| Скачать .docx | Скачать .pdf |
Реферат: Анализ экономических задач оптимизации
ФЕДЕРАЛЬНОЕ АГЕНСТВО ПО ОБРАЗОВАНИЮ
Государственное образовательное учреждение
высшего профессионального образования
РОССИЙСКИЙ ГОСУДАРСТВЕННЫЙ ТОГОВО-ЭКОНОМИЧЕСКИЙ УНИВЕРСИТЕТ
Волгоградский филиал
Кафедра высшей математики и информатики
Контрольная работа
по дисциплине: Информационные технологии в торговле
Исполнитель: студент 4 курса заочной формы обучения
факультета: «Экономика и управление на предприятии (торговли)»
Каплунова Ольга Александровна
Рецензент: Дмитриева Ирина Сергеевна
Волгоград 2008г.
СОДЕРЖАНИЕ
Задача №1 Производственная задача №3
Задача №2 Оптимальная организация рекламной компании №7
Задача №3 Транспортная задача №8
Задача №4 Задача об оптимальном назначении№8
Задача №1 Производственная задача
Постановка задачи.
При производстве трех видов продукции используют два типа сырья. Составить план выпуска продукции, обеспечивающий максимум прибыли. Исходные данные таковы:
Таблица 1.1
| Запас сырья |
Расход сырья на единицу продукции |
||
| №1 |
№2 |
№3 |
|
| 40 |
4 |
5 |
1 |
| 24 |
2 |
1 |
3 |
| Прибыль в у.е. |
80 |
60 |
70 |
Экономико-математическая модель.
Обозначим за
(i =1….3) объем производства соответствующей продукции.
С учетом значений задачи получаем.
4х1
+ 5х2
+ 1х3
≤ 40
2х1 + 1х2 + 3х3 ≤ 24
Дополнительные ограничения:
![]()
,
,
.
Необходимо найти оптимальный план выпуска продукций (т.е.
), который обеспечит максимальную выручку.
Исходя из условий задачи целевая функция принимает вид:
![]()
Табличная модель.
Рис. 1.1. Табличное представление модели
Более наглядно заполнение ячеек табличной формы задачи представлено на рисунке 1.2.
Рис. 1.2. Табличная модель с представленными формулами
Оптимизация.
Сервис
Поиск решений.
Рис. 1.3. Диалоговое окно надстройки Поиск решения
Рис. 1.4. Решение производственной задачи
Вывод: Оптимальный план производства, при данных условиях, состоит в том, что продукцию 1-ого и 3-ого видов необходимо производить в объеме 9 и 2 ед. соответственно, а продукции 2-ого вида не выпускать в производство. При этом обеспечивается максимальная выручка в размере 860 д.е.
Задача №2 Оптимальная организация рекламной компании
Постановка задачи.
На рекламу выделено 80000 руб. Предприятие рекламирует свою деятельность, используя четыре источника массовой информации: Интернет, телевидение, радио, газеты. Анализ рекламной деятельности в прошлом показал, что вложенные в рекламу средства приводят к увеличению прибыли на 16, 14, 9, 8 руб соответственно, в расчете на 1 руб, затраченный на рекламу. Руководство намерено потратить половину суммы на рекламу на телевидении, не менее 20% выделенной суммы - на радио, не более 25% - на газеты. Определить оптимальное распределение средств, направляемых на рекламу.
Экономико-математическая модель.
– средства, направленные на Интернет;
– средства, направленные на телевидение;
– средства, направленные на радио;
– средства, направленные на газеты.
Целевая функция: ![]()
Ограничения:
х1
+ х2
+ х3
+ х4
= 80000,
х2 ≤ 0,5 * 80000,
х3 ≥ 0,2 * 80000
х4 ≤ 0,25 * 80000
х1 ≥ 0, х2 ≥ 0, х3 ≥ 0, х4 ≥ 0.
Табличная модель .
Рис. 2.1 Табличное представление модели
Рис. 2.2 Табличная модель с представленными формулами
Оптимизация
. Сервис
Поиск решения.
Рис. 2.3 Диалоговое окно надстройки Поиск решения
Рис. 2.4 Решение задачи об оптимальной организации рекламной компании
Вывод: Для получения максимальной прибыли, предприятие, проводя рекламную компанию, должно вложить 24000 руб. на рекламу – в Интернете, 40000 руб. в рекламу на телевидении, 16000 р. – в рекламу на радио, и не вкладывать средства на рекламу в газетах. При этом максимальная прибыль составит 1088000 руб.
Задача №3 Транспортная задача
Постановка задачи.
