| Скачать .docx | Скачать .pdf |
Курсовая работа: Математика цариця наук звязок математики з іншими науками
Інформаційно-методичний центр освіти
м. Львова
“Математика – цариця наук”
(зв’язок математики з іншими науками)
Львів 2008
План:
Вступ.
1. З чого починалась математика. Етапи розвитку математики.
2. Математика у точних науках:
а) Математика у фізиці та астрономії. Математична фізика.
б) Математика у хімії.
в) Математика у економіці.
3. Математика у гуманітарних науках:
а) Математика й мова. Математична лінгвістика.
б) Математика в організмі.
4. Математика в інших науках.
5. Математична логіка.
Висновок.
Використана література.
Вступ
“Зараз, мабуть, більше, ніж коли-небудь раніше, математика відповідальна за розвиток інших галузей знань та діяльності”.
“Як правило, трапляється так, що явища природи та процеси економіки ширше вже існуючих засобів математики. Це є довічним стимулом для розвитку самої математики, її понять і теорій”.
Б. В. Гнеденко Вирішення соціально-економічних проблем у житті країни, кожного громадянина призводить до потреби масового оволодіння технічною грамотністю нероздільно пов’язаною з математикою.
Математизація всіх областей науки і техніки, бурхливий розвиток обчислюваної техніки, запровадження комп’ютерних технологій у всі сфери виробництва, економіки, управління у повсякденне життя робить необхідним більше зацікавлення учнів математикою, формування в учнів правильного уявлення про природу математики у системі наук та її роль в різних галузях науки, техніки, виробництві, культурі, психології.
Основне завдання вчителя полягає в тому, щоб учні зрозуміли для чого вивчається математика, потрібно посилити політехнгічну і практичну спрямованість викладення математики.
Для сьогодення характерним є процес математизації наукових знань, широкого використання методів математики, її апарату в різних наукових галузях. Наприклад, економіка, археологія, біологія, екологія, медицина, мовознавство – це науки, які раніше вважалися далекими від математики. А сьогодні вже не можуть без неї обійтися.
Розвиток логічного мислення, що здійснюється на уроках математики впливає на успішне вивчення всіх предметів, в тому числі гуманітарних.
Математика вимагає уяви та інтуіції, спонукає до дослідження, сприяє розвитку інтелекту і формуванню таких рис характеру учня, як акуратність, уміння долати труднощі, доводити розпочату справу до кінця. Велике значення має зацікавленість учнів. А цьому сприяє залученя їх до активної пізнавальної діяльності на уроках. Учитель повинен створити у школяра позитивну мотивацію до виконання розумових і практичних дій.
“Математика — цариця наук”. Так стверджують багато людей, але чому це саме так, точно пояснити може мало хто. Дана робота допоможе це пояснити.
Колись в Америці було обіцяно велику премію тому, хто напише книжку під назвою “Як людина живе без математики”. Бажаючих одержати премію знайшлося чимало, та написати таку книжку ніхто не зміг. Дуже важко уявити людину без математичних знань.
З чого починалась математика. Етапи розвитку математики
Математика – це одна з найдавніших наук. Математику робили живі люди зі своїми характерами, нахилами, уподобаннями, здібностями, можливостями та певним світоглядом, світосприйняттям. Для ефективного її вивчення потрібно ввести певну систему. Це досягається за допомогою періодизації.
У 1938 р. академік А.М. Колмогоров (1905-1987) запропонував варіант періодизації. Він виділяє 4 періоди в історії розвитку математики:
1. Зародження математики (з найдавніших часів VI-V ст. до н.е.) – тут виникають два важливих абстрактних поняття: число і геометрична фігура. Практичні операції лічби, операції над множинами, вимірювання різних величин: довжин, площ, об'ємів, часу. У цей період формувались арифметика та геометрія у вигляді єдиного предмету – математики, що являла собою сукупність правил, виведених з досвіду, для розв'язування практичних завдань.
2. Математика сталих величин (з V ст. до н.е. до кінця XVI ст. н.е.) – за математичним змістом цей період поділяють на 2 періоди: а) переважного розвитку геометрії (V ст. до н.е.- П ст. н.е.),
б) переважного розвитку алгебри та тригонометрії (II ст. н.е. – кінець XVI ст.). Істотною відмінністю цього періоду від попереднього є систематизація розрізнених математичних фактів, виділення їх в окрему наукову дисципліну зі своїми методами та предметами досліджень. В окремі математичні дисципліни виділяються геометрія й арифметика. В арифметиці була створена теорія подільності, введено поняття простого і складного числа, доведено ряд теорем, створено ряд алгоритмів для розв'язування теоретико-числових задач. У струнку дедуктивну систему було зведено геометрію, створено досить повну теорію конічних перерізів. Для потреб астрономії розвинено сферичну геометрію, початки тригонометрії (створено перші таблиці синусів), розроблено перші методи обчислення площ і об'ємів складних геометричних фігур. На геометричній основі було відкрито ірраціональні величини. Роботи Аполлонія Перського про конічні перерізи та методи Архімеда обчислення площ і об'ємів були праобразами аналітичної геометрії і означеного інтегрування.
3. Математика змінних величин (з початку XVII ст. до середини XIX ст.). Характерні особливості цього періоду: математика вивчає рух, зміни, процеси. Предметом вивчення стають змінні величини та зв'язки між ними, функції. З'являються нові, щодо попередніх епох, розділи: аналітична геометрія, математичний аналіз з різними розгалуженнями, теорія чисел, теорія ймовірностей тощо. Головне завдання алгебри цього періоду – вивчення теорії та методів розв'язування алгебраїчних рівнянь, аналізу вивчення функції дійсної, а потім і комплексної змінної. Першим кроком у створенні математики змінних величин було видання праці Р.Декарта «Геометрія» (1637), де розкрито широкі можливості застосування наявної тоді алгебри до геометрії. Під впливом цієї праці розвивалася аналітична геометрія.
4. Сучасна математика (з середини XIX ст. до тепер). Виникає багато нових теорій і методів, оновлюється стиль математичного мислення, виникають нові розділи математики: математична економіка, математична лінгвістика, математична психологія, математичне програмування. Математика стає фундаментом нової синтетичної науки – кібернетики. Поява в 50-х роках ХХ ст. нової обчислювальної техніки – швидкодіючих ЕОМ – було революційною подією, яка не сказала ще свого останнього слова. З'являється нова математична галузь – інформатика, до якої входять моделювання задач, алгоритмізація і програмування. На її основі перебудовуються класичні розділи математики: з’являється комп'ютерна алгебра, комп'ютерний аналіз, широко застосовується інформатика в різних розділах геометрії.
Математика від сивої давнини до сучасності
Джерела математики губляться в далекому минулому. Разом з тим древня наука залишається й вічно молодою. Її молодість – нескінченна мандрівка людини й незвідане складного й випадкового навколишнього світу, для життя в якому потрібні істинні знання про закони, які ним керують. Ці закони відкрили вчені різних епох і народів.
Математику та її світ створювали протягом дуже довгого часу багато вчених, кожне нове покоління включалося в творчість, йшло далі, взявши за основу створене попередниками.
X ст. – VI – V ст. до н.е. зайняв другий період – період практичної математики. Предметом її були вимірювання і порівняння вимірювальних величин. Вершинами математики цього періоду стали досягнення древніх єгиптян і шумеро-вавілонян. Вони знайшли алгоритми арифметичних дій з натуральними і дробовими числами, алгоритми розв'язування задач на пропорційне ділення, арифметичні і геометричні прогресії, розв'язували задачі, які зводили до рівнянь і систем рівнянь першого ступеня, квадратних і окремих випадків рівнянь вищих ступенів. Широко застосовували точні і наближені алгоритми обчислення площ прямолінійних фігур, об'ємів паралелепіпеда, піраміди, довжини кола і площі круга.
Пройдений за два періоди шлях називають донаукою або предматематикою. Революційний крок у створенні теоретичної математики здійснювали вчені античної Греції. Він став можливим в умовах бурхливого розвитку грецьких міст – держав, коли там в УІІ-УІ ст. до н.е. до влади прийшла рабовласницька демократія. Математичні відкриття давньогрецьких вчених є складовою частиною великого культурного перевороту, який називається “грецьким чудом”.
Формування теоретичної математики характерне для третього періоду історії математики (УІ-У ст. до н.е. – III ст.), пов'язане з діяльністю визначних вчених Фалеса Мілецького, Піфагора, Евдокса Кнідського, Евкліда, Архімеда.
Піфагорійці відкрили, що відомі їм метричні властивості геометричних фігур і закони фізичних процесів можна описати (змоделювати) відношенням додатних раціональних чисел. Універсальна застосованість числа до вивчення об'єктів дійсності справила велике враження на піфагорійців. Числа сприймалися, як всемогутні упорядники, керівники світів і всього, що в ньому. Філософія числа ранніх піфагорійців містила і помилкові погляди. Вчені змушені були розбиратися в будові світу математики, уточнюючи математичні поняття, вдосконалювати і навіть створювати новий теоретичний фундамент математики.
Александрійський вчений Евклід в своїх славнозвісних «Началах» синтезував досягнення теоретичної математики на такому високому науковому рівні, що і сьогодні в шкільних курсах геометрії безпосередньо вивчають цю книгу.
«Начала» Евкліда – перший відомий нам посібник математичних теорій, які служили теоретичною основою падальшого розвитку математики.
За бурхливим розвитком глибоких теоретичних досліджень греків наступив спад до вимологічної строгості, яка була нормою в античних математиків. Математика, переважно елементарна, розвивалася тепер в країнах Близького і Середнього Сходу, на території наших середньоазіатських і закавказьких республік, в Індії та Китаї.
Практичну орієнтовність елементарної математики зумовили задачі, пов'язані з комерційними операціями, будівництвом зрошувальних систем, прокладанням маршрутів, військовими спорудами.
Г. Галілей (1564-1642) назвав Всесвіт найвеличнішою книгою природи, яка написана мовою математики, буквами якої є трикутники, дуги та інші геометричні фігури.
Центральною подією наукового життя XVIII ст. стало відкриття диференціального і інтегрального числення, або числення нескінченно малих І. Ньютоном (1643-1727) і Г.В.Лебніцем (1646-1716).
З того часу досить багато чого змінилося у світі. Вже ближче до нашого часу досягнення математики стали визначнішими. Наприклад комп'ютери. Вони були винайдені ще дуже давно. Перший так званий комп'ютер був винайдений у 1834 році Чарльзом Беббіджем, а сучасні комп'ютери були виготовлені американцем Біллом Гейтом у 1975році.
Комп'ютери у наш час дуже необхідні. У них закладена багатофункціональна математична основа. Завдяки цій основі комп’ютерможе виконувати усі функції: від найпростішої до найскладнішої.
Можливо, це ще не останнє досягнення людини в математиці та її галузях.
Математика і науковий прогрес
В наші дні кожен школяр отримує початкові знання з математики. Ще до школи діти навчаються рахувати, а потім на уроках здобувають уявлення про необмежність числового ряду, про геометричні фігури, про дробові та ірраціональні числа, вивчають початки алгебри і математичного аналізу. Ці знання абсолютно необхідні кожній молодій людині, незалежно від того, ким вoна буде працювати в майбутньому: робітником, інженером, механізатором, лікарем, офіцером, вчителем чи будівельником.
Зародки рахунку зародились в глибині віків і відносяться до того періоду історії людства, коли ще не було писемності. Писати людство навчилось тоді, коли значно вдосконалювалося у вмінні рахувати. Математичні знання в далекому минулому застосовувалися для вирішення повсякденних потреб, і саме практика в значній мірі керувала всім подальшим розвитком математики. В наш час, як і в далекому минулому практика представляє перед людством та математикою складні задачі. Саме в цьому причина сучасного бурхливого розвитку математики, появи багатьох її нових гілок, що дозволяє глибше і детальніше вивчати виникнення та розвиток оточуючого нас світу і розв’язувати конкретні практичні задачі. Щоб розв’язувати наукові питання потрібно досконало володіти тими знаннями, котрими людство заволоділо в минулому, але необхідно відкривати нові способи використання математики.
Безумовно безліч математиків приймають участь в наукових дослідженях. Математику використовують для будівництва літаків, космічних шатлів, штучних супутників Землі, для розробки нових побутових приладів та засобів для різноманітних розваг.
Але математику використовують не лише в мирних цілях, а і в військових: розробляють різного типу зброю (від зброї направленої дії до зброї масового ураження) різні види автоматів, пістолетів та ракет.
Чим більше і глибше людина вивчає математику, тим більше відкриваються її горизонти. Дух найвеличнішої та найдавнішої науки присутній в усіх предметах на всьому світі.
Математика у фізиці та астрономії
“В міру того, як фізика день за днем примножуватиме свої досягненя і виводитиме нові аксіоми, вона буде в багатьох питаннях потребувати все більшої доомоги математки…” Ф. Бекон
“Доступ до більш глибоких принципових проблем у фізиці вимагає найвитонченіших математичних методів”. А.Ейнштейн
“первісною мовою, яку виробляють у процесі науковоо засвоєння фактів, в теоретичній фізиці є, звичайно, мова математики, а саме — математична схема, що дає змогу фізикам передбачати результати
майбутніх експериментів”. В.Гейзенберг
“Жодна з природничих наук, якщо йдеться не про збирання сирого матеріалу, а про справжню творчість, не обійдться без математики — матерії всіх наук. Що ж до фізики, … то тепер математика і фізика до такої міри злилися в одне ціле, що іноді важко розмежувати, де закінчується математика і де починається фізика”. В.А.Стеклов
“Якщо фізик висуває теорію, то повинен уміти виразити її математично, а перевіряючи теорію сконструювати приклади, які дають
змогу дістати числовий результат”. Дж.Томсон
“Математика для фізики — це не тільки інструмент, за допомоою якого він може кількісно описати будь-яке явище, а й головне джерело уявлень і принципів, на основі яких зароджуються нові теорії”.
