| Похожие рефераты | Скачать .docx | Скачать .pdf |
Курсовая работа: Применение и фармацевтические свойства производных пиримидина
Министерство Здравоохранения Украины
Национальный фармацевтический университет
Кафедра фармацевтической химии
Кафедра медицинской химии
Курсовая работа
Тема: "Применение и фармацевтические свойства производных пиримидина"
Выполнила
студентка
фармацевтического
отделения
39 группы 4 курса
Чепига Л.С.
г. Харьков2007
План
1. Лекарственные средства, производные и структурные аналоги барбитуровой кислоты
1.1 Лекарственные средства, обладающие снотворным действием
1.2 Лекарственные средства, обладающие противосудорожным действием
1.3 Лекарственные средства, применяемые для внутривенного наркоза
2. Лекарственные средства, производные урацила
2.1 Лекарственные средства, оказывающие анаболическое действие
2.2 Лекарственные средства, обладающие противоопухолевой активностью
3. Лекарственные средства, производные пиримидина и тиазола
3.1 Витамины и витаминоподобные средства
4. Лекарственные средства, производные пиримидина
4.1 Лекарственные средства, обладающие противомикробным действием
4.2 Лекарственные средства, обладающие антигельминтной активностью
4.3 Лекарственные средства, обладающие антибактериальным действием
5. Список литературы
1. Лекарственные средства, производные и структурные аналоги барбитуровой кислоты


В 1904 г. Э. Фишером получен барбитал (веронал). В последующие годы было синтезировано большое количество барбитуратов и установлен ряд закономерностей между их химической структурой и действием на организм.
1.Успокаивающим действием обладают производные барбитуровой кислоты, содержащие алкильные, арильные и другие радикалы в положении 5,5.
2.Сила и продолжительность действия барбитурата возрастает с удлинением цепи до пяти-шести углеродных атомов у алкильных заместителей в положении 5,5. Дальнейшее удлинение углеродной цепи приводит к появлению возбуждающего действия.
3.Разветвление углеродной цепи, наличие в ней непредельных связей, спиртового гидроксила, атома галогена (особенно брома) углубляет фармакологический эффект.
4.Усиление действия барбитуратов, как правило, сопровождается сокращением продолжительности снотворного эффекта.
5.Наличие одного фенильного радикала в положении 5 усиливает действие, не меняя его продолжительности, а введение второго фенильного радикала ослабляет снотворный эффект.
6.Введение алкильного радикала в одну из имидных групп (положение 1,3) сокращает продолжительность действия препаратов.
7.Замещение водорода в положении 1 остатком ароматической (например, бензойной) кислоты придает препарату противоэпилептическое действие. На этой основе был создан препарат бензонал.
8.Производные тиобарбитуровой кислоты (имеющие атом серы в положении 2) оказывают более сильное, но кратковременное действие по сравнению с кислородными аналогами.
1.1 Лекарственные средства, обладающие снотворным действием
лекарственный фармакологический тиазол пиримидин
В зависимости от продолжительности эффекта действия они делятся на препараты короткого действия (циклобарбитал, пентобарбитал натрия - эффект 2-5 ч); средней продолжительности (амобарбитал - эффект 4-7 ч) и продолжительного действия (барбитал, фенобарбитал - эффект 8-12 ч). Они сокращают длительность засыпания, увеличивают общую продолжительность сна и долю синхронизированного сна, значительно снижают общую долю и число эпизодов, выраженность проявлений "десинхронизированного" сна, уменьшают частоту и полноту пробуждений во время сна. Барбитураты средней продолжительности и длительного действия опасно назначать амбулаторно водителям, летчикам, строителям и монтажникам, работающим на высоте, операторам на ответственной работе и т. п. При не многократном применении 1-3 дня подряд барбитураты отличаются надежностью действия. Однако они малопригодны для лечения длительной бессонницы, что связано со значительными нарушениями внутренней структуры сна, вероятностью развития психологической (боязнь не заснуть без таблетки), психической и физической зависимости, перекрестной зависимости с др. наркотиками. Кроме того, они могут вызвать соматические и неврологические осложнения (опасные эпизоды апноэ и падение АД во сне, депрессия, нарушение координации движения, нейротрофическое поражение суставов, аллергические реакции). Такие явления наблюдаются преимущественно при длительном, реже разовом их приеме и чаще у пожилых людей и детей.
Барбитал
Barbitalum
5,5-Диэтилбарбитуровая кислота

![]()
М.м. 184,19
Синонимы: Веронал, Аеthinal, Аеthуbarbital, Athylbarbital, Аlvenol, Ваrbaethyl, Ваrbital, Ваrbitone, Ваrbitural, Diemal, Dormanol, Dоrmonal, Нурnоfеr, Нурnogеnе, Маlоnаl, Маlоnurеа, Sеdеval, Sеdivаl, Sоnal, Uronal, Veronal, Vesperal и др.
Форма выпуска: порошок
Белый кристаллический порошок слабогорького вкуса, без запаха. Мало растворим в холодной воде, растворим в спирте, легко растворим в растворах щелочей.
ФАРМАКОЛОГИЧЕСКИЕ СВОЙСТВА: Барбитал (веронал) был первым барбитуратом, предложенным для применения в медицинской практике в качестве снотворного средства (в 1903 г.). Он оказывает успокаивающее и снотворное действие, вызывает глубокий сон.
В настоящее время барбитал имеет ограниченное применение.
В редких случаях, при неэффективности других средств, барбитал может быть использован в виде порошка.
ОСОБЫЕ УКАЗАНИЯ: при назначении барбитала нужно учитывать медленное его расщепление и выведение из организма; не следует назначать препарат длительное время. После 3 - 4 дней приема рекомендуется делать перерыв на 1 - 2 дня.
ПОБОЧНЫЕ ЭФФЕКТЫ: побочные явления выражаются в общей слабости, разбитости, тошноте, рвоте, головной боли (<веронализм>) - от одного из основных синонимов препарата - веронал).
ПРИМЕНЕНИЕ: в качестве снотворного средства назначают взрослым внутрь 0, 25 - 0, 5 г за 1/2 - 1 ч до сна; для лучшего всасывания рекомендуется запивать 1/2 - 1 стаканом теплого чая. Детям в зависимости от возраста назначают по 0, 025 - 0, 25 г. Как успокаивающее средство назначают взрослым по 0, 05 -О, 1 г 1- 2 раза в день.
Высшие дозы для взрослых внутрь: разовая 0, 5 г, суточная 1 г,
Ранее барбитал часто назначали в сочетании с амидопирином, анальгином, бромидами; успокаивающее, снотворное и аналгетическое действие при этом усиливается.
Хранение: список Б. В хорошо укупоренной таре.
Барбитал-натрий
Barbitalum natrium
5,5 -Диэтилбарбитурат натрия

![]()
М.м. 206,18
Синонимы : Bаrbitalum Natricum, Barbital Sоdium, Вarbitone soluble, Diemal natrium, Medinalum, Veronal sodium.
Форма выпуска: порошок.
Белый кристаллический порошок без запаха, горького вкуса. Легко растворим в воде (1:5 в холодной и 1:2, 5 в кипящей), мало растворим в спирте, нерастворим в эфире. Водный раствор имеет щелочную реакцию (рН 9,0—10,0). Растворы для инъекций готовят в асептических условиях.
ФАРМАКОЛОГИЧЕСКИЕ СВОЙСТВА: снотворное и успокаивающее средство, действующее благодаря лёгкой растворимости несколько быстрее, чем барбитал. Быстрее, чем последний, выводится из организма; менее токсичен.
Может применяться при бессоннице, нервном возбуждении, невралгиях, иногда как противорвотное и противосудорожное средство.
ПРИМЕНЕНИЕ: назначают внутрь взрослым по 0,3—0,5—0,75 г; детям в зависимости от возраста по 0,025—0,25г на приём. Как снотворное принимают за 0,5—1 ч до сна; запивают тёплым чаем.
Высшие дозы для взрослых внутрь, под кожу и внутримышечно: разовая 0,5 г, суточная 1 г.
Под кожу и в мышцы вводят взрослым до 5 мл 10% раствора (0,5 г препарата) с добавлением новокаина (0,005 г). Назначают также в виде клизм (в 5—15 мл воды).
Хранение: список Б. В хорошо укупоренной таре.
Этаминал-натрий
Aethaminalum - natrium
5-Этил-5-(2’амил) - барбитурат натрия

![]()
М.в. 248,26
Синонимы: Нембутал, Еmbutal, Isоbarb, Меbubarbital, Narсоrеn, Nеmbutalsodium, Nеmbutalnаtrium, Реntal, PentobarbitalumNatricum, Pentobarbitalsоdium, Реntobarbitalsolubltе, Pentone, Prоdormol, Somnopentyl, Sopental и др
Форма выпуска: порошок.
Белый мелкокристаллический порошок без запаха, горького вкуса. Гигроскопичен. Растворим в воде. Водные растворы имеют щелочную реакцию.
ФАРМАКОЛОГИЧЕСКИЕ СВОЙСТВА: препарат оказывает снотворное, а в более высоких дозах наркотическое действие. Сон наступает относительно быстро (через 30 - 45 мин), продолжается 5 - 6 ч.
ПРИМЕНЕНИЕ: назначают внутрь в качестве снотворного средства для взрослых обычно в дозе 0, 1 - 0, 2 г; детям назначают 0, 01 - 0, 1 г в зависимости от возраста. Препарат можно применять ректально (в клизмах по 0, 2 г - 0, 3 г). Внутривенно вводят медленно в виде 5 % асептически приготовленного свежего раствора (5 - 10 мл).
Высшие дозы для взрослых внутрь; разовая 0, 3 г, суточная 0, 6 г.
Хранение: список Б. В хорошо укупоренной таре.
1.2 Лекарственные средства, обладающие противосудорожным действием
Фенобарбитал
Phenobarbitalum
5-Этил-5-фенилбарбитуровая кислота

