| Скачать .docx | Скачать .pdf |
Курсовая работа: Устойчивость систем дифференциальных уравнений
Курсовая работа по дисциплине "Специальные разделы математики"
Выполнил студент Новичков А. А., группа: 450
Севмашвтуз - Филиал СПбГМТУ
Кафедра №2
Решения большинства дифференциальных уравнений и их систем не выражаются через элементарные функции, и в этих случаях при решении конкретных уравнений применяются приближенные методы интегрирования. Вместе тем часто бывает необходимо знать не конкретные численные решения, а особенности решений: поведение отдельных решений при изменении параметров систем, взаимное поведение решений при различных начальных данных, является ли решение периодическим, как меняется общее поведение системы при изменении параметров. Все эти вопросы изучает качественная теория дифференциальных уравнений.
Одним из основных вопросов этой теории является вопрос об устойчивости решения, или движения системы, если ее трактовать как модель физической системы. Здесь важнейшим является выяснение взаимного поведения отдельных решений, незначительно отличающихся начальными условиями, то есть будут ли малые изменения начальных условий вызывать малые же изменения решений. Этот вопрос был подробно исследован А. М. Ляпуновым.
Основу теории Ляпунова составляет выяснение поведения решений при асимптотическом стремлении расстояния между решениями к нулю. В данной курсовой работе излагаются основы теории Ляпунова устойчивости непрерывных гладких решений систем дифференциальных уравнений первого порядка, а именно: в главе 1 излагаются основные определения, необходимые для изучения устойчивости; в главе 2 дается понятие устойчивости решений систем в общем виде и по первому приближению; в главе 3 излагаются основы второго метода Ляпунова.
1. Свойства систем дифференциальных уравнений.
Пусть
— непрерывные в области G (n+1)-мерного пространства скалярные функции.
Определение. Совокупность уравнений
(1)
называется нормальной системой n дифференциальных уравнений первого порядка. Ее можно записать в матричной форме, если положить

Определение. Решением системы (1) на интервале (a, b) называется совокупность n функций
, непрерывно дифференцируемых на этом интервале, если при всех
:
;

Задача Коши для системы (1) ставится следующим образом: найти решение
системы, определенное в окрестности точки
, которое удовлетворяет начальным условиям
…,
, где
— заданная точка из области G. Решение задачи Коши существует и единственно, если все функции в правых частях уравнений системы (1) непрерывно дифференцируемы по всем
в окрестности точки
.
Каждому решению системы (1) сопоставляется 2 геометрических объекта: интегральная кривая и траектория.
Определение. Если
— решение системы (1) на промежутке (a, b), то множество точек (x,
),
, (n+1)-мерного пространства называется интегральной кривой решения, а множество точек (
),
, n-мерного пространства называется траекторией решения. Заметим, что из существования и единственности решения задачи Коши интегральные кривые не могут пересекаться или иметь общих точек, однако траектории могут пересекаться без нарушения единственности, так как начальная точка определяется n+1 координатой. В частности траектория может совпадать с точкой (положение равновесия).
Система (1) называется автономной, если в правые части уравнений не входит явно независимая переменная. Система (1) называется линейной, если она имеет вид:
,
или в матричной форме
(1')
где
,
.
Фундаментальной матрицей линейной однородной системы называется матричная функция (t), определитель которой отличен от нуля и столбцы которой являются решениями системы:
. С помощью фундаментальной матрицы (t) общее решение системы можно записать в виде
. Фундаментальная матрица, обладающая свойством
, называется нормированной при
. Если
— нормированная при
фундаментальная матрица, то частное решение системы записывается в виде
, где
— начальное при
значение решения.
1.2. Траектории автономных систем.
Будем рассматривать автономную систему в векторной форме:
(2)
где функция f(x) определена в
.
Автономные системы обладают тем свойством, что если
— решение уравнения (2), то
,
, также решение уравнения (2). Отсюда в частности следует, что решение
можно записать в виде
. В геометрической интерпретации эта запись означает, что если две траектории уравнения (2) имеют общую точку, то они совпадают. При этом можно заметить, что траектория вполне определяется начальной точкой
, поэтому можно везде считать
.
Пусть
— положение равновесия, т. е.
. Для того чтобы точка
была положением равновесия, необходимо и достаточно, чтобы
. Предположим теперь, что траектория решения
не является положением равновесия, но имеет кратную точку, т. е. существуют
, такие, что
. Так как
— не положение равновесия, то
. Поэтому можно считать, что
при
. Обозначим
и покажем, что
— -периодическая функция.
Действительно, функция
является решением уравнения (2) при
, причем
. В силу единственности
и
совпадают при всех
. Применяя аналогичное рассуждение к решению
, получим, что
определено при
и функции
и
совпадают при этих t. Таким образом, можно продолжить
на все
, при этом должно выполняться тождество
,
то есть
— периодическая функция с наименьшим периодом.
Траектория такого решения является замкнутой кривой. Из приведенного вытекает следующий результат: Каждая траектория автономного уравнения (2) принадлежит одному из следующих трех типов:
положение равновесия;
замкнутая траектория, которой соответствует периодическое решение с положительным наименьшим периодом;
траектория без самопересечения, которой соответствует непериодическое решение.
1.3. Предельные множества траекторий.
Определение. Точка
называется -предельной точкой траектории
,
, если существует последовательность
такая, что
при
. Множество всех -предельных точек траектории называется ее -предельным множеством. Аналогично для траектории
при
определяется понятие -предельной точки как предела
, а также -предельного множества.
Определение. Траектория
называется положительно (отрицательно) устойчивой по Лагранжу (обозн.
(
)), если существует компакт
такой, что
при всех
(
), при которых
определена. Иными словами, если траектория всегда остается в некоторой ограниченной области фазового пространства.
Можно показать, что предельное множество устойчивой по Лагранжу траектории не пусто, компактно и связно.
Траектория
называется устойчивой по Пуассону, если каждая ее точка является -предельной и -предельной, т. е.
. Примером устойчивой по Пуассону траектории является состояние равновесия. Если же рассматривается траектория, отличная от неподвижной точки, то устойчивой по Пуассону она будет в том случае, если обладает свойством возвращаться в сколь угодно малую окрестность каждой своей точки бесконечное число раз. Поэтому устойчивыми по Пуассону будут циклы и квазипериодические траектории (суперпозиция двух периодических колебаний с несоизмеримыми частотами), а также более сложные траектории, возникающие в хаотических системах.
Рассмотрим (без доказательств) некоторые свойства предельных множеств в случае n = 2.
1. Предельные множества траекторий автономных систем состоят из целых траекторий.
2. Если траектория содержит по крайней мере одну свою предельную точку, то эта траектория замкнутая или представляет собой точку покоя.
3. Если траектория остается в конечной замкнутой области, не содержащей точек покоя системы, то она либо является циклом, либо спиралевидно приближается при
к некоторому циклу.
4. Пусть в некоторой окрестности замкнутой траектории
нет других замкнутых траекторий. Тогда все траектории, начинающиеся достаточно близко от , спиралевидно приближаются к при
или при
.
Пример. Рассмотрим автономную систему при
:

