| Скачать .docx | Скачать .pdf |
Реферат: Колебательно движение материальной точки

Министерство образования и науки Российской Федерации
Санкт-Петербургский государственный горный институт
имени В.Г. Плеханова
(технический университет)
Кафедра механики
Расчетно-графическое задание №1
Дисциплина: Теоретическая механика
(наименование учебной дисциплины согласно учебному плану)
Вариант: 10
Тема: “Колебательное движение материальной точки ”
Выполнил: ОНГ-09 /Кудряшов И.Р./
(группа) (Ф.И.О.) (подпись)
Проверил: ДОЦЕНТ Шишкин Е.В. _______
(Ф.И.О.) (подпись)
Санкт-Петербург
2011
Задание:
К свободному концу недеформированной пружины прикрепляют груз массой m, которому сообщают скорость, направленную вверх. Начальная деформация
, начальная скорость груза
. Найти уравнение движения груза; амплитуду и периода колебаний; наибольшее значение модуля силы упругости. Массой пружины, а также сопротивлениями движению груза и пружины пренебречь. Начало координат взять в положении стационарного равновесия груза на пружине. Принять g = 10 м/с2
.
![]() |
Исходные данные:
m = 16кг
с = 8 Н/см
=105 см/с
=0см
=00
Найти:
X;а; к;
.
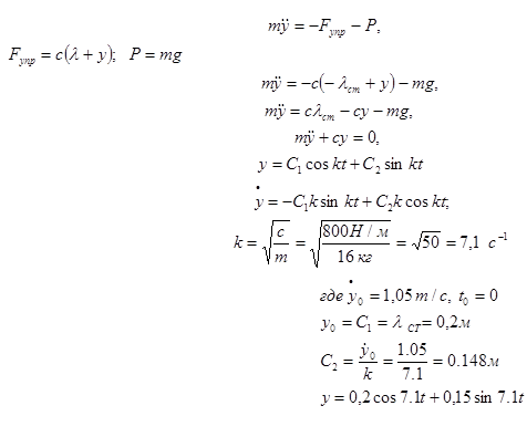
1. Определим статическое равновесие груза на пружине:
Точка О – статическое положение груза на пружине.
1.1 Из условия равновесия:
Fст
– Р=0;
Р= m∙g
Fст
= с∙
=> m·
g = с∙
![]()
![]()
2. Составим уравнение движения груза на пружине:
2.1 Возьмем положение груза в точке М в момент времени t:

- Найдем амплитуду:

4. Найдем период колебаний:

- Найдем начальную фазу колебаний
![]()
![]()
Ответ:
; а=0,25м; к=7,1с-1
;
;
ГРАФИК СВОБОДНЫХ ГАРМОНИЧЕСКИХ КОЛЕБАНИЙ:

Затухающие колебания.
Найти уравнение движения груза; амплитуду, частоту и период колебаний, начальную фазу колебаний с учетом силы вязкого сопротивления среды при движении груза.
коэффициент вязкого сопротивления среды, тогда:
Решение:
Пусть А –точка, соответствующая концу недеформированной пружины; 0 –положение статического равновесия груза
1.Определение положения статической деформации:
![]()

2. Определение круговой,собственной частоты колебания и удельного коэффициента демфирования:

3. Определение закона движения.

![]()
Где С1 ,С2 -произвольные постоянные
Подставим в уравнения (1) и продиффиринцированное по времени уравнение (1) t=0,v=0,x=x0 начальные условия
-0,2м
![]()

уравнение движения груза:
![]()
4. Закон изменения амплитуды затухающих колебаний:
![]()
5. Определение периода и истинной частоты колебаний:

6. Определение начальной фазы колебаний:
![]()
7.Определение логарифмического дикримента затухания колебания:
![]()
![]()
График затухающих колебаний:

