| Скачать .docx | Скачать .pdf |
Дипломная работа: Линейные и квадратичные зависимости функция х и связанные с ними уравнения и неравенства
Линейные и квадратичные зависимости, функция/х/ и связанные с ними уравнения и неравенства
Дипломная работа по алгебре
22.06.2008
Сурскова Т.А.
СОДЕРЖАНИЕ
Введение
Глава 1. Линейная зависимость и связанные с ней уравнения и неравенства
1.1 Линейная функция
1.2 Линейные уравнения и неравенства
1.3 Решение линейных неравенств
Глава 2. Квадратичная зависимость и связанные с ней уравнения и неравенства
2.1 Квадратный трехчлен
2.2 Корни квадратного трехчлена
2.3 Зависимость расположения графика функции квадратного трехчлена от а, D
2.4 Решение квадратных неравенств
2.5 Разложение квадратного трехчлена на линейные множители
2.6 Выделение полного квадрата, как метод решения некоторых нестандартных задач
2.7 Равносильность и следствие в задачах с квадратным трехчленом
Глава 3. Функция
и связанные с ней уравнения и неравенства
3.1 Определение и свойства функции ![]()
3.2 Уравнения и неравенства, содержащие модули
Заключение
Литература
Приложение
Введение
Актуальность исследования.
В настоящее время в научно-методической литературе и периодических изданиях активно обсуждается «качество» математических знаний, приобретаемых учащимися общеобразовательных школ. Методисты, учителя математики, студенты педагогических институтов задают себе один и тот же вопрос: «Почему многие ученики не чувствуют взаимосвязи между изучаемыми темами, не умеют применять пройденный теоретический материал к решению задач, нередко через несколько уроков теряя приобретённые умения, так и не ставшие навыками?»
Данная работа не даёт исчерпывающего ответа на этот сакраментальный вопрос. (Если такой ответ вообще существует.) Однако основные принципы этой работы и её задачи являются своеобразной альтернативой наиболее часто применяемой системе изложения математических сведений.
Изучение линейных и квадратичных зависимостей, функции |х| — всё чаще предлагаются абитуриентам на вступительных экзаменах самых различных ВУЗов. Но эти темы по-прежнему вызывают затруднения у многих старшеклассников. Предпринятая в данной работе попытка систематизировать и обобщить теоретический материал по этой теме (как входящий в рамки школьного курса, так и выходящий за его пределы) может стать примером системного подхода к курсу алгебры и упомянутой выше альтернативой простому нарешиванию задач.
Кроме качества приобретённых знаний, выпускнику современной школы жизненно необходимо умение мыслить самостоятельно. Современному молодому человеку необходимо умение жить в мире, где думать - не развлечение, а обязанность. Поэтому существенная часть данной работы посвящена квадратичной зависимости и уравнениям и неравенствам, связанными с ней. Данная тема позволяет развить познавательную активность, творческую самостоятельность учащихся, интуитивное мышление, умение рассуждать и спорить. Нельзя сказать, что методисты и педагоги-учёные обходили своим вниманием этот вопрос. Однако в данной теме всегда находится что-то новое и интересное, позволяющее находить нестандартное решение.
Опираясь на всё выше сказанное, сформулируем задачи исследования.
Задачи.
1. Обобщить и систематизировать сведения о линейных и квадратичных зависимостях и связанных с ними уравнениями и неравенствами.
2. Показать выделение полного квадрата, как метод решения некоторых нестандартных задач.
3. Показать эффективность применения данного метода к решению задач.
4. Проанализировать методико-педагогическую литературу по теме
« Линейные и квадратичные зависимости»
5. Выполнить подборку задач, для которых решение сводилось бы к линейным или квадратичным зависимостям.
Теоретическая и практическая значимость.
Теоретическая значимость исследования состоит в систематизации и обобщении данной темы. Теоретически значимым также являются проведённый анализ методико-педагогической литературы по теме «Линейные и квадратичные зависимости».
Практическая значимость работы заключается в возможности использования в решении задач доказанных формул и утверждений. При этом может быть использована выполненная подборка задач, для которых метод выделения полного квадрата является рациональным. Материалы этой работы могут быть полезны учителям школ и студентам педагогических институтов.
Структура работы.
Работа состоит из введения, трёх глав, заключения и приложения, включает страниц машинописного текста и имеет список литературы из наименований.
Глава 1. Линейная зависимость и связанные с ней уравнения и неравенства
1.1 Линейная функция
Определение . Функция, задаваемая формулой у = k ·х + b , называется линейной.
В школьной программе доказывается, что графиком линейной функции на плоскости является прямая, и обратно, что любая прямая на плоскости есть график некоторого линейного уравнения a· x + b · y + c = 0.
Уравнение у = k ·х + b называется уравнением прямой с угловым коэффициентом k
![]() |
![]() |
|
|
|
![]() |
|
|
![]()
|
|
|
|
|
![]()
![]()
Приведенные выше два рисунка иллюстрируют связь параметров k и b с особенностями расположения прямой в декартовой системе координат. В частности, число k =tgα называется угловым коэффициентом прямой.
В данном случае
. Если k
= 0, то
, линейная функция постоянна и задает прямую, параллельную оси ОХ и | проходящую через точку (0,b
)на оси OY.
Перечислим основные свойства линейной функции.
1. Ее областью определения является множество R.
2. Если k
0 , то множеством значений линейной функции также является множество R, если k
= 0, то множество значений — одноточечное множество b
.
3. Если k
> 0, то
-
монотонно возрастающая функция на R, если k
<
0, то
-
монотонно убывает на R.
4. Если b
=
0, то
-
нечетная функция, у =
b
-
четная функция; если же
, то
не является четной или нечетной функцией.
Рассмотренные выше случаи не позволяют задать прямую, параллельную оси OY. Поэтому условимся, что уравнение х=х0
задает
множество всех точек вида (х0
, у),
где у
R, то есть задает прямую
параллельную оси OY и проходящую че рез точку (хо
,
0) на оси ОХ.
Чтобы построить прямую, задаваемую уравнением
,
достаточно найти две точки (х0
, у0
) и (х1
, у1
),
удовлетворяющие этому уравнению: у0
=
k
х0
+
b
; у1
=
k
х1
+
b
и провести через них искомую прямую.
1.2. Линейные уравнения и неравенства
Рассмотрим простейшее уравнение с двумя параметрами а и b —
линейное а
х =
b
и сразу же выпишем ответ:
а
х =
b
Ответ:
1) если а
0, то уравнение имеет единственное решение х0
=
.
2) если
, то решения заполняют всю числовую прямую ![]()
3) если
, то нет решений.
1.3 Решение линейных неравенств
Сразу же выпишем решения в виде готового правила:
1) а
х >
b
,
если a
> 0, то x
> ![]()
если a
<
0, то x
<
![]()
если a = 0 и b < 0, то x – любое число,
если a
=
0 и b
0, то решений нет.
2) а
х <
b
,
если a
> 0, то x
<
![]()
если a
<
0, то x
>
![]()
если a
=
0 и b
0, то решений нет,
если a = 0 и b > 0, то x – любое число.
Всегда полезно помнить следующее основное правило:
При умножении или делении обеих частей неравенства на отрицательное число знак неравенства меняется на противоположный .
При умножении или делении обеих частей неравенства на положительное число знак неравенства не изменяется .
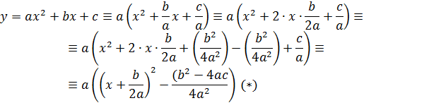
1.4 Квадратный трехчлен
Определение.
Квадратным трехчленом называется функция ![]()
Выделение полного квадрата путем тождественных преобразований.

