| Скачать .docx | Скачать .pdf |
Реферат: Об обучении математике на подготовительных курсах
Т.Н.Карпова, И.Н. Мурина
Многолетний опыт работы показывает, что выпускники профильных математических классов заметно успешнее выдерживают вступительные экзамены и более быстро и уверенно адаптируются в системе вузовского обучения. Это говорит о необходимости специально организованной математической подготовки школьников, обучающихся на подготовительных курсах.
На физико-математическом факультете уже сложился некоторый опыт такой работы. Программа подготовки согласуется с содержанием школьного образования, направлена на развитие устойчивого интереса к математике, на развитие мышления учащихся и их математической культуры, включает изучение дополнительных вопросов, расширяющих и углубляющих школьные знания. При этом главной целью образовательного процесса является не просто усвоение математики, а "расширение и усложнение индивидуальных, интеллектуальных ресурсов личности средствами математики". С другой стороны, для каждого обучаемого необходимо создать условия, способствующие его интеллектуальному росту за счет максимально возможного развития его ментального опыта. Одним из показателей интеллектуального развития учащегося является "интеллектуальная компетентность", как особый тип организации знаний, обеспечивающий возможность принятия эффективных решений в определенной предметной области деятельности.
Система занятий по математике предполагает не только подготовку к сдаче вступительного экзамена, а и подготовку к продолжению образования через обогащение индивидуального ментального опыта. При этом математика должна предстать перед учащимися не как набор разрозненных фактов, а как цельная развивающаяся и развивающая дисциплина. Иными словами, приоритетной является не информационная, а развивающая линия курса. Обучение ведется на высоком уровне трудности, при этом ведущую роль играют задачи, и опоры для внутренних действий обучаемых ищутся не только во внешних действиях преподавателя, но и среди остаточных фреймов - следов предыдущих знаний в памяти обучаемых. Важное значение придается отбору самого содержания занятий.
Математика оперирует с объектами, представляющими абстрагирование от действительного мира и, как правило, обобщающими разнообразные реальные и идеальные ситуации, т.е. математическими моделями, которые напрямую связаны с функциями. Поэтому практически во всех разделах функции становятся ведущей идеей курса алгебры и начал анализа. На занятиях полученные в школе на разных этапах обучения теоретические знания функциональной линии должны найти свое применение при выполнении системы упражнений, которая предполагает единообразную структуру повторения функционального материала.
Задания выполняются учащимися, последовательно переходя от одного класса функций к другому (рациональные, иррациональные, трасцендентные функции).
Типы задач:
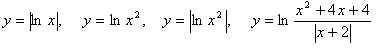
Построение графиков функций вида:
![]()
Нахождение интервалов знакопостоянства функции.
Решение уравнений и неравенств, с использованием свойств функций.
Применение графических приемов решения задач с параметрами.
Особое место отводится обратным тригонометрическим функциям, при этом их изучение происходит с использованием той же системы задач.
С помощью указанного вида задач систематизируются, обобщаются, углубляются и расширяются знания слушателей.
В качестве примера приведем некоторые типы упражнений, используемые при изучении показательной и логарифмической функций.
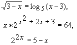
Изобразите на плоскости множество точек, координаты которых удовлетворяют уравнению (неравенству):

![]()
![]()
а) найдите интервалы знакопостоянства функции
y=log2log6(x2-3x+2), y=8x+18x-2
б) при каких значениях x график функции
y=log8(x2-4x+3)-1; y=22x+4-4x-13
расположен не выше оси абсцисс?
в) решите неравенство
![]()
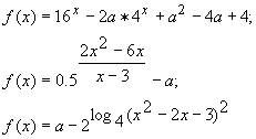
а) решите уравнение

б) решите неравенство

а) при каких значениях параметра a уравнение f(x)=0 имеет :
1) 2 различных действительных корня;
2) один корень;
3) не имеет действительных корней, если

б) решите неравенство
![]()
Комплексному формированию таких общеучебных умений, как умение планировать свою деятельность, внимательно воспринимать информацию, логически осмысливать условие и результаты, осуществлять самоконтроль и др., способствует процесс решения сюжетных задач. Целенаправленный отбор содержания базовых задач на "движение", "совместную работу", "сплавы и смеси", "числовые зависимости" обеспечивает создание условий для формирования умений поиска решения задачи.
Большинство действующих учебников по математике построено так, что упражнения закрепляют знания по теме, которая изучается в данный момент. Когда учащиеся приступают к решению задачи, не относящейся к конкретной теме, они часто теряются. Комплексные задания помогают устранить этот недостаток. Каждое из них объединяет несколько тем из курса математики. Например,
Дана функция
![]()
а) решите уравнение g(x)=-2x;
б) решите неравенство g(x)<-2x;
в) при каких значениях параметра a уравнение![]()
имеет два различных действительных корня?
Изобразите на плоскости множество точек, координаты которых удовлетворяют неравенству ![]()
Решите неравенство : arccoslog2(x-1)>arctgx+arcсtgx
Решите уравнение: ![]()
![]()
В классе писали контрольную работу. Среди выставленных за нее оценок были: "2", "3", "4", "5". Оценки "2". "3", "5" получило одинаковое количество учеников, а оценок "4" было поставлено больше, чем всех остальных оценок вместе взятых. Оценку выше "3" получило менее 10 учеников. Сколько "троек" и сколько "четверок" было поставлено, если контрольную работу писало не менее 12 учеников?
Эти упражнения развивают логическое мышление, учат обращать внимание на "тонкости", закрепляют усвоение основных положений курса математики. Решению таких задач отводятся заключительные занятия курса.
Результат обучения оценивается не количеством сообщаемой информации, а качеством ее усвоения и развитием способностей обучаемых к дальнейшему самостоятельному образованию. Для того, чтобы знания учащихся были результатом их собственных поисков, необходимо организовать эти поиски и управлять ими, поэтому большинство занятий завершается самостоятельной письменной работой и проведением домашних контрольных работ (4 к/р),
В процессе повторения изученного в школе материала учащиеся последовательно переходят от одного уровня математической деятельности к следующему, более высокому, сделав для себя открытие в этой теме, оценивая смысл и значение приобретаемых знаний.
Список литературы
М.А.Холодная. Писхология интеллекта: парадоксы исследования. - Томск, 1997
В помощь абитуриенту. Ярославль: ЯГПУ, 1999
В.Н.Литвиненко, А.Г.Мордкович. Практикум по элементарной математике. М.: Просвещение, 1991