| Скачать .docx | Скачать .pdf |
Реферат: Линейные системы дифференциальных уравнений с периодическими коэффициентами

Министерство общего и профессионального образования
Российской Федерации
Донской Государственный Технический Университет
кафедра “ Высшей математики ”
_______________________________________________________
Линейные системы
дифференциальных уравнений с периодическими коэффициентами
доклад по математике
Выполнил
Груздев Владимир Викторович
студент группы У-1-47
Руководитель
Братищев Александр Васильевич
г.Ростов-на-Дону
2000 г.
Доклад посвящен теме, которой,по мнению автора,
в курсе дифференциального исчисления уделено
недостаточное внимание,
"СЛДУ с периодическими коэффициентами".
Приведены основные определения, теоремы,
на основе которых можно искать решения
(периодические) подобных систем.
Рассмотрены несколько примеров на тему.
Содержание.
1. Однородная линейная система дифференциальных уравнений
с периодическими коэффициентами…………………….…….…………..4
2. Неоднородная линейная система дифференциальных уравнений с периодическими коэффициентами..…………………………………………6
Примечания………………………………………………...…………………..7
Примеры………………………………………………………………….…….8
1. Однородная линейная система дифференциальных уравнений с периодическими коэффициентами.
Рассмотрим систему линейных дифференциальных уравнений
ż = F(t)z (- ¥ < t < + ¥), (1)
где F(t) — непрерывная периодическая матрица с периодом w:
F(t + w) = F(t ).
Пусть z1 (t), …, zn (t) — фундаментальная система решений для системы уравнений (1), определяемая начальными условиями
zj (0) = ej (j = 1, …,n) , (2)
где ej = {dj 1 , …, dj n } (см. примечание 1) . Поскольку матрица F(t) периодическая, функции z1 (t + w) , …, zn (t + w) также образуют фундаментальную систему решений. Таким образом каждая из функций zj (t + w) будет линейной комбинацией zk (t) (k = 1, …, n) с постоянными коэффициентами (см. примечание 2) , поэтому
где сj k (j, k = 1, …, n) — постоянные. Последние соотношения можно записать в виде
Z(t + w) = Z(t)C , (3)
где Z(t) — фундаментальная матрица решений zj (t) (j = 1, …, n), а С = (сj k ) — постоянная матрица.
В силу (1) и (2) матрица Z(t) удовлетворяет условиям
Ż = F(t)Z, Z(0) = E.
Полагая в равенстве (3) t = 0 , получим Z( w) = C .
Таким образом, Z(t + w) = Z(t)Z( w). (4)
Матрица Z( w) называется матрицей монодромии системы уравнений (1). Очевидно ç Z( w) ç ¹ 0 . Собственные значения матрицы Z( w) называются мультипликаторами системы уравнений (1).
Отметим, что если матрица F(t) действительная, то матрица монодромии также действительная, однако мультипликаторы будут, вообще говоря, комплексными числами.
Теорема 1. Для того чтобы комплексное число r было мультипликатором системы уравнений (1), необходимо и достаточно, чтобы существовало такое нетривиальное решение j (t) системы (1), для которого
j (t + w) = r j (t) . (5)
Доказательство. Пусть r — мультипликатор системы уравнений (1), тогда существует такой вектор z0 ¹ 0 , что
Z( w)z0 = r z0 .
Рассмотрим следующее нетривиальное решение системы уравнений (1):
j (t) = Z(t)z0 .
В силу (4)
j (t + w) = Z(t + w)z0 = Z(t)Z( w)z0 = Z(t) r z0 = r Z(t)z0 = r j (t) .
Необходимость условия сформулированного в теореме, доказана. Докажем достаточность. Из соотношения (5) при t = 0 получим
j ( w) = r j (0) . (6)
В силу теоремы единственности
j (t) = Z(t) j (0) , (7)
причем j (0) ¹ 0 , так как в противном случае решение j (t) было бы тривиальным. Из равенства (7) в силу (6) следует то, что
Z( w) j (0) = j ( w) = r j (0).
Таким образом, j (0) — собственный вектор матрицы Z( ω) , а ρ — мультипликатор системы уравнений (1). Теорема доказана.
Из доказанной теоремы непосредственно вытекает
Следствие. Линейная однородная система уравнений (1) имеет нетривиальное решение с периодом ω в том и только в том случае, когда один из ее мультипликаторов равен единице.
Замечания. 1. Имеет место
Теорема Флоке. Фундаментальная матрица Z(t) допускает следующее представление :
Z(t) = Ф(t)eAt [1] ,
где Ф(t) — периодическая матрица с периодом ω, а А — постоянная матрица.
2. Легко видеть, что матрица Ф(t) удовлетворяет следующему условию:
откуда непосредственно следует, что замена переменных z = Ф(t)y переводит систему уравнений (1) в систему уравнений с постоянными коэффициентами (см. примечание 3)
2. Неоднородная линейная система дифференциальных уравнений с периодическими коэффициентами.
Рассмотрим система дифференциальных уравнений
ż = F(t)z + g (t) (- ¥ < t < + ¥), (8)
где F(t) — непрерывная периодическая матрица с периодом ω, g (t) — непрерывная периодическая вектор-функция с периодом ω. Нас будут интересовать периодические решения этой системы уравнений с периодом ω.
Теорема 2.Пусть однородная система уравнений (1) (соответствующая неоднородной системе (8)) не имеет нетривиальных периодических решений с периодом ω (то есть все ее мультипликаторы отличны от единицы). Тогда система уравнений (8) имеет единственное периодическое решение с периодом ω.
Доказательство. Любое решение системы уравнений (8) может быть представлено в виде
(9)
где Z(t) — фундаментальная матрица системы уравнений (1). Выберем фундаментальную матрицу Z(t) так, чтобы было
Z(0) = E.
В этом случае формула (9) примет вид (при t0 = 0 )

