| Скачать .docx | Скачать .pdf |
Реферат: Несостоятельность теории электромагнетизма
НЕСОСТОЯТЕЛЬНОСТЬ ТЕОРИИ ЭЛЕКТРОМАГНЕТИЗМА
И ВЫХОД ИЗ СЛОЖИВШЕГОСЯ ТУПИКА
Как известно, теория электромагнетизма, записанная в виде системы уравнений электродинамики - "Электродинамика Максвелла", призвана дать описание всей гамме электромагнитных явлений, встречающихся в природе [1(а,б,в)]. Изначально, теория электромагнетизма Максвелла была разработана в качестве единого физико-математического описания электрических и магнитных эффектов, имевших место в опытах Фарадея, а, также, как теоретическое обоснование электромагнитной природы света, распространяющегося в пространстве в виде электромагнитных поперечных волн.
Как всякая классическая теория, "Электродинамика Максвелла" обязана содержать в себе:
а) точную, единообразную, непротиворечивую физическую модель описываемых процессов, с указанием причинно.следственных связей, строго отвечающую всем известным экспериментальным данным и не приводящую к противоречиям с известными законами природы;
б) математический аппарат, строго обоснованный физической моделью, обладающий свойствами полноты и единственности решений, не противоречащий основным теоремам избранной формы реализации, дающий, без каких.либо дополнений, решения, безусловно соответствующие экспериментальным результатам.
В основе электродинамики Максвелла заложена следующая физическая модель электромагнитных процессов:
а) статические электрические заряды являются источниками статического, безвихревого электрического поля;
б) постоянные электрические токи являются источниками постоянного вихревого магнитного поля;
в) изменяющиеся во времени магнитные поля порождают в окружающем их пространстве вихревые электрические поля. При помещении в эти электрические поля металлической проволоки определенной конфигурации между концами проволоки возникает Э.Д.С. индукции;
г) изменяющиеся во времени электрические заряды порождают изменяющиеся во времени электрические токи, возбуждающие в окружающем пространстве переменные во времени магнитные поля. Магнитные поля, изменяясь во времени, порождают в окружающем их пространстве переменные во времени электрические поля. Электрические поля, изменяясь во времени, порождают в окружающем их пространстве переменные магнитные поля и т.д.; таким образом в пространстве, окружающем переменные во времени токи, возникает так называемая "электромагнитная волна", распространяющаяся в пространстве путем перекачки энергии из магнитного поля в электрическое и обратно (надо заметить, что в последние тридцать лет данная модель процесса распространения электромагнитных волн вытесняется из научно- технической литературы без какой- либо эквивалентной замены).
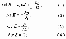
Математический аппарат электродинамики Максвелла представлен системой уравнений электродинамики Максвелла.

где:
B - вектор магнитной индукции,
E - вектор электрической напряженности,
J - вектор плотности электрического тока,
r - плотность электрических зарядов,
mm o - абсолютная магнитная проницаемость среды,
ee o - абсолютная диэлектрическая проницаемость среды,
![]()
При решении конкретных электро- и радиотехнических задач, этой системы уравнений оказалось недостаточно, вследствие чего в не╖ было введено дополнительное поле векторного потенциала магнитного поля - вектора A , определенного следующим образом:
B = rot A ,
что, в общем, не противоречит основной системе уравнений и позволяет дать дополнительное выражение для вектора напряженности электрического поля:
![]()
где: j - скалярный потенциал электрического поля.
В таком виде теория электромагнетизма представлена заинтересованным специалистам имеющимися на сегодняшний день литературными источниками [1 (а, б, в), 2 (а, в)].
Однако при исследовании физической модели процесса распространения электромагнитных волн, определяющей природу световых и радиоволн, а также, методов решения задач, связанных с вычислением величины Э.Д.С. электромагнитной индукции, выявился ряд парадоксов, не устранимых в рамках теории электромагнетизма и нуждающихся в конкретном рассмотрении.
Парадоксы теории электромагнетизма
I) Парадоксальность физической модели процесса распространения электромагнитных волн.
