| Скачать .docx | Скачать .pdf |
Реферат: Дуальные числа
.
1. Определение дуальных чисел.
Алгебра дуальных чисел образуется удвоением по Кэли алгебры действительных чисел:
Q = D1 + E * D2
С мнимой единицей удвоения E2=0. Дуальное число есть пара действительных чисел, которые называют его компонентами. Обычно дуальную мнимую единицу обозначают буквой w. Тогда дуальное число может быть представлено:
В такой записи дуального числа q его компоненты q0 и q1 называются действительной (или главной) и дуальной (или мнимой) частями соответственно. Таблица произведений единиц базиса дуальных чисел имеет вид:
| 1 | w | |
| 1 | 1 | w |
| w | w | 0 |
Дуальные числа q и p считаются равными, если равны их компоненты:
![]()
Дуальное число p равно нулю в случае, если p0=0 и p1=0.
Как и для других гиперкомплексных чисел, операции сложения и вычитания для дуальных чисел определяются покомпонентно:
Мнимую часть дуального числа также иногда называют моментной частью, а отношение мнимой части к действительной называют параметром:
![]()
, или
если
![]()
2. Свойства дуальных чисел.
В силу определения мнимой единицы w² = 0 для умножения дуальных чисел получаем формулу:
![]()
Для деления p/q при q0 ¹ 0 получим:
![]()
Для возведения дуального числа в степень справедлива формула:
![]()
Для извлечения корня степени n из дуального числа p справедлива формула:
![]()
В случае же p0 = 0 операция извлечения корня не определена.
Для параметра дуального числа справедливы два интересных соотношения:
Параметр произведения дуальных чисел равен сумме параметров сомножителей:
![]()
Параметр частного двух дуальных чисел равен разности параметров делимого и делителя:
![]()
Так как для числа p где параметр равен бесконечности и, поскольку действительная часть произведения равна произведению действительных частей, действительную часть дуального числа принято называть модулем дуального числа:
![]()
При таком выборе определения модуля для дуального числа сохраняется его основное свойство мультипликативности:
![]()
Функция и дифференциал функции.
Будем следовать классическому определению функции как закону отображения области определения в область значений. В случае, если областью определения и областью значений является область дуальных чисел, функцию можно представить покомпонентно:
![]()
где f1 и f2 - две вещественные функции двух аргументов.
К основному соотношению в функциональном анализе гиперкомплексных чисел относят аналог уравнений Эйлера. Мы также присоединяюсь к этому мнению в силу чрезвычайной важности этого соотношения:
![]()
и для случая дуальных чисел имеем:
![]()
В частности,
![]()
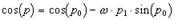
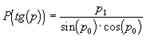
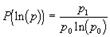
Для элементарных функций дуального аргумента справедливы соотношения:
![]()
![]()
![]()
![]()
![]()
![]()
![]()
![]()
![]()
![]()
![]()
Для дифференциала функции дуального аргумента также используем класическое определение дифференциала как разность значений функции до и после приращения аргумента:
![]()
Аналог уравнений Коши-Римана.
В теории функций комплексного переменного особую важность имеют аналитические функции, для которых предел отношения приращения функции к приращению аргумента не зависит от отношения мнимой и действительной частей приращения аргумента. Что на комплексной плоскости иллюстрируется независимостью производной от направления приращения аргумента. Обозначив производную функции f как f’, получим:
![]()
В теории конформных отображений сей факт может быть трактован геометрически - угол между направлением приращения функции и направлением приращения аргумента зависит только от точки, в которой взята производная.
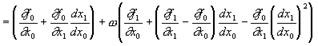
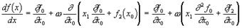
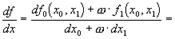
Рассмотрим аналогичное требование для случая дуального переменного и посмотрим, что из этого получится:
![]()
![]()
Чтобы удовлетворить поставленному ограничению, следует положить равными нулю множители передdx1/dx0. Тогда получим:
![]()
![]()
Эти соотношения и есть аналог уравнений Коши-Римана для функций дуального переменного. Из первого из этих соотношений вытекает, что функция f0 есть функция только переменной x0:
![]()
А из второго - выражение для f1
![]()
Где (x0)- некоторая функция только одного переменного x0.
