| Скачать .docx | Скачать .pdf |
Реферат: Математическая статистика
1-я контрольная работа
Задача № 1.33
Вычислить центральный момент третьего порядка (m3 ) по данным таблицы:
| Производительность труда, м/час | 80.5 – 81.5 | 81.5 – 82.5 | 82.5 – 83.5 | 83.5 – 84.5 | 84.5 – 85.5 |
| Число рабочих | 7 | 13 | 15 | 11 | 4 |
| Производительность труда, м/час | XI | Число рабочих, mi | mi xi | (xi -xср )3 | (xi -xср )3 mi |
| 80.5 – 81.5 | 81 | 7 | 567 | -6,2295 | -43,6065 |
| 81.5 – 82.5 | 82 | 13 | 1066 | -0,5927 | -7,70515 |
| 82.5 – 83.5 | 83 | 15 | 1245 | 0,004096 | 0,06144 |
| 83.5 – 84.5 | 84 | 11 | 924 | 1,560896 | 17,16986 |
| 84.5 – 85.5 | 85 | 4 | 340 | 10,0777 | 40,31078 |
![]() Итого: |
50 | 4142 | 6,2304 |

Ответ: m3 =0,1246
Задача № 2.45
Во время контрольного взвешивания пачек чая установлено, средний вес у
n
=200 пачек чая равен
=26 гр. А
S=
1гр. В предложение о нормальном распределение определить у какого количества пачек чая ве будет находится в пределах от (
до
.
Р(25<x<27)=P
=2Ф(1)-1=0,3634
m=n*p=200*0,3634 » 73
Ответ: n=73
Задача № 3.17
На контрольных испытаниях
n=17
было определено
=3000
ч . Считая, что срок службы ламп распределен нормально с
=21 ч.., определить ширину доверительного интервала для генеральной средней с надежностью ![]()
=0,98

Ответ: [2988<
<3012]
Задача № 3.69
По данным контрольных испытания
n
=9 ламп были получены оценки
=360 и
S=
26 ч. Считая, что сроки служб ламп распределены нормально определить нижнюю границу доверительного интервала для генеральной средней с надежностью

Ответ:358
Задача № 3.71
По результатам n=7 измерений средняя высота сальниковой камеры равна
=40 мм, а S=1,8 мм. В предложение о нормальном распределение определить вероятность того, что генеральная средняя будет внутри интервала
.

Ответ: P=0,516
Задача № 3.120

По результатам измерений длины
n=76
плунжеров было получено
=50 мм и
S=
7 мм. Определить с надежностью 0,85 верхнюю границу для генеральной средней.
Ответ:50,2
Задача № 3.144
На основание выборочных наблюдений за производительностью труда
n
=37 рабочих было вычислено
=400 метров ткани в час
S=
12 м
/
ч. в предложение о нормальном распределение найти вероятность того, что средне квадратическое отклонение будет находится в интервале от 11 до 13.

Ответ: P(11<s<13)=0,8836
Задача № 4.6
С помощью критерия Пирсона на уровне значимости a=0,02 проверить гипотезу о биноминальном законе распределения на основание следующих данных.
| Mi | 85 | 120 | 25 | 10 |
| Mt i | 117 | 85 | 37 | 9 |
| mi | mi T | (mi -mi T )2 | (mi -mi T )2 / mi T |
| 85 | 117 | 1024 | 8,752137 |
| 120 | 85 | 1225 | 14,41176 |
| 25 | 37 | 144 | 3,891892 |
| 10 | 9 | 1 | 0,111111 |
| 27,1669 |
c2 факт. =S(mi - mi T )/ mi T =27,17
c2 табл. = (n=2, a=0,02)=7,824
c2 факт > c2 табл
Ответ: Выдвинутая гипотеза о нормальном законе распределения отвергается с вероятностью ошибки альфа.
2-я контрольная работа
Задача 4.29
По результатам
n =4
измерений в печи найдено ![]()
= 254
°
C
. Предполагается, что ошибка измерения есть нормальная случайная величина с
s
= 6
°
C
. На уровне значимости
a
= 0.05 проверить гипотезу
H0
:
m
= 250
°
C
против гипотезы
H1
:
m
= 260
°
C
. В ответе записать разность между абсолютными величинами табличного и фактического значений выборочной характеристики.
m 1 > m 0 Þ выберем правостороннюю критическую область.

Ответ: Т.к. используем правостороннюю критическую область, и tкр > tнабл , то на данном уровне значимости нулевая гипотеза не отвергается (|tкр | - |tнабл |=0,98).
Задача 4.55
На основание
n=
5 измерений найдено, что средняя высота сальниковой камеры равна
мм, а
S=
1,2 мм. В предположение о нормальном распределение вычислить на уровне значимости
a
=0,01 мощность критерия
при гипотезе
H0
:
50
и
H1
:
53

Ответ: 23
Задача 4.70
На основании
n
= 15 измерений найдено, что средняя высота сальниковой камеры равна
= 70 мм и
S =
3. Допустив, что ошибка изготовления есть нормальная случайная величина на уровне значимости
a
= 0.1 проверить гипотезу
H0
:
мм2
при конкурирующей гипотезе
. В ответе записать разность между абсолютными величинами табличного и фактического значений выборочной характеристики.
построим левостороннюю критическую область.