Как было изложено выше, распространение электромагнитных волн в пространстве осуществляется посредством взаимного преобразования изменяющегося во времени магнитного поля в электрическое, и изменяющегося во времени электрического поля в магнитное, что является основополагающим в идее электромагнетизма [1(в) т. 2 стр. 295], и определило электромагнитную природу световых и радиоволн. Однако если мы рассмотрим уравнения (1) и (2) системы уравнений электродинамики, то увидим, что для волнового решения данных уравнений, векторы E и B синфазны, т. е. энергия электрического поля и энергия магнитного поля одновременно проходят через максимум и через ноль, и, следовательно, никакого взаимного преобразования электрических и магнитных полей в пространстве и времени не происходит, что в корне противоречит самой идее электромагнетизма, как физической модели процесса распространения в пространстве электромагнитных волн. Из сказанного ясно, что в рамках электродинамики Максвелла никакой непротиворечивой физической модели процесса распространения в пространстве световых и радиоволн не существует, и природа их требует уточнения. Данную ситуацию нельзя назвать иначе, как парадоксальной.
II) Парадоксальность методики вычисления величины Э.Д.С. электромагнитной индукции.
Рассмотрим классическую методику определения величины Э.Д.С. электромагнитной индукции на примере расчета Э.Д.С. электромагнитной индукции на зажимах вторичной обмотки катушки индуктивности при протекании переменного тока в первичной обмотке катушки. Для решения этой задачи по классической методике предлагается следующая логика: под действием переменного тока, протекающего в первичной обмотке катушки индуктивности, внутри не╖ возникает переменный во времени поток вектора магнитной индукции B , а снаружи катушки, как следствие этого, возникает электрическое вихревое поле E . Под действием вихревого электрического поля E во вторичной обмотке катушки, размещенной в нем, течет электрический ток. Вектор плотности тока J определен согласно закону Ома в дифференциальной форме:
J = sE ,
где s . электропроводность материала вторичной обмотки катушки.
Из дополнительного уравнения системы уравнений электродинамики имеем:
![]()
Подставим данное выражение вектора E в выражение для вектора J :
![]()
Разделив левую и правую части полученного выражения на " s " , получим:
![]()
Но, т.к. вторичная обмотка катушки выполнена из металла, а электропроводность металлов очень велика, то при конечной плотности тока J напряженность электрического поля Е в проводнике вторичной обмотки катушки мала, и, следовательно, левую часть уравнения можно положить равной нулю.
![]()
И, следовательно:

что и является искомым выражением для определения Э.Д.С. электромагнитной индукции, дающим результаты, точно совпадающие с экспериментом.
Из данной методики видно, что правильный результат получен за счет допущения равенства нулю вектора электрической напряженности E . Обоснованием этого допущения послужила высокая электропроводность металлической обмотки и конечная величина плотности тока, индуцированного в ней. Т.е., получение правильного выражения для Э.Д.С. электромагнитной индукции жестко привязано к величине проводимости материала вторичной обмотки и, следовательно, варьируя е╖, можно ожидать соответственного изменения величины Э.Д.С. электромагнитной индукции, чего не наблюдается на практике. В случае использования в качестве материала вторичной обмотки материалов с низкой электропроводностью задача вычисления Э.Д.С. электромагнитной индукции становится, очевидно, вообще не разрешимой, т.е. условие равенства нулю вектора электрической напряженности E является принципиальным для получения выражения Э.Д.С. электромагнитной индукции, дающего результаты, не противоречащие эксперименту. Но, как следует из предлагаемой физической модели процесса электромагнитной индукции, электрическая напряженность E является первопричиной поляризации проводника вторичной обмотки катушки, т.е. внешней воздействующей силой по отношению к ней и, следовательно, не может быть приравнена к нулю. Получение выражения для Э.Д.С. электромагнитной индукции, как реакции проводника вторичной обмотки катушки на воздействие электрического поля E , исходя из равенства вектора E нулю, вступает в неустранимое противоречие с третьим законом Ньютона и принципом причинности, что является парадоксом.
Из проведенного рассмотрения классической методики получения выражения для Э.Д.С. электромагнитной индукции следует, что в рамках электродинамики Максвелла не существует непротиворечивой физической модели, способной дать описание процессов электромагнитной индукции, а предлагаемый при╖м искусственен и приводит к неустранимым противоречиям с третьим законом Ньютона и принципом причинности.
Не трудно догадаться, что такое состояние физических моделей в классической электродинамике не могло не отразиться на формализации их в виде уравнений электродинамики.