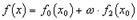
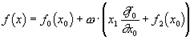
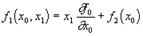
Таким образом, общее выражение функции дуального переменного
![]()
удовлетворяющее независимости производной от направления приращения аргумента, будет иметь вид:
![]()
В случае вещественного x (x1=0) функция будет иметь вид:
![]()
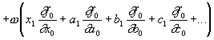
Положим, что в общем случае функция дуального переменного зависит также от дуальных параметров A, B, C, ... и определим её с помощью ряда Тейлора, в котором w * x1играет роль приращения и положим равными нулю все члены, содержащие w в степени выше первой.
![]()
![]()
Сравнив с выражением для функции одного переменного, получим:
![]()
![]()
Действительная часть функции равна функции от действительных частей величин, от которых она зависит. Также из приведенных соотношений можно сделать важный вывод, а именно: функция дуальной переменной x = x0 +w * x1 полностью определяется функцией от главной части переменной, x0. Отсюда также следует, что если главные части двух функций тождественно равны, то равны и сами эти функции.
Используя соотношения Коши-Римана для функций дуального переменного, можем получить выражение для производной функции f(x):
![]()
Таким образом, дифференцирование по дуальной переменной x сводится к дифференцированию по вещественной переменной x0.
Если некоторая функция j(x), являющаяся главной частью F(x), тождественно равна
, то отсюда будет следовать, что функция F(x) будет равна df/dx. Дифференцируя равенство
![]()
и
![]()
по x, на основании равенства
j =
, получим:
![]()
Откуда получим:
![]()
Если F - функция дуальной переменной x и дуальных параметров A, B, C, ..., то функцию G от тех же величин, тождественно удовлетворяющую уравнению
![]()
назовем интегралом от Fdx и обозначим так:
![]()
Отсюда следует, что
![]()
Таким образом, в области дуальных чисел сохраняются все теоремы дифференциального и интегрального исчислений. Приведем основные соотношения для элементарных функций:
![]()
![]()
![]()
![]()
Оператор дифференцирования в области дуальных чисел.
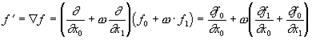
Обратим внимание на форму классического определения производной функции:
![]()
Здесь d/dx - обозначено специальное математическое понятие - функциональный оператор, или отображение одной функции (из области определения оператора) на другую (из области значений оператора).
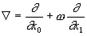
Зададимся вопросом - можно ли составить аналогичный оператор для функций дуального переменного? Распишем выражение для производной покомпонентно:
![]()
![]()
![]()
Сопоставив с уравнениями Коши-Римана, получим равенство:
![]()
![]()
Таким образом, составной оператор дифференцирования функции дуального переменного имеет вид:
![]()
![]()
Как и следовало ожидать, подтверждается тот факт, что функция дуального переменного полностью определяется функцией от главной части переменной:
![]()
что в силу условий Коши-Римана равно:
![]()
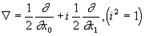
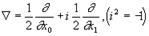
Отметим, что в отличие от комплексных и паракомплексных чисел, гиперкомплексный оператор дифференцирования в области дуальных чисел не получает множителя 1/2 перед своими компонентами. В области комплексных чисел гиперкомплексный оператор дифференцирования имеет вид:
![]()
В области паракомплексных чисел гиперкомплексный оператор дифференцирования имеет вид:
![]()
Этот факт объясняется тем, что для составления полного оператора дифференцирования следует использовать различные виды дифференцирования - как по переменной, так и по сопряженной переменной. В случае же дуальных чисел сопряженные числа различаются с числами только с точки зрения алгебраических операций. Операция же дифференцирования в области функций дуальных чисел такого сопряжения не различает, поскольку, повторимся еще раз, функция дуального переменного полностью определяется функцией от главной части переменной.
Список литературы
Ф. Диментберг, Винтовое исчисление, М., 1968
А. Золоторев, Дуальные числа, Л., 1989
Р. Рейнсберг, Квадратичные пространства над алгеброй дуальных чисел., М., 1975