Ф. Дайсон
“Основні поняття й методи квантової теорії поля стають дедалі
більше математичними”. М.М. Боголюбов
Зараз багато провідних галузей використовують математику. Дуже важливе значення цієї науки виявлено в фізиці. Так, саме ця галузь науки використовує математичні властивості, та й взагалі всю математику, найбільше. Саме завдяки математиці людство зуміло розгадати таємницю будови тіла – відкрило атом. Діаметр атома – біля десяти мільйонів міліметра, а його маса дорівнює сто трильйонних від трильйона грама. Це звичайно астрономічні цифри, але завдяки мікроскопу, який, звісно, створений на основі математичних та фізичних законів, це ще не межа людського пізнання. Так Дж. Томсон відкрив протони, і нейрони і лише нещодавно – кварки і лептони. Ці відкриття остаточно підвищили авторитет математики. Але це ще не все. За допомогою математичних формул та фізичних законів було створено термометр, відкрито температуру агрегатних станів для кожної речовини, сили у природі. Окрім цього, Д. Менделєєв у 1869 р., порахувавши кількість протонів у ядрі атомів і, звісно, не без допомоги математики, створив періодичну систему хімічних елементів. А скільки чудових винаходів зробили фізики за допомогою математики?
Одним із значних винаходів, створених, використанням фізикоматематичних законів та формул, став вертоліт. Близько 1500 року Леонардо да Вінчі спроектував вертоліт, який взлітав за допомогою мускульної сили людини, тобто за участю ніг. Пізніше інші винахідники створювали більш практичні моделі. Принцип дії вертольота базується на силі тяжіння та математичних закономірностях.
Це все з однієї сторони, а з іншої виявляється не хороше значення математики. Знаючи математичні закони і фізичні формули Роберт Оппенгеймер створив ядерну бомбу, яка не лише призвела до численних екологічних проблем, а й до смерті багатьох людей.
Отож, жодне фізичне відкриття не було зроблене без участі математики.
Вся фізика побудована на формулах, які в свою чергу базуються на математичних числах та законах. Отже, з впевненістю можна сказати, що інструментом фізики є математика.
Та не лише фізики використовують математику. Зараз набуло великого значення використання математики в астрономії. Для цього була навіть створена нова галузь науки – космічна математика, яка займається вивченням космосу за допомогою математичних формул та законів. Ця галузь була створена нещодавно, але все ж, за такий короткий час, зуміла порадувати людство новими відкриттями. Найперше і найголовніше відкриття, яке було зроблене за допомогою математики – визначення розмірів Землі. Це зробити дуже важко, адже це не м’яч, а гігантська куля.
Але вченим все-таки вдалося встановити розміри нашої планети. Виміри, зроблені за допомогою супутників та математичних дій, показують, що довжина Землі по екваторі становить 40 024 км, а діаметр – 12 578 км. Значно важче визначити масу Землі. Маса Землі – приблизно 5, 976 секстильйонів тонн. Це число виглядає так:
5 976 000 000 000 000 000 000.
Щоб виміряти масу нашої планети вчені застосували принцип, заснований на тому, що два тіла притягуються одне до одного. Від цього залежить гравітація. Щоб виміряти вагу Землі, треба маленький вантаж підвісити на нитці, потім якомога точніше виміряти його положення. Поруч з цим вантажем треба розташувати тонну свинцю. Між ним і свинцем виникне сила тяжіння, внаслідок якого вантаж ледь відхилиться вбік (це відхилення складає менше ніж 0,00002мм.). Після цих вимірювань за допомогою математики вчені обчислили вагу Землі. Потрібно встановити силу земного тяжіння по відношенню до ваги, і силу, з якою тонна свинцю притягує підвішений вантаж. Знайдена відносна різниця вказує на масу Землі. Вченим вдалося встановити, що вік Землі 4,5 млрд. років. Відомо, що “голуба” планета рухається навколо Сонця і навколо своєї осі. Астрономи встановили за допомогою математики, що за рік Земля проходить відстань 938 886 400 км, що дорівнює рівно одному оберту навколо Сонця. Повертаючись навколо осі, Земля проходить певний шлях за 23 години 58 хвилин і 56 секунд, який для зручності заокруглюють до 24 годин – одного сонячного дня.
Але наша планета – не єдина у галактиці. Ще одним цікавим об’єктом є наш природній супутник – Місяць. Місяць обертається навколо Землі приблизно за 27,3 дні, але від одного оберту до іншого проходить 29,53 дні, оскільки Земля також рухається. А ось Сонце – звичайна зоря, яких у Всесвіті безліч. Ця зоря середнього розміру. За допомогою математики та штучних супутників вчені вирахували його діаметр, який складав 1 392 000 км. Сонце важить трохи менше за 2000 трильйонів тонн
(2000×1012 т).
Поблизу нашої планети знаходяться ще так звані внутрішні планети – 4 найближчі до Сонця. Всі вони середнього розміру і утворені із твердих порід. Наступні дві планети – справжні гіганти. Вченим вдалося встановити їх розміри, використовуючи математику і фізику – маса Юпітера в два рази більша, ніж маса решти планет, разом узятих, і в 1 300 разів від маси Землі. Діаметр Юпітера – 142 984 км. Сатурн також велетень, але в основному він складається з рідкого водню. Його маса 600 млрд. трильйонів тонн.
Крім того математику ще використовують для визначення місця розташування. Так два математики – Джон Коуч Адамс та француз Юрбен Ле Верр’є вирахували, де може розташовуватись Нептун, завдяки впливу його гравітації на орбіту Урана.
Але напевно найзагадковішою планетою є Плутон. Плутон дуже малий, тому його важко побачити, але найсучасніші обчислювальні супутники визначили його розміри. Він у 5 разів менший за Землю – всього 2284 км у діаметрі і в 500 разів легший.
Та планети – це не єдині великі тіла у Всесвіті. Найбільші зорі називаються надгігантами. Планета Антарес у 700 разів більший за Сонце. А в системі Епсилон, у сузір’ї Візничого є зоря, діаметр якої 3 мільярди км, що в 4 000 разів більша від Сонця. Але більшість зірок невеликі. Таких маленьких зірок астрономи нараховують 200 мільярдів, застосовуючи при цьому математику. Для того, щоб вимірювати відстані у космосі одних лише метрів та кілометрів замало. Тому астрономи використовують різні космічні одиниці. Найпоширенішою є світловий рік – відстань у 9 460 мільярдів км. Саме такий шлях проходить світло за рік, рухаючись зі сталою швидкістю 300 000 км/с.
У 1672 році два астрономи – Кассіні і Ріхер відмітили точне положення Марса на небі. Вони обчислили відстань до Марса. А потім за допомогою елементарної геометрії обчислили відстань від Землі до Сонця, яка приблизно дорівнює 150000000 км. Її вдалося з достатньою точністю вирахувати за допомогою радарів. Цю відстань прийнято називати астрономічною одиницею.
Найближча до Сонячної системи зоря – Проксима Центавра, відстань до неї становить 4,3 світлових роки, або 40 трильйонів км.
Але і цей шлях в порівнянні з розмірами нашого Всесвіту – лише піщинка, адже тільки та частинка Всесвіту, яку ми бачимо, простягається на 1,6 млн. млн. млн.. млн. км, – і не відомо, наскільки він великий за межами видимого.
Отже, математика – надзвичайно потрібна. З її допомогою людство зробило низку відкриттів і розгадало деякі секрети галактики.
Колись, відомий математик – Піфагор сказав: “У числових закономірностях захована таємниця життя”. І це дійсно так.
Математична фізика
Вивченням матемтичних моделей фізичних явищ займається математична фізика — велика галузь математики. У її акиві — глибоке аналітичне дослідження рівнянь дуже багатьох природних процесів, таких, як рух планет, течії рідин, пружні деформації, поширення хвиль, теплопровідність, дифузія і т.п. О.А.Самарський
МАТЕМАТИЧНА ФІЗИКА – теорія математичних моделей фізичних явищ займає особливе місце і у математиці, і у фізиці, перебуваючи на стику цих наук. Математична фізика тісно пов'язана з фізикою в тій частині, яка стосується побудови математичної моделі, і в той самий час математична фізика – розділ математики, оскільки методи дослідження моделей є математичними. У поняття методів математичної фізики входять ті математичні методи, які застосовуються для побудови і вивчення математичних моделей, що описують великі класи фізичних явищ.
Методи математичної фізики, як теорії математичних моделей фізики почали в кін. XVII ст. інтенсивно розроблятися в працях І. Ньютона по створенню основ класичної механіки, всесвітнього тяжіння, теорії світла. Подальший розвиток (XVIII – I-а пол. XIX ст.) методів математичної фізики і їх успішне застосування до вивчення математичних моделей величезного обсягу різних фізичних явищ пов'язані з іменами Ж. Лагранжа, Л. Ейлера, П. Лапласа, Ж. Фур’є, К. Гауса, Б. Римана, М. В. Остроградського та інших учених. Великий внесок до розвитку методів математичної фізики внесли А. М.Ляпунов і В. А. Стєклов. З II-ї пол. XIX ст. методи математичної фізики успішно використовувалися для вивчення математичних моделей фізичних явищ, зв'язаних з різними фізичними полями і хвильовими функціями в електродинаміці, акустиці, теорії пружності, гідро- й аеродинаміці та інших напрямах дослідження фізичних явищ у суцільних середовищах. Математичні моделі цього класу явищ найбільше часто описуються за допомогою диференційних рівнянь з частковими похідними, що одержали назву рівняння математичної фізики. Крім диференційних рівнянь математичної фізики, при описі математичних моделей фізики застосовуються інтегральні рівняння та інтеґро-диференціальні рівняння, варіаційні та теоретико-імовірнісні методи, теорія потенціалу, методи теорії функцій комплексної змінної і низка інших розділів математики. У зв'язку з бурхливим розвитком обчислювальної математики особливе значення для дослідження математичних моделей фізики здобувають прямі чисельні методи, скінченно-різницеві методи розв’язування крайових задач, що дозволило методами математичної фізики ефективно вирішувати нові задачі газової динаміки, теорії переносу, фізики плазми, у тому числі і зворотні задачі цих напрямків фізичних досліджень.
Теоретичні дослідження в області квантової фізики і теорії відносності, широке застосування комп’ютерів у різних областях математичної фізики, включаючи і зворотні (некоректно поставлені) задачі, викликали значне розширення використовуваного математичною фізикою, арсеналу математичних методів. Поряд із традиційними розділами математики стали широко застосовуватися теорія операторів, теорія узагальнених функцій, теорія функцій багатьох комплексних змінних, топологічні і алгебраїчні методи. Ця інтенсивна взаємодія теоретичної фізики, математики і використання комп’ютерів у наукових дослідженнях призвела до значного розширення математики, створення нових класів моделей і піднесло на новий рівень сучасну математичну фізику.
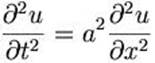
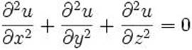
Постановка задач математичної фізики полягає в побудові математичних моделей, що описують основні закономірності досліджуваного класу фізичних явищ. Така постановка полягає у виведенні рівнянь (диференціальних, інтеґральних, інтеґро-диференціальних або алгебраїчних), яким задовольняють величини, що характеризують фізичний процес. При цьому вчені виходять з основних фізичних законів, що враховують тільки найбільш істотні риси явища, відволікаючись від низки його другорядних характеристик. Такими законами є звичайно закони збереження, напр. кількості руху, енерґії, числа часток. Напр., математичні задачі для найпростішого рівняння гіперболічного типу
,
отриманого Ж. Д’Аламбером (1747 р.) для опису вільних коливань однорідної струни, виявляються придатними і для опису широкого кола хвильових процесів акустики, гідродинаміки, електродинаміки та інших областей фізики. Аналогічно, рівняння
,
крайові задачі, яке спочатку вивчалося П. Лапласом (кін. XVIII ст.) у зв'язку з побудовою теорії тяжіння, надалі знайшло застосування при розв’язуванні багатьох проблем електростатики, теорії пружності, задач сталого руху ідеальної рідини тощо. Кожній математичній моделі фізики відповідає цілий клас фізичних процесів.
Для математичної фізики характерно також те, що багато загальних методів, які можна використати для розв’язування задач математичної фізики, розвивалися з частинних способів розв’язування конкретних фізичних задач, і у своєму первісному вигляді не мали строгого математичного обґрунтування і достатньої довершеності. Це відноситься до таких відомих методів розв’язування задач математичної фізики, як методи Рітца й Гальоркіна, до методів теорії збурень, перетворень Фур'є і багатьох інших, включаючи метод розділення змінних. Ефективне застосування всіх цих методів для розв’язування конкретних задач стало одним зі стимулів для їх строгого математичного обґрунтування й узагальнення, що призвело у деяких випадках до виникнення нових математичних напрямів.
Вплив математичної фізики на різні розділи математики виявляється й у тому, що розвиток математичної фізики, який відбиває вимоги природничих наук і запити практики, спричиняє переорієнтацію спрямованості досліджень у деяких вже сформованих розділах математики. Постановка задач математичної фізики, пов'язана з розробкою математичних моделей реальних фізичних явищ, призвела до зміни основної проблематики теорії диференціальних рівнянь у частинних похідних. Виникла теорія крайових задач, що дозволила згодом зв'язати диференціальні рівняння у частинних похідних, з інтеґральними рівняннями і варіаційними методами.
Вивчення математичних моделей фізики математичними методами не тільки дозволяє дослідити кількісні характеристики фізичних явищ і розрахувати із заданим ступенем точності хід реальних процесів, а й надає можливість глибокого проникнення до самої суті фізичних явищ, виявлення схованих закономірностей, передбачення нових ефектів. Прагнення до більш детального вивчення фізичних явищ призводить до усе більшого ускладнення математичних моделей, які описують ці явища, що, у свою чергу, унеможливлює застосування аналітичних методів дослідження цих моделей. Це пояснюється, зокрема, тим, що математичні моделі реальних фізичних процесів є, як правило, нелінійними, тобто описуються нелінійними рівняннями математичної фізики Для детального дослідження таких моделей успішно застосовуються прямі чисельні методи з використанням комп’ютерів. Для типових задач математичної фізики використання чисельних методів зводиться до заміни рівнянь математичної фізики для функцій неперервного аргументу алгебраїчними рівняннями для сіткових функцій, заданих на дискретній множині точок (на сітці). Іншими словами, замість неперервної моделі середовища вводиться її дискретний аналог. Застосування чисельних методів у ряді випадків дозволяє замінити складний, трудомісткий і вартісний фізичний експеримент значно економічнішим математичним (чисельним) експериментом. Досить повно проведений математичний експеримент є основою для вибору оптимальних умов реального фізичного експерименту, вибору параметрів складних фізичних приладів, визначення умов виявлення нових фізичних ефектів тощо. У такий спосіб чисельні методи надзвичайно розширюють область ефективного використання математичних моделей фізичних явищ. Математична модель фізичного явища, як усяка модель, не може передати всіх рис явища.