![]()
М.м. 232,24
Синонимы : Люминал, Adonal, Aephenal, Barbenyl, Barbinal, Barbiphen, Dormiral, Epanal, Episidal, Fenemal, Fenobarbital, Gardenal, Hypnotal, Lepinal, Luminal, Mephabarbital, Neurobarb, Nirvonal, Omnibarb, Phenobarbitone, Sedonal, Sevenal, Somonal, Zadonal идр.
Белый кристаллический порошок слабогорького вкуса, без запаха. Очень мало растворим в холодной воде, трудно - в кипящей (1:40), легко растворим в спирте и растворах щелочей.
ФАРМАКОЛОГИЧЕСКОЕ ДЕЙСТВИЕ : взимодействуя с мембранами и изменяя их физико-химические свойства, снижает возбудимость нейронов эпилептогенного очага и распространение нервных импульсов, обладает противосудорожной активностью Проявляет антагонизм в отношении ряда возбуждающих медиаторов (глутамата и др) Подавляет сенсорные зоны коры головного мозга, уменьшает моторную активность, угнетает церебральные функции и приводит к развитию головокружений, седации, сонливости. Индуцирует развитие сна, по структуре отличающегося от физиологического (редуцирует фазу быстрого сна), эффект снижается через 2 нед. Резкое прекращение приема может привести к развитию синдрома "отмены" (головные боли, ночные кошмары, сонливость и/или бессонница). Обладает прямым угнетающим действием на дыхательный центр (снижает чувствительность к углекислому газу), понижает тонус гладкой мускулатуры ЖКТ. В гипнотических дозах несколько уменьшает интенсивность обмена, что проявляется в незначительной гипотермии. Медленно и полно всасывается в тонкой кишке, биодоступность — 80%. В плазме связывается с белками у взрослых — на 50%, у новорожденных детей — на 30-40%. Хорошо проникает через плаценту. Биотрансформация происходит в печени, около 25-50% выводится в неизмененном виде почками.
ПОКАЗАНИЯ: эпилепсия, хорея, спастический паралич, спазм периферических артерий, эклампсия, возбуждение, бессонница.
ПРОТИВОПОКАЗАНИЯ: печеночно-почечная недостаточность, миастения, алкоголизм, наркотическая зависимость, I триместр беременности (тератогенность), лактация (следует отказаться от грудного вскармливания), беременность (у новорожденных, матери которых принимают фенобарбитал в последний триместр беременности, может развиться синдром "отмены").
ПОБОЧНЫЕ ЭФФЕКТЫ : ощущение разбитости, астения, атаксия, нистагм, гипотония, кожная сыпь. Прием 1 г может вызвать симптомы отравления (нистагм, атаксия, головокружение, заторможенность, возбуждение, головная боль, угнетение дыхания, гипотермия, гипотензия), отсутствие или угнетение рефлексов, сужение (сменяющееся паралитическим расширением) зрачков, олигоурия, тахикардия, цианоз, слабость, геморрагии в местах давления, прекращение электрической активности мозга, отек легких, кома, позже — пневмония, аритмии, сердечная недостаточность), 2-10 г — летальный исход.
ВЗАИМОДЕЙСТВИЯ: Ацетазоламид ослабляет эффект (тормозит реабсорбцию в почках), седа-тивные средства — усиливают (и могут приводить к угнетению дыхания). Снижает уровень в крови (за счет активации микросомального окисления в печени) непрямых антикоагулянтов, кортикостероидов, гризеофульвина, доксицик-пина, эстрогенов Фенитоин, производные вальпроевой кислоты повышают содержание фенобарбитала в сыворотке крови.
ПРИМЕНЕНИЕ: детям при эпилепсии в суточной дозе 3-5 мг/кг, в качестве снотворного средства 0,005-0,075 г на прием (1-2 мг/кг)
внутрь. В качестве снотворного взрослым назначают 0,1-0,2 г за 0,5-1 ч до сна. При эпилепсии взрослым — 50 мг 2 раза в день, постепенно повышая дозу до получения клинического эффекта (но не более 0,6 г/сутки), детям — в соответствии с возрастом.
Существуют, однако, и готовые комбинированные препараты (глюферал, паглюферал, фали-лепсин и др.). Отечественный психиатр М.Я. Серейский предложил экстемпоральную комбинацию (смесь Серейского), которая до сих пор применяется для лечения больных эпилепсией:
Rp.: Phenobarbital: 0,05 (0,07-0,1-0,15)
Bromisovali 0.2 (0,3)
Coffeini natrio-benzoatis 0,015 (0,02)
Papaverini hydrochlondi 0,03 (0,04)
Calcii gluconatis 0,5 (1 .0) М. f. pulv. D. t. d. №24
S. По 1 порошку 2- 3 раза в день (Первые цифры - это дозы, назначаемые при более легком течении болезни, цифры в скобках - дозы, назначаемые в более тяжелых случаях.).
Высшие дозы для взрослых внутрь: разовая 0,2 г: суточная 0,5 г.
ФОРМЫ ВЫПУСКА: порошок: таблетки по 0,005 г для детей и по 0,05 и 0.1 г для взрослых.
ХРАНЕНИЕ: Список Б.
Таблетки "Глюферал" (Tabulettae "Gluferalum") содержат фенобарбитала 0.025 г, бромизовала 0,07 г. кофеин-бензоата натрия 0,005 г. кальция глюконата 0,2 г. Таблетки белого цвета. По составу и действию сходны со смесью Серейского, но не содержат папаверина. Применяются в основном при эпилепсии с большими тонико-клоническими припадками; в комбинации с триметином их можно назначать при малых формах эпилепсии. Назначают внутрь после еды, взрослым от 2 до 4 таблеток на прием. Максимальная суточная доза - 10 таблеток. Детям в зависимости от возраста назначают от 0,5 до 1 таблетки на прием: максимальная суточная доза для детей до 10 лет - 5 таблеток. При необходимости применяют одновременно с другими противоэпилептическими препаратами.
ФОРМА ВЫПУСКА: по 100 таблеток в банках оранжевого стекла. ХРАНЕНИЕ: Список Б. В сухом, защищенном от света месте. Таблетки "Паглюферал" - 1, 2, 3 (Tabulettae "Раgluferalum" - l, 2, 3) содержат соответственно фенобарбитала 0,025; 0,035 или 0,05 г; бромизовала 0,1; 0,1 или 0,15 г; кофеин-бензоата натрия 0,0075; 0,0075 или 0,01 г; кальция глюконата по 0,25 г и папаверина гидрохлорида 0,015; 0,015 или 0,02 г. Применяются так же, как смесь Серейского и таблетки "Глюферал", для лечения эпилепсии. Разные соотношения ингредиентов в разных вариантах таблеток "Паглюферал" дают возможность индивидуально подбирать дозы. ФОРМА ВЫПУСКА: по 40 таблеток в банках оранжевого стекла. ХРАНЕНИЕ: Список Б. В сухом, защищенном от света месте.
Под названием "Фали-лепсин" (Fali-Lepsin) за рубежом (в Германии) выпускается противоэпилептический препарат, являющийся солью фенобарбитала и псевдонорэфедрина. Включение в молекулу псевдонорэфедрина, оказывающего умеренное стимулирующее влияние на ЦНС, несколько уменьшает угнетающее действие (сонливость, нарушение работоспособности) фенобарбитала. Назначают при эпилепсии внутрь (взрослым и детям старше 12 лет), начиная с 0,05 г (50 мг) в день, постепенно повышая дозу до 0,3-0,45 г в день (в 3 приема).
ФОРМА ВЫПУСКА: Таблетки по 0.1 г в упаковке по 100 штук. ХРАНЕНИЕ: Список Б. В защищенном от света месте.
Барбексаклон (Barbexaclone). Синонимы: Малиазин, Mahasin, Phenoirntur. Является сочетанием фенобарбитала и бензедрекса (циклогексильного аналога эфедрина). Применяется в качестве противосудорожного средства. Сходен по действию с фали-лепсином. Бензедрекс уменьшает депримирующее влияние на ЦНС.
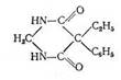
Бензонал
Benzonalum
1-Бензоил-5-этил-5-фенил6арбитуровая кислота