Вывод:
на данном уровне значимости нулевая гипотеза не отвергается (
).
Задача 4.84
По результатам
n
= 16 независимых измерений диаметра поршня одним прибором получено
= 82.48 мм и
S
= 0.08 мм. Предположив, что ошибки измерения имеют нормальное распределение, на уровне значимости
a
= 0.1 вычислить мощность критерия гипотезы
H0
:
при конкурирующей гипотезе
H1
:
.
построим левостороннюю критическую область.
![]()
Ответ: 23;
Задача 4.87
Из продукции двух автоматических линий взяты соответственно выборки
n1
= 16
и
n
2
=
12
деталей. По результатам выборочных наблюдений найдены
= 180 мм и
= 186 мм. Предварительным анализом установлено, что погрешности изготовления есть нормальные случайные величины с дисперсиями
мм2
и
мм2
. На уровне значимости
a
= 0.025 проверить гипотезу
H
0
:
m
1 =
m
2
против
H
1
:
m
1
<
m
2
.
Т.к. H1 : m1 <m2 , будем использовать левостороннюю критическую область.

Вывод:
гипотеза отвергается при данном уровне значимости.
Задача 4.96
Из двух партий деталей взяты выборки объемом
n1
= 16
и
n
2
=
18
деталей. По результатам выборочных наблюдений найдены
= 260 мм,
S1
= 6
мм,
= 266 мм и
S2
=7
мм. Предполагая, что погрешности изготовления есть нормальные случайные величины и
, на уровне значимости
a
= 0.01 проверить гипотезу
H
0
:
m
1 =
m
2
против
H
1
:
m
1
¹
m
2
.

Вывод
:
при данном уровне значимости гипотеза не отвергается.
Задача 4.118
Из n1 = 200 задач первого типа, предложенных для решения, студенты решили m1 = 152, а из n2 = 250 задач второго типа студенты решили m2 = 170 задач. Проверить на уровне значимости a = 0.05 гипотезу о том, что вероятность решения задачи не зависит от того, к какому типу она относится, т.е. H0 : P1 = P2 . В ответе записать разность между абсолютными величинами табличного и фактического значений выборочной характеристики.

Вывод:
нулевая гипотеза при данном уровне значимости принимается (
).
Задача 1.39:
Вычислить центральный момент третьего порядка (m3 * ) по данным таблицы:
| Урожайность (ц/га), Х | 34,5-35,5 | 34,5-36,5 | 36,5-37,5 | 37,5-38,5 | 38,5-39,5 |
| Число колхозов, mi | 4 | 11 | 20 | 11 | 4 |
Решение:
| Урожайность (ц/га), Х | Число колхозов, mi | Xi | mi xi | (xi -x ср )3 | (xi -x ср )3 mi |
| 34,5-35,5 | 4 | 35 | 140 | -8 | -32 |
| 34,5-36,5 | 11 | 36 | 396 | -1 | -11 |
| 36,5-37,5 | 20 | 37 | 740 | 0 | 0 |
| 37,5-38,5 | 11 | 38 | 418 | 1 | 11 |
| 38,5-39,5 | 4 | 39 | 156 | 8 | 32 |
| Итого: | 50 | - | 1850 | - | 0 |
![]() |
![]() |
Ответ: m3 * =0
Задача 2.34:
В результате анализа технологического процесса получен вариационный ряд:
| Число дефектных изделий | 0 | 1 | 2 | 3 | 4 |
| Число партий | 79 | 55 | 22 | 11 | 3 |
Предполагая, что число дефектных изделий в партии распределено по закону Пуассона, определить вероятность появления 3 дефектных изделий.
Решение:
| m | 0 | 1 | 2 | 3 | 4 |
| p | 0.4647 | 0.3235 | 0.1294 | 0.0647 | 0.0176 |
![]()
Ответ:
P=7.79*10-7
Зпадача 3.28:
В предложении о нормальной генеральной совокупности с s=5 сек., определить минимальный объем испытаний, которые нужно провести, чтобы с надежностью g=0.96 точность оценки генеральной средней m времени обработки зубчатого колеса будет равна d=2 сек.
![]() |
Решение:
n=(5.1375)3 =26.39»27
Ответ: n=27
![]()
Задача 3.48:
На основании измерения n=7 деталей вычислена выборочная средняя и S=8 мк. В предположении, что ошибка изготовления распределена нормально, определить с надежностью g=0.98 точность оценки генеральной средней.
Решение:

St(t,n=n-1)=g=St(t,6)=0.98
Ответ: d=0.4278
Задача 3.82:
На основании n=4 измерений температуры одним прибором определена S=9°С. Предположив, что погрешность измерения есть нормальная случайная величина определить с надежностью g=0.9 нижнюю границу доверительного интервала для дисперсии.
Решение:

Ответ:
41.4587
Задача 3.103:
Из 400 клубней картофеля, поступившего на контроль вес 100 клубней превысили 50 г. Определить с надежностью g=0.98 верхнюю границу доверительного интервала для вероятности того, что вес клубня превысит 50 г.
Решение:

t=2.33
![]()
Ответ:
0.3
Задача 3.142:
По результатам 100 опытов установлено, что в среднем для сборки вентиля требуется Xср =30 сек., а S=7 сек. В предположении о нормальном распределении определить с надежностью g=0.98 верхнюю границу для оценки s генеральной совокупности.
Решение:

t=2.33
![]()
Ответ:
8.457
Задача 4.18:
Гипотезу о нормальном законе распределения проверить с помощью критерия Пирсона на уровне значимости a=0.05 по следующим данным:
| mi | 6 | 13 | 22 | 28 | 15 | 3 |
| mi T | 8 | 17 | 29 | 20 | 10 | 3 |
Решение:
| mi | mi T | (mi -mi T )2 | (mi -mi T )2 / mi T |
| 6 | 8 | 4 | 0.5 |
| 13 | 17 | 16 | 0.941 |
| 22 | 29 | 49 | 1.6897 |
| 28 | 20 | 64 | 3.2 |
| 10 | 25 | 1.9231 | |
| 3 | 3 | ||
| Итого: | - | - | 8.2537 |
![]()
Ответ:
-2.2627
1.36.
Вычислить дисперсию.
| Производительность труда | Число рабочих | Средняя производительность труда |
| 81,5-82,5 | 9 | 82 |
| 82,5-83,5 | 15 | 83 |
| 83,5-84,5 | 16 | 84 |
| 84,5-85,5 | 11 | 85 |
| 85,5-86,5 | 4 | 86 |
| Итого | 55 |
![]() |
2.19.
Используя результаты анализа и предполагая, что число дефектных изделий в партии распределено по закону Пуассона, определить теоретическое число партий с тремя дефектными изделиями.
| m | 0 | 1 | 2 | 3 | 4 | 5 | Итого |
| fi | 164 | 76 | 40 | 27 | 10 | 3 | 320 |
| Pm | 0,34 | 0,116 | 0,026 | 0,004 | 0,001 | ||
| Pm*fi | 288,75 | 25,84 | 4,64 | 0,702 | 0,04 | 0,003 | 320 |
| fi теор. | 288 | 26 | 5 | 1 | 0 | 0 | 320 |
m – число дефектных изделий в партии,
fi – число партий,
fi теор. = теоретическое число партий

Теоретическое значение числа партий получается округлением Pm*fi
.
Соответственно, теоретическое количество партий с тремя дефектными изделиями равно 1.
3.20.
По выборке объемом 25 вычислена выборочная средняя диаметров поршневых колец. В предложении о нормальном распределении найти с надежностью γ=0,975 точность δ , с которой выборочная средняя оценивает математическое ожидание, зная, что среднее квадратическое отклонение поршневых колец равно 4 мм ..

3.40.
![]() |
По результатам семи измерений средняя высота сальниковой камеры равна 40 мм ., а S=1,8 мм.. В предположении о нормальном распределении определить вероятность того, что генеральная средняя будет внутри интервала (0,98х;1,02х).
3.74.
По данным контрольных 8 испытаний определены х=1600 ч. и S=17ч..Считая, что срок службы ламп распределен нормально, определить вероятность того, что абсолютная величина ошибки определения среднего квадратического отклонения меньше 10% от S.

3.123.
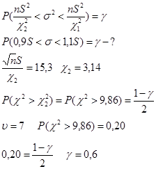
По результатам 70 измерений диаметра валиков было получено х=150 мм., S=6,1 мм.. Найти вероятность того, что генеральная средняя будет находиться внутри интервала (149;151).

3.126
По результатам 50 опытов установлено, что в среднем для сборки трансформатора требуется х=100 сек ., S=12 сек .. В предположении о нормальном распределении определить с надежностью 0,85 верхнюю границу для оценки неизвестного среднего квадратического отклонения.
![]() |
4.10
С помощью критерия Пирсона на уровне значимости α=0,02 проверить гипотезу о законе распределения Пуассона (в ответе записать разность между табличными и фактическими значениями χ2 ).
| mi | mi T | (mi -mi T )2 | (mi -mi T )2 /mi T |
| 80 | 100 | 400 | 4 |
| 125 | 52 | 5329 | 102,5 |
| 39 | 38 | 1 | 0,03 |
| 12 | 100 | 4 | 0,4 |
| ∑=256 | 200 | 5734 | 122,63 |

Гипотеза противоречит закону распределения Пуассона.






