГ в виде удлинения интервала Р-Q, уплощения зубца Т и снижения сегмента ST. При изучении фазовой структуры сердечного цикла обнаружены признаки стимуляции сердечной деятельности: укорочение периода изометрического сокращения левого желудочка, удлинение периода изгнания, уменьшение индекса сокращения миокарда [11].
Экспериментальные данные позволяют предполагать, что при сердечной недостаточности, сопровождающейся нарушением проводимости, адонис в меньшей степени, чем дигиталис, усугубляет нарушения атриовентрикулярной проводимости.
Препараты адониса обладают более выраженными по сравнению с другими сердечными средствами диуретическими свойствами, которые связывают с цимарином. В опытах на кошках диурез под влиянием цимарина увеличивался в отдельных случаях на 100%.
При экспериментальном миокардите цимарин способствует ликвидации острой сердечной недостаточности, ослабляет воспалительные и последующие склеротические изменения в сердце. Систематическое введение цимарина в дозе 0,1-0,5 КЕД заметно уменьшает гипотонию, обычно наблюдающуюся при экспериментальном миокардите, урежает пульс, увеличивает скорость кровотока.
При комбинированном применении адониса с другими сердечными гликозидами наблюдается потенцирование действия гликозидов и усиление мочегонного эффекта.
Эффект препаратов адониса, как и других сердечных гликозидов, проявляется более отчетливо в патологии.
Характерная особенность препаратов адониса - седативное действие, отмеченное еще в прошлом столетии. Адонис эффективен при судорогах, вызванных у животных кокаином. Предварительное введение настойки или настоя адониса предотвращает гибель животных, а также развитие судорог, вызванных камфорой и пикротоксином.
Из адониса весеннего и других видов этого растения выделен сердечный гликозид адонитоксин, который наряду с цимарином определяет фармакологические особенности препаратов адониса: умеренные систолический и диастолический эффекты, меньшее по сравнению с препаратами наперстянки влияние на тонус блуждающего нерва и небольшой кумулятивный эффект.
Цимарин обладает высокой биологической активностью. В 1 г вещества содержится 38000 - 44000 ЛЕД, или 6369 КЕД. По характеру действия он близок к строфантину, однако у него больше выражены кумулятивные свойства.
В 60-х годах в Институте химии растительных веществ Академии наук Узбекской ССР Н. К. Абубакировым, Р. Ш. Яматовой и соавт. была доказана возможность перехода монозида цимарина в биозид К-строфантин-b в условиях замедленной сушки адониса.
Лекарственные средства. Трава (резаная). Экстракт горицвета весеннего сухой (применяют при изготовлении таблеток), таблетки "Адонис-бром". Водный настой, который входит также во многие микстуры (Бехтерева, Траскова и др.) [6].
Применение. Адонис применяют при сравнительно легких формах хронической недостаточности кровообращения. Показаниями к применению адониса служат невроз сердца, вегетодистония, инфекционные болезни, протекающие с симптомами ослабления сердечной деятельности, болезни почек с признаками сердечно-сосудистой недостаточности.
Адонизид (Adonisidum) - новогаленовый препарат из травы горицвета весеннего. Жидкость желтоватого цвета. Биологическая активность 1 мл равна 23-27 ЛЕД, или 2,7-3,5 КЕД. Высшие дозы для взрослых: разовая 40 капель, суточная 120 капель. Высшие разовые дозы для детей внутрь: до 6 мес - 1 капля, до 1 года - 2 капли, 2 лет - 3 капли, 3-4 лет - 5 капель, 5-6 лет - 6 капель, 7-9 лет - 8 капель, 10-14 лет - 10-15 капель. Препарат сохраняют с предосторожностью в прохладном, защищенном от света месте. Биологическую активность препарата контролируют ежегодно. Адонизид - основная часть препарата кардиовалена.
Адонизид сухой (Adonisidum siccum) - аморфный порошок, буровато-желтого цвета, биологическая активность порошка 14000-20000 ЛЕД, или 2083 КЕД. Из порошка готовят таблетки с активностью 10-15 ЛЕД, принимают по 1 таблетке 2-4 раза в день после еды.
Таблетки "Адонис-бром" (Tabulettae Adonis-brom). Содержат сухой экстракт адониса и бромид калия по 0,25 г. Таблетки применяют при неврозах сердца, хронической недостаточности сердца. Назначают по 1 таблетке 2-3 раза в день.
