| Скачать .docx | Скачать .pdf |
Реферат: Кривые третьего и четвертого порядка
Чувашский государственный университет им. И.Н. Ульянова
Кафедра высшей математики
КУРСОВАЯ РАБОТА
на тему:
«Кривые третьего и четвертого порядка»
Выполнили: студенты
группы С-12-00
Пинаев И.Н.
Искаков Р.Р.
Проверила:
доцент кафедры высшей математики
к.ф.-м.наук Самарина С.М.
Чебоксары, 2002
Декартов лист
1. Особенности формы. Декартовым листом называется кривая 3-го порядка, уравнение которой в прямоугольной системе имеет вид
(1)
Иногда удобно пользоваться параметрическими уравнениями декартова листа, которые можно получить, полагая y = tx , присоединяя к этому равенству равенство (1) и решая полученную систему относительно х и у, в результате будем иметь:
![]() |
(2) |
откуда следует, что декартов лист является рациональной кривой.
Заметим еще, что полярное уравнение декартова листа имеет вид
(3)
Координаты х и у входят в уравнение декартова листа симметрично, откуда следует, что кривая симметрична относительно биссектрисы у=х. Обычное исследование на особые точки приводит к заключению, что начало координат является узловой точкой декартова листа. Уравнения касательных к алгебраической кривой в ее особой точке, совпадающей с началом координат, можно получить, как известно, приравнивая нулю группу членов низшей степени из уравнения этой кривой. В нашем случае имеем З аху = 0, откуда получим х = 0 и у = 0 – искомые уравнения касательных в узловой точке. Эти касательные совпадают с координатными осями и, следовательно, в начале координат кривая пересекает сама себя под прямым углом. Легко видеть, что в первом координатном угле кривая делает петлю, которая пересекается с прямой у = х в точке
![]()
Точки этой петли, в которых касательные параллельны координатным осям, имеют координаты
и
(cм. рис. 1)
Для окончательного заключения о форме кривой следует еще найти асимптоту
Заменяя в уравнении кривой у на
приравняем нулю в полученном уравнении коэффициенты двух членов с высшими степенями х.
Получим ![]()
и b = - а.
Таким образом, декартов лист имеет асимптоту
у = — х — а; следовательно, во 2-м и 4-м координатных углах ветви декартова листа уходят в бесконечность.

Рис. 1
2. Свойства. Согласно теореме Маклорена, если в трех точках алгебраической кривой 3-го порядка, лежащих на одной прямой, провести касательные к этой кривой, то точки их пересечения с кривой будут лежать также на прямой линии. Применительно к декартову листу эта теорема доказывается просто. Выведем с этой целью предварительно условие пребывания трех точек декартова листа, соответствующих значениям t 1 , t 2 и t 3 параметра, на одной прямой. Если уравнение прямой имеет вид y = kx + b , то значения параметра, соответствующие точкам пересечения этой прямой с кривой, должны удовлетворять системе
![]()
Система эта приводит к уравнению
![]()
корни которого и будут искомыми значениями t 1 , t 2 и t 3 параметра, откуда следует, что
(4)
Это равенство и является условием пребывания трех точек M1 ( t 1 ), M2 ( t 2 ), М3 (t3 ) декартова листа на одной прямой.
Располагая этим условием, покажем справедливость теоремы Маклорена для декартово листа. Действительно, касательную в точке M1 ( t1 ) можно рассматривать как прямую, которая пересекает декартов лист в двух совпадающих между собой точках, для которых t2 = t1 , и в третьей точке, для которой соответствующее значение параметра обозначим через T1 . Условие (4) примет вид t1 2 T1 = - 1. Для касательных в точках М2 и M3 получим аналогичные соотношения t2 2 T2 = -1 и t3 2 T3 = -1 . Перемножая эти три равенства, будем иметь
(t1 t2 t3 )2 T1 T2 T3 = -1 . откуда на основании (4) заключаем, что и T1 T2 T3 = -1, т. е. точки N1 ( T1 ), N2 (T2 ) и N3 (T3 ) лежат на одной прямой.
Определяя площадь, ограниченную петлей декартова листа, получим:
![]()
3. Способ построения. Заметим предварительно, что если ось симметрии декартова листа принять за ось абсцисс, то уравнение его примет вид
(5)
Пусть теперь имеется окружность с радиусом r и центром в точке
![]()
и прямая х= - h . Возьмем произвольную точку Q этой окружности и проведем прямую QA и прямую QN , перпендикулярную к оси абсцисс (рис. 2). Из точки пересечения R прямой QA с прямой х= -h проводим прямую RO до пересечения ее в точке Q 1 с прямой QN. Таким образом, точке Q на окружности будет поставлена в соответствие точка Q1 . Геометрическое место точек Q1 представляет собой декартов лист.

