| Скачать .docx | Скачать .pdf |
Реферат: Использование критерия ДарбинаУотсона и оценка качества эконометрической модели с использованием
САФБД
Кафедра Математики и Информатики
Отчет
о выполнении индивидуального задания по эконометрике
Вариант 171
Нормативный срок сдачи отчета: 14 ноября 2008 г. 12 час. 00 мин.
Фактическая дата сдачи отчета:
Выполнила: студентка 3 курса Глушкова Р. А. Группа ИСД-78ф(у)
Проверил: профессор Павлов В.Н.
Новосибирск 2008
Оценка:
Краткое обоснование оценки
| Вопрос |
|||||||
| 1 |
Перевод на русский |
Влияние фактора 1 |
Влияние фактора 2 |
Влияние фактора 3 |
|||
| 2 |
Описание методики |
DW исходного ряда |
Вывод |
DW остатков |
Вывод |
Заключение |
|
| 3 |
Методика |
Коэффициенты |
Оцененный ряд |
||||
| 4 |
Методика |
Значение коэффициента |
|||||
| 5 |
Методика |
Остатки для а: |
Интервал для а |
Остатки для b: |
Интервал для b |
Остатки для с: |
Интервал для с |
| 6 |
График исходного ряда |
График оцененного ряда |
График остатков |
Примечание. Количество набранных баллов совпадает с количеством правильных ответов (максимальная оценка - 25 баллов)
Исходные данные:
| Период |
Деньги и кредит |
Рынок труда |
Предприятия |
Государственный бюджет |
| Денежный мультипликатор |
Число работников, участвующих в забастовке |
Просроченные задолженности предприятий на конец периода |
Федеральные расходы. Правоприменительная деятельность. |
|
| Отношение |
Тысяч человек |
Миллиарды рублей |
Миллиарды рублей |
|
| янв. 1994 |
||||
| февр. 1994 |
1,94435 |
31,50000 |
26,59500 |
587,90000 |
| март 1994 |
1,93569 |
81,80000 |
32,32100 |
545,30000 |
| апр. 1994 |
1,91014 |
13,40000 |
39,01800 |
763,20000 |
| май 1994 |
1,97412 |
4,80000 |
44,22900 |
727,10000 |
| июнь 1994 |
1,96735 |
0,30000 |
50,99500 |
714,20000 |
| июль 1994 |
1,85602 |
0,90000 |
55,21100 |
883,20000 |
| авг. 1994 |
1,93775 |
0,40000 |
62,24100 |
879,00000 |
| сен 1994 |
1,93324 |
1,60000 |
76,57300 |
930,00000 |
| окт. 1994 |
1,94668 |
1,20000 |
86,99700 |
1354,00000 |
| ноя 1994 |
1,94556 |
9,80000 |
90,35500 |
1102,00000 |
| дек 1994 |
2,03750 |
8,50000 |
95,97500 |
1834,00000 |
| янв. 1995 |
2,13182 |
4,70000 |
105,20000 |
906,11000 |
| февр. 1995 |
2,14076 |
146,00000 |
116,08700 |
1183,06600 |
| март 1995 |
2,15030 |
13,00000 |
124,30300 |
1361,49500 |
| апр. 1995 |
2,15009 |
19,70000 |
141,50100 |
1339,20400 |
| май 1995 |
2,15938 |
4,50000 |
152,64800 |
1726,67000 |
| июнь 1995 |
2,12483 |
1,20000 |
165,56300 |
1246,91200 |
| июль 1995 |
2,02206 |
1,90000 |
183,11800 |
1170,78100 |
| авг. 1995 |
2,01858 |
1,50000 |
197,88400 |
1743,18500 |
| сен 1995 |
2,01232 |
183,00000 |
212,22400 |
1933,86000 |
| окт. 1995 |
2,03087 |
5,80000 |
227,40000 |
2249,20900 |
| ноя 1995 |
2,04612 |
9,50000 |
244,30000 |
2519,10500 |
| дек 1995 |
2,12717 |
104,00000 |
249,60000 |
1814,02300 |
| янв. 1996 |
2,14980 |
52,80000 |
281,10000 |
1123,63300 |
| февр. 1996 |
2,15009 |
172,00000 |
292,00000 |
3077,96600 |
| март 1996 |
2,12665 |
15,30000 |
314,00000 |
2558,11600 |
| апр. 1996 |
2,07692 |
9,80000 |
340,40000 |
3249,06600 |
| май 1996 |
2,13973 |
14,80000 |
367,50000 |
2155,53500 |
| июнь 1996 |
2,06260 |
6,80000 |
400,00000 |
1817,58500 |
| июль 1996 |
2,07875 |
8,80000 |
431,50000 |
2436,77600 |
| авг. 1996 |
2,13411 |
28,30000 |
448,00000 |
2153,27700 |
| сен 1996 |
2,20780 |
48,00000 |
471,00000 |
1417,66800 |
| окт. 1996 |
2,24839 |
48,60000 |
508,10000 |
1918,29100 |
| ноя 1996 |
2,25840 |
112,00000 |
522,00000 |
2732,59700 |
| дек 1996 |
2,20244 |
146,60000 |
538,00000 |
3900,56000 |
| янв. 1997 |
2,33979 |
189,00000 |
552,80000 |
2611,58000 |
| февр. 1997 |
2,30031 |
172,00000 |
585,20000 |
2665,21000 |
| март 1997 |
2,24358 |
309,00000 |
627,00000 |
4307,07000 |
| апр. 1997 |
2,18119 |
50,20000 |
660,80000 |
3286,84000 |
| май 1997 |
2,21892 |
26,50000 |
680,90000 |
3800,29000 |
| июнь 1997 |
2,10778 |
18,00000 |
696,30000 |
1782,05000 |
| июль 1997 |
2,11785 |
11,10000 |
723,10000 |
3131,94000 |
| авг. 1997 |
2,08701 |
4,80000 |
735,50000 |
2457,14000 |
| сен 1997 |
2,13781 |
32,50000 |
748,80000 |
4883,67000 |
| окт. 1997 |
2,16178 |
23,80000 |
770,80000 |
5774,59400 |
| ноя 1997 |
2,16606 |
23,50000 |
787,90000 |
3318,55300 |
| дек 1997 |
2,27416 |
27,10000 |
782,20000 |
3223,76300 |
Задание:
Скопировать файл S:\MMM\|DATA.xls в каталог D:\ на Вашем компьютере. Из файла D:\|DATA.xls (таблица динамики показателей экономического развития РФ за период: январь 1994 – декабрь 1997) взять данные, соответствующие вашему варианту, из столбцов
.