У багатьох випадках про адекватність прийнятої моделі можна судити на підставі розв’язування обернених задач математичної фізики, коли про властивості досліджуваних явищ природи, недоступних для безпосереднього спостереження, робляться висновки за результатами їх непрямих фізичних проявів. Для математичної фізики характерне прагнення будувати такі математичні моделі, які не лише дають опис і пояснення вже встановлених фізичних закономірностей досліджуваного кола явищ, а й дозволяють передбачити ще не встановлені закономірності. Класичним прикладом такої моделі є теорія всесвітнього тяжіння Ньютона, що дозволила не лише пояснити рух відомих до моменту її створення тіл Сонячної системи, але і передбачити існування нових планет. З іншого боку, нові експериментальні дані не завжди можуть бути пояснені в рамках прийнятої моделі. Для їхнього пояснення потрібне ускладнення моделі.
Невід’ємною частиною вивчення фізики є застосування визначеного інтеграла у фізиці.
Обчислення роботи змінної сили.
Нехай А(х ) – робота при переміщенні тіла з точки а у точку х . Надамо х приросту Dx . Тоді A (x + Dx ) - A (x ) – робота, яка виконується силою F(x) при переміщенні тіла з точки х у точку x + Dx . Коли Dx ® 0, силу F(x) на відрізку [x ;x + Dx ] вважатимемо сталою, що дорівнює F(x).
Тому A
(x
+ Dx
) - A
(x
) » F
(x
)×Dx
. Звідси
A
(x
+ Dx
) - A
(x
) » F
(x
).
Dx
Тоді lim
A
(x
+ D
x
)
-
A
(x
)
= F
(x
), або, за означенням похідної,
Dx ®0 Dx
A ¢(x ) = F (x ) .
Остання рівність означає, що A(x) є первісною для функції F(x) . Тоді, за формулою Ньютона – Лейбніца,
b
òF (x )dx = A (b ) - A (a ) = A (b ) = A ,
a
Оскільки А (а)= 0 .
Отже, робота змінної сили F(x) при переміщенні тіла з точки а в
b точку b дорівнює A = òF (x )dx .
a
Задача. Обчислити роботу, яку треба затратити для стискання пружини, якщо сила 4 Н стискає цю пружину на 2 см.
За законом гука F(x)=kx
. З умови задачі k
=
= 200.
Якщо повна довжина, на яку можна стиснути пружину l i F(x)= 200x , то
l
A
= ò200xdx
=100x
2
0
l
=100l
2
(Дж).
0
Обчислення маси неоднорідного стержня.
За означенням, лінійна густина r неоднорідного стержня дорівнює похідній функції m = m (l ), що виражає масу стержня як функцію його довжини. Отже. r= m ¢(l ) , тобто функція m = m (l ) є первісною для r= r(l ) . Звідси випливає. Що масу стержня на відрізку [l 1 ;l 2 ] можна обчислити за
l 1 формулою m = òr(l )dl .
l 2
Задача. Знайти масу неоднорідного стержня завдовжки 40 см, якщо його лінійна густина змінюється за законом p (l ) = 2l 2 +1 (кг/м).
l
Знайдемо масу стержня за формулою m = òr(x )dx :
0
m
= 0ò0,4(2l
2 +1)dl
= æçèç 23l
3 + l
ö÷ø÷ 00,4 = 2×(03,4)3 + 0,4 = 166
375 » 0,44 (кг).
Математика у хімії
“Якщо хтось хоче глибше осягнути хімічні істини, то він повинен вивчати механіку. А оскільки знання механіки передбачає знання чистої математики, то той, хто прагне до найближчого вивчення хімії, має
бути обізнаним і з математикою”. М.В.Ломоносов
“Багато з того, про що мріяв М.В.Ломоносов, здійснилось, і ряд хімічних теорій уже немислимий у наш час без серйозного використання
різноманітних засобів математики”. Б.В.Гнєденко
Дуже часто при розв’язанні задач з хімії можна почути від учителів: “Ось тут закінчилась хімія, почалась математика”. Ця цитата точно показує застосування математики у хімії.
Формуванню компетентного підходу до навчання хімії слугує математика. Використання математичних знань здійснюється під час розв’язання розрахункових хімічних задач. Хімія запозичила в математики не тільки обчислювальний апарат, а й сам процес розв’язання задач з хімії, що дозволяє підняти науковий рівень її викладання. Використання математичних виразів, симетрії, координатний метод, поняття про пряму і зворотну пропорційні залежності, і т. д., дозволяють глибше уявити просторову конфігурацію молекул, а від так пояснити хімічні властивості речовин.
Сучасна хімія не може обходитися без математичних обчислень, зокрема під час розрахунків хімічних процесів на виробництвах та ін. Розв’язування задач під час вивчення шкільного курсу хімії сприяє конкретизації й зміцненню знань учнів, активізує їхнє мислення, розвиває навички самостійної роботи і підвищує ефективність уроків. Уміння розв’язувати задачі розцінюється як одна з найважливіших умов інтеграції математичних знань в хімію. Багаторічний досвід роботи підтвердив, що задачі на обчислення можна використати під час вивчення хімії на різних етапах педагогічного процесу. Зокрема, як ілюстрацію хімічних закономірностей, принципів хімічної технології та хімізації народного господарства, під час формування понять про загальні принципи хімічних виробництв, продуктивність апаратури, якість і повноту переробки сировини, вихід готового продукту і т. д.
Розрахункові задачі пропонуються (поряд з іншими видами хімічних задач) під час закріплення матеріалу, перевірки знань і умінь учнів. Це не тільки сприяє активізації розумової діяльності учнів, а й уможливлює з’ясування міцності та глибини знань учнів, на основі яких формується комунікативні компетентності.
Розробляючи план розв’язання складної задачі, треба розкласти її на ряд простих, об’єднаних загальним змістом.
Задача. Гірник за 80 років роботи на шахтах видобув залізної руди масою 1 000 000 тонн, що містить 80% ферум (ІІІ) оксиду. Скільки велосипедів можна виготовити із цієї руди, якщо на виготовлення одного велосипеда витрачається заліза масою 20 кг. Пропонуються аналіз умови задачі проводити синтетичним методом.
1. Знаючи відсотковий зміст ферум (ІІІ) оксиду в залізній руді, можна знайти масу ферум (ІІІ) оксиду, що міститься у руді масою 1 млн. тонн.
2. Знаючи масу ферум (ІІІ) оксиду, можна знайти масу ферума, що в ньому міститься.
3. Знаючи загальну масу ферума і ту його масу, що витрачається на виготовлення одного велосипеда, можна визначити, скільки велосипедів буде виготовлено.
Простота синтетичного методу, можливість перекладу змісту задачі на мову математичних дій і виконання самих дій одночасно із складання плану задачі зробило цей метод досить поширеним на уроках хімії.
Використовуючи аналітичний метод аналізу умови задачі, ми йдемо протилежним шляхом – від шуканого числа до даних в умові чисел. На відміну від синтетичного аналітичний метод є рядом логічно зв’язаних між собою висновків, які впливають один на одного. В даній задачі потрібно вважати, по-перше, масу ферума, по-друге, масу ферум (ІІІ) оксиду в якому міститься ферум. Наприклад, розв’язування розглянутої вище задачі слід записати в робочих зошитах так:
Залізної руди – 1000000 т. W (Fe 2 O 3 ) – у руді 80% = 0,8 m Fe (на 1 велосипед) – 20 кг
Велосипедів – х штук
1. Скільки тонн ферум (ІІІ) оксиду міститься в залізній руді масою 1000000 тонн.
1000000 т ´ 0,8 = 800000 т
2. Скільки тонн ферума міститься в його оксиді масою 800000 т.
800000т y
Fe 2 O 3 2Fe
=
56´2 +16´3 2´56
y
=
800000т
´112т
= 560000т
160т
3. Скільки велосипедів можна виготовити із ферума масою 560000 т? 560000000 : 20 = 28000000 (шт).
Крім математичної культури в процесі вивчення хімії використовують різні математичні поняття, зокрема поняття відсотка. На основі останнього учні навчаються розв’язувати задачі трьох основних типів.
1) на знаходження відсотків від даного числа.
2) на знаходження числа за даними відсотками.
3) на знаходження відсоткового відношення двох чисел. Задачі кожного із цих типів слід розв’язувати таким способом:
а) перетворення у дріб;
б) зведення до одиниці;
в) способом пропорцій;
г) за формулою.
Слід зазначити, що задачі на обчислення відсоткового складу і відсоткового вмісту розв’язуються в основному першим способом.
Задача. Обчислити масову частку купрума в купрум (ІІ) оксиді
Mr (CuO ) = 64 +16 = 80
1. скільки відсотків становлять 64 масових часток Сu від 80 масових часток купрум (ІІ) оксиду
64 : 80 = 0,8 = 80%
2. Скільки відсотків становлять 16 масових часток оксигену від 80 масових часток купрум (ІІ) оксиду
16 : 80 = 0,2 = 20%
Перевірка: 80% + 20% = 100%
Розв’язуючи задачі за хімічними формулами і рівняннями можна застосувати як пропорції, так і спосіб зведення до одиниці.
Детальніше розглянимо останній спосіб:
Задача. Яка маса ферума міститься в ферум (ІІІ) оксиді масою 40 г?
40г x
Fe 2 O 2 2Fe
= 1моль
2моль
160г 112г
1. За формулою Fe 2 O 3 знаходимо масу 1 моля ферум (ІІІ) оксиду
Mr = 2×56 + 3×16 =160 M =160 г/моль m =160 г
2. Визначаємо масу ферума, що міститься в його оксиді масою 160 г
112гFe
![]()
160гFe 2 O 3
3. знаходимо масу ферума, що міститься в його оксиді масою 40 г
112гFe
´40гFe
2O
3 = 28гFe
160гFe
2O
3
Для розв’язання задач на суміші можна використати як алгебраїчний і арифметичний способи, так і спрощені способи розв’язування, використовуючи квадратні рівняння. Причому, методика розв’язування задач за допомогою квадратних рівнянь, не відрізняється від розв’язання задач алгебраїчним способом.
Задача. При розкладі сульфату металічного елементу (ІІІ) масою 20% добули його оксид, маса якого на 48 г менша від молярної маси цього металічного елемента. Сульфат якого елемента розкладали?
Розв’язування. Масу моля металічного елемента позначимо через x г .
| пропорцію: |
|
| 20г |
x - 48 |
| Me 2 (SO 4 )3 = |
Me 2 O 3 + 3SO 3 |
| 2x + 288 |
(2x + 48) |
| 20 = x - 48 |
2x + 288 2x + 48 |
![]()
Тоді маса утвореного оксиду (x
- 48) г. Складемо хімічне рівняння і
Складемо рівняння: 20 (2х + 48) = (х – 48)х (2х + 288), з якого дістаємо квадратне рівняння?
2x 2 +152x -14784 = 0 x = 56 (г/моль)
Розв’язання таких задач значно піднімає рівень математичної культури на уроках хімії і тому потрібно вміти складати їх умови.
Не слід вважати, що для вивчення хімії необхідні тільки знання арифметики та алгебри. Великий вклад у вивчення ряду тем з хімії вносять знання з геометрії і тригонометрії. Вивчаючи в 9 класі металічний зв’язок і кристалічну будову металів, використовуємо знання учнів з геометрії, зокрема, для обчислення густини металів і об’єму, який займають атоми в кристалах металів.
V
a
=
4pr
3 3
Знання з тригонометрії використовуються при виготовленні кулестержневих моделей насичених і ненасичених вуглеводів. Використання цих знань не тільки полегшує виготовлення моделей, удосконалює практичні навички учнів, а й показує, що для розв’язання практичних завдань з хімії необхідні знання з математики.
Початкові розрахунки у хімії були давно, так алхіміки вели записи, що і в якій кількості вони змішували і який з цього вийшов результат. Згодом змінюючи кількість, слідкували за тим, як буде змінюватися реакція. Слідкуючи за змінами вибирали таку, при якій реакція була оптимально якісна, а для зручності запису та розуміння проведеної реакції почали вести записи у пропорціях. Це і є пряме використовування математики у хімії. Сьогодні кожен школяр при розв’язуванні елементарного рівняння використовує методи складання пропорцій та їх розв’язку.
Але сьогодні нам відомо багато елементів, реакцій, розрахунків, які не можемо споглядати. Як ми дізнаємося про їх існування та про властивості цих речовин? Все завдяки новітнім технологіям та математичним розрахункам, точніше, побудові математичної моделі. Саме завдяки точним математичним розрахункам та врахуванням хімічних властивостей елементів, Д.І. Менделєєв створив свою періодичну систему хімічних елементів. Новий поштовх для розвитку хімії настав із впровадженням комп’ютерів. Древні алхіміки намагалися добути із свинцю та олова золото, але мало хто з них міг здогадуватися, що із золота можна добути будь який метал. Як? Дуже просто з математичної точки зору. Золото єдиний метал, який може розростатися у товщину в одну молекулу без серйозної деформації. Після цього пластинку потрібно бомбардувати із протонної гармати, щоб вільні електрони почали вибивати електрони із атомів золота. Таким чином кількість електронів буде змінюватися, відповідно буде змінюватися і маса, а значить будуть змінюватися і властивості нового металу.
Математичні моделі дають можливість зекономити тисячі гривень, на непотрібні експеременти. Наврядчи, якийсь завод може дозвилити собі такі експеременти, а точні математичні розрахунки дозволяють прорахувати результат на 99%.
Задача 1 . Є два шматки сплаву міді і цинку з відсотковим вмістом міді р% і q% відповідно. У якому відношенні потрібно взяти ці сплави щоб, переплавивши узяті шматки разом, одержати сплав, що містить r% міді?
Розв’язок. Концентрація міді в першому сплаві дорівнює
p
, у 100
другому сплаві
q
.
100
Якщо першого сплаву взяти х кг, а другого у кг, то за допомогою концентрацій (ясно, що мова йде про вагові концентрації) можна “розщепити” ці кількості на окремі складові:
x
=
xp
(кг міді) + x
(1-
p
)(кг цинку) і
100 100
y
=
yq
(кг міді) + y
(1-
q
) (кг цинку).