![]()
М.м. 336,35
Бензонал (Benzonalum). Бензонала таблетки 0,05 г.
(Tabulettae Benzonali 0,05 g). Бензонала таблетки по 0,1 г (Tabulettae Benzonali 0,1 g).
ПРИМЕНЕНИЕ: различные формы эпилепсии, гипербилирубинемия, гемолитическая болезнь новорожденных, бессонница.
ПРОТИВОПОКАЗАНИЯ: гиперчувствительность, порфирия, анемия, бронхиальная астма, дыхательная недостаточность, нарушение функций печени и почек, сахарный диабет, гипертиреоз, надпочечниковая недостаточность, сахарный диабет, гиперкинезы, депрессивные состояния (с суицидальными попытками).
ОСОБЫЕ УКАЗАНИЯ: гипотония, беременность, грудное вскармливание (на время лечения прекращают).
ПОБОЧНЫЕ ЭФФЕКТЫ: привыкание, лекарственная зависимость, синдром отмены, нарушение функций печени и почек, угнетение дыхания, бронхоспазм, гипотония, тромбоцитопения, анемия, тромбофлебит, головная боль, головокружение, слабость, подавленность, светобоязнь, гипорефлексия, аллергические реакции.
ВЗАИМОДЕЙСТВИЯ: усиливает эффект анальгетиков, анестетиков, гипнотиков, средств для наркоза, нейролептиков, транквилизаторов, трициклических антидепрессантов, алкоголя, снижает - парацетамола, антикоагулянтов, тетрациклинов, гризеофульвина, глюкокортикоидов, минералокортикоидов, сердечных гликозидов, хинидина, витамина D, ксантинов.
ПРИМЕНЕНИЕ: внутрь. Для взрослых - по 0,1-0,2 г 3 раза в сутки после еды. Высшая разовая доза - 0,3 г, высшая суточная доза - 1 г. Для детей: 3-6 лет - 25-50 мг на прием (100-150 мг/сут), 7-10 лет - 50-100 мг на прием (150-300 мг/сут), 11-14 лет - 100 мг на прием (300-400 мг/сут). Высшая разовая доза - 150 мг, высшая суточная доза - 450 мг.
Гексамидин
Hexamidinum
(5-Этил-5-фенилгексагидропиримидиндион-4,6)

![]()
М.м. 218,25
Фармакологические группы: противоэпилептические средства.
Действующее вещество (МНН) Примидон (Primidone)
ПРИМЕНЕНИЕ: эпилепсия различного генеза, большие судорожные припадки. Очаговые, миоклонические, акинетические приступы (менее эффективен).
ПРОТИВОПОКАЗАНИЯ: гиперчувствительность (в т.ч. к барбитуратам), печеночно-почечная недостаточность, анемия, лейкопения, беременность, кормление грудью (необходимо отказаться от грудного вскармливания).
Ограничения к применению: детский и пожилой возраст (некоторые дети и пожилые пациенты реагируют на примидон парадоксальным возбуждением и двигательным беспокойством).
ПОБОЧНЫЕ ЭФФЕКТЫ: сонливость, головокружение, головная боль, апатия, беспокойство, тошнота, рвота, анемия, лейкопения, лимфоцитоз, аллергические реакции. Редко— нистагм, атаксия, "волчаночный" синдром, артралгии, психотические реакции; крайне редко— мегалобластная анемия. При длительном применении— лекарственная зависимость.
ВЗАИМОДЕЙСТВИЯ: усиливает (взаимно) эффект карбамазепина, дифенина и др. противосудорожных средств.
ПРИМЕНЕНИЕ: внутрь, после еды. Лечение начинают с дозы 125мг однократно, затем каждые 3 дня суточную дозу увеличивают на 250мг— для взрослых и на 125мг— для детей (до 9 лет) до достижения необходимого эффекта. Максимальная суточная доза для взрослых— 1,5г, для детей— 1г (в 2 приема).
ОСОБЫЕ УКАЗАНИЯ: может использоваться в комплексной противосудорожной терапии. Отмену и замену проводят постепенно. Снижает реакцию при вождении автомобиля, работе с механизмами. В случае развития мегалобластной анемии следует прекратить прием и начать лечение фолиевой кислотой и/или витамином B12.
1.3 Лекарственные средства, применяемые для внутривенного наркоза
Гексенал
Hexenalum
1,5-Диметил-5-(циклогексен-5-ил) - барбитурат натрия

![]()
М.м. 258,25
Синонимы: Cyclobarbitalum solubile, Endodorm, Enhexymal natrium, Enimalum nаtrium, Eudorm, Еvipal sodium, Evipal soluble, Evipan sodium, Hexanastab, Hехоbarital sodumт, Нехоbаrbitalum nаtricum, Hexobaritone sоluble, Меthylhexabarbital soluble Меthуlhехоbital, Nаrconat, Narcosan sоluble Nосtivаnе, Nоvораn и др. Белая пенообразная масса. На воздухе под влиянием углекислоты разлагается. Гигроскопичен. Очень легко растворим в воде и спирте, практически нерастворим в эфире. Водные растворы гексенала неустойчивы, легко гидролизуются, разлагаются при стерилизации. Растворы готовят в асептических условиях на изотоническом растворе натрия хлорида или на стерильной воде для инъекций непосредственно перед употреблением.
ПРИМЕНЕНИЕ: неингаляционный наркоз: вводный (в комбинации с динитрогена оксидом, галотаном, диэтиловым эфиром и др. общими анестетиками), при кратковременных (длительностью 15-20 мин) внеполостных хирургических и диагностических процедурах: эндоскопия, бронхоскопия, болезненные перевязки и др. (мононаркоз или в комбинации с местными анестетиками); судорожный синдром (столбняк, эклампсия, анафилаксия, передозировка антихолинэстеразных средств и др.), острое психическое возбуждение, в т.ч. при алкогольном психозе.
ПРОТИВОПОКАЗАНИЯ: гиперчувствительность, нарушение функции почек и печени, сердечная недостаточность; нарушения коронарной и общей гемодинамики, в т.ч. коллапс; заболевания носоглотки и дыхательной системы, включая бронхиальную астму; непроходимость кишечника, шоковые, гипоксические, септические и лихорадочные состояния, болезнь Адиссона, сахарный диабет, выраженное истощение; ранний детский возраст.
Ограничения к применению: гипотензия, гипертензия, анемия, тяжелые нарушения обмена веществ, выраженное ожирение или истощение, пожилой и старческий возраст, беременность.
Применение при беременности и кормлении грудью: При беременности возможно, если ожидаемая польза для матери превосходит потенциальный риск для плода. Не рекомендуется для обезболивания при кесаревом сечении (может вызвать асфиксию плода).
ПОБОЧНЫЕ ЭФФЕКТЫ: со стороны респираторной системы: угнетение дыхания (особенно при быстром введении), понижение вентиляции легких, гиперкапния, отек легких, бронхоспазм. Со стороны сердечно-сосудистой системы (кроветворение, гемостаз): брадикардия, компенсаторная тахикардия, артериальная гипотензия, коллапс, угнетение сократимости миокарда, остановка сердца (при наличии изменений в миокарде и коронарных сосудах). Со стороны нервной системы и органов чувств : головная боль, двигательное и психическое возбуждение, при пробуждении тремор, судороги; ретроградная амнезия, сонливость. Прочие: вагусные реакции (гиперсаливация, ларингоспазм и др.), аллергические реакции (крапивница и др.), тошнота и рвота (при пробуждении), нарушения детоксицирующей функции печени, пигментного, белкового и углеводного обмена, уменьшение диуреза; местные: при в/в введении тромбофлебит; паравенозном - воспалительный инфильтрат, некроз; случайном в/а - сильная боль в пальцах конечности, гангрена.
ВЗАИМОДЕЙСТВИЯ: потенцируют наркозное действие нейролептики, транквилизаторы, анальгетики, снотворные средства, трициклические антидепрессанты, алкоголь и ингибиторы МАО (тормозят микросомальные ферменты). Тиреоидные гормоны повышают активность и токсичность. Аналептики, витамины РР и B1, АТФ уменьшают длительность посленаркозного сна. Противосудорожный эффект ослабляют резерпин и препараты его содержащие. Усиливает эффект гипотензивных средств, местных анестетиков, средств, угнетающих ЦНС. Изменяет (усиливает или ослабляет) действие непрямых антикоагулянтов, ускоряет экскрецию витамина С; ослабляет активность глюкокортикоидов; несовместим со стимуляторами ЦНС. Фармацевтически несовместим (нельзя смешивать в одном шприце) с суксаметонием.
Передозировка: симптомы: угнетение дыхания, вплоть до апноэ, и проявления кардиодепрессии, вплоть до остановки сердца; гипотензия, коллапс, кома. Лечение: введение специфического антагониста - бемегрида (в/в медленно, взрослым - 5-10 мл 0,5% раствора, при недостаточности или отсутствии эффекта - повторно). Следует иметь ввиду, что эффект бемегрида проявляется только если введенная доза гексобарбитала не превышает 2 г, а длительность коматозного состояния не более 12 ч; симптоматическая терапия: при остановке дыхания - ИВЛ, кислород 100%, при выраженной гипотензии - введение вазопрессоров, кальция хлорида (взрослым - до 10 мл 10% раствора в/в).
ПРИМЕНЕНИЕ: в/в, в/м, ректально. Для наркоза, взрослым - в/в струйно медленно, 1-2% раствор (в некоторых случаях 2,5-5% раствор); вначале вводят тест-дозу: 1-2 мл со скоростью 1 мл/мин (не более); при отсутствии побочных эффектов через 30-40 с - с той же скоростью инъецируют остальную часть дозы, необходимую для достижения желаемого эффекта; общая доза составляет 500-700 мг, обычно 8-10 мг/кг, в зависимости от вида процедуры, состояния, возраста и массы тела больного. У ослабленных больных и детей, при сердечно-сосудистых заболеваниях используют 1% раствор.
Для получения длительного (более 20-30 мин) наркоза вводят в/в капельно 2% раствор на изотоническом растворе натрия хлорида со скоростью 5-20 или 0,5-1% раствор. При проведении бронхоскопии 1-2% раствор (в дозе 400-600 мг) в/в струйно в течение 2-3 мин. Купирование психомоторного возбуждения - в/в струйно 2-10 мл 5-10% раствора; при маниакально-депрессивном психозе возможно в/м (0,5-1 мл 10% раствора) или ректальное введение (в клизмах по 0,5 г в 20-30 мл воды). При остром судорожном синдроме: взрослым - 0,5-1 мл 10% раствора в/м или 0,5 г в 20-30 мл воды ректально; детям - ректально (10% раствор) или в/м (5% раствор) из расчета 0,5 мл/кг: либо в/в струйно медленно в виде 1% раствора в дозе, не превышающей 15 мг/кг. Высшая разовая и высшая суточная доза для взрослых при в/в введении - 1 г.
Меры предосторожности: манипуляции в полости рта и глотки производят только после достижения необходимого уровня наркоза (возможна резкая кашлевая реакция, ларингоспазм, бронхоспазм, брадикардия). Для предупреждения побочных эффектов, связанных с возбуждением блуждающего нерва, во время премедикации больному вводят атропин или метоциния йодид. Следует учитывать, что степень угнетения дыхания и кровообращения зависит от дозы и скорости в/в введения. С осторожностью используют в качестве противосудорожного средства при отравлении стрихнином, т.к. инъекция гексобарбитала может провоцировать судорожный приступ.
ОСОБЫЕ УКАЗАНИЯ: растворы готовят на изотоническом растворе натрия хлорида или стерильной (бидистиллированной) воде для инъекций, в асептических условиях, непосредственно перед введением; хранят не более 1 ч; используют лишь абсолютно прозрачными.
Тиопентал-натрий
Thiopentaium-natrium