Иначе можно записать в виде:
![]()
Пример 1.

Пример 2.

Определение.
Число
называется дискриминантом квадратного трехчлена ![]()
1.5 Корни квадратного трехчлена
Нужно найти корни уравнения
![]()
Выделив полный квадрат, получим формулу (*), откуда

![]()
Мы должны рассмотреть три случая:
1)
, тогда


В этом случае уравнение
имеет два различных корня:
![]()
2)
, тогда![]()
в силу (*), то есть
- два совпадающих корня.
3)
,
Тогда ![]()
не имеет вещественных корней, так как
![]()
Итак, доказана теорема:
Теорема 1
. Пусть имеется уравнение ![]()
если
1)
, то уравнение не имеет вещественных решений.
2)
, то уравнение имеет два равных корня ![]()
3)
, то уравнение имеет два различных корня
![]()
Замечание
: если ![]()
![]()
В этом случае корни удобно находить по формуле
![]()
Теорема 2.
Если а > 0, то функция
монотонно убывает для
и монотонно возрастает для ![]()
Доказательство теоремы :
Пусть
(1),
где
произвольные фиксированные числа, тогда из (1) получаем
![]()
![]()

![]()
а это по (**) есть
, что требовалось доказать.
1) В этом рассуждении использовано монотонное возрастание функции
на множестве ![]()
2) Докажите, что функция
монотонно возрастает на множестве ![]()
Аналогично доказывается монотонное возрастание функции
на ![]()
Теорема 3. Если а < 0, то функция
монотонно возрастает для
и монотонно убывает для ![]()
Доказательство теоремы аналогично доказательству теоремы 2.
Следствие.
Если а > 0, то
для любого х![]()
Если а < 0, то
для любого х![]()
При а > 0 ![]()
При а < 0 ![]()
minи maxдостигаются при x
=
.
Точка
называется вершиной параболы.
1.6 Зависимость расположения графика функций квадратного трехчлена от a , D
Определение.
График квадратного трехчлена
называется параболой.
Нарисуем эскизы парабол для шести типичных и существенно различных комбинаций значений параметров a и D.
|

![]() |
|
|
2) ![]()

3) ![]()

4) ) ![]()

5) ![]()

6) ![]()