100 100
Кількість міді в сплаві, що вийшов, дорівнює
xp yq
+ (кг міді),
100 100
а маса цього сплаву складе х + у кг. Тому нова концентрація міді в
сплаві, відповідно до визначення, дорівнює
xp yq
+
100 100 . x + y
За умовою задачі ця концентрація повинна дорівнювати r/100:
xp yq
+
100 100
= r
, чи x
+ y
100
xp + yq
=r
.
x + y
Розв’яжемо отримане рівняння. Насамперед помітимо, що рівняння містить два невідомі х і у. Неважко зрозуміти, що обидва невідомих однозначно не знаходяться. Концентрація сплаву, що виходить, визначається не масою узятих шматків, а відношенням цих мас. Тому в задачі і потрібно визначити не самі величини х і у, а тільки їхнє відношення.
Відзначимо попутно, що вираз виду
F
(x
, y
) =
ax
+by
, cx
+dy
назване дробово-лінійною функцією, часто зустрічається в задачах на складання рівнянь. Чисельник і знаменник цього дробу лінійний однорідні вирази, що залежать від х и у. Якщо не розглядати випадок у=0, то функція F(x,у) залежить фактично тільки від однієї змінної, а саме від відношення
x
:
y
ax
F
(x
, y
) = y
+
b
= y
. cx x y
+ d
При цьому рівняння F (x , y ) = 3 дозволяє знайти це відношення.
Запишемо рівняння задачі в наступному виді: x (p - r ) = y (r - q ).
Розглянемо можливі випадки:
а) p =r =q .
У цьому випадку концентрації всіх сплавів однакові і рівняння показує, що є безліч розв’язків. Можна взяти як завгодно першого сплаву і як завгодно другого сплаву.
б) p = r ¹ q .
У цьому випадку рівняння здобуває вид x 0 = y (r - q ),
Відкіля знаходимо: х – будь-яке, у = 0. Фізичний змісту цього рішення зрозумілий: якщо концентрація сплаву, що потрібно одержати, збігається з концентрацією першого сплаву, але не дорівнює концентрації другого сплаву, те першого сплаву можна взяти скільки завгодно, а другого сплаву не брати зовсім.
в) p ¹ r = q .
Одержуємо рівняння x (p - r ) = y 0
відкіля знаходимо: у – будь-яке, х = 0.
г) p ¹ r , p ¹ q ,r ¹ q .
У цьому випадку можна написати
x = y r - q p -r
x r - q
= . y p
-r
Це значення буде давати розв’язок задачі, який, як неважко показати, має місце, якщо значення r є між значеннями р і q. Таким чином, можна одержати сплав з будь-яким процентним умістом міді між р і q.
Незважаючи на те, що цей приклад дуже простий, він досить добре ілюструє основний метод розв’язку задач, зв’язаних із сумішами. Розглянемо ще одну задачу.
Задача 2 . Три однакові пробірки наповнені до половини розчинами спирту. Після того як уміст третьої пробірки розлили порівно в перші дві, об’ємна концентрація спирту в першій зменшилася на 20% від початкової, а в другий збільшилася на 10% від початкового значення. В скількох разів первісна кількість спирту в першій пробірці перевищувало початкову кількість спирту в другій пробірці?
Розв’язок. Введемо в розгляд об’єм половини пробірки V0 і концентрації розчинів спирту в кожній із пробірок с1 , с2 і с3 . Тоді початкова кількість спирту в першій пробірці дорівнює V0 с1 , у другий V0 с2 , у третьої V0 с3 (мал. 3).

Для того щоб розв’язати задачу, підрахуємо кількість спирту в першій і другій пробірках після того, як туди додадуть уміст третьої пробірки. Ці кількості будуть рівні:
у першій пробірці
V0с1 +
1 V0c3 , 2 в другій пробірці
V0с2 +
1 V0c3 .
2
Знайдемо нові концентрації спирту в цих пробірках. Для першої пробірки вона дорівнює
V 0c 3
1
с1 = V0 с1 +,
2 2V 0
для другої с2
= V0
с2
+
1 V
0
c
3
.
2 2V 0
За умовою задачі с1 * = 0,8c1 і с2 * = 1,1с2 , Тоді маємо систему двох рівнянь із трьома невідомими:
2 1
3
c1 +
3
c3
= 0,8c1
,
2 1
3
c2 +
3
c3
= 1,1c2
, чи
2c1 – 5c3 = 0,
13c2 – 10c3 = 0 .
З цієї системи, так само як і в попередній задачі не можна визначити всі три концентрації с1 , c2 і c3 . Але завдяки тому, що рівняння системи являють собою однорідні лінійні вирази, з неї можна знайти відношення
двох концентрацій до третього наприклад, c 1 і c 2 : c 3 c 3
m = c
1
=
5 , n = c
2
= 10
. c
3
2 c
3
13
Кількість спирту в першій пробірці відноситься до кількості спирту в другій пробірці, як
m
. Дійсно, n
V 0 c 1 m 13
= = .
V 0 c 2 n 4
Тому відповідь у даній задачі така:
.
З наведених прикладів бачимо, що математика у хімії використовується у розрахунках та відношеннях. Завдяки цим розрахункам хімія одержала широке використання і може приносити гігантську користь людству у всіх галузях науки.
Математика в біології
“Біологи використовують математичний апарат, але поки що складні системи, які вони вивчають, не піддаються математичному описові. Теоретичний аналіз механізмів самовідтворення й може привести в майбутньому до появи такого опису”. Е.Мур
“Із самого початку, який можна зв’язати з появою (опублікуванням) близько 200 років тому праці Леонарда Ейлера з математичної теорії кровообігу, математична біологія розвивалася майже виключно завдяки розробці фізико-математичних і суто формальних математичних моделей різних біологічних явищ”. Н.Рашвський
Єдине що можна додати це те, що любий організм – це складна система важелів і механізмів, а значить галузь вивчення механіки, а також і математики. Сьогодні все більше і більше у біологію починають впроваджувати новітні технології, а значить розширюється поле праці математиків.
1. Будова білків.
Для роз’язування цього типу задач необхідно знайти лінійні розміри амінокислот і їх середньої молекулярної маси.
l – лінійні розв’язки амінокислот l амінокислот = 0,35 нм
1 нм = 10- 6 мм
М – молекулярна маса
М середня 1 амінокислоти = 110 дальтон 1 дальтон = В. а. о.
Задача 1. молекулярна маса каталази 224 000 дальтон. Скільки амінокислотних ланок у цій молекулі?
Дано:
М (каталази) = 224 000 дальтон М (середня амінокислот) = 110 дальтон п = М білку : М (середня амінокислот) п = 224 000 : 110 = 2036
Відповідь. У цій молекулі 2036 амінокислотних ланок.
Задача 2. молекулярна маса пепсину 35 500 дальтон. Яка довжина первинної структури цього білка?
Дано:
М (пепсину) = 35 500 дальтон М (середня амінокислот) = 110 дальтон lа = 0,35 нм
l первинна структура білка пепсину
Розв’язування
1. Взначаємо кількість амінокислотних ланок п = 35 500 дальтон :
110 дальтон = 323 ланок.
2. Визначимо довжину первинної структури білка:
l = п ´ la , де п – кількість амінокислот l = 323 ´ 0,35 мм = 113,05 нм
Відповідь. Довжина первинної структури цього білка становить 113,05 нм.
3. Нуклеїнові кислоти
Молекулярна маса 1 нуклеотиду = 330 дальтон. Лінійні розв’язки 1 нуклеотиду = 0,34 нм.
Задача 3. У молекулі ДНК аденілові нуклеотиди складають 15% від загальної кількості. Визначте відсотковий вміст інших видів нуклеотидів.
Дано:
А = 15% Розв’язування
Т (%) – ? 1. За правилами Чарграфа
Г (%) – ? А = Т, Г = Цто Т = 15%
Ц (%) – ? 2. Т + А = 15% + 15% = 30%
3. (А + Т) + (Г + Ц) = 100%
(Г + Ц) = 100% – (А + Т)
(Г + Ц) = 100% – 30% = 70%
4. Г = Ц = 70% : 2 = 35% Відповідь: Т = 15%, Г = 35%, Ц = 35%.
Математика у економіці
“Розквіт і інтереси математики тісно пов’язаніз добробутом
держави”. Наполеон “Історія розвитку будь-якої науки показує, що вона стає точною після того, як її головні критерії і основні закономірності дістають кількісне, математично сформульоване вираження. Економічна наука не є
винятком”. В.С.Немичнов
“У багатьох розділах хімії, біології та інших природничих науках широко використовують метод математичного опису. В останні десятиріччя цей меод переступив межу суспільних наук. Його “першою
жертвою” стала економіка”. М.М.Мойсєєв
“Економіка ніколи не обходилась без арифметики, починаючи із статистики, яка дає змогу кількісно аналізувати економічні процеси в минулому, і використовувати перспективний план, цифри якого розкривають речовий вартісний зміст майбутніх років життя держави й
суспільства”. М.П.Федоренко
Економіка — це особлива сфера життя суспільства, що охоплює виробництво товарів та послуг, обмін ними і розподіл створених у суспільстві благ їх споживання.
Вивчення економіки сьогодні є необхідною складовою базової освіти. У системі економічних відносин кожен із нас виступає повноправним учасником господарського життя у країні та світі спочатку як споживач, а згодом як виробник товарів і послуг. Поза економікою не залишається ніхто. Тому знання цієї науки допоможуть зорінтуватися у навколишньому світі, цілеспрямовано приймати раціональні рішення, виявляти свої сильні і слабі сторони на ринку праці.
Економіка – це суспільна наука. Знання з економіки потрібні кожній людині не менше, ніж знання з хімії чи фізики, географії чи біології. Людина живе у світі економічних явищ, вона купує і продає, отримує доходи і сплачує податки, наймається на роботу, розпочинає свою справу.
Зрозуміло, що краще, коли людина чинить ці дії свідомо, рціонально використовуючи власні сили та інші ресурси.
Економіка – це наука досить складна. Вона пов’язана з іншими дисциплінами, а саме:
– статистикою;
– математикою;
– історією; – соціологією;
– психологією.
Важливий зв’язок економіки з математикою. Адже при вивченні багатьох тем потрібно користуватися таблицями, будувати графіки, роз’язувати складні задачі.
Задача 1. ВНП (внутрішній національний продукт) у США у 1988 р. становив 4 861,8 млрд. $, споживчі витрати – 3 226 млрд. $, інвестиції – 765,5 млрд. $, державні витрати 936,3 млрд. $. Знайти чистий експорт.
ЧЕ = ВНП – СВ – ІВ – ДВ
ЧЕ = 4 861,8 – 3 226 – 765,5 – 936,3 = – 66 млрд. $ (переважав імпорт)
Відповідь: ЧЕ = 66 млрд. $
Задача 2. ВНП Українм у 1991 р. становив 295,4 млрд крб., національний дохід 224,3 млрд. крб. Знайти амортизацію.
А = ВНП – НД
А = 295,4 – 224,3 = 71,1 А = 71,1 млрд. крб.
Відповідь: А = 71,1 млрд. крб.
Задача 3. Ви розпочинаєте власну справу – виробництво пиріжків. Крім вас, на ринку є ще один виробник. Ваші пиріжки смачніші – вони випечені з кращого борошна на вершковому маслі, і оцінюються у 10 б., а у вашого конкурента у 8 б. Але ваш пиріжок коштує 240 грошова одиниця (г. о.), а в конкурента – 220 г. о. Визначте коефіцієнт конкурентності вашого виробу?
k k = споживчі властивості товару зразка/ціна товару зразка : соживчі властивості власного товару/ціна власного товару k <1 ваш товар кращий k >1 кращій товар конкурента k =1 рівні можливості
k
=
:
= 0,9 .
Відповідь: Ваш товар кращий ніж у конкурента.
Задачі на банківські відсотки:
За збереження заощаджень вкладника і дозвіл розпоряджатися цими грошима банк виплачує вкладнику відсотки до суми грошей, що зберігається. У залежності від способу нарахування відсотки поділяються на прості і складні.
1. Прості відсотки.
Збільшення внеску S0 за схемою простих відсотків характеризується тим, що суми відсотків протягом усього терміну збереження визначаються виходячи тільки з первісної суми внеску незалежно від терміну збереження і кількості періодів нарахування відсотків. Нехай вкладник відкрив рахунок і поклав на нього S0 гривень. Нехай банк зобов'язується виплачувати наприкінці кожного року р% від первісної суми S0. Тоді після
закінчення одного року сума нарахованих відсотків складе
S
0
p
грн., і
100
величина внеску стане рівної S1
=S0
(1+
p
) . Величину р% називають
100
річною процентною ставкою. Якщо залишити внесок ще на рік, то нарахування процентної ставки виробляється на первісний внесок S0 і не
виробляється на величину
S
0
p
. Тобто, через n років сума нарахованих 100
відсотків складе Sn
=
nS
0
p
грн., а величина внеску разом з відсотками 100
складе Sn
= S0
(1+
np
) грн. Відношення
S
n
називають коефіцієнтом
100 S 0
нарощування простих відсотків.
Задача 1.
Вкладник відкрив у банку рахунок і поклав на нього S0 = 150 000 грн. терміном на 4 роки під прості відсотки по ставці 18% у рік. Якою буде сума S4 , що вкладник одержить при закритті внеску? На скільки грн. виросте внесок за 4 роки? Чому дорівнює коефіцієнт нарощування?
Розв’язок.
У нашому випадку S0 = 150 000, p = 18, n = 4. По формулі Sn = S0 . ( 1 +
n
×
p
) грн. маємо S4 =150 000 .
( 1 +18
,4
) = 258 000 грн.
100 100
За 4 роки внесок збільшився на 108 000 карбованців: 258 000 карбованців – 150 000 карбованців. Коефіцієнт нарощування по формулі
S n p ×n S 4
= (1+
) дорівнює
= 1,72. Він показує, що за 4 роки первісний
S 0 100 S 0
внесок S0 збільшився в 1,72 рази.
Задача 2.
Яку річну ставку простих відсотків виплачує банк , якщо внесок 12 000 грн через 3 роки досяг величини 14 160 грн.? Визначите коефіцієнт нарощування.
Розв’язок.
За умовою, S0 = 12 000, S3 = 14 160, n = 3. Зі співвідношення n × p
S
n
= S
0
(1+
) грн. шукаємо p. Підставляємо в отримане рівняння задані 100 значення, обчислюємо результат: p = 5,9, тобто p » 6% . Коефіцієнт
нарощування дорівнює
S
3
= 1,18.
