| Похожие рефераты | Скачать .docx | Скачать .pdf |
Реферат: Анализ лекарственных растений, применяемых в косметологии
Оглавление
Введение
Глава I. Теоретические основы косметологии
1.1 Кожа. Строение и функции кожи
1.2 Принципы наружной терапии кожи
1.3 Анатомия косметики
Глава II. Анализ биологически активных веществ растений, применяемых в косметологии
2.1 Анализ лекарственных растений, содержащих флавоноиды
2.2 Анализ лекарственных растений, содержащих витамины
2.3 Анализ ЛРС, содержащего витамины
Заключение
Список использованных источников
Введение
Во все времена и исторические эпохи люди стремились к достижению духовного и телесного здоровья, внутренней и внешней красоты. Именно благодаря стремлению людей противостоять разрушительному воздействию времени и сохранить красоту и привлекательность независимо от возраста родилось особое искусство - косметика (от греч. cosmen - украшать).
Это искусство проявлялось в разные времена в различных видах и формах, которые зависели от климатических и экономических условий, уровня развития людей.
В ранние периоды развития цивилизаций люди украшали себя ожерельями из зубов животных, морских и речных раковин, сушеных плодов и семян растений, раскрашивали лицо и тело растительными красками, цветными глинами, наносили татуировку. Искусство украшения своей внешности было высоко развито в Древнем Египте, Аравии, Персии, Индии, Китае; позже - в Древнем Риме, Греции, Византии, Флоренции, Франции и других странах.
В Древнем Египте раскрашивали себя не только вельможи, воины и жрецы, но и люди простого звания. Они применяли белила, пудры, румяна, красили ногти. Зеленой краской, например, подводили глаза, брови. Египтяне славились умением изготавливать всевозможные краски, пудры и мази. Однако применение свинцовых белил и киноварных (ртутных) румян приводило иногда к тяжелым и даже смертельным отравлениям.
В Древних Индии и Китае использовались различные бальзамы, благовония из растений, лаки для волос и ногтей, тушь.
Из Персии в страны Европы "пришли" розовая вода, миндальное молочко и многие другие косметические средства.
В средние века развитие косметики сдерживалось духовенством, преследовавшим тех, кто украшал свое "грешное тело". Однако несмотря на сопротивление церкви косметика все же существовала.
В эпоху Возрождения активное увлечение косметическими средствами характерно для Италии и Франции. Здесь наблюдалось потребление в больших количествах различных косметических средств (помады, пудр, духов, грима и т.д.), которые стоили очень дорого и были доступны только состоятельным людям. Для обеспечения возросшей потребности в косметических средствах открывались первые парфюмерные фабрики.
В Древней Руси женщины с целью украшения своей внешности широко использовали натуральные продукты: молоко, мед, квас, репейное, деревянное и коровье масла. Для умывания применяли настои различных растений. В качестве румян использовали свеклу и морковь; для отбеливания кожи лица - кислое молоко, сок квашеной капусты.
В XVIII в. в Петербурге появился косметический магазин Данилова на Невском проспекте, где можно было приобрести различные косметические товары.
Современная косметика имеет профилактическое, лечебное и декоративное направления.
Глава I. Теоретические основы косметологии
1.1 Кожа. Строение и функции кожи
Кожа - метаболически активный орган, площадь которого составляет 1.8 м2 , масса - приблизительно 16% от массы тела.
Кожный покров состоит из эпидермиса, дермы и подкожной клетчатки. На рис.1.1 показано 2 типа кожи: слева - утолщенная, без волос (на ладонях и подошвах); справа - более тонкая, с волосяными фолликулами.
Сравнительная оценка толстой и тонкой кожи показана в таблице 1.1.
|
Таблица 1.1 Сравнительная оценка толстой и тонкой кожи.
| ТОЛСТАЯ КОЖА | ТОНКАЯ КОЖА | |
| 1. Локализация | Ладони, подошвы | Остальные участки тела |
| 2. Эпидермис | а) 5 слоёв б) В роговом слое - 15-20 слоёв ороговевших клеток |
а) 4 слоя (нет блестящего) б) В роговом слое - 3-4 слоя ороговевших клеток |
| 3. Сосочки дермы | Очень выражены | Выражены относительно слабо |
| 4. Волосы и сальные железы | Отсутствуют | Присутствуют |
| 5. Потовые железы | Все - мерокриновые | Есть и мерокриновые, и (в определённых местах) апокриновые. |
Кожа выполняет множество функций :
является барьером для микроорганизмов;
защищает от механических повреждений;
предотвращает потерю жидкостей из организма;
уменьшает воздействие УФ-излучения;
участвует в терморегуляции:
выполняет сенсорные функции:
обеспечивает синтез витамина D;
осуществляет иммунный надзор;
выполняет дыхательную функцию;
принимает участие в обмене веществ.
1.2 Принципы наружной терапии кожи
При лечении большинства кожных заболеваний применяют наружные (топические) средства. Для этого специалист должен знать все тонкости наружной терапии. Эффективность наружной терапии основывается, во - первых, на знании фармакологических и фармакодинамических свойств лекарств, во - вторых, на правильной оценке клинической картины дерматоза, в - третьих, на адекватной этапности применения наружных средств.
Активные вещества, входящие в препараты, проникают в кожу различными путями: через клетки эпидермиса (трансэпидермально), через железистый аппарат и фолликулы (трансфолликулярно) и взаимодействуют с клеточными и матричными структурами кожи. Эффективность терапевтического воздействия на кожу зависит от таких факторов, как адсорбция, абсорбция, пенетрация и резорбция.
Адсорбция - способность поглощать и удерживать на поверхности кожи различные вещества из газов или жидкостей за счет образования физико-химических комплексов.