![]()
М.м. 264,32 М.м. 105,99
ПОКАЗАНИЯ: вводная анестезия и поддержание анестезии, эпилептические припадки, повышение ВЧД, наркоанализ.
ПРИМЕНЕНИЕ: Дозы.В/в. Вводная анестезия
Дети <1года: 5—8мг/кг.
Дети 1—12лет: 5—6мг/кг.
Дети >12лет и взрослые: 3—5мг/кг.
Поддержание анестезии
Дети: 1мг/кг по мере необходимости.
Взрослые: 25—100мг по мере необходимости.
Повышение ВЧД , дети и взрослые: 1,5—5мг/кг; при необходимости повторяют в той же дозе.
Эпилепсия
Дети: 2—3мг/кг, при необходимости повторяют в той же дозе.
Взрослые: 75—250мг, при необходимости повторяют в той же дозе.
Ректально (>3ч до введения препарата ничего не дают внутрь)
Дети <3мес: 15мг/кг, при неэффективности через 15—20мин однократно вводят 7,5мг/кг.
Дети >3мес и взрослые: 25мг/кг, при неэффективности через 15—20мин однократно вводят 15мг/кг; максимальная общая доза у детей >34кг— 1г, у взрослых >90кг— 3г.
Возраст недоношенных детей определяют от даты предполагаемых нормальных родов.
Расчетную дозу округляют в сторону меньшего значения с интервалом 50мг. Ослабленным больным, а также при сопутствующей терапии хлоралгидратом, петидином, хлорпромазином и прометазином дозу тиопентала снижают.
Торговые названия, формы выпуска, производители
Тиопентал: порошок для приготовления инъекционного раствора 500мг и 1г во флаконах. "Биохеми".
Тиопентал: порошок для приготовления инъекционного раствора 500мг и 1г во флаконах. "Плива".
2. Лекарственные средства, производные урацила
Общая формула препаратов, производных урацила:

2.1 Лекарственные вещества, оказывающие анаболическое действие
Калия оротат
(Kalii orotas)
Калиевая соль урацил-6-карбоновой (оротатной) кислоты.

Синонимы : Dioron, Kalium oroticum, Orocid, Oropur, Potassium Orotate.
Белый кристаллический порошок. Очень мало растворим в воде.
Форма выпуска: таблетки по 0,1 г (для детей) и 0,5 г (для взрослых).
Для назначения детям выпускается также в виде гранул (для изготовления сиропа).
ФАРМАКОЛОГИЧЕСКИЕ СВОЙСТВА: Оротовая кислота является одним из предшественников пиримидиновых нуклеотидов, входящих в состав нуклеиновых кислот, которые участвуют в синтезе белковых молекул. Оротовая кислота и ее соли рассматриваются, поэтому как вещества анаболического действия и применяются при нарушениях белкового обмена, как общие стимуляторы обменных процессов. Обычно применяют калиевую соль оротовой кислоты (калия оротат).
ПОКАЗАНИЯ: назначают калия оротат в сочетании с другими средствами (витаминами и др.) при заболеваниях печени (за исключением циррозов печени с асцитом), вызванных острыми и хроническими интоксикациями, при дистрофии миокарда, алиментарной и алиментарно-инфекционной дистрофии у детей и при других показаниях, когда целесообразно стимулирование анаболических процессов. Имеются данные о применении калия оротата для лечения прогрессирующей мышечной дистрофии. Иногда препарат используют при аритмиях (особенно экстрасистолии и мерцательной аритмии); действие препарата объясняют в этих случаях наличием в препарате иона калия (см. Калия хлорид), однако содержание калия в препарате невелико (20 %).Калия оротат применяют также для улучшения анаболических процессов при напряженных физических нагрузках.
ПРИМЕНЕНИЕ: внутрь (за 1 ч до еды или через 4 ч после нее). Доза для взрослых от 0,5 до 1,5 г в день (по 0,25-0,3 г 2-3 раза в день). Курс лечения 20-40 дней, а в некоторых случаях и дольше. При необходимости повторяют курс лечения после месячного перерыва. В отдельных случаях в зависимости от эффективности и переносимости суточную дозу для взрослых увеличивают до 3 г. Детям (при алиментарной и алиментарно-инфекционной гипотрофии, анемиях, в периоде реконвалесценции и др.) назначают из расчета 10-20 мг на 1 кг массы тела в сутки (в 2-3 приема). Курс лечения 3-5 нед. Препарат обычно хорошо переносится. В отдельных случаях наблюдаются аллергические дерматозы, быстро проходящие после отмены препарата; при необходимости назначают противогистаминные препараты. Возможны диспепсические явления.
Пентоксил
Реntoxylum
4-Метил-5-оксиметилурацил

Белый кристаллический порошок со слабым запахом формалина. Очень мало растворим в воде, практически нерастворим в спирте, растворим в растворах едких щелочей.
Формы выпуска: порошок; таблетки, покрытые оболочкой, по 0,025 и 0,2 г в упаковке по 10 штук.
ФАРМАКОЛОГИЧЕСКИЕ СВОЙСТВА: стимулирует метаболизм фагоцитов; обладает антикатаболической активностью, ускоряет процессы клеточной регенерации, оказывает противовоспалительное действие, стимулирует лейкопоэз и эритропоэз.
Стимулирует клеточные и гуморальные факторы защиты
Применяют как стимулятор лейкопоэза при тех же показаниях, что метилурацил. Имеются данные о благоприятном действии пентоксила у больных с трофическими язвами, ожогами, свищами, переломами костей, а также о его терапевтической эффективности при язвенной болезни желудка и хроническом панкреатите. Применяют также у больных с инфекционно-воспалительными заболеваниями органов дыхания, протекающими с нейтропенией и угнетением фагоцитоза.
ПРИМЕНЕНИЕ: назначают внутрь. Продолжительность лечения 15 - 20 дней и больше в зависимости от эффективности и переносимости препарата (при хроническом панкреатите до 1 - 1,5 мес). Дозы: для взрослых: 0,2 - 0,3 г (до 0,4 г) на прием; для детей до 1 года 0,015 г, от 1 года до 3 лет - 0,025 г, 3 - 8 лет - 0,05 г, 8 - 12 лет - 0,075 г, старше 12 лет - 0,1 - 0,15 г на прием. Препарат принимают 3 - 4 раза в день после еды. В связи с раздражающим действием, пентоксил может при приеме внутрь вызывать диспепсические явления. Местно в связи с раздражающими свойствами пентоксил не применяют.
ПРОТИВОПОКАЗАНИЯ: лимфогрануломатоз, лейкоз, злокачественные заболевания костного мозга.
ПОБОЧНЫЕ ЭФФЕКТЫ: головная боль, головокружение, диспептические явления, аллергические реакции.
Хранение: список Б. В хорошо укупоренной таре.
2.2 Лекарственные средства, обладающие противоопухолевой активностью
Флуороурацил
Fluorouracil

