| Скачать .docx | Скачать .pdf |
Реферат: Статья: Расчет поверхностной энергии металлов в рамках моделиобобщенного псевдопотенциала Хейне-Абаренкова
М.В. Мамонова, Р.В. Потерин, В.В. Прудников, Омский государственный университет, кафедра теоретической физики
В последнее время интенсивно развиваются методы аналитического описания поверхностных свойств твердых тел, основанные на определении энергетического состояния поверхности с привлечением методов квантовой механики. При описании поверхностных явлений в металлах особенно эффективно применяется метод функционала электронной плотности [1,2]. В предлагаемой работе в рамках метода функционала плотности проведен расчет поверхностной энергии для ряда металлов. Исследованы влияния различных приближений, учитывающих дискретность кристаллической структуры и неоднородность электронного газа в поверхностном слое металлов. Для расчета влияния электрон-ионного взаимодействия на величину поверхностной энергии металлов впервые был использован обобщенный псевдопотенциал Хейне-Абаренкова. Проведен сравнительный анализ результатов, полученных с его использованием, с результатами, полученными с привлечением иных моделей, в частности псевдопотенциала Ашкрофта.
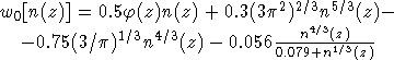
Рассмотрим полуограниченный металл, граничащий с вакуумом. При расчете поверхностных свойств определяющей является функция распределения электронной плотности n(z) вблизи поверхности. Она должна удовлетворять требованию экспоненциального затухания вне металла и стремиться к объемному значению электронной плотности внутри металла. Распределение электронной плотности n(z) находится как функция, обеспечивающая минимум функционала полной энергии неоднородной системы. Представим функционал полной энергии в виде градиентного разложения :
![]() |
(1) |
где
![]() |
(2) |
есть плотность энергии однородного электронного газа в атомных единицах, включающая последовательно электростатическую, кинетическую, обменную и корреляционную энергии, а
![]() |
(3) |
где
![]()
- фермиевский волновой вектор. являются соответственно градиентными поправками второго порядка на неоднородность электронного газа для кинетической энергии в приближении Вейцзекера-Киржница и обменно-корреляционной энергии в приближении Вашишты-Сингви (VS) [3].
В качестве пробных функций для потенциала
и электронной плотности n(z) были выбраны решения линеаризованного уравнения Томаса-Ферми:
| (4) |
где n0 - объемная электронная плотность,
- ступенчатая функция.
В дальнейшем параметр
считался вариационным, определяемым при минимизации функционала энергии (1). С физической точки зрения величина
представляет собой характерную толщину поверхностного слоя, на котором резко меняется электронная плотность.
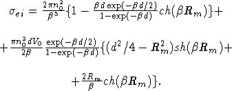
Поверхностную энергию металла представим в виде следующей суммы :
| (5) |
где
- вклад от электронной системы в рамках модели "желе", когда заряд положительных ионов в металле считается равномерно и непрерывно размазанным по всему объему;
возникает от электростатического взаимодействия ионов между собой;
- связан с разностью в электростатическом взаимодействии электронов с дискретными ионами и с однородным фоном "желе". Для
можно воспользоваться аналитическим выражением работы [5]:
| (6) |
где Z - валентность ионов; с - расстояние между ближайшими соседями в плоскости параллельной поверхности; d - межплоскостное расстояние.