Абсорбция - процесс поглощения в полном объеме различными слоями кожи активных веществ, поступающих из растворов, кремов, мазей.
Пенетрация - способность препарата проникать через роговой слой в эпидермис и далее в дерму. По степени пенетрантности, наружные средства можно расположить в следующем порядке: присыпки, взбалтываемые взвеси, мыла, шампуни, спреи, примочки, компрессы, кремы, мази, пасты, пластыри, клеи и лаки.
Резорбция - проникновение активных веществ с поверхности кожи в глубокие слои дермы, кровеносные и лимфатические сосуды, зависит от целостности эпидермиса, состояния его липидной мантии, иммунной системы и функционального состояния неспецифических факторов защиты.
Выбор тех или иных наружных средств большей частью основывается на опыте, накопленном поколениями дерматологов, и собственном опыте практикующего врача. Этот опыт привел к созданию следующих правил для назначения наружной терапии заболеваний кожи.
Большая группа наружных лекарств имеет направленный тип действия (противовоспалительные, противозудные, антибактериальные, противогрибковые, кератолитические препараты и т.д.), и всегда понятно, в каких случаях их можно использовать.
Выбор наружных средств определяется типом высыпаний на коже. На мокнущей коже следует использовать влажные компрессы, на сухой - мази. Этого правила следует придерживаться всегда. Например, лечение мокнущих высыпаний, которые наблюдаются при остром воспалении кожи, начинают с назначения примочки. В то же время при многих длительно протекающих хронических дерматозах, наоборот, характерна сухая, шелушащаяся и инфильтрированная кожа. В таких случаях показаны кремы и мази, потому что применение растворов или примочек усилит сухость кожи.
Следует иметь в виду, что тип высыпаний на коже во время лечения может быстро меняться, и соответственно должна изменяться тактика терапии. Наиболее демонстративным примером является экзема. При острой мокнущей экземе начинают наружно применять примочки. Через 2 или 3 дня клиническая картина может измениться.
Наружную терапию при большинстве дерматозов начинают с небольших концентраций лекарств и затем, по мере изменения клинической картины, их либо увеличивают, либо переходят на другие, более активные препараты. Исключение составляют некоторые заразные заболевания кожи. например чесотка и трихофитии, когда сразу используются только сильнодействующие противоинфекционные местные средства.
Важнейшим принципом терапии, в том числе наружной, является постулат: "Не навреди!". Поэтому врачу важно знать, какое из средств, предписанных для наружного применения, обладает сенсибилизирующими и раздражающими кожу свойствами. Нередко при нерациональном применении наружных средств развивается контактный дерматит. Такая ситуация особенно характерна для пациентов, проводящих самостоятельное, бесконтрольное лечение.
Важно учитывать и другое правило: чем острее воспалительный процесс на коже, тем более поверхностно должен воздействовать препарат. Такой эффект дают присыпки и примочки.
И наконец, важно разъяснить пациенту, как применять наружное средство: например, как сделать примочку или влажно-высыхающую повязку. Нередко успех или неудача терапии будут зависеть от того, какие объяснения получили пациент или лица, ухаживающие за ним.
1.3 Анатомия косметики
Косметические средства позволяют подчеркнуть привлекательные черты и скрыть имеющиеся недостатки. Но мало кто задумывается над тем, что понятия "улучшать внешний вид кожи" и "улучшать кожу" не всегда тождественны друг другу.
При этом следует иметь в виду, что большинство косметических средств не относится к категории лечебных и их применение нецелесообразно, а в ряде случаев и недопустимо при заболеваниях кожи. В состав косметических средств входят вещества, назначение которых состоит в том, чтобы улучшать внешний вид кожи. Эти вещества могут смягчать кожу, улучшать её цвет, стягивать поры, увеличивать содержание влаги в верхних слоях и т.д. При этом их действие на кожу кратковременно.
Разумеется, большинство потребителей, применяющих косметику, желают не только временно улучшить свой внешний вид (хотя это не маловажно). Обычно от косметики ожидают большего. Особенно это касается косметических линий, на которых работают профессиональные косметологи, и тех косметических средств, о которых до сих пор спорят законодатели, балансируя между понятиями "лечебная косметика", "космецевтика" и прочее.
В подобные косметические рецептуры обязательно входят биологически активные добавки, призванные оказывать определенное физиологическое воздействие на кожу. Чаще всего производители косметики, косметологи и сами потребители сосредотачивают свое внимание лишь на этой категории ингредиентов. Однако косметические средства, помимо БАД-ов, содержат другие вещества, с действием которых на кожу также надо считаться. Современная химическая промышленность позволяет фирмам - производителям косметики достичь совершенства в искусстве иллюзионизма - косметические средства мгновенно создают видимость улучшения кожи.
Ничего не поделаешь, ведь этого требует психология потребителя, который, примеряясь к стремительному темпу жизни, хочется получать все сразу - исцеление от болезней, решение личных проблем и улучшение внешности. Наша цель - разобраться в этой кухни, чтобы обеспечить своей коже хороший уход, по возможности оградив её от вредных воздействий.
Основа косметического средства. Основа КС - это то, что остается от него, если вычесть биологически активные добавки. Надо сказать, что остается довольно много (соотношение основы и активных добавок рис.1.2).

