| Похожие рефераты | Скачать .docx | Скачать .pdf |
Реферат: Приближенное вычисление определенного интеграла при помощи квадратурной формулы Чебышева
КУРСОВАЯ РАБОТА студента 2-го курса: Полякова Е.В.
МИНИСТЕРСТВО ОБРАЗОВАНИЯ УКРАИНЫ
ГОСУДАРСТВЕННЫЙ ХИМИКОТЕХНОЛОГИЧЕСКИЙ УНИВЕРСИТЕТ
КАФЕДРА ВЫЧИСЛИТЕЛЬНОЙ ТЕХНИКИ
Днепропетровск 2000г.
1. Общая постановка и анализ задачи.
1.1. Введение.
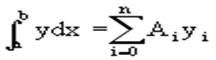
Требуется найти определенный интеграл
I = 
по квадратурной формуле Чебышева.
Рассмотрим, что представляет из себя вообще квадратурная формула, и как можно с ее помощью вычислить приближенно интеграл.
Известно,
что определенный интеграл функции
типа
численно представляет собой площадь криволинейной трапеции ограниченной кривыми x=0, y=a, y=b и y=
(Рис.1).

Рис. 1. Криволинейная трапеция.
Если f(x) непрерывна на отрезке [a, b], и известна ее первообразная F(x), то определенный интеграл от этой функции в пределах от а до b может быть вычислен по, известной всем, формуле Ньютона - Лейбница
= F(b) - F(a)
где
F’(x) = f(x)
Однако во многих случаях F(x) не может быть найдена, или первообразная получается очень сложной для вычисления.
Кроме того, функция часто задается таблично. Поэтому большое значение приобретает приближенное и в первую очередь численное интегрирование.
Задача численного интегрирования состоит в нахождении приближенного значения интеграла
по заданным или вычисленным значениям подинтегральной функции f(x) в некоторых точках ( узлах ) отрезка [ a, b].
Численное определение однократного интеграла называется механической квадратурой, а соответствующие формулы численного интегрирования - квадратурными .
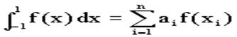
Заменяя подинтегральную функцию каким-либо интерполционным многочленом, мы получим квадратурные формулы вида
где
xk - выбранные узлы интерполяции;
Ak - коэффициенты, зависящие только от выбора узлов, но
не от вида функции (k=0,1,2,........, n).
R - остаточный член, или погрешность квадратурной формулы.
Отбрасывая остаточный член R, мы совершаем погрешность усечения.
При расчете к ней добавляются еще различные погрешности округления.
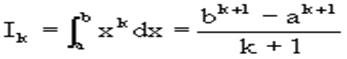
Разобьем отрезок интегрирования [a, b] на n равных частей системой точек
xi= xo+ i..h; ( i = 0,1,2,......,n)
xo= a; xn= b;
h= (b-a)/n ;
и вычислим подинтегральную функцию в полученных узлах
yi= f(xi) ; ( i = 0,1,2,......,n)
1.2. Вывод формул численного интегрирования с использованием интерполяционного полинома Лагранжа
Пусть для y=f(x) известны в n+1 точках X0,X1,X2..Xn промежутка [a,b] соответствующие значения f(xi)=yi (i=0,1,2..n). Требуется приближенно найти

По заданным значениям Yi построим полином Лагранжа. Заменим f(x) полиномом Ln(x). Тогда
где Rn(f) – ошибка квадратурной формулы. Отсюда, воспользовавшись выражением для Ln(x), получаем приближенную квадратурную формулу:

Для вычисления коэффициентов Аi заметим что:
1.коэффициенты Ai при данном расположении узлов не зависит от выбора функции f(x);
2.для полинома степени n последняя формула точная.
Пологая y=xK (k=0,1,2..,n), получим линейную систему из n+1 уравнений:

где
(k=0,1,..,n), из которой можно определить коэффициенты А0,А1,..,АN.
Определитель системы есть определитель Вандермонда
Заметим, что при применении этого метода фактическое построение полинома Лагранжа Ln(x) является излишним. Простой метод подсчета погрешности квадратурных формул разработан С.М. Никольским.
Теперь рассмотрим несколько простейших квадратурных формул :
1.3 Формула трапеций и средних прямоугольников.
Заменим дугу АВ стягивающей ее хордой, получим прямолинейную трапецию аАВb, площадь которой примем за приближенное значение интеграла

|
y

0 a b x
рис 1.3.1 Криволинейная трапеция

Рис. 1.3.2. Метод трапеций.