1. Перевести названия столбцов на русский язык. Ответить на вопрос, вытекает ли из общей экономической теории существование значимой зависимости параметра
от каждого из факторов
,
,
. Дать теоретическое обоснование ответа.
2. Проверить по 5%-му критерию Дарбина –Уотсона, является ли ряд w автокоррелированным. Построить трендовую функцию ряда w вида
. Проверить, являются ли остатки ut
автокоррелированными.
3. Используя стандартные функции Excel, вычислить коэффициенты
регрессионной зависимости
.
4. Оценить качество эконометрической модели, построенной в вашем исследовании, с использованием коэффициента детерминации
.
5. По критерию Стьюдента построить доверительные интервалы для коэффициентов
при уровне значимости
и сделать заключение о характере зависимости ряда
от соответствующих факторов (
,
,
) по предложенным статистическим данным.
6. Построить графики исходного ряда зависимой переменной
, оцененного ряда
и остатков
.
1 вопрос.
Перевод названий столбцов на русский язык будет звучать так:
1. Money & Credit – Деньги и кредит.
2. Money multiplаyer – Денежный мультипликатор. К этой ячейке было дано примечание, звучавшее так:
Source
The money multiplayer comes from our own calculations - divided by monetary base
Theoretical definition
The money multiplier describes the relationship between the monetary base and the money supply. Excess reserves of the commercial banking sector are expanded through banking loans which create new deposits.
Practical definition
M2 is chosen as the definition of ‘money’ in accordance with most international bodies. However, as with all definitions of money their is a certain degree of arbitrariness involved with the definition. In Russia, for instance, it is substantially more difficult to add and remove money from deposit accounts than in OECD countries, making ‘money’ far more illiquid than in these countries.
Shortages
The money multiplier only has problems insofar as the two components face problems.
Period covered
Money multiplier figures go back to December 1997.
Перевод этого примечания таков:
Источник
Денежный мультипликатор получается из наших собственных вычислений – это предложение денег, разделенное на денежную базу
Теоретическое определение
Денежный мультипликатор, описывает отношения между денежной базой и денежной массой. Избыточные резервы коммерческой банковской сферы расширяются через банковские ссуды, которые создают новые депозиты.
Практическое определение
Денежная масса выбрана как определение «денег» в соответствии с мнением большинства международных организаций. Однако со всеми определениями денег связана и определенная степень произвольности этого определения. В России, например, существенно более сложно положить на депозитный счет деньги или снять их, чем в странах Организации экономического сотрудничества и развития. Получается, что в нашей стране деньги гораздо менее ликвидны, чем в других странах.
Недостатки
У денежного мультипликатора существуют и проблемы, поскольку два его компонента стоят перед проблемой нехватки.
Данные денежного мультипликатора покрывают период с января 1994 по декабрь 1997 года.
3. Ratio – отношение. так как денежный мультипликатор высчитывается, как отношение между предложением денег и денежной базой.
4. The labour market – Рынок труда.
5. Number of employees involved in strikes – количество работников, вовлеченных в забастовку.
6. The enterprises – предприятия (организации)
7. Overdue liabilities of enterprises, 4 sectors, end of period – Просроченные задолженности предприятий 4 секторов на конец периода.
К этой ячейке тоже было дано примечание:
Receivables
Source
Russian Economic Trends receives the data from the Goskomstat publication, ‘SESR’. SESR receive the information from the Federal Bancruptcy Agency (FBA), who themselves produce the data from the balance sheets of the enterprises themselves.
Theoretical definition
The value of the gross stock of total and overdue receivables owed by all sectors of the economy to industrial enterprises.
Practical definition
The figures show the value of the gross credit provided by large and medium-sized industrial enterprises to the economy in general. The value of the credit is revalued as the balance sheet is revalued. If this is not done frequently then the receivables will tend to be undervalued.