Рис.1.2 Соотношение основы и активных добавок в косметической рецептуре.
Основы для наружных препаратов в отличие от активного лекарственного вещества не оказывают непосредственно терапевтического действия. Тем не менее правильный выбор основы может значительно улучшить качество терапии даже независимо от силы активного компонента (табл.1.2).
Таблица 1.2. Основы для наружных средств.

Мазевая основа препарата выполняет две задачи: обеспечивает терапевтический потенциал активного лекарственного вещества за счет длительного контакта и может использоваться как смягчающее средство для поддерживающей терапии (табл.1.3).
Таблица 1.3. Типы основ кремов и мазей.

Глава II. Анализ биологически активных веществ растений, применяемых в косметологии
2.1 Анализ лекарственных растений, содержащих флавоноиды
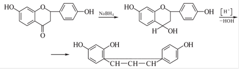
Флавоноиды - это растительные ароматические соединения, производные дифенилпропана (С6 -С3 - С6 ) различной степени окисленности и замещения. Флавоноиды можно рассматривать как производные хромана и хромона, содержащие в положении 2, 3 или 4 арильный радикал.

Классификация флавоноидов основана на ряде признаков, таких как степень окисленности пропанового фрагмента, положение бокового фенильного радикала, величина гетероцикла и др. По расположению кольца В выделяют собственно флавоноиды (эуфлавоноиды), изо- и неофлавоноиды.

В растениях флавоноиды встречаются преимущественно в виде гликозидов реже - в виде агликонов. Многообразие флавоноидных гликозидов обусловлено значительным набором сахаров и местом присоединения их к агликону, а также тем, что сахара могут иметь различную величину и конфигурацию циклов и гликозидных связей (фуранозная и пиранозная формы моносахаридов, D - и Z-изомеры, а - или Р-связь), порядок и сочетание сахаров и связей.

