| Скачать .docx | Скачать .pdf |
Реферат: Основы теории вихревой гравитации и строения вселенной
Сергей Орлов
Предлагаемая в данной статье модель показывает, что источником всемирной гравитации, сотворения небесных тел и их движения во Вселенной является вихревое вращение космической сплошной среды, называемой эфиром, а также уменьшение давления в этом эфире, направленное к центру его вращения.
Расчет сил гравитации выполнен на основании законов механики сплошных сред и (или) аэродинамики с использованием уравнений Навье - Стокса.
В результате решения получена алгебраическая формула сил тяготения, достоверность которой подтверждает ее соответствие астрономическим данным, а также эмпирической формуле Ньютона о всемирном тяготении.
На основании вихревой гравитации можно объяснить все явления и закономерности, наблюдаемые в космическом пространстве: движения небесных тел; взаимного удаления и сближение галактик; происхождение небесных тел, «черных дыр» и Вселенной в целом; природы силы тяжести; плотностей планет и их возраст; скорости гравитации; напряженности магнитных полей небесных тел и т. д., и т.п.
1. Начала теории
Предлагаемый принцип действия сил всемирного тяготения разработан на следующем основании.
Космическое пространство заполнено космическим веществом – эфиром, который образует в этом пространстве бесконечную систему воронкообразных уменьшений давления и космических вихрей вокруг этих воронок торсионного типа. Эфирные вихри (воронки) имеют мощности или объемы любой величины. Каждый вихрь возникает на орбитах вращения другого, более крупного вихря.
Воронкообразное уменьшение давления в торсионе создает силу выталкивания тел из космической среды с более высокой плотностью в среду с пониженной плотностью. Эта сила выталкивания является силой гравитации.
Сила гравитации обеспечивает накопление космической материи в центральной части торсиона и, следовательно, создание любого небесного тела.
Вихревое вращение эфира обеспечивает постоянную сохранность градиента давления и, следовательно, силы гравитации внутри космического торсиона.
Вихревое вращение эфира, в совокупности с центробежными силами и силами гравитации, обеспечивает закономерное вращательное движение всех небесных тел или их систем вокруг своей оси и другого тела, определяет силу тяжести на поверхности планет, спутников или звезд и, следовательно, строение Вселенной.
Действие сил гравитации подчиняется законам аэродинамики.
2. Модель возникновения силы всемирного тяготения
В данном разделе рассматривается модель возникновения силы всемирного тяготения с позиции аэродинамики. Рассматривается двумерная модель (Рис.1.), которая основывается на следующих начальных положениях, эти положения по мере изложения материала, будут уточняться и дополняться:
1. Вокруг каждого физического тела существует эфирный вихрь.
2. Движение эфира в вихре имеет ламинарный характер и подчиняется законам гидроаэродинамики, вязкость эфира мала.
3. Градиент давления, возникающий при вихревом движении эфирного газа, является причиной возникновения силы притяжения тела 2 со стороны тела 1.
4. Направление силы Fп не зависит от направления угловой скорости эфира, что необходимо для возникновения именно силы притяжения между телами, независимо от их взаимного положения, что подразумевает отсутствие силы Магнуса – силы взаимодействия двух вихрей, которая возникает в классической аэродинамике. Данное предположение может иметь место при слабом взаимодействии между двумя потоками эфира, словно они движутся один сквозь другой, не влияя на взаимное движение.
5. Возникающая сила притяжения должна описывать экспериментально полученный закон всемирного тяготения:
![]() |
(1)
где: m1 , m2 – массы тел 1 и 2 соответственно, G=6.672 ∙10-11 Hм2 / кг2 – гравитационная постоянная, r – расстояние между телами.
Рассмотрим подробнее возникновение силы притяжения и выведем описывающую ее формулу.
Как уже говорилось, в результате движения вихря возникает градиент давления. Найдем радиальное распределение давления и скорости эфира.
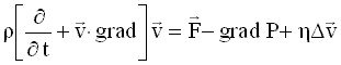
Запишем Уравнение Навье-Стокса для движения вязкой жидкости (газа).
![]() |
(2)
где: ρ - плотность эфира,
– вектор скорости эфира, P – давление эфира, η - вязкость.
