Похожие рефераты Скачать .docx Скачать .pdf

Реферат: Теория вероятностей

.

Теория вероятностей - математическая наука, позволяющая по вероятностям одних случайных событий находить вероятности других случайных событий, связанных каким-либо образом с первыми.

Утверждение о том, что какое-либо событие наступает с вероятностью , равной, например, ½, ещё не представляет само по себе окончательной ценности, так как мы стремимся к достоверному знанию. Окончательную познавательную ценность имеют те результаты теории вероятностей, которые позволяют утверждать, что вероятность наступления какого-либо события А весьма близка к единице или (что то же самое) вероятность не наступления события А весьма мала. В соответствии с принципом "пренебрежения достаточно малыми вероятностями" такое событие справедливо считают практически достоверным. Ниже (в разделе Предельные теоремы) показано, что имеющие научный и практический интерес выводы такого рода обычно основаны на допущении, что наступление или не наступление события А зависит от большого числа случайных, мало связанных друг с другом факторов. Поэтому можно также сказать, что теория вероятностей есть математическая наука, выясняющая закономерности, которые возникают при взаимодействии большого числа случайных факторов.

Предмет теории вероятностей.

Для описания закономерной связи между некоторыми условиями S и событием А, наступление или не наступление которого при данных условиях может быть точно установлено, естествознание использует обычно одну из следующих двух схем:

а) при каждом осуществлении условий S наступает событие А. Такой вид, например, имеют все законы классической механики, которые утверждают, что при заданных начальных условиях и силах, действующих на тело или систему тел, движение будет происходить однозначно определённым образом.

б) При условиях S событие А имеет определённую вероятность P (A / S), равную р. Так, например, законы радиоактивного излучения утверждают, что для каждого радиоактивного вещества существует определённая вероятность того, что из данного количества вещества за данный промежуток времени распадётся какое-либо число N атомов.

Назовем частотой события А в данной серии из n испытаний (то есть из n повторных осуществлений условий S) отношение h = m/n числа m тех испытаний, в которых А наступило, к общему их числу n. Наличие у события А при условиях S определённой вероятности, равной р, проявляется в том, что почти в каждой достаточно длинной серии испытаний частота события А приблизительно равна р.

Статистические закономерности, то есть закономерности, описываемые схемой типа (б), были впервые обнаружены на примере азартных игр, подобных игре в кости. Очень давно известны также статистические закономерности рождения, смерти (например, вероятность новорождённому быть мальчиком равна 0,515). Конец 19 в. и 1-я половина 20 в. отмечены открытием большого числа статистических закономерностей в физике, химии, биологии и т.п.

Возможность применения методов теории вероятностей к изучению статистических закономерностей, относящихся к весьма далёким друг от друга областям науки, основана на том, что вероятности событий всегда удовлетворяют некоторым простым соотношениям, о которых будет сказано ниже (см. раздел Основные понятия теории вероятностей). Изучение свойств вероятностей событий на основе этих простых соотношений и составляет предмет теории вероятностей.

Основные понятия теории вероятностей.

Наиболее просто определяются основные понятия теории вероятностей как математической дисциплины в рамках так называемой элементарной теории вероятностей. Каждое испытание Т, рассматриваемое в элементарной теорией вероятностей, таково, что оно заканчивается одним и только одним из событий E1, E2,..., ES (тем или иным, в зависимости от случая). Эти события называются исходами испытания. С каждым исходом Ek связывается положительное число рк - вероятность этого исхода. Числа pk должны при этом в сумме давать единицу. Рассматриваются затем события А, заключающиеся в том, что "наступает или Ei, или Ej,..., или Ek". Исходы Ei, Ej,..., Ek называются благоприятствующими А, и по определению полагают вероятность Р (А) события А, равной сумме вероятностей благоприятствующих ему исходов:

P (A) = pi + ps + … + pk. (1)

Частный случай p1 = p2 =... ps = 1/S приводит к формуле

Р (А) = r/s. (2)

Формула (2) выражает так называемое классическое определение вероятности, в соответствии с которым вероятность какого-либо события А равна отношению числа r исходов, благоприятствующих А, к числу s всех "равновозможных" исходов. Классическое определение вероятности лишь сводит понятие "вероятности" к понятию "равновозможности", которое остаётся без ясного определения.

