| Скачать .docx | Скачать .pdf |
Курсовая работа: Теорема Дирихле
Содержание
1.1 Определение характера. Основные свойства характеров. 3
1.2 Суммы характеров. Соотношение ортогональности. 6
3. Доказательство теоремы Дирихле. 29
Введение
Простые числа расположены в натуральном ряде весьма неравномерно.
Целью данной работы является доказательство следующей теоремы о простых числах в арифметической прогрессии.
Теорема Дирихле. Если разность и первый член арифметической прогрессии есть взаимно простые натуральные числа, то она содержит бесконечное множество простых чисел.
Пусть
mn + l , n = 1,2, …,
прогрессия, удовлетворяющая условию теоремы.
Условие (m , l )=1, наложенные на числа m и e в формулировке теоремы, естественно, поскольку в случае, когда d =(m , l )>1, все члены прогрессии делятся на d и поэтому не являются простыми числами.
Сформулированная теория была впервые высказана Л. Эйлером в 1783 г. В 1798 г. А. Лежандр опубликовал доказательство для четных m , использовавшее, как выяснилось позднее, одну ошибочную лемму.
Полностью доказал теорему в 1837–1839 гг. Петер Густав Лежен-Дирихле (1805–1859), немецкий математик, автор трудов по аналитической теории чисел, теории функций, математической физике.
В 1837 г. вышли две работы Дирихле, посвященные теореме о простых числах в арифметической прогрессии. Они содержали формулировку теоремы в общем виде, однако доказательство приводилось только для случая, когда разность прогрессии есть простое число. В конце второй работы содержится построение характеров для произвольного модуля и некоторые утверждения о том, как можно доказать утверждение L (1,χ)¹0 для неглавных характеров x в одном случае. В 1839 г. Дилихле опубликовал полное доказательство теоремы о простых числах в арифметической прогрессии. С тех пор она носит его имя.
1. Характеры
1.1 Определение характера. Основные свойства характеров
![]()
Характером
(от греческого хараæτήp-признак, особенность) χ конечной абелевой группы G называется не равная тождественно нулю комплекснозначная функция, определенная на этой группе и обладающая тем свойством, что если, АÎG
и BÎG
χ (АВ)= χ (А) χ(В).
Обозначим через Е единичные элементы в группе G и через А-1 обратный элемент для АÎG
Характеры группы G обладают следующими свойствами :
1 . Если Е-единица группы, то для каждого характера χ
χ (Е)=1 (1.1)
Доказательство . Пусть для каждого элемента АÎG справедливо неравенство
c1 (А)=c(АЕ)= c(А) χ (Е)
Из этого равенства получим, что c (Е)¹0. Теперь из равенства
c (Е)= c (ЕЕ)= c (Е) c (Е)=1
следует равенство (1.1)
2 . c (А) ¹0 для каждого АÎG
Действительно, если бы χ (А) =0 для некоторого АÎG , то
c (А) χ (А-1 )= c (АА-1 )= χ (Е)=0,
а это противоречит свойству 1.
3 . Если группа G имеет порядок h, то Аh =Е для каждого элемента АÎG Следовательно,
1= χ (Е)= χ (Аh )= χ (А)h ,
то есть χ (А) есть некоторый корень степени h из единицы.
Характер χ1, обладающий свойством χ1 (А)=1 для каждого элемента АÎG, называется главным характером группы G . Остальные характеры называются неглавными.
Лемма 1. Пусть Н подгруппа конечной абелевой группы G , причем G / H – циклическая порядка n , тогда для каждого характера χH – подгруппы Н существует ровно n характеров.
Доказательство
. Рассмотрим группу G
=
gk
H
, причем gn
H=H, gn
ÎH и gn
=h1
=1.
Для каждого элемента XÎG существует и притом единственное к=кх и hх =h такое, что если 0£ кх <n, то X= gk х hх =gk h. Возьмем еще один элемент группы G , Y= gm hy , где 0£m<n. Перемножим эти два элемента
ХY= gк+ m hhy .
Определим характер χ (X).
χ (X)= χ (gк h)= χ (gк ) χ (n)= χ к (g) χH (h).
В данном выражении неизвестным является χ (g).
χn (g)= χ (gn )= χ (h1 )= χH (h1 ) – данное число.
χ (
g
)= –
n
корней из 1,
то есть ξј n =χn (g)= χH (h1 ), получаем xk (g)= ξј n . Следовательно, x(g)= ξ1 , …, ξn
Из полученных равенств получаем:
χ (X)= χk (g) χH (hx )= ξj kx χH (hx )
