| Скачать .docx | Скачать .pdf |
Реферат: Комплексные числа
Министерство общего и профессионального образования РФ
Гимназия № 12
реферат
на тему: Комплеклсные числа
Выполнил: ученик 9 “Д” класса
Крутько Е.А.
Проверила: Санина В.Г.
Тюмень 1999
План.
Зачем нужны новые числа ?
Неприводимый случай кубического уравнения.
Действительное + мнимое = комплексное.
Когда мы слышим слово “число”, то на ум прежде всего приходят натуральные числа: 1, 2, 3… Их мы используем для пересчета разнообразных предметов. Если натуральных чисел оказывается недостаточно, прибегаем к дробям, а точнее – к рациональным числам. И то, как правило, не ко всем, а лишь к тем, которые выражаются конечными десятичными дробями. Уж их-то вполне хватает для повседневных нужд. Конечные десятичные дроби позволяют фиксировать результаты всевозможных измерений с произвольной точностью. Чего же еще ждать от чисел?
Но вот нам говорят, что существуют несоизмеримые величины. Например, диагональ квадрата несоизмерима с его стороной, т.е. отношение их длин -
- не является рациональным числом, хотя и может с любой наперед заданной точностью быть приближенно рациональным числом. И тогда становится понятно, что проще признать эти новые, иррациональные числа, чем каждый раз вместо “решим уравнение x2=2 ”говорить“ найдем такое x, чтобы x2 отличалось от 2 не более, чем на такую-то величину”.
Построенное таким образом сообщество – множество действительных чисел – уже не только удовлетворяет нашим практическим потребностям, но и обладает определенной теоретической полнотой. Оно позволяет формулировать разнообразные задачи, сводить их к уравнениям и решать, не боясь впасть в противоречие. Нельзя, например, делить на нуль, нельзя извлекать корень четной степени из отрицательных чисел и т.д. Однако правила эти несложны, и если им строго следовать, то все будет в порядке…
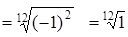
Но все ли? Рассмотрим такой пример:
можно считать равным и 1, и –1, а определить
невозможно. С другой стороны, что такое 1/6? Это то же самое, что 2/12. Однако
= (-1)1/6, (-1)2/12
, а последний корень можно извлечь!
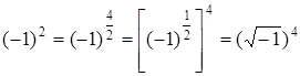
Вот еще один пример:
.
Но если квадратного корня из –1 не существует, то и его четвертой степени не существует. Значит, -1 нельзя возвести даже в квадрат?
Кому-то покажется, что все это не настоящие противоречия. Можно наложить дополнительные запреты на действия с числами, и подобные ситуации больше не возникнут. Но всегда ли разумны запреты? Представьте себе, что некоторые задачи весьма успешно решаются только с нарушением определенного запрета, и никак не удается найти “законного” способа их решения. Не стоит ли в таком случае отказаться от ограничения, ставшего слишком обременительным? Именно это произошло в свое время с запретом извлекать квадратный корень из отрицательных величин при решении так называемого неприводимого случая кубического уравнения.
Для решения уравнения вида
была выведена формула
,
прдобно тому как для решения квадратного уравнения существует общая формула, выражающая корни уравнения через его коэффиценты, аналогичная формула есть и для кубического уравнения. Она называется формулой Кардано – по имени математика, впервые ее опубликовавшего. Но, к примеру, для уравнения
х3 = 30х + 36
Формула Кардано дает
х =![]()
Под квадратным корнем здесь оказалось отрицательное число. В то же время имеет решение х = 6 – это легко проверить.
Однако, предположим на секунду, что корни из отрицательных чисел существуют. Тогда, если научиться извлекать кубические корни из выражения вида А+
, можно будет вычислить х=
Мы получим 3+
и 3-
. В самом деле, возведем в куб выражение 3+
, воспользовавшись формулой (a+b)3 = a3 + 3a2b + 3ab2 + b3:

Аналогично,
Поэтому х
.
Как видим, “странные” корни успешно сокращаются. То есть мы решили обычное уравнение и нашли корень – обычное действительное (и даже натуральное) число. Но для этого в промежуточных выкладках нам пришлось оперировать “необычными“ числами. И самое главное – никаким другим способом, за исключением разве что угадывания, это решение получить не удается!
Теперь у нас есть три пути:
- безоговорочно следовать установленным запретам и отказаться от новых приобретений, т.е. считать, что никакого метода решения неприводимого случая кубического уравнения у нас нет;
- “спрятать голову в песок”, т.е. каждый раз, решая уравнение, при переходе к действию с выражениями вида
говорить “извените!”, а возвращаясь “на законную почву”, делать вид, что ничего не произошло;
- коль скоро допустили в промежуточные вкладки объекты новой природы, всерьез заняться их изучением: дать определение, исследовать свойства, научиться выполнять арифметические операции.
Хотя и не сразу, но в конечном итоге математеки выбрали третий путь. И были вознаграждены: “странные” корни нашли широкое применение в электротехнике, аэродинамике и других областях знаний.
Итак, кроме привычных действительных (буквально – “реально существующих”) чисел нам приходится рассматривать еще числа вида
, где А – положительное действительное число. Что за числа, как их “потрогать руками” – все это вопросы, не имеющие ответа. Мы просто договарились считать, что они есть. И вполне естественно, что такие числа были названы мнимыми, т.е. “нереальными”. Сама идея комплексного числа возникла у итальянских математиков XVI в. в процессе решения уравнений 3-й и 4-й степеней.
Но кое-что о мнимых числах ма все же знаем. Например, что при возведении в квадрат они дают отрицательные числа. Далее, поскольку
, то
=
, а
- это обычное действительное число. Значит, мнимое число можно получить исходя из единственного мнимого числа
, если умножить его на подходящее действительное число. Таким образом, вместо безбрежного океана таинственных обьектов мы имеем один-единственный непривычный объект, все же остальные строятся с помощью операции умножения. Согласитесь, с такой ситуацией примерится уже гораздо легче.
Число
, играющее роль “строительного блока” в мире мнимых чисел, называют мнимой единицей и по предложению Леонардо Эйлера обозначают i (от лат. imaginarius – “мнимый”), но формальные операции над комплексными числами ввел Бомбелли. Основное свойство мнимой единицы выражается простым равенством:
.
Однако, как подсказывает опыт решения кубических уравнений, кроме действительных и мнимых нам приходится рассматривать также числа вида А+
, которые представляют собой сумму действительного. Такие числа именуются комплексными, т.е. составными.
А теперь, суммируя все сказанное, сформулируем наконец определение комплексного числа: комплексным числом называется выражение вида a+bi, где a и b – действительные числа, а i – мнимая единица.
Список использованной литературы
В. Антонов. Энциклопедия для детей. Том 11. Математика –
Москва: изд-во “Аванта+”, 1998. – 688 с.