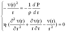
В цилиндрических координатах с учетом радиальной симметрии vr = vz = 0, v φ = v(r), P = P(r) уравнение запишется в виде системы:
![]() |
(3)
В случае сжимаемой субстанции эфира, вместо ρ появится функция
Из первого уравнения системы (3) находится P (r) при известной зависимости v (r), которая в свою очередь должна находиться из второго уравнения (одно из решений которого является функция v (r)~1/r). При нулевой вязкости система допускает любую зависимость v (r) [2].
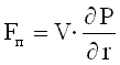
Действующая на тело сила может быть оценена по формуле:
(4)
где V – объем тела 2.
В цилиндрических координатах для модуля
![]() |
(5)
Тогда, сравнивая (3) и (5) для несжимаемого эфира (ρ = const) находим, что:
![]() |
(6)
Для соответствия Fп (r) закону всемирного тяготения (см. положение 5) v (r) должна подчиняться зависимости
![]() |
а не
![]() |
С учетом краевого условия v (r1 ) = w1 ∙r1 ,
![]() |
(7)
Таким образом:
![]() |
(8)
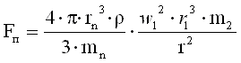
Делаем предположение № 6 – Эфир пронизывает все пространство, включая физические тела. Объем V в формуле (8) - это эффективный объем - объем элементарных частиц, из которых состоит тело 2. Все тела состоят из электронов, протонов и нейтронов. Радиус электрона много меньше радиуса протона и нейтрона, радиус последних примерно одинаков и составляет порядка rn ~ 1.2∙10-15 м. Массы протона и нейтрона также примерно одинаковы mn ~ 1.67∙10-27 кг (r n , m n – радиус и масса нуклона). Поэтому объем в формуле (8) равен:
![]() |
(9)
С учетом (9) равенство (8) перепишется в виде:
![]() |
(10)
Предположив (Предположение № 7), что
(11)
где A – некая константа, уравнение (10) будет иметь вид:
![]() |
(12)
Сравнивая (12) и (1) находим, что константа A=1.739∙1018 м 3 /с2 ∙кг. При расчете использовались данные о параметрах свободного эфира приведенные в разделе 1.
Предположение № 7 является адекватным, так как w1 и r1 являются параметрами тела 1. Если поделить левую и правую часть (11) на r1 3 , то получим, что квадрат угловой скорости эфира на поверхности тела пропорционален плотности этого тела.
Найдем, например, угловую скорость эфира на поверхности Солнца:
![]() |
(13)
Масса Cолнца m1 = 1.99∙10 30 кг, r 1 = 6.96 ∙10 8 м тогда, w1 =1.022∙1011 c-1 .
Линейная скорость эфира на поверхности v (r1 )=w1 ∙r1 = 7.113∙1019 м/c.
Эта скорость на два порядка меньше средней скорости амеров в эфире 6.6∙1021 м/c [1]. Таким образом, полученная линейная скорость эфирного ветра вполне может иметь место. Для Земли m1 = 5.98∙1024 кг, r1 = 6.38 ∙106 м, получаем w1 = 2.001∙1011 c-1 , v (r1)=1.277∙1018 м/c.
Величина w1 в любом небесном торсионе, на основании вихревой гравитации, определяется из условия равенства центробежных сил и сил гравитации для любого небесного тела.
При учете сжимаемости эфира, предположим, в изотермическом случае (T=const), когда:
![]() |
(14)
где R-удельная газовая постоянная равная
![]() |
Дж∙кг-1 ∙K-1 (R0 = 8.314 Дж∙моль-1 ∙K-1 – универсальная газовая постоянная, μ - молярная масса эфира, m0 = 7∙10-117 кг – масса амера [1], Na=6.022∙1023 моль-1 – постоянная Авогадро), после решения 1-го уравнения в системе (3) получаем функцию распределения давления от радиуса, по которой, используя, например, значения w1 и r1 для Солнца получается очень незначительное изменение плотности от радиуса, что дает возможность считать эфир несжимаемым и использовать формулы, приведенные выше.
Найдем зависимость P (r), решая первое уравнение системы (3) с учетом (7) находим:
![]() |
(15)
где P0 – давление эфира у поверхности, используя граничное условие
находим, что
(Pb - давление свободного эфира).