χ (Y)= χm (g) χH (hy )= ξj ky χH (hy )
Определим умножение характеров
χ (X) χ (Y)= ξj ky χH (hy ) ξj k - x χH (hx )= ξj kx + ky χH (hx ) χH (hy )= j k + m χH (hhy )
Для того чтобы определение выполнялось, необходимо рассмотреть степень gkx + kx . Возможны два случая:
1) Если 0£ кх + ky <n, то
кх + ky = kxy , ; hx hy = hxy .
В этом случае определение выполняется.
2) Если n£ кх + ky <2n-1, то получим
кх + ky = n + kxy . .
Тогда
XY= gkx + ky hx hy =gh gkx + ky - n hx hy =gkx + ky - n h1 hx hy
В свою очередь 0£ кх + ky – n£n-1 Þkx +ky – n=kxy , h1 hx hy = hxy .
χ (XY) = ξj k х+ k у χн (hx у) = ξj k х + k у – n χн (h1 ) χн (hx ) χн (hy ) = ξj кх ξj ку ξj – n χн (h1 ) χн (hx ) χн (hy ) = ξj кх χн (h1х ) · ξj ку χн (hy ) = χ (X) χ(Y).
Лемма доказана.
5. Характеры конечной мультипликативной абелевой группы G образуют конечную мультипликативную абелевую группу Ĝ.
Под произведением двух характеров χ' и х χ'' группы G будем понимать характер х, определяемый следующим свойством:
χ (AB) = χ' (A) χ'' (В)
Для любого элемента АÎG, имеем:
χ (АВ) = χ' (АВ) χ'' (АВ) = χ' (А) χ' (В) · χ'' (А) χ'' (В) = χ(А) χ(В)
Таким образом, получаем χ ' χ '' действительно является характером.
Роль единичного элемента группы G играет главный характер χ1
Обратным элементом G является:
χ2
(g1
g2
) =
=![]()
=
= χ2
(g1
) χ2
(g1
)
1.2 Суммы характеров. Соотношение ортогональности
Пусть G – конечная мультипликативная абелева группа порядка h. Рассмотрим сумму:
S =
,
где А пробегает все элементы G, и сумму
Т = ![]()
где c пробегает все элементы группы характеров Ĝ.
Рассмотрим чему равна каждая из сумм.
а) Если В-фиксированный элемент группы G и А пробегает все элементы G, то АВ также пробегает все элементы группы G. Следовательно,
S·c (В) =
c (В) =
=
= S.
Получили Sc (В) = S, откуда следует, что (c (В) – 1)·S = 0. Следовательно, возможны два варианта:
1) S = 0, то c (В) – негативный характер
2) S≠0, то c (В) = 1 для каждого элемента В€Gи в этом случае c (В)= c1 (В) есть главный характер и сумма S равна порядку h группы G. Таким образом,
S =
= {
(1.2)
б) Если мы умножим сумму Т на некоторый характер c’ группы Ĝ, то аналогичным образом получим
c’ (А) Т =
c’ (А) =
= Т,
Следовательно,
1) или Т = 0, то А ≠Е
2) или Т ≠ 0, то c’ (А) = 1 для каждого характера c’€ G. В этом случае согласно свойству 3§ 1, имеем А=Е. И тогда Т=h. Таким образом,
Т =
= {![]()
1.3 Характеры Дирихле
Пусть m – положительное целое число. Определим числовые характеры по модулю m. Мы знаем, что j(m) приведенных классов вычетов по модулю m образуют мультипликативную абелеву группу порядка h=j(m). Мы можем, следовательно, рассмотреть характер этой группы. Но определение характера для приведенных классов вычета по модулю mможно перенести на множество целых чисел следующим образом. Положим
c(а)= c(А), если аÎА,
где А – приведенный класс вычетов по модулю m. Тогда очевидно, c(а)= c(b) (modm), и c(ab)= c(а) c(b), если (а, m)=(b, m)=1. Поскольку c(А)¹0 для каждого приведенного класса вычетов А, то c(а)¹0, если (a, m)=1.
Это определение применимо только к целым числам а, которые взаимно просты с m.
Мы можем рассмотреть его на все целые числа, положив
c(а)=0, если (a, m)>1.
Следовательно, характер по модулю m есть арифметическая функция c, обладающая следующими свойствами:
c(а)= c(b), если с=b (modm)
c(ab)= c(a) c(b) для всех целых a и b
c(а)=0, если (a, m)>1
c(а)¹0, если (a, m)=1
Имеется точно j(m) – количество характеров по модулю m, где j(m) – количество положительных целых чисел, не превосходящих m и взаимно простых с m. Они образуют мультипликативную абелеву группу приведенных классов вычета по modm. Единичным элементом этой группы будет главный характер c1, то есть такой характер, что c1 (а)=1, если (а, m)=1. Далее имеем следующее соотношение ортогональности:
= {![]()
= {![]()