При исследовании уравнений электродинамики и методов решения полевых задач, обнаруживается пренебрежение основными положениями классической теории поля (например, утверждение об условности разделения полей на потенциальные и вихревые), что имеет место во всех общеизвестных литературных источниках (см., например [1(а)]). В результате этого допускается произвол в методах решения полевых задач, появляются решения в виде виртуальных полей, и возникает необходимость введения дополнительных калибровочных соотношений, например: калибровка Лоренца, калибровка Кулона и т. д.[1;2], без какой.либо убедительной мотивации применения той или иной калибровки, что делает применение теории непосредственно в практической деятельности проблематичным.
На основании ранее сказанного, полагаю разумным, прежде чем перейти к исследованиям уравнений электродинамики Максвелла, уточнить основные понятия классической теории поля, такие как:
1) основная задача классической теории поля;
2) определение вектора поля в классической теории поля в общем виде;
3) действие дифференциальных операторов классической теории поля на вектор поля, заданный в общем виде;
ОСНОВНЫЕ ПОНЯТИЯ КЛАССИЧЕСКОЙ ТЕОРИИ ПОЛЯ
1. Основная задача теории поля
Основной задачей классической теории поля является определение пространственного распределения векторных и (или) скалярных полей по заданному распределению источников поля в этом пространстве ("прямая" задача ).
Так же возможна постановка и "обратной" задачи, т.е. задачи определения распределения источников поля в пространстве по заданному распределению векторного поля и (или) поля скалярного потенциала в этом пространстве.
Таким образом, постановка задачи об определении распределения поля в пространстве без учета распределения источников поля бессмысленна с позиции классической теории поля в рамках основной задачи теории поля.
2. Определение вектора поля в общем виде
Из классической теории поля следует существование трех видов полей:
1) градиентное поле
- вектор поля является градиентом скалярного потенциала,
2) вихревое поле - вектор поля является ротором векторного потенциала,
3) смешанное поле - вектор поля является суммой градиента скалярного потенциала и ротора векторного потенциала, что сформулировано в основной теореме классической теории поля - теореме Гельмгольца [2(а;б;в;г)].
Теорема Гельмгольца
Всякое однозначное и непрерывное векторное поле F , обращающееся в ноль в бесконечности, может быть представлено, и притом единственным образом, в виде суммы градиента некоторой скалярной функции j и ротора некоторой векторной функции A , дивергенция которой равна нулю:
F = grad j + rot A ,
div A = 0,
где:
j . скалярный потенциал поля F ,
A . векторный потенциал поля F ,
при условии что:

и эти интегралы предполагаются существующими [2, г].
Тогда, согласно основной задаче теории поля, для отыскания распределения поля вектора F в пространстве необходимо задать распределение в этом пространстве источников (возбудителей) поля вектора F , т.е. значения функций div(gradj) и rot(rotA ), составляя дифференциальные уравнения в частных производных, решением которых с соответствующими краевыми, и начальными условиями и будет поле искомого вектора F .
Очевидно, что задача однородного распределения источников поля в бесконечном пространстве, т.е. удовлетворяющая след. соотношению:
![]()
не рассматривается, как не имеющая физического смысла и приводящая к математическим парадоксам.
При решении различных прикладных задач часто используется широко распространенное заблуждение об условности разделения полей на градиентные и вихревые, основанное на неверной интерпретации суперпозиции вихревого и градиентного полей, имеющей место в определении вектора поля в общем виде (теорема Гельмгольца). Рассмотрим возможность подобной интерпретации. Пусть мы имеем некоторое поле вектора F , удовлетворяющее следующему условию:
![]()
Подействуем оператором " rot " на данный вектор,
![]()
Т.к. ротор градиента j тождественно равен нулю, ротор ротора A тоже равен нулю по всему пространству существования вектора A .
Подействуем оператором "div" на вектор F ,
![]()
но, дивергенция ротора тождественно равна нулю, следовательно, дивергенция градиента j тоже равна нулю по всему пространству существования поля градиента j .
Из полученных соотношений видно, что, если разделение полей на градиентные и вихревые условно, то отвечающее этому условию векторное поле не имеет источников в пространстве существования поля и, следовательно, не является объектом классической теории поля, как не отвечающее основной задаче теории поля. Условность разделения полей на градиентные и вихревые, выполняется также при тождественном равенстве нулю поля F .
Таким образом, в рамках основной задачи классической теории поля не существует отличных от нуля полей, для которых выполнялась бы условность разделения полей на градиентные и вихревые, и, следовательно,разделение полей на градиентные и вихревые не условно, а фундаментально .
3. Действие дифференциальных операторов на вектор, заданный в общем виде.