Рис. 1.3.3. Метод средних прямоугольников.
По методам трапеций и средних прямоугольников соответственно интеграл равен сумме площадей прямоугольных трапеций, где основание трапеции какая-либо малая величина (точность), и сумма площадей прямоугольников, где основание прямоугольника какая-либо малая величина (точность), а высота определяется по точке пересечения верхнего основания прямоугольника, которое график функции должен пересекать в середине. Соответственно получаем формулы площадей —
для метода трапеций:
,
для метода средних прямоугольников:
.
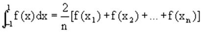
1.4. Общая формула Симпсона (параболическая формула)
Пусть n=2m есть четное число и yi=f(xi) (i=0,1,2...n) - значения функции y=f(x) для равноотстоящих точек а=x0,x1, ... ,xn=b с шагом
Применив формулу Симпсона к каждому удвоенному промежутку [x0,x2], [x2,x4] ... [x2m-2,x2m] длины 2h и введя обозначения
s1=y1+y2+ ... +y2m-1
s2=y2+y4+ ... +y2m
получим обобщенную формулу Симпсона:

Остаточный член формулы Симпсона в общем виде:

где xk I (x2к-2,x2к)
1.5. Квадратурная формула Чебышева
Рассмотрим квадратурную формулу вида:

функцию f(x) будем исать в виде когда f(x) многочлен вида f(x)=ao+a1x+...+anxn . Проинтегрировав, преобразовав и подставив значения многочлена в узлах
f(x1)=a0+a1x1+a2x12+a3x13+...+anx1n
f(x2)=a0+a1x2+a2x22+a3x23+...+anx2n
f(x3)=a0+a1x3+a2x32+a3x33+...+anx3n
. . . . . . . . . . . . . . . .
f(xn)=a0+a1xn+a2xn2+a3xn3+...+anxnn
получим формулу Чебышева.
Значения х1,х2,..,хn для различных n приведены в таблице 3.
Таблица 3 – Значения х1,х2,..,хn для различных n.
| n | I | ti | n | i | ti |
| 2 | 1;2 | ± 0,577350 | 6 | 1;6 | ± 0,866247 |
| 3 | 1;3 | ± 0,707107 | 2;5 | ± 0,422519 | |
| 2 | 0 | 3;4 | ± 0,266635 | ||
| 4 | 1;4 | ± 0,794654 | 7 | 1;7 | ± 0,883862 |
| 2;3 | ± 0,187592 | 2;6 | ± 0,529657 | ||
| 5 | 1;5 | ± 0,832498 | 3;5 | ± 0,321912 | |
| 2;4 | ± 0,374541 | 4 | 0 | ||
| 3 | 0 |
2. Решение контрольного примера

где a=0 ; b=
; при n=5;
f(x) = sin(x);


| i | xi | yi |
| 1 | 0,131489 | 0,131118 |
| 2 | 0,490985 | 0,471494 |
| 3 | 0,785 | 0,706825 |
| 4 | 0,509015 | 0,487317 |
| 5 | 0,868511 | 0,763367 |
x1= p/4+p/4*t1=p/4+p/4(-0,832498)=0,131489
x2= p/4+p/4*t2=p/4+p/4(-0,374341)=0,490985
x3= p/4+p/4*t3=p/4+p/4*0=0,785
x4=1- x2=1-0,490985 = 0,509015
x5=1- x1=1-0,131489=0,868511
y1=sin(x1) = sin(0,131489)=0,131118
y2=sin(x2) = sin(0,490985)=0,471494
y3=sin(x3) = sin(0,785)=0,706825
y4=sin(x4) = sin(0,509015)=0,487317
y5=sin(x5) = sin(0,868511)=0,763367