Пример. При бросании двух игральных костей каждый из 36 возможных исходов может быть обозначен (i, j), где i - число очков, выпадающее на первой кости, j - на второй. Исходы предполагаются равновероятными. Событию А - "сумма очков равна 4", благоприятствуют три исхода (1; 3), (2; 2), (3; 1). Следовательно, Р (A) = 3/36 = 1/12.

Исходя из каких-либо данных событий, можно определить два новых события: их объединение (сумму) и совмещение (произведение). Событие В называется объединением событий A 1, A 2,..., Ar,-, если оно имеет вид: "наступает или A1, или А2,..., или Ar".

Событие С называется совмещением событий A1, А.2,..., Ar, если оно имеет вид: "наступает и A1, и A2,..., и Ar". Объединение событий обозначают знаком È, а совмещение - знаком Ç. Таким образом, пишут:

B = A1 È A2 È … È Ar, C = A1 Ç A2 Ç … Ç Ar.

События А и В называют несовместными, если их одновременное осуществление невозможно, то есть если не существует среди исходов испытания ни одного благоприятствующего и А, и В.

С введёнными операциями объединения и совмещения событий связаны две основные теоремы В. т. - теоремы сложения и умножения вероятностей.

Теорема сложения вероятностей. Если события A1, A2,..., Ar таковы, что каждые два из них несовместны, то вероятность их объединения равна сумме их вероятностей.

Так, в приведённом выше примере с бросанием двух костей событие В - "сумма очков не превосходит 4", есть объединение трёх несовместных событий A2, A3, A4, заключающихся в том, что сумма очков равна соответственно 2, 3, 4. Вероятности этих событий 1/36; 2/36; 3/36. По теореме сложения вероятность Р (В)равна

1/36 + 2/36 + 3/36 = 6/36 = 1/6.

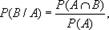
Условную вероятность события В при условии А определяют формулой


что, как можно показать, находится в полном соответствии со свойствами частот. События A1, A2,..., Ar называются независимыми, если условная вероятность каждого из них при условии, что какие-либо из остальных наступили, равна его "безусловной" вероятности

Теорема умножения вероятностей. Вероятность совмещения событий A1, A2,..., Ar равна вероятности события A1,умноженной на вероятность события A2, взятую при условии, что А1 наступило,..., умноженной на вероятность события Ar при условии, что A1, A2,..., Ar-1 наступили. Для независимых событий теорема умножения приводит к формуле:

P (A1 Ç A2 Ç … Ç Ar) = P (A1) Ї P (A2) Ї … Ї P (Ar), (3)

то есть вероятность совмещения независимых событий равна произведению вероятностей этих событий. Формула (3) остаётся справедливой, если в обеих её частях некоторые из событий заменить на противоположные им.

Пример. Производится 4 выстрела по цели с вероятностью попадания 0,2 при отдельном выстреле. Попадания в цель при различных выстрелах предполагаются независимыми событиями. Какова вероятность попадания в цель ровно три раза?

Каждый исход испытания может быть обозначен последовательностью из четырёх букв [напр., (у, н, н, у) означает, что при первом и четвёртом выстрелах были попадания (успех), а при втором и третьем попаданий не было (неудача)]. Всего будет 2Ї2Ї2Ї2 = 16 исходов. В соответствии с предположением о независимости результатов отдельных выстрелов следует для определения вероятностей этих исходов использовать формулу (3) и примечание к ней. Так, вероятность исхода (у, н. н, н) следует положить равной 0,2Ї0,8Ї0,8Ї0,8 = 0,1024; здесь 0,8 = 1-0,2 - вероятность промаха при отдельном выстреле. Событию "в цель попадают три раза" благоприятствуют исходы (у, у, у, н), (у, у, н, у), (у, н, у, у). (н, у, у, у), вероятность каждого одна и та же:

0,2Ї0,2Ї0,2Ї0,8 =...... =0,8Ї0,2Ї0,2Ї0,2 = 0,0064;

следовательно, искомая вероятность равна

4Ї0,0064 = 0,0256.