В дальнейшей росписи действий операторов на вектор, заданный в общем виде, его составляющие будут заключены в круглые скобки исключительно с целью указания на то, что заключенные в них операторы "grad" и "rot" не будут нами расписываться, а нужны только для обозначения градиентной и вихревой составляющей вектора.
а) Действие оператора "rot" на вектор в общем виде:
![]()
![]()
Т.е. после действия оператора "rot" на вектор F в общем виде результирующий вектор носит строго вихревой характер, и его величина не зависит от градиентной составляющей (grad j) вектора F .
б) Действие оператора " div " на вектор в общем виде:
![]()
![]()
результат действия оператора "div" на вектор в общем виде есть скаляр, величина которого не зависит от вихревых составляющих вектора F .
в) Действие оператора "rot rot" на вектор в общем виде:
![]()
![]()
![]()
Поскольку в результате действия оператора "rot rot" на вектор F
под оператором (
) остался только вектор .rot A
., имеющий строго вихревой характер, бессмысленно вводить в вектор "А
" какую либо градиентную составляющую, т.к. после действия оператора "rot" она тождественно обнуляется и никак не определяется данным уравнением.
Из того, что:
![]()
следует:
![]()
Т.е. роспись оператора
зависит от вида вектора, на который действует оператор, и в общем виде определяется следующим выражением:
![]()
Действие оператора набла (
) также зависит от вида функции, на которую он действует, так:

В данном перечне приведены только действия операторов, не приводящие к тождественному нулю.
Проведенный анализ классической теории поля позволил:
1) конкретизировать постановку классической полевой задачи, отбросив задачи приводящие к математическим парадоксам и не имеющие физического смысла;
2) показать фундаментальность разделения полей на градиентные и вихревые ;
3) дать точные выражения действий дифференциальных операторов теории поля на вектор, заданный в общем виде, из которых стало видно, что после действия дифференциального оператора классической теории поля на вектор поля, заданный в общем виде, нетривиальный результат получается только от действия оператора на соответствующую ему составляющую вектора в общем виде.
Т.е.
![]()
т.к.
![]()
![]()
т.к.
![]()
![]()
![]()
![]()
Из чего следует, что если уравнение задано в виде соотношения для действия на искомый вектор оператора "rot" , то из этого уравнения можно получить в качестве решения только вихревой вектор как интеграл по замкнутому контуру.
Если задано уравнение в виде действия на вектор операторов "div" или "grad div" , то из этого уравнения можно получить в качестве решения только скаляр или вектор градиентного поля.
Приложение полученных результатов исследования классической теории поля к системе уравнений электродинамики Максвелла
Рассмотрим полную систему уравнений электродинамики Максвелла для электрических и магнитных полей в вакууме с позиции основных положений классической теории поля. С этой целью перепишем полную систему уравнений для электрических и магнитных полей.

С позиции классической теории поля:
1) вектор магнитной индукции B представлен в уравнениях (5;6;8;9) данной системы уравнений, из которых видно, что вектор B носит строго вихревой характер (6;8;9), и его источники (возбудители) в исследуемом пространстве заданы уравнением (5). Т.е. поле вектора B соответствует основной задаче теории поля и может быть однозначно получено как решение данной системы уравнений после подстановки соответствующих краевых и начальных условий;
2) вектор напряженности электрического поля E , согласно уравнениям (6) и (7) данной системы, имеет отличные от нуля и дивергенцию, и ротор и, следовательно, имеет отличные от нуля вихревую и градиентную составляющие. Т.е., должен быть представлен в общем виде согласно теореме Гельмгольца (с изменением знака перед потенциальной частью):
E = - grad j + rot P ;
и
![]()
где P - некий векторный потенциал вихревой составляющей электрического поля, физический смысл которого будет выяснен дальше.
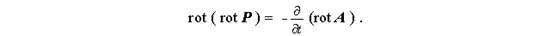
Анализируя уравнения (5) и (6), приходим к выводу, что они дают соотношения для действий оператора " rot " на векторы полей B и E , и, как было показано ранее, нетривиальные решения этих уравнений можно получить только для векторов вихревых полей. Но, т.к. вектор E имеет и вихревую, и градиентную составляющие, то решением уравнений (5) и (6) может быть только вихревая составляющая вектора E , т.е. rotP . градиентная составляющая вектора E может быть определена только из уравнения (7). Но, очевидно, уравнение (7) описывает только статические электрические поля или поля, распространяющиеся с бесконечной скоростью, что лишено всякого физического смысла. Отсюда следует, что система уравнений электродинамики Максвелла не содержит в себе описание нестационарных градиентных электрических полей и механизма их распространения.