1.7 Решение квадратных неравенств
Опираясь на иллюстрации, сформулируем следующее правило решения квадратных неравенств:
| Неравенство | Ответ |
|
|
| Нет решений (или |
|
| x
= |
|
| x
= |
|
|
|
|
Нет решений (или |
| Нет решений (или |
|
| x
= |
|
| Нет решений (или |
1.8 Разложение квадратного трехчлена на линейные множители
Теорема 4.
1) Если D > 0, то ![]()
![]()
2) Если D = 0, то
.
3) Если D < 0, то
нельзя разложить на линейные множители, используя в качестве коэффициентов этих линейных множителей вещественные числа.
Пример 1
. ![]()
Пример 2
. ![]()
Пример 3
.
.
Укажем и другие связи между корнями и коэффициентами квадратного трехчлена.
Теорема 5. (Виета)
Если
,
- вещественные корни уравнения
, то

Теорема 6. (Обратная теорема Виета)
Если
,
удовлетворяют условиям системы:

то
,
корни уравнения
.
Часто встречаются задачи, в которых требуется выяснить взаимное расположение какого-либо числа и корней квадратного трехчлена на числовой оси.
Следующая теорема позволяет существенно упростить решение подобного рода задач. Отметим, что для уменьшения числа разбираемых различных случаев мы переходим к рассмотрению приведенного квадратного уравнения, которое получается после деления всех коэффициентов уравнения на старший коэффициент a .
Теорема 7.
Пусть
,
- вещественные корни уравнения
число.
| Для того, чтобы | Необходимо и достаточно |
I. |
|
II. |
|
| III. |
Место для формулы.
Докажем случай 1.
Необходимость.
Пусть
,
- вещественные корни уравнения ![]()
Если
, то необходимо выполняются условия
![]()
Доказательство .
Так как по условию
![]()
то сложив (1) и (2) получим
По теореме Виета
p, то есть
, что и требовалось доказать.
Перемножив (1) и (2), получим
>0
![]()
Воспользовавшись теоремой Виета:
![]()
получим
, что и требовалось доказать.
Достаточность.
Пусть
,
- вещественные корни уравнения ![]()
Для того, чтобы оба корня были меньше числа
, достаточно
, чтобы выполнялась следующая система неравенств:
![]()
Доказательство.
По условию, справедлива система:
(1)
Вновь воспользуемся теоремой Виета
![]()
тогда система (1) примет вид:
![]()
Переписав систему (3) в другом виде, получим систему (4):

Неравенство (б) означает, что числа
) имеют одинаковые знаки, а неравенство (а), что оба эти числа положительны, то есть
иначе говоря
, что и требовалось доказать.
1.9 Задачи
Обозначим через
,
корни квадратного трехчлена (a-1)
Найти все а
, при которых оба корня больше 1.
Решение.
а) Если а=
1,
то уравнение -3x + 7 = 0 имеет только один корень, поэтому ![]()
б) При
воспользуемся пунктом II теоремы 7, который позволяет сразу записать:



![]() |
||||||
|
|
|
||||
Ответ.
.
2. Найти все значения
, при которых корни уравнения
больше
.
Решение.
Воспользовавшись пунктом II теоремы 7 получаем:

Ответ . a < -2.
3. Найти все значения
, при которых оба корня квадратного уравнения
будут меньше 1.
Решение .
Уравнение будет квадратным только если
. В этом случае оно равносильно уравнению:
![]()
Согласно пункту 1 теоремы 7 получаем, что



![]() |
|||||||
|
|
||||||
|
|||||||
|
|||||||
|
|||||||
|
|||||||
Ответ
.
.
Иногда применение теоремы 7 вызывает трудности, так как возникают неравенства третьей или более высокой степени. Тогда, скорее всего, можно выражения для корней исходного квадратного трехчлена получить в виде рациональных функций параметра.
Иными словами:
Если применение теоремы 7, вызывает алгебраические трудности, стоит проверить, не является ли дискриминант рассматриваемого квадратного уравнения полным квадратом. Если дискриминант является полным квадратом, то нужно попытаться выписать выражения для корней и продолжить решение задачи.
4. При каких значениях а все корни уравнения
3a
удовлетворяют условию ![]()
1) Заметим, что если
, то уравнение имеет единственный корень
, и число 0 удовлетворяет условию задачи.
2) Если
, то ![]()
Заменим
, тогда
![]()
- данное выражение есть полный квадрат! Теперь легко вычислить:

Условие задачи будет выполнено, если справедлива система:

![]() |
||||||
|
||||||
|
|
|||||
![]() |
||||||
|
|


Сравним числа из промежуточных ответов:
пусть
верно;
пусть
верно.
![]() |
Пересечение ответов является множество:
![]()
Ответ
. ![]()
1.10 Выделение полного квадрата, как метод решения некоторых нестандартных задач
Пример 1 . Найти наибольшее из значений z , для которых существуют числа x , y , удовлетворяющие уравнению
![]()
Решение.
Так как нужно найти наибольшее значение z , то в левой части равенства будем последовательно выделять полные квадраты, сначала относительно x , затем относительно y . (Конечно, можно сначала выделить полный квадрат относительно y , затем относительно x ).
Итак,
![]()