Для исследования системы удобно в фазовой плоскости ввести полярные координаты. Тогда получаем следующие уравнения для определения
:

откуда получаем
.
Первое из этих уравнений легко интегрируется. Оно имеет решения
и
. При
решения
монотонно убывают от
до 0, а при
решения
монотонно возрастают от
до бесконечности. Так как
, то отсюда следует, что при
и
все траектории системы образуют спирали, раскручивающиеся от окружности
к бесконечно удаленной точке или к началу координат при неограниченном возрастании полярного угла. Начало координат является положением равновесия и одновременно -предельным множеством для всех траекторий, у которых
. Если
, то -предельное множество траектории пусто. Окружность
является замкнутой траекторией и одновременно -предельным множеством для всех траекторий, отличных от положения равновесия.
1.4. Траектории линейных систем на плоскости.
Рассмотрим автономную линейную однородную систему
(3) с постоянными коэффициентами. Будем полагать n = 2 и
. В этом предположении система имеет единственное положение равновесия в начале координат. С помощью линейного неособого преобразования X = SY приведем систему (3) к виду
,
где J — жорданова форма матрицы A. В зависимости от вида собственных чисел имеют место следующие случаи:
1)
вещественны, различны и
. В этом случае
. Параметрические уравнения траекторий таковы:
. Координатные полуоси являются траекториями, соответствующими
или
. При
и ![]()
.
Картина расположения траекторий при
, имеющая специальное название — узел, изображена на рис. 1а.
2)
вещественны и
. Полученные в случае узла формулы сохраняют силу. Соответствующая геометрическая картина, называемая седлом, изображена на рис. 1б.
3)
комплексно-сопряженные. Пусть
. В преобразовании X = SY
, где
и
— линейно независимые собственные векторы, соответствующие
и
. Так как А вещественна,
и
можно выбрать комплексно-сопряженными. Тогда и
. Положим
,
, а в качестве фазовой плоскости возьмем
. Переменная
связана с Х соотношением X = SY = = STZ = QZ, где
,
. Следовательно, Q — вещественная неособая матрица. Преобразование приводит к виду
![]()
где матрица коэффициентов образует вещественную жорданову форму матрицы А.
Введем полярные координаты
, или
,
. Имеем:
. Отделяя вещественные и мнимые части, получим:
.
Следовательно,
. При
траектории образуют спирали (рис. 1в). Такое положение траекторий называется фокусом. При
все траектории — окружности. В этом случае получаем центр. В случае центра все решения системы (3) периодические с периодом 2/.
4)
. Жорданова форма матрицы А имеет треугольный вид, а система преобразуется к виду
Решением этой системы будет функция
. В зависимости от формы матрицы J получаются два случая: или вырожденный узел (рис. 1г), либо звездный (дикритический) узел. Дикритический узел возможен лишь в случае системы ![]()