По типу связи различают О - и С-гликозиды флавоноидов. О-гликозиды легко гидролизуются кислотами и ферментами. С-гликозиды не гидролизуются ферментами и разбавленными кислотами, их гидролиз осуществляется смесью Килиани (хлористоводородная концентрированная и уксусная кислоты).
Физико-химические свойства . Флавоноиды (от лат. flavus - желтый) - кристаллические оптически активные вещества, имеющие окраску от белой до желто-оранжевой в зависимости от структуры. Например, флаваноны, изофлавоны - бесцветные, флавоны и флавонолы - желтые, халконы и ауроны имеют цвет от ярко-желтого до красно-оранжевого. Антоцианы окрашены в красный или синий цвет в зависимости от рН среды. Флавоноиды лишены запаха, некоторые из них имеют горький вкус. Самым горьким является нарингенин, который в 5 раз более горький, чем хинина гидрохлорид.
Агликоны хорошо растворяются в диэтиловом эфире, ацетоне и спиртах, почти не растворяются в бензоле и хлороформе. Флавоноидные гликозилы растворяются в спиртах и спирто-водных смесях. Монозиды лучше растворимы в крепком спирте, дигликозиды - в 50 % -ном спирте, гликозиды с тремя и более сахарами - в слабом спирте и даже в воде.
Выделение. Для выделения флавоноидов используют последовательную экстракцию сырья рядом органических растворителей с возрастающей полярностью: хлороформ, ацетон, спирт и спирто-водные смеси.
Для качественных реакций используют извлечение, очищенное от сопутствующих липофильных веществ.
Качественные реакции . Общей реакции, специфической для всех классов флавоноидов, не существует. Наиболее часто для обнаружения флавоноидов в ЛPC применяют цианидиновую реакцию (проба Snoda). Реакция основана на восстановлении флавоноидов атомарным водородом в кислой среде до антоцианидинов с образованием ярко-розового окрашивания.

Цианидиновую реакцию не дают халконы, ауроны, катехины, но они могут образовывать в кислой среде окрашенные оксониевые соли.
Цианидиновая реакция по Брианту позволяет определить агликоновую или гликозидную природу исследуемого вещества. К окрашенному раствору продукта цианидиновой реакции прибавляют равный объем н-октанола и встряхивают. Гликозиды остаются в воде, а агликоны переходят в слой органического растворителя.
С раствором щелочи флавоны, флавонолы, флаваноны приобретают желтое окрашивание, халконы и ауроны - желто-оранжевое, оранжево-красное.
С железа (III) хлоридом образуются окраски от зеленой (флавонолы) до коричневой (флаваноны, халконы, ауроны) и красновато-бурой (флавоны).
Флавоны, халконы, ауроны, содержащие свободные ортогидроксильные группы в кольце В, при обработке спиртовых растворов свинца ацетатом средним образуют осадки, окрашенные в ярко-желтый или красный цвета. Антоцианы образуют осадки, окрашенные как в красный, так и в синий цвет.
Флавоноиды вступают в реакцию комплексообразования с 5 % -ным спиртовым раствором алюминия хлорида , с 2 % -ным спиртовым раствором циркония (III) хлорида . Флавоноиды, имеющие две оксигруппы у С-3 и С-5, дают хелаты желтого цвета за счет образования водородных связей между карбонильной и гидроксильными группами.

Реакция с борно-лимонным реактивом (реакция Вильсона ). Флавоноиды, у которых гидроксильная и карбоксильная группы отделены углеродным атомом, образуют комплексы с кислотой борной, которые не разрушаются лимонной и щавелевой кислотами.
При этом появляется желтая окраска или ярко-желтая флуоресценция, которая резко усиливается в УФ-свете.


Флаваноны и флаванонолы восстанавливаются натрия боргидридом с образованием окрашенных продуктов пурпурно-красного, фиолетового или синего цвета.
Катехины, а также производные флороглюцина и резорцина с 1 % -ным раствором ванилина в кислоте хлористоводородной концентрированной образуют малиново-красное окрашивание.
Хроматографический анализ. Для идентификации флавоноидов широко применяют различные виды хроматографии: бумажную, ТСХ, газожидкостную. Учитывают окраску пятен в видимом и УФ-свете до и после проявления хромогенными реактивами, величину Rf, или время удерживания.
Флавоны и флавонол-3-гликозиды в УФ-свете обнаруживаются в виде коричневых пятен; флавонолы и их 7-гликозиды - в виде желтых или желто-зеленых пятен. Изофлавоноиды в видимом свете не проявляются.
После просматривания в УФ-свете хроматограммы обрабатывают одним из реактивов: 5 % -ным спиртовым раствором AlCl3 с последующим нагреванием при 100±5°С в течение 3-5 мин; 5 % -ным раствором SbCl3 в тетрахлорметане; 10 % -ным спиртовым раствором щелочи. Это позволяет получить зоны с более яркой флюоресценцией в УФ-свете (таб 2.1).
Таблица 2.1
Окраска пятен флаваноидов на хроматограммах.