S 0
2. Складні відсотки.
Якщо відсотки нараховуються не тільки на первісний внесок, але і на прирослі відсотки, то таке нарахування називають правилом складних відсотків. Це правило тісне зв'язано з формулою визначення концентрації розчину після n переливань.
Ми говоримо, що маємо справу з “складними відсотками”, у тому випадку, коли деяка величина піддається поетапній зміні. При цьому щораз її зміна складає визначене число відсотків від значення, що ця величина мала на попередньому етапі.
Розглянемо спочатку випадок, коли наприкінці кожного етапу величина змінюється на ту саму постійну кількість відсотків - р%.
Деяка величина S, вихідне значення якої дорівнює S0 , наприкінці першого етапу буде дорівнює
![]()
1
= S
0
+ p
×S
0
= S
0
æç1+ p
ö÷ .
S
100 è 100ø
Наприкінці другого етапу її значення стане рівним
S 0æç1+ p ö÷× p 2
![]()
S
2 = S
1 +
S
1 × p
= S
0æç1+ p
÷ö+ è 100ø = S
0çæ1+ p
ö÷çæ1+ p
÷ö = S
0æç1+
p
÷ö
100 è 100 ø 100 è 100øè 100ø è 100ø
S
2 = S
0 æç1+
p
ö÷2 . è 100ø
Тут множник 1+p/100 показує, у скількох разів величина S збільшилася за один етап.
Наприкінці третього етапу
S
3 = S
2 + S
2 æç
p
÷ö = S
0 æç1+
p
ö÷3
è100ø è 100 ø
Неважко зрозуміти, що наприкінці n-го етапу значення величини S
визначиться формулою S
n
= S
0
æ
ç1+
p
ö
÷n
(1) è 100ø
Формула (1) є вихідною формулою при розв’язанні багатьох задач на відсотки.
Задача 5. Банк має вклади (депозити) від клієнтів на суму 100 млн грошових одиниць і сплачує 8% по вкладах. Він надає кредити на суму 95 млн. грошових одиниць і бере 12% за кредит. Яким буде прибуток банку?
100 млн. г. о. – 100% х г. о. – 8%
х
= 100
млн
.г
.о
.×8% = 8 млн. г. о. 100% 95 млн. г. о. – 100% х
г. о. – 12%
х
=
95млн
.г
.о
.×12% = 114 тис. г. о.
100%
Задачав 6. У 1620 р. Пітер Мініт купив острів Манхеттен у індіанців за дрібнички, які тоді коштували приблизно 25$. Яку суму отримали б нащадки тих індіанців у 2008 р. якби покласти ці гроші в банк під 5 % річних з нарахуванням складних відсотків.
2008 р. – 1620 р. = 388 років
S
388 = 25æ
ç1+
5 ö
÷388 . è 100ø
Як показує практика для проведення середніх розрахунків достатньо знань 9-го класу з математики.
Якщо бути точним то в економіці окрім прямих розрахунків, математичного аналізу, статистики, широко використовується теорія ймовірності, та залежність одного фактору від іншого, тобто певна функція.
Задача. Знайти надлишок і нестачу пропозиції зерна, та перенести дані на графік і визначити ціну ринкової рівноваги.
| ціна за 1 ц, гошових одиниць |
величина пропозиції за місяць, Ц |
величина попиту за місяць, ц |
надлишок пропозиції, +, ц нестача пропозиції, – , ц |
| 500 400 300 200 100 |
32 30 25 15 0 |
10 15 25 40 60 |
+ 22 +15 0 - 25 - 60 |
![]()
Графічне зображення даних таблиці показує, що криві попиту (DD) і пропозиції (SS) перетинаються лише в одній точці (Е). Цій точці відповідає ціна рівноваги попиту і пропозиції. Якщо ціна встановлюється на рівні, який перевищує ціну рівноваги, пропозиція перевищує попит, виникає надлишок. Коли ціна нижча, ніж ціна рівноваги, попит перевищує пропозицію, виникає дефіцит.
Економічний зміст похідної.
З економічним змістом похідної учні знайомляться на конкретних прикладах після засвоєння правил диференціювання.
Нехай функція u = u (t ) виражає кількість виробленої продукції u за час t . Необхідно знати продуктивність праці в момент t 0 . Очевидно, за період часу від t 0 до t 0 + Dt кількість виробленої продукції змінится від значення u 0 = u (t 0 ) до значення u 0 + Du = u (t 0 + Dt ) ; тоді середня
продуктивність праці за цей період часу W сер . = D u . Очевидно, що
Dt
продуктивність праці в момент t 0 можна визначити як границю середньої продуктивності праці за час від t 0 до t 0 + Dt при Dt ® 0 , тобто
W = lim W = lim = u
t 0 сер . t 0 D u ¢(t ).
D® D® Dt
Отже, похідна обсягу виробленої продукції щодо часу u ¢(t 0 ) – це продуктивність праці в момент часу t 0 . Застосування економічного змісту похідної закріплюємо розв’язуванням таких прикладів:
Задача. Обсяг продукції u (ум. од.) цеху протягом робочого дня є функцією u (t ) = -t 3 -5t 2 + 75t + 425, де t – час (год.). Знайти продуктивність праці через 2 год. від початку роботи.
Розв’язування. Продуктивність праці визначається похідною u ¢(t ). Тоді u ¢(t ) = (-t 3 -5t 2 + 75t + 425)¢ = -3t 2 -10t + 75. Знаходимо продуктивність праці у момент часу t = 2, тоді u ¢(2) = -3×22 -10×2 + 75 = -36 - 20 + 75 =19 (од.)
Відповідь: продуктивність праці через 2 год. від початку роботи становить 19 одиниць.
ЗАДАЧІ НА ЗРОСТАННЯ ПРОДУКТИВНОСТІ
1. Виробництво продукції за перший рік роботи підприємства зросло на р%, а за наступний рік у порівнянні з першим воно зросло на 10% більше, ніж за перший рік. Визначити, на скількох відсотків збільшилося виробництво за перший рік, якщо відомо, що за два роки воно збільшилося в цілому на 48, 59%?
Розв’язок.
За перший рік виробництво зросло в æ
ç1+
p
ö
÷ раз у порівнянні з è 100ø
початковим, за другий рік – у æ
ç1+
p
+
10
ö
÷ раз у порівнянні з початком è 100 ø
другого року й у æç1+ p
ö÷æç1+ p
+10 ö÷ у порівнянні з початком першого
è 100øè 100 ø
склало 1,4859:
æç1+ p
ö÷æç1+ p
+10ö÷ =1,4859 è 100øè 100 ø
Звідси р = 17%
2. Протягом року завод двічі збільшував випуск продукції на те саме число відсотків. Знайти це число, якщо відомо, що на початку року завод щомісяця випускав 600 виробів, а наприкінці року став випускати щомісяця 726 виробів.
Розв’язок.
Нехай х – відсоток приросту продукції. Тоді після першого збільшення
Випуск зросте в (1+х) разів, після другого – у стільки ж. Тобто
600(1+х)(1+х) = 726
Звідси х = 10%
3. В оленярському радгоспі череда збільшується в результаті природного приросту і придбання нових оленів. На початку першого року череда складала 3000 голів, наприкінці року радгосп купив 700 голів. Наприкінці другого року череда складала 4400 голів. Визначити відсоток природного приросту.
Розв’язок.
Нехай х – відсоток природного приросту. Тоді наприкінці 1-го року в
череді стане 3000æ
ç1+
x
ö
÷ + 700 оленів. За другий рік число оленів è 100ø
збільшиться в 1+
x
раз у порівнянні з початком року і стане 4400. 100
æ
çèç3000æ
çè1+ 100
x
ö
÷ø + 700÷÷
øö
èæ
ç1+ 100
x
øö
÷ = 4400.
Звідси х=10%
Як бачимо без математики навіть у елементарних розрахунках не можна обійтися, що ж казати про більш складні операції та побудову бізнес планів.
Математика у гуманітарних науках
У період пошуку відповідей на мої питання з’явилося багато ще багато питань, одне з яких: “Де саме і як саме використовується математика у гуманітарних наука?”.
Імітаційна модель — один з найпотужніших інструментів аналізу в суспільних науках і насамперед в історії… Вивчення історичних процесів за допомогою імітаційних моделей може дати історикові матеріал
унікальної цінності М.М.Мойсеєв
Математика у філософії
“…від стародавньої філософії до самого Сократа…головним предметом філософії були числа й рухи: звідки все береться, до чого
приходить…” М.Ціцерон
“…засновники філософії не хотілі допускати до вивчення мудрості людей, не обізнаних з математикою”. Р.Декарт
“… математичні доведення були зразками як для діалектики Платона, так і для логіки Арістотеля”. Б.Л. Ван дер Варден
Основне питання філософії математики полягає у встановленні взаємовідносин між абстрактними математичними поняттями і теоріями з одного боку, та реальним світом — з іншого.
Якщо філософія, повторимо ми вслід за Вітгенштайном, є діяльністю, спрямованою на прояснення розпливчастих думок, то такою ж діяльністю, лише стосовно ряду природничих і соціальних наук, є і математика. Межі математичної абстракції, ефективної в природничих науках, особливо яскраво проявляються при зіткненні зі сферою духовного; внутрішній світ людини не піддається пізнанню математичними методами. Та чи означає це дегуманізованість математики? На нашу думку, гуманістичний аспект математики складає її нетривіальну компоненту; той факт, що різні вчені-математики розв’язують одну й ту ж проблему майже однаковими міркуваннями, часто дуже складними, свідчить на користь глибокої “вмонтованості” математичних понять в людську свідомість. Складається враження, що в ході свого еволюційного розвитку сама природа вклала математику в людський розум, як реально існуючу структуру, невід’ємну від неї самої (Г. Айленбергер).
Математика і психологія
“Математика, як найбільш розумова галузь наук, має природну спорідненість з психологією — наукою про розум”. Г.Біркгоф
“Психологи, які користуються факторним аналізом, давно вже набили руку на матричних операціях. Теорія і формули класичного множинного регресійного аналізу значно спрощуються при використанні матричної системи запису”. М.Бартлет
У психології математичні методи мають широке застосування. Це зумовлене декількома моментами:
1. Математичні методи дають змогу зробити процес дослідження явищ більш чітким, структуралізованим та раціональним.
2. Математичні методи необхідні для обробки великої кількості емпіричних даних (їхніх кількісних виразників), для їх узагальнення та організації в “емпіричну картину” дослідження.
Залежно від функціонального призначення методів та потреб психологічної науки виділяють дві групи математичних методів, використання яких у психологічних дослідженнях є найчастішими: Перша — методи математичного моделювання;
Друга — методи математичної статистики (або статистичні методи)
а) Як засіб організації теоретичного дослідження психологічних явищ через побудову закономірностей функціонування та розвитку змодельованої системи.
б) Як засіб алгоритмів діяльності людини в різноманітних ситуаціях її пізнавальної та перетворюючої і побудова на їх основі пояснюючих, розвиваючих, навчальних, ігрових та інших комп’ютерних моделей.
Статистичні методи в психології — методи прикладної математичної статистики, які застосовуються в психології здебільшого для обробки експериментальних даних. Основна мета застосування статистичних методів — підвищення обґрунтованості висновків у психологічних дослідженнях за рахунок використання імовірнісних моделей.
Можна виділити такі напрями використання статистичних методів у психології:
а) Описова статистика, яка включає групування, табулювання, графічний вираз та кількісну оцінку даних;
б) Теорія статичного висновку, яка використовується в психологічних дослідженнях для передбачення результатів з даним обстежуванням вибірок.
Особливо поширеними статистичними методами є: кореляційний аналіз, регресивний аналіз та факторний аналіз.
Кореляційний аналіз — це комплекс процедур статичного дослідження взаємозалежних змін, що перебувають у кореляційних відношеннях: при цьому переважає нелінійна їхня залежність, тобто значенню будь-якої окремо взятої змінної може відповідати деяка кількість значень змінної іншого ряду, що відхиляються від середнього в ту чи іншу сторону. Кореляційний аналіз — це один з допоміжних методів вирішення теоретичних завдань у психодіагностиці, що включає в себе комплекс статистичних процедур, які широко застосовуються для розробки тестових та інших методик психодіагностики, визначення їхньої надійності, валідності. У прикладних психологічних дослідженнях кореляційний аналіз виступає одним з основних методів статистичної обробки кожного емпіричного матеріалу.
Регресійний аналіз у психології — це метод математичної статистики, яка дає змогу вивчати залежність середнього значення будьякої величини від варіацій іншої величини, або декількох величин (у цьому випадку використовують множинний регресійний аналіз). Поняття регресійного аналізу ввів Ф.Гальтон , який установив факт визначеного співвідношення між зростом батьків та їхніх дорослих дітей. Він помітив, що у батьків найнижчого зросту діти виявляються дещо вищими, а у батьків найвищого зросту — нижчими. Такого роду закономірність він назвав регресією. Регресійний аналіз використовується переважно в емпіричних психологічних дослідженнях для вирішення завдань пов’язаних з оцінкою будь-якого впливу (наприклад, впливу інтелектуальної обдарованості на успішність, мотивів — на поведінку, тощо), при конструюванні психологічних тестів.
Факторний аналіз — метод математичної статистики, який використовується у процесі дослідження статистично пов’язаних ознак з метою виявлення деяких прихованих від безпосереднього спостереження факторів. За допомогою факторного аналізу не просто встановлюється зв’язок між змінними, що перебувають у стані перетворень, а виявляються основні фактори, що лежать в основі вказаних перетворень. Особливо ефективним факторний аналіз може бути на початкових стадіях дослідження, коли потрібно з’ясувати деякі попередні закономірності в досліджувальній сфері. Це дасть змогу експеримент зробити більш досконалим порівняно з експериментом, заснованим на змінних, обраних довільно, або випадково.
У цьому математичні методи можуть бути досить ефективними та корисними в організації і проведенні психологічних досліджень, проте необхідно пам’ятати, що математичний метод, як і будь-який інший, має свою сферу застосування та певні дослідницькі можливості. Застосування методу зумовлене природою предмета дослідження та завданнями пізнавальних дій дослідника. Ці вимоги стосуються і методів математичних.