Рис. 1. Поведение траекторий в зависимости от значений собственных чисел
1.5. Линейные однородные системы с периодическими коэффициентами.
В данном пункте излагается так называемая теория Флоке.
Будем рассматривать систему вида
(4)
где
, а матричная функция P(t) удовлетворяет условию P(t + ) = P(t), >0 при всех
. Такие матричные функции будем называть периодическими с периодом или -периодическими.
Теорема Флоке. Фундаментальная матрица системы (4) имеет вид
![]()
где G — -периодическая матрица, R — постоянная матрица.
Матрица В, определяемая равенством
, называется матрицей монодромии. Для нее справедливо
. Она определяется с помощью фундаментальной матрицы неоднозначно, но можно показать, что все матрицы монодромии подобны. Часто матрицей монодромии называют ту, которая порождается нормированной при
фундаментальной матрицей
, то есть
.
Собственные числа
матрицы монодромии называются мультипликаторами уравнения (4), а собственные числа
матрицы R — характеристическими показателями. Из определения R имеем
, при этом простым мультипликаторам соответствуют простые характеристические показатели, а кратным — характеристические показатели с элементарными делителями той же кратности.
Характеристические показатели определены с точностью до
. Из
и формулы Лиувилля следует, что
.
Название мультипликатор объясняется следующей теоремой:
Теорема. Число является мультипликатором уравнения (4) тогда и только тогда, когда существует ненулевое решение
этого уравнения такое, что при всех t
.
Следствие 1. Линейная периодическая система (4) имеет нетривиальное решение периода тогда и только тогда, когда по меньшей мере один из ее мультипликаторов равен единице.
Следствие 2. Мультипликатору
соответствует так называемое антипериодическое решение
периода , т. е.
. Отсюда имеем:
![]()
Таким образом,
есть периодическое решение с периодом
. Аналогично, если
(p и q — целые,
), то периодическая система имеет периодическое решение с периодом
.
Пусть
, где
— матрица из теоремы Флоке,
— ее жорданова форма. По теореме Флоке
, или
, (5)
где
— фундаментальная матрица,
— -периодическая матрица. В структуре фундаментальной матрицы линейной системы с периодическими коэффициентами характеристические показатели играют ту же роль, что и собственные числа матрицы коэффициентов в структуре фундаментальной матрицы линейной системы с постоянными коэффициентами.
Пример. Рассмотрим дифференциальное уравнение второго порядка
, (6)
где
— -периодическая вещественная скалярная функция. Мультипликаторами уравнения (6) будем называть мультипликаторы соответствующей линейной системы, т. е. системы
![]()
с матрицей
. Так как
, то
. Мультипликаторы являются собственными числами матрицы
,
где
— решение уравнения (6), удовлетворяющее начальным условиям
, а
— решение уравнения (6), удовлетворяющее начальным условиям
. Пусть
— характеристическое уравнение для определения мультипликаторов. Так как
, то оно принимает вид
, где
.
2. Устойчивость решений систем дифференциальных уравнений.
2.1. Устойчивость по Ляпунову.
Вводя определение устойчивости по Лагранжу и Пуассону в пункте 1.3, описывались свойства одной отдельно взятой траектории. Понятие устойчивости по Ляпунову характеризует траекторию с точки зрения поведения соседних траекторий, располагающихся в ее окрестности. Предположим, что система при старте из начальной точки
порождает траекторию
. Рассмотрим другую траекторию той же системы
, стартовая точка которой близка к
. Если обе траектории остаются близкими в любой последующий момент времени, то траектория
называется устойчивой по Ляпунову.
Наглядная иллюстрация устойчивости по Лагранжу, Пуассону и Ляпунову приводится на рис. 2. Когда говорят просто об устойчивой траектории, то всегда имеется в виду устойчивость по Ляпунову.

Рис. 2. Качественная иллюстрация устойчивости по Лагранжу (траектория остается в замкнутой области), по Пуассону (траектория многократно возвращается в -окрестность стартовой точки) и по Ляпунову (две близкие на старте траектории остаются близкими всегда)
Рассмотрим уравнение
(1)
где
и функция f удовлетворяет в G условию Липшица локально:
и
, где
— константа, не зависящая от выбора точек
и
.
Предположим, что уравнение (1) имеет решение
, определенное при
, и что
. Чтобы перейти к исследованию нулевого решения, выполним в (1) замену
. В результате получим уравнение
, (2)
где
определена в области, содержащей множество
. Это уравнение называется уравнением в отклонениях. Пусть
— решение (2) с начальными данными
.
Определение. Решение
уравнения (2) называется устойчивым по Ляпунову, если для
, такое, что при
.
Решение
называется асимптотически устойчивым, если оно устойчиво по Ляпунову и существует
такое, что
при
.
Неустойчивость решения
означает следующее: существуют положительное
, последовательность начальных точек
при
, и последовательность моментов времени
такие, что
.
При исследовании вопроса об устойчивости решений часто прибегают к заменам переменных, позволяющим упростить вид рассматриваемого уравнения. Сделаем в (2) замену
, где функция
определена при всех
и непрерывна по z при
равномерно относительно
, причем
. Пусть уравнение
однозначно разрешимо относительно z:
, где
определена на множестве
и непрерывна по y при
равномерно относительно
. Пусть уравнение (2) заменой
можно преобразовать в уравнение
.
Лемма. При сделанных предположениях нулевое решение уравнения (2) устойчиво по Ляпунову, асимптотически устойчиво или неустойчиво тогда и только тогда, когда соответственно устойчиво по Ляпунову, асимптотически устойчиво или неустойчиво нулевое решение уравнения
.
Пусть уравнение (2) автономно, а его нулевое решение асимптотически устойчиво. Множество
называется областью притяжения решения
.
2.2. Устойчивость линейных однородных систем.
Пусть
(3)
— вещественная система,
— ее произвольное решение. Замена
приводит (3) к виду
, т. е. произвольное решение уравнения (3) переводится в тривиальное решение того же уравнения. Следовательно, все решения уравнения (3) устойчивы по Ляпунову, асимптотически устойчивы или неустойчивы одновременно. Поэтому можно говорить об устойчивости уравнения (3), понимая под этим устойчивость всех его решений, в частности тривиального.
Лемма 1. Пусть
и
или
, где
— неособая при всех
матрица, ограниченная по норме вместе с обратной
. Тогда
ограничена, не ограничена или бесконечно мала по норме при
тогда и только тогда, когда
обладает таким свойством.
Лемма вытекает из оценки
.
Следствие. Пусть
,
— нормированная при
фундаментальная матрица уравнения (3). Любая фундаментальная матрица уравнения (3) ограничена, не ограничена или бесконечно мала по норме вместе с
.
Теорема 1. 1) Для того чтобы уравнение (3) было устойчивым по Ляпунову, необходимо и достаточно, чтобы его фундаментальные матрицы были ограничены при
. 2) Для того чтобы уравнение (3) было асимптотически устойчивым, необходимо и достаточно, чтобы его фундаментальные матрицы были бесконечно малыми при
.
Доказательство. 1) Достаточность. Пусть
ограничена на
. Решение
задается формулой
. (*)
Так как
, то
. Следовательно, уравнение (3) устойчиво по Ляпунову, так как устойчиво его тривиальное решение. Действительно, если
, то при всех
. (**)
Необходимость. Пусть уравнение (3) устойчиво по Ляпунову. Тогда устойчиво его тривиальное решение, и выполняется (**). Пусть
фиксировано. Положим
. Если
, то
. Из (*) и (**) имеем
, т. е.
ограничена. Аналогично доказывается ограниченность
, а вместе с ними и матрицы
.
2) Достаточность. Пусть
при
. В силу (*)
при всех
, что и дает асимптотическую устойчивость.
Необходимость. Пусть для любых
при
. Положим
. В силу (*)
, следовательно,
. Аналогично доказывается, что
,
, что означает
при
. Теорема доказана.
Применим теорему 1 к исследованию устойчивости уравнения (3) с постоянной матрицей коэффициентов P. Уравнение (3) в этом случае имеет фундаментальную матрицу
,
, где
— жорданова форма матрицы P. По теореме 1, лемме 1 и следствию к ней устойчивость по Ляпунову, асимптотическая устойчивость и неустойчивость уравнения (3) эквивалентны соответственно ограниченности, бесконечной малости и неограниченности матрицы
при
. Отсюда получаем следующую теорему:
Теорема 2. Линейная однородная система с постоянным коэффициентами: 1) устойчива по Ляпунову тогда и только тогда, когда среди собственных чисел матрицы коэффициентов нет таких, вещественные части которых положительны, а число мнимые и нулевые собственные числа либо простые, либо имеют только простые элементарные делители; 2) асимптотически устойчива тогда и только тогда, когда все собственные числа матрицы коэффициентов имеют отрицательные вещественные части.
Ниже рассматриваются необходимые и достаточные условия отрицательности корней характеристического уравнения линейной однородной системы с постоянными коэффициентами — критерий Гурвица (Рауса-Гурвица), а также частотный критерий Михайлова, являющийся геометрическим признаком, эквивалентным критерию Гурвица.
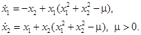
Определение. Полином
, где
,
,
называется полиномом Гурвица, если все его корни имеют отрицательные вещественные части.
Если полином
является полиномом Гурвица, то все
.
Составим
-матрицу Гурвица вида