Пусть m – положительное целое число. Определим числовые характеры по модулю m. Комплекснозначная функция, определенная для всех целых чисел n, называется числовым характером или характером Дирихле по модулю m, она удовлетворяет следующим условиям:
а) c (n) = 0 тогда и только тогда, когда (n, m) ≠ 1
б) c (n) периодична с периодом m
в) для любых чисел а и b
c (аb) = c (а) c (b)
Функция
c1
(n) = {![]()
является числовым характером и называется главным характером . Остальные числовые характеры по модулю m называются неглавными.
Имеет место следующее утверждение о числовых характерах.
Теорема 1 Существует равно φ(m) числовых характеров по модулю m. Если c = c (n) – числовой характер по модулю m, то:
1) для n, взаимно простых с модулем m, значения c (n) есть корень из 1 степени φ(m).
2) для всех n выполняется неравенство /c (n)/ ≤1
3) Имеет место равенство
{![]()
4) Для каждого целого числа n
= {![]()
Доказательство.
Пусть c (n) – некоторый числовой характер по модулю m. Из пункта б) определения следует, что c (n) задает некоторую функцию c’(
) = c (n) на мультипликативной группе
классов вычетов по модулю m, взаимно простых с m, а именно
c’(
) = c (n)
Здесь
обозначает класс вычетов по модулю m, содержащий n. Так как c(1) ≠ 0, то c’(
) не равняется тождественно нулю, а из пункта в) определения числового характера следует, что c’(![]()
) = c’(
) = c’ (ab
) =
c (a
) c (b
) = c’(
)c’(
).
Таким образом, c’(
) есть характер модультипликативной группы Gm
.
Обратно, по каждому характеру c’(
) группы Gm
можно построить числовой характер c (n) по модулю m, положив
{
Установленное соответствие является взаимнооднозначным. И все утверждения теоремы 1 следуют из доказанного выше для групповых характеров применительно к группе Gm , если учесть, что порядок группы Gm равен φ(m), где φ(m) – функция Эйлера.
В дальнейшем требуется еще одно утверждение с числовых характерах. Обозначим для каждого c, c ≥ 1
![]()
Где суммирование ведется по всем натуральным числам n, не превосходящим c.
Лемма 2. Пусть c (n) – неглавный характер. Тогда для каждого c, c ≥ 1 справедливо неравенство
/S(x)/<m
Доказательство. Функция c (n) периодична с периодом m и по теореме з
0, так как c≠ c1
Поэтому, представив [c] – целую часть числа c – в виде [c]=m1+z, 0£z£m, будет иметь
S(c) =S([c])=q![]()
![]()
В виду равенства /c(n)/£1 отсюда получили S(c)£z£m
2. L-функция Дирихле
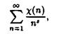
Пусть х(п) – произвольный характер по модулю m. Рассмотрим ряд
, (2.1)
члены которого являются функциями комплексного переменного S. В области сходимости он определяет функцию, которая называется L-функцией Дирихле, соответствующей характеру c(n), и обозначается L (s, c).
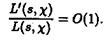
Лемма 3
1. Если c¹c1 , то ряд (1) сходится в области ReS > 0 и определяемая им функция L (s, c) является аналитической в этой области.
2. Ряд, определяющий L (S, c1 ), сходится в области ReS >1. Функция L(S, c1 ) является аналитической в области ReS > 1.
Доказательство.
Пусть c(n) – произвольный характер по модулю m, а б – некоторое положительное число. Так как /c(n)/ £ 1, то в области ReS > 1 + б справедливо неравенство
![]()
Следовательно, ряд (1) равномерно сходится в области ReS > 1 + б. Определяемая им функция L (S, c) по теореме Вейерштрасса о сумме равномерно сходящегося ряда аналитических функций является аналитической в этой области. Ввиду произвольности 6 это доказывает второе утверждение Леммы.
Для неглавных характеров c(n) потребуется более сложное исследование ряда (1).
Лемма 4 (преобразование Абеля).
Пусть an , n=1,2,…, – последовательность комплексных чисел, c>1,
А(c)=![]()
а q(t) – комплекснозначная функция, непрерывно дифференцируемая на множестве 1£t£¥
Тогда
(2.2)
Если же
![]()
то
(2.3)
при условии, что ряд в левой части равенства сходится.
Доказательство. Положим А(0)=0 и В(х) равным левой части равенства (2.2). Тогда при любом натуральном N
![]()
так как А(0)=0. Далее