Рис 2.
Для доказательства заметим, что координаты точки Q можно записать в виде
![]()
угол, составляемый радиусом круга, проведенным в точку Q, с положительным направлением оси абсцисс. В соответствии с этим уравнение прямой QA может быть записано в виде
![]()
Полагая в этом уравнении х= - h , находим ординату
![]()
точки R . Отсюда следует, что уравнение прямой RQ 1 запишется в виде
(6)
В то же время уравнение прямой Q 1 N имеет вид
(7)
Исключая из уравнений (6) и (7) параметр w , находим уравнение геометрического места точек Q1 в виде

Сопоставляя его с уравнением (5), заключаем, что найденное геометрическое место точек является декартовым листом.
Преобразование точек окружности в точки декартова листа, осуществляемое при таком его построении, называется преобразованием Маклорена .
4. Историческая справка. Впервые в истории математики кривая, названная впоследствии декартовым листом, определяется в письме Декарта к Ферма в 1638 г. как кривая, для которой сумма объемов кубов, построенных на абсциссе и ординате каждой точки, равняется объему параллелепипеда, построенного на абсциссе, ординате и некоторой константе. Форма кривой устанавливается впервые Робервалем, который находит узловую точку кривой, однако в его представлении кривая состоит лишь из петли. Повторяя эту петлю в четырех квадрантах, он получает фигуру, напоминающую ему цветок с четырьмя лепестками. Поэтическое название кривой «лепесток жасмина», однако, не привилось. Полная форма кривой с наличием асимптоты была определена позднее (1692) Гюйгенсом и И. Бернулли. Название «декартов лист» прочно установилось только с начала 18 века.
Циссоида Диоклеса
1. Особенности формы. Среди многих способов образования циссоиды— кривой, открытой древними в поисках решения знаменитой задачи об удвоении куба, мы остановимся сначала на простейшем. Возьмем окружность (называемую производящей) с диаметром ОА=2а и касательную АВ к ней. Через точку О проведем луч ОВ и на нем отложим отрезок ОМ=ВС. Построенная таким образом точка М принадлежит циссоиде. Повернув луч 0В на некоторый угол и проделав указанное построение, мы найдем вторую точку циссоиды, и т. д. (Рис. 3).
Если точку О принять за полюс, то
но
откуда получаем полярное уравнение циссоиды
(1)
Пользуясь формулами перехода от полярных координат к декартовым, найдем уравнение циссоиды в прямоугольной системе:
(2)
Параметрические уравнения циссоиды можно получить, полагая x=ty, тогда, на основании уравнения (2), придем к системе
![]()

Рис. 3
Уравнение (2) показывает, что циссоида является алгебраической кривой 3-го порядка, а из уравнений (3) следует, что она является рациональной кривой.
Циссоида симметрична относительно оси абсцисс, имеет бесконечные ветви; касательная к производящей окружности, т. е. прямая х = 2а, служит для нее асимптотой; начало координат является точкой возврата 1-го рода.
2. Свойства. Кинематически циссоида может быть получена как траектория середины М катета ВС треугольника АВС, передвигающегося в плоскости чертежа так, что его вершина В скользит по оси ординат, а другой катет АС всегда проходит через неподвижную точку Е на оси абсцисс. (Рис. 4)
Действительно, обозначив середину отрезка ОЕ через D , замечаем, что поскольку ВС=ЕО, ê ВСЕ= ê ВЕО, откуда /_ ВЕО = /_ СВЕ, и, следовательно, ê NBE — равнобедренный, а так как Е D =ЕО/2=ВС/2=ВМ, то отрезок DM параллелен отрезку BE . Пусть, далее, точка К есть точка пересечения с продолжением отрезка DM прямой, проходящей через точку В параллельно оси абсцисс. Опишем окружность с центром в начале координат и радиусом, равным OD, и проведем к ней касательную во второй точке пересечения с прямой ЕО. Она пройдет, очевидно, через точку К. Обозначив точку пересечения прямой DMK с окружностью через F , заметим, что треугольники DOF и МВК равны между собой. Из равенства их следует, что DF = MK , а значит, и DM = FK . Последнее равенство и показывает, что геометрическое место точек М будет циссоидой.
Другие способы образования циссоиды основаны на ее соотношениях с параболой. Покажем в первую очередь, что циссоида является подэрой параболы относительно ее вершины.
– уравнение данной параболы. Уравнение касательной в произвольной точке М
(x, h)
этой параболы можно записать в виде
уравнение перпендикуляра, опущенного из