На основании полученной формулы вихревой гравитации, очевидно, что в существующем законе всемирного тяготения Ньютона, вместо причины тяготения (которой является градиент давления) используется его следствие, то есть масса центрального тела.
3. Некоторые выводы
Предлагаемая модель всемирной гравитации предполагает совершенно новые принципы для исследования проблем астрофизики.
Основное отличие вихревой гравитации заключается в том, что по этой модели любые физические тела не создают гравитацию, а скорее наоборот – бариально – вихревая гравитация является движущей силой для возникновения всех небесных объектов.
В контексте вихревой гравитации ниже предлагаются некоторые выводы, показанные без детальной разработки.
3.1. Принцип создания и существования вселенной
На основании сказанного выше (раздел 2) очевидно, что возникновение бариальных «воронок» и торсионов в космическом пространстве является основной причиной возникновения, эволюции и движения всех небесных объектов.
Вихревая гравитация в каждом торсионе создает эффект всасывания космической пыли по направлению к своему центру. Сконцентрированная в одной астрономической точке космическая материя образует различные небесные тела или их системы.
Орбитальное движение и вращение небесных тел вокруг своей оси является инерциальным движением, заданным соответствующим движением эфира.
Совокупность сил вихревой гравитации с физическими закономерностями вызывает движение небесных тел по радиальному направлению.
3.2. Черные дыры
Джон Митчелл в 1783 г. представил свою работу, в которой он указывал на то, что достаточно массивная и компактная звезда должна иметь столь сильное гравитационное поле, что свет не сможет выйти за его пределы. Подобные объекты называются Черными Дырами.
На основании полученной формулы (10), с учетом предположения №6 раздела 2, можно определить силу гравитации в любой космической точке, в том числе и внутри небесных тел, в частности, внутри Солнца.
Расчетами установлено, что гравитация, соответствующая по своей силе гравитации Черной Дыры, возникает в солнечном торсионе на расстоянии 3 километра от его центра. При этом не требуется уплотнения Солнца до такого радиуса.
Следовательно, Черные Дыры – центр космического торсиона, который, обладая гравитацией должен создавать новое небесное тела. То есть, Черные Дыры - это не коллапс небесного тела, а новообразованный космический торсион.
Зафиксировать Черную Дыру сторонний наблюдатель может только в тот момент, когда центр этого космического торсиона еще не закрыт космическим веществом, которое должен всасывать в себя торсион с момента своего возникновения. После концентрации в центре торсиона космического вещества в объеме, который закроет сверхбыструю зону, этот небесный объект превращается в обычное небесное тело – планету, звезду и т. п.
3.3. Расширение или сжатие вселенной?!
Удаление галактик друг от друга в настоящее время объясняется расширением Вселенной, которое началось, благодаря так называемому «Большому взрыву».
Для анализа удаления галактик друг от друга, используем следующие физические свойства и законы:
1. Галактики вращаются вокруг центра Вселенной, совершая один оборот вокруг центра Вселенной за 100 триллионов лет [4 ].
Следовательно, возможно предположить, что метагалактика – гигантский торсион, в котором действуют законы вихревой гравитации и классической механики.
2. Земля увеличивает свою массу в год на 1,6 ∙ 1015 кг [1]. Следовательно, возможно предположить, что все остальные небесные тела также увеличивают свою массу.
3. В метагалактическом торсионе действует закон сохранения момента импульса движения:
M V R = const (а).
4. В каждом торсионе, в том числе и метагалактическом, космическая пыль, поступая из внешнего пространства, при своем движении к центру метагалактики, должна уплотняться. Эта зависимость очевидна из условия движения постоянного объема вещества от периферии к центру любого сфероида (торсиона). Тогда каждый галактический торсион-спутник должен находиться в космическом пространстве с разной плотностью. Чем ближе орбита галактики расположена к центру метагалактики, тем более плотная космическая среда его окружает. Тогда галактики на разных орбитах впитывают космическую пыль с разной интенсивностью. Чем плотнее среда окружает торсион, тем большее количество материи он может затянуть в свои орбиты.