Теорема Гурвица (критерий Гурвица). Для того чтобы полином
являлся полиномом Гурвица, необходимо и достаточно, чтобы были положительны все главные диагональные миноры его матрицы Гурвица
:

Если степень полинома
сравнительно большая, то применение критерия Гурвица становится затруднительным. В этом случае для определения расположения корней полинома
на комплексной плоскости иногда оказывается более удобным использование частотного критерия Михайлова.
Определение. Пусть
, где
,
,
. Кривая
,
называется годографом Михайлова функции
.
Критерий Михайлова непосредственно следует из леммы:
Лемма 2. Угол поворота в положительном направлении ненулевого вектора
при
равен
, где
— число корней полинома
с положительной вещественной частью с учетом их кратностей.
Критерий Михайлова. Для того чтобы полином
, не имеющий чисто мнимых корней, являлся полиномом Гурвица, необходимо и достаточно, чтобы угол поворота в положительном направлении вектора
при
был бы равен
.
Замечание. Если полином
есть полином Гурвица степени
, то вектор
монотонно поворачивается в положительном направлении на угол
, то есть годограф Михайлова, выходя из точки
положительной полуоси
, последовательно пересекает полуоси
, проходя
квадрантов.
2.3. Устойчивость периодических решений.
Рассмотрим уравнение (3) с периодическими коэффициентами, т. е.
, (4)
где
. По формуле (5) предыдущей главы уравнение (4) имеет в рассматриваемом случае фундаментальную матрицу
, где
— неособая -периодическая непрерывная матрица, тем самым ограниченная вместе с обратной,
— жорданова матрица, собственные числа
которой — характеристические показатели уравнения (4). Из леммы 1 следует, что характеристические показатели играют при оценке фундаментальной матрицы ту же роль, что собственные числа
, когда
постоянна. Учитывая, что
, где
— мультипликаторы уравнения, получаем следующий результат:
Теорема 3. Линейная однородная система с периодическими коэффициентами: 1) устойчива по Ляпунову тогда и только тогда, когда все ее мультипликаторы не превышают по модулю единицы, а равные единице по модулю либо простые, либо им соответствуют простые элементарные делители матрицы монодромии; 2) асимптотически устойчива тогда и только тогда, когда модули всех мультипликаторов меньше единицы.
Пример. Рассмотрим уравнение из примера п. 1.5:
![]()
Уравнение будем называть устойчивым по Ляпунову, асимптотически устойчивым или неустойчивым, если таковой является соответствующая ему линейная система. Мультипликаторы находятся из уравнения
:
, где
. Поэтому можно сделать вывод, что при
оба мультипликатора вещественны и один из них по абсолютной величине больше единицы, а при
мультипликаторы являются комплексно-сопряженными с модулями, равными единице. По теореме 3 при
уравнение
неустойчиво, а при
оно устойчиво по Ляпунову, но не асимптотически.
2.4. Классификация положений равновесия системы второго порядка.
Исследуем на устойчивость положения равновесия линейной однородной системы двух уравнений с постоянными коэффициентами. Пусть
, где
. Как было показано в пункте 1.4, тип особой точки такой системы определяется корнями характеристического уравнения
или
. Его корни можно найти по формуле
.
Рассмотрим следующие случаи согласно пункту 1.4.
1)
вещественны, различны и
(
). Параметрические уравнения траекторий:
. Положение равновесия называется узел. Если корни
положительны (
), то решения будут неограниченно возрастать, и особая точка — неустойчивый узел.
Если
отрицательны (
), то решения с ростом времени будут неограниченно уменьшаться, то есть положение равновесия будет асимптотически устойчивым. Особая точка — устойчивый узел.