Рис. 4.
начала координат на эту касательную, будет
координаты точки N
пересечения его с касательной определятся по формулам
(4)
Исключая из этих равенств параметр h, мы получим уравнение ![]()
выражающее циссоиду.
Заметим далее, что координаты точки, симметричной началу координат относительно касательной к параболе у2 = 2рх, получатся, если правые части формул (4) удвоить, и, следовательно, определятся формулами
![]()
Исключая из этих равенств параметр h, мы снова получим циссоиду с уравнением
Отсюда следует, что циссоида является геометрическим местом точек, симметричных вершине параболы относительно ее касательных.
Следует заметить, что геометрическое место точек, симметричных началу координат относительно касательной к параболе, можно рассматривать как траекторию вершины другой параболы, одинаковой с данной, которая катится по данной параболе. Таким образом, возникает новый способ кинематического образования циссоиды как траектории вершины параболы, которая без скольжения катится по другой такой же параболе.
Остановимся на метрических свойствах циссоиды; при этом нам будет удобно пользоваться параметрическими уравнениями циссоиды в виде ![]()
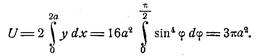
Площадь, ограниченная циссоидой и ее асимптотой, равняется утроенной площади производящего круга; действительно,

Это соотношение получено было Гюйгенсом и независимо от него Ферма.

Рис. 5.
Определяя площадь криволинейного треугольника ОАМС (рис.5), найдем, интегрируя в границах
до
что она равна
Если теперь провести касательные в точках А и С к производящему кругу, то площадь криволинейного треугольника CMANC будет равна ![]()
Выражение, стоящее в правой части, определяет утроенную площадь криволинейного треугольника CLANC. Итак, пл. CMANC =3 пл. CLANC. Это соотношение было открыто также Гюйгенсом.
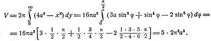
Объем тела, образованного вращением части плоскости, ограниченной циссоидой и ее асимптотой, вокруг оси ординат определится по формуле