‘Overdue’ receivables are defined as those not received for at least three months.
Shortages
The data presented is only for large and medium sized enterprises. Smaller scale enterprises are not covered. As small-scale enterprises are likely to have relatively less economic power, the percentage of their output that is covered by overdue receivables is likely to be quite high. They do, however, form only a small amount of GDP - around 12% (see Industrial Production).
In the data presented to the Federal Bancruptcy Agency, there will be two counter-acting incentives at work. On the one hand, the firm will want to underestimate its size in order to limit tax liability, while on the other hand it will want to persuade the FBA that their problems are ones of liquidity rather than financial viability.
It is not clear how often receivables are revalued on the balance sheets of industrial firms, or how such revaluations take place, there by creating uncertainty about the extent of the problem.
Total receivables stopped being published in Goskomstat from January 1996, leaving only overdue.
Period covered
The Russian Economic Trends database has figures going back to July 1992.
Перевод его звучит так:
Дебиторская задолженность
Источник
Данные о российских экономических тенденциях публикует Госкомстат. Госкомстат получает информацию от федерального Агентства Банкротства, которое получает данные непосредственно из бухгалтерских балансов предприятий.
Теоретическое определение
Валовая стоимость имеющейся в наличии срочной и просроченной дебиторской задолженности, являющейся долгом всех секторов экономики индустриальным предприятиям.
Практическое определение
Данные показывают стоимость имеющихся в наличии кредитов, обеспеченных большими предприятиями и промышленными предприятиями среднего размера во всей экономике в общем. Стоимость кредита переоценивается, в зависимости от переоценки бухгалтерского баланса. Если это не будет производиться часто, то тогда дебиторская задолженность может быть недооценена.
Просроченная дебиторская задолженность определяется, как не полученная в течение хотя бы трех месяцев.
Недостатки
Эти данные предоставляются только для больших предприятий и предприятий среднего размера. Предприятия меньшего масштаба оказываются не покрыты. Поскольку у мелких предприятий, вероятно, относительно меньше экономической мощи, - процент от их выпуска, который покрыт просроченной дебиторской задолженностью, вероятно, будет весьма высок. Но они в действительности формируют только небольшое количество ВВП - приблизительно 12 %.
В данных, представленных федеральному Агентству Банкротства, будут два противодействующих стимула работы. С одной стороны, фирме будет выгодно недооценить свой размер, чтобы ограничить свою налоговую ответственность. Но, в то же время, с другой стороны фирма будет убеждать Агентство Банкротства, что их проблемы заключается всего лишь в ликвидности, а не в финансовой жизнеспособности.
Не ясно, как часто дебиторская задолженность переоценивается в бухгалтерских балансах индустриальных фирм, или как такие переоценки в данный момент имеют место, если они создают неточности в оценке проблемы.
Срочная дебиторская задолженность не издается Госкомстатом с января 1996, осталась только просроченная.
Период покрытия
Российскую экономическую база тенденций имеет данные до июля 1992 года
8. The state budget – государственный бюджет
9. Federal expends. Law enforcement - Федеральные расходы. Правоприменительная деятельность.
10. th – означает, что измерение ведется в тысячах (в данном случае в тысячах человек).
11. bn R – означает, что измерение ведётся в миллиардах рублей.
Зависимой переменной W в моём случае являются федеральные расходы и правоприменительная деятельность. Именно на этот показатель будут влиять факторы Х – денежный мультипликатор, Y – число работников, участвующих в забастовке, и Z – просроченные задолженности предприятий на конец периода.
Влияние этих факторов:
1. Влияние фактора Х – денежного мультипликатора.
Как было сказано выше, денежный мультипликатор представляет собой отношение предложения денег к денежной массе. Он показывает, насколько возрастет предложение денег (количество денег в стране) при увеличении денежной базы на единицу.
А в любой стране государственный бюджет - ведущее звено финансовой системы, единство основных финансовых категорий: налогов, государственных расходов и государственного кредита.
С помощью бюджета государство имеет возможность сосредоточивать финансовые ресурсы на решающих участках социального и экономического развития, с помощью бюджета происходит перераспределение национального дохода между отраслями, территориями, сферами общественной деятельности.
Каждое правительство в своей деятельности стремится к тому, чтобы доходная часть бюджета равнялась расходной. Соответствие их называется «балансом дохода».
Доходы бюджета - это денежные средства, поступающие в безвозмездном и безвозвратном порядке в соответствии с законодательством в распоряжение органов государственной власти.
Расходы государственного бюджета - это экономические отношения, возникающие в связи с распределением фонда денежных средств государства и его использование по отраслевому, целевому и территориальному назначению. Именно для распределения фонда денежных средств и необходим мультипликатор, так как это универсальная формула расчета необходимых сумм денег, направляющихся в разные отрасли экономики.
Поэтому фактор Х является значимым фактором для зависимой переменной W.
2. Влияние фактора Y – количества работников, вовлеченных в забастовку.
Трудовой кодекс Российской Федерации в ст. 398 определяет забастовку как временный добровольный отказ работников от исполнения трудовых обязанностей (полностью или частично) в целях разрешения коллективного трудового спора.
Споры могут быть как в самом коллективе, так и с финансирующей отраслью, с «хозяевами», что бывает чаще всего.