Обобщая рассуждения разобранного примера, можно вывести одну из основных формул теории вероятностей: если события A1, A2,..., An независимы и имеют каждое вероятность р, то вероятность наступления ровно m из них равна

Pn (m) = Cnmpm (1 - p) n-m; (4)

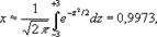
здесь Cnm обозначает число сочетаний из n элементов по m. При больших n вычисления по формуле (4) становятся затруднительными. Пусть в предыдущем примере число выстрелов равно 100, и ставится вопрос об отыскании вероятности х того, что число попаданий лежит в пределах от 8 до 32. Применение формулы (4) и теоремы сложения даёт точное, но практически мало пригодное выражение искомой вероятности


Приближённое значение вероятности х можно найти по теореме Лапласа


причём ошибка не превосходит 0,0009. Найденный результат показывает, что событие 8 £ m £ 32 практически достоверно. Это самый простой, но типичный пример использования предельных теорем теории вероятностей.

К числу основных формул элементарной теории вероятностей относится также так называемая формула полной вероятности: если события A1, A2,..., Ar попарно несовместны и их объединение есть достоверное событие, то для любого события В его вероятность равна сумме


Теорема умножения вероятностей оказывается особенно полезной при рассмотрении составных испытаний. Говорят, что испытание Т составлено из испытаний T1, T2,..., Tn-1, Tn, есликаждый исход испытания Т есть совмещение некоторых исходов Ai, Bj,..., Xk, Yl соответствующих испытаний T1, T2,..., Tn-1, Tn. Из тех или иных соображений часто бывают известны вероятности

P (Ai), P (Bj/Ai), …, P (Yl/Ai Ç Bj Ç … Ç Xk). (5)

По вероятностям (5) с помощью теоремы умножения могут быть определены вероятности Р (Е) для всех исходов Е составного испытания, а вместе с тем и вероятности всех событий, связанных с этим испытанием (подобно тому, как это было сделано в разобранном выше примере). Наиболее значительными с практической точки зрения представляются два типа составных испытаний: а) составляющие испытания не зависимы, то есть вероятности (5) равны безусловным вероятностям P (Ai), P (Bj),..., P (Yl); б) на вероятности исходов какого-либо испытания влияют результаты лишь непосредственно предшествующего испытания, то есть вероятности (5) равны соответственно: P (Ai), P (Bj /Ai),..., P (Yi / Xk). В этом случае говорят об испытаниях, связанных в цепь Маркова. Вероятности всех событий, связанных с составным испытанием, вполне определяются здесь начальными вероятностями Р (Аi) и переходными вероятностями P (Bj / Ai),..., P (Yl / Xk)

Случайные величины. Если каждому исходу Er испытания Т поставлено в соответствие число х,, то говорят, что задана случайная величина X. Среди чисел x1, х2,......, xs могут быть и равные; совокупность различных значений хг при r = 1, 2,..., s называют совокупностью возможных значений случайной величины. Набор возможных значений случайной величины и соответствующих им вероятностей называется распределением вероятностей случайной величины. Так, в примере с бросанием двух костей с каждым исходом испытания (i, j) связывается случайная величина Х = i + j - сумма очков на обеих костях. Возможные значения суть 2, 3, 4,..., 11, 12; соответствующие вероятности равны 1/36, 2/36, 3/36,..., 2/36, 1/36.

При одновременном изучении нескольких случайных величин вводится понятие их совместного распределения, которое задаётся указанием возможных значений каждой из них и вероятностей совмещения событий

{X1 = x1}, {X2 = x2}, …, {Xn = xn}, (6)

где xk - какое-либо из возможных значений величины Xk. Случайные величины называются независимыми, если при любом выборе xk события (6) независимы. С помощью совместного распределения случайных величин можно вычислить вероятность любого события, определяемого этими величинами, например события a < X1 + Х2 +... + Xn < b и т.п.

Часто вместо полного задания распределения вероятностей случайной величины предпочитают пользоваться небольшим количеством числовых характеристик. Из них наиболее употребительны математическое ожидание и дисперсия.

В число основных характеристик совместного распределения нескольких случайных величин, наряду с математическими ожиданиями и дисперсиями этих величин, включаются коэффициенты корреляции и т.п. Смысл перечисленных характеристик в значительной степени разъясняется предельными теоремами.