5-фторурацил
Международное название: Флуороурацил (Fluorouracil).
ФАРМАКОЛОГИЧЕСКИЕ СВОЙСТВА: Флуороурацил – антиметаболит урацила. Механизм действия обусловлен превращением препарата в тканях в активный метаболит фторуридинмонофосфат, который является конкурентным ингибитором фермента тимидилатсинтетазы, принимающего участие в синтезе нуклеиновых кислот. Флуороурацил нарушает синтез ДНК и вызывает образование структурно несовершенной РНК, угнетая деление опухолевых клеток. Активные метаболиты локализуются внутри клетки. Фармакокинетика. После внутривенного введения препарат быстро биотрансформируется и распределяется в опухолевых тканях, слизистой оболочке кишечника, костном мозге, печени и других тканях. Легко проникает через гематоэнцефалический барьер, попадая в спинномозговую жидкость и ткани головного мозга. Метаболизируется в основном в печени с образованием неактивных метаболитов. Период полувыведения флуороурацила зависит от вводимой дозы и составляет 8-22 минуты. Около 20% препарата выводится почками в неизмененном виде в течение 6 часов (90% из этого количества выводится в течение 1-го часа) и 60-80% – через дыхательные пути в форме СО2, незначительное количество выделяется с желчью.
Характеристики5-Фторурацил-Эбеве 500 мг/10мл фл. N.1:
1 мл раствора содержит: Активное вещество: флуороурацил 50 мг Вспомогательные вещества: гидроксид натрия, вода для инъекций
ПОКАЗАНИЯ: рак толстой и прямой кишки, рак молочной железы, рак пищевода, рак желудка, рак поджелудочной железы, первичный рак печени, рак яичников, рак шейки матки, рак мочевого пузыря, злокачественные опухоли головы и шеи, рак предстательной железы, рак надпочечников, рак полового члена, карциноид
ПРИМЕНЕНИЕ: Флуороурацил входит в состав многих схем химиотерапевтического лечения, в связи с чем при выборе пути введения, режима и доз в каждом индивидуальном случае следует руководствоваться данными специальной литературы. Препарат вводят внутривенно струйно или путем медленной инфузии, внутриартериально, внутриполостно Рекомендуются следующие дозы и режимы: 500 мг/м2 или 12-13,5 мг/кг ежедневно в течение 3-5 дней, интервал между курсами – 4 недели; 600 мг/м2 или 15 мг/кг (высшая разовая доза 1 г) 1 раз в неделю, 6-10 доз; 600 мг/м2 в 1 и 8 дни внутривенно в комбинациях с другими цитостатиками; 1 г/м2/сутки внутривенно капельно в виде постоянной инфузии в течение 96-120 часов; При применении в сочетании с кальция фолинатом дозу флуороурацила обычно уменьшают на 25-30%
ПОБОЧНЫЕ ЭФФЕКТЫ: со стороны органов кроветворения: лейкопения, нейтропения, редко – тромбоцитопения, анемия. Наиболее значительное падение количества лейкоцитов обычно наблюдается с 9 по 14 день (вплоть до 25 дня), тромбоцитов – с 7 по 17 день лечения. Со стороны пищеварительной системы: снижение аппетита, тошнота, рвота, воспаление и/или изъязвление слизистых оболочек ЖКТ (в т.ч. стоматит), диарея, кровотечение из желудочно-кишечного тракта, изжога и изменение вкуса, нарушение функции печени. Со стороны сердечно-сосудистой системы: очень редко – боли в области сердца, аритмии, ишемия, инфаркт миокарда, стенокардия, сердечная недостаточность. Со стороны нервной системы: редко – мозжечковая атаксия, нарушение чувствительности, дезориентация, спутанность сознания, эйфория, нистагм, ретробульбарный неврит, головная боль.
Со стороны органов чувств: раздражение слизистой оболочки глаз, избыточное слезотечение вследствие стеноза протоков (10%-25%), светобоязнь, катаракта, корковая слепота (при высоких дозах), нарушение зрения.
Со стороны репродуктивной системы: обратимое угнетение функции половых желез, приводящее к аменорее или азооспермии. Со стороны кожи и кожных придатков: алопеция (редко), гиперпигментация кожи, сухость и трещины кожи, телеангиоэктазии, синдром ладонно-подошвенной эритродизестезии (ощущение покалывания в кистях и стопах с последующим появлением боли, гиперемии и отека); изменение и схождение ногтевых пластинок (редко), фотосенсибилизация. Аллергические реакции: кожная сыпь, дерматит, крапивница, гиперемия кожи ладоней и подошв, бронхоспазм, анафилаксия (редко). Прочие: лихорадка (редко), тромбофлебит в месте введения, носовое кровотечение, кашель, одышка, гиперурикемия, слабость, развитие вторичных инфекций.
ПРОТИВОПОКАЗАНИЯ: повышенная чувствительность к флуороурацилу и/или любому другому компоненту препарата. Беременность и кормление грудью. Выраженная лейкопения, нейтропения, тромбоцитопения, стоматит, изъязвления слизистой оболочки ЖКТ, псевдомембранозный энтероколит. С осторожностью: почечная и/или печеночная недостаточность, острые инфекционные заболевания вирусной, грибковой или бактериальной природы (в т.ч. туберкулез, ветряная оспа, опоясывающий лишай), инфильтрация костного мозга опухолевыми клетками, ранее проводившаяся лучевая терапия или химиотерапия.
Дополнительные сведения: Флуороурацил является цитотоксическим препаратом, поэтому в обращении с ним необходимо соблюдать осторожность. При появлении стоматита или диареи лечение препаратом необходимо прекратить до исчезновения этих симптомов. Следует соблюдать осторожность при назначении больным, ранее подвергавшимся воздействию высоких доз радиации на область малого таза или получавших алкилирующие препараты. В период лечения необходимо контролировать общее число лейкоцитов, абсолютное число нейтрофилов, тромбоцитов, гемоглобин, активность "печеночных" проб и уровень билирубина, осматривать полость рта больного для выявления признаков стоматита. Мужчинам и женщинам детородного возраста во время лечения флуороурацилом и как минимум в течение 3 месяцев после следует применять надежные методы контрацепции.
ВЗАИМОДЕЙСТВИЯ: Кальция фолинат усиливает терапевтический и токсический эффекты флуороурацила. Применение в комбинации с другими цитостатиками и интерфероном-альфа также может наблюдаться усиление, как противоопухолевого эффекта, так и токсичности флуороурацила.
При длительном совместном применении с митомицином С наблюдалось появление гемолитического уремического синдрома. Флуороурацил не следует применять после и совместно с терапией фенилбутазоном и сульфаниламидами. Хлордиазепоксид, дисульфирам. гризеофульвин и изониазид могут усиливать активность 5-фторурацила. В связи с тем, что при лечении флуороурацилом возможно подавление естественных защитных механизмов, вакцинацию рекомендуется проводить спустя некоторое время после окончания лечения флуороурацилом: интервал варьирует от 3 мес. до 1 года.
Фторафур
Phtorafurum

Формы выпуска: раствор для инъекций 4%, капсулы 400мг, мазь 5%, субстанция
ФармГруппа
Антиметаболиты - аналоги пиримидина
Международное непатентованное наименование
Тегафур
Синонимы
Фторафур-Тева
ФАРМАКОЛОГИЧЕСКИЕ СВОЙСТВА: противоопухолевое (цитостатическое). В организме гидролизуется с образованием фторурацила. Последний блокирует тимидилатсинтетазу и синтез ДНК, внедряется в структуру РНК, делая ее дефектной, и ингибирует клеточную пролиферацию. Интенсивно проникает в большинство тканей и жидкостей, включая ЦНС и спинномозговую жидкость. Выводится с мочой частично в неизмененном виде, остальное подвергается биотрансформации в печени и др. тканях.
ПРИМЕНИЕ: злокачественные опухоли ЖКТ и печени (гепатоцеллюлярный рак и метастазы), молочной железы, матки и яичников, мочевого пузыря и предстательной железы, головы и шеи, изъязвившиеся базалиомы, кожные лимфомы, диффузный нейродермит.
ПРОТИВОПОКАЗАНИЯ: гиперчувствительность, угнетение костномозгового кроветворения, выраженные изменения состава крови, анемия, лейкопения, тромбоцитопения, геморрагия, тяжелые инфекции, язвенная болезнь желудка и двенадцатиперстной кишки, риск кровотечений в ЖКТ, дисфункция печени и почек, беременность.
ПОБОЧНЫЕ ЭФФЕКТЫ: спутанность сознания, сонливость, атаксия, эйфория, диплопия, боли в сердце, ишемия, инфаркт миокарда, миелосупрессия, анорексия, диарея, стоматит, боль в горле, фарингит, эзофагит, изъязвление слизистой оболочки ЖКТ, кровотечения, диспепсия, недостаточность печени и почек, слезотечение, фиброзы слезных протоков, алопеция и др. нарушения регенерации кожи, ногтей и волос, аллергические реакции, анафилактический шок. При использовании мази: сухой эпидермит, гиперемия, сухость, зуд, шелушение, гиперпигментация.
ВЗАИМОДЕЙСТВИЯ: усиливает (взаимно) эффект метотрексата. Антибактериальные (метронидазол) и противоязвенные (циметидин) препараты ингибируют метаболизм и увеличивают плазменную концентрацию, длительность и токсичность. Способен реагировать со слабокислыми лекарственными средствами (является слабым основанием) с непрогнозируемыми последствиями. Несовместим с цитарабином, диазепамом, антрациклиновыми антибиотиками.
ОСОБЫЕ УКАЗАНИЯ: в процессе лечения следует регулярно контролировать картину периферической крови. Применение допустимо не ранее чем через месяц после предшествующего лучевого или химиотерапевтического лечения.
Допан
Dopanum
4-Метил-5- [бис-(β-хлорэтил)] аминоурацил

