| Скачать .docx | Скачать .pdf |
Реферат: Сетевые графики 2
Федеральное агентство по образованию
ГОУВПО «Удмуртский государственный университет»
Институт экономики и управления
Кафедра управления социально-экономическими системами
Реферат
на тему: «Сетевые графики»
Выполнила:
Студентка группы 608-31
А. И. Давлятшина
Проверил:
доцент кафедры УСЭС
А. Ф. Гольман
Ижевск 2010
Сетевые графики
В области экономики, технологии, проектирования, научно-исследовательских работ особую сложность представляет собой планирование и создание новых систем, например, конструирование и освоение производства новой машины, проектирование и возведение инженерных и архитектурных комплексов, планирование и проведение космических исследований и т. п. Аналогичные трудности вызывает осуществление некоторых периодически повторяющихся разработок (например, ежегодное составление бизнес-плана). Во всех указанных случаях выполняется огромное количество взаимосвязанных операций, в работу вовлекается множество людей, предприятий, организаций. Управление комплексом, принятие оперативных и перспективных решений осложняется, как правило, новизной разработки, трудностью точного определения сроков и предстоящих затрат. В планировании и управлении сложными комплексами работ высокоэффективными оказались сетевые методы и модели. Основу сетевой модели составляет сетевой график — наглядное отображение плана работ. С точки зрения графов сетевой график представляет собой сеть, т. е. связный ориентированный граф без контуров и петель.
Основными элементами сетевого графика являются события и работы. События соответствуют вершинам сети, а работы — ее дугам. Событие - это результат, состояние системы в момент достижения некоторой исходной, промежуточной или конечной цели разработки'. Событие не имеет протяженности
во времени. Работа - это протяженный во времени процесс, необходимый для совершения события. Иными словами, работой на графике может быть любая необходимая производственная, инженерно- конструкторская или иная операция, требующая затрат времени, трудовых и материальных ресурсов. Скажем, в плане возведения производственного объекта могут быть выделены такие работы, как кирпичная кладка, монтаж стеновых панелей, монтаж трансформаторной подстанции, монтаж оконных и дверных блоков, монтаж кровельных плит, штукатурные работы, монтаж технологического оборудования, устройство полов, устройство кровли, отделочные работы и т. п.
Предположим, что при составлении плана разработки выделено 10 различных работ, обозначенных буквами в таблице 5.1. Для каждой работы указано, какие другие работы должны непосредственно ей предшествовать в соответствии с условиями и требованиями технологии. Так, работы А, Б и В в данном комплексе не имеют предшествующих работ, следовательно, все эти три работы можно начинать параллельно от нулевой точки отсчета времени. Работа Г может начинаться лишь после окончания работы А, работы Д и Е - после завершения работы Б и т. д. Изобразим указанную последовательность работ графически, обозначая каждую работу стрелкой, соблюдая условия
таблицы 5.1 и вводя кружочки - события так, чтобы каждая работа от некоторого события начиналась и некоторым событием завершалась. Имея в виду, что на сетевых графиках время «течет» слева направо, поместим исходное событие в левой части графика, выведем из этого события три стрелки для работ А, Б, В, замкнем каждую на свое конечное событие и далее разместим последующие работы и события с учетом зависимости работ, представленной в таблице 5.1.
Таблица 5.1
Исходные данные сетевого графика

Полученный график изображен на рисунке 5.8. Он содержит 7 событий, которые последовательно пронумерованы (слева направо и сверху вниз). Номера начального и конечного событий дня каждой работы проставлены в двух последних графах таблицы 5.1. В дальнейшем откажемся от буквенного обозначения работ и будем обозначать их по номерам начального и конечного событий. Так, работа А — это работа 1-2, работа Б — работа 1—3 и т. д.
После первоначального составления графика необходимо проверить его соответствие некоторыми обязательным требованиям: каждая работа должна иметь начальное и конечное события; любые два события должны быть непосредственно связаны не более чем одной работой; только исходное (первое) событие не имеет входящих стрелок, только завершающее — выходящих; не должно быть изолированных участков, не связанных с остальной частью графика; не должно быть контуров и петель. На нашем графике (рис. 5.8) все эти требования соблюдены.