2)
вещественны и
(
). В этом случае одна из траекторий всегда будет неограниченно возрастать, а другая неограниченно уменьшаться. Таким образом, седло всегда неустойчиво.

3)
комплексно-сопряженные, но не чисто мнимые (
). Решение в полярных координатах запишется в виде
, где
. Если
(
), то спирали будут раскручиваться от особой точки, и фокус будет неустойчивым.
Если
(
), то особая точка — устойчивый фокус, причем устойчивость асимптотическая.

4)
(
). Особая точка — центр, траектории — окружности, то есть положение равновесия является устойчивым, но не асимптотически.

5)
. Если
, то получаем неустойчивый узел, либо вырожденный, либо дикритический. Если
, положение равновесия будет асимптотически устойчивым.

6) Один из корней равен нулю (например
). Траекториями являются прямые, параллельные друг другу. Если
, то получаем прямую неустойчивых особых точек. Если
, то прямая будет содержать устойчивые особые точки.
7) Оба корня равны нулю. Тогда
. Особая точка неустойчива.
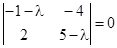
Пример. Рассмотрим систему
. Положение равновесия находится из уравнения
, или
, откуда
. Следовательно, положение равновесия — неустойчивый узел. Жорданова форма матрицы А имеет вид:
.
Найдем координаты преобразования
, приводящего матрицу А к жордановой форме, то есть переводящего систему к виду
. Дифференцируя эти уравнения и подставляя в исходную систему, получаем:

откуда с учетом
, — произвольное,
, — произвольное. Получаем преобразование
. Определим новое положение осей:

Решение системы
запишется в виде
, а исходной системы отсюда
. Схематическое изображение траекторий:

Рассмотрим теперь некоторые положения равновесия в трехмерном пространстве. Характеристическое уравнение — кубическое с вещественными коэффициентами, оно может иметь три вещественных или один вещественный и два комплексно-сопряженных корня. В зависимости от расположения этих корней
на плоскости
возможно 10 "грубых" случаев (рис. 3, 1)-5) и 1')-5')) и ряд "вырожденных" (рис. 3, 6)-9)), когда вещественная часть одного из корней равна нулю или вещественной части не сопряженного с ним корня. Случаи кратных корней здесь не рассматриваются.
Поведение фазовых траекторий в приведенных случаях показано на рис. 4. Случаи 1')-5') получаются из случаев 1)-5) изменением направления оси t, так что на рис. 4 надо лишь заменить все стрелки на противоположные.
Устойчивость по Ляпунову в рассмотренных случаях следующая. Все случаи 1')-5'), а также 2), 5), 8) и 9) неустойчивы. Случаи 1), 3) и 4) устойчивы асимптотически. Случай 6) устойчив.

Рис. 3. Собственные числа матрицы А. Закрашенным кружком отмечены
,
светлым — начало координат.

Рис. 4. Фазовые кривые в трехмерном пространстве.
2.5. Автономные системы на плоскости. Предельные циклы.
Рассмотрим автономную двумерную систему
, (5)
где
— область.
Предположим, что система (5) имеет замкнутую траекторию
с наименьшим периодом
. Возьмем произвольную точку
и проведем через нее нормаль
к
единичной длины. Для определенности считаем, что
направлен во внешнюю область. Не нарушая общности, считаем также, что
— начало координат (этого можно добиться заменой
). Точки на нормали
определяются единственной координатой
. В качестве
берем расстояние от точки нормали до начала координат, если точка лежит снаружи
, и это расстояние, взятое с обратным знаком, если она лежит внутри
.
Рассмотрим траектории
, проходящие через точки нормали. Запишем уравнение
(6)
с неизвестными t, s ( — параметр).
Лемма 3. Существует
такое, что в области
уравнение (6) имеет единственное решение
, удовлетворяющее условиям
, причем функции
непрерывно дифференцируемы при
.
Доказательство. Так как
— решение с периодом , то по теореме о дифференцируемости решения функция
определена и непрерывно дифференцируема по t и в некоторой окрестности точки
. Тогда функция
определена и непрерывно дифференцируема в некоторой окрестности точки
. Так как
‑периодична, то
. Рассмотрим якобиан
в точке
. Имеем
. Следовательно, в точке
, поскольку
и
— ортогональные векторы. Тогда утверждение леммы вытекает из теоремы о неявной функции.
Следствие. Справедлива формула
.
Выясним геометрический смысл функций
. Лемма 3 утверждает, что каждая траектория, пересекающая нормаль
в точке
из -окрестности начала координат, вновь пересечет ее через промежуток времени
в точке
. При этом так как функция
также делает полный оборот вдоль
при
, то траектория
также делает полный оборот при
, оставаясь в малой окрестности
, если достаточно мало.