![]()
Обозначим
и соберем подобные члены
![]()
![]()
![]()
![]()
Обозначим ![]()
![]()
![]()
![]()
Так как левая часть последнего равенства неотрицательна, то правая часть должна быть неотрицательной:
![]()
Итак, необходимо
Покажем, что можно найти такие x
,
y
,
при которых
Если
, то
![]()

Ответ
. ![]()
Пример 2.
Числа x
,
y
,
z
таковы, что
. Какое наибольшее значение может принимать выражение ![]()
Пример 2 мы сведем к примеру 1.
Пусть значение
![]()
подставляя это выражение для z в уравнение, получим:
.
![]()
(1)
Теперь задача формулируется так: найти наибольшее значение а , для которого существуют числа x , y , удовлетворяющие уравнению (1).
Опять выделяя полные квадраты, сначала относительно х , затем относительно у , получаем:
![]()

![]()
Обозначим
.
![]()
![]()
![]()
![]()
Положим![]()
![]()
![]()
Так как левая часть последнего равенства больше или равна нулю, то и правая часть должна быть неотрицательна, то есть

Решая систему

Ответ
. Наибольшее значение а =
.
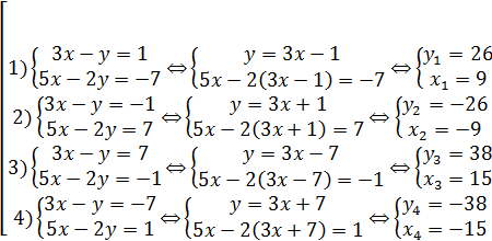
Пример 3
. Найти все значения а, при каждом из которых существует единственная пара целых чисел x
,
y
, удовлетворяющих уравнению
и двум неравенствам ![]()
Решение.
1) Будем рассматривать левую часть равенства, как, например, квадратный трехчлен относительно
и попытаемся разложить его на множители.
Для этого воспользуемся теоремой 4. Согласно этой теореме, нужно найти корни уравнения:![]()
Его дискриминант
и тогда

Теперь ![]()
Тогда равенство
можно переписать в виде:
![]()
Так как мы ищем только пары целых чисел ( x , y ) , то числа
тоже целые.
Целыми делителями числа 7 являются числа
и только они. Поэтому данное уравнение равносильно совокупности четырех систем:

2) Установлено, что уравнение
имеет ровно четыре пары целых решений. Неравенству x
<
y
, удовлетворяют только две пары: (9; 26) и (15;38).
3) Выясним при каких а
эти две пары из пункта 2) удовлетворяют условию:
.
(9; 26): ![]()
(15; 38): ![]()
|
![]() |
||||||||
|
|
|
||||||
Из чертежа видно, что для
задача не имеет целых решений; для
- лишь одна целая пара (9; 26) удовлетворяет всем условиям; при
имеются две пары целых чисел, удовлетворяющих задаче (9; 26) и (15; 38).
Ответ
.
.
1.11 Равносильность и следствия в задачах с квадратным трехчленом
В некоторых задачах вступительного экзамена требуется не просто исследовать расположение корней квадратного трехчлена, а выяснить, при каких значениях параметра выполняется то или иное логическое высказывание, связанное с решением уравнения или неравенства.
Рассмотрим сначала в общем виде одну из типичных задач:
1. Найти все значения параметра а , при которых неравенство:
![]()
выполняется для всех
. (2)
В ином виде данная задача может сформулирована так:
Найти все значения параметра а , при которых из условия (2) следует неравенство (1).
Выскажем то же самое на языке теории множеств:
Обозначим символом А множество решений неравенства (1), а символом В множество, заданное условием (2) (условие (2) может быть наложено в виде требования решить некоторое неравенство или уравнение).
Тогда задачу можно сформулировать следующим образом:
Найти все значения параметра а
, при которых выполнено включение
.
После такого осмысления задачи становится ясен алгоритм ее решения. Рассмотрим следующие три случая:
1)
>0, тогда после приведения левой части неравенства (1) получаем:
![]()
Геометрически требуемое включение
изображается следующим образом:
![]() |
Алгебраически точки c и d должны находится между корнями рассматриваемой параболы, что позволяет применить теорему 7.