5. Постоянная астрофизическая закономерность:
R ~ V -2 (б) .
На основании (а) и (б), при условии увеличения массы спутника торсиона (п.4) получаем следующие зависимости:
- расстояние до центра торсиона от этого спутника сокращается,
- орбитальная скорость спутника возрастает.
Следовательно, орбитальная и радиальная скорости спутника имеют прямо пропорциональные зависимости от изменения массы этого спутника.
На основании условия 4 очевидно, что радиальная скорость галактик по направлению к центру метагалактики возрастает, по мере приближения галактического торсиона к этому центру, так как ускорение радиальной скорости прямо пропорционально приросту массы небесного тела, которое, в свою очередь, обратно пропорционально квадрату расстояния до центра торсиона. Следовательно, галактики двигаются с ускорением, которое определяет удаление галактик друг от друга (постоянная Хаббла).
Таким образом, на основании вышеуказанного, метагалактика сжимается или закручивается.
5. Доказательства вихревого вращения и гравитации
Первое доказательство вихревого космического вращения находится в общеизвестной закономерности: чем быстрее планета вращается вокруг своей оси, тем большей массой и количеством спутников она обладает.
Эта закономерность убедительно доказывает вихревую природу гравитации, так как имеет следующую причинно-следственную связь: чем быстрее вращается планета, тем быстрее вращается соответствующий эфирный торсион. Чем быстрее вращается торсион, тем больше сила вихревой гравитации. Чем больше сила гравитации, тем больше степень «засасывания» космической материи этим торсионом а, следовательно, больше и масса создаваемого небесного тела и количество спутников.
Вышеуказанные соответствия скоростей вращения планет, их масс и количества спутников подтверждают все астрономические каталоги.
Второе доказательство вихревого вращения эфира заключено в орбитальном движении планет.
Как известно, скорости обращения планет вокруг Солнца возрастают обратно пропорционально квадрату расстояния до центра вращения.
Такое распределение орбитальных скоростей в едином континууме происходит только при торсионном вращении сплошной среды (эфира). В других физических системах такой закономерности распределения скоростей в движении субъектов единой системы, до настоящих времен, обнаружено не было.
Следовательно, имеется полное основание сделать вывод: так как орбитальное вращение планет нашей солнечной системы соответствует торсионному вращению сплошной среды, то движение этих планет было вызвано вращением этой среды, то есть – эфиром. Следовательно, этот эфир находится в состоянии торсионного вращения.
Вполне вероятно, что Ньютон был первым мыслителем, который понял, что скорости вращения планет соответствуют силе притяжения этих планет к центру вращения. На основании этой догадки Ньютон разработал знаменитый закон всемирной гравитации, заложив в свою формулу не менее знаменитый квадрат расстояния до центра.
Кроме того, очевидный факт, что все небесные тела или их системы постоянно вращаются в нашей Вселенной, подтверждает торсионный принцип существования мировой материи.
В заключение необходимо отметить, что теория вихревой гравитации позволит уточнить или изменить решение многочисленных свойств небесных тел, а также проблем космологии и космогонии.
Автор приносит благодарность преподавателю ПГУ Величко А.А. за помощь в проведении математических выкладок в разделе 2.
Список литературы
[1] Ацуковский В. А. Общая эфиродинамика. М. 1990.
[2] Кикнадзе Л. В., Мамаладзе Ю. Г. Классическая гидродинамика для физиков – экспериментаторов. Изд. Тбилисского университета. 1979.
[3] Физические величины. Справочник (Бабичев А. П., Бабушкина Н. А. и др.) М. 1991.
[4] Кадыров С. К. Всеобщая физическая теория единого поля. Бишкек. 2001.
![]() |
| Рис.1. |
Двумерная модель гравитационного взаимодействия двух тел. Указаны силы, действующие на тело 2. Fc -центробежная сила, Fп - сила притяжения тела 2 со стороны тела 1, v2 – линейная скорость тела 2 по орбите, R – радиус орбиты, r1 – радиус тела 1, r2 – радиус тела 2, w1 – угловая скорость вращения эфира на поверхности тела 1.
![]() |
| Рис.2. Радиальное распределение давления эфира для Солнца. |

