Проблемы забастовок являются «болезнью» всех бюджетных отраслей. Именно в этих отраслях чаще всего происходят забастовочные движения. А, следовательно, раз эти отрасли финансируются из бюджета страны, именно на погашение требований забастовщиков уходит много денежных средств. От количества работников, вовлеченных в забастовку, зависит размер вложений из бюджета в «лечение болезни». Поэтому фактор, определяющий количество бастующих, является влияющим на федеральные расходы государственного бюджета и на правоприменительные меры в этой отрасли права. Следовательно, фактор Y является влияющим на фактор W, а фактор W является зависимым от фактора Y.
3. Влияние фактора Z - Просроченные задолженности предприятий на конец периода.
Просроченная дебиторская задолженность - это то, от чего страдают в той или иной степени большинство отечественных предприятий.
Просроченная дебиторская задолженность обычно возникает из-за отсутствия персонально ответственных лиц за реальное поступление денег за проданный продукт. Обычно считается, что в просроченных платежах виноваты заказчики - хитрые люди, которые не расплачиваются за полученный товар. На самом деле такие заказчики - нормальные бизнесмены, которые не хотят платить банку за финансовые ресурсы, а кредитуются бесплатно, поскольку компания кредитор это или терпит или плохо с этим борется.
На практике просроченная дебиторская задолженность возникает из-за того, что покупатели товаров (работ, услуг) не выполняют условия договоров в части сроков оплаты.
В соответствии с п. 70 «Положения по ведению бухгалтерского учета и бухгалтерской отчетности в Российской Федерации», утвержденного приказом Минфина России от 29.07.98 г. № 34н, и ст. 266 НК РФ, просроченная дебиторская задолженность, обязательство по которой не обеспечено залогом, поручительством, банковской гарантией и удержанием имущества должника, а также иными способами, предусмотренными законом или договором, признается сомнительной.
Просроченная дебиторская задолженность с истекшим сроком исковой давности (три года) переходит из разряда сомнительной в безнадежную и подлежит списанию на убытки. Однако перед тем как списать, её надо истребовать. Для этого следует направлять должнику претензионные письма, требовать от него частичной оплаты, обращаться с иском в суд и т.д. Истребованной признается задолженность, которая в результате обращения в арбитражный суд должна быть взыскана с дебитора в бесспорном порядке. Чтобы избежать неприятных ситуаций, связанных с безвозмездным кредитованием своих партнеров, в договорах необходимо предусматривать штрафные санкции, взимаемые за нарушение условий хозяйственных договоров.
Просроченная дебиторская задолженность, по которой в отчетном периоде от службы судебных приставов получено постановление об окончании исполнительного производства и возвращении исполнительного документа и акт о невозможности взыскания, не признается НК РФ в качестве безнадежного долга, убытки по которому учитываются для целей налогообложения за отчетный период.
Все это означает, что дебиторская задолженность плохо влияет на структуру экономики в части финансовой отчетности предприятий. Долги, невозвращенные дебиторами, можно сказать «уплывают» из кармана действительного владельца этих денег. И это отрицательно сказывается на динамике прибыли и общем состоянии предприятия. Так же плохо это отражается и на состоянии бюджета и правоприменительных мерах, так как долги перед тем, как быть списанными на убытки, обязаны быть истребованы, а это означает, что нужны будут применения каких-либо мер, предусматривающих использование бюджетных средств.
Таким образом, доказано, что фактор Z является влияющим на фактор W, а фактор W является зависимым от фактора Z.
2 вопрос
Автокорреляция - статистическая взаимосвязь между случайными величинами из одного ряда, но взятых со сдвигом по времени.
Автокоррелированность ряда можно наблюдать, когда нарушено третье условие Гаусса-Маркова, т.е. условие независимости -
.
Чем дальше наблюдения друг от друга, тем меньше они коррелируют. Наиболее всего коррелируют соседние наблюдения.
Для проверки рядов на автокорреляцию первого порядка применяется критерий широко известной статистики Дарбина - Уотсона. (DW)
DW = 
Можно показать, что в больших выборках имеет место сходимость
![]()
Поскольку справедливы неравенства -1 ≤ ρ ≤ 1, то значение статистики DW при больших Т будет находиться в интервале 0 ≤ DW ≤ 4.
Если автокорреляция отсутствует (ρ = 0), то значение DW будет близким к двум.
Если автокорреляция положительна, то DW < 2, если автокорреляция отрицательна, то DW > 2.
Статистика DW используется для проверки гипотезы Н0 : ρ = 0 против альтернативы Н1 : ρ > 0 или альтернативы Н1 : ρ < 0. Для статистики Дарбина – Уотсона критическое значение d* такое, что в случае DW > d* гипотеза Н0 принимается, как «определить невозможно». Это значение зависит от всей матрицы Х (матрицы наблюдаемых параметров). Однако Дарбин и Уотсон доказали, что существуют две границы, обычно обозначаемые dU и dL (причем dU > dL), которые зависят только от длины рядов, количества объясняющих переменных и уровня значимости, и такие, что dL < d* < dU. Интервал [dL; dU] называется зоной неопределенности. Итоговая методика представлена мною в виде рисунка:

1) 0 < DW < dL – присутствует положительная автокорреляция;
2) dL < DW < dU – область неопределенности;
3) dU < DW < 4 – dU – автокорреляция отсутствует;
4) 4 – dU < DW < 4 – dL - область неопределенности;
5) 4 – dL < DW < 4 – присутствует отрицательная автокорреляция.