2)
0, тогда неравенство (1) становится линейным:
0 (4)
Геометрическая интерпретация в этом случае выглядит следующим образом (два случая):
![]() |
![]() |
Рис. 1. Рис. 2.
Алгебраически этот случай сводится к решению совокупности двух систем:

3)
0, тогда неравенство (1) после приведения принимает вид:
![]()
Вновь дадим сначала геометрическую интерпретацию включения
(три случая):
Рис. 3. Рис. 4.


|
|
|
|
|


![]() |
||
![]() |
||
![]() |
||
Рис. 5.
Алгебраически: рис. 3 – квадратный трехчлен имеет корни, расположенные правее числа d (возможно х1 = d ); рис. 4 - квадратный трехчлен имеет корни, расположенные левее числа с (возможно х2 = с ); рис. 5 - квадратный трехчлен не имеет корней.
Пользуясь теоремой 7 пункты I, II, выпишем вышесказанное в виде совокупности алгебраических систем:

Полный ответ задачи получается объединением ответов из случаев 1); 2); 3).
Теперь ясно, что:
Решая задачу о взаимном расположении решений квадратных неравенств с логическим высказыванием, удобно поступить следующим образом:
1) переформулировать логическое высказывание на языке теории множеств, в виде соотношений включения для множества решений неравенств.
2) получить геометрические иллюстрации, которые выясняют возможное взаимное расположение границ множеств решений – корней квадратных трехчленов.
3) выписать, используя результаты теоремы 7, совокупность алгебраических систем, которые соответствуют различным случаям геометрического расположения корней и различным случаям знака коэффициента при х2 в неравенствах.
4) собрать в окончательном ответе задачи объединение промежуточных ответов для всех рассмотренных случаев.
Применим сформулированный алгоритм, для решения следующей задачи:
II. Найти все значения параметра а , при которых неравенство:
0 (6)
выполняется для всех ![]()
Решение.
1) Если А – множество решений неравенства (6), В – множество (7), то задача соответствует включению
.
2) Разберем все возможные случаи знака коэффициента
, и для каждого из них приведем геометрические иллюстрации:
2а)
, тогда (6) ![]()
![]() |
||
![]() |
||
|
||
Рис. 1. Рис. 2.
В этом случае множество А – либо интервал (х1
,х2
) (рис. 1), либо А =
(рис. 2). Поэтому включение
невозможно.
2б)
, тогда неравенство (6) примет вид: ![]()
Изобразим графически различные возможные варианты расположения прямой
для этого случая (4 рисунка).
![]() |
![]() |
Рис. 3. Рис. 4.
![]() |
![]() |
Рис. 5. Рис. 6.
На рис. 3 и рис. 5 множество А = (-
и А =
- соответственно.
На рис. 4 и рис. 6 множество А = (
и А =
- соответственно.
Ясно, что включение
возможно только в случаях рис. 3 и рис. 5.
Алгебраически это соответствует:

2в)
, тогда неравенство (6) запишется в виде:
![]()
Возможны два различных случая расположения параболы
![]()
Рис. 7. Рис. 8.
Ясно, что в случае рис. 7 А = (-
(
, в случае рис. 8 А =
.
Включение
в первом случае соответствует системе неравенств
, во втором случае
автоматически.
Из пункта II теоремы 7 вытекают условия:

Окончательный ответ задачи получается объединением ответов из пунктов 2а), 2б) и 2в).
Задание: выписать самостоятельно схемы решений следующих задач:
III. Найти все значения параметра а , при которых неравенство
0
выполняется для всех ![]()
IV. Найти все значения параметра а
, при которых из неравенства
0.
V. Найти все значения параметра а
, при которых выполнение неравенства
0.
VI. Найти все значения параметра а
, при которых из совокупности неравенств
0.
Перейдем к рассмотрению примеров из материалов вступительных экзаменов.
1. Найти все значения параметра а , при которых из неравенства
0
следует неравенство 0 < x
< 1.![]()
Решение.
1) Обозначим символами А множество решений неравенства
0 (1) и В: 0 < x
< 1. Требуется выяснить, при каких а
справедливо включение ![]()
2) Рассмотрим все случаи знака коэффициента а .
2а) a
, тогда (1) ![]()
Геометрически:
Рис. 1.Рис. 2.
![]()
В этом случае множество А есть либо интервал (х1
,х2
) (рис. 1), либо А =
(рис. 2). Поэтому включение
выполняется в первом случае, если корни х1
, х2
квадратного трехчлена расположены на отрезке
, а во втором случае
верно всегда (ведь
является подмножеством любого множества по определению).
Алгебраически рассмотренный случай записывается в виде совокупности двух систем:

Используя пункты I, II теоремы 7, получаем:


Ответ
2а)
.
2б) а = 0 , исходное неравенство (1) принимает вид:
![]()
В этом случае множество А:
не входит в множество В:
0 < x < 1.
Поэтому
Ответ
2б) ![]()
2в) a <
, тогда неравенство (1) ![]()
Геометрически:
Рис. 3. Рис. 4.
![]()
В случае рис. 3 множество А
В случае рис. 4 - А = R. В любом из этих случаев включение
очевидно, невозможно. Поэтому
Ответ
2в. ![]()
Объединяя ответы из всех трех случаев, получаем:
Ответ
.
.
II. Найти все значения m , для которых неравенство
0
будет выполняться при всех x > 0.
Решение.
Обозначим через А множество решений неравенства![]()
0 (1), и через В множество x
> 0.
Условию задачи соответствует включение ![]()
Рассмотрим все случаи знака коэффициента ![]()
1)
, тогда (1) ![]()
Геометрически:
|
|
|
Рис. 1. Рис. 2.
![]()
Включение
в случае рис. 1 будет выполняться, если ![]()
В случае рис.2 ![]()
Вновь, используя пункт I теоремы 7, получаем:

Ответ
1) m
> 1.![]()
2)
, неравенство (1) принимает вид:
-4![]()
Итак, А:
В: х
> 0. Очевидно, что включение
неверно.
Ответ
2) ![]()
3)
, тогда (1) ![]()
Геометрически:
Рис. 3. Рис. 4.
![]()
В случае рис. 3
в случае рис. 4 А =
; в любом случае
невозможно.
Ответ
3) ![]()
Ответ.
m
> 1.![]()
III. При каких значениях параметра а
все числа из отрезка
удовлетворяют неравенству ![]()
Решение.
Обозначим
=y![]()
Неравенство (1) в новых обозначениях примет вид:

Если
, то ![]()
Итак, первоначальную задачу можно переформулировать следующим образом.
При каких значениях параметра а
из неравенства
сдедует неравенство ![]()
Как и ранее, обозначим через А множество решений неравенства
и В:
Требуется определить, при каких а
справедливо ![]()
Рассмотрим все случаи знака коэффициента (а - 2).
1)
, тогда неравенство (2) равносильно
![]()
Воспользовавшись геометрическим подходом, получаем:
Рис. 1. Рис. 2.
![]()
В случае рис. 1 множество А:
. В случае рис. 2 множество А =
.
Включение
возможно, только если числа 2 и 4 лежат между корнями
квадратного трехчлена.
Из пункта III теоремы 7 следует система:


Ответ
1)
.
2) Рассмотрим случай
, тогда неравенство (2) равносильно
![]()
В этом случае множество А: ![]()
|
и включение
неверно.
3) Рассмотрим
, тогда неравенство (2) равносильно
![]()
Изобразим графически взаимное расположение множеств А и В, при которых верно включение
.
|
|
|
|
|
|
Рис. 5.
В случае рис. 3 выполняется система неравенств:
![]()
В случае рис. 4 выполняется система неравенств:
![]()
В случае рис. 5 выполняется условие D < 0 (8). Из пунктов I, II теоремы 7 следует, что условия (6), (7), (8) равносильны совокупности следующих систем:


Ответ
.
.
IV. Найти все значения параметра а , при которых уравнение
=0
имеет по крайней мере два корня, один из которых неотрицателен, а другой не превосходит -1.
Решение .
Найдем область возможных значений параметра, при которых имеет смысл левая часть уравнения.

Рассмотрим следующие два случая:
1) 
В этом случае любое число
является решением уравнения, значит условие задачи выполнено.
Ответ
1) ![]()
2) Рассмотрим случай
.
В этом случае
, и на этот множитель можно сократить, не теряя корней. Итак, при
, наше уравнение равносильно следующей системе:


Заметим, что для
lg
a
> lg
1
= 0.
Необходимо выяснить, при каких а из Е справедливы неравенства:
, где
- вещественные корни квадратного трехчлена (*).
Иначе говоря, числа -1 и 0 должны находиться между корнями этого квадратного трехчлена.
Согласно пункту III теоремы 7, должна быть справедлива система:


Ответ
2).
.
Ответ
.
.
1.12 Уравнения и неравенства, содержащие модули
I . Определение и свойства функции |х |.
Определение.
![]()
Пример . |1,5| = 1,5; |-5| = -(-5) = 5.
Из определения модуля следует, что
при любых х
.
Свойства модуля : для любых вещественных х и у справедливы следующие свойства:
1.
|x|![]()
2. ![]()
3. |-x|=|x|
4. |x+y|![]()
5. ||x|-|y||![]()
из 1 следует, что ![]()
Геометрически величина
задает расстояние между точками х
и у
на вещественной оси.
График функции у
= ![]()
Пусть имеется произвольная функция у = f (x ), из определения модуля следует, что:

Отметим правило построения графика функции у
=
.
1) Сначала строим график функции у = f (x ).
2) Там, где график функции у = f (x ) лежит выше оси ОХ или на ней, оставляем без изменения; точки графика, которые лежат ниже оси ОХ, заменяем симметричными им относительно оси ОХ точками.
Отметим, что в силу четности функции
всякая функция f
(
также будет четной.
![]()
Пример. ![]()
1. Строим
.
2. Строим
по указанному правилу.
II . Схема решений уравнений и неравенств, содержащих несколько модулей
Например, пусть требуется решить неравенство:
![]()
1) Находим вещественные корни
выражений, стоящих под модулем, то есть решаем уравнения ![]()
Пусть
все вещественные корни этих уравнений. Нанесем эти корни на числовую ось. Они разобьют ось на (k
+ 1) промежутков.
Будем предполагать, что функции
и
непрерывны на всей числовой оси, тогда значения этих функций будут сохранять свои знаки на каждом из указанных промежутков.
Чтобы определить знак значений
и
на каком-либо промежутке
, достаточно вычислить
и
в любой точке
; знаки этих чисел совпадают со знаками значений функций
и
соответственно на всем промежутке
(так же можно поступить и на лучах ![]()
Hb
![]()
Рис. 1.
2) Определяем знаки выражений, стоящих под модулями, на каждом таком промежутке. Пусть это будет как на рис. 1. Тогда первоначальное неравенство (или уравнение) станет равносильным совокупности следующих (k + 1) систем:

Ответ: ![]()
Под обозначением
понимается множество решений системы с номером i
.
Итак, сформулируем теперь в виде краткого алгоритма общую схему решения уравнений и неравенств со знаком модуля, которая была проиллюстрирована выше.
Чтобы решить уравнение или неравенство, содержащее знаки модуля, достаточно:
1) разбить всю область определения уравнения или неравенства на участки, на каждом из которых все выражения, которые стоят под модулем, сохраняют знаки.
2) пользуясь определением функции у
=
, раскрыть на каждом из таких участков все знаки модулей.
3) решить получившиеся уравнения или неравенства.
4) отобрать из полученных решений все те решения, которые входят в рассматриваемый участок.
5) в ответе указать объединение всех решений, полученных на каждом из участков.
В некоторых задачах под знаком модуля могут находиться выражения, содержащие в свою очередь знаки модулей. В этом случае раскрытие модулей удобно производить последовательно, начиная с самого «внутреннего» знака модуля.
Пример 1. Пусть требуется решить уравнение
![]()
Применим предложенный алгоритм.
![]()
![]()
Рис. 2.
Приведем, сначала, подобную схему решения.
Согласно рис. 2, первоначальное уравнение равносильно совокупности следующих пяти систем:

Ответ:
![]()
Замечание: Заметим, что данное решение можно было записать короче, объединив рассмотрение случаев 1) и 5) в одну систему, а случаев 2) и 4) в другую систему.

Ответ:
.
Такое сокращение рассуждений, во избежание возможных ошибок, мы рекомендуем делать только после приобретения некоторого опыта в решении задач с модулями.
Наиболее полную и наглядную картину дает графическое исследование данного уравнения.
1) Построим график функции
![]()
Для построения будем использовать схему знаков, изображенных на рис. 2. Тогда

Соответствующий график выглядит так:
Рис. 3.
Построив график правой части уравнения у
= 3, убеждаемся, что графики левой и правой части (
и у
= 3) пересекаются, а (фактически – совпадают) на множестве
и
.
Более того, графический подход позволяет сразу же решить обобщенную задачу:
При каждом значении параметра а решить уравнение:
.
Для решения задачи повторим график из рис. 3 и изобразим на том чертеже различные возможные положения прямой у = а .
Рис. 4.
Выпишем ответ задачи (он непосредственно следует из рис. 4)
Ответ. 1) а < 3 – решений нет;
2) а
= 3 – бесконечное множество решений
и
.
3) 3 < a < 5 – четыре решения:

4) a = 5 – три решения:

5) a
> 5 – два решения: ![]()
Приведенная форма решений позволяет сразу же дать ответ для иных возможных постановок задачи.
1) При каких а уравнение
(1)
не имеет решений?
Ответ: а < 3.
2) При каких а уравнение (1) имеет бесконечно много решений?
Ответ: а = 3.
3) При каких а уравнение (1) имеет не менее трех решений?
Ответ: 3
а
5.
Пример 2
. Определить, при каких значениях а уравнение
имеет ровно три корня. Найти эти корни.
Сначала решим данное уравнение, последовательно раскрывая модули в его правой части. Как было указано выше, начнем раскрытие с внутреннего модуля. Для него возможны следующие два случая:
|
Получаем совокупность двух систем:

Решим отдельно систему (1) и систему (2).
Диаграмма знаков для системы (1):
|
Система (1) равносильна, в свою очередь, совокупности двух систем:

х 1 будет решением, если справедливо неравенство
![]()
х 2 будет решением, если справедлива система:


Решаем систему (2) тем же способом:
|
Система (2) равносильна совокупности двух систем:

х 3 будет решением, если справедлива система

![]()
х 4 будет решением, если справедливо неравенство:
![]()

Итоговый ответ удобно получить графически. Для этого изобразим на оси параметра промежутки значений а, для которых являются решениями значения ![]()
Рис. 4.
Из рис. 4 видно, что, например, корень х
4
является решением уравнения для
(нестрогое неравенство соответствует отсутствию стрелки в точках а
= 0 и а
= 2), а корень х
1
является решением при
(точки а
= 0 и а
= 2 не входят в интервал
поэтому изображение корня х
1
снабжено стрелками в точках -2 и 0).
Рис. 4 позволяет сразу выписать при каждом значении а все решения уравнения.