Для вычисления поправки на электрон-ионное взаимодействие воспользуемся широко применяемым в физике металлов обобщенным псевдопотенциалом Хейне-Абаренкова. Явный вид данного псевдопотенциала можно записать следующим образом:
| (7) |
Псевдопотенциал Хейне-Абаренкова переходит в выражение для другого широко используемого псевдопотенциала Ашкрофта при V0=0. Для получения
нами была использована методика, развитая в работе [6], согласно которой
![]() |
(8) |
где
имеет смысл среднего по плоскостям от суммы ионных псевдопотенциалов за вычетом потенциала полубесконечного однородного фона заряда. Нами было получено для
при -d<z<0 следующее выражение:
![]() |
(9) |
Проводя суммирование по ионным плоскостям с z=-(i+d/2), i=1,2,... и воспользовавшись периодичностью потенциала
, из (8) получим
![]() |
(10) |
Проводя численное интегрирование и минимизацию полной поверхностной энергии (5), определяем параметр
, а затем и само значение
. В настоящей работе для определения параметров псевдопотенциала Хейне-Абаренкова использовалось условие минимума объемной энергии металла при наблюдаемом равновесном атомном объеме
В соответствии с приближением локальной плотности объемная энергия металла выражалась через параметр плотности rs :
![]() |
(11) |
Минимизация данного соотношения по rs приводит к выражению, связывающему V0 и Rm :
![]() |
(12) |
В результате возникает проблема определения второго параметра потенциала (7). Обычно его определяют по сопоставлению расчетов, проведенных с использованием данного псевдопотенциала, с какими-либо эмпирическими характеристиками. В данной работе в качестве такой
Таблица 1

| Металл | Z | n0, | d, | c, | rc, | Rm, | V0, | ||
| ат.ед. | ат.ед. | ат.ед. | ат.ед. | эрг/см2 | ат.ед. | ат.ед. | эрг/см2 | ||
| Na (ОЦК) | 1 | 0.0038 | 5.71 | 6.99 | 1.736 | 265 | 1.800 | 0.529 | 280 |
| Pb (ГЦК) | 4 | 0.0194 | 5.38 | 6.59 | 1.457 | 1064 | 1.355 | 0.172 | 560 |
| Al (ГЦК) | 3 | 0.0269 | 4.92 | 5.25 | 0.960 | 1269 | 1.150 | 0.100 | 1140 |
| Cu (ГЦК) | 2 | 0.0252 | 3.92 | 4.80 | 0.923 | 898 | 1.350 | 0.588 | 1750 |
| Fe (ОЦК) | 4 | 0.0504 | 4.84 | 4.70 | 0.945 | 631 | 1.090 | 0.343 | 1910 |
| Cr (ОЦК) | 4 | 0.0492 | 3.85 | 4.72 | 0.956 | 649 | 1.120 | 0.364 | 2060 |
| Mo (ОЦК) | 6 | 0.0570 | 4.21 | 5.16 | 1.094 | 887 | 1.210 | 0.227 | 2200 |
экспериментальной характеристики была использована величина поверхностной энергии. В таблице 1 приведены значения параметров, использованные для расчета поверхностной энергии металлов, и рассчитанные значения параметров псевдопотенциала Хейне-Абаренкова для ряда простых и переходных металлов, дающие в соответствии с развитой методикой значения поверхностной энергии, наиболее хорошо согласующиеся с экспериментальными. Следует заметить, что для определения параметра обрезания rc псевдопотенциала Ашкрофта достаточно использования условия минимальности объемной энергии металла. Получающиеся при этом значения параметра обрезания rc и соответствующие значения поверхностной энергии также приведены в табл. 1. Проведенные нами расчеты поверхностной энергии металлов с использованием псевдопотенциала Ашкрофта и различного типа обменно-корреляционных поправок на неоднородность электронного газа [7] показали, что ни одна из поправок не является универсальной, а модель псевдопотенциала Ашкрофта неприменима для описания поверхностных характеристик благородных и переходных металлов,так как дает для них чересчур заниженные значения. Модель, использующая псевдопотенциал Хейне-Абаренкова, позволяет решить эту проблему. Отсутствие универсальных обменно-корреляционных поправок для металлов в рамках модели псевдопотенциала Ашкрофта [], приводит к значительным трудностям при расчетах адгезионных характеристик. Применение псевдопотенциала Хейне-Абаренкова с единой обменно-корреляционной поправкой в приближении Вашишты-Сингви позволяет избежать данных трудностей и позволяет применять данную модель для расчета адгезионных свойств как простых, так и переходных металлов.
Список литературы
Партенский М.Б. Самосогласованная электронная теория металлической поверхности // УФН. 1979. 128. Вып.1. С.69-106.
Ухов В.Ф., Кобелева Р.М., Дедков Г.В., Темроков А.И. Электронностатистическая теория металлов и ионных кристаллов. М.:Наука, 1982.
Vashishta P., Singwi K.S. Electron correlations at metallic densities. // Phys.Rev., 1972. B6. N3. P.875-887.
Ferrante J., Smith J.R. A theory of adhesional bimetallic interface overlap effects. // Surface Science. 1973. 38. N1. P.77-92.
Кобелева Р.М., Гельчинский Б.Р., Ухов В.Ф. К расчету поверхностной энергии металлов в модели дискретного положительного заряда // ФММ. 1978. 48. N1. С.25-32.
Вакилов А.Н., Прудников В.В., Прудникова М.В. Расчет решеточной релаксации металлических поверхностей с учетом влияния градиентных поправок на неоднородность электронной системы // ФММ. 1993. 76. N6. С.38-48.
Вакилов А.Н., Потерин Р.В. Прудников В.В., Прудникова М.В. Расчет адгезионных характеристик металлов и их расплавов. // ФММ, 1995, 79, N4, с.13-22.