В історії застосування психологією математичних методів були різні періоди: від абсолютизації їхніх можливостей та вимог обов’язкового застосування їх з психологічної практики. В дійсності ж має бути збережений своєрідний пріоритет, а основою його становлення повинен бути один із принципів психологічного дослідження — вимога змістовності та процедурної спорідненості природи досліджуваного явища та методу, який використовується (або системи методів). Статистичний аналіз дає змогу встановити та визначити кількісну залежність явищ. Проте не розкриє її змісту, і водночас побудова надійних і валідних тестів неможлива без застосування математичних методів. Отже дотримання принципів організації психологічних досліджень завжди допоможе запобігти дурним недолікам дослідження.
Математика у психології також має справу з просторовими формами й кількісними відношеннями.
Відповіді на ці питання стосуються й математики. Адже математика, незважаючи на безмежність абстракцій, має вихідні положення (те саме поняття числа), зміст яких пов’язаний із закономірностями функціонування людської психіки.
Математика і мова
Математику у мові простежити дуже важко, бо вона використовується досить рідко і не відкрито. Найяскравішим прикладом є визначення віршованого розміру, або таке поняття як математична лінгвістика.
МАТЕМАТИЧНА ЛІНГВІСТИКА, алгебраїчна лінгвістика, обчислювальна лінгвістика — галузь науки на межі математики й лінгвістики, що вивчає найзагальніші закони будови символьних послідовностей, або знакових систем, до яких належать деякі абстрактні математичні структури, штучні та природні мови. Інколи розмежовують математичну лінгвістику, як галузь математики і математична лінгвістика, як розділ мовознавства, підкреслюючи при цьому, що між ними існує тісна взаємодія, бо вони використовують той самий поняттєвий апарат. Отже, можна вважати, що математична лінгвістика є єдиною семіотичною дисципліною, яка досліджує форми методами — алгебраїчними, теоретико-множинними, логіко-математичними. Основними поняттями, що використовуються в математичній лінгвістиці, вважають:
1) множинність вихідних символів (алфавіт);
2) відношення між елементами алфавіту, що сприймаються як аксіоми (постулюються);
3) правила виводу, тобто обчислення всіх можливих множин символьних ланцюжків;
4) ізоморфізм, тобто одно-однозначні відношення між елементами послідовності, при яких кожному елементові однієї послідовності ставиться у відповідність елемент інші послідовності;
5) гомоморфізм, одно-багатозначні відношення, коли одному елементу першої послідовності відповідає кілька елементів другої і навпаки;
6) відмічений (маркований) ланцюжок, тобто такий, що відповідає правилам виводу (граматично правильний, допустимий);
7) входження символу в послідовність, тобто поява його на заданому місці в ланцюжку;
8) поділ вихідної множини класу ланцюжків за певними правилами на підкласи. Використання операцій, що базуються на цих поняттях, дає можливість одержати аналоги граматичних класів і підкласів, категорій, парадигм, синтаксичних одиниць та відношень. Властивості відношення одиниць досліджуваної знакової системи виявляють і вивчають шляхом побудови синтезувальних (породжувальних, дедуктивних) й аналітичних (індуктивних) математичних моделей. Важливим етапом використання математичної моделі та її елементів і операцій є інтерпретація їх у термінах певної мови. Інтерпретувати модель — значить поставити у відповідність кожному елементу, правилу, відношенню, поняттю, використовуваному в моделі, клас одиниць, правило, категорію, поняття природної мови. При інтерпретації моделі між нею і мовою можуть бути як ізоморфні, так і гомоморфні відношення. Методи і положення математичної лінгвістики є базою для створення алгоритмічних мов, для побудови автоматичних систем, опрацювання мовного матеріалу в ЕОМ: машинного перекладу, інформаційного пошуку, автоматизації видавничих процесів, реферування й анотування наук, літератури, створення термінології банків, машинних фондів різних мов, укладання словників, машинного розпізнавання і синтезу усного мовлення та ін.
Математика у живих організмах
Жива природа зробила безліч “винаходів”, які люди зрозуміли і змогли повторити лише при відповідному рівні розвитку науки і техніки. Наприклад, принцип єхолокації ефективно використовують і дельфіни, і кажани, а в техніку він з'явився тільки в XX столітті. Пошук здобичі по інфрачервоному випромінюванню використовують багато видів змій, у той час як окуляри для нічного бачення створені лише недавно і т.д. До останнього часу існували переконання, що природа не винайшла “колеса”. Але виявилося, що джгутики бактерій обертаються в спеціальних “підшипниках”. Виходить, колесо винайдено природою ще на самих ранніх етапах еволюції. Існує спеціальна наука — біоніка, що вивчає “патенти природи”. Виявляється, що їх можна іноді використовувати й у “людській” техніці.
Менш відомо, що в живих організмах відбуваються явища, що дозволяють вважати, що природі належить “пріоритет” і в створенні своєрідних ЕОМ — пристроїв, що роблять операції, дуже подібні з математичними операціями, які ми схильні вважати досягненням людської науки.
Наприклад, як “рахують” нервові клітини, як “логарифмує” око (і навіщо йому це знадобилося), як оперує з векторами і тригонометричними функціями мозок кішки і мавпи (і наш з вами теж).
Як рахують нейрони
Перше знайомство з математикою — це рахунок: “Один, два, три, чотири, п'ять …” Найпростішим є натуральне число. Негативні числа дуже повільно входили в математику. З'явившись у раннім середньовіччі в Індії, вони лише в XIII-XIV століттях проникають у європейську науку, зустрічаючи там спочатку дуже стримане до них відношення. Їх називають “помилковими”, “абсурдними” числами. Але поступово негативні числа довели своє право на існування і стали звичними не тільки для фахівців. Те, що було “на передньому краї науки” у середні століття, сьогодні спокійно сприймають п'ятикласники.
А от у живих організмах, виявляється “все навпаки”: нервовій клітині (нейрону) природно і просто здійснювати операції з позитивними і негативними дійсними “числами”, а для того щоб “рахувати” навіть до двох, потрібна система з декількох нейронів — примітивний “мозок”.
Як же працює нейрон? Як усяка клітина, нейрон відділений від зовнішнього міжклітинного середовища особливою оболонкою — мембраною. Між внутрішнім вмістом клітки і зовнішнім середовищем існує різниця потенціалів. Якщо клітка знаходиться в спокої, різниця потенціалів на її мембрані не міняється. Цю різницю потенціалів у спокої природно прийняти за нульовий рівень (подібно тому, як прийняли за нульову температуру танення льоду).
На нейрон можуть діяти інші нервові клітки — збудливі і гальмові. Сигнали, отримані від цих кліток, викликають зміни різниці потенціалів на мембрані в двох протилежних напрямках. Коли різні сигнали приходять до нейрона одночасно, вони складаються, причому, природно, з урахуванням знака, тобто нейрон підсумовує позитивні і негативні сигнали.
Цікава особливість роботи нейрона полягає в тому, що на відміну від технічних сумарів — від древнього абака до ЕОМ — отриману суму він “пам'ятає” недовго: якщо зовнішні впливи припинилися, то накопичена сума починає спадати по абсолютній величині для того, щоб нейрон повернувся в стан спокою.
Така “ненадійність” нейрона пов'язана з тим, що він призначений не для збереження, а для передачі і перетворення інформації: отриманий сигнал нейрон передає іншим кліткам нервової мережі (клітинам“мішеням” або “адресатам”). За способом передачі сигналу існують два різних типи нейронів з різними принципами роботи: “аналогові” і “граничні”.
Нейрон першого типу діє на клітці-мішені із силою, пропорційній накопиченій сумі, – але тільки в тому випадку, коли ця сума позитивна. Коли ж сума негативна, то вона далі не передається — нейрон загальмований. Правило перетворення сигналів аналоговими нейронами описується формулою y=kx, де х — накопичений потенціал, у — величина переданого сигналу, a k — коефіцієнт пропорційності.
Нейрони другого типу працюють інакше. Такий нейрон “мовчить”, поки сума впливів не досягне деякої визначеної позитивної величини — “порога”. Тоді нейрон збуджується і посилає по своєму вихідному відростку — аксону — електричний імпульс (завжди однієї і тієї ж величини), що і діє на клітці-мішені. Після порушення нейрон якийсь час “відпочиває” — мовчить, незалежно від того, діють на нього інші клітки чи ні, а потім, якщо до кінця відпочинку накопичена сума вище порога, посилає новий імпульс. У результаті в залежності від величини вхідного сигналу, його тривалості й у залежності від характеристик нейрона на виході виходить сигнал у виді серії імпульсів постійної величини, але різної частоти. Таким чином, граничні нейрони використовують зовсім нетривіальний принцип кодування інформації частотою сигналу.
Очі і логарифми
Зорові рецептори, так само, як і інші — слухові, температурні і т.д., одержують сигнали з зовнішнього світу. Вони повинні передати зорову інформацію в мозок точно і вчасно. Передача сигналів від ока до мозку здійснюється нейронами “граничного” типу — аналоговий спосіб виявляється непридатним при передачі сигналів на досить великі відстані. А в граничних нейронів, як уже говорилося, всі імпульси зовсім однакові, і інформацію зведення про величину вхідного сигналу ці нейрони передають змінюючи частоту імпульсації.
Отут виникає проблема. Освітленість у сутінках, коли предмети ледве видні, відрізняється від освітленості при яскравому сонячному світлі приблизно в мільярд (тобто в 109 ) раз. Максимальна ж частота, з якою може працювати нейрон — 1000 імпульсів у секунду. Легко зрозуміти, що не можна передавати інформацію, змінюючи частоту роботи нейрона пропорційно освітленості: якщо при яскравому світлі частота імпульсів буде максимальною (1000 імпл/с), то при зменшені освітленості в мільйон разів сигнал буде надходити всього один раз у 15 хвилин. Але за цей час він зовсім втратить свою актуальність!
Але може бути, такий пристрій зорової системи, коли різні її елементи, різні нейрони працюють кожний у своєму діапазоні освітленості: одні в сутінках, інші в похмурий день, треті на яскравому сонці. Простий підрахунок показує, що якщо прийняти за нижню границю частоти роботи нейрона, необхідної для досить своєчасної передачі інформації, 1 імп/с, то для охоплення діапазону зміни освітленості в мільярд раз буде потрібно мільйон нейронів — і це без усякого “запасу” міцності, без дублювання їхньої роботи! Але головне от що: у кожен момент буде працювати тільки одна клітка з мільйона, а інші 999 999 будуть “дармо їсти хліб”: адже на відміну від технічних, живі “механізми” споживають енергію (свій “бензин”) не тільки під час роботи. А економія енергії в живій природі — одна з головних умов виживання.
Отже, лінійна залежність між вхідними і вихідними сигналами у випадку ока виявляється недоцільною. І дійсно, у природі в цьому випадку використовується інша функція, по шкільних мірках досить складна.
Експериментально це було встановлено в 1932 році англійським ученим X. Харлайном. Він реєстрував нервові імпульси, що йдуть по одиночному нервовому волокну від ока до мозку, у мечохвоста.
При лінійній залежності рівним збільшенням аргументу відповідають рівні збільшення функції, або, та ж сама, лінійна залежність переводить арифметичну прогресію значень аргументу в арифметичну ж прогресію значень функції. Коли ми маємо справу з показниковою функцією y=ах , то рівним збільшенням аргументу відповідає рівномірний відносний приріст функції. Наприклад, при постійних умовах проживання і необмежених ресурсах так росте чисельність якої-небудь популяції: число особин за кожний рік збільшується на 10%, тобто в 1,1 рази. Іншими словами, показникова функція “переводить” арифметичну прогресію в геометричну. У нашому випадку ситуація зворотна: частота імпульсації нейрона міняється на ту саму величину, коли вплив міняється в те саме число раз. Виходить, ми маємо справу з функцією, оберненою до показникової, тобто з логарифмічною; іншими словами, нейрони ока мечохвоста перетворюють геометричну прогресію роздратувань в арифметичну прогресію сигналів.
Ця властивість зорових рецепторів, що виробилася в ході еволюції, дозволяє оку працювати ефективно й ощадливо, забезпечує можливість добре сприймати контраст. Нехай світлий і темний предмети розрізняються по здатності відбивати світло в десять разів. Тоді і на яскравому сонці, і в сутінках світлий предмет буде відбивати в десять разів більше світла, ніж темний. Тому порівняльна яскравість цих предметів не міняється; не міняється і відстань між відповідними крапками на осі абсцис. А це означає, що різниця частот роботи рецепторів, на які падає світло від цих двох предметів, буде залишатися незмінною при різному освітленні. Так що “уміння логарифмувати” дозволяє оку не тільки працювати в широкому діапазоні освітлення, але і при малій освітленості розрізняти предмети.
Цікаво, що описана залежність між зовнішнім сигналом
(роздратуванням) і сигналом, який сприймає мозок (відчуттям), спочатку була виявлена психологами. Зробив це французький учений П. Бугер ще в XVIII столітті. На початку XIX століття німецький фізіолог і психолог Э.Вебер детально вивчив зв'язок між подразненням і відчуттям. Він з'ясовував, як потрібно змінити якийсь подразник, щоб людина помітила цю зміну. Виявилося, відношення зміни величини подразника до його первісного значення є величина постійна:
, де I — міра подразника,
— приріст подразника, a k —
константа Вебера.
Виходячи з експериментів Вебера, інший німецький фізіолог і психолог Г.Фехнер сформулював знаменитий закон Вебера — Фехнера:
Відчуття ростуть в арифметичній прогресії, коли подразення росте в геометричній прогресії.
Цей закон був опублікований у книзі Фехнера “Елементи психофізики” у 1859 році. Там же був надрукований і математичний опис вираження закону:
,
де Е — міра відчуття, а і b — константи, I — міра роздратування.
Навіщо кішці вектори?
Слово “вектор”, можна сказати, зовсім “дитина” — воно з'явилося вперше в роботі англійського математика У. Гамільтона в 1845 році. Але відповідне поняття використовувалося у фізиці ще за кілька століть до цього в зв'язку з розглядом закону додавання сил (“правила паралелограма”). Про “вектори” ж в організмі тварин ми довідалися тільки недавно.
