| Скачать .docx | Скачать .pdf |
Доклад: Интерполяционный многочлен Лагранжа
Лабораторная работа
Выполнил: Евгений
2003 год
Интерполирование и экстраполирование данных.
Многочлен Лагранжа, принимающий заданные значения в узловых точках имеет вид:

Задание . Восстановить многочлен Лагранжа, удовлетворяющий приведенным исходным данным.
![]() |
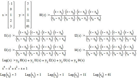
Пример:
Варианты:
| 1). |
0 |
1 |
2 |
5 |
|||||||
| |
2 |
3 |
12 |
147 |
|||||||
| 2). |
-2 |
1 |
2 |
4 |
|||||||
| |
25 |
-8 |
-15 |
-23 |
|||||||
| 3). |
-2 |
-1 |
0 |
1 |
2 |
||||||
| |
6 |
0 |
2 |
0 |
6 |
||||||
| 4). |
0 |
1 |
2 |
5 |
|||||||
| |
3 |
4 |
13 |
148 |
|||||||
| 5). |
-2 |
1 |
2 |
4 |
|||||||
| |
26 |
-7 |
-14 |
-22 |
|||||||
| 6). |
-2 |
-1 |
0 |
1 |
2 |
||||||
| |
5 |
0 |
1 |
0 |
5 |
||||||
| 7). |
-1 |
0 |
1 |
4 |
|||||||
| |
2 |
3 |
12 |
147 |
|||||||
| 8). |
1 |
2 |
3 |
6 |
|||||||
| |
2 |
3 |
12 |
147 |
|||||||
| 9). |
-3 |
0 |
1 |
3 |
|||||||
| |
25 |
-8 |
-15 |
-23 |
|||||||
| 10). |
-1 |
2 |
3 |
5 |
|||||||
| |
25 |
-8 |
-15 |
-23 |
|||||||
| 11). |
-3 |
-2 |
-1 |
0 |
4 |
||||||
| |
6 |
0 |
2 |
0 |
6 |
||||||
| 12). |
-1 |
0 |
1 |
2 |
3 |
||||||
| |
6 |
0 |
2 |
0 |
6 |
||||||
| 13). |
2 |
3 |
4 |
7 |
|||||||
| |
2 |
3 |
12 |
147 |
|||||||
| 14). |
-2 |
-1 |
0 |
3 |
|||||||
| |
2 |
3 |
12 |
147 |
|||||||
| 15). |
-4 |
-1 |
0 |
2 |
|||||||
| |
25 |
-8 |
-15 |
-23 |
|||||||
| 16). |
0 |
3 |
4 |
6 |
|||||||
| |
25 |
-8 |
-15 |
-23 |
|||||||
| 17). |
-1 |
0 |
1 |
4 |
|||||||
| |
3 |
4 |
13 |
148 |
|||||||
| 18). |
1 |
2 |
4 |
6 |
|||||||
| |
1 |
2 |
34 |
146 |
|||||||
| 19). |
-3 |
0 |
1 |
3 |
|||||||
| |
26 |
-7 |
-14 |
-22 |
|||||||
| 20). |
-1 |
2 |
3 |
5 |
|||||||
| |
26 |
-7 |
-14 |
-22 |
|||||||
| 21). |
-3 |
-2 |
-1 |
0 |
1 |
||||||
| |
7 |
1 |
3 |
1 |
7 |
||||||
| 22). |
-1 |
0 |
1 |
2 |
3 |
||||||
| |
5 |
-1 |
1 |
-1 |
5 |
||||||
| 23). |
-1 |
0 |
1 |
2 |
3 |
||||||
| |
2 |
1 |
0 |
1 |
10 |
||||||
| 24). |
-2 |
-1 |
0 |
1 |
|||||||
| |
1 |
6 |
5 |
4 |
|||||||
| 25). |
-3 |
-2 |
-1 |
0 |
|||||||
| |
40 |
27 |
12 |
1 |
|||||||
| 26). |
-2 |
-1 |
0 |
1 |
2 |
||||||
| |
-27 |
-4 |
-1 |
-6 |
-7 |
||||||
| 27). |
-1 |
0 |
1 |
2 |
|||||||
| |
-5 |
-10 |
-1 |
34 |
|||||||
| 28). |
-2 |
-1 |
0 |
1 |
2 |
||||||
| |
16 |
-1 |
0 |
1 |
8 |
||||||
| 29). |
-2 |
-1 |
0 |
1 |
2 |
||||||
| |
-23 |
-6 |
1 |
-2 |
9 |
||||||
| 30). |
1 |
2 |
3 |
4 |
|||||||
| |
1 |
2 |
13 |
40 |