Если учесть, что объем тора, получаемого от вращения производящего круга вокруг оси ординат, равняется
то из полученного результата следует, что объем тела, получаемого вращением части плоскости, ограниченной циссоидой и ее асимптотой, вокруг оси ординат, в пять раз больше объема тора, полученного от вращения производящего круга вокруг той же оси. Это соотношение было получено также Гюйгенсом.
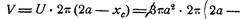
Пусть теперь хс — абсцисса центра тяжести части плоскости, ограниченной циссоидой и ее асимптотой; тогда по теореме Гюльдена будем иметь V == U • 2pхс , где V и U—соответственно объем и площадь, которые были определены выше. Подставляя их значения
в соотношение Гюльдена, получим ![]()
Таким образом, центр тяжести части плоскости, ограничиваемой циссоидой и ее асимптотой, делит отрезок между вершиной и асимптотой на две части, отношение которых равно 5.
Это соотношение позволяет в свою очередь определить объем тела, полученного вращением циссоиды вокруг ее асимптоты. По теореме Гюльдена будем иметь
![]()
![]()
Этот результат можно истолковать также как объем тора, полученного от вращения производящего круга вокруг асимптоты. Таким образом, объем тела, полученного вращением циссоиды вокруг ее асимптоты, равен объему тора, полученного от вращения производящего круга. Это соотношение установлено впервые Слюзом.
Длина дуги циссоиды от ее вершины до точки с абсциссой х определится по формуле
![]()
![]()
3. Применение циссоиды к решению делосской задачи . Как уже говорилось, циссоида была открыта древними в поисках решения делосской задачи об удвоении куба. История возникновения этой задачи, согласно легенде, передаваемой Эратосфеном, такова: на острове Делосе жители страдали от мора, посланного им богами; по предсказанию оракула богов можно было умиротворить, удвоив объем жертвенника, имевшего форму куба. Суть задачи сводилась к определению ребра куба, объем которого был бы в два раза больше объема данного куба. Что касается самого повода постановки задачи, то справедливо полагать, что «пифия находилась скорее под внушением математиков, нежели вдохновлялась самим богом» (Цейтен), так как задача об удвоении куба являлась естественным перенесением в пространство планиметрической задачи о построении квадрата с площадью, в два раза большей площади данного квадрата, и, следовательно, могла скорее возникнуть в сознании математика, нежели в сознании оракула.
Открытие циссоиды для целей решения делосской задачи приписывается Диоклесу, жившему в 3 веке до нашей эры. Возможность найти графическим путем ребро куба с объемом, в два раза большим объема данного куба, усматривается из следующих соображений. Пусть b – ребро данного куба, а В – ребро искомого; тогда
и, следовательно,
Отсюда ясно, что графическое решение задачи должно свестись к построению ![]()
Перепишем для этой цели уравнение циссоиды в виде
Заметим далее, что прямая
отсекает от касательной отрезок (рис. 6)
(5)
и пересекает циссоиду в точке М, координаты которой удовлетворяют уравнению ![]()
Это уравнение можно рассматривать как уравнение прямой, проходящей через точку А (2а, 0) и отсекающей на оси ординат отрезок
(6)
Если теперь принять
и на оси ординат отложить отрезок ОС == 2, соединить затем точку С с точкой А(1, 0), а точку пересечения прямой СА с циссоидой соединить с точкой О и продолжить полученный отрезок до пересечения с касательной, то, как это следует из формул (5) и (6), отрезок AD и будет равен ![]()
Древние рассматривали только ту часть циссоиды, которая находится внутри производящего круга. Вместе с дугой окружности производящего круга эта часть образует фигуру, напоминающую лист плюща, откуда проистекает название кривой. Наличие бесконечных ветвей у циссоиды было установлено в 17 веке Робервалем и независимо от него Слюзом. Кинематический способ образования циссоиды с помощью треугольника приписывается Ньютону, который выполнил также спрямление циссоиды не только аналитическим путем, но и графическим.

Рис. 6
Кардиоида
1. Уравнение . Кардиоиду можно определить как траекторию точки, лежащей на окружности круга радиуса r, который катится по окружности неподвижного круга с таким же радиусом. Она будет представлять собой, таким образом, эпициклоиду с модулем m, равным 1.
Это обстоятельство позволяет сразу же записать параметрические уравнения кардиоиды, заменяя в ранее приведенных параметрических уравнениях эпициклоид модуль m единицей. Будем иметь:
(1)
Чтобы получить полярное уравнение кардиоиды, удобно принять за полюс точку А (рис.7), а полярную ось направить по оси абсцисс. Так как четырехугольник AOO1 M будет равнобедренной трапецией, то полярный угол j точки М окажется равным углу поворота производящего круга, т. е. параметру t. Учитывая это обстоятельство, заменим во втором уравнении системы (1) у через r sin t. Сокращая полученное таким образом равенство на sin t, получим полярное уравнение кардиоиды

Рис. 7
По виду этого уравнения
![]()
можно заключить, что кардиоида является одной из улиток Паскаля. Она может быть определена, следовательно, как конхоида круга.
Переводя уравнение (2) в прямоугольную систему координат, получим:
(3)
Из этого уравнения следует, что кардиоида является алгебраической кривой 4-го порядка.
2. Свойства . Прежде всего, поскольку кардиоида является эпициклоидой с m=1, на нее можно перенести все свойства рассмотренных нами в предыдущем параграфе эпициклоид.
Вот эти свойства и характеристики.
1. Касательная в произвольной точке кардиоиды проходит через точку окружности производящего круга, диаметрально противоположную точке касания кругов, а нормаль — через точку их касания.
2. Угол m, составляемый касательной к кардиоиде с радиусом-вектором точки касания, равен половине угла, образуемого этим радиусом-вектором с полярной осью. Действительно![]()
![]()
Из этого соотношения непосредственно вытекает, что угол, составляемый касательной к кардиоиде с осью абсцисс, равняется
(как внешний угол треугольника AMN Рис.8). Располагая формулой
можно доказать, что касательные к кардиоиде, проведенные в концах хорды, проходящей через полюс, взаимно перпендикулярны.
Действительно, так как ![]()