Для того, чтобы убедиться в правильности подобных рассуждений, проделаем весь путь традиционного метода решения системы уравнений электродинамики.
Решение системы уравнений электродинамики
Подставим в уравнение (5) системы уравнений электродинамики вектор E в общем виде:
![]()
Уравнение (10) устанавливает связь между вектором rotB (имеющим строго вихревой характер) и векторами, составляющими правую часть уравнения (10). Однако очевидно, что в не╖ входят векторы имеющие как вихревой, так и градиентный характер. Но, сумма двух градиентов не может быть ротором, и, следовательно, сумма градиентных составляющих векторов, входящих в правую часть уравнения (10), равна нулю, а, значит, и не участвует в возбуждении поля магнитной индукции B . Т.е., один из основных постулатов электромагнетизма Максвелла - предположение способности изменяющегося во времени электрического поля конденсатора, имеющего в том числе и градиентную составляющую, возбуждать в окружающем пространстве магнитное поле, вступает в противоречие, в части градиентной составляющей, с фундаментальными положениями классической теории поля, являющейся на сегодняшний день основной формой записи уравнений электродинамики. Анализ литературных источников показал, что нет ни одного экспериментального подтверждения гипотезы Максвелла о возбуждении магнитного поля изменяющейся во времени градиентной составляющей электрического поля конденсатора ("Токи смещения"). Автору настоящей работы известны попытки экспериментальной проверки данной гипотезы на кафедре общей физики МГПИ им. Ленина профессором Маловым Н.Н. (ныне покойным). В результате проведенных экспериментальных исследований профессор Малов Н.Н. пришел к выводу о невозможности обнаружения магнитного поля, возбуждаемого изменяющейся во времени градиентной составляющей электрического поля конденсатора, из- за наличия магнитного поля токов, текущих по пластинам конденсатора. Вс╖ ранее сказанное дает основание для утверждения того, что гипотеза Максвелла о возбуждении магнитного поля изменяющимся во времени электрическим полем конденсатора неверна в части градиентной составляющей, как не получившая экспериментального подтверждения и противоречащая основным положениям классической теории поля, и, следовательно, уравнение (10) нужно переписать с учетом предыдущих замечаний. Т.е.:
![]()
Из данного уравнения следует, что источником магнитного поля являются строго вихревые электрические токи J и изменяющаяся во времени вихревая составляющая (rotP ) электрической напряженности E .
Необходимо также заметить, что "выпавшие" из уравнения (11) градиентные составляющие векторов J и E сохраняют свое соотношение, имеют место быть в теории электричества, но рассмотрение физических процессов, связанных с ними, выходит за рамки данной работы, как не относящееся к вопросам магнетизма непосредственно.
Из уравнения (6) полной системы уравнений электродинамики следует, что источником электрического поля E является изменяющееся во времени поле магнитной индукции B . Перепишем уравнение (6), представив вектор E в общем виде:
![]()
но , т.к.
