| Скачать .docx | Скачать .pdf |
Реферат: Законы Кеплера
.
Три закона движения планет относительно Солнца были выведены эмпирически немецким астрономом Иоганном Кеплером в начале XVII века. Это стало возможным благодаря многолетним наблюдениям датского астронома Тихо Браге.
Первый закон Кеплера. Каждая планета движется по эллипсу, в одном из фокусов которого находится Солнце.
Второй закон Кеплера (закон равных площадей). Радиус-вектор планеты за равные промежутки времени описывает равновеликие площади. Другая формулировка этого закона: секториальная скорость планеты постоянна.
Третий закон Кеплера. Квадраты периодов обращений планет вокруг Солнца пропорциональны кубам больших полуосей их эллиптических орбит.
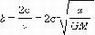
Современная формулировка первого закона дополнена так: в невозмущенном движении орбита движущегося тела есть кривая второго порядка – эллипс, парабола или гипербола. В отличие от двух первых, третий закон Кеплера применим только к эллиптическим орбитам. Скорость движения планеты в перигелии:
где vc – средняя или круговая скорость планеты при r = a. Скорость движения в афелии:
Кеплер открыл свои законы эмпирическим путем. Ньютон вывел законы Кеплера из закона всемирного тяготения. Для определения масс небесных тел важное значение имеет обобщение Ньютоном третьего закона Кеплера на любые системы обращающихся тел.

Третий закон Кеплера. Скорости близких к Солнцу планет значительно больше, чем скорости далеких. Пояснение к рисунку справа - Скорости близких к Солнцу планет значительно больше, чем скорости далеких. В обобщенном виде этот закон обычно формулируется так: квадраты периодов T1 и T2 обращения двух тел вокруг Солнца, помноженные на сумму масс каждого тела (соответственно M1 и M2) и Солнца (М ), относятся как кубы больших полуосей a1 и a2 их орбит: При этом взаимодействие между телами M1 и M2 не учитывается. Если пренебречь массами этих тел в сравнении с массой Солнца (т.е. M1 << М , M2 << М ), то получится формулировка третьего закона, данная самим Кеплером: 
Третий закон Кеплера можно также выразить как зависимость между периодом T обращения по орбите тела с массой M и большой полуосью орбиты a (G – гравитационная постоянная): 
Здесь необходимо сделать следующее замечание. Для простоты часто говорится, что одно тело обращается вокруг другого, но это справедливо только для случая, когда масса первого тела пренебрежимо мала по сравнению с массой второго (притягивающего центра). Если же массы сравнимы, то следует учитывать и влияние менее массивного тела на более массивное. В системе координат с началом в центре масс орбиты обоих тел будут коническими сечениями, лежащими в одной плоскости и с фокусами в центре масс, с одинаковым эксцентриситетом. Различие будет только в линейных размерах орбит (если тела разной массы). В любой момент времени центр масс будет лежать на прямой, соединяющей центры тел, а расстояния до центра масс r1 и r2 тел массой M1 и M2 соответственно связаны следующим соотношением: r1/r2 = M2/M1. Перицентры и апоцентры своих орбит (если движение финитно) тела также будут проходить одновременно. Третий закон Кеплера можно использовать, чтобы определить массу двойных звезд.
Эллипс определяется как геометрическое место точек, для которых сумма расстояний от двух заданных точек (фокусов F1 и F2) есть величина постоянная и равная длине большой оси: r1 + r2 = |AA´| = 2a. Степень вытянутости эллипса характеризуется его эксцентриситетом е. Эксцентриситет е = ОF/OA. При совпадении фокусов с центром е = 0, и эллипс превращается в окружность. Большая полуось а является средним расстоянием от фокуса (планеты от Солнца): a = (AF1 + F1A')/2. Так как при движении по эллипсу полная энергия отрицательна, большая полуось больше нуля. Длина малой полуоси b зависит от секториальной скорости тела (т.е. скорости изменения площади, заметаемой радиус-вектором). Круговые орбиты являются вырожденным случаем эллиптических. Записывая второй закон Ньютона, получим, что кинетическая и потенциальная энергия тела на круговой орбите связаны соотношением: 2K = –U. Применяя закон сохранения энергии, легко получить, что K = –E. Т.о. при круговом движении сумма полной и кинетической энергии всегда равна нулю. Элементы орбиты характеризуют форму, размеры и ориентацию в пространстве орбиты небесного тела, а также положение тела на этой орбите. В настоящее время для описания положения планеты или спутника широко используются оскуллирующие элементы.

Важнейшие точки и линии эллипса.
Эллипс определяется как геометрическое место точек, для которых сумма расстояний от двух заданных точек (фокусов F1 и F2) есть величина постоянная и равная длине большой оси: r1 + r2 = |AA´| = 2a. Степень вытянутости эллипса характеризуется его эксцентриситетом е. Эксцентриситет е = ОF/OA. При совпадении фокусов с центром е = 0, и эллипс превращается в окружность. Большая полуось а является средним расстоянием от фокуса (планеты от Солнца): a = (AF1 + F1A')/2. Она связана с механической энергией тела следующим соотношением:
Так как при движении по эллипсу полная энергия отрицательна, большая полуось больше нуля. Длина малой полуоси b зависит от секториальной скорости тела (т.е. скорости изменения площади, заметаемой радиус-вектором):
Круговые орбиты являются вырожденным случаем эллиптических. Записывая второй закон Ньютона, получим, что кинетическая и потенциальная энергия тела на круговой орбите связаны соотношением: 2K = –U. Применяя закон сохранения энергии, легко получить, что K = –E. Т.о. при круговом движении сумма полной и кинетической энергии всегда равна нулю. Элементы орбиты характеризуют форму, размеры и ориентацию в пространстве орбиты небесного тела, а также положение тела на этой орбите. В настоящее время для описания положения планеты или спутника широко используются оскуллирующие элементы. Точка орбиты тела, ближайшая к притягивающему центру (фокусу), в общем случае называется перицентром, а наиболее удаленная от него (только у эллипса) – апоцентром. Если притягивающим центром является Земля, то эти точки называются соответственно перигеем и апогеем. Наиболее близкая точка к Солнцу называется перигелий, наиболее удаленная – афелий. Для Луны эти точки будут перилунием (периселением) и аполунием (апоселением), для произвольной звезды – периастром и апоастром. Прямая, соединяющая перицентр с фокусом (большая ось эллипса, ось параболы или действительная ось гиперболы), называется линией апсид. Расстояние от притягивающего центра до перицентра равно АF1 = a (1 – e), до апоцентра – F1A' = a (1 + e). Среднее расстояние от притягивающего центра до тела, движущегося вокруг него по эллипсу, равно длине большой полуоси.