Функция
называется функцией последования.
Определение. Замкнутая траектория
автономного уравнения (5) называется устойчивым предельным циклом, если существует такое
, что
является -предельным множеством для любой траектории, проходящей через точку из -окрестности кривой
.
Определение. Замкнутая траектория
автономного уравнения (5) называется неустойчивым предельным циклом, если существует такое
, что
является -предельным множеством для любой траектории, проходящей через точку из -окрестности кривой
.
Так как в реальной действительности время течет в положительном направлении, то на практике реализуются те периодические движения, которым соответствуют устойчивые предельные циклы. Такие движения называются автоколебаниями.
Теорема 4. Пусть
. (7)
Если
, то
является устойчивым предельным циклом; если
, то
— неустойчивый предельный цикл.
Характер приближения соседних траекторий к
при
следующий: они приближаются к
, образуя бесконечное число витков спирали, как изнутри, так и снаружи.

2.6. Устойчивость по первому приближению.
Вернемся к рассмотрению уравнения (1), где
. После замены
получим уравнение (2), которое, используя разложение в ряд Тейлора, запишем в виде
, (8)
где
при
. (9)
Теорема 5. Пусть
— постоянная матрица, предельный переход в (9) выполняется равномерно по
и вещественные части собственных чисел матрицы
отрицательны. Тогда решение
уравнения (8) асимптотически устойчиво.
Теорема 6. Пусть
— постоянная матрица, предельный переход в (9) выполняется равномерно по
. Для устойчивости по Ляпунову нулевого решения уравнения (8) необходимо, чтобы вещественные части собственных чисел матрицы
были неположительны.
Рассмотрим теперь автономное уравнение (1):
, (10)
где функция
непрерывно дифференцируема при
, причем
. Тогда
является положением равновесия уравнения (10). После замены
уравнение (10) принимает вид
, где
, функция
непрерывно дифференцируема при
и
при
. (11)
Из (11) и теорем 5 и 6 вытекает следующее утверждение.
Теорема 7. Если все собственные числа матрицы
имеют отрицательные вещественные части, то положение равновесия
асимптотически устойчиво; если же хоть одно из собственных чисел имеет положительную вещественную часть, то оно неустойчиво.
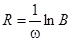
Пример. Рассмотрим систему двух уравнений
Координаты положений равновесия определяются из уравнений
. Положения равновесия:
![]()
Соответствующие матрицы
имеют вид
, или
.
Собственные числа определяются уравнением
. При k четном
, при k нечетном
. По теореме 7 при k четном решения
асимптотически устойчивы, а при k нечетном неустойчивы.
Предположим теперь, что правая часть уравнения (1) и решение
периодичны по t с одним и тем же периодом . Тогда в уравнении (8)
,
. Далее, так как
равномерно непрерывна на компакте
, то в силу периодичности
выполняется равномерно по
. Поскольку
— периодическая матрица, то существует замена переменных
, (12)
где
— периодическая с периодом функция класса
, причем
, переводящая уравнение
в
с постоянной матрицей коэффициентов
, определяемой теоремой Флоке. Следовательно, замена (12) переводит (8) в уравнение
, (13)
причем функция
определена и непрерывна в области вида
. Условие (9) также выполняется. Действительно,
в силу (9), ограниченности
и
и поскольку
эквивалентно
. При этом, как отмечалось, имеет место равномерность по t.
Согласно лемме из п. 2.1. вопрос об устойчивости тривиального решения уравнения (8) эквивалентен вопросу об устойчивости тривиального решения уравнения (13). Так как
, где
— собственные числа матрицы
, а
— мультипликаторы линейного уравнения
, называемые также мультипликаторами периодического решения
, то из теорем 5 и 6 вытекает следующая теорема:
Теорема 8. Если модули всех мультипликаторов периодического решения периодического уравнения (1) меньше единицы, то это решение асимптотически устойчиво. Если же модуль хоть одного из мультипликаторов больше единицы, то оно неустойчиво.
Рассмотрим смешанный случай, когда исследуется устойчивость -периодического решения
автономного уравнения (10). Дифференцируя тождество
, получаем
. Следовательно, функция
является -периодическим решением уравнения в вариациях
. По следствию 1 п. 1.5. один из мультипликаторов равен единице. Если среди остальных мультипликаторов имеются такие, модули которых больше единицы, то решение
неустойчиво по теореме 8. В противном случае теорема 8 неприменима.
Теорема 9. (Андронова-Витта) Если
мультипликаторов периодического решения уравнения (10) имеют модули, меньшие единицы, то это решение устойчиво по Ляпунову.
Замечание. Уравнение (10) автономно, поэтому наряду с решением
имеются и решения
,
, следовательно, решение
не может быть асимптотически устойчивым.
2.7. Экспоненциальная устойчивость.
Рассмотрим уравнение (10), в котором
. Обозначим через
траекторию, проходящую через точку
при
. Предположим, что нулевое решение (10) асимптотически устойчиво, причем существуют число
и функция
,
при
такие, что
при
. В этом случае существуют положительные числа
такие, что при
справедливо неравенство
. (14)
Если имеет место оценка (14), то говорят, что нулевое решение экспоненциально асимптотически устойчиво. Например, в условиях теоремы 5 нулевое решение уравнения (8) экспоненциально асимптотически устойчиво. Более того, нулевое решение уравнения (8) экспоненциально асимптотически устойчиво при более слабых, чем в теореме 5, ограничениях на нелинейность