![]()
то из уравнения (12) получаем, с учетом замечания:
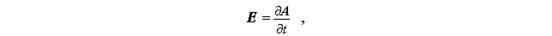
![]()
Т. е., изменяющееся во времени поле магнитной индукции B является источником только вихревой составляющей (rotP ) вектора электрической напряженности E . Но, согласно уравнению (9) полной системы уравнений электродинамики :
![]()
и, следовательно,
![]()
Откуда,
![]()
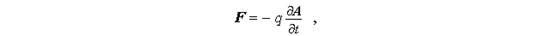
Т. е., вихревая составляющая (rotP ) электрической напряженности E есть ничто иное, как частная производная по времени от векторного потенциала A магнитного поля, взятого с обратным знаком, имеющего строго вихревой характер. Рассмотрим основания, приведшие Максвелла к утверждению о том, что изменяющееся во времени магнитное поле возбуждает в окружающем пространстве вихревое электрическое поле. Как известно, основанием для изложенного утверждения послужило появление электрического тока в цепи вторичной обмотки катушки индуктивности при протекании переменного во времени тока в первичной катушке, что наблюдалось в хорошо известных опытах Фарадея. Но, т.к. вторичная обмотка катушки индуктивности была расположена таким образом, что она не контактировала непосредственно с полем магнитной индукции В первичной катушки и, как бы, охватывала область пространства, содержащую его, а из закона Ома уже было известно, что ток в проводнике возникает под действием электрической напряженности E , то и был сделан вывод о возбуждении электрического вихревого поля E в пространстве, окружающем изменяющееся во времени поле магнитной индукции B . Сам по себе, данный вывод парадоксален уже потому, что, как известно, закон Ома выполняется только во вторичной цепи и не выполняется внутри источника Э.Д.С., т.к. в н╖м ток течет навстречу напряженности электрического поля, в результате действия внешних вызывающих сил неэлектрической природы, а вторичная обмотка катушки индуктивности (в указанном эксперименте) выступает в роли источника Э.Д.С. Тем не менее, получить расчетным путем значение Э.Д.С. индукции во вторичной обмотке катушки индуктивности не удалось без введения нового поля . поля векторного потенциала A , причем, как было показано раньше, результат расчета Э.Д.С. индукции в точности совпадал с измеренной величиной, при условии, что напряженность электрического поля строго равнялась нулю. Т. е., введение понятия "вихревое электрическое поле" ничего не дало для расчетного получения значения Э.Д.С. индукции, но породило парадокс, суть которого была изложена ранее. Из опыта работы с электрическими полями заряженных тел было известно, что на металлических предметах, помещенных в электрическое поле, Э.Д.С. не возникает в следствие высокой поляризационной способности металлов, обусловленной большим количество свободных носителей электрических зарядов в них. И, наоборот, если мы хотим получить Э.Д.С. на металлических предметах, то мы должны воздействовать на них некоторой силой неэлектрической природы, например: механической, тепловой, химической и т. д., под действием которой происходит разведение электрических зарядов внутри проводника, что и вызывает возникновение в н╖м электрической напряженности E как силы, противодействующей дальнейшему разведению электрических зарядов. Равенство внешних сил неэлектрической природы, воздействующих на электрические заряды в проводнике, и электрических внутренних противодействующих сил в н╖м и есть условие равновесия. Интеграл от напряженности электрического поля E внутри проводника, взятой с обратным знаком (т.к. E = . gradj), по длине проводника является искомой Э.Д.С. Но, тогда, наличие Э.Д.С. на зажимах вторичной обмотки катушки индуктивности (при протекании электрического переменного во времени тока в первичной катушке) является необходимым и достаточным условием для утверждения того, что на электрические заряды в проводнике вторичной обмотки катушки при протекании электрического переменного тока в первичной обмотке действует сила неэлектрической природы. Если учесть, что электрическая напряженность по определению есть сила, действующая на единичный электрический заряд, то, с учетом ранее изложенных рассуждений, приходим к выводу, что на покоящийся электрический заряд, помещенный в переменное во времени магнитное поле, действует сила со стороны магнитного поля, равная скорости изменения во времени вектора - потенциала A магнитного поля, умноженной на величину электрического заряда, взятого с обратным знаком. Или:
![]()
где:
F - сила
A - векторный потенциал магнитного поля,
q - электрический заряд.
Если теперь полученное выражение для вихревой составляющей "rot P " подставить в уравнение (11), дополнив уравнением (9) из полной системы уравнений электродинамики, определяющим векторный потенциал магнитного поля, а также полученным выражением для силы, действующей на покоящиеся электрические заряды в переменном во времени магнитном поле, дописав также выражение для силы, действующей на движущиеся заряды в постоянном магнитном поле (сила Лоренца), получим полную систему уравнений магнитного поля в свободном пространстве:
![]()
![]()
![]()
![]()
или, что то же самое:
(13)
(14)
(15)
Где:
A - векторный потенциал магнитного поля,
J - вектор плотности электрического тока,
F - сила, действующая на электрические заряды в магнитном поле,
q - электрический заряд,
mm o - абсолютная магнитная проницаемость окружающей среды,
c - скорость распространения магнитного поля в окружающей среде.
Полученная система уравнений (13), (14), (15), при очевидной простоте по сравнению с системой уравнений электродинамики, дает полное, непротиворечивое описание в векторной форме как распространения и распределения магнитного поля в пространстве по заданному распределению источников поля, так и всей гаммы эффектов, связанных с электромагнитной индукцией, распространением света и радиоволн, без каких.либо дополнительных соотношений, в строгом соответствии с фундаментальными положениями классической теории поля и известными законами физики.