Рис. 8
Заметим еще, что геометрическое место точек пересечения этих касательных есть окружность
Действительно, уравнение первой касательной на основании уравнений (1) кардиоиды, будет иметь вид ![]()
а второй касательной
Исключая из этих уравнений параметр, получим уравнение указанной окружности.
3. Радиус кривизны в произвольной точке кардиоиды определится по формуле
(4)
Можно показать также, что радиус кривизны равняется 2/3 полярной нормали N в заданной точке.
Действительно,
откуда на основании (4) получаем
Соотношение это может быть использовано для построения центра кривизны кардиоиды.
4. Эволюта кардиоиды, согласно общему свойству эволют эпициклоид, будет также кардиоидой, подобной данной, с коэффициентом подобия, равным 1/3, и повернутой относительно данной на угол 180°.
5. Длина дуги кардиоиды от точки А до произвольной точки М определится по формуле
(5)
Если длину дуги отсчитывать от точки А1 , диаметрально противоположной точке А, то формула для определения длины дуги может быть записана в виде
(6)
6. Натуральное уравнение кардиоиды получится, если из равенств (4) и (6) исключить параметр. Оно будет иметь вид
(7)
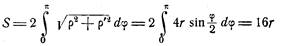
7. Площадь, ограниченная кардиоидой, определится по формуле
![]()
и, как видно, равна ушестеренной площади производящего круга.
Длина всей кардиоиды определится по формуле
![]()
и, как видно, равна восьми диаметрам производящего круга. Объем тела, полученного от вращения кардиоиды вокруг ее оси, равен ![]()
Поверхность тела, полученного от вращения кардиоиды вокруг ее оси, равняется ![]()
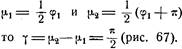
Мы видели, что кардиоида органически связана с окружностью. Она является конхоидой круга и эпициклоидой. Она имеет с окружностью и иной характер родства — кардиоида является подэрой окружности относительно точки, принадлежащей этой окружности.

Рис.9
Действительно, пусть ОМ есть перпендикуляр, опущенный на касательную к окружности с радиусом, равным 2r, проведенную в точке N.
Так как ОМ = OB + ВМ, или r == 2r cos j + 2r, то геометрическим местом точек М будет кардиоида с уравнением r = 2r (1 + cos j).
Заметим в заключение, что кардиоида относится также к семейству синусоидальных спиралей, и отдельные свойства ее повторяют общие свойства этих кривых. Из этих свойств следует, в частности, что инверсия кардиоиды, относительно точки возврата дает параболу.
Астроида
1. Свойства. Астроида, как и рассмотренная выше кривая Штейнера, является частным случаем гипоциклоид, а именно, гипоциклоидой с модулем m, равным 1/4. Она представляет собой, следовательно, траекторию точки, лежащей на окружности круга радиуса r, который катится по внутренней стороне другого, неподвижного круга, радиус R которого в четыре раза больше.
Параметрические уравнения астроиды можно получить, полагая в уравнениях гипоциклоиды, m=1/4. Вот эти уравнения:


Рис. 10
где t, как и ранее, угол поворота производящего круга (рис. 10)
Исключая из уравнений (1) параметр t, получим:
(2)
Из уравнения (2) следует, что астроида является алгебраической кривой 6-го порядка.
Параметрические уравнения (1) астроиды можно привести к виду
(3)
Исключая из этих уравнений параметр t, получим часто употребляемый вид уравнения астроиды
(4)
Полагая в ранее выведенных общих соотношениях для циклоидальных кривых модуль
m = -1/4, получим соответствующие соотношения для астроиды:
1) радиус кривизны в произвольной точке астроиды определяется по формуле
(5)
2) длина дуги астроиды от точки А до произвольной точки M(t) определится по формуле
(6)
длина одной ветви равна
а длина всей кривой 6R;
3) для получения натурального уравнения астроиды заметим предварительно, что если началом отсчета длины дуги полагать не точку А, для которой t = 0, а точку, для которой t = p, то длина дуги определится формулой
(6)
исключая параметр t из уравнений (5) и (6), получим натуральное уравнение астроиды
![]()
4) эволюта астроиды есть также астроида, подобная данной, с коэффициентом подобия, равным 2, повернутая относительно данной на угол p/4 (рис.11)
5) площадь, ограниченная всей астроидой, равна
объем тела, полученного от вращения астроиды, равняется 32/105pR3
поверхность тела, образованного вращением астроиды, равна ![]()
Обратимся теперь к рассмотрению некоторых частных свойств астроиды.
Астроида является огибающей отрезка постоянной длины, концы. которого скользят по двум взаимно перпендикулярным прямым.
Принимаем эти прямые за оси координат и, обозначая угол наклона скользящего отрезка ND=R через a (рис.12), будем иметь уравнение прямой ND в виде
(7)
Дифференцируя это уравнение по параметру a, получим:
![]()
Исключая из последнего уравнения и уравнения (7) параметр a, будем иметь уравнение огибающей в виде
т. е. астроиду.
Практически перемещение отрезка ND можно осуществить с помощью так называемых кардановых кругов. Один из этих кругов с радиусом R неподвижен, а другой, с радиусом r, в два раза меньшим, катится по внутренней стороне неподвижного круга. Любые две диаметрально противоположные точки N и D катящегося круга будут перемещаться по двум взаимно перпендикулярным диаметрам Ох и Оу неподвижного круга. Ясно, что огибающей диаметра катящегося круга и будет астроида.
Рис. 11 |
Рис. 12 |
Рассмотренный способ образования астроиды можно истолковать также следующим образом. Прямоугольник ODCN, две стороны которого лежат на двух взаимно перпендикулярных прямых, деформируется так, что диагональ его сохраняет длину, равную R, огибающая диагонали и будет астроидой. Так как при этом перпендикуляр, опущенный из вершины С на диагональ DN, служит нормалью к огибающей, то астроида представляет собой геометрическое место оснований перпендикуляров, опущенных из вершины С прямоугольника на его диагональ.
2. Свойства касательных к астроиде . Уравнение (7) выражает прямую ND, т. е. касательную к астроиде в некоторой точке М, причем параметр a представляет собой угол, составляемый этой касательной с осью абсцисс. Уравнение другой касательной, перпендикулярной к первой, будет иметь вид
(8)
Исключая из уравнений (7) и (8) параметр а, получим уравнение
или, в полярной системе,
которое выражает четырехлепестковую розу. Итак, геометрическое место вершин прямого угла, стороны которого касаются астроиды, есть четырех лепестковая роза.
Другое свойство касательных к астроиде таково: каждая касательная пересекает астроиду в двух точках, касательные в которых пересекаются в точке, лежащей на окружности описанного около астроиды круга.
Определим подэру астроиды относительно точки Р, лежащей на биссектрисе 1-го координатного угла на расстоянии ОР=с от начала координат. Выше было показано, что астроиду можно рассматривать как огибающую отрезка ND = R, скользящего своими концами по координатным осям. Отсюда

Рис. 13
следует, что искомую подэру можно определить как геометрическое место оснований перпендикуляров, опущенных из точки Р на прямую ND (рис. 13). Проведем ОЕ _|_ ND, и OQ, где Q — середина отрезка ND. Точку Р посчитаем полюсом, а прямую РК полярной осью. Полярный угол КРМ точки М подэры обозначим через j, а радиус-вектор РМ — через r. Тогда, как легко видеть, угол ![]()
Так как ![]()
Но, с другой стороны,
На основании последних двух равенств, полярное уравнение подэры запишется в виде
а в прямоугольной системе с началом в точке Р в виде
![]()
Полученная таким образом кривая 6-го порядка имеет в начале координат четырехкратную точку и называется «жуком». В частном случае, пои с=0, жук становится розой,
3. Косая астроида. Обобщением рассмотренной астроиды является так называемая косая астроида, которая представляет собой огибающую отрезка ND постоянной длины R, скользящего своими концами по двум прямым, пересекающимся под произвольным углом f.

Рис. 14
Полагая эти пересекающиеся прямые координатными осями, обозначим угол, составляемый прямой ND с осью абсцисс, через t. Тогда из треугольника OND (рис. 14) будем иметь:
![]()
откуда
![]()
и следовательно, уравнение прямой ND в отрезках на осях запишется в виде
![]()
Дифференцируя это уравнение по t и исключая из полученного после дифференцирования равенства и уравнения прямой параметр t, получим параметрические уравнения косой астроиды в виде
![]()
при
эти уравнения выражают рассмотренную ранее прямую астроиду.