В моей работе требовалось проверить ряд зависимой переменной W на автокоррелированность.
Исходный ряд W |
∆ W |
|
Остатки U трендовой модели анализа |
∆ U для трендовой модели анализа |
| 434,10000 |
405,94396 |
28,15604 |
||
| 587,90000 |
153,80000 |
477,0841018 |
110,81590 |
82,65986 |
| 545,30000 |
-42,60000 |
548,2242436 |
-2,92424 |
-113,74014 |
| 763,20000 |
217,90000 |
619,3643853 |
143,83561 |
146,75986 |
| 727,10000 |
-36,10000 |
690,5045271 |
36,59547 |
-107,24014 |
| 714,20000 |
-12,90000 |
761,6446689 |
-47,44467 |
-84,04014 |
| 883,20000 |
169,00000 |
832,7848107 |
50,41519 |
97,85986 |
| 879,00000 |
-4,20000 |
903,9249524 |
-24,92495 |
-75,34014 |
| 930,00000 |
51,00000 |
975,0650942 |
-45,06509 |
-20,14014 |
| 1354,00000 |
424,00000 |
1046,205236 |
307,79476 |
352,85986 |
| 1102,00000 |
-252,00000 |
1117,345378 |
-15,34538 |
-323,14014 |
| 1834,00000 |
732,00000 |
1188,48552 |
645,51448 |
660,85986 |
| 906,11000 |
-927,89000 |
1259,625661 |
-353,51566 |
-999,03014 |
| 1183,06600 |
276,95600 |
1330,765803 |
-147,69980 |
205,81586 |
| 1361,49500 |
178,42900 |
1401,905945 |
-40,41094 |
107,28886 |
| 1339,20400 |
-22,29100 |
1473,046087 |
-133,84209 |
-93,43114 |
| 1726,67000 |
387,46600 |
1544,186228 |
182,48377 |
316,32586 |
| 1246,91200 |
-479,75800 |
1615,32637 |
-368,41437 |
-550,89814 |
| 1170,78100 |
-76,13100 |
1686,466512 |
-515,68551 |
-147,27114 |
| 1743,18500 |
572,40400 |
1757,606654 |
-14,42165 |
501,26386 |
| 1933,86000 |
190,67500 |
1828,746795 |
105,11320 |
119,53486 |
| 2249,20900 |
315,34900 |
1899,886937 |
349,32206 |
244,20886 |
| 2519,10500 |
269,89600 |
1971,027079 |
548,07792 |
198,75586 |
| 1814,02300 |
-705,08200 |
2042,167221 |
-228,14422 |
-776,22214 |
| 1123,63300 |
-690,39000 |
2113,307363 |
-989,67436 |
-761,53014 |
| 3077,96600 |
1954,33300 |
2184,447504 |
893,51850 |
1883,19286 |
| 2558,11600 |
-519,85000 |
2255,587646 |
302,52835 |
-590,99014 |
| 3249,06600 |
690,95000 |
2326,727788 |
922,33821 |
619,80986 |
| 2155,53500 |
-1093,53100 |
2397,86793 |
-242,33293 |
-1164,67114 |
| 1817,58500 |
-337,95000 |
2469,008071 |
-651,42307 |
-409,09014 |
| 2436,77600 |
619,19100 |
2540,148213 |
-103,37221 |
548,05086 |
| 2153,27700 |
-283,49900 |
2611,288355 |
-458,01135 |
-354,63914 |
| 1417,66800 |
-735,60900 |
2682,428497 |
-1264,76050 |
-806,74914 |
| 1918,29100 |
500,62300 |
2753,568638 |
-835,27764 |
429,48286 |
| 2732,59700 |
814,30600 |
2824,70878 |
-92,11178 |
743,16586 |
| 3900,56000 |
1167,96300 |
2895,848922 |
1004,71108 |
1096,82286 |
| 2611,58000 |
-1288,98000 |
2966,989064 |
-355,40906 |
-1360,12014 |
| 2665,21000 |
53,63000 |
3038,129206 |
-372,91921 |
-17,51014 |
| 4307,07000 |
1641,86000 |
3109,269347 |
1197,80065 |
1570,71986 |
| 3286,84000 |
-1020,23000 |
3180,409489 |
106,43051 |
-1091,37014 |
| 3800,29000 |
513,45000 |
3251,549631 |
548,74037 |
442,30986 |
| 1782,05000 |
-2018,24000 |
3322,689773 |
-1540,63977 |
-2089,38014 |
| 3131,94000 |
1349,89000 |
3393,829914 |
-261,88991 |
1278,74986 |
| 2457,14000 |
-674,80000 |
3464,970056 |
-1007,83006 |
-745,94014 |
| 4883,67000 |
2426,53000 |
3536,110198 |
1347,55980 |
2355,38986 |
| 5774,59400 |
890,92400 |
3607,25034 |
2167,34366 |
819,78386 |
| 3318,55300 |
-2456,04100 |
3678,390482 |
-359,83748 |
-2527,18114 |
| 3223,76300 |
-94,79000 |
3749,530623 |
-525,76762 |
-165,93014 |
1. Статистика Дарбина – Уотсона для исходного ряда W:
DW =
= 0,568043736
Из таблицы значений констант Дарбина – Уотсона dU и dL на 5% уровне значимости с одним влияющим фактором при Т = 48 находим dL = 1,50; dU = 1,59.