Схема испытаний с конечным числом исходов недостаточна уже для самых простых применений теории вероятностей. Так, при изучении случайного разброса точек попаданий снарядов вокруг центра цели, при изучении случайных ошибок, возникающих при измерении какой-либо величины, и т.д. уже невозможно ограничиться испытаниями с конечным числом исходов. При этом в одних случаях результат испытания может быть выражен числом или системой чисел, в других - результатом испытания может быть функция (например, запись изменения давления в данной точке атмосферы за данный промежуток времени), системы функций и т.п. Следует отметить, что многие данные выше определения и теоремы с незначительными по существу изменениями приложимы и в этих более общих обстоятельствах, хотя способы задания распределений вероятностей изменяются.

Наиболее серьёзное изменение претерпевает определение вероятности, которое в элементарном случае давалось формулой (2). В более общих схемах, о которых идёт речь, события являются объединениями бесконечного числа исходов (или, как говорят, элементарных событий), вероятность каждого из которых может быть равна нулю. В соответствии с этим свойство, выраженное теоремой сложения, не выводится из определения вероятности, а включается в него.

Наиболее распространённая в настоящее время логическая схема построения основ теории вероятностей разработана в 1933 советским математиком А. Н. Колмогоровым. Основные черты этой схемы следующие. При изучении какой-либо реальной задачи - методами теории вероятностей прежде всего выделяется множество U элементов u, называемых элементарными событиями. Всякое событие вполне описывается множеством благоприятствующих ему элементарных событий и потому рассматривается как некое множество элементарных событий. С некоторыми из событий А связываются определённые числа Р (A), называемые их вероятностями и удовлетворяющие условиям

1. 0 £ Р (А) £ 1,

2. P (U) = 1,

3. Если события A1,..., An попарно несовместны и А - их сумма, то

Р (А) = Р (A1) + P (A2) + … + Р (An).

Для создания полноценной математической теории требуют, чтобы условие 3 выполнялось и для бесконечных последовательностей попарно несовместных событий. Свойства неотрицательности и аддитивности есть основные свойства меры множества. Теория вероятностей может, таким образом, с формальной точки зрения рассматриваться как часть меры теории. Основные понятия теории вероятностей получают при таком подходе новое освещение. Случайные величины превращаются в измеримые функции, их математические ожидания - в абстрактные интегралы Лебега и т.п. Однако основные проблемы теории вероятностей и теории меры различны. Основным, специфическим для теории вероятностей является понятие независимости событий, испытаний, случайных величин. Наряду с этим теория вероятностей тщательно изучает и такие объекты, как условные распределения, условные математические ожидания и т.п.

Предельные теоремы.

При формальном изложении теории вероятностей предельные теоремы появляются в виде своего рода надстройки над ее элементарными разделами, в которых все задачи имеют конечный, чисто арифметический характер. Однако познавательная ценность В. т. раскрывается только предельными теоремами. Так, Теорема Бернулли показывает, что при независимых испытаниях частота появления какого-либо события, как правило, мало отклоняется от его вероятности, а Теорема Лапласа указывает вероятности тех или иных отклонений. Аналогично смысл таких характеристик случайной величины, как её математическое ожидание и дисперсия, разъясняется законом больших чисел и центральной предельной теоремой

Пусть

X1, Х2,..., Xn,... (7)

- независимые случайные величины, имеющие одно и то же распределение вероятностей с EXk = а, DXk = s2 и Yn - среднее арифметическое первых n величин из последовательности (7):

Yn = (X1 + X2 + … +Xn)/n.

В соответствии с законом больших чисел, каково бы ни было e > 0, вероятность неравенства |Yn - a| £ e имеет при n ®¥ пределом 1, и, таким образом, Yn как правило, мало отличается от а. Центральная предельная теорема уточняет этот результат, показывая, что отклонения Yn от а приближённо подчинены нормальному распределению со средним 0 и дисперсией s2 / n. Таким образом, для определения вероятностей тех или иных отклонений Yn от а при больших n нет надобности знать во всех деталях распределение величин Xn, достаточно знать лишь их дисперсию.

В 20-х гг. 20 в. было обнаружено, что даже в схеме последовательности одинаково распределённых и независимых случайных величин могут вполне естественным образом возникать предельные распределения, отличные от нормального. Так, например, если X1 время до первого возвращения некоторой случайно меняющейся системы в исходное положение, Х2 - время между первым и вторым возвращениями и т.д., то при очень общих условиях распределение суммы X1 +... + Xn (то есть времени до n-говозвращения) после умножения на n 1/a (а - постоянная, меньшая 1) сходится к некоторому предельному распределению. Таким образом, время до n-го возвращения растет, грубо говоря, как n 1/a, то есть быстрее n (в случае приложимости закона больших чисел оно было бы порядка n).