Фирма по доставке букетов цветов имеет шесть постоянных клиентов. Цветы поставляются из четырех киосков, где ежедневный запас составляет: 10, 20, 10, 30 букетов соответственно. Фирма получила заказ от постоянных клиентов: А, В, D, E, F по 10 букетов, C – 20 букетов. Удельные затраты на поставку букетов от каждого киоска каждому клиенту представлены в таблице. Определить объем поставки из каждого киоска каждому клиенту так, чтобы минимизировать суммарные затраты.
| Киоск |
Клиенты |
|||||
| А |
В |
С |
D |
E |
F |
|
| 1 |
2 |
10 |
8 |
4 |
7 |
6 |
| 2 |
3 |
6 |
3 |
9 |
3 |
5 |
| 3 |
5 |
3 |
3 |
5 |
6 |
4 |
| 4 |
4 |
7 |
2 |
2 |
1 |
8 |
Экономико-математическая модель.
Искомый объем перевозки от i
-ого поставщика к j
-ому потребителю обозначим через
. Тогда определяются ограничения для условия реализации всех мощностей:

Ограничения для удовлетворения спросов всех потребителей:
х11
+ х21
+ х31
+ х41
= 10
х12 + х22 + х3 2 + х42 = 10
х13 + х23 + х33 + х43 = 20
х14 + х24 + х34 +х44 = 10
х15 + х25 + х35 + х45 = 10
х16 + х26 +х36 + х16 = 10
Суммарные затраты на перевозку выражаются через коэффициенты затрат и поставки и определяют целевую функцию.
Табличная модель .
Рис. 3.1.Табличное представление модели

Рис. 3.2. Табличная модель с представленными формулами
Оптимизация.
Сервис
Поиск решения.
Рис. 3.3. Диалоговое окно надстройки Поиск решения
Рис. 3.4. Решение транспортной задачи
Вывод: Минимальные суммарные затраты на доставку букетов цветов в размере 180 д.е. достигаются путем распределения поставок, представленных в ячейках [B4:G4]и[B6:G6] . Так, например, киоск 2 должен доставить клиенту C 10 ед. букетов и клиенту F 10ед. букетов. К клиентам A, В, D, E ехать не надо. А киоск 4 должен доставить клиентам C, D, E, по 10 ед. букетов. А к клиентам A, B, F ехать не надо.
Задача №4 Задача об оптимальном назначении
Постановка задачи.
На упаковочной поточной линии работают четыре сотрудника. Операции упаковки последовательны. Время работы (в мин.) каждого сотрудника на каждой операции представлено в таблице. Необходимо наладить процесс упаковки так, чтобы сократить общее время упаковки (повысить производительность).
| Операции |
Сотрудники |
|||
| А |
В |
С |
D |
|
| 1 |
9 |
8 |
8,5 |
7 |
| 2 |
8 |
8,8 |
8 |
8 |
| 3 |
8,5 |
7,5 |
7 |
7,4 |
| 4 |
8,8 |
8 |
7 |
7 |
Экономико-математическая модель. Данная задача является типичной моделью линейного целочисленного программирования (Ц.Л.П.), так как включает в себя двойственные ограничения на переменные (1- сотрудник назначается на должность, 0- сотрудник не назначается на должность).
– сотрудник A назначается на должность № 1;
– сотрудник A назначается на должность № 2;
х13 - сотрудник A назначается на должность № 3;
– сотрудник A назначается на должность № 4;
– сотрудник B назначается на должность № 1;
– сотрудник B назначается на должность № 2;
х23 - сотрудник B назначается на должность № 3;
– сотрудник B назначается на должность № 4;
– сотрудник C назначается на должность № 1;
– сотрудник C назначается на должность № 2;
х33 - сотрудник C назначается на должность № 3;
– сотрудник C назначается на должность № 4;
х 41 – сотрудник D назначается на должность № 1;
– сотрудник D назначается на должность № 2;
х43 - сотрудник D назначается на должность № 3;
– сотрудник D назначается на должность № 4;
Имеем матрицу переменных:
х11
х12
х13
х14
х21 х22 х23 х24
х31 х32 х33 х34
х41 х42 х43 х44
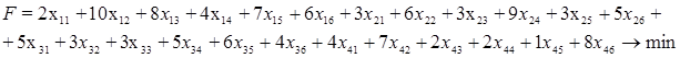
Целевая функция выражает суммарную производительность и имеет вид:
Ограничения:
Матрица переменных принимает двоичное значение:
1- сотрудник назначается на должность;
0- сотрудник не назначается на должность.
Табличная модель .
Рис. 4.1. Табличное представление модели
Рис. 4.2. Табличная модель с представленными формулами
Оптимизация.
Сервис
Поиск решения.
Рис. 4.3Диалоговое окно надстройки Поиск решения
Рис. 4.4. Решение задачи об оптимальном назначении
Вывод: С учетом производительности труда всех работников по каждой операции, менеджеру необходимо назначить: сотрудника A на должность № 4, сотрудника B на должность №1, сотрудника C на должность №2, сотрудника D на должность №3,. При этом коллектив добьется общей времени упаковки 29,50 мин.