Почалося з кішок. У 1988 році канадська вчена Дж. Макферсон виконала цікаву роботу. Вона ставила кішку на спеціальну платформу, штовхала цю платформу в якому-небудь напрямку і дивилася, яким чином кішка зберігає рівновагу. Припустимо, вона штовхнула платформу вперед. Ноги кішки разом із платформою стали іти вперед, а тіло залишалося на місці. Тоді кішка, щоб повернути центр ваги в правильне русло над точками опори активізує м'язи лап і, відштовхуючись від платформи, рухає тіло вперед. Якщо платформу штовхнути вправо, центр ваги відхилиться вліво стосовно опори і лапи повинні створити силу, спрямовану вправо, і т.д.
Як же відбувається ця робота лап при збереженні рівноваги
Природньо — це припустити, що кожна з двох задніх лап при поштовху вперед створює силу, спрямовану вперед; сума цих двох сил і відновлює правильне положення тіла. Якщо платформу штовхнули вправо, кожна лапа створює силу, спрямовану вправо, і т.д. Така гіпотеза погодиться з тим, що в кішки є могутні м'язи, що рухають лапу — вони використовуються для ходьби і стрибків, а також м'язи, що відводять лапу назовні в напрямку до осі тіла. Однак, коли Макферсон стала з'ясовувати, що відбувається насправді, виявилося, що картина зовсім інша: при поштовху платформи, незалежно від напрямку руху, задні лапи кішки створюють сили, спрямовані уздовж двох прямих (кожна лапа — уздовж своєї), розташованих приблизно під кутом 45° до осі тіла. Навіть у найпростішому випадку, коли платформу штовхають прямо вперед, сили, створювані лапами, спрямовані не вперед, а теж під кутом 45° до осі тіла. І тільки їхня сума має потрібний напрямок і величину.
Виходить, нервова система кішки вирішує наступну задачу. При поштовху платформи за інформацією, отриманої від різних рецепторів, визначається, який вектор (силу) потрібно одержати. Потім цей вектор розкладається по фіксованих осях координат. При такому способі виходить, що кожній з двох задніх лап потрібно передати всього одне число — координату вектора сили (позитивну чи негативну), яку повинна створити ця лапа уздовж своєї фіксованої осі.
Виходить дуже ощадлива схема. Але життя таке повне несподіванок!
Розбираючи в тім, якими м'язами створюється цей фіксований напрямок (здавалося б, чого простіше: використовувати для одиничного вектора одного напрямку м'язи, що рухають ногу вперед і усередину, а для створення іншого — назад і назовні) далі змінювати пропорційно силу, що розвивається цими м'язами, — “множити на число”, і усе в порядку. Макферсон одержала ще один несподіваний результат. Виявилося, що в створенні “одиничного” вектора можуть брати участь різні м'язи, їхнє сполучення міняється в залежності від напрямку поштовху. У чому зміст такого, на наш погляд, ускладненого рішення, ще з'ясовувати й з'ясовувати. Однак тут виявляється загальний принцип живого: уникати твердих схем, мати завжди надлишок “ступенів волі”, словом, плюралізм.
Вектори в мозку мавпи і людини
Труднощі в з'ясуванні питання про те, як насправді відбувається вирішення тієї чи іншої задачі, пов'язані з тим, що заглянути в “керуючий центр” — у мозок — дуже важко. Мозок “чорна шухляда”: можна бачити, яка задача йому запропонована, можна бачити, який він видає результат,— а от що відбувається усередині, про це пояснень ще дуже і дуже мало.
Тим більше цікава і важлива робота, що дозволила майже безпосередньо побачити, як йде робота мозкових нейронів при вирішенні деяких задач. Цю роботу зовсім недавно виконав американський вчений А. Георгопулос. Він експериментував із дресированими мавпами. Лапа мавпи містилася в деякій крапці столу, а в різних крапках столу містилися електричні лампочки. Мавпу навчили при спалаху якої-небудь лампочки рухати лапу в напрямку до цієї лампочки. У цей час експериментатор реєстрував за допомогою вживлених електродів активність (частоту імпульсації) нервових кліток кори великих півкуль у тій її зоні, що керує рухами цієї лапи.
Виявилося, що активність більшості кліток цієї зони мозку залежить від напрямку руху лапи; і ця залежність досить чітка: для кожної з кліток існує такий напрямок руху, при якому активність максимальна; при інших напрямках активність зменшується приблизно як косинус кута між даним напрямком максимальної активності. Для тих напрямків, для яких косинус негативний, клітка взагалі перестає імпульсувати.
Виходить, що з кожною клітиною кори зв'язаний визначений вектор максимальної активності Аmax . Коли потрібно рухати лапу по іншому напрямку, тобто заданий деякий одиничний вектор напрямку e, клітка знаходить проекцію Аmax на цей напрямок, тобто “обчислює” скалярний добуток Аmax . е. З'ясувавши це, Георгопулос поставив зворотну задачу: чи не можна, реєструючи роботу нервових кліток, визначити напрямок руху лапи. Математично ця задача може бути сформульована як питання про існування функції, оберненої до заданої. Ясно, що по активності однієї клітки напрямок руху визначити не можна: по-перше, косинус — функція парна, і на тому проміжку, що нас цікавить, не має оберненої. Якщо, наприклад, напрямок максимальної активності — це прямо вперед, а активність нейрона складає половину максимальної активності, то відомо, що лапа рухається під кутом 60° до переважного напрямку, але чи вправо чи вліво від нього — визначити неможливо. По-друге, в однієї клітини занадто велика “мертва зона” — зона, коли вона взагалі мовчить. Але якщо реєструвати кілька кліток, те можна успішно визначити напрямок, у якому рухається лапа (і навіть пророчити, у якому напрямку вона буде рухатися тому, що клітини починають працювати за десяту частку секунди до того, як лапа починає рухатися).
Ще в 1971 році американські психологи Р. Шепард і Дж. Метцлер знайшли явище, яке вони назвали “уявним обертанням”. В експериментах випробовування показували дві фігури і запитували: це різні фігури чи та сама, але повернена на деякий кут? Час відповіді виявився лінійною функцією величини кута повороту однієї фігури щодо іншої.
В іншому варіанті експерименту поперемінно показували букву R і її дзеркальне відображення — букву Я. Треба було швидко визначити, яка це буква. При цьому букву показували в різних положеннях. І тут час відповіді був пропорційний куту повороту букви відносно “нормального” положення.
Учені припустили, що людина в такому експерименті думкою обертає образ сприйманої фігури (а по ряду психологічних експериментів, скоріше, еталон фігури, збережений у пам'яті) з постійною кутовою швидкістю і навіть визначили цю швидкість. Вийшло 450o /с. Однак такими експериментами неможливо довести гіпотезу “уявного обертання”, тому що залишається невідомим, що ж відбувається в дійсності в головах випробовуваних.
Георгопулос, маючи можливість “підглядати” за роботою нейронів мозку мавпи, одержав у 1989 році дані, що роблять гіпотезу про уявне обертання більш обґрунтованою.
Тепер мавпу навчили тягти лапу не до тієї лампочки, що горить, а до тієї, котра знаходиться під кутом 90° до неї. Експериментатори змогли довідатися, що відбувається в мозку мавпи від моменту, коли запалилася лампа, до початку руху лапи. Виявилося, що після спалаху вектор спрямований прямо на лампочку, потім починає обертатися і, коли повернеться на 90°, починається рух лапи. Швидкість обертання вектора виявилася рівної приблизно 730°/с, тобто була того ж порядку, що й у психологічних дослідах з людиною.
Таким чином, як показують ці експерименти, мозок може робити і геометричні перетворення.
Зробимо ще один натяк на математичні здібності мозку. Зараз бурхливо розвивається рівнобіжне програмування. Але коли людина бере предмет, він одночасно керує роботою і плеча, і ліктя, і пальців, здійснюючи саме сьогодення рівнобіжне програмування.
Висновок
Отже, у живих організмах йдуть процеси переробки передачі інформації і використання її з метою керування. Еволюція поступово знаходить вдалі форми обробки інформації, і ці форми мають чималу подібність з математичними операціями. Такі хитрування еволюції ми і назвали “математикою в живих організмах”.
Це дійсно ЕОМ, тому що дії цих пристроїв засновані на електричних явищах в організмі.
До речі, у мечохвоста немає зіниці, і, виходить, немає діафрагми. Утім, навіть облік єфекту діафрагми не рятує положення, змінюючи освітленість усього на 1-2 порядка.
З'ясувалося, що при відновленні положення центра ваги в кішки передні лапи використовуються як пасивні підпірки. Активно працюють саме задні лапи.
Пропорційність частоти роботи нервових кліток косинусу того чи іншого кута була відома і до роботи Георгопулоса. Наприклад, ще в 1981 році в стовбурі мозку були виявлені нейрони, зв'язані з “стрибками” очей: їхня активність мінялася в залежності від напрямку стрибка ока за законом косинуса.
Матемтика в інших науках та професіях
Математика і екологія
Велику роль відіграє математика в розв’язуванні екологічних проблем. Математика використовується для аналізу прикладів економного та ефективного використання природних ресурсів, розкриття математичних закономірностей певних явищ природи, виховання екологічного розуміння та екологічної культури, відповідальності за стан навколишнього середовища.
Екологічне виховання відбувається в процесі розвязання вдало складених задач, побудови діаграм, коротких повідомлень на уроці.
Бережливість – це не тільки економічна категорія, а принцип моралі. Тому мовою цифр треба розказувати про природні багацтва та фактори, які сприяють їх збереженню та примноженню.
Геодезія і математика
Будівництво міст і сіл, мостів і тунелей, доріг і каналів, розрахунки запуску космічних кораблів- у всіх цих та інших спрвах є участь геодезистів. І тут геодезисти не обійдуться без математики. Тисячоліття трудиться геодезія над розв’язанням задачі: яка ж у Землі форма, які її розміри. Виявляється, що на нашій планеті є багато різних ям і горбів, які в значній мірі змінюють форму Землі. Відомо, що простими геодезичними інструментами на поверхні Землі можуть бути віміряні лінійні відстані в межах 80 км. А за допомогою радіогеодезичних приладів в межах 800 км. Але для визначення розмірів нашої планети крім астрономо-геодезичних даних потрібні також відомості про зовнішнє гравіатаційне поле Землі.
Щоб їх одержати людині неохідно було піднятися в космос, створити систему опорних пунктів для топологічних зйомок, тобто зробити триангуляцію території. Спостерігаючи за супутником одночасно з двох різних точок нашої планети можна визначити координати двох інших точок. За матеріалами космічних знімків, розв’язується біля 300 задач наукового і народногосподарського значення. Причому робиться це в 3-4 рази швидше і обходиться в 12-15 раз дешевше, ніж при традиційних топографічних методах. Одержана в космосі інформація дуже різноманітна і має дуже велике значення в сільському господарстві. Більш ніж 90 % її дають космічні зйомки. За їх результатами створюються грунтові і геоботанічні карти. З їх допомогою розробляються найвигідніші проекти землеустрою: приймається рішення, де краще розмістити нові населені пункти, прокласти дороги і лінії зв’язку, як проводити меліорацію. Інформація з космосу потрібна і геологічним партіям, що ведуть розвідку корисних копалин, вона широко застосовується також для вивчення і використання ресурсів Світового океану. Космічною інформацією користуються наукові і проектні організації. Ефект від економії обчислюється багатьма мільйонами гривень. Кругозір людини розширюється небувалими темпами. Ми повинні добре орієнтуватися не тільки на землі, а й у космічному просторі.
Математика та прогноз погоди
Прогноз погоди потрібний для всіх галузей господарства кожноі країни. Наприклад, за підрахунками вчених США, підвищення надійності метеорологічного прогнозу всього на 10% дає для цієї країни щорічну економію в кілька сотень мільйонів доларів.
Систематичні щоденні спостереження за всіма змінами погоди проводять на 8000 метеорологічних станціях, з допомогою понад 3000 літаків і 4000 спеціальних кораблів.Метеорологічні супутники здатні оглядати всю планету і своєчасно передавати на поверхню Землі потрібну інформацію.
Всю цю інформацію опрацьовують математики-матеорологи в метеоцентрі.
Математика і архітектура
Добре знати математику потрібно навіть при виконанні порівняно нескладних креслень. Архітектори використовують в своїй роботі математичні формули, теореми та властивості геометричних фігур. Термін “золотий переріз” ввів Леонардо да Вінчі. Цей відомий художник, математик при зображенні людей використовував “золотий переріз”. Без нього не обійтись в мистецтві й архітектурі. Евклід розробив теорію відношень і пропорцій і використовував їх при побудові правильних п’ятиі десятикутників та при побудові правильних дванадцяти- і двадцятикутників. Цим користуються архітектори і зараз. “Золотий переріз” називають також “гармонійним” або діленням в крайньому та середньому відношенні. Результат роботи архітектора повинен бути точним. Його перспективний рисунок повинен відповідати правилам геометрії, зокрема нарисної. В перспективному рисунку переходять від загальних рис до деталей. Степінь стилізації вибирають в залежності від масштабу зображуваного об’єкта. Ні один архітектор не обійдеться без знання масштабу, пропорції. Виразність рисунка, креслення можна досягти тільки добре розвинутим почуттям лінії, її пропорційності, товщини і правильним розміщенням, рівновагою на рисунку площин ліній світла і тіні.
Симетрія – це врівноваженість, упорядкованість, краса, довершеність, доцільність. Будь-яка архітектурна споруда використовує симетрію.
Симетрія застосовується в будівництві, техніці та повсякденному житті.
Математика в будівництві
При спорудженні будівель математика також необхідна. При споруджені будівель дбають про те, щоби витрати матеріалів були якнайменшими. Наприклад при зведенні даху можна зекономити до 15% матеріалу.Можна розрахувати якими мають бути ширина і висота вікна, щоб при даному периметрі вікно пропускало найбільшу кількість світла та багато іншого.
Застосування математики в війсковій справі
Почнемо із страхітливої статистики. За останні п’ять тисяч років людство жило в мирі якихось 295 років. Решта часу пішло на 14513 великих і малих воєн. Жертвами їх стали 3 мільярди 640 мільйонів чоловік.
Немає обов’язку почеснішого і необхіднішого ніж захищати Батьківщину. Але і у військових професіях потрібна математика.
Уже в давньоєгипетських папірусах і шумеро-вавілонських клинописних табличках знаходимо поради щодо застосування математики у війсковій справі. Для воєначальників, інтендантів наводилися зразки розв’язання практичних задач: визначити кількість воїнів, які можуть викопати рів за певний час, або знайти час, за який загін воїнів може здійснити перехід на певну відстань.