Механизм возникновения большинства предельных закономерностей может быть до конца понят лишь в связи с теорией случайных процессов.

Случайные процессы.

В ряде физических и химических исследований последних десятилетий возникла потребность, наряду с одномерными и многомерными случайными величинами, рассматривать случайные процессы, то есть процессы, для которых определена вероятность того или иного их течения. Примером случайного процесса может служить координата частицы, совершающей броуновское движение. В В. т. случайный процесс рассматривают обычно как однопараметрическое семейство случайных величин Х (t). В подавляющем числе приложений параметр t является временем, но этим параметром может быть, например, точка пространства, и тогда обычно говорят о случайной функции. В том случае, когда параметр t пробегает целочисленные значения, случайная функция называется случайной последовательностью. Подобно тому, как случайная величина характеризуется законом распределения, случайный процесс может быть охарактеризован совокупностью совместных законов распределения для X (t1), X (t2),..., X (tn)для всевозможных моментов времени t1, t2,..., tn при любом n > 0. В настоящее время наиболее интересные конкретные результаты теории случайных процессов получены в двух специальных направлениях.

Исторически первыми изучались марковские процессы. Случайный процесс Х (t) называется марковским, если для любых двух моментов времени t0 и t1 (t0 < t1) условное распределение вероятностей X (t1) при условии, что заданы все значения Х (t) при t £ t0, зависит только от X (t0) (в силу этого марковские случайные процессы иногда называют процессами без последействия). Марковские процессы являются естественным обобщением детерминированных процессов, рассматриваемых в классической физике. В детерминированных процессах состояние системы в момент времени t0 однозначно определяет ход процесса в будущем; в марковских процессах состояние системы в момент времени t0 однозначно определяет распределение вероятностей хода процесса при t > t0, причём никакие сведения о ходе процесса до момента времени t0 не изменяют это распределение.

Вторым крупным направлением теории случайных процессов является теория стационарных случайных процессов. Стационарность процесса, то есть неизменность во времени его вероятностных закономерностей, налагает сильное ограничение на процесс и позволяет из одного этого допущения извлечь ряд важных следствий (например, возможность так называемого спектрального разложения


где z (l) случайная функция с независимыми приращениями). В то же время схема стационарных процессов с хорошим приближением описывает многие физические явления.

Теория случайных процессов тесно связана с классической проблематикой предельных теорем для сумм случайных величин. Те законы распределения, которые выступают при изучении сумм случайных величин как предельные, в теории случайных процессов являются точными законами распределения соответствующих характеристик. Этот факт позволяет доказывать многие предельные теоремы с помощью соответствующих случайных процессов.

Историческая справка.

Теория вероятностей возникла в середине 17 в. Первые работы по теории вероятностей, принадлежащие французским учёным Б. Паскалю и П. Ферма и голландскому учёному X. Гюйгенсу, появились в связи с подсчётом различных вероятностей в азартных играх. Крупный успех теории вероятностей связан с именем швейцарского математика Я. Бернулли, установившего закон больших чисел для схемы независимых испытаний с двумя исходами (опубликовано в 1713).

Следующий (второй) период истории теории вероятностей (18 в. и начало 19 в.) связан с именами А. Муавра (Англия), П. Лапласа (Франция), К. Гаусса (Германия) и С. Пуассона (Франция). Это - период, когда теория вероятностей уже находит ряд весьма актуальных применений в естествознании и технике (главным образом в теории ошибок наблюдений, развившейся в связи с потребностями геодезии и астрономии, и в теории стрельбы). К этому периоду относится доказательство первых предельных теорем, носящих теперь названия теорем Лапласа (1812) и Пуассона (1837); А. Лежандром (Франция, 1806) и Гауссом (1808) в это же время был разработан способ наименьших квадратов.