. Достаточно, чтобы левая часть (9) удовлетворяла неравенству
, где
— собственные числа матрицы A (их вещественные части по условию отрицательны).
Для автономного уравнения (10) из экспоненциальной устойчивости следует асимптотическая устойчивость, и наоборот. Однако для неавтономных систем справедливо только первое утверждение.
Для неавтономной системы по формуле (14) вводится аналогичное понятие экспоненциальной устойчивости, однако асимптотическая устойчивость. Кроме того, справедлив следующая теорема.
Теорема. Для того чтобы линейная система
была экспоненциально устойчивой, необходимо и достаточно, чтобы существовали две квадратичные формы
и
, обладающие следующими свойствами:
1.
вещественная, симметричная и ограниченная;
2.
вещественная, симметричная и ограниченная;
3.
;
4.
(см. п. 3.1).
Рассмотрим дифференциальное уравнение
, (1)
где
. Предположим, что G — область единственности и
при всех
, т. е. уравнение (1) имеет тривиальное решение
. Рассмотрим вопрос об устойчивости этого решения.
Сущность второго метода Ляпунова заключается в исследовании поведения некоторой функции
как функции t при замене x на произвольное решение уравнения (1). В дальнейшем используем определения устойчивости и асимптотической устойчивости, где
.
Под функцией Ляпунова будем понимать любую непрерывную функцию
такую, что
при всех
. На множестве функций Ляпунова
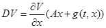
задан линейный оператор D, определяемый формулой
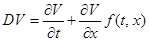
. (2)
называется производной V в силу уравнения (1). Справедлива формула
, (3)
где
— решение уравнения (1) с начальными данными
.
Определение. Функция Ляпунова
, не зависящая от t, называется определенно-положительной, если в области G при
. Функция Ляпунова
называется определенно-положительной, если существует определенно-положительная функция
такая, что
. Функция Ляпунова
называется определенно-отрицательной, если
— определенно-положительная функция.
Определение. Функция Ляпунова
называется положительной, если
в области G и отрицательной, если
в G.
Таким образом, функцию Ляпунова, тождественно равную в G нулю, можно рассматривать и как положительную, и как отрицательную.
Отметим следующее свойство определенно-положительных и определенно-отрицательных функций: если
, то
. (4)
Импликация
в (4) вытекает непосредственно из определения функций Ляпунова. Чтобы обосновать импликацию
, рассмотрим произвольную последовательность
,
, для которой
при
. Покажем, что
при
. Предположим, что это неверно. Тогда найдется подпоследовательность
и положительное число
такие, что
. Согласно определению
, где
— определенно-положительная функция. Положим
. Множество
компактно, поэтому по теореме анализа
, где
, следовательно,
. Тогда
, что противоречит свойству последовательности
.
3.2. Теоремы второго метода Ляпунова.
Теорема 1. Пусть существует определенно-положительная функция Ляпунова
, такая, что DV есть отрицательная функция. Тогда решение
уравнения (1) устойчиво по Ляпунову.
Доказательство. Пусть — произвольная положительная постоянная,
. Положим
при
. Так как V определенно-положительная, то
. По l найдем
такое, чтобы
. Рассмотрим решение
при
. Покажем, что
. (5)
Пусть (5) не имеет места. Тогда существует
такое, что
, а при
. В силу (3) и условия теоремы функция
является при
невозрастающей функцией t. Так как
, то
, тогда тем более
, что противоречит определению T и тому, что
. Таким образом, импликация (5) имеет место, а это и означает по определению устойчивость решения
по Ляпунову. Теорема доказана.
Следствие. Если уравнение (1) имеет в области G определенно-положительный интеграл, не зависящий от t и уничтожающийся в начале координат, то решение
устойчиво по Ляпунову.
Теорема 2. Пусть существует определенно-положительная функция Ляпунова
, такая, что DV определенно-отрицательная при
. Тогда решение
уравнения (1) асимптотически устойчиво.
Доказательство. Условия теоремы 1 выполнены, и решение
устойчиво по Ляпунову. Следовательно, существует
такое, что
при
. (6)
Из определения асимптотической устойчивости в силу (4) заключаем, что достаточно доказать импликацию
при
. В силу (3) и условия теоремы
— строго убывающая функция t.
Предположим, что теорема неверна. Тогда
. (7)
Отсюда, из (6) и (4) следует, что при
. По условию теоремы
, где
— определенно-положительная функция. Пусть
. Из (3) следует, что при всех
, что противоречит определенной положительности
. Полученное противоречие доказывает теорему.
В случае когда уравнение автономно, условия теоремы (2) можно ослабить.
Теорема 3. Пусть уравнение (1) автономно, выполнены условия теоремы 1 и множество
не содержит целиком полных траекторий уравнения (1), за исключением положения равновесия
. Тогда решение
асимптотически устойчиво.
Доказательство. Используем доказательство теоремы 2 до формулы (7) включительно. Далее, пусть
— -предельная точка траектории
. Из определения -предельной точки и (7) следует, что
. По первому свойству предельных множеств (п. 1.3.) все точки траектории
являются -предельными для траектории
. Следовательно, для всех t, при которых определено решение
,
. Отсюда и из (3) следует, что при указанных t
, что противоречит условию теоремы, так как
не совпадает с началом координат. Теорема доказана.
