| Скачать .docx | Скачать .pdf |
Реферат: Алгебраическое и графическое решение уравнений, содержащих модули
Цель работы: хотя уравнения с модулями ученики начинают изучать уже с 6-го – 7-го класса, где они проходят самые азы уравнений с модулями. Я выбрал именно эту тему, потому что считаю, что она требует более глубокого и досканального исследования. Я хочу получить более широкие знания о модуле числа, различных способах решения уравнений, содержащих знак абсолютной величины.
1. Введение:
Слово «модуль» произошло от латинского слова «modulus», что в переводе означает «мера». Это многозначное слово(омоним), которое имеет множество значений и применяется не только в математике, но и в архитектуре, физике, технике, програмировании и других точных науках.
В архитектуре-это исходная еденица измерения, устанавливаемая для данного архитектурного сооружения и служащая для выражения кратных соотношений его составных элементов.
В технике-это термин, применяемый в различных облостях техники, не имеющий универсального значения и служащий для обозначения различных коэффициентов и величин, например модуль зацепления, модуль упругости и .т.п.
Модуль объемного сжатия( в физике)-отношение нормального напряжения в материале к относительному удлинению.
2. Понятия и определения
Чтобы глубоко изучать данную тему, необходимо познакомиться с простейшими определениями, которые мне будут необходимы:
Уравнение-это равенство, сродержащее переменные.
Уравнение с модулем-это уравнение, содержащие переменную под знаком абсолютной величины(под знаком модуля).Например: |x|=1
Решить уравнение-это значит найти все его корни, или доказать, что корней нет.
В математике модуль имеет несколько значений, но в моей исследовательской работе я возьму лишь одно:
Модуль-абсолютная величина числа, равная расстоянию от начала отсчета до точки на числовой прямой.
3. Доказательство теорем
Определение. Модуль числа a или абсолютная величина числа a равна a, если a больше или равно нулю и равна -a, если a меньше нуля:
![]()
Из определения следует, что для любого действительного числа a, ![]()
Теорема 1. Абсолютная величина действительного числа
равна большему из двух чисел a или -a.
Доказательство
1. Если число a положительно, то -a отрицательно, т. е. -a < 0 < a. Отсюда следует, что -a < a.
Например, число 5 положительно, тогда -5 - отрицательно и -5 < 0 < 5, отсюда -5 < 5.
В этом случае |a| = a, т. е. |a| совпадает с большим из двух чисел a и - a.
2. Если a отрицательно, тогда -a положительно и a < - a, т. е. большим числом является -a. По определению, в этом случае, |a| = -a - снова, равно большему из двух чисел -a и a.
Следствие 1. Из теоремы следует, что |-a| = |a|.
В самом деле, как
, так и
равны большему из чисел -a и a, а значит равны между собой.
Следствие 2. Для любого действительного числа a справедливы неравенства ![]()
Умножая второе равенство
на -1 (при этом знак неравенства изменится на противоположный), мы получим следующие неравенства:
справедливые для любого действительного числа a. Объединяя последние два неравенства в одно, получаем: ![]()
Теорема 2. Абсолютная величина любого действительного числа a равна арифметическому квадратному корню из ![]()
![]()
В самом деле, если
то, по определению модуля числа, будем иметь
С другой стороны, при ![]()
значит |a| = ![]()
Если a < 0, тогда |a| = -a и
и в этом случае |a| = ![]()
Эта теорема дает возможность при решении некоторых задач заменять |a| на ![]()
Геометрически |a| означает расстояние на координатной прямой от точки, изображающей число a, до начала отсчета.
Если
то на координатной прямой существует две точки a и -a, равноудаленной от нуля, модули которых равны.
Если a = 0, то на координатной прямой |a| изображается точкой 0 (см. рис.)

Рис
4.Способы решения уравнений, содержащих модуль.
Для решения уравнений, содержащих знак абсолютной величины, мы будем основыватся на определении модуля числа и свойствах абсолютной величины числа. Мы решим несколько примеров одним и тем же способом и посмотрим, какой из способов окажется проще для решения уравнений, содержащих модуль.
Пример 1. Решитм аналитически и графически уравнение |x - 2| = 3.
Решение
Аналитическое решение
1-й способ
Рассуждать будем, исходя из определения модуля. Если выражение, находящееся под модулем неотрицательно, т. е. x - 2
0, тогда оно "выйдет" из под знака модуля со знаком "плюс" и уравнение примет вид: x - 2 = 3. Если значения выражения под знаком модуля отрицательно, тогда, по определению, оно будет равно:
или x - 2=-3
Таким образом, получаем, либо x - 2 = 3, либо x - 2 = -3. Решая полученные уравнения, находим: ![]()
Ответ: ![]()
Теперь можно сделать вывод: если модуль некоторого выражения равен действительному положительному числу a, тогда выражение под модулем равно либо a, либо
.
Графическое решение
Одним из способов решения уравнений, содержащих модуль является графический способ. Суть этого способа заключается в том, чтобы построить графики данных функций. В случае, если графики пересекутся, точки пересечений данных графиков будут являтся корнями нашего уравнения. В случае, если графики не пересекутся, мы сможем сделать вывод, что уравнение корней не имеет. Этот способ, вероятно, реже других применяют для решения уравнений, содержащих модуль, так как, во-первых, он занимает достаточно много времени и не всегда рационален, а, во-вторых, результаты, полученные при построениии графиков, не всегда я вляются точными.
Другой способ решения уравнений, содержащих модуль- это способ разбиения числовой прямой на промежутки. В этом случае нам нужно разбить числовую прямую так, что по определению модуля, знак абсолютной величины на данных промежутках можно будет снять. Затем, для каждого из промежутков мы должны будем решить данное уравнение и сделать вывод, относительно получившихся корней(удовлетворяют они нашему промежутку или нет). Корни, удовлетворяющие промежутки и дадут окончательный ответ.
2-й способ
Установим, при каких значениях x, модуль равен нулю: ![]()
Получим два промежутка, на каждом из которых решим уравнение (см. рис. 9):

Рис. 9
Получим две смешанных системы:
(1)
(2) ![]()
Решим каждую систему:
(1)
(удовлетворяет данному промежутку)
(2)
(удовлетворяет данному промежутку)
Ответ: ![]()
Графическое решение
Для решения уравнения графическим способом, надо построить графики функций
и ![]()
Для построения графика функции
, построим график функции
- это прямая, пересекающая ось OX в точке (2; 0), а ось OY в точке
а затем часть прямой, лежащую ниже оси OX зеркально отразить в оси OX.
Графиком функции
является прямая, параллельная оси OX и проходящая через точку (0; 3) на оси OY (см. рис. 10).

Рис. 10
Абсциссы точек пересечения графиков функций дадут решения уравнения.
Прямая графика функции y=3 пересеклась с графиком функции y=|x – 2| в точках с координатами (-1; 3) и (5; 3), следовательно решениями уравнения будут абсциссы точек:
x=-1, x=5
Ответ: ![]()
Пример 2. Решитм аналитически и графически уравнение 1 + |x| = 0.5.
Решение:
Аналитическое решение
Преобразуем уравнение: 1 + |x| = 0.5
|x| =0.5-1
|x|=-0.5
Понятно, что в этом случае уравнение не имеет решений, так как, по определению, модуль всегда неотрицателен.
Ответ: решений нет.
Графическое решение
Преобразуем уравнение: : 1 + |x| = 0.5
|x| =0.5-1
|x|=-0.5
Графиком функции
являются лучи - биссектрисы 1-го и 2-го координатных углов. Графиком функции
является прямая, параллельная оси OX и проходящая через точку -0,5 на оси OY.

Рис. 11
Графики не пересекаются, значит уравнение не имеет решений (см. рис. 11).
Ответ: нет решений.
Пример 3. Решите аналитически и графически уравнение |-x + 2| = 2x + 1.
Решение:
Аналитическое решение
1-й способ
Прежде следует установить область допустимых значений переменной. Возникает естественный вопрос, почему в предыдущих примерах не было необходимости делать этого, а сейчас она возникла.
Дело в том, что в этом примере в левой части уравнения модуль некоторого выражения, а в правой части не число, а выражение с переменной, - именно это важное обстоятельство отличает данный пример от предыдущих.
Поскольку в левой части - модуль, а в правой части, выражение, содержащее переменную, необходимо потребовать, чтобы это выражение было неотрицательным, т. е.
Таким образом, область допустимых
значений модуля ![]()
Теперь можно рассуждать также, как и в примере 1, когда в правой части равенства находилось положительной число. Получим две смешанных системы:
(1)
и (2) 
Решим каждую систему:
(1)
входит в промежуток
и является корнем уравнения.
(2)
x = -3 не входит в промежуток
и не является корнем уравнения.
Ответ: ![]()
2-й способ
Установим, при каких значениях x модуль в левой части уравнения обращается в нуль: ![]()
Получим два промежутка, на каждом из которых решим данное уравнение (см. рис. 12):

Рис. 12
В результате будем иметь совокупность смешанных систем:
![]()
Решая полученные системы, находим:
(1) ![]()
входит в промежуток и
является корнем уравнения.
(2)
не входит в промежуток и x=-3 не является корнем уравнения
Ответ: ![]()
4.1.Решение при помощи зависимостей между числами a и b, их модулями и квадратами этих чисел.
Помимо приведенных мною выше способов существует определенная равносильность, между числами и модулями данных чисел, а также между квадратами и модулями данных чисел:
|a|=|b| a=b или a=-b
a2=b2 a=b или a=-b (1)
Отсюда в свою очередь получим, что
|a|=|b| a2=b2
(2)
Пример 4. Решим уравнение |x + 1|=|2x – 5| двумя различными способами.
1.Учитывая соотношение (1), получим:
x + 1=2x – 5 или x + 1=-2x + 5
x – 2x=-5 – 1 x + 2x=5 – 1
-x=-6|(:1) 3x=4
x=6 x=11/3
Корень первого уравнения x=6, корень второго уравнения x=11/3
Таким образом корни исходного уравнения x1=6, x2=11/32. В силу соотношения (2), получим
(x + 1)2=(2x – 5)2, или x2 + 2x + 1=4x2 – 20x + 25
x2 – 4x2 +2x+1 + 20x – 25=0
-3x2 + 22x – 24=0|(:-1)
3x2 – 22x + 24=0
D/4=121-3 24=121 – 72=49>0 уравнение имеет 2 различных корня.
x1=(11 – 7 )/3=11/3
x2=(11 + 7 )/3=6
Как показывает решение, корнями данного уравнения также являются числа 11/3 и 6
Ответ: x1=6, x2=11/3
Пример 5. Решим уравнение (2x + 3)2=(x – 1)2.
Учитывая соотношение (2), получим, что |2x + 3|=|x – 1|, откуда по образцу предыдущего примера(и по соотношению (1)):
2х + 3=х – 1 или 2х + 3=-х + 1
2х – х=-1 – 3 2х+ х=1 – 3
х=-4 х=-0,(6)
Таким образом корнями уравнения являются х1=-4, и х2=-0,(6)
Ответ: х1=-4, х2=0,(6)
Пример 6. Решим уравнение |x – 6|=|x2 – 5x + 9|
Пользуясь соотношением (1), получим:
х – 6=х2 – 5х + 9 или х – 6 = -(х2 – 5х + 9)
-х2 + 5х + х – 6 – 9=0 |(-1) x – 6=-x2 + 5x - 9
x2 - 6x + 15=0 x2 – 4x + 3=0
D=36 – 4 15=36 – 60= -24 <0 D=16 – 4 3=4 >02 р.к.
корней нет.
x1=(4- 2 ) /2=1
x2=(4 + 2 ) /2=3
Проверка: |1 – 6|=|12 – 5 1 + 9| |3 – 6|=|32 – 5 3 + 9|
5 = 5(И) 3 = |9 – 15 + 9|
3 = 3(И)
Ответ: x1=1; x2=3
4.2.Использование геометрической интерпритации модуля для решения уравнений.
Геометрический смысл модуля разности величин-это расстояние между ними. Например, геометрический смысл выражения |x – a | -длина отрезка координатной оси, соединяющей точки с абсцисами а и х . Перевод алгеб-раической задачи на геометрический язык часто позволяет избежать громоздких решений.
Пример7. Решим уравнение |x – 1| + |x – 2|=1 с использованием геометрической интерпритации модуля.
Будем рассуждать следующим образом: исходя из геометрической интерпри-тации модуля, левая часть уравнения представляет собой сумму расстояний от некторой точки абсцисс х до двух фиксированных точек с абсциссами 1 и 2. Тогда очевидно, что все точки с абсциссами из отрезка [1; 2] обладают требуемым свойством, а точки, расположенные вне этого отрезка- нет. Отсюда ответ: множеством решений уравнения является отрезок [1; 2].
Ответ: х [1; 2]
Пример8. Решим уравнение |x – 1| - |x – 2|=1 1 с использованием геометрической интерпритации модуля.
Будем рассуждать аналогично предыдущему примеру, при этом получим, что разность расстояний до точек с абсциссами 1 и 2 равна единице только для точек, расположенных на координатной оси правее числа 2. Следовательно решением данного уравнения будет являтся не отрезок, заключенный между точками 1 и 2, а луч, выходящий из точки 2, и направленный в положительном направлении оси ОХ.
Ответ: х [2; +)
Обобщением вышеприведенных уравнений являются следующие равносильные переходы:
|x – a| + |x – b|=b – a, где b a a x b
|x – a| - |x – b|=b – a, где b a x b
4.3. Графики простейших функций, содержащих знак абсолютной величины
Под простейшими функциями понимают алгебраическую сумму модулей линейных выражений. Сформулируем утверждение, позволяющее строить графики таких функций, не раскрывая модули ( что особенно важно, когда модулей достаточно много ): "Алгебраическая сумма модулей n линейных выражений представляет собой кусочно- линейную функцию, график которой состоит из n +1 прямолинейного отрезка. Тогда график может быть построен по n +2 точкам, n из которых представляют собой корни внутримодульных выражений, ещё одна -- произвольная точка с абсциссой, меньшей меньшего из этих корней и последняя -- с абсциссой, большей большего из корней.
Например:
1)f(x)=|x - 1| Вычисляя функции в точках 1, 0 и 2, получаем график, состоящий из двух отрезков(рис.1)
2) f(x)=|x - 1| + |x – 2| Вычисляя значение функиции в точках с абсциссами 1, 2, 0 и 3, получаем график, состоящий из двух отрезков прямых.(рис.2)
3) f(x)=|x - 1| + |x – 2| + |x – 3| Для построения графика вычислим значения функции в точках 1, 2, 3, 0 и 4 (рис.3)
4) f(x)=|x - 1| - |x – 2| График разности строится аналогично графику суммы, тоесть по точкам 1, 2, 0 и 3.