Примеры решения прикладных задач с помощью полученной системы уравнений магнитного поля
1. Механизм распространения магнитного поля в пространстве и перенос энергии магнитными волнами (вектор Пойнтинга).
Как известно, решением однородного волнового уравнения Даламбера в свободном пространстве для векторного потенциала магнитного поля является распространяющаяся в пространстве, окружающем источники поля, разбегающаяся, поперечная (в силу строго вихревого характера вектора A ) волна запаздывающего векторного потенциала A . При удалении от первичного источника поля (передающей антенны) на расстояние, много большее размеров передающей антенны и длины волны, и размерах приемной антенны, соизмеримых с длиной волны, фронт волны воспринимается в виде плоскости, нормальной к линии "r ", проведенной от передающей антенны к приемной (линия распространения). Такие волны называются плоскими запаздывающими волнами и описываются следующим выражением:
A = A m cos (wt-kr),
где A m - амплитуда векторного потенциала магнитного поля, причем вектор A лежит в плоскости, нормальной к линии "r ".
Рассмотрим механизм распространения поперечной магнитной волны и перенос ею энергии, для чего запишем выражение вектора Пойнтинга для электромагнитных волн, предлагаемое в рамках электродинамики Максвелла.
![]()
Где:
P - мгновенная плотность потока энергии (вектор Пойнтинга),
E - вектор напряженности электрического вихревого поля,
H - вектор напряженности магнитного поля
Но, как было показано раньше, вектор напряженности вихревого электрического поля E есть ничто иное, как частная производная по времени от векторного потенциала магнитного поля, взятая с обратным знаком, и, следовательно, выражение для вектора Пойнтинга надо переписать с учетом данного замечания.
![]()
Анализируя данное выражение, приходим к выводу, что распространение магнитной волны происходит за счет перекачки энергии из поля векторного потенциала A в поле вектора магнитной индукции B и т.д. Действительно, т.к. векторный потенциал для плоской волны есть периодическая функция по пространству и времени, то оператор "rot" сводится к простому дифференцированию вектора A по линии распространения (т.е. по координате "r "), и, следовательно, вектор A и вектор B сдвинуты относительно друг друга как по пространству, так и по времени на четверть периода, что и обеспечивает распространение магнитной волны в пространстве.
Подставим в полученное выражение для вектора Пойнтинга имеющееся выражение для запаздывающего векторного потенциала A плоской поперечной магнитной волны.
Тогда,
![]()
Произведя соответственные дифференцирования, получим окончательное выражение для вектора Пойнтинга плоской поперечной магнитной волны:
![]()
Где:
w . угловая частота,
k = w /с . волновой вектор,
ee o . абсолютная диэлектрическая проницаемость среды в окружающем пространстве,
mm o . абсолютная магнитная проницаемость среды в окружающем пространстве,
. скорость распространения магнитного поля в окружающей среде.
Не трудно увидеть, что полученное выражение для вектора Пойнтинга магнитной волны знакопостоянно как в пространстве, так и во времени, а, следовательно, поперечная магнитная волна, записанная таким образом, осуществляет перенос энергии в пространстве, так как интеграл за период от знакопостоянной функции, отличной от нуля, не равен нулю.
Проведенный анализ решения системы уравнений магнитного поля для плоской поперечной магнитной волны показал, что теория магнетизма дает описание поперечных радио- и световых волн более простыми средствами, чем теория электромагнетизма, но, в отличии от последней, обладает непротиворечивой физической моделью процесса распространения магнитных волн.
2. Расчет Э.Д.С. магнитной индукции во вторичной обмотке катушки индуктивности при протекании переменного во времени тока в первичной обмотке.
Как известно, при протекании электрического тока по первичной обмотке катушки индуктивности внутри и вокруг витков катушки параллельно им образуется поле векторного потенциал A , в виде замкнутых колец. В этом поле размещена обмотка вторичной катушки. Как было показано раньше, на покоящиеся электрические заряды в таком поле действует сила равная:
![]()
Под действием силы со стороны изменяющегося во времени поля векторного потенциала A происходит смещение свободных электрических зарядов внутри провода вторичной обмотки катушки индуктивности, что приводит к разведению в нем разноименных зарядов и возникновению электрической напряженности E , препятствующей дальнейшему разведению электрических зарядов. Условием равновесия, согласно третьему закону Ньютона, является равенство нулю суммы магнитной (F м ) и электрической (F э ) сил действующих на свободные заряды в проводнике. Запишем это условие:
![]()
откуда:
![]()
но т. к.