Пример. Рассмотрим уравнение движения диссипативной системы с одной степенью свободы
, где
удовлетворяют условию Липшица при
,
удовлетворяет условию
при
и
при
. Докажем, что положение равновесия
асимптотически устойчиво.
Соответствующая система двух уравнений имеет вид
.
В качестве функции Ляпунова возьмем полную энергию системы
.
В силу условия
V —определенно-положительная функция, при этом
.
Следовательно, DV —отрицательная функция и множество M — интервал оси абсцисс при
. Так как при
при
, то множество M не содержит целых траекторий, отличных от положения равновесия
.
По теореме 3 решение
системы асимптотически устойчиво, что и требовалось доказать.
Перейдем к рассмотрению неустойчивости. Пусть
— функция Ляпунова. Обозначим через
любую связную компоненту открытого множества
с началом координат на ее границе.
Теорема 4. Пусть существует функция Ляпунова
такая, что
не пусто и при
. Тогда решение
уравнения (1) неустойчиво.
Доказательство. Пусть
. Будем рассматривать решения
с начальной точкой
. Достаточно показать, что для каждого из этих решений можно указать момент T (для каждого решения свой) такой, что
.
Пусть это неверно, т. е. существует решение
, удовлетворяющее при всех
неравенству
. Покажем, что траектория решения
принадлежит
при
. Действительно, по определению
она может покинуть область
только через ту часть ее границы, где
. Но это невозможно, так как
и при возрастании
функция
строго возрастает, пока
, в силу (3).
Итак, доказано, что при
и
. Следовательно, по условию теоремы
при
. Интегрируя (3) от
до
, получаем
,
что противоречит ограниченности
при
. Противоречие доказывает теорему.
Пример. Рассмотрим уравнение
, где
— удовлетворяющая условию Липшица при
функция такая, что
при
. Докажем неустойчивость решения
.
Рассмотрим систему
, соответствующую уравнению примера. В качестве функции Ляпунова возьмем
. Имеем:
.
По теореме 4 решение
системы неустойчиво, что и требовалось доказать.
3.3. Устойчивость по первому приближению.
Рассмотрим дифференциальное уравнение
, (8)
где
— заданная квадратичная форма.
Лемма 1. Если собственные числа матрицы A удовлетворяют условию
, (9)
то уравнение (8) имеет единственное решение
, являющееся квадратичной формой.
В следующих двух леммах будут построены квадратичные формы, являющиеся функциями Ляпунова для линейного уравнения
(10)
и удовлетворяющие условиям теорем 2 и 4.
Лемма 2. Пусть все собственные числа матрицы A имеют отрицательные вещественные части,
— определенно-отрицательная квадратичная форма. Тогда уравнение (8) имеет единственное решение
, являющееся определенно-положительной квадратичной формой.
Лемма 3. Пусть матрица A имеет собственные числа с положительными вещественными частями. Тогда можно подобрать
такое, что существует единственное решение
уравнения
,
причем если
— определенно-положительная квадратичная форма, то область
для квадратичной формы
непуста.
Докажем теперь теоремы 5 и 6 пункта 2.6. Рассмотрим уравнение (1), у которого
(11)
где
удовлетворяет условию
(12)
равномерно по
.
Теорема 5 (см. теорему 5 п. 2.6). Если все собственные числа матрицы A имеют отрицательные вещественные части и
удовлетворяет условию (12), то решение
уравнения (1) асимптотически устойчиво.
Доказательство. Построим функцию Ляпунова, удовлетворяющую условию теоремы 2 для линейного уравнения (10), и покажем, что она удовлетворяет условиям теоремы 2 и для уравнения (1).
Пусть
— квадратичная форма, удовлетворяющая уравнению
.
По лемме 2
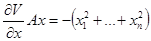
определенно-положительная. Определим ее производную DV в силу уравнения (1). Из (2) и (11) имеем:
. Отсюда получаем:
. (13)
Из (12) следует, что для любого
можно указать
такое, что при
выполняется
. Так как
— квадратичная форма, то
,
, и
. Очевидно также, что
. Из (13) и записанных неравенств следует, что
. Следовательно, DV — определенно-отрицательная функция при
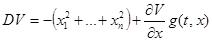
, если a выбрать по
. Итак, выполнены все условия теоремы 2, откуда следует, что решение
уравнения (1) асимптотически устойчиво. Теорема 5 доказана.
Теорема 6. (см. теорему 6 п. 2.6). Если среди собственных чисел матрицы имеются такие, вещественные части которых положительны, и выполнено условие (12), то решение
уравнения (1) неустойчиво.
Доказательство. С помощью леммы 3 построим квадратичную форму
, удовлетворяющую уравнению
, и такую, что область
для функции V непуста. Составим DV в силу уравнения (1). Имеем
.
Используя (12), как и при доказательстве теоремы 5, покажем, что если a достаточно мало, то при
функция
. Следовательно, так как в области
, то при
,
имеем
. Таким образом, выполнены все условия теоремы 4, откуда и следует, что нулевое решение уравнения (1) неустойчиво. Теорема доказана.
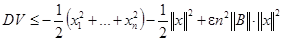
Метод функций Ляпунова в анализе динамики систем. Сб. статей. Новосибирск: Наука, 1987.
М. Розо. Нелинейные колебания и теория устойчивости. М.: Наука, 1971.
Б. П. Демидович. Лекции по математический теории устойчивости. М.: Наука, 1967.
И. Г. Петровский. Лекции по обыкновенным дифференциальным уравнениям. М.: Наука, 1964.
Ю. Н. Бибиков. Курс обыкновенных дифференциальных уравнений. М.: Высшая школа, 1991.
В. И. Арнольд. Обыкновенные дифференциальные уравнения. М.: Наука, 1975.
Кузнецов С. П. Динамический хаос (курс лекций). М.: Изд. ФМЛ, 2001.