(10)
Потребуем, чтобы решение z (t) имело период ω:
z (t + ω) = z (t). (11)
В частности, при t = 0
z ( ω) = z (0). (12 )
Оказывается, что если для некоторого решения z (t) выполнено условие (12), то оно имеет период ω. В самом деле, z (t + ω) и z (t) — два решения системы уравнений (8), удовлетворяющие в силу (12) одному и тому же начальному условию при t = 0 . В силу теоремы единственности эти решения тождественно совпадают, то есть имеет место соотношение (11). Таким образом, условие того, что решение z (t) имеет период ω, можно записать в виде (12). В силу формулы (10) соотношение (12) примет вид

(13)
По условию теоремы, все мультипликаторы системы (1) отличны от единицы. Поэтому ç Z( w ) - E ç ¹ 0 (характеристическое уравнение ç Z( w ) - ρE ç = 0 не имеет корня ρ = 1 ) и система уравнений (13) однозначно разрешима отностильно z0 . Теорема доказана.
Замечание. В случае, когда однородная система уравнений (1) имеет нетривиальное периодическое решение с периодом ω, линейная неоднородная система уравнений (8) может или вообще не иметь периодических решений с периодом ω (если система уравнений (13) несовместна), или иметь несколько линейно независимых периодических решений с периодом ω (если система уравнений (13) имеет бесконечное множество решений).
Примечания:
1. d j 1 = {1;0; …;0}, …, d j n = {0;0; …;1}.
2. Любое решение x(t) однородной системы уравнений есть линейная комбинация решений фундаментальной системы решений x1 (t), …,xn (t).
3. Все выводы получаются следующим образом:
из Ż = F(t)Z и Z(t) = Ф(t)eAt следует то, что, подставляя второе выражение в первое, получим