рис1. рис2. рис3. рис4.
4.4.Решение нестандартных уравнений, содержащих модули.
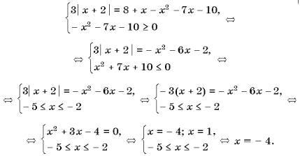
Пример9. Решить уравнение 3| x + 2 | + x2 + 6x + 2 = 0.
Решение.
Рассмотрим два случая.

Ответ: (– 4; – 1).
Пример10. Решить уравнение | 4 – x | + | (x – 1)(x – 3) | = 1.
Решение.
Учитывая, что | 4 – x | = | x – 4 |, рассмотрим четыре случая.
так как ![]()
2)

3)
4) 
4) 
Ответ: 3.
Графический способ.
Построим графики функций y = |(x–1)(x–3)| и y=1–|x–4 |
1)в Гy = |(x–1)(x–3)| подставим значение х=1 и х=3. Мы получим у=0,
тоесть пересечение графика с осью ОХ. При х равном нулю у=3, тоесть график пересекается с осью ОУ в точке (0 ;3). И при х=4 у также равен 3- мы получили первый график.
2) y=1–|x–4 | Найдем пересечение с осью ОХ, для этого решим простое уравнение: 1-|x-4|=0
|x-4|=1
x - 4=1 или x - 4=-1
x=5 x=3
Следовательно данный график пересекает ось ОХ в точках 5 и 3.
При х=4 у=1 и ак видно из графика: графики обеих функций пересекаются в одной точке 3

Ответ: 3
Пример11. Решить уравнение | x2 + 3x | = 2(x + 1).
Решение.
Уравнение равносильно системе