Вывод: так как DW = 0,568043736 < 1,50 = dL, то делаем вывод о наличии в ряде W положительной автокорреляции.
С помощью построения модели линейного тренда постараемся избавиться от автокорреляции.
Модель линейного тренда имеет вид:
![]()
Вычисляем статистику Дарбина – Уотсона для остатков по модели линейного тренда:
DW =
= 1,843115542
Из таблицы значений констант Дарбина – Уотсона dU и dL на 5% уровне значимости с двумя влияющими факторами при Т = 48 находим dL = 1,46; dU = 1,63.
Вывод: Так как DW = 1,843115542 > 1,63 = dU и DW = 1,843115542 < 4 – 1,63 = 2,37 = 4 – dU, то делаем вывод об отсутствии в ряде Ut автокорреляции.
Заключение: Модель линейного тренда позволяет избавиться от автокорреляции ряда Ut.
3 вопрос
Методика вычисления коэффициентов а, b и с регрессионной зависимости
.
Шаг 1. Предварительный анализ. Математическая модель строится на основе следующей логической модели:
| Зависимая переменная |
Факторы |
| W |
X, Y, Z |
Далее вычисляются средние значения исходных рядов.
Шаг 2. Строится ковариационная матрица L = L [X; Y; Z; W]
При вычислении элементов ковариационной матрицы схема выбора аргументов функции КОВАР определена формулой L = L [X; Y; Z; W] и имеет следующий вид:
| XX |
XY |
XZ |
XW |
| YX |
YY |
YZ |
YW |
| ZX |
ZY |
ZZ |
ZW |
| WX |
WY |
WZ |
WW |
Шаг 3. Вычисление обратной матрицы. Она размещается на площадке того же размера, что и ковариационная матрица.
Элементы обратной матрицы имеют следующие обозначения:
| Л11 |
Л12 |
Л13 |
Л14 |
| Л21 |
Л22 |
Л23 |
Л24 |
| Л31 |
Л32 |
Л33 |
Л34 |
| Л41 |
Л42 |
Л43 |
Л44 |
Засвечивается площадка, на которой будет размещена обратная матрица, и которая будет совпадать по размеру с ковариационной матрицей. Вызывается функция МОБР. В качестве параметра Арг указывается адрес ковариационной матрицы. Одновременным нажатием трех клавиш: CTRL + SHIFT + ENTER дается команда на одновременное вычисление всех элементов обратной матрицы Л.
Шаг 4. Вычисление коэффициентов а, b и с регрессионной зависимости
.
Поскольку в заданной логической модели зависимой переменной является четвертый столбец (W), то коэффициенты а, b и с будут вычисляться по формулам:
a = -Л41/Л44 b = -Л42/Л44 с = -Л43/Л44
В моей работе коэффициенты:
a = – 726,022045 b = 2,846786592 с = 3,902613829
| Оцененный ряд |
| 799,1173637 |
| 945,4437967 |
| 1117,269068 |
| 967,2375038 |
| 916,6366705 |
| 935,1461501 |
| 1034,137686 |
| 1000,812456 |
| 1063,429954 |
| 1093,216886 |
| 1131,615033 |
| 1083,099645 |
| 1039,806389 |
| 1478,055819 |
| 1124,567706 |
| 1210,913219 |
| 1204,401395 |
| 1270,489403 |
| 1415,606965 |
| 1474,617739 |
| 2051,821526 |
| 1593,127141 |
| 1658,542161 |
| 1889,406138 |
| 1850,150248 |
| 2231,813541 |
| 1888,600979 |
| 2012,07483 |
| 2086,469922 |
| 2246,531592 |
| 2363,432552 |
| 2443,143732 |
| 2535,482062 |
| 2652,51183 |
| 2879,974844 |
| 3081,540325 |
| 3160,286872 |
| 3267,001668 |
| 3861,325656 |
| 3301,77932 |
| 3285,364063 |
| 3401,952718 |
| 3479,589956 |
| 3532,442981 |
| 3626,319715 |
| 3670,005424 |
| 3732,779683 |
| 3642,297672 |
| 2077,737292 |
4 вопрос
Теория оценки качества эконометрической модели заключается в четырех леммах (свойствах) регрессионных моделей, построенных с использованием МНК.
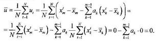
Лемма 1. (лемма об отсутствии смещения оцененных остатков)
![]()
Доказательство:

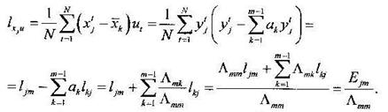
Лемма 2 . (лемма о независимости факторов и оцененных остатков):
, если j < m
Доказательство:

По правилам перемножения матриц
в линейной алгебре величина
равна нулю, если j ≠ m.