Примеры:
Теперь рассмотрим несколько примеров на применение рассмотренных в докладе теорем и следствий к ним:
Пример 1
: Показать, что линейное уравнение второго порядка
где f ( t ) — непрерывная периодическая функция с периодом ω, имеет единственное периодическое решение с периодом ω, если
![]()
Решение.
Сведем дифференциальное уравнение к системе и применемтеорему 2:
1. Имеем


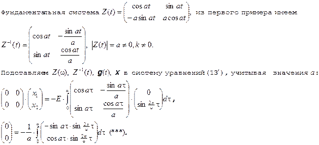
2. Для применения теоремы 2 нам необходимо составить матрицу монодромии однородной системы и все собственные значения этой матрицы должны быть отличны от единицы; для начала найдем фундаментальную матрицу для однородной системы,соответствующей неоднородной системе (*):

3. Находим мультипликаторы однородной системы:

Итак, если
все мультипликаторы системы уравнений (**) отличны от единицы.Таким образом, выполнены все условия теоремы 2. Из этого следует, что система (*),а значит и исходное дифференциальное уравнение, имеет единственное периодическое решение с периодом ω.
Задача решена.
Пример 2: Показать, что линейное уравнение второго порядка
![]()
при a ≠2 πk / ω ( k Î R ) имеет единственное периодическое решение с периодом ω (см. пример 1); при a = ± 2 π / ω не имеет периодических решений с периодом ω, а приa =2 πk / ω (k — любое целое число, не равное ± 1 и 0 ) все его решения — периодические с периодом ω.
Решение.
Очевидно, что здесь необходимо воспользоваться теоремой 2 и замечанием к ней. Решение данного примера необходимо разбить на 3 части (для каждого из условий). Поскольку при нахождении матрицы монодромии в предыдущем примере мы свободный член исходного дифференциального уравнения не использовали и учитывая одинаковые правые части дифференциальных уравнений обоих примеров, можно будет сразу воспользоваться некоторыми выкладками примера 1.
Итак, матрица монодромии имеет следующий вид:
1.[a
≠2
πk
/
ω (
k
Î
R
)
] Как мы установили в примере 1, любое линейное уравнение вида при указанных ограничениях действительно имеет единственное периодическое решение с периодом ω.
2-3.[a = ± 2 π / ω ; a =2 πk / ω (k — любое целое число, не равное ± 1 и 0 )]
При данных значениях а однородная система (**) из 1-го примера имеет нетривиальное периодическое решение с периодом ω, тогда в соответствии с замечанием к теореме 2 линейная неоднородная система уравнений, соответствующая заданному дифференциальному уравнению , может или вообще не иметь периодических решений с периодом ω (для случая 2 необходимо установить несовместность системы уравнений (13)), или иметь несколько периодических решений с периодом ω (для случая 3 необходимо установить, что система уравнений (13) имеет бесконечное множество решений).
Сначала мы будем случаи 2 и 3 рассматривать совместно:
Система уравнений (13):
Неоднородная система, соответствующая заданному дифференциальному уравнению:

Далее решать систему будем отдельно для каждого заданного значения а
:
если в системе (***) справа будет получена нулевая матрица, то она имеет множество решений, если нет – не имеет их вообще.
2. Подставляем в систему (***)a = ± 2 π / ω :

![]()
3. Подставляем в систему (***)a =2 πk / ω (k — любое целое число, не равное ± 1 и 0 ):
![]() |
Таким образом,система (13') имеет бесконечное множество решений для данных значений а Þ исходное дифференциальное уравнение имеет несколько линейно независимых периодических решений с периодом ω.
Замечание. Отдельно стоит рассмотреть случай, когда а=0 (этому случаю соответствует k =0 , если a =2 πk / ω).
Если а=0 , то матрицы, обратной фундаментальной матрице системы (**), не существует, отсюда сразу следует несовместность системы (13'), а значит исходное линейное уравнение второго порядка не имеет периодических решений.
Задача решена.