Ответ: 
Пример12.Решить уравнение х2 - 4х +|x - 3| +3=0
Для освобождения от знака абсолютной величины разобьем числовую прямую на две области и будем искать решения исходного уравнения в каждой из этих областей отдельно:
__________x 3__________________|____________x<3_________________
|x – 3|=x – 3 |x – 3|=-x + 3
x2 - 4x + x – 3 + 3=0 x2 – 4x – x + 3 + 3=0
x2 – 3x=0 x2 – 5x + 6=0
x(x – 3)
x1=0 или x2=3 D=25 – 4 6=1> 0два различ. корня
x=0 –посторонний корень, так как x1= (5- 1 )/2 =2
не удовлетворяет промежутку. x2=(5 + 1)/2=3
x=3 - посторонний корень, так как
не удовлетворяет промежутку.
Значит, исходное уравнение имеет два решения х1=2 и х2=3
Ответ: х1=2, х2=3
Пример13. Решить уравнение | 2x + 8 | – | x – 5 | = 12.
Решение.
Раскрытие пары модулей приводит к трем случаям (без x + 4 0, x – 5 0).

Ответ: {– 25; 3}.
Пример 14. Решить уравнение .
![]()
Решение:
Напишем равносильную смешанную систему:

Ответ: х=-4
Пример 15 Решить графически уравнение |1 – x| - |2x + 3| + x + 4=0
Решение:
Представим уравнение в виде |1 – x| - |2x + 3| =-х – 4
Построим два графика у=|1 – x| - |2x + 3| и у=-х – 4
1) у=|1 – x| - |2x + 3|
Критические точки: х=1, х=-1.5
(1 – х) ________+________|______ +____________|_____-______ >
(2х +3) - -1.5 + 1 +
а) х< -1.5, (1– x)>0 и (2х + 3)<0, т.е функция примет вид у=1 – х + 2х + 3,
у=х + 4 –графиком является прямая, проходящая через две точки (0; 4), (-4; 0)
б)При -1.5 x <1, (1 – х)>0 и (2x +3) 0, т.е функция примет вид
у=1 – х – 2х -3, у=-3х – 2 –графиком является прямая, проходящая через две точки (0; -2), (-1; 1).
в)При х1, (1 – х)0 и (2х + 3)>0, т.е. функция примет вид у= -1 + х – 2х – 3,
у= -х – 4 –графиком является прямая, проходящая через две точки (0; -4),
(-4; 0).
График функции у= - х – 4 совпадает с графиком у=|1 – x| - |2x + 3|, при х1,
Поэтому решением являются все х1 и х= -4

Ответ: х1,х= -4
Аналитическое решение.
y=|1 – x| - |2x + 3|
y=-x – 4
Построим числовую прямую так, чтобы по определению модуля знак абсолютной величины числа можно будет снять. Для этого найдем критические точки: 1- х=0 и 2х – 3 =0,
х=1 х=-1,5
___________х<-1,5_____|_______-1,5 x <1_____|_________x 1__________
|1 – x|=1 – x |1 – x|=1 – x |1 – x|=-1 + x
|2x + 3|=-2x – 3 |2x + 3|=2x + 3 |2x + 3|=2x + 3
1 – x + 2x + 3 + x + 4=0 1 – x – 2x – 3 + x +4=0 -1 + x – 2x – 3 + x + 4=0
2x=-8 -2x=-2 0x=0
x=-4 x=1 x – любое число.
Удовлетворяет данному Не удовлетворяет x [1; + )
промежутку является данному промежут- x 1 корень уравнения
корнем уравнения. куне является кор-
нем уравнения.
Объеденив данные промежутки, получим, что решением данного уравнения являются: x=-4 и x 1
Ответ: x=-4, x 1
5. Заключение.
И в заключении я хотел бы сказать, что для досканального изучения материала исследовательская работа подходит лучше всего. Мне представилась возможность больше поработать с интерестной, для меня, темой модуля и выйти за рамки того материала, который предоставляет нам учебник 10-го класса. Прочитав и изучив другую литературу, я узнал много нового и, как я считаю, важного для меня.
Список литературы
Учебник математики для Х класса - К. Вельскер, Л. Лепманн,Т. Лепманнн.
2.Уравнения и неравенства – Башмаков М. И.
3.Задачи всесоюзных математических олимпиад-Васильев Н.Б., Егоров А.А.
4.Задачи вступительных экзаменов по математике- Нестеренко Ю.В.,
Олехник С.Н., Потапов М.К.