При а
= 0: ![]()
При 0 < а < 2 : решений нет
При а
= 2: ![]()

Дадим теперь ответ на поставленный в условии вопрос:
Ответ . Уравнение имеет ровно три корня:


Вопрос
. Объясните себе, почему невозможно совпадение корней с различными индексами; например, почему невозможно равенство:
при
и т.п.? Ведь, если бы это было возможным, то ответ задачи мог бы быть более широким.
Конечно, следует отдавать себе отчет, что при ответе непосредственно на вопрос задачи можно было бы упростить решение, сразу же опираясь на рис. 4, но мы сознательно включили данную задачу в более широкую.
Решить уравнение
при всех значениях параметра а
.
Такой подход позволяет ответить и на другие, связанные с задачей, вопросы:
1. Какое максимальное число решений может иметь данное уравнение, и при каких а это число реализуется?
2. При каких а уравнение не имеет решений?
3. При каких а уравнение имеет не менее трех решений и т.п.?
Пример 3
. При всех а
решить уравнение
и определить, при каких а
оно имеет ровно два решения.
Решение. Вновь используем предложенный алгоритм.
Определим знаки выражений под модулями, построив схему знаков:
![]()
![]()
Рис. 5.
Теперь ясно, что данное уравнение равносильно совокупности трех систем.

Исследуем разрешимость линейных уравнений в системах 1), 2), 3), пользуясь алгоритмом из главы 1.
![]()
Если а
= -1, то все числа
являются решениями, при
х
1
= -3, и корень х
1
не удовлетворяет условию ![]()
Ответ
1
: при а
= -1
; при остальных а
система 1) решений не имеет.
![]()
Если а
= 1, то -3
; если
х
1
= -3![]()
Ответ
2
: при а
= 1 -3
при
х
1
= -3![]()
![]()
Если а
= -1, то решений нет; если
х
2
=
, что является решением системы 3), если справедливо неравенство
![]()
Ответ
3
: при -1 < а
1 х
2
=
; при остальных а
система 3) решений не имеет.
Изобразим результат исследования графически на оси параметра а , как и в предыдущем примере.
Ответ .

Уравнение имеет ровно два решения при
![]()
Пример 4
. Найти наименьшее значение функции ![]()
Применяя изложенный выше алгоритм, получим:
![]()
Вновь изобразим диаграмму знаков.
![]()
Рис. 6.
Теперь алгебраическая запись данной функции на различных участках числовой оси выглядит следующим образом:

Наконец, построим график, который является объединением прямолинейных отрезков и лучей (частей графиков соответствующих (1) линейных функций).
Очевидно, что наименьшее значение функции равно
, при х
=
.
Пример 5 . Найти площадь фигуры, заданной на координатной плоскости соотношением:
![]()
Решение.
Разобьем координатную плоскость ХОY на три области, соответствующие различным комбинациям знаков подмодульных выражений под знаком модуля (что является аналогом схемы знаков для выражений с одной переменой).
Рис. 6.
Парабола
разбивает координатную плоскость на две области, в одной из которых (область I
на рис. 6 заштрихована горизонтальными прямыми) выражение
, а в оставшейся части плоскости
.
Аналогично, парабола
разбивает координатную плоскость на две другие части, в одной из которых (область III
на рис. 6 не заштрихована) выражение
, а в оставшейся части плоскости
.
Окончательно вся координатная плоскость разбита на три области I, II, III. В области II справедливо двойное неравенство
.
Получив схему знаков, дальнейшее решение задачи мы проведем, руководствуясь общим алгоритмом. Задающее фигуру неравенство равносильно совокупности трех систем:

Множество точек, задаваемое системой I , изображена в виде заштрихованной области на рис. 7.
Рис. 7.
Множество точек, задаваемое системой II , изображена в виде заштрихованной области на рис. 8.
|
Рис. 8.
Решение системы III заштриховано на рис. 9.
|
Объединяя заштрихованные области на рис. 7, рис. 8 и рис. 9, мы получаем геометрическое изображение фигуры, заданной условием задачи (рис. 10).
|
Рис. 10.
Теперь ясно, что заданная фигура есть трапеция ABCD с основаниями ACи BD и высотой PQ.
PQ = 2-(-1) = 3; BD = 2- (-2) = 4.
![]()
Ответ
. ![]()
Обратим внимание читателя на то, что некоторые уравнения и неравенства со знаком модуля легко решаются с использованием геометрического смысла выражения |x – a |.
Например, уравнение |x – 3 | = 2 равносильно требованию найти все числа х на вещественной оси, отстоящие от числа 3 на расстоянии 2.
Теперь очевидно х 1 = 1; x = 5.
В более общем, уравнение

если A = 0, то ![]()
Этот же подход удобен при решении неравенств, содержащих один модуль:

если A < 0, то решений нет; если А ![]()
В частности, в курсах высшей математики обычно используют следующее неравенство:
![]()
- интервал с центром в точке а
, длины
; его обычно называют ![]()
Аналогично:

если A < 0, то неравенство верно для всех х
из области определения функции
то неравенство равносильно требованию ![]()
Пример. ![]()
В курсах высшей математики это множество называют ![]()





