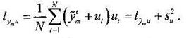
Лемма 3 . (лемма о разложении дисперсии зависимой переменной):

Доказательство:

Далее, из леммы 2 следует, что ![]()
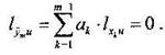
Лемма 4. (лемма о ковариации зависимой переменной и оцененных остатков)
![]()
Доказательство:


Далее, по лемме 2,
Следовательно,
.
Так же для оценки качества построенной регрессионной зависимости часто используется коэффициент детерминации
, который представляет собой объясненную долю дисперсии модели.
0 <
< 1.
Чем ближе коэффициент детерминации к единице, тем лучше считается построенная регрессионная зависимость.
в моей работе = 0,680976589.
5 вопрос
Методика вычисления доверительного интервала для коэффициента множественной регрессии.
Шаг 1. Вычисляются коэффициенты f и g первой вспомогательной зависимости
, которая строится по следующей логической модели: зависимая переменная – Х, факторы – Y; Z.
Строится ковариационная матрица L [Y; Z; X].
| YY |
YZ |
YX |
| ZY |
ZZ |
ZX |
| XY |
XZ |
XX |
По ней вычисляется обратная матрица, со стандартным обозначением элементов. В соответствии с заданной схемой построения ковариационной матрицы зависимой переменной является третий столбец (в порядке использования при вычислении ковариационной матрицы), следовательно, коэффициенты f и g вычисляются по третьей строке обратной матрицы:
f = -Л31/Л33 g = -Л32/Л33
Шаг 2. Вычисление оцененного ряда и остатков первой вспомогательной модели. Оцененный ряд вычисляется по формуле:
, остатки – по формуле: ![]()
Шаг 3. Вычисление коэффициентов m; n второй вспомогательной зависимости
, которая строится по следующей логической модели: зависимая переменная – W, факторы – Y; Z.
Строится ковариационная матрица L [Y; Z; W], при вычислении элементов которой аргументы функции КОВАР задаются по следующей схеме:
| YY |
YZ |
YW |
| ZY |
ZZ |
ZW |
| WY |
WZ |
WW |
По ней вычисляется обратная матрица со стандартным обозначением элементов. В соответствии с заданной схемой построения ковариационной матрицы зависимой переменной рассматриваемой логической модели является третий столбец (в порядке использования при вычислении ковариационной матрицы), следовательно, коэффициенты m; n вычисляются по третьей строке обратной матрицы.
m = -Л31/Л33 n = -Л32/Л33
Шаг 4. Вычисление оцененного ряда и остатков второй вспомогательной модели. Оцененный ряд вычисляется по формуле:
, остатки - по формуле:
.
Шаг 5. Вычисление t – статистики по остаткам вспомогательных зависимостей и границы критической области
(0,05; Т – 2)

После вычисляем границу критической области с помощью функции Стьюдента.
Шаг 6. Построение доверительного интервала [d1; d2] по формулам:
d1 =
; d2 = 
Далее следует вывод, в котором оценивается зависимость ряда w от ряда х и признается либо значительной, либо незначительной.
В моей работе требовалось использовать данную методику для построения трех доверительных интервалов: для коэффициента a, для коэффициента b, и для коэффициента с.
Для коэффициента a:
| Остатки Ut для коэффициента а |
Остатки Vt для коэффициента а |
| 0,01149 |
-373,36131 |
| -0,06013 |
-313,88489 |
| -0,09823 |
-500,65379 |
| -0,08774 |
-140,33282 |
| -0,02043 |
-174,70249 |
| -0,02657 |
-201,65287 |
| -0,13940 |
-49,72967 |
| -0,05933 |
-78,73631 |
| -0,06845 |
-83,73499 |
| -0,05766 |
302,64743 |
| -0,06447 |
17,18988 |
| 0,02664 |
731,55961 |
| 0,12052 |
-221,19665 |
| 0,04820 |
-329,98551 |
| 0,12914 |
143,16744 |
| 0,12048 |
40,82041 |
| 0,13511 |
424,17334 |
| 0,09884 |
-95,33570 |
| -0,00916 |
-238,17639 |
| -0,01648 |
280,53353 |
| -0,12722 |
-25,59792 |
| -0,01471 |
666,76066 |
| -0,00616 |
865,03808 |
| 0,02108 |
-90,69097 |
| 0,06339 |
-772,54325 |
| -0,00533 |
850,02447 |
| 0,05195 |
631,80160 |
| -0,00201 |
1238,44989 |
| 0,05056 |
32,35612 |
| -0,03110 |
-406,36945 |
| -0,02473 |
91,30160 |
| 0,01528 |
-300,96111 |
| 0,07173 |
-1169,88938 |
| 0,10176 |
-808,09808 |
| 0,07283 |
-200,25117 |
| -0,00670 |
823,88454 |
| 0,10308 |
-623,54830 |
| 0,06409 |