поскольку функция А(х) постоянна на каждом полуинтервале n£t<n+1. Следовательно, равенство (2.2) доказано при целых значениях х.
пусть х³1 – произвольное число. Положим N=[x]; значит, N£x£N+1. Тогда А(х)=А(N), B(x)=B(N), а

Следовательно,
![]()
Тем самым доказано, что равенство (2.2) верно и для нецелых чисел значений х.
Равенство (2.3) получаем из равенства (2.2) переходом к пределу при х®¥. Лемма доказана.
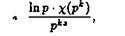
Воспользовавшись леммой 4, получим следующее равенство
(2.4)
где
![]()
функция, введенная Лемме 4.
Для s = p+it из области ReS = s, где s – некоторое положительное число, пользуясь леммой 4, находим
![]()
Поэтому интеграл

сходится в области ReS > s. Поскольку в этой области выполняется неравенство
![]()
то из равенства (2) следует, что ряд (1), определяющий функцию L (S, x), сходится в области ReS > s. Эти рассуждения справедливы для любого положительного числа s. Значит, ряд (1) сходится в полуплоскости ReS> 0.
Из равенства (2) следует, что в этой полуплоскости для L-функции, соответствующей неглавному характеру c(n), справедливо представление

(2.5)
так как
![]()
Интеграл, стоящий в правой части равенства (2.5), можно также представить в виде
(2.6)
Члены ряда (2.6) являются аналитическими функциями в области ReS >s, что следует из равенств

При этом использовано, что на полуинтервале n£х< n+1 функция S(х) принимает значение S(n). Поскольку

то ряд (2.6) равномерно сходится в области ReS >s. Отсюда, как и выше, получаем, что сумма его, т.е.