![]()
то внутри провода выполняется равенство:
![]()
И, следовательно, Э.Д.С. магнитной индукции равна:

Но, полученный интеграл скалярного произведения векторного потенциала A на элемент провода вторичной обмотки катушки (dl ), в случае цилиндрической катушки с числом витков вторичной обмотки равной "n ", есть циркуляция вектора A и, согласно теореме Стокса, может быть преобразован следующим образом:
![]()
Где: ds - бесконечно малый элемент поверхности, охватывающий элементарный поток вектора магнитной индукции dФ нормальный к нему,
Ф - поток магнитной индукции.
Учитывая последнее соотношение можно получить окончательное выражение для Э.Д.С. магнитной индукции во вторичной обмотке с числом витков равным "n", возбуждаемым переменным во времени магнитным поле первичной обмоткой цилиндрической катушки индуктивности:
![]()
что хорошо известно, как закон индукции в переменном во времени магнитном поле.
Данная методика позволяет без каких либо допущений и дополнений, рассчитывать в векторной форме, различные электро- и радиотехнические устройства, опираясь на доступные физические модели процессов взаимодействия электрических зарядов с магнитным полем, основанные на фундаментальных законах классической механики.
Заключение
Методология анализа
В данной работе в качестве критерия строгости исследуемых положений теории электромагнетизма, а также, при выводе системы уравнений магнитного поля, в основу анализа положено требование жесткого выполнения условия классического "триединства" результатов эксперимента, модели описываемого процесса и избранной формы математической записи .
При этом предполагалось что:
а)используемые при анализе результаты экспериментов не подлежат сомнению ,
б)модели описываемых процессов строго согласованы с уже известными законами природы ,
в)применение математического аппарата не предполагает деформацию каких.либо основополагающих принципов самого математического аппарата .
Выводы
Реализация в данной работе избранной методологии анализа позволила установить следующее:
а) в рамках теории электромагнетизма не существует никакой непротиворечивой физической модели распространения в пространстве световых и радиоволн, и природа их требует уточнения;
б) из проведенного рассмотрения классической методики получения выражения для Э.Д.С. электромагнитной индукции следует, что в рамках электродинамики Максвелла не существует непротиворечивой физической модели, способной дать описание процессов электромагнитной индукции, а предлагаемый при╖м искуствен и приводит к неустранимым противоречиям с экспериментом, третьим законом Ньютона и принципом причинности;
в) методы решения уравнений Максвелла предполагали широкое использование неоднозначностей в определении векторных полей и их потенциалов, якобы существующих в классической теории поля, что приводило к неограниченному "размножению" калибровочных соотношений, в корне противоречащих основным положениям классической теории поля и затрудняющих использование системы уравнений электродинамики в практической деятельности;
г) введенное Максвеллом в обращение вихревое электрическое поле породило неустранимые противоречия физических моделей процессов распространения электрического и магнитного полей и их взаимодействия с привнесенными физическими объектами, с экспериментальными результатами, математическим аппаратом теории поля, третьим законом Ньютона и принципом причинности,
д) различия между электрическим и магнитным полями в классическом случае фундаментальны :
1) электрическое поле имеет строго градиентный характер , т.е.:
![]()
![]()
2) магнитное поле полностью описывается с помощью векторного магнитного потенциала A и имеет строго вихревой характер , т.е.:
е) теория электромагнетизма, иначе называемая электродинамикой Максвелла, содержит в себе для описания электрического поля только систему уравнений электростатики :
![]()
и не представляет никакой информации о динамике электрического поля . Этот вопрос нуждается в дополнительной проработке.
Перечень используемой литературы
а) И. Е. Тамм. .Основы теории электричества., "Наука" 1976г.
б) Л. Д. Ландау, Е. М. Лифшиц. .Теория поля., "Наука" 1973г.
в) И. В. Савельев. .Курс общей физики., "Наука" 1978г.
2.
а) Б. М. Яворский, А. А. Детлафф. .Справочник по физике., "Наука" 1979г.
б) Г. Корн и Т. Корн. .Справочник по математике для инженеров и научных работников. (перевод с английского), "Наука" 1978г.
в) А. Н. Тихонов, А. А. Самарский. "Уравнения математической физики", "Наука" 1972г.