| Скачать .docx | Скачать .pdf |
Реферат: Решение нелинейных уравнений
Задание №1
Отделить корни уравнения
![]()
графически и уточнить один из них:
· методом половинного деления;
· методом хорд;
· методом касательных;
· методом секущих;
· методом простой итерации;
с точностью ε=0,001.
Создать функции, реализующие указанные методы, построить графическую иллюстрацию методов, результаты проверить с помощью встроенных функций, оценить точность полученных значений.
![]()
1. Метод бисекции (деления отрезка пополам)
Метод бисекции или метод деления отрезка пополам — простейший численный метод для решения нелинейных уравнений вида F(x)=0. Предполагается только непрерывность функции F(x).
Графическое представление метода бисекций

Решим задание в пакете Маткад:

2. Метод хорд (метод линейной интерполяции)
Идея метода состоит в том, что по двум точкам
и
построить прямую
(то есть хорду, соединяющую две точки графика
) и взять в качестве следующего приближения
абсциссу точки пересечения этой прямой с осью Ox
.
Графическое представление метода хорд

Решим задание в пакете Маткад:

3. Метод касательных (Ньютона)
Графическое представление метода касательных

Решим задание в пакете Маткад:

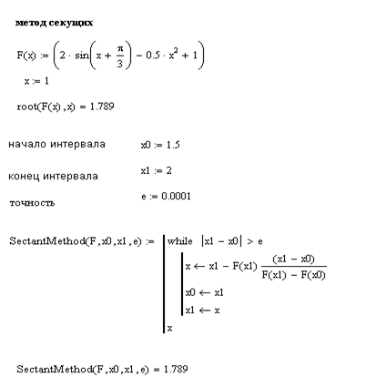
4. Метод секущих
Графическое представление метода секущих

Решим задание в пакете Маткад:

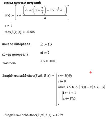
5. Метод простой итерации
Введем функцию:
![]()
Графическое представление метода простой итерации

Решим задание в пакете Маткад:

Задание №2
Решить задачу Коши для дифференциального уравнения
на отрезке [a,b] при начальном заданном условии
и шаге интегрирования h:
1. методом Эйлера;
2. методом Рунге – Кутта 4 – го порядка точности.
3. проверить решение с помощью встроенных функций пакета MathCAD.
В решении оставлять 5 цифр после запятой.
| № вари-анта |
Функция |
Интервал |
y0 |
Шаг |
| 23 |
|
[0;0,5] |
y(0)=0,3 |
0,05 |
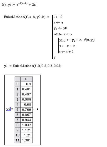
1. Метод Эйлера
Решим задание в пакете Маткад:
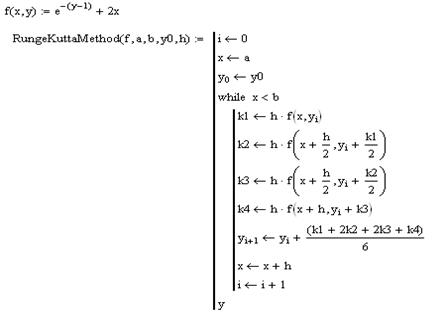
2. Метод Рунге – Кутта 4 – го порядка точности
Проверим решение с помощью встроенных функций пакета MathCAD