Настой горицвета весеннего (Infusum Adonidis vernalis). Готовят из 6 г травы и 200 мл воды; принимают по 1 столовой ложке 2-3 раза в сутки. Детям этот же настой назначают по 1 чайной или по 1 десертной ложке 3-4 раза в день. Высшие дозы травы горицвета сухой: разовая 1 г, суточная 5 г. Высшие разовые дозы травы горицвета для детей: до 6 мес - 0,03 г, от 6 мес до 1 года - 0,05 г, 2 лет - 0,1 г, 3-4 лет-0,15 г, 5-6 лет - 0,2 г, 7-9 лет - 0,3 г, 10-14 лет - 0,3-0,5 г.
Горицвет входит в состав противоастматической микстуры Траскова и микстуры Бехтерева (настой травы горицвета весеннего 6:180 мл, натрия бромида 6 г, кодеина фосфата 0,2 г. По 1 столовой ложке 2 раза в день).
3.4 Трава желтушника раскидистого свежая - Herba erysimi diffusi recens
Желтушник раскидистый (серый) - Erysimum diffusum Ehrh. (canescens Roth.)
Другие названия: болотник, венички, гирчак, желтушник рассеянный

Ботаническая характеристика. Двулетнее растение из семейства крестоцветных с одним или несколькими ветвистыми стеблями высотой до 90 см. Листья очередные; прикорневые - продолговатые с зубчатым краем, с хорошо выраженными черешками; стеблевые - линейные, цельнокрайние, постепенно уменьшающиеся в размерах от основания стебля к верхушке, нижние с короткими черешками, верхние сидячие. Стебли, листья, цветоножки, чашечки и плоды густо опушены прижатыми волосками, отчего имеют сероватую окраску. Цветки с желтым или лимонно-желтым венчиком, собраны на концах стеблей и ветвей в плотные кисти, которые при плодоношении сильно вытягиваются. Плоды - длинные тонкие четырехгранные стручки длиной до 80 мм и толщиной чуть более 1 мм, с многочисленными мелкими рыжевато-бурыми семенами. Размножается только семенами. В первый год жизни развивается лишь розетка листьев, на второй год вырастает стебель с соцветиями. Цветет в мае-июне, плоды созревают в июне-августе [11].
Распространение. Распространен желтушник раскидистый в средней и южной полосе Европейской России и на юге Сибири.
Местообитание. Растет в степях, на сухих лугах, в сосняках, на опушках, полянах, насыпях железных и шоссейных дорог. Для получения лекарственного сырья введен в культуру и возделывается на небольших площадях в специализированных хозяйствах.
Заготовка. Заготавливают всю надземную часть растения во время цветения.
Заготовка. Не используется. Сырье перерабатывают в свежем виде.
Внешние признаки. По НТД надземная часть растения состоит из ветвистых стеблей с продолговато-линейными или ланцетовидными листьями. Листья цельнокрайние или редкозубчатые, 3-6 см в длину, 0,5 см в ширину, постепенно переходят в короткий черешок. Стебли ребристые, до 30 см длины. Соцветие - рыхлая кисть с бледно-желтыми четырехлепестковыми цветками (диагностический признак семейства). Плод - четырехгранный стручок. Все растение серовато-зеленого цвета, имеет слабый запах. Вкус в виду ядовитости не определяется [8].
Качество сырья определяется биологическим методом. В 1 мл консервированного (1:1) спиртом сока свежей травы желтушника раскидистого должно содержаться не менее 150 ЛЕД. Потеря в массе при высушивании не более 65%.
Химический состав. Во всех частях желтушника содержатся сердечные гликозиды (эризимин и эризимозид, не обладающие кумулятивными свойствами) в довольно большом количестве: в цветках и семенах - до 6%, в листьях - 1-1,5%, в стеблях - 0,5-0,7%. Эризимин при гидролизе распадается на агликон строфантидин и дигитоксозу, а эризимозид при гидролизе дает строфантидин, дигитоксозу и глюкозу. Также содержатся жирное масло, в состав которого входят пальмитиновая, олеиновая и линоленовая кислоты.
Хранение. Сырье - по списку Б. Срок годности - не более двух суток после сбора, подлежит немедленной переработке.
Фармакологические свойства. Впервые фармакологические исследования желтушника были проведены в Томском медицинском институте профессорами Н.В. Вершининым и М.П. Варлаковым (1940). По фармакологическому действию гликозиды желтушника близки к строфантину. Эризимин обладает значительной широтой терапевтического действия; кумулятивными свойствами не обладает, оказывает успокаивающее действие на центральную нервную систему [10].
