| Скачать .docx | Скачать .pdf |
Реферат: Математические уравнения и функции
Варивант №2
З адание 1
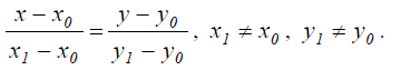
Дан треугольник ABC, где А(-3,2), В(3,-1), С(0,3). Найти:
1. Длину стороны АВ;
2. Внутренний угол А с точностью до градуса;
3. Уравнение и длину высоты, опущенной из вершины С;
4. Точку пересечения высот;
5. Уравнение медианы, опущенной из вершины С;
6. Систему неравенств, определяющих треугольник АВС;
7. Сделать чертеж;
Решение:
1. Найдем координаты вектора АВ:
![]()
Длина стороны АВ равна:
![]()
2. Угол А будем искать как угол между векторами АВ и АС(-3,1)

Тогда ![]()
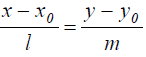
3. Прямая СК перпендикулярна АВ проходит через точку С(0,3) и имеет нормалью вектор
.
По формуле получим уравнение высоты:

Сокращаем на 3 получим уравнение высоты:
![]()
4. Координаты основания медианы будут:
;
Уравнение медианы найдем, пользуясь данной формулой, как уранение прямой, проходящей через 2 точки: С и М


Так как знаменатель левой части равен нулю, то уравнение медианы будет иметь такой вид х=0
5. Известно что высоты треугольника пересекаются в одной точке Р. Уравнение высоты СК найдено, выведем аналогично высоту BD проходящую через точку В перпендикулярно вектору ![]()

Координаты точки Р найдем как решение системы уравнений:

х=11 у=23
6. Длину высоты hc будем ее искать как расстояние от точки С до прямой АВ. Эта прямая проходит через точку А и имеет направляющий вектор
.


Теперь воспользовавшись формулой

Подставляя в нее координаты точки С(0,3)

Задание 2
Даны векторы
Доказать, что
образуют базис четырехмерного пространства, и найти координаты вектора «в» в этом базисе.
![]()
Решение:
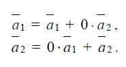
1. Докажем, что подсистема
линейно независима:
![]()

Из четвертого уравнения имеем , что
, тогда из первого, второго и третьего следует, что
. Линейная независимость доказана.
Докажем, что векторы
можно представить в виде линейных комбинации векторов
.
Очевидно,

Найдем представление
через
.
![]()

Из четвертого уравнения находим
и подставляем в первые три

Получили , что данная система векторов не может называться базисом!
Задание 3
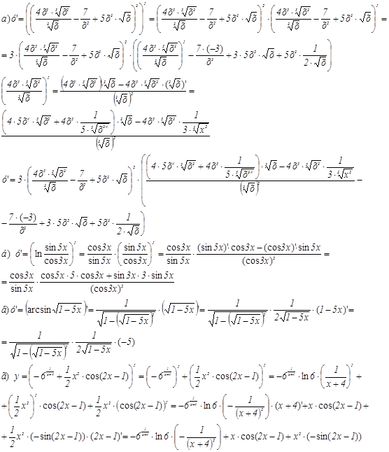
Найти производные функций:


Задание 4.
Исследовать функцию и построить ее график
![]()
1. Область определения:
, то есть ![]()
2. Кривая
имеет вертикальную ассимптоту х=-1, так как
![]()
Находим наклонные асимптоты.
а то означает, что есть вертикальная асимптота у=0.
3. Функция общего вида, так как
и ![]()
4. Функция периодичностью не обладает
5. Находим производную функции

Получаем 3 критические точки х=-1 х=1, и х=5.
Результаты исследования на монотонность и экстремумы оформляется в виде таблицы
| х |
|
|
1 |
|
5 |
|
| y’ |
- |
- |
0 |
+ |
0 |
- |
| y |
убывает |
убывыает |
0 min |
возрастает |
0,074 |
убывает |
6. Находим вторую производную функции

Получаем критические точки х=-1; х=0,22; х=6,11
Результаты исследований на выпуклость и точки перегиба оформляем в виде таблицы.
| х |
|
|
0.22 |
|
6.11 |
|
| y” |
- |
+ |
0 |
+ |
0 |
- |
| y |
выпукла |
вогнута |
0,335 перегиб |
вогнута |
0,072 |
выпукла |
7. Находим точки пересечения графика с осями координат Ох и Оу
получаем точку (0;1);
получаем точку (1;0)
8. При х=-2, у=-9, при х=-5, у=-0,56, при х=-10, у=-0,166
9. Строим график в соответствии с результатами исследований:

Задание 5
Найти неопределенные интегралы и проверить их дифференцированием.
а)
; б)
; в)
; г) ![]()
Решение:
а) сделаем подстановку sin3x=t, тогда dt=cos3x dx, следовательно:
![]()
Проверка:

б) сделаем подстановку ![]()
![]()
Проверка:

в) Воспользуемся способом интегрирования по частям

Проверка:
![]()
г) воспользуемся способом интегрирования рациональных дробей


Проверка:

Задание 6
Вычислить площадь фигуры, ограниченной графиками функций:
![]()
Решение:
находим координаты точек пересечения заданных графиков функций:
приравнивая правые части, получаем квадратное уравнение
корни этого квадратного уравнения ![]()
следовательно :
, и значит координаты точек пересечения А(0,7) и В(5,2). Точка х=2 находится между точками 0 и 5. Подставляя в уравнения 2 получаем: ![]()
т.к
получаем:
![]()