является аналитической функцией (по теореме Вейерштраса) в области ReS >s.
Из представления (2.5) следует теперь, что L (S, x) есть аналитическая функция в полуплоскости ReS >s, а ввиду произвольности S – s и b полуплоскости ReS > 0.
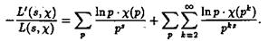
Следствие. Пусть c (n) – произвольный характер. Тогда в области ReS > 1 справедливо равенство
(2.7)
Это следует из того, что ряд (2.1) по доказанному равномерию сходится в области ReS>1+s, где s>0. Следовательно, по теореме Вейштрасса о равномерно сходящихся рядах аналитических функций в этой области ряд (2.1) можно почленно дифференцировать
![]()
Поэтому в полуплоскости ReS>1+s выполняется равенство (2.7). Так как в этом рассуждении s-любое положительное число, то равенство (2.7) будет справедливо в полуплоскости ReS>1.
Для L-функций имеет место представление в виде бесконечного произведения по простым числам, аналогичное тождеству Эйлера. Рассмотрим вспомогательную Лемму.
Лемма 5. Пусть функция f(n) вполне мультипликативна и ряд
(2.8)
абсолютно сходится. Тогда выполняется равенство
(2.9)
Доказательство. Отметим прежде всего, что /f(n)/<1 при любом натуральном n>1. В противном случае при каждом mÎN
/f(n)m /=/f(n)/m ³1,
что противоречит сходимости ряда (2.6). Поэтому при каждом простом р ряд
![]()
абсолютно сходится, и его сумма как сумма бесконечно убивающей геометрической прогрессии равна (1-f(р))-1. Кроме этого, в силу абсолютной сходимости, ряды можно перемножить. Перемножая конечное число таких рядов и используя то, что f(n) есть вполне мультипликативная функция, получим
![]()
где ne = pa … pa s и в сумме в правой части равенства содержатся такие и только такие слагаемые f(ne ), что все просты делители ne не превосходят х. Следовательно, в разности
![]()
остаются те и только те слагаемые f(me ), для которых у числа me имеется хотя бы один простой делитель р>x. Тогда оценим разность
/S-S(x)/£![]()
и из абсолютной сходимости ряда (2.8) следует, что
![]()
Это доказывает, что бесконечное произведение (2.7) сходится и выполняется утверждение Леммы.
Лемма 6. Для каждого характера c(n) в области ReS > 1 справедливо представление
![]()
Доказательство. Эта лемма является следствием Леммы 5, поскольку функция c(n) вполне мультипликативна, то есть c(АВ)= c(А) c(В), и выполняется неравенство /c(n)/£ 1 по теореме 1.
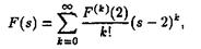
Следствие 1. В области ReS > 1 для главного характера c1 (n) по модулю m справедливо равенство
(2.10)
и поэтому функция L (S, c1 ) может быть аналитически продолжена в область ReS> 0, где она имеет единственный полюс (первого порядка) в точке S=1.
Действительно, по определению главного характера c1 (n) имеет место равенство
![]()
Поэтому