Лекарственные средства. Комплексный препарат "Кардиовален".
Применение. Кардиовален (Саrdiovalenum) - комплексный препарат, в состав которого входят: экстракт желтушника раскидистого - 17,2 мл, адонизид концентрированный (активность 85 ЛЕД в 1 мл) - 30,3 мл, настойка из свежих корневищ с корнями валерианы - 48,6 мл, экстракт боярышника жидкого - 2,2 мл, камфора - 0,4 г, натрия бромид - 2 г, спирт 95% - 1,6 мл, хлоробутанолгидрат - 0,25 г. Препарат представляет собой жидкость светло-бурого цвета, солоновато-горького вкуса, с запахом камфоры и валерианы.
Применяют при ревматических пороках сердца, кардиосклерозе с явлениями сердечной недостаточности и нарушениями кровообращения I-III степени, а также при стенокардии (без органических изменений сосудов сердца), вегетативных неврозах. Назначают внутрь по 15-20 капель 1-2 раза в день. Выпускается во флаконах по 15, 20 и 25 мл. Хранят по списку Б, в прохладном, защищенном от света месте.
Гликозиды играют важную роль в жизнедеятельности растительного организма:
1) Участвуют в окислительно-восстановительных реакциях в растительной клетке;
2) Являются переносчиками сахара;
3) Многие группы химических веществ в период интенсивного роста и развития растения находятся в виде гликозидов;
4) В большинстве случаев биологическое значение гликозидов обеспечивается структурой агликона.
Сердечные гликозиды – обширная и весьма важная в медицинском отношении группа природных гликозидов.
Сердечными гликозидами называются гликозиды, агликоном которых являются производные циклопентанопергидрофенантрена, содержащие в положение 17 ненасыщенное пятичленное или шестичленное лактонное кольцо и оказывающие специфическое действие на сердечную мышцу. Сердечные гликозиды пока не имеют себе равных синтетических заменителей; растения служат единственным источником их получения.
Растения, содержащие сердечные гликозиды, довольно широко распространены в природе. Они встречаются во флоре всех континентов мира. Сердечные гликозиды накапливаются во всех представителях растительного мира – кустарниках, лианах, травянистых растениях.
Известно около 45 ботанических родов, в которых обнаружены сердечные гликозиды, из них до 20 произрастает в нашей стране [2].
1. http://www.fito.nnov.ru/special/glycozides/glycozides.phtml
2. http://florall.ru/glikozidy
3. http://ru.wikipedia.org/wiki
4. Андрушенко Е. В., Красовская Е. А. Функциональные заболевания сердечно-сосудистой системы и органов дыхания. - К.: Здоров’я,1990.
5. Асеева Т. Л., Дашиев Д. Б. и др. Лекарствоведение в тибетской медицине. — Новосибирск: Наука, Сибирское отд., 1989.
6. Гаммерман А. Ф., Кадаеа Г. //., Яценко-Хмелевский А. А. Лекарственные растения.— М.: Высшая школа, 1983.
7. Гаммерман А.Ф., Гром И. И. Дикорастущие лекарственные растения СССР. - М.: Медицина, 1976.
8. Гацура В. В., Кудрин А. Н., Сердечные гликозиды в комплексной фармакотерапии недостаточности сердца, М., 1983.
9. Государственная фармакопея СССР. 11-е изд. — М.: «Медицина», 1990.
10. Корсун В.Ф., Ситкевич А.Е., Ефимов В.В. Лечение препаратами растительного происхождения. – Минск, 1995.
11. Куркин В.А. Фармакогнозия. – Самара, 2004.
12. Михайлов В. Современные фитотерапевтические препараты, (справочник). - М.: Стар Ко, 1997.
13. Носаль М.А., Носаль И.М. Лекарственные растения и способы их применения в народе. – М,, 2005.
Похожие рефераты:
Фитотерапия заболеваний сердечно-сосудистой системы
Химия лекарственных растений. Лекарственное растительное сырье, содержащее алкалоиды
Отравления растениями, содержащими алкалоиды тропанового ряда и сердечные гликозиды
Сырье и фитопрепараты для лечения сердечнососудистых заболеваний
Развитие, становление и основные аспекты фармации
Современные лекарственные препараты растительного происхождения
Программа обучения + тесты по биологии для школы.zip
Общее содержание воды в листьях калины в условиях биостанции
Разнообразие декоративных растений
Литература - Другое (клиника, диагностика, лечение некоторых форм)