| Скачать .docx | Скачать .pdf |
Реферат: Статья: Анализ стробоскопического преобразователя частоты
Д.В.Федосов, Омский Государственный Технический Университет, кафедра радиоэлектроникии техники СВЧ
Стробоскопическое преобразование сигналов широко применяется в экспериментальной физике, осциллографии для исследования переходных процессов в полупроводниковых приборах. Хорошо известен анализ кольцевого диодного стробпреобразователя, выполненный Н.С.Жилиным и В.А.Майстренко [1]. В основу этого анализа положена безынерционная эквивалентная схема полупроводникового диода, учитывающая лишь активное сопротивление базы p-n перехода. В рамках этой статьи будет предложен анализ стробпреобразователя с учетом инерционности полупроводникового диода, сделан выбор эквивалентной схемы диода, наиболее физически правильно отражающей переходные процессы, рассмотрена математическая модель и выполнен краткий анализ нелинейности выходного сигнала стробпреобразователя без обратной связи в диапазоне 10 Мгц-3 Ггц, а также представлен метод уменьшения уровня нелинейности.
1. Эквивалентная схема диода
Взяв за основу эквивалентную схему биполярного транзистора, предложенную Буфуа и Спарксом [2], преобразуем ее в эквивалентную схему полупроводникового диода (рис.1).
В отличие от других эквивалентных схем, в данной вместо диффузионной и барьерной емкости вводится накопитель заряда S. Это более правильно, чем введение формальных емкостей, так как накопитель заряда отражает наиболее точно физический процесс накопления и рассасывания неосновных носителей заряда в базе диода.
| (1) |
Рис. 1.

Эквивалентная схема инерционного диода состоит из безынерционного диода, включенного параллельно с накопителем положительного заряда S, сопротивления базы диода Rд, индуктивности диода (индуктивность контактной пружины) Lд и емкости корпуса диода Cд.
Ток безынерционного диода ip и накопителя заряда ik связаны соотношением (1). Все свойства накопителя заряда S определяются временем рассасывания неосновных носителей заряда tд - постоянной времени диода.
Примем вольтамперную характеристику p-n перехода диода в следующем виде:
| (2) |
где iобр - обратный ток диода;
- показатель экспоненты; U - напряжение на p-n переходе.
Выражение для токов диода при подключении к диоду источника сигнала с сопротивлением rс следующее:

2. Математическая модель кольцевого стробоскопического преобразователя частоты
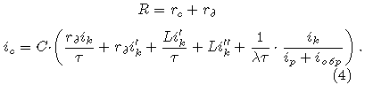
Напряжение на выходе преобразователя без учета влияния сопротивления нагрузки Rн определяется формулой (5):
| (5) |
ID1 - ток диода D1; ID2 - ток диода D2.
| (6) |
где ic1 и ic2 токи емкостей корпусов диодов D1 и D2 соответственно.
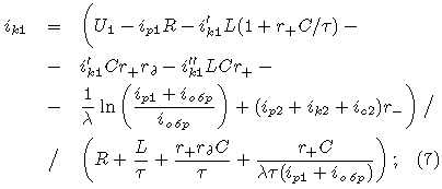
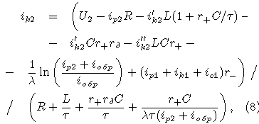
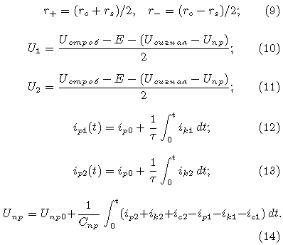
На основании (3) и (4) найдем ID1 и ID2. Кроме того, учтем взаимное влияние токов диодов D1 и D2, которое будет проявляться, когда сопротивление источника сигнала не равно сопротивлению генератора строб импульсов.
Рис. 2

Выражение для ik1 и ik2 примет следующий вид:


где

Система уравнений (7), (8), (12), (13), (14) решается численным методом.
3. Характеристика нелинейности выходного сигнала стробпреобразователя
Численное решение для стробпреобразователя с треугольным стробимпульсом и следующими параметрами диодов:
сек.,
, С - емкость корпуса диода 0,3 пФ, L - индуктивность диода
Гн, Rd - сопротивление базы диода 2 Ом, показывает заметную зависимость нелинейности от частоты преобразуемого сигнала. Для высоких уровней сигнала (порядка 1 В) нелинейность уменьшается с частотой. Уменьшение емкости конденсатора преобразователя приводит к уменьшению уровня нелинейности, так как при длительности стробимпульса 75 пс и емкости 0,5 пф нелинейность в диапазоне от 10 МГц до 3 ГГц 0,3-0,5% , то при емкости 2 пф 0,5-0,7. Увеличение длительности стробимпульса ведет к уменьшению нелинейности, но и к уменьшению коэффициента передачи на высоких частотах, а также к появлению ярко выраженного минимума нелинейности (рис.3, 4). При низком уровне сигнала график зависимости нелинейности представляет собой сложную кривую, имеющую несколько минимумов и максимумов.
На рис. 3 и 4 приведены графики нелинейности стробпреобразователя при воздействии сигнала в 1 В и 0,5 В для разных емкостей конденсатора преобразователя.
Рис. 3 Нелинейность преобразователя (напряжение сигнала 1 В)

Рис. 4 Нелинейность преобразователя (напряжение сигнала 0,5 В)

Для уменьшения нелинейности при высоких уровнях сигнала необходимо использовать цифровую обработку сигнала, поступающего с выхода преобразователя. Для сглаживания коэффициента передачи с помощью численного моделирования подбирается соответствующая корректировочная функция. Для кольцевого диодного стробпреобразователя наиболее простая и подходящая
, где
- частота сигнала,
- вносимый стробпреобразователем фазовый сдвиг, k0 и k1 - эмпирически найденные или подобранные с помощью численного моделирования коэффициенты. Далее значение выходного сигнала умножается на значение корректировочной функции. На рис. 3 показан график нелинейности стробпреобразователя с длительностью стробимпульса 50 пс при воздействии сигнала 1 В с цифровой обработкой сигнала, где k0=0,013625, k1 = 1,625*10-12. На рис. 4 показан аналогичный график для напряжения сигнала 0,5 В. Коэффициенты k0 и k1 зависят также от значения сигнала. Но эта зависимость для высоких уровней сигнала, где целесообразно применять такие цифровые фильтры из-за относительно большой нелинейности (0,1-1% ), может быть выражена достаточно просто - линейной функцией.
4. Заключение
В отличие от [1] в модели стробпреобразователя с инерционными диодами нелинейность выходного сигнала зависит от частоты входного сигнала, и эта зависимость сильно проявляется на частоте более 1 ГГц. Поэтому при разработке стробпреобразователей, работающих на частотах свыше 1 ГГц, необходимо использовать модель стробпреобразователя с инерционными диодами. Высшие гармоники выходного сигнала возникают за счет нелинейности вольтамперной характеристики диода, что было учтено в [1], и влияния тока ik , эти гармоники складываются, что может приводить либо к уменьшению нелинейности, либо к увеличению.
Список литературы
Жилин Н.С., Майстренко В.А. Метрологические аспекты преобразования частоты // Томск.: Изд-во Томск. ун-та, 1986.
Sparkes J.J., Beaufou R. The junction Transistor as a Charge Controlled Device // Proc. IRE. 1957. December. p. 1740.