| Скачать .docx | Скачать .pdf |
Реферат: Статья: Некоторые алгоритмы реализации UPSCALING
Денисов В.В., Кондаратцев С.А.
Наиболее универсальный способ изучения фильтрационных процессов в естественных резервуарах с использованием аппарата математического моделирования предполагает проведение вычислительного эксперимента. Но для построения численной фильтрационной модели необходим переход от детальной геологической модели резервуара к укрупненной фильтрационной модели (upscaling). Для этого следует совершенствовать численные методы осреднения фильтрационных характеристик.
Задача осреднения фильтрационных характеристик объекта моделирования ставится следующим образом. Набор геологических ячеек (ГЯ) описывает выделенную для создания фильтрационной модели область песчаной пачки пропластков, проиндексированных по совпадающим временным ритмам осадконакопления и схожим фильтрационно-емкостным свойствам (ФЕС). В данном наборе ГЯ необходимо объединить совокупность геологических ячеек (рис. 1) в одну фильтрационную с модифицированными свойствами, которые характеризуют процесс фильтрации на данном участке в целом. Так же следует описать ФЕС фильтрационной ячейки (ФЯ), адекватно отображающие фильтрацию флюидов через данный блок.

Рис. 1.
Для простоты выкладок считаем, что геологическая сетка равномерна по каждому направлению с шагом hx, hy и hz соответственно (рис. 1).
При получении осредненных характеристик ФЕС для фильтрационной ячейки особого рассмотрения требует вопрос определения тензора проницаемости ФЯ с учетом локальной анизотропии.
Опишем наиболее приемлемые методы для решения поставленной задачи.
1. Средневзвешенное осреднение.
Наиболее простой способ задания средних фильтрационных свойств ячейки основан на средневзвешенном по мощности или объему объекта определении проницаемости фильтрационной ячейки.
В этом случае расчет осуществляется с учетом латеральной и вертикальной анизотропии, но результаты не всегда адекватно отображают реальный фильтрационный процесс. Этот подход осреднения может применяться на начальной стадии моделирования или когда нет достаточной информации о степени точности исходных параметров.
2. Осреднение фильтрационного сопротивления.
В основу данного осреднения положена методика расчета фильтрационного сопротивления [1, 2]. Этот метод рассматривает фильтрационную модель как аналог электрической цепи, а фильтрационное сопротивление - как аналог электрического сопротивления. Все вычисления проводятся согласно правилам расчета электрических цепей по законам Ома и Кирхгофа.
Для определения проницаемости блока в направлении оси Ох - Kx из отдельных ячеек сформируем цепь, как показано на рис. 2.

Рис. 2.
Так как фильтрационное сопротивление в каждой ячейке обратно пропорционально проницаемости
ijl=1/kijl, то для последовательных соединений в направлении оси Ох на первом слое имеем (рис. 2):
![]()
Для первого слоя, с учетом последовательных и параллельных соединений ячеек, фильтрационное сопротивление вдоль оси Ох рассчитываем по формуле:

Тогда полное фильтрационное сопротивление данного блока вдоль оси Ох определяем как:

и, соответственно, проницаемость блока в направлении оси Ох:
Kx=1/Фx.
Аналогично определяется тензор проницаемости в направлениях осей Оу и Oz. Причем для расчета проницаемости вдоль оси Oz учитывается вертикальная анизотропия объекта.
3. Расчет тензора проницаемости с учетом трубок тока.
В блоке, состоящем из набора геологических ячеек, с помощью специальных методов трассировки выделяются все изолированные песчаные тела с ненулевой проницаемостью (рис. 3).

Рис. 3.
Для определения осредненной проницаемости по одному из направлений Ох, Оу или Оz выбираются те трубки тока, которые пересекают выбранное тело в заданном направлении. В данном случае для нахождения компоненты тензора проницаемости Кх используются песчаные тела 2 и 3, а для компоненты Ку - тело 1 (рис. 3). Считаем, что все трубки тока идут параллельно граням параллелепипеда.
Для вычисления значения Кх всем геологическим ячейкам, не входящим в выделенные тела 2 и 3, припишем фиктивную нулевую проницаемость, так как эти ячейки не участвуют в определении осредненной проницаемости в направлении оси координат Ох.
Тогда, согласно закону Дарси в сеточном виде:
| (1) |
поток жидкости
в направлении оси Ох через боковую поверхность
, возникающий за счет перепада давления
P=PNx-P0 на гранях параллелепипеда, перпендикулярных оси, выражается формулой (1). Кх - средняя проницаемость в направлении Ох.
Общий поток жидкости через j-й срез определяется суммированием всех потоков через элементарные геологические ячейки данного среза:
![]()
где
![]()
а
Pj=Pj+1-Pj - перепад давления на боковых гранях j-го среза. С другой стороны, тот же поток можно определить как:
![]()
где
- средняя проницаемость j-го среза в направлении оси Ох. Сравнивая соответствующие значения, получаем:
![]()
(для регулярной сетки). Ny, Nz - число геологических ячеек, составляющих фильтрационную ячейку, по оси Оу и Oz соответственно. Причем суммируются только проницаемости ячеек, участвующих в фильтрационном процессе.
Используя очевидное тождество
и равенство
получаем расчетную формулу для Kx:

где Nx - число блоков по оси Ox.
Для расчета осредненной проницаемости по другим направлениям выбираются соответствующие трубки тока. Расчет компоненты тензора проницаемости Kz производится при направлении фильтрации вдоль оси Oz. В данном случае дополнительно учитывается вертикальная анизотропия.
4. Определение тензора проницаемости по результатам численного моделирования.
Наиболее часто применяемый метод осреднения фильтрационных параметров заключается в численном моделировании потока жидкости в заданном направлении через боковую поверхность блока, состоящего из набора геологических ячеек.
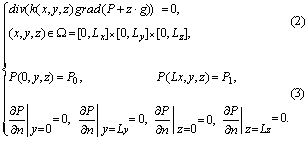
В области
численно решается стационарная задача (2) с краевыми условиями (3) и находится распределение давления в узлах блочно-центрированной сетки.

Для определения проницаемости в направлении оси Ox - Kx решается задача (2) с непроницаемыми границами, перпендикулярными осям Oy и Oz, а на границах области
при x=0 и x=Lx задается перепад давления (P0
P1). При известном распределении поля давления определяется фильтрационный поток и для данной фильтрационной ячейки вычисляется модифицированное Kx. При задании соответствующих краевых условий (3) и численном решении задачи (2)-(3) с новыми изолированными границами и выбранными направлениями перетока определяются остальные компоненты тензора проницаемости фильтрационной ячейки [3-5].
В зависимости от качества и точности исходной информации, а также степени детальности создания геологической модели описанные выше подходы осреднения могут быть использованы для построения фильтрационной модели нефтяного резервуара. Применение методов осреднения возможно как в комплексе, так и в отдельности.
Список литературы
Борисов Ю.П., Воинов В.В., Рябина З.К. Влияние неоднородности пластов на разработку нефтяных месторождений. М.: Недра, 1970.
Борисов Ю.П., Рябинина З.К., Воинов В.В. Особенности проектирования разработки нефтяных месторождений с учетом их неоднородности. М.: Недра, 1976. 285 с.
Марчук Г.И. Методы вычислительной математики. М.: Наука, 1980. 536 с.
Самарский А.А. Теория разностных схем. М.: Наука, 1977. 656 с.
Самарский А.А., Попов Ю.П. Разностные методы решения задач газовой динамики. М.: Наука, 1980. 352 с.