-648,32138 |
| -0,08003 |
503,84878 |
| -0,00840 |
-8,84112 |
| 0,03691 |
488,12670 |
| -0,07376 |
-1566,35279 |
| -0,06725 |
-298,82295 |
| -0,09803 |
-1004,13310 |
| -0,06623 |
1305,43489 |
| -0,04350 |
2136,17145 |
| -0,04377 |
-382,44987 |
| 0,06391 |
-464,93619 |
Для коэффициента b:
| Остатки Ut для коэффициента b |
Остатки Vt для коэффициента b |
| -23,47559 |
-431,84736 |
| 26,95313 |
-280,81400 |
| 80,74856 |
-342,09514 |
| 22,15600 |
-140,96409 |
| -9,90273 |
-217,72764 |
| -11,55513 |
-253,84115 |
| 30,52604 |
-64,03657 |
| 0,08075 |
-121,58258 |
| 3,66611 |
-122,99332 |
| -1,19381 |
257,38458 |
| 7,98798 |
-6,87496 |
| -27,11122 |
673,72051 |
| -65,41348 |
-319,91460 |
| 73,11726 |
-86,84057 |
| -63,01018 |
57,55076 |
| -55,37166 |
-29,34051 |
| -73,45752 |
313,15071 |
| -63,30661 |
-203,79782 |
| -23,63244 |
-312,10249 |
| -22,00609 |
205,92063 |
| 162,53294 |
344,73506 |
| -20,78616 |
596,90809 |
| -21,89493 |
798,23264 |
| 42,82658 |
46,53499 |
| -15,18956 |
-769,75868 |
| 104,44682 |
1143,49027 |
| -42,46293 |
548,63213 |
| -28,21046 |
1156,68200 |
| -45,13863 |
-59,43497 |
| -22,92131 |
-494,19868 |
| -25,33372 |
1,22374 |
| -25,53171 |
-362,55005 |
| -32,00032 |
-1208,91214 |
| -44,59080 |
-861,16131 |
| 15,79210 |
-102,42111 |
| 71,93404 |
1023,80054 |
| 64,16036 |
-366,05602 |
| 63,41561 |
-421,26096 |
| 223,53285 |
1082,09466 |
| -10,45185 |
-44,69351 |
| -47,13174 |
380,75194 |
| -13,66517 |
-1658,80454 |
| -22,95825 |
-413,00718 |
| -17,20387 |
-1124,27874 |
| -7,67160 |
1235,51087 |
| -24,15877 |
2035,81371 |
| -25,19031 |
-485,93811 |
| -61,94858 |
-594,88904 |
Для коэффициента с:
| Остатки Ut для коэффициента с |
Остатки Vt для коэффициента с |
| -161,75633 |
-996,28985 |
| -49,68961 |
-551,46315 |
| -5,33501 |
-592,78957 |
| 13,53108 |
-151,23091 |
| -96,20156 |
-564,97419 |
| -79,81521 |
-532,43409 |
| 117,65294 |
308,21632 |
| -17,21113 |
-188,98085 |
| 5,48894 |
-112,00876 |
| -7,56409 |
231,26339 |
| 1,76847 |
-22,71336 |
| -152,57175 |
155,47175 |
| -308,61077 |
-1338,08505 |
| -246,85626 |
-1258,37446 |
| -317,64491 |
-1002,71812 |
| -296,93056 |
-1030,51453 |
| -309,02026 |
-683,71813 |
| -237,77974 |
-951,53990 |
| -41,76454 |
-407,81682 |
| -21,16191 |
185,98051 |
| 89,27625 |
230,44919 |
| -10,92489 |
613,44624 |
| -18,72071 |
787,50315 |
| -109,51511 |
-502,77830 |
| -141,29142 |
-1277,92309 |
| -74,91716 |
553,77971 |
| -85,87313 |
334,38535 |
| 24,13273 |
1331,17188 |
| -55,28190 |
-146,67885 |
| 107,15555 |
-10,75987 |
| 111,60315 |
508,88745 |
| 41,30287 |
-128,67759 |
| -54,17733 |
-1329,24725 |
| -87,13975 |
-1074,29363 |
| -60,81987 |
-384,73432 |
| 68,41568 |
1086,01965 |
| -134,92937 |
-1075,28411 |
| -42,07840 |
-766,00742 |
| 162,38522 |
1079,47115 |
| 182,77542 |
698,36254 |
| 126,35774 |
1008,05139 |
| 330,39252 |
-330,50831 |
| 336,50046 |
965,58139 |
| 399,40754 |
483,43041 |
| 337,66108 |
2575,11109 |
| 314,02384 |
3330,10235 |
| 323,56685 |
848,52978 |
| 132,18434 |
97,32975 |
Коэффициенты
a = – 726,022045
b = 2,846786592
с = 3,902613829
Доверительный интервал [d1; d2] для коэффициента а будет находиться в границах: [-3484,837463; 2032,793373].
Вывод: так как точка 0 принадлежит данному интервалу, то по критерию Стьюдента на уровне значимости 0,05 зависимость ряда w от ряда х признается незначимой.
Доверительный интервал [d1; d2] для коэффициента b будет находиться в границах: [-0,525333618; 6,218906803].
Вывод: так как точка 0 принадлежит данному интервалу, то по критерию Стьюдента на уровне значимости 0,05 зависимость ряда w от ряда х признается незначимой.
Доверительный интервал [d1; d2] для коэффициента с будет находиться в границах: [2,802620379; 5,002607279].
Вывод: так как точка 0 не принадлежит данному интервалу, то по критерию Стьюдента на уровне значимости 0,05 зависимость ряда w от ряда х признается значимой и положительной.
6 вопрос
По данным моего исследования я построила график зависимой переменной w, оцененного ряда
и остатков
.