Третий период истории теории вероятностей. (2-я половина 19 в.) связан в основном с именами русских математиков П. Л. Чебышева, А. М. Ляпунова и А. А. Маркова (старшего). Теория вероятностей развивалась в России и раньше (в 18 в. ряд трудов по В. т. был написан работавшими в России Л. Эйлером, Н. Бернулли и Д. Бернулли; во второй период развития теории вероятностей следует отметить работы М. В. Остроградского по вопросам теории вероятностей, связанным с математической статистикой, и В. Я. Буняковского по применениям теории вероятностей к страховому делу, статистике и демографии). Со 2-й половины 19 в. исследования по теории вероятностей в России занимают ведущее место в мире. Чебышев и его ученики Ляпунов н Марков поставили и решили ряд общих задач в теории вероятностей, обобщающих теоремы Бернулли и Лапласа. Чебышев чрезвычайно просто доказал (1867) закон больших чисел при весьма общих предположениях. Он же впервые сформулировал (1887) центральную предельную теорему для сумм независимых случайных величин и указал один из методов её доказательства. Другим методом Ляпунов получил (1901) близкое к окончательному решение этого вопроса. Марков впервые рассмотрел (1907) один случай зависимых испытаний, который впоследствии получил название цепей Маркова.

В Западной Европе во 2-й половине 19 в. получили большое развитие работы по математической статистике (в Бельгии - А. Кетле, в Англии - Ф. Гальтон) и статистической физике (в Австрии - Л. Больцман), которые наряду с основными теоретическими работами Чебышева, Ляпунова и Маркова создали основу для существенного расширения проблематики теории вероятностей в четвёртом (современном) периоде её развития. Этот период истории теории вероятностей характеризуется чрезвычайным расширением круга её применений, созданием нескольких систем безукоризненно строгого математического обоснования теории вероятностей, новых мощных методов, требующих иногда применения (помимо классического анализа) средств теории множеств, теории функций действительного переменного и функционального анализа. В этот период при очень большом усилении работы по теории вероятностей за рубежом (во Франции - Э. Борель, П. Леви, М. Фреше, в Германии - Р. Мизес, в США - Н.Винер, В. Феллер, Дж. Дуб, в Швеции - Г. Крамер) советская наука продолжает занимать значительное, а в ряде направлений и ведущее положение. В нашей стране новый период развития теории вероятностей открывается деятельностью С. Н. Бернштейна, значительно обобщившего классические предельные теоремы Чебышева, Ляпунова и Маркова и впервые в России широко поставившего работу по применениям теории вероятностей к естествознанию. В Москве А. Я. Хинчин и А. Н. Колмогоров начали с применения к вопросам теории вероятностей методов теории функций действительного переменного. Позднее (в 30-х гг.) они (и Е. Е. Слуцкий) заложили основы теории случайных процессов. В. И. Романовский (Ташкент) и Н. В. Смирнов (Москва) поставили на большую высоту работу по применениям теории вероятностей к математической статистике. Кроме обширной московской группы специалистов по теории вероятностей, в настоящее время в России разработкой проблем В. т. занимаются в Ст-Петербурге и в Киеве.

Список литературы

Гнеденко Б. В. и Хинчин А. Я., Элементарное введение в теорию вероятностей, 3 изд., М. - Л., 1952;

Гнеденко Б. В., Курс теории вероятностей, 4 изд., М., 1965

Феллер В., Введение в теорию вероятностей и её приложение (Дискретные распределения), пер. с англ., 2 изд., т. 1-2, М., 1967.

Бернштейн С. Н., Теория вероятностей, 4 изд., М. - Л., 1946

Похожие рефераты:

Построение систем распознавания образов

Курс лекций по теории вероятностей

Разработка программы факультативного курса по теории вероятностей в курсе математики 8 класса

Теория вероятностей и математическая статистика

Методика обучения элементам теории вероятностей на факультативных занятиях в общеобразовательной школе

Основы теории вероятности

Организация и содержание элективного курса "Основы теории вероятностей и математической статистики" в классах оборонно-спортивного профиля

Серьёзные лекции по высшей экономической математике

Теория вероятностей и математическая статистика

Теория вероятности и мат статистика

Лекции по экономической теории

Теория вероятности и математическая статистика

Основные понятия статистики

Динамика развития некоторых понятий и теорем теории вероятностей

Шпаргалки по геометрии, алгебре, педагогике, методике математики (ИГПИ)

Надёжность функционирования автоматизированных систем

Схема Бернулли. Цепи Маркова

Теория информации