I = p/10(0,131118+0,471494+0,706825+0,487317+0,763367) =
=p/10*2,560121=0,8038779.
3. Описание программы Integral. pas. Алгоритм.
Процедура VVOD - заполняет массив, содержащий в себе аргументы xi
Процедура FORM - используя массив, содержащий аргументы xi заполняет массив yi
Процедура CHEB - используя массивы xi и yi, высчитывает по квадратурной формуле Чебышева приближенное значение интеграла.
Процедура TABL - это подпрограмма, осуществляющая вывод таблицы узлов (аргумент - функция)
При запуске программы нужно ввести границы интегрирования.
После ввода границ интегрирования используется процедура VVOD, а затем высчитывается и выводиться на экран шаг табулирования функции h.
После этого используем процедуры FORM и CHEB .
Получив результат, выводим таблицу ( процедура TABL ) и интеграл.
4. Заключение и выводы.
Таким образом очевидно, что при вычислении определенных интегралов с помощью квадратурных формул, а в частности по формуле Чебышева не дает нам точного значения, а только приближенное.
Чтобы максимально приблизиться к достоверному значению интеграла нужно уметь правильно выбрать метод и формулу, по которой будет вестись расчет. Так же очень важно то, какой будет взят шаг интегрирования.
Хотя численные методы и не дают очень точного значения интеграла, но они очень важны, так как не всегда можно решить задачу интегрирования аналитическим способом.
Листинг программы.
Программа написана на языке Tubro Pascal 7.0 для MS-DOS. Ниже приведен ее листинг:
program integral;
uses crt;
const n=5;
k=-0.832498;
l=-0.374541;
z=0.0;
type aa=array[1..n] of real;
var x,y:aa;
a,b,h,ich:real;
{ заполнение х-сов в массив х[5] }
procedure vvod(var a,b:real;var c:aa);
var i:integer;
t:aa;
Begin
t[1]:=k;
t[2]:=l;
t[3]:=z;
t[4]:=l;
t[5]:=k;
for i:=1 to n-1 do
c[i]:=((b+a)/2+(b-a)/2*t[i]);
for i:=n-1 to n do
c[i]:=1 - c[n+1-i];
end;
{ заполнение y-ков в массиве у[5] }
procedure form(var x:aa; var y:aa);
var i:integer;
Begin
for i:=1 to n do
y[i]:=sin(x[i]); {функция}
end;
{ процедура для расчета интеграла по квадратурной
формуле Чебышева }
procedure cheb(var y:aa;var ich:real);
var i:integer;
Begin
ich:=0;
for i:=1 to n do
ich:=ich+y[i]*h;
end;
{ процедура вывода таблицы}
procedure tabl;
var i:integer;
Begin
writeln(' ___________________________________ ');
writeln('| i | t| x|y |');
writeln(' ___________________________________ ');
writeln('| 1 |',k:9:6,'|',x[1]:9:6,' |',y[1]:9:6,'|');
writeln('| 2 |',l:9:6,'|',x[2]:9:6,' |',y[2]:9:6,'|');
writeln('| 3 |',z:9:6,'|',x[3]:9:6,' |',y[3]:9:6,'|');
writeln('| 4 |',l:9:6,'|',x[4]:9:6,' |',y[4]:9:6,'|');
writeln('| 5 |',k:9:6,'|',x[5]:9:6,' |',y[5]:9:6,'|');
writeln(' ___________________________________ ');
end;
Begin
clrscr;
writeln(' П Р О Г Р А М М А Д Л Я В Ы Ч И С Л Е Н И Я');
writeln(' О П Р Е Д Е Л Е Н Н О Г ОИ Н Т Е Г Р А Л А ');
writeln;
writeln('Введите границы интегрирования a,b:');
readln(a,b);
vvod(a,b,x);
h:=(b-a)/n;
writeln('h=',h:9:6);
form(x,y);
cheb(y,ich);
tabl;
writeln('I=',ich:8:6);
end.
Вывод результата :
П Р О Г Р А М М А Д Л Я В Ы Ч И С Л Е Н И Я
О П Р Е Д Е Л Е Н Н О Г ОИ Н Т Е Г Р А Л А
Введите границы интегрирования a,b:
0 1.5708
h= 0.314160
____________________________
| i | t | x | y |
____________________________
| 1 |-0.832498| 0.131556 | 0.131177|
| 2 |-0.374541| 0.491235 | 0.471716|
| 3 | 0.000000| 0.785400 | 0.707108|
| 4 |-0.374541| 0.508765 | 0.487099|
| 5 |-0.832498| 0.868444 | 0.763325|
____________________________
I=0.804383
Список литературы:
1. Ракитин Т.А., Первушин В.А. “Практическое руководство по численным методам с приложением программ на языке Basic“
2. Крылов В.И. “Приближенные вычисления интегралов“ - М. : Физмат.
3. Демидович и Марон “Основы вычислительной математики“
4. Копченова и Марон “Вычислительная математика в примерах и задачах”
5. Вольвачев А.Н., Крисевич В.С. Программирование на языке Паскаль для ПЭВМ ЕС. Минск.: 1989 г.
6. Зуев Е.А. Язык программирования Turbo Pascal. М.1992 г.
7. Скляров В.А. Знакомьтесь: Паскаль. М. 1988 г.
Похожие рефераты:
Применение квадратурной формулы Чебышева для вычисления определенного интеграла
Ряды Фурье. Численные методы расчета коэффициентов
Высшая математика для менеджеров
Шпаргалки по геометрии, алгебре, педагогике, методике математики (ИГПИ)
Редактирование и отладка программ с помощью Pascal
Основные понятия дифференциального исчисления и история их развития (Бакалавр)
Вычисление интеграла методом Ньютона-Котеса (теория и программа на Паскале)