| Скачать .docx | Скачать .pdf |
Реферат: Практика перевода числа из одной системы счисления в другую + блок-схема алгоритма определения наименьшего числа
Задание №1, вопрос №1: Перевести заданные числа в десятичную систему счисления.
ТАБЛИЦА
С и с т е м а с ч и с л е н и я |
|||
| 10 | 2 | 8 | 16 |
| 0 | 0 | 0 | 0 |
| 1 | 1 | 1 | 1 |
| 2 | 1 0 | 2 | 2 |
| 3 | 1 1 | 3 | 3 |
| 4 | 1 0 0 | 4 | 4 |
| 5 | 1 0 1 | 5 | 5 |
| 6 | 1 1 0 | 6 | 6 |
| 7 | 1 1 1 | 7 | 7 |
| 8 | 1 0 0 0 | 1 0 | 8 |
| 9 | 1 0 0 1 | 1 1 | 9 |
| 10 | 1 0 1 0 | 1 2 | A |
| 11 | 1 0 1 1 | 1 3 | B |
| 12 | 1 1 0 0 | 1 4 | C |
| 13 | 1 1 0 1 | 1 5 | D |
| 14 | 1 1 1 0 | 1 6 | E |
| 15 | 1 1 1 1 | 1 7 | F |
| 16 | 1 0 0 0 0 | 2 0 | 1 0 |
А) 1101101,1102
Для перевода целого числа из двоичной системы в десятичную необходимо цифры умножать на двойку в степени номера позиции (номер позиции начинается с нуля и нумеруется с права на лево). В не целых числах та часть числа, которая стоит после запятой, переводится отдельно, и дописывается к уже полученному числу.
11011012= 1x20 +0x21 +1x22 +1x23 +0x24 +1x25 +1x26 =10910
Переведём дробную часть:
1102= 0x20 +1x21 +1x22 = 610
Итак, мы получаем, что 1101101,1102=109,610
Б) 226,518
Для того, чтобы перевести число из восьмиричной системы в десятичную, необходимо сначала перевести его по таблице в начале контрольной в двоичную, а затем выше описанным методом в десятичную систему. Перевод по таблице делается справа налево, по одной цифре, причём в двоичном варианте должны выходить триады (цифры по три штуки), и если символов меньше, необходимо при переводе каждой цифры дописывать слева нули.
Мы получаем, что 226,518=10010110,1010012
По правилу перевода числа из двоичной системы в десятичную получаем, что 10010110,1010012=150,4110
Итого: 226,518=150,4110
В) ВС16
Используем метод, описанный в числе «Б», с той разницей, что в двоичном коде мы должны получить тетрады (цифры по четыре штуки).
Получаем, что ВС16=101111002
Затем, способом перевода двоичного числа в десятичное выясняем, что:
ВС16=18810
Задание №1, вопрос №2: Выполнить указанные действия в заданной системе счисления.
А)
10011 2
+ 110 2
= 11001 2
Б)
632 8
- 24 8
= 626 8
В)
643 16
+ 6 D 16
= 6 B 0 16
Задание №1, вопрос №3: Заданные чиста и полученные результаты арифметических операции пункта 2 перевести в десятичною систему счисления и выполнить проверку полученных результатов в десятичной системе счисления.
А) Способом, описанным в задании №1, вопросе №1, подвопросе А, получаем, что:
10011 2 =19 10
110 2 =6 10
11001 2 =25 10
Б) Способом, описанным в задании №1, вопросе №1, подвопросе Б, получаем, что:
632 8 =410 10
24 8 =20 10
626 8 =406 10
В) Способом, описанным в задании №1, вопросе №1, подвопросе В, получаем, что:
643 16 =1603 10
6 D 16 =109 10
6 B 0 16 =1712 10
ВЫВОД: Так как все операции с числами сходятся в десятичной системе счисления, и при переводе чисел заданий с ответами тоже, то предыдущее задание выполнено верно.
Задание №1, вопрос №4: Перевести заданные в десятичной системе счисления числа в системы с основаниями 2, 8 и 16:
65210
984,65210
23674,56677510
Ответ:
Для того, чтобы перевести число из десятичной системы в любую другую, необходимо это число делить на число – основание той системы, в которую переводится число. Соответственно, эти числа – 2, 8, 10 и 16. Остатки необходимо фиксировать и нумеровать. Число, полученное в результате деления – делим ещё раз, и так до тех пор, пока вновь полученное число уже само не станет остатком, т. е. будет меньше основания – оно замыкает цепочку остатков. Затем остатки, начиная с последнего, переписываем в число, которое является переведённым в другую систему счисления.
Разделим число 63210 на 2, переведя его таким образом в двоичную систему счисления:
632/2=316, остаток№1 (A1)=0;
316/2=158, A2=0
158/2=79, A3=0
79/2=39, A4=1
39/2=19, A5=1
19/2=9, A6=1
9/2=4, A7=1
4/2=2, A7=0
2/2=1, A8=0
A9=1.
Теперь напишем остатки с последнего, и получим число 63210 в двоичной системе, оно = A9+A8+A7+A6+A5+A4+A3+A2+A1 =
= 10011110002
Путём такого деления узнаём, что:
63210 = 10011110002 = 27816 = 11708
984,65210=1111011000,10011110002=3D8, 27816=1730,11708
23674,56677510=57CA,8A5F716=56172,21227678 =
= 101110001111010,100010100101111101112
Задание №1, вопрос №5: Перевести заданные в одной системе счисления числа в другую указанную в скобках систему счисления.
А) 333,13 8 (8 - 2)
Б) 11101010,111112 (2-8)
В) 2336,748 (8-16)
Для того, чтобы перевести число «В» необходимо сначала перевести его в двоичную систему счисления. Используя метод, изложенный при решении задания №1, вопроса№1, подвопроса «Б» и «В» получаем:
333,138=11011011,10112
11101010,111112=352,378
2336,748=4DE,3C16
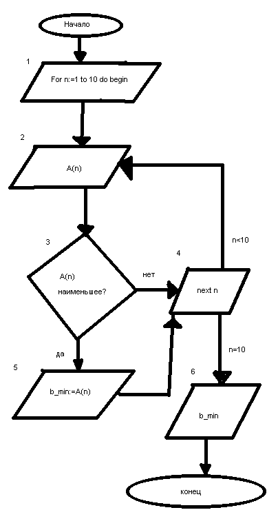
Задание №2: Блок схема алгоритма определения минимального из десяти заданных чисел.
