| Скачать .docx | Скачать .pdf |
Реферат: Дискретное преобразование Фурье 2
Санкт-Петербургский государственный университет информационных технологий, механики и оптики (Технический университет)
Гуманитарный факультет
Индивидуальная работа по дисциплине Эконометрика
на тему
Дискретное преобразование Фурье |
Выполнил: студент
| Рогов Ш.В., группа 4071 |
| Руководитель: Коростелева Т.А. |
Санкт – Петербург
2010
Дискретное преобразование Фурье
Существует две формы преобразования Фурье - интегральное преобразование
(1)
и
(2),
которое определено на бесконечном интервале непрерывных значений времени и отображает непрерывную временную функцию в частотную область, и непрерывно-дискретное преобразование
(3),
которое определено на бесконечном интервале дискретных значений времени и тем самым дает возможность определять частотный состав сигнала, заданного бесконечным временным рядом. Для вычислений на ЭВМ применяется третья форма записи - дискретное преобразование Фурье, в которой как X( f) , так и x( t) дискретны и пределы суммирования конечны:
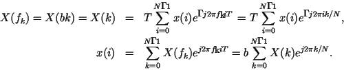
(4)
Дискретные значения частот в преобразовании (4) обусловлены конечной длиной записи, т.е. конечностью временного ряда. Здесь для краткости, как и в случае непрерывно-дискретного преобразования, вместо x( iT) используется обозначение x( i) . Точно также вместо X( bk) записано X( k) . Величина b зависит от интервала дискретизации: b=( NT)Г1 .
К форме записи (4) можно перейти от непрерывно-дискретного преобразования Фурье (3), полагая x( i)=0 для i<0 и i>( N-1) , а также определяя дискретные значения частот следующим образом: fk = bk . Покажем это.

Укажем некоторые особенности дискретного преобразования Фурье, знание которых необходимо для правильного составления алгоритма вычисления на ЭВМ.
1. Согласно теореме Котельникова, максимально возможной частотой в спектре является частота Найквиста Fn =(2 T)Г1 , поэтому соответствующее значение k в формуле (4) определяется из условия fk = Fn :
![]()
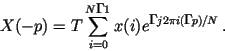
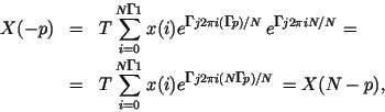
Отсюда следует, что частота Найквиста соответствует середине последовательности X( k) . Это означает, что значениям индексов k в промежутке 0,…, N/2 соответствуют частоты, непревосходящие частоту Найквиста. Какой же смысл имеют величины X( k) при k> N/2 ? Оказывается, что этим величинам соответствуют отрицательные частоты. Покажем это. В формуле (4) заменим индекс k на -p :

Далее умножим экспоненту на единицу, записанную в виде:
:

т.е. X(-p)=X(N-p) . Таким образом, при вычислении дискретного преобразования Фурье, подобно случаю непрерывного преобразования, в спектре с необходимостью появятся отрицательные частоты, которые однако отсутствуют в реальном спектре и появление которых и в дискретном, и в непрерывном случаях обусловлено математической операцией преобразования Фурье. Поэтому для N значений данных получается примерно вдвое меньше значений спектральных составляющих.
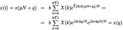
2. Дискретное преобразование Фурье является периодическим. Покажем это. Предположим, например, что i= pN+ q ; p, q , - целые числа, причем 0 ≤ q≤ N-1 . Подставим новое значение i в выражение обратного преобразования Фурье:

Последнее в этом выражении равенство обусловлено тем, что множитель
равен единице. Аналогичное доказательство можно провести для функции X(
k)
. Таким образом, если попытаться продолжить вычисления для индексов k>
N
, то полученные значения X(
k)
полностью повторят уже имеющиеся: X(
k+
N) =
X(
k)
. Поэтому для вычисления функций x(
i)
и X(
k)
вне множества 0,…,(
N-1)
следует брать значения их индексов по модулю N
.