Форма выпуска: таблетки по 0,002 г в упаковке по 35 штук.
ФАРМАКОЛОГИЧЕСКОЕ ДЕЙСТВИЕ: по химическому строению и действию на организм близок к эмбихину
ПОКАЗАНИЯ: лимфогранулематоз, миелолейкоз (со спленомегалией), хронический лим-фолейкоз.
ПРОТИВОПОКАЗАНИЯ: противопоказано применение при остром лейкозе, быстротекущих и острых формах лимфогранулеметоза, а также при хроническом миелолейкозе с резким обострением болезни, быстрым нарастанием количества гемоцитобла-стов в крови и прогрессирующей анемией.
ОГРАНИЧЕНИЕ К ПРИМЕНЕНИЮ: Допан относительно противопоказан при лимфогранулематозе, протекающем на фоне ослабленного, костномозгового кроветворения, в частности при уровне лейкоцитов ниже 4,5х109 /л и тромбоцитов ниже 150х109 /л
ПОБОЧНЫЕ ЭФФЕКТЫ: у части больных через 1-3 ч после введения препарата возникают тошнота и головная боль, иногда бывает рвота Для ослабления или устранения рвоты назначают аминазин или этаперазин.
ПРИМЕНЕНИЕ: назначают внутрь после еды в дозе 6-10 мг через каждые 5 дней (детям по 0,1-0,2 мг/кг). Курс лечения состоит из 5-7 приемов препарата При хроническом миелолейкозе назначают по 12 мг 1-2 раза через 3-4 сут, затем дозу уменьшают до 10 мг с теми же промежутками Общая доза на курс лечения составляет 30-130 мг в зависимости от переносимости препарата, особенно от реакции кроветворной системы больного.
3. Лекарственные средства, производные пиримидина и тиазола
3.1 Витамины и витаминоподобные средства
Витамин B1 участвует также в процессах водного обмена, оказывает влияние на белковый обмен. Влияет на процессы дезаминирования и переаминирования аминокислот. Для проявления всех этих свойств молекула витамина B1 должна быть специфической. Изменение структуры молекулы и отдельных функциональных групп приводит к резкому изменению физиологического действия витамина B1 . Так, если аминогруппу в положении 4 пиримидинового цикла заменить на ОН-группу, то физиологическая активность пропадает. Замещение метальной группы на этильную в положении 4 тиазолового ядра уменьшает активность витамина вдвое, а при одновременном введении этой группы в положение 2 пиримидинового цикла — в 6 раз. Все остальные изменения молекулы тиамина, например перемещение аминогруппы в положение 4, введение заместителей в ядро пиримидина, приводят к уменьшению активности в десятки и сотни раз, а в некоторых случаях к полной потере биологической активности. Интересно отметить, что окисление спиртовой группы в положении 5 тиазолового ядра до альдегидной приводит к соединению (тиаминальдегид), обладающего некоторой витаминной активностью.
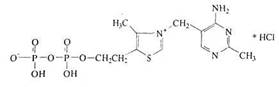
Тиамина бромид
Thiamini bromidum
4-Метил-5-β-оксиэтил-Ν-(2'-метил-4'-амино-5'-метил- пиримидил) -тиазолий бромида гидробромид

М.м. 435,1
ТИАМИН (Тhiaminum). ВИТАМИН В (Vitaminum В 1).
Синонимы : Aneurin, Anevryl, Benerva, Beneurin, Berin, Betabion, Betamine, Betaneurin, Betavitan, Betaxin, Bethiamin, Bevimin, Bevital, Bevitine, Crystovibex, Oryzanin, Thiamin, Vitaplex B1 идр.
В природе витамин В 1 содержится в дрожжах, зародышах и оболочках пшеницы, овса, гречихи, а также в хлебе, изготовленном из муки простого помола. При тонком помоле наиболее богатые витамином В 1 части зерна удаляют с отрубями, поэтому в высших сортах муки и хлеба содержание витамина В 1 резко снижено.
Тиамина бромид (Тhiamini bromidum) - белый или белый со слегка желтоватым оттенком порошок.
ПОКАЗАНИЯ: гиповитаминоз и авитаминоз B1 (в т.ч. у пациентов, находящихся на зондовом питании, на гемодиализе, страдающих синдромом мальабсорбции), сниженное поступление витамина в организм - нарушение всасывания в кишечнике, голодание, хронический алкоголизм, выраженные нарушения функции печени, тиреотоксикоз, повышенная потребность в витамине - беременность, лактация, период интенсивного роста; неврит, радикулит, невралгия, периферический парез или паралич, атония кишечника, миокардиодистрофия, дерматозы, лишай, псориаз, экзема, интоксикация.
ПРИМЕНЕНИЕ: Тиамина бромид в связи с его большей относительной молекулярной массой (435, 2) применяют в несколько больших дозах, чем тиамина хлорид (отн. М. м. 337,27). Внутрь (после еды) и парентерально. Доза при приеме внутрь составляет для взрослых 10 мг 1-3 (до 5) раза в день. Детям в возрасте до 3 лет назначают по 5 мг через день; 3-8 лет - по 5 мг 3 раза в день через сутки; старше 8 лет - по 10 мг 1-3 раза в день. Курс лечения - обычно 30 дней. Начинать парентеральное введение рекомендуется с малых доз (не более 0,5 мл 5% или 6% раствора), и только при хорошей переносимости вводят более высокие дозы. В/м взрослым – по 0,03-0,06 г тиамина бромида (1 мл 3% или 6% раствора) 1 раз в день ежедневно. Детям - по 0,015 г тиамина бромида (0,5 мл 3% раствора). Курс - 10-30 инъекций.
Тиамина бромида таблетки (Tabulettae Thiamini bromidi).
Тиамина бромида раствор для инъекций (Solutio Thiamini bromidi pro injectionibus).
ПРОТИВОПОКАЗАНИЯ: гиперчувствительность.
ПОБОЧНЫЕ ЭФФЕКТЫ: аллергические реакции - отек Квинке, крапивница, кожный зуд.
ВЗАИМОДЕЙСТВИЯ: ослабляет эффект деполяризующих миорелаксантов (дитилина и др.). Пиридоксин тормозит превращение тиамина в тиаминпирофосфат, усиливает аллергизацию. Фармацевтически несовместим (в одном шприце) с пенициллином, стрептомицином, никотиновой кислотой.
Тиамина хлорид
Thiamini chloridum
4-Метил-5-β-оксиэтил-Ν-(2'-метил-4'-амино-5'-метил-пиримидил)-тиазолий-хлорида гидрохлорид

![]()
М.м. 337,27
Фармакологические группы: Витамины и витаминоподобные средства.
Тиамина хлорид (Тhiаmini chloridum) белый кристаллический порошок.
Нозологическая классификация (МКБ-10): E05 Тиреотоксикоз [гипертиреоз]. E51 Недостаточность тиамина. F10.2 Синдром алкогольной зависимости. G54.1 Поражения пояснично-крестцового сплетения. G83 Другие паралитические синдромы. I25 Хроническая ишемическая болезнь сердца. I42 Кардиомиопатия. K25 Язва желудка. K26 Язва двенадцатиперстной кишки. K73 Хронический гепатит, не классифицированный в других рубриках. L08.0 Пиодермия. L29 Зуд. L30.9 Дерматит неуточненный. L40 Псориаз. L43 Лишай красный плоский. L98.9 Поражение кожи и подкожной клетчатки неуточненное. M79.2 Невралгия и неврит неуточненные. R68.8 Другие уточненные общие симптомы и признаки
Фармакологическое действие.
Действующее вещество (МНН) Тиамин (Thiamine)
ПРИМЕНЕНИЕ: гиповитаминоз и авитаминоз B1 (в т.ч. у пациентов, находящихся на зондовом питании, на гемодиализе, страдающих синдромом мальабсорбции), сниженное поступление витамина в организм— нарушение всасывания в кишечнике, голодание, хронический алкоголизм, выраженные нарушения функции печени, тиреотоксикоз, повышенная потребность в витамине— беременность, лактация, период интенсивного роста; неврит, радикулит, невралгия, периферический парез или паралич, атония кишечника, миокардиодистрофия, дерматозы, лишай, псориаз, экзема, интоксикация.
ПРОТИВОПОКАЗАНИЯ: гиперчувствительность.
ПОБОЧНЫЕ ЭФФЕКТЫ: аллергические реакции— отек Квинке, крапивница, кожный зуд.
ВЗАИМОДЕЙСТВИЯ: ослабляет эффект деполяризующих миорелаксантов (дитилина и др.). Пиридоксин тормозит превращение тиамина в тиаминпирофосфат, усиливает аллергизацию. Фармацевтически несовместим (в одном шприце) с пенициллином, стрептомицином, никотиновой кислотой.
ПРИМЕНЕНИЕ: Внутрь (после еды) и парентерально. Доза при приеме внутрь составляет для взрослых 10мг 1–3 (до 5) раза в день. Детям в возрасте до 3 лет назначают по 5мг через день; 3–8 лет— по 5мг 3 раза в день через сутки; старше 8 лет— по 10мг 1–3 раза в день. Курс лечения— обычно 30 дней. Начинать парентеральное введение рекомендуется с малых доз (не более 0,5мл 5% или 6% раствора), и только при хорошей переносимости вводят более высокие дозы.
В/м взрослым— по 0,02–0,05г тиамина хлорида (1мл 2,5% или 5% раствора) 1 раз в день ежедневно. Детям— по 0,0125г тиамина хлорида (0,5мл 2,5% раствора). Курс— 10–30 инъекций.Тиамин (Thiaminum) Тиамина хлорид (Thiamini chloridum).
Тиамина хлорида раствор для инъекций 5% (Solutio Thiamini chloridi pro injectionibus 5%).
Тиамина хлорид-УВИ (Thiamini chloridum-UVI).
Тиамина гидрохлорид (Thiamin hydrochloride).
Тиамина хлорида раствор для инъекций (Solutio Thiamini chloridi pro injectionibus).
Тиамина хлорид-рулин (Thiamine chloride-rulin).
Тиамина хлорида таблетки, покрытые оболочкой, 0,1 г (Tabulettae Thiamini chloridi obductae 0,1 g).
Не безразлично для проявления витаминной активности витамина B1 и тиазоловое кольцо. В ряде случаев при замене его на другие гетероциклические системы получаются соединения, парализующие действие витамина В).
Так, антагонистами (антивитаминами) витамина B1 являются: имидазоловый аналог (V), 2'-н-бутилпиримидиновый аналог (VI) и еще более сильным антагонистом его является пиридиновый аналог (VII).