Пользуясь теперь тождеством Эйлера для дзета-функции Римана получаем равенство (2.10). Остальные утверждения легко следуют из этого равенства, поскольку дзета-функция является аналитической в области ReS > 0 с единственным полюсом первого порядка в точке S = 1.
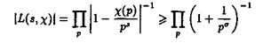
Следствие 2. Для каждого характера c функция L (S, x) не обращается в нуль в области ReS > 1.
Доказательство.
Если s = ReS > 1. то
![]()
Пользуясь неравенством для дзета-функции Римана, находим
![]()
Получаем:
L(S,c) ≥![]()
> 0
Теперь докажем утверждения, что L – функция, соответствующая неглавному характеру c, точке S =1 отлична от нуля.
Теорема 2. Если c – неглавный характер, то L(1, c)≠0
Для доказательства рассмотрим 2 случая
1. Пусть характер c – комплексное число, не является действительным. Тогда характер c2 (n) не является главным. В этом случае доказательство теоремы будет основываться на тех же идеях, что и доказательство отсутствия нулей дзета – функции на прямой ReS=1.
Лемма7. Пусть 0<ч< 1, а х – действительное число, тогда выполняется неравенство /(1 – ч )3 (1 – че ix )4 (1 – че2 ix )/-1 ≥ 1
Доказательство.
Для всех z из круга /z/<1 имеет место расположение
– ln
(1 – z) =
(2.11)
Так как ln(t) = Relnt, то обозначая М (ч φ), левую часть неравенства (2.11), получим
lnM(ч
φ) = 3ln(1 – ч
) – 4 ln (1 – че
i
4
) – ln (1 – че2
i
4
) = – 3ln(1-ч
) – 4Reln/1 – че
i
4
/ – Reln/1 – че2
i
4
/=
rc(3+4e)inl
/1-rei
4
/=
(3+4cosnl+2cos2nl)=
(2+4cosa+1+cos2a)=
1 (1+cosa)2
³0
ln=M(r, l)=³0
Следовательно, M(r, l)=³1 доказана.
Из леммы 7 следует, сто при любом действительном S>1 выполняется равенство:
|
L
3
(8,
c1
)
L
4
(
S
,
c) 4 (
S
,
c4
) 1 = П
(1-
)3
(1-
)4
(1-
)|-1
(2.12)
Получая в лемме ч = р - s , т.е.
0< ч = c1 (р) <1
0< р - s <1
c (р) р- s = че i 4 , в силу того что c (р) – комплексное
c (р) р- s = че2 i 4
Получаем, что каждый сомножитель в правой части равенства (f) не меньше 1 и, следовательно, при любом S>1 выполняется равенство:
|L3 (Sc1 ) · L4 (Sc) L(Sc2 )| ≥ 1 (2.13)
Допустим, что для некоторого характера c (c2 ≠c1 ) выполняется равенство
L (1, c) = 0 (2.14)
Оценим сверху левую часть неравенства. Из оценки дзета-функции Римана
ξ(S) ≤
, следует, что при S € R, S>1 выполняется неравенство
а) 0 < 4 (S, c1
) = 
получили 0<L(S, c1
)≤![]()
б) Функция L(S, c) разложим в ряд Тейлора
L (S, c) = Cp + C1 (S – 1) + C2 (S – 1)2 +… + Cn (S – 1)n +…
Предположим, что у нее есть нуль L(1, c) = 1; тогда С0 = 0
Перепишем разложение L – функции в ряд
L(Sc ) = Cк (S – 1)к + Ск +1 (S – 1)к +1 = (S – 1)1 (Cк + Ск +1 (S -1)+….), гдек≥1, Ск ≤ 0, т. к. S>1
| L (S, c)| = |S – 1|k | Ck + Ck+1 (S – 1) +….| ≤ 2 Ck |S – 1)k , при |S – | < r
Функция L (S, c2 ) в точке S = 1 не имеет полюса, следовательно не имеет особенности. Это в силу того, что c комплексное и c2 ≠c1
Получаем неравенство:
L(S, c2 ) ≤ C,
При условии | S – 1|< δ
Учитывая все неравенства и оценки
| L3
(S, c) L4
(S, c) L (S, c2
)| = (
)3
· 24
|Ck
|4
(S – 1)4k
· C≥1
Следовательно, это неравенство становится противоречивым, если перейти к пределу при S→1+0. Полученное противоречие показывает, что равенство (2.14) не выполняется.
2. Рассмотрим c – вещественный характер, т.е. принимающий только вещественные значения, несовпадающий с главным характером
Лемма 8. Пусть c – вещественный характер.
Рассмотрим функцию
F(S) = ξ(S) L(S, x) (2.15)
Докажем, что если ReS>1, то
(2.16)
представляется рядом Дирихле, которого справедливы следующие утверждения:
1) Все коэффициенты а n ≥ 0
2) при n=k2 , k € / N(N)/ а n ≥1
3) В области ReS<1 можно почленно дифференцировать, то есть
F(
k
)
(S)=
(-1)k
(lnn)k
k=1,2…; (2.17)
4) Ряд (1) в точке S=1/2 расходится.
Доказательство. В области ReS > 1 ряды, определяющие функции S(S) и L(S,c), абсолютно сходятся, поэтому их можно перемножить:
где
(2.19)
Пусть
- расположение числа n в произведение простых сомножителей. Тогда все натуральные делители l числа n имеют вид
![]()
![]()
поэтому из равенства (14) находим, что
![]()
гдеani = 1+ c (pi )+ … +cLi (pi ), i=1,…, m (2.21)
так как c – вещественный характер, то он может принимать только три значения: 0, 1, -1. Из равенства (2.21) следует, что
(2.22)
Во всех случаях числа ani ³0, а значит, и an =an 1 … anm ³0
Если же число п является полным квадратом, то
N=k2 =p/ 2 g … pm 2 g ,
и из равенств (2.20) и (2.22) следует, что аn ³1
При любом s > 0 в области ReS> 1 +s выполняется неравенство
![]()
Ряд (2.18) сходится в области ReS > 1. Поэтому по признаку Вейерштрасса ряд (2.16) сходится равномерно в области ReS > 1 + s, а по теореме Вейерштрасса его можно в этой области почленно дифференцировать любое число раз. Следовательно, в области ReS > 1 +s выполняется равенство (2. 17), а в силу произвольности s оно выполняется и в области ReS > 1.
Однако ряд (39) расходится, так как по второму утверждению леммы
Ряд (2.16) при S =
имеет неотрицательные члены. Поэтому, если бы он сходился, то также сходился бы ряд
(2.23)
Следовательно, ряд (2.23) расходится. Лемма доказана.
Переходим непоредственно к доказательству второго случая теоремы. Допустим, что L (1,c) = 0. Тогда полюс дзета-функции будет компенсироваться в произведении S(S) L (S, c) нулем функции L (S, c).
Поэтому функция (2.15) F(S) будет аналитической в области ReS > 0 так как в точке S=1 у F(z) – устраненная особая точка. Следовательно, ее можно разложить в ряд Тейлора в точке S = 2:
(2. 24)
радиус сходимости которого не меньше 2 R³2/
Из равенств (2.17), в частности S=2, находим
(2.25)
В радиусе сходимости будет брать не все S, а только вещественные ReS=sS=sÎ(0,2). Пользуясь разложениями (18) и (19), находим
![]()
Члены двойного ряда неотрицательны, поэтому он сходится абсолютно, и в нем можно поменять порядок суммирования. Тогда