Важнейшим этапом сетевого планирования является анализ сетевого графика по критерию времени. Рассмотрим основные принципы этого анализа. Ожидаемая продолжительность каждой работы в днях указана в таблице 5.1. Эти данные проставлены у стрелок — работ (рис. 5.8). Отметим, что сетевые графики совершенно не требуют соблюдения масштаба, т. е. длина стрелок никак не соответствует продолжительности работ.
Определим, прежде всего, ожидаемые сроки наступления событий. Срок для исходного события будем считать нулевым. Поскольку работа 1-2 продолжается 3 дня, событие 2 наступит через 3 дня после начала работ. Аналогично определяем, что для наступления события 3 потребуется 8 дней (сроки наступления событий указаны около их кружочков). Для события 4 входящими являются две работы: 1-4 и 3-4. Первая из них заканчивается через 5 дней после начала всего комплекса работ.
Работа 3-4 может начаться после наступления события 3, т. е. через 8 дней после исходного события, и сама требует для своего выполнения 11 дней. Всего от события 1 до завершения работы 3-4 проходит 8 + 11 = 19 дней. Значит, ожидаемым сроком наступления события 4 нужно считать 19 дней.
Перейдем к событию 5. Оно наступает после завершения работ 2-5 и 4-5. Первая из них завершается через 3 + 9 = 12 дней, вторая через 19 + 7 = 26 дней. Больший из сроков — 26 дней — и есть ожидаемый срок наступления события 5. Аналогично определяем сроки наступления событий 6 и 7. Завершающее событие 7 наступает через 38 дней после начала всего комплекса работ.
Заметим, что уже на первом этапе расчета сетевого графика получена очень важная количественная характеристика – ожидаемая продолжительность всего комплекса планируемых работ (38 дней). Эта величина, очевидно, не следует непосредственно из данных о длительности отдельных работ (табл. 5.1), а может быть определена лишь на основе сетевого графика, учитывающего взаимосвязь и последовательность всех намечаемых работ.
Возвращаясь теперь от завершающего события к исходному, проследим, как образовался этот срок — 38 дней. Из двух работ, входящих в событие 7, определила этот срок работа 5-7, которая начинается с наступлением события 5 (26 дней) и продолжается 12 дней. В свою очередь, срок наступления события 5 определила работа 4-5 (19 + 7 = 26 дней). Срок наступления события 4 непосредственно связан с работой 3-4, а события 3 - с работой 1-3.
Как видим, существует некоторая цепочка работ, ведущая от исходного события к завершающему, которая определяет общую ожидаемую продолжительность всего комплекса работ сетевого графика. От исходного события к завершающему можно построить множество последовательных цепочек работ (путей) различной общей продолжительности. Например, на рисунке 5.8 такими путями являются: 1-2-5-7 продолжительностью 3 + 9 + 12 = 24 дня; путь 1-4-6-7 продолжительностью 5 + 4 + 10 = 19 дней и др. Из всех возможных путей наибольшую протяженность во времени — 38 дней имеет путь 1-3-4-5-7, который мы нашли на графике, двигаясь поэтапно от завершающего события к исходному.
Последовательность работ между исходным и завершающим событиями сети, имеющая наибольшую общую протяженность во времени, называется критическим путем. События и работы, расположенные на этом пути, также называются критическими.
Критический путь является центральным понятием сетевого планирования и управления. Естественно, что важнейшей целью анализа сетевого графика по 1критерию времени является установление общей продолжительности всего планируемого комплекса работ. Оказывается, что эта общая продолжительность определяется далеко не всеми работами сети, а только работами, лежащими на критическом пути. Увеличение времени выполнения любой критической работы ведет к отсрочке завершения всего проекта, в то время как задержка с выполнением некритических работ может никак не отразиться на сроке наступления завершающего события.
Отсюда следуют важные выводы для принятия практических решений. Руководители разработки должны уделять первоочередное внимание своевременному выполнению критических работ, обеспечению их необходимыми трудовыми и материальными ресурсами, чтобы не сорвать срок завершения всего проекта. Если сам этот срок по первоначально составленному графику оказался выше производственной мощности предприятия, то для его уменьшения необходимо изучить возможность сокращения именно критических, а не любых работ. Если учесть, что в реальных сетевых графиках критические работы составляют лишь 10-15% общего числа работ, то становится
ясно, каким ценным орудием эффективного управления, принятия лучших решений является метод критического пути в руках руководителей сложных разработок. Ведь одно дело – пытаться постоянно держать в поле зрения и непрерывно контролировать все множество выполняемых работ, и совсем другое - сосредоточить внимание и усилия на выполнении примерно десятой их части.
Если для критических работ никакие отсрочки их выполнения недопустимы без угрозы срыва продолжительности всего проекта, то для некритических работ такие отсрочки возможны. Возьмем, например, работу 3-6. Начальное для нее событие 3 наступает через 8 дней, а конечное событие - через 23 дня после начала всех работ. Очевидно, срок наступления события 6 не был бы нарушен, если бы работа 3-6 продолжалась 15 дней - на 9 дней дольше ее продолжительности по графику. Эти 9 дней составляют так называемый свободный резерв времени работы 3-6. Свободный резерв времени работы 6-7 составляет 5 дней (38-10-23 = 5), свободный резерв для работы 1-4 равен 19 — 5 — 0 = 14 дней. Некритические работы 1-2 и 4-6 свободных резервов времени не имеют (свободные резервы времени указаны в круглых скобках у стрелок - работ на рис. 5.8). Знание резервов времени имеет важное значение для принятия конкретных решений в ходе выполнения проекта. Допустим, что в ходе работ по графику (рис. 5.8) обнаружились трудности в комплектовании исполнителей после 8-го дня, когда должны начинаться работы 3-4 и 3-6 и продолжается работа 2-5. Тогда для устранения дефицита исполнителей можно отсрочить начало работы 3-6, имеющей значительный свободный резерв времени.
Возможно определение и так называемых полных резервов времени. Сначала определим для нашего графика наиболее поздние допустимые сроки наступления некритических событий. На рисунке 5.8 это события 3 и 6. Для события 3 наиболее поздний срок составляет 17 дней: если к 17 добавить продолжительность работы 2-5, т. е. 9 дней, то наступление критического события 5 не превысит своего первоначально определенного срока в 26 дней. Для события 6 наиболее поздний допустимый
срок определится разницей: 38-10 = 28.
При определении полных резервов времени будем исходить из наиболее поздних сроков наступления событий. Тогда имеем полные резервы: для работы 1-2:17-3 -0 = 14; для работы 3 - 6: 28 - 6 - 8 = 14. Полные резервы на рисунке 5.8 приведены у работ в квадратных скобках.
Опишем в общем виде процедуру расчета сетевых графиков по критерию времени. Заданной заранее является продолжительность tij работы i-j , выходящей из своего начального события i и входящей в конечное событие j. На сети, включающей все работы i-j, уже расчетным путем находится ряд числовых характеристик.
Сначала определяются ожидаемые (ранние) сроки наступления всех событий. Ранний срок t p j наступления некоторого конечного события j равен сумме раннего срока t p j наступления начального события i и продолжительности самой работы i-j. Если для события у входящим являются несколько работ, то из всех указанных сумм берут наибольшую. Таким образом,
t p j = max (t p j + tij ).
Для первого события принимается t p i = 0. Значение t p j для самого последнего, заключительного, события графика характеризует ожидаемый общий срок всего комплекса работ сетевого графика, продолжительность критического пути.
Определяются также поздние допустимые сроки наступления событий. Поздний срок t n i наступления события i равен разности между поздним сроком t n j наступления события j и продолжительностью работы i-j. Если из события i выходит несколько работ, то берут наименьшую из указанных разностей,
следовательно:
t n i = min (t n i + tij ).
При этом для завершения события крайний и поздний сроки равны:
t p k = t n k
Начав от завершающего события, можно по приведенной формуле последовательно найти сроки для всех некритических событий.
Можно найти также резервы времени наступления событий. Резерв времени Ri наступления события i определяется как разность между поздним и ранним сроками, т. е.
![]()
Известные резервы времени своего выполнения могут иметь и некритические работы. Различают свободные и полные резервы времени работ. Свободный резерв времени Ri j n работы i-j находится вычитанием продолжительности работы i-j и раннего срока наступления начального собыгия i из раннего срока наступления конечного события j. Таким образом,
![]()
Полный резерв времени Ri j n работы i-j определяется вычитанием продолжительности работы i – j и раннего срока наступления события i из позднего срока наступления собыгия j. Следовательно, имеем

Определение резервов времени событий и работ сетевого графика имеет важное значение не только для этапа его разработки и корректировки, но и в ходе выполнения проекта.
Мы пока предполагали, что на сетевом графике время выполнения каждой работы точно известно - детерминировано. При прогнозировании это предположение выполняется довольно редко, поскольку основное направление использования сетевых методов - это прогнозы новых сложных разработок, зачастую не имевших в прошлом вообще никаких аналогий. Поэтому чаще всего продолжительность выполнения работы сетевого графика является неопределенной, в математическом понимании - случайной величиной.
Если известен закон распределения случайной величины, то нетрудно найти две ее важнейшие характеристики – среднее значение (математическое ожидание) и дисперсию. Однако, применительно к работам сетевого графика, уверенно судить о законе распределения времени конкретных работ обычно не удается. Практика сетевого планирования выработала для анализа сетевого графика со случайными длительностями работ определенную общую методику, которая достаточно рациональна и удобна, хотя с точки зрения строгой теории, возможно, и не во всем безупречна. Рассмотрим основные положения этой методики.
По каждой работе i-j, точную продолжительность которой установить нельзя, на основании опроса исполнителей и экспертов определяются три временные оценки:
а) минимального времени а i j за которое может быть выполнена работа при самом благоприятном стечении обстоятельств (оптимистическая оценка);
б) максимального времени в i j , которое потребуется на выполнение работы при самых неблагоприятных условиях (пессимистическая);
в) наиболее вероятного времени mi j , выполнения работы при самых нормальных условиях.
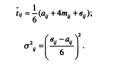
Указанные три оценки являются основой для расчета средней ожидаемой продолжительности работы и ее дисперсии. При этом используется гипотеза о том, что распределение длительностей работ подчиняется определенному закону (так называемое β-распределение). Теоретически строго обосновать эту гипотезу довольно трудно, однако, в эмпирическом смысле она даст возможность построить простые формулы для определения средней ожидаемой продолжительности tij и дисперсии σ2 ij при заданных аij , вij и mij для каждой работы:

Величины tij определяют продолжительность выполнения работ на сетевом графике. На их основе рассчитываются сроки наступления событий и резервы времени.
Наряду с задачей достаточно точного определения временных оценок, в экономических прогнозах особое значение приобретают вопросы анализа сетевых моделей с точки зрения затрат трудовых, материальных, денежных ресурсов и их эффективного
распределения и использования. Существующие методы позволяют обеспечить и такой комплексный подход, как «время — стоимость - ресурсы», подход к сетевому анализу
и планированию. Реальные (обычно достаточно сложные) сетевые графики рекомендуется обрабатывать на ЭВМ. На базе пакета прикладных программ ЭВМ проверяет правильность
составления графика, рассчитывает критический путь и резервы времени, распределяет по работам ограниченные ресурсы и т. д. В ходе выполнения проекта на основе уточненной дополнительной информации ЭВМ корректирует и перерассчитывает сетевую модель и выдает на печать скорректированные характеристики оставшейся части графика.
Нужно отметить особое значение последней операции. Первоначально составленный вариант сетевого графика на практике довольно быстро устаревает. По истечении времени возникают различные отклонения: изменилось против плана время проведения уже выполненных или выполняемых работ; внесены поправки в оценки продолжительности некоторых будущих работ; отпала необходимость выполнения отдельных запланированных работ, в то же время появились новые работы, ранее не предусмотренные; изменилась взаимосвязь, последовательность некоторых работ и событий.
Если не принимать во внимание эти изменения и ориентироваться на первоначальный вариант графика, то вместо