В последние годы стал известен и другой синтетический антагонист витамина B1 — 2-трифторметилтиамин:

Установлено, что этот ингибитор обладает способностью подавлять развитие лейкемии.
Для организма важное значение имеют эфиры тиамина с фосфорными кислотами. Тиамин, поступая с пищей, всасывается из кишечника через кровь в ткани и там подвергается фосфорилированию. Образующийся тиаминдифосфат (ТДФ) или кокарбоксилаза является биологическим катализатором, участвующим в декарбоксилировании пировиноградной кислоты, которая, являясь продуктом углеводного обмена, оказывает токсическое действие на нервные клетки, вызывая полиневрит.

Кокарбоксилаза совместно с протеином и магнием входит в состав карбоксилазы и некоторых других ферментных систем, необходимых для организма.
В настоящее время кокарбоксилаза получена синтетически и применяется в качестве лекарственного препарата.
Кокарбоксилаза
Cocarboxylase

Гидрохлорид дифосфатного эфира тиамина.
Синонимы: Cocarboxylasum(Кокарбоксилаза, син. Котиамин, Тиаминпирофосфат, Beralase, B-Neuran, Cocarbil, Cocarboxyl, Cocarboxylase, CoenzymeB, Diphosphothiamin, Pyruvodehydraseи др.).
Фармакологические группы: Витамины и витаминоподобные средства.
ПРМИМЕНЕНИЕ: метаболический, дыхательный и диабетический ацидоз; почечная, печеночная, сердечная (острая, хроническая) недостаточность; нарушение сердечного ритма, прединфарктное состояние, инфаркт миокарда, диабетическая и печеночная кома, периферические невриты, рассеянный склероз, хронический алкоголизм, интоксикации, патологические процессы, сопровождающиеся нарушением углеводного обмена. У новорожденных - перинатальная гипоксическая энцефалопатия, дыхательная недостаточность, пневмония, сепсис; другие состояния, сопровождающиеся гипоксией и ацидозом.
ПРОТИВОПОКАЗАНИЯ: гиперчувствительность.
ПОБОЧНЫЕ ЭФФЕКТЫ: аллергические реакции: крапивница, кожный зуд; при в/м введении гиперемия, зуд, отек в месте введения.
ВЗАИМОДЕЙСТВИЯ: усиливает эффект и улучшает переносимость сердечных гликозидов.
ПРИСМЕНЕНИЕ: В/м или в/в (струйно или капельно), взрослым при заболеваниях сердца 0,05-0,1 г/сут. Курс лечения 15-30 дней. При сахарном диабете - в/в 0,1-1,0 г/сут (без прекращения обычной противодиабетической терапии) в течение 5-10 дней; при острой почечной или печеночной недостаточности, интоксикациях, ожогах - в/в (струйно) 0,05-0,15 г 3 раза в сутки или капельно (предварительно растворив в 400 мл 5% раствора глюкозы) по 0,1-0,3 г/сут; при периферических невритах и рассеянном склерозе - в/м 0,05-0,1 г/сут в течение 1-1,5 мес. Детям 0,025-0,05 г/сут в течение от 3-7 до 15 дней. Новорожденным назначают сублингвально.
ОСОБЫЕ УКАЗАНИЯ: Кокарбоксилаза применяется преимущественно в составе комплексной терапии.
Торговые названия препаратов с действующим веществом Кокарбоксилаза (Cocarboxylase).
Кокарбоксилазы гидрохлорид (Cocarboxylasi hydrochloridum). Кокарбоксилазы гидрохлорид для инъекций 0,05 г.
(Cocarboxylasi hydrochloridum pro injectionibus 0,05 g).
Кокарбоксилаза-Ферейн (Cocarboxylase-Ferein).
Кокарбоксилазыгидрохлориддляинъекций (Cocarboxylasi hydrochloridum pro injectionibus).
4. Лекарственные средства, производные пиримидина
Пиримидин — составная часть структуры молекул синтетических и биологически активных природных лекарственных веществ (алкалоидов, витаминов). Он представляет собой шестичленный гетероцикл с двумя атомами азота (в положении 1 и 3):
![]()
4.1 Лекарственные средства, обладающие противомикробным действием
Пипемидин
(РІРЕМІРІ N )

8-зтил-5,8-дигидро-5-оксо-2-(1-пиперазинил)-пиридо-[2,3-d]-пиримидин-6-карбоновая кислота, тригидрат
ACIDUMPIPEMIDICUM
Концерн Стирол
СОСТАВ Й ФОРМА ВЬІПУСКА:
табл. 0,2 г контури, ячейк. уп., № 12
габл. 0,2гконтури, ячейк. уп., №24
Пипемидовая кислота 0,2г
Прочие ингредиеиты: лактоза, крахмал картофельньй, повидон низкомолекулярнуй медицинский, кремния диоксид коллоидный, магния стеарат, целлюлоза микрокристаллическая
1 таблетка содержит кислоти пипемидовой тригидрата в пересчете на кислоту пипемидовую — 0.2 г
ФАРМАКОЛОГИЧЕСКИЕ СВОЙСТВА: пипемидовая кислота(8-зтил-5,8-дигидро-5-оксо-2-(1-пиперазинил)-пиридо-[2,3-d]-пиримидин-6-карбоновая кислота, тригидрат) оказывает бактерицидное действие. Активна в отношении большинства как фамотрицательных, так и фам-положительных микроорганизмов, втом числе Staphyllococcusaureus ипредставителей энтерококков и стрептококков. Перекрестная устой-чивость к пипемидовой кислоте и антибиотикам не отмечена, наобо-рот, микроорганизмы, резистентные к антибиотикам, могут быть чувс-вительными к пипемидовой кислоте.
После приема внутрь пипемидовая кислота быстро и полностью усваевается. Из организма выводится с мочой в активной форме в те-чение 12 ч более 70% принятой дозы, что создает в моче концентрации препарата, во много раз превышающие МПК для основных возбудите-лей инфекционно-воспалительных заболеваний мочєвых путей.
ПОКАЗАННЯ: острые и хронические инфекции органов мочеполо-вой системы, вызванныє чувствительными к препарату микроорганизмами, в том числе уретрит, цистит, простатит, пиелонефрит.
ПРИМЕНЕНИЕ: дозу устанавливают индивидуально. Взрослым на-значают внутрь по 400 мг 2 раза в сутки в течение 10 дней, в случае необходимости курс лечения можно продлить. В отдельных случаях разовую дозу можно повысить до 600 мг.
ПРОТИВОПОКАЗАНИЯ: повышенная чувствительность к препара-ту, выраженные нарушения функции печени или почек (клиренс креа-тинина менее 10 мл/мин). Не рекомендуют назначать Пипемидин де-тям в возрасте до 14 лет, а также в І й IIIтриместр беременности и пе-риод кормления грудью.
ПОБОЧНЬІЕ ЭФФЕКТЬІ: возможны побочные явлення со стороны ЖКТ (тошнота, рвота, диарея), кожная сыпь, фотосенсибилизация.
ОСОБЬІЕ УКАЗАНИЯ: активносгь препарата усиливается при ощелачивании мочи. Во время лечения необходимо обеспечивать нормальный диурез. Следует избегать ультрафиолетового облучения в связи с высоким риском возникновения фотосенсибилизации. Пипемидин не влияет на способность управлять автотранспортными средствами.
ВЗАИМОДЕЙСТВИЯ: пипемидовая кислота ингибирует цитохром Р450. При одновременном применении с Пипемидином замедляется метаболизм кофейна й теофиллина, что приводит к повышєнию их кон-центрации в плазме крови.
4.2 Лекарственные средства, обладающие антигельминтной активностью
Пирантел
PYRANTELUM