З часом математика стала одним з найпотужніших інструментів пізнання і використання на практиці законів збройної бородьби та самозахисту. З великим успіхом застосовував її у війсковій справі геніальний давньогрецький математик Архімед, який керував обороною Сіракуз від римських армій і загинув від меча римського воїна.
Високо цінували застосування математики у військовій справі вітчизняні вчені й воєнначальники.
Уславленому полководцеві О. В. Суворову належить блискучий афоризм: ”Математика – гімнастика розуму”. Великий полководець заради перемоги вмів усе розрахувати.
Неоцінена заслуга вітчизняних і радянських математиків у вдоконаленні військової техніки. М. В. Остроградський математично розрахував таку конструкцію гармати, тиск порохових газів у якій обертав навколо осі спеціально виготовлені снаряди, що забезпечувало значну дальність польоту.
Особливо важливою була роль математики в створенні й удосконаленні нової бойової техніки. Вона народжувалась на міцному фундаменті теоретичних досліджень вітчизняних математиків. Візьмемо, наприклад, авіацію, де участь математики особливо вражаюча. Розв’язання вченими-математиками важливих проблем аеродинаміки дало змогу авіаконструкторам досягти блискучих результатів у вдоконаленні бойових літаків.
Вчені і конструктори бойової техніки творчо використовують здобутки вчених старшого покоління. Так, результати К. Е. Ціолковського з ракетної техніки були використані при створенні прославлених радянських “Катюш”, які наводили жах на ворога.
Математичні методи допомагали розв’язувати й багато нових складних задач, які поставали в ході всенародної боротьби проти фашиських загарбників. Наприклад, як краще проводити кораблі в океані, де діють підводні човни ворога?
Математика в транспорті
Дороги- це справжні артерії, які забезпечують людям життя. У практиці проектування доріг часто виникає потреба влаштовувати вузли розгалуження. Місце вузла і взаємне розміщення доріг, які проходитимуть через нього, визначаються комплексом економічних і географічних умов. Але насамперед враховують тільки затрати робочого часу на перевезення.
Математика є співавтором проектів доріг, вона гарантує безпеку руху на них.
Великий комплекс проблем пов’язаний з розробкою та есплуатацією машин. Досвід підтверджує, що раціональне використання техніки великою мірою сприяє підвищенню врожаю зернових та інших культур.Перед тим, як виїхати на поле, машини проходять складні випробовування.Методами математичного моделювання на ЕОМ вдається визначити вплив кліматичних умов на техніко-економічні показники сільськогосподарських машин, продуктивність і надійність їх роботи в різних умовах.
Математика і кулінарія
Ніхто не сумнівається, що без математики не обійтись і тут. Практично математикою користуються не лише в легкій промисловості, але й в консервуванні овочів та фруктів, в приготуванні страв, випічці тортів тощо.
Математика і музика
Ідея про можливість побудови числової моделі світу була покладена Піфагором в основу його теорії музики. Піфагор винайшов, що якісні відміни в звучанні струн обумовлюються чисто лінійними відмінностями, а саме довжиною струн. Одночасне звучання двох струн буде приємне для слуху якщо довжина їх відноситься, як 1:2, або 2:3, або 3:4, що відповідають музичним інтервалом в октаву, квінту і кварту.
День відкриття цього факту можна назвати днем народження математичної фізики.
Піфагор намагався поєднати свої астрономічні погляди з теорією музики. Він вважав, що кожна планета, рухаючись по своїй орбіті видає свій звук, причому такі звуки, що при русі всіх 7 планет звучить музика сфер. Піфагор назвав навіть сонячну систему семиструнною лірою. Він запевняв, що може слухати цю дивну музику, яку інші люди почують після смерті.
Ідеї Піфагора несподівано одержали нове життя в наш час. Говорять, що наука відрізняється від мистецтва тим, що в той час, як витвори мистецтва вічні, великі творіння науки безнадійно старіють. Але це не так,і творіння Піфарора кращий тому приклад.
Математика в сільському господарстві
Застосування математики в усіх галузях, народного господарства необмежене. Без знання математики не можна уявити розвитку людства. Математика скрізь, вона на кожному кроці. Наприклад: ледь ви встигли вранці розплющити очі, як почали підраховувати: “Зараз 7 год 30хв, а за годину, тобто у 8 год 30хв, ви повинні сидіти в класі і слухати урок. За 60хв потрібно зробити ранкову гімнастику, прибратися, поснідати і дійти до школи”.
Коли ви кладете в портфель сніданок (хліб з маслом, яблуко), то навідь не уявляете, скільки було виконано підрахунків, перш ніж цей сніданок потрапив до ваших рук.
Щоб посіяти зернові культури, треба відвести певну кількість гектарів землі, потім у встановлений строк обробити цю землю і засіяти її зерном, додержуючись норм висіву.
Щоб виростити добрий урожай у землю вносять добрива. А треба правильно розрахувати концентрацію розчину речовин, щоб бува не заподіяти шкоди ланам.
Знаючи площу лану і врожай, зібраний з одного гектара, можна підрахувати, скільки всього буде зібрано зерна, потім обчислити, скільки борошна вийде з цього зерна і, нарешті, скільки з цього борошна вийде хлібних виробів для населення.
Садівник, закладаючи сад, вимірює площу ділянки землі, потім цю ділянку ділить на менші, які відводить для певного сорту дерев. Щоб сад добре ріс, треба вносити добрива, боротися з шкідниками, а для цього знов-таки потрібні знання з математики.
Для зберігання зернових та інших культур потрібні приміщення, а скільки їх треба збудувати і якого об`єму? Відповіді на ці питання дають математичні розрахунки.
Для зимівлі худоби треба зробити запаси кормів. А якої місткості повинна бути силосна башта, силосна яма? На це теж відповість математика.
Для оволодіння і управління сучасною технікою і технологіями в сільському господарстві потрібна серйозна підготовка з усіх шкільних предметів, а особливо з математики. Велике значення має зв`язок викладання математики з сільськогосподарською працею. Щороку зростає технічний рівень сільськогосподарських підприємств, а це викликає велику математичну підготовку майбутніх спеціалістів сільського господарства.
Закономірності і методи математики є науковими складовими частинами наукових основ сучасного сільського господарства. Застосування математики в сільському господарстві пов`язане зі специфікою процесів сільськогосподарського виробництва (оранка, сівба, жнива і так далі) так із особливостями деяких вимірювальних операцій.
Так, при вивченні теми “відсотки” можна запропонувати учням таку задачу: В 1996 році посівна площа пшениці, що вирощувалась у фермерському господарстві за інтенсивною технологією, складала 1120 га, або 28% посівів цієї культури. Збір зерна з площі, що оброблялась за інтенсивною технологією складала 35840 центнерів, або 47% загального валового збору пшениці у господарстві. Порівняйте врожайність пшениці, що отримана в фермерському господарстві з використанням інтенсивної технології і без неї.
Розв’язування:
Посівна площа пшениці в фермерському господарстві складає
1120 : 0,28=4000 га
Отже, без застосування інтенсивної технології пшениця вирощувалась на площі 4000-1120=2880 га
Загальний збір пшениці в фермерському господарстві складає 35840:0.47=76285 центнерів.
Таким чином, урожайність пшениці з одного гектара площі, що вирощувалась по інтенсивній технології, складала 35840:1120=32 центнери, а з одного гектару без застосування інтенсивних технологій (76255-35840):2880=14 центнерів.
Отже, як бачимо різниця дуже велика. Перехід на інтенсивну технологію вирощування зернових культур веде до збільшення виробництва зерна в цілому. Учні можуть порахувати скільки центнерів пшениці, фермер отримав додатково, якщо вирощував би її тільки по інтенсивній технології на всій посівній площі.
За допомогою практичних задач учні знайомляться з застосуванням математики в розв’язанні окремих питань організації, технології і економіки сучасного виробництва.
Ось наприклад: на який час вистачить запасу ящика зерна сіялки на 250кг., якщо ширина захвату сіялки 3,6м. і рухається вона зі швидкістю 36км/год. Норма висіву 150кг на 1га.
В умові задачі говориться про конкретний сільськогосподарський процес, використані величини, що безпосередньо впливають на час спорожнення посівного ящика сіялки, показані їх числові значення. Але в такому вигляді задача в житті не ставиться. В сільськогосподарській практиці необхідність вирахувати час на випорожнення посівного ящика сіялки приводить до постановки не математичної, а виробничої задачі. Лише в результаті глибокого аналізу виробничого процесу може бути складена її математична модель і знайдений математичний метод її розв’язку.
Таким чином, використання в процесі навчання математики завдань з практичним змістом корисно для підготовки учнів до розв’язку завдань, безпосередньо висунутих практикою. Разом з тим збільшення прикладної і практичної направленості викладання математики безпосередньо пов’язане з формуванням в учнів уявлень про математизацію науки і виробництва, про особливості застосування математики для розв’язку практичних задач. Часто ці задачі не математичні, але багато з них можуть бути розв’язані засобами математики. Для цієї мети необхідне чітке уявлення про практичну ситуацію, пошук можливості переводу її на мову математичної задачі і застосування математичних методів для її розв’язку.
Сучасна математика здійснює великий вплив на розвиток господарства країни. Сільське господарство не може розвиватись без математичних законів, без математичного моделювання. Математичне моделювання зводиться не тільки до дослідження закономірностей, але й у всій різноманітності їх кількісних розв`язків. Для оволодіння і управління сучасною технікою, технологіями у сільському господарстві потрібна серйозна підготовка математики.
Математчна логіка
“Логіка змушує нас відкинути деякі докази, але вона не може змусити нас прийняти будь-яке доведення”. А.Лебег
“Для того щоб оволодіти діалектичною логікою, треба спочатку навчитися володіти логікою формальною. Математика, як правило, вчить володіти цією логікою”.
Математична логіка є наукою про закони математичного мислення. Предметом математичної логіки є математичні теорії в цілому, які вивчаються за допомогою логіко-математичних мов. При цьому в першу чергу цікавляться питаннями несуперечливості математичних теорій, їх розв'язності та повноти.
Математична логіка по суті є формальною логікою, що використовує математичні методи. Формальна логіка вивчає акти мислення (поняття, судження, умовиводи, доведення) з точки зору їх форми, логічної структури, абстрагуючись від конкретного змісту. Творцем формальної логіки є Арістотель. А першу завершену систему математичної логіки на базі строгої логіко-математичної мови (алгебри логіки) – запропонував Джордж Буль (1815-1864). Логіко-математичні мови і теорія їх змісту розвинуті в роботах Готліб Фреге (1848-1925), який ввів поняття предикату і кванторів. Це надало можливість застосувати логіко-математичні мови до питань основ математики. Виклад цілих розділів математики на мові математичної логіки та аксіоматизація арифметики зроблені Джузеппе Пеано (1858-1932). Грандіозна спроба Г.Фреге та Бертран Рассел (18721970) зведення всієї математики до логіки не досягла основної мети, але привела до створення багатого логічного апарату, без якого оформлення математичної логіки як повноцінного розділу математики було б неможливе.
На межі 19-20 ст. були відкриті парадокси, зв'язані з основними поняттями теорії множин (найвідомішими є парадокси Георга Кантора та Б. Рассела). Для виходу з кризи Л. Брауер (1881-1966) висунув інтуїціоністську програму, в якій запропонував відмовитися від актуальної нескінченності та логічного закону виключеного третього, вважаючи допустимими в математиці тільки конструктивні доведення. Інший шлях запропонував Давид Гільберт (1862-1943), який в 20-х роках 20 ст. виступив з програмою обгрунтування математики на базі математичної логіки. Програма Гільберта передбачала побудову формальноаксіоматичних моделей (формальних систем) основних розділів математики та подальше доведення їх несуперечливості надійними фінітними засобами. Несуперечливість означає неможливість одночасного виведення деякого твердження та його заперечення. Таким чином, математична теорія, несуперечливість якої хочемо довести, стає предметом вивчення певної математичної науки, яку Д. Гільберт назвав метаматематикою, або теорією доведень. Саме з розробки Д. Гільбертом та його учнями теорії доведень на базі, розвинутої в роботах Г. Фреге та Б. Рассела, логічної мови починається становлення математичної логіки як самостійної математичної дисципліни.
Сфера застосування математичної логіки дуже широка. З кожним роком зростає глибоке проникнення ідей та методів математичної логіки в інформатику, обчислювальну математику, лінгвістику, філософію. Потужним імпульсом для розвитку та розширення області застосування математичної логіки стала поява електронно-обчислювальних машин. Виявилося, що в рамках математичної логіки вже є готовий аппарат для проектування обчислювальної техніки. Методи і поняття математичної логіки є основою, ядром інтелектуальних інформаційних систем. Засоби математичної логіки стали ефективним робочим інструментом для фахівців багатьох галузей науки і техніки.
Висновок
Як ми змогли побачити математика всюди, але її потрібно просто побачити. З цієї роботи можна взяти багато інформації, як для вчителів, так і для учнів. І я сподіваюсь ця інформація викличе ще більше питань, які зацікавлять учнів при вивченні математики. Сподіваюсь учні зрозуміють всю важливість математики, точність її розрахунків, а значить вивчення цілої системи математичних пояснень та теорій, та вміле їх використання у житті.
Використана література:
Беркінбліт М., Глаголєва Е. Математика в живих організмах.
Бібліотека “Квант”, №69
Довідник для поступаючих у Московський університет у 1995р.-М.: Видавництво Моск. Ун-та, 1995.
“О математике и математиках. Высказывания выдающихся деятелей прошлого и современности (на украинском язике)”. – К.: Поліграфкнига, 1981р.
Кравцов А. Й. Про розрахунок деяких задач з використанням міжпредметних зв’язків. 1980 р., №3.
Лур'є М. В., Александров Б. И. “Задачі на складання рівнянь”. – М.:
Наука, 1976.
Математика в школі №№ 4,5 1998 р., №2 1999 р.
Смірнова Г. В. Формування наукового свідогляду учнів при вивченні хімії. Рад. школа. Київ, 1987.
Хрустальов А. Ф. Вибирати оптимальні варіанти розв’язку задач.
1984 р., №1.
Целіщев В. В. Філософія.
Шевцов В. Я. Міжпредметні зв’язки при розв’язуванні розрахункових задач. “Хімія в школі” – 1982 р. №2. http://www.wikepedia.ua http://www.prameco.he.ru.