Следовательно, ряд (2.16) сходится во всех точках, s < (, 0, 2), и в точке
, а это противоречит четвертому утверждению леммы. Поэтому L(S,c)¹0/
Этим завершается доказательство теоремы
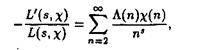
По следствию 2 леммы 2 функция
является аналитической в области ReS > 1. Для дальнейшего доказательства теоремы Дирихле нам будет необходимо представление этой функции в виде ряда, аналогичного ряда (2.16).
Лемма. Для каждого характера c(n) в области ReS > 1 справедливо равенство
(2.26)

Доказательство.
Так как S=s+it имеет место неравенство
![]()
получаем, что ряд стоящий в правой части равенства (2.26), абсолютно сходится в области s>1. Умножим этот ряд на ряд определяющий L (S, c). Получили

Предпоследнее равенство имеет место ввиду равенства
), а последнее – по следствию из леммы 3, равенство 2.7.
3. Доказательство теоремы Дирихле
Теорема. Если разность и первый член арифметической прогрессии есть взаимно простые натуральные числа, то она содержит бесконечное множество простых чисел.
Доказательство.
Рассмотрим равенство (2.26), которое справедливое по Лемме в области ReS > 1. Поскольку
(n) = 0 для всех n, не являющихся степенями простых чисел, то все отличные от нуля члены ряда в правой части (2.26) имеют вид
![]()
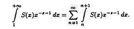
где р – простое и k– натуральное числа. Ряд (2.26) абсолютно сходится, следовательно, его можно представить в виде двойного ряда) и, значит, в области ReS > 1
(3.1)
Второе слагаемое в правой части этого равенства равномерно ограничено по s в области ReS³3/4. Действительно, если S=p+it, p³3/4, то

Следовательно, при S®1+0 для каждого характера c имеет место равенство
(3.2)
Здесь и в дальнейшем s ® 1 + o обозначает, что S стремится к 1 по действительной оси справа.
Пусть u – некоторое натуральное число, удовлетворяющее сравнению
(3.3)
Умножим обе части равенства (3.2) на c(u) и просуммируем получившиеся равенства по всем числовым характерам c. Тогда получим
(3.3)
Если простое число р удовлетворяет сравнению р ºl (mod m), то pu ≠ 1 (mod m), и по теореме 1
![]()
Если же p≠l (modm), то pu≠ 1 и по той же теореме
![]()
Таким образом, равенство (3.3) можно переписать в виде
(3.4)
По лемме 3 и теореме 2 для неглавного характера c функция
является аналитической в точке S = 1. Поэтому для таких характеров при S®1 + 0 имеем
(3.5)
По следствию 1 леммы 4 функция L(S, c1 ) имеет в точке S=1 полюс первого порядка. Значит, при S®1+0
(3/6)
Учитывая равенства (3.5) и (3.6.) из равенства (26) получаем, что

Так как число u удовлетворяет сравнению (3.3), то (u, m) = 1 и c0 (u)=1. Итак, при S®1+0
(3.7)
Правая часть равенства а (3.7) при S®1+0 имеет бесконечный предел. Значит, сумма, стоящая в левой части этого равенства, имеет бесконечное множество слагаемых. Поэтому существует бесконечное множество простых чисел, удовлетворяющих сравнению
pºe (modm)
Теорема Дирихле доказана.