E – 1,4,5,6-тетрагидро-1-метил-2-(2-(2-тиеиил)винил)пиримидин.
М m = 336,43 Да. Точка плавлення = 178.5 0 С. log Р (октанол-вода) = 3.14.
Форма випуска: таблетки, таблетки п/о, суспензия для внутреннего применения.
ФАРМАКОЛОГИЧЕСКИЕ СВОЙСТВА: пирантел - антигельминтное сред-ство, зффективное при инвазиях острицами (Enterobiusvermicularis), аскаридами (Ascarislumbricoides), анкилостомами (Ancylostomaduodenale и Necatoramericanus) иTrichostongyluscolubriformisиorientalis. Оказивает уме-ренное действие на власоглава (Trichuristrichura). Деполяризующий эффект пирантела приводит к развитию нейромишечной блокади и вследствие это-то к спастическому параличу мышц гельмннтов, способствуя их виведенню с калом. Действует как на половозрелих, так й на неполовозрелих особей, чувствигельних к нему гельминтов.
Плохо всасивается в пищеварительном тракте (менее 3,8%). Концен-трация в плазме крови незначительна - от 0,05 до 0,13 мг/мл. Основнимметаболитом являегся N-метил-1-З-пропандиамин, около 1.2-4,6%, котрого выводится с мочой. Более 93% пирантела выводится в неизмененном виде с калом.
ПОКАЗАННЯ : энтеробиоз, аскаридоз, анкилостомоз, некатороз.
ПРИМЕНЕНИЕ: назначают внутрь, на 1 прием, в любое время дня, нет необходимости принимать слабительные средства или воздерживаться от приема пищи перед применением пирантела.
При энтеробиозе й аскаридозе детям назначают в дозе 125 мг на 10 кг масси тела. Взрослым и подросткам - 750 мг; при массе тела более 75 г- 1000 мг. Для достижения зффекта при лечении энтеробиоза необходимо строгое соблюдение правил личной гигиени, прежде всего детьми, а таже повторный прием пирантела через 3 нед.
При анкилостомозе и некаторозе применяют в тех же дозах, что и при аскаридозе. При тяжелих формах назначают двойную дозу - 20 мг/кг в сутки в 1 или 2 приема в течение 2-3 дней.
ПРОТИВОПОКАЗАНИЯ: нежелательно применение пирантела при нарушеннях функции печени.
ПОБОЧНЬІЕ ЗФФЕКТЬІ: возможни боль в зпигастральной области, тошнота, рвота, в редких случаях - головная боль, головокружение, повышенная утомляемость.
ОСОБЬІЕ УКАЗАНИЯ: не рекомендуется назначать пирантел при надр-шениях функции печени.
В экспериментальних исследованиях тератогенного зффекта пирантела не обнаружено, при необходимости его можно применять в период беременности.
ВЗАИМОДЕЙСТВИЯ: не следует применять пирантел одноврем---с левамизолом (усиление токсичности последнего) и с піперазином, который проявляет по отношению к пирантелу антагонистическое действие.
4.3 Лекарственные средства, обладающие антибактериальным действием
Сульфадимидин
SULFADIMIDINU М

C12 H14 N4 O2 S
4-амиио-N-(4,6-диметил-2-пиримидинил)-бензенсульфонамид
М m = 278,33 Да Белый или слегка желтоватый кристаллический порошок. Практическине растворим в воде, легкорастворим в кислотах и щелочах. Точка плавления =198,5 0 С. Растворимость в воде при температуре 29 0 С = 1500 мг/л. log Р (октанол-вода) = 0.89
Форма в ы пуска: таблетки.
ФАРМАКОЛОГИЧЕСКИЕ СВОЙСТВА: антибактериальное средство груп-пы сульфаниламидов. Угнетает размножение стрептококков, пневмококков, менингококков, дейстеует на кишечную и дизентерийную палочки.
Быстро всасывается и медленно выделяется из организма почками, что позволяет создавать и поддерживать в крови бактериостатическую кон-центрацию.
ПОКАЗАННЯ: пневмония, рожистое воспаление, менингит, пиелит, цистит, уретрит, дизентерия
ПРИМЕНЕНИЕ: внутрь, на 1-й прием -2г, затем - по 1 г каждые 4-6 ч до снижения температури тела, в дальнейшем - по 1 г через 6-8 ч. Курсовая доза - 20-30 г. Внутрь при дизентерии - по 6 г на 1-2-е сутки (по 1 г каждые 4 ч), по 4 г - на 3-й й 4-е сутки (по 1 г через каждые 6 ч) й по 3 г - на 5-е й 6-е сутки (по 1 г через каждые 8 ч). На курс лечения -25-30 г. После перерыва (5-6 дней) назначают повторний курс: в 1-й й во 2-й день - по 1 г 5 раз в сутки. на 3-й й 4-й день - по 1 г 4 раза в сутки й на 5-й день - по 1 г 3 раза в сутки; при повторном курсе назначают 18-21 г сульфадимидина.
Высшие дози внутрь: разовая -2г, суточная -7г. Детям в возрасте до 2 лет - по 0,2 г/кг в сутки; 3-4 лет: разовая - 0,35 г, суточная - 2 г; 5-6лет: разовая- 0,4г, суточная- 2,5г, 7-14лет: разовая- 0,5г, суточная -Зг.
ПРОТИВОПОКАЗАНИЯ: гиперчувствительность. заболевания кровет-ворной системи, нарушения функции почек, гипербилирубинемия у детей (из-за опасности развития билирубиновой энцефалопатии), дефицит глю-козо-6-фосфатдегидрогеназы (из-за опасности развития гемолитическо-го криза), беременность, кормление грудью (следует прекратить грудное вскармливание).
ПОБОЧНЬІЕ ЭФФЭКТЫ: тошнота, рвота. кристаллурия, лейкопения, агранулоцитоз, аллергические реакции
ОСОБЬІЕ УКАЗАНИЯ: на фоне лечения показано обильное щелочное питье; при длительном применении необходим систематический контроль анализа крови.
ВЗАИМОДЕЙСТВИЯ: снижает зффективность бактерицидних антибио-тиков, действующих только на делящиеся микроорганизми (в т.ч. пеницил-лини, цефалоспорини) При токсоплазмозе допустимо сочетание с хлоридином. Всасывание в кишечнике снижается под влиянием антацидов. На фоне одновременного приема бутадиона, производних сульфонилмоче-вини, дифенина, неодикумарина и лрочих средств с высоким сродством к белкам плазмы крови возможно вытеснение сульфадимидина из связи с белками и повышение концентрации его свободной фракции в крови. Высокие дози аскорбиновой кислоти, гексаметилентетрамина (уротропина) усиливают риск кристаллообразования. Антимикробная активность падает в присутствии новокаина, а также препаратов, содержащих ПАБК. Повышает (взаимно) гематотоксичность хлорамфеникола, мерказолила.
5. Список литературы
1. Фармацевтична енциклопедія / Голова ред. ради та автор передмови В.П. Черних. – К.:"Моріон", 2005. – 848 с.: ил. 16 с.
2. Черных В.П. Лекции по органической химии: Учеб. Пособие для студентов высших учебных заведений. – Харьков: Из-во НФаУ: Золотые страницы, 2003. – 456 с.
3. Фармацевтична хімія – Навчальний посібник. / За загальною редакцією П.О. Безуглого. – Вінниця, Нова книга, 2006. – 552 с.
4. Туркевич М., Владзімірська, Лесик Р., Фармацевтична хімія (стероїдні гормони, їх синтетичні замісники і гетероциклічні сполуки як лікарські засоби). Підручник, Вінниця: Нова книга – 2003. – 464 с.
5. Беликов В.Г. Фармацевтическая химия: учебн. для фарм. институтов и фарм. факультетов мед. институтов. – М.: Высшая школа – 1986. - 768 с.
6. Г.А. Мелентьева. Фармацевтическая химия, изд. 2-е, перераб. и доп., Т.1, М.: "Медицина", 1976, 826 с., ил.
7. Г.А. Мелентьева. Фармацевтическая химия. Изд. 2-е перераб. и доп. Т.II, М. , "Медицина" 1976, с ил.
8. А.М. Халецкий. Фармацевтическая химия, Изд-во: "Медицина", 1966.
10. А.И. Несмеянов, Н.А. Несмеянов. Начала органической химии. Кн.2 – М, 1970.
11. Машковский М.Д. Лекарственные средства. – 15-е изд., перераб., испр. и доп.- М.: ООО "Издательство Новая Волна", 2005. – 1200с.: ил.
12. Компендиум 2006 – лекарственные препараты: В 2 т. / Под ред. В.М. Коваленка, О.П. Викторова. – К.: Морион, 2006. – 1128 с.
Похожие рефераты:
Неотложная помощь в невропатологии
Развитие, становление и основные аспекты фармации
Литература - Фармакология (справочник)
Современные лекарственные препараты растительного происхождения
Аллергия и аллергические заболевания
Определение рационального метода лечения на основе истории болезни
Стандарты (протоколы) диагностики и лечения болезней органов пищеварения
Алгоритм оказания неотложной помощи при кардиологических заболеваниях и отравлениях
Общая нозология. Типовые патологические процессы
Фитотерапия заболеваний сердечно-сосудистой системы
Клинический фармакологические исследования
Глазные лекарственные формы пролонгированного действия
Аллергические заболевания как следствие загрязнения окружающей среды