Количественное определение . Универсального метода количественного определения флавоноидов нет. В каждом отдельном случае подходят индивидуально, используя весовой, фотометрический, полярографический, потенциометрический, объемный или комплексонометрический методы.
Наибольшее распространение получили спектральные методы анализа, которые можно классифицировать по реакциям образования окрашенных продуктов: восстановления в кислой среде или с натрия боргидридом; реакции комплексообразования с металлами; соединение с солями диазония; взаимодействие со щелочами.
Биологическая активность. Флавоноиды обладают широким спектром дей-ствия: капилляроукрепляющим, желчегонным, диуретическим, гепато-защитным, седативным, противовоспалительным, противоязвенным, гемо - статическим, бактерицидным, гипотензивным, гипогликемическим, анабо-лизирующим, противолучевым, антиоксидантным и др.
2.2 Анализ лекарственных растений, содержащих витамины
Витамины (от лат. vita - жизнь) - органические соединения различной химической природы, необходимые в малых количествах для осуществления биохимических и физиологических процессов в живых организмах.
Организм человека не синтезирует витамины или синтезирует в незначительном количестве и поэтому должен получать их в готовом виде или в виде провитаминов с продуктами питания. Вместе с витаминами в пище содержатся биологически активные вещества, дефицит которых не приводит к заболеваниям. Эти вещества называются витаминоподобными. К ним относятся биофлавоноиды (витамин Р), холин, инозиты, липоевая, оротовая, пангамовая и α-аминобензойная кислоты.
Классификация. Существует четыре классификации витаминов. Одной из первых была предложена буквенная классификация. Одновременно витамины получали названия, соответствущие их биологической или физиологической роли в организме. Например, витамин D (кальциферол, антирахитический) регулирует соотношение кальция и фосфора в костях; недостаток витамина в рационе детей приводит к возникновению рахита. Витамин Е (токоферол, витамин размножения) поддерживает репродуктивную функцию (от греч. tokos - потомство, phew - несущий).
Классификация витаминов по растворимости заключается в делении их на жиро- и водорастворимые . К жирорастворимым относятся витамины групп A, D, Е, К, F; к водорастворимым - групп В, РР, С, Н, U.
В соответствии с химической классификацией витамины делятся на четыре группы:
1. Алифатические:
кислота аскорбиновая (витамин С, антискорбутный);
кислота пангамовая (витамин В15 );
кислота пантотеновая (витамин В3 , антидерматитный);
метилметионинсульфония хлорид (витамин U, противоязвенный).
2. Алициклические:
ретинолы (витамин А, антиксерофтальмический);
кальциферолы (витамин D, антирахитический).
3. Ароматические:
филлохинон (витамин К, антигеморрагический).
4. Гетероциклические:
токоферолы (витамин Е, витамин размножения);
биофлавоноиды (витамин Р, капилляроукрепляющий);
кислота никотиновая (витамин РР, никотинамид, ниацин, антипеллагрический);
пиридоксин (витамин B6 , антидерматитный);
тиамин (витамин В1 , антиневритный);
рибофлавин (витамин В2 , витамин роста);
биотин (витамин Н, антисеборейный);
кислота фолиевая (витамин Вс , фолацин, антианемический);
кобаламины (витамин В12 , антианемический).

Соединения, которые не являются витаминами, но служат предшественниками их образования в организме, называются провитаминами . К ним относятся, например, каротиноиды, которые расщепляются в организме с образованием витамина А, некоторые стерины, превращающиеся в витамин D.
2.3 Анализ ЛРС, содержащего витамины
Приведем пример определения витамина в лекарственном растительном сырье (плоды шиповника).
Числовые показатели по PhEur. Кислоты аскорбиновой - не менее 0,3 %; влажность - не более 10 %; золы общей - не более 5 %; посторонних примесей - не более 1 %.
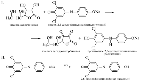
Метод определения количественного содержания кислоты аскорбиновой в плодах шиповника основан на ее способности окисляться до дегидроформы раствором натрия 2,6-дихлорфенолиндофенолята и восстанавливать последний до лейкоформы (I). Точка эквивалентности устанавливается появлением розового окрашивания, которое свидетельствует об отсутствии восстановителя, т.е. кислоты аскорбиновой (2,6-дихлорфенолиндофенол имеет в щелочной среде синее окрашивание, в кислой - красное, а при восстановлении обесцвечивается) (II).

Заключение
Растения, используемые в косметике, принадлежат в большинстве случаев к числу лекарственных, пусть даже не всегда официально признанных. Как продукты живых организмов эти вещества нередко для организма ближе, чем искусственные, хорошо воспринимаются и не столь отягощают метаболизм. Поскольку речь идет о сложных комплексах веществ, то и их воздействие тоже является комплексным. Действия отдельных компонентов очень часто удачно дополняют друг друга. Некоторые из основных видов сырья (например, липиды) часто содержат благоприятно действующие сопровождающие вещества. Но это не является правилом, есть и такие растения, которые могут быть вредными и даже крайне опасными. Кроме того, переносимость отдельных растительных веществ индивидуально различается; не редкостью является аллергическая реакция на всеми признанные лекарственные растения, например, на ромашку.
Интересные с косметической точки зрения вещества могут содержаться в разных частях растения (семенах, корнях, листьях, цветках и т.д.). На их количество и строение влияют различные обстоятельства, к которым принадлежат прежде всего период вегетации, погодные условия, питание и даже время суток.
Стремясь обеспечить комплексное противовоспалительное, антимикробное, вяжущее, смягчающее или другие виды лечебно-косметического действия, в состав препаратов часто вводят комплекс БАВ (витамины, микроэлементы, белки, ферменты, гормоны, эфирные масла и др.). Чем больше в косметическом препарате содержится веществ природного происхождения, особенно биологически активных веществ из растений, тем полноценнее и полезнее считается косметический препарат.
Список использованных источников
1. Акопов И.Э. Важнейшие отечественные лекарственные растения и их применение. - Ташкент, 1986.
2. Гаммерман А.Ф. Курс фармакогнозии. - Л.: Медицина, 1997.
3. Государственный реестр лекарственных средств. - М, 2000.
4. Гринкевич Н.И., Ладыгина Е.Я. Фармакогнозия. Атлас. М.: Медицина, 1989.
5. Гринкевич Н.И., Сафронич Л.Н. Химический анализ лекарственных растений. М.: Высшая школа, 1984.
6. Калинкина Г.И. Фармакогностическое исследование эфирно-масличных растений флоры Сибири: Автореф. дис. докт. фарм. наук. М., 1996.45 с.
7. Куркин В.А. Фармакогнозия. Самара: ООО "Офорт", ГОУВПО "СамГМУ", 2004.
8. Лекарственное растительное сырье. - Изд. офиц. - М.: Изд-во стандартов, 1990.
9. Марголина А., Эрнандес Е. Новая косметика. М.: ООО "Фирма КЛАВЕЛЬ", 2005
10. Муравьева Д.А., Самылина И.А., Яковлев Г.П. Фармакогнозия. М.: Медицина, 2002.
11. Носаль М.А., Носаль И.М. Лекарственные растения в народной медицине. - М., 1991.
12. Попов Л.П. Лекарственные растения в народной медицине. - Киев: Здоров'я, 1969.
13. Путырский И.Н., Прохоров В.Н. Универсальная энциклопедия лекарственных растений. Минск: Книжный дом; М.: Махаон, 2000.
14. Современная фитотерапия / под ред. В. Петкова. - София: Медицина и физкультура, 1988.
15. Соколов С.Я. Фармакотерапия и фитофармакология. - М.: Медицинское информацитонное агентство, 2000.
Похожие рефераты:
Развитие, становление и основные аспекты фармации
Методы анализа лекарственных препаратов
Особенности рекламирования косметических средств и салонов красоты
Формирование ассортимента, качества и оценка конкурентоспособности косметических товаров
Общее содержание воды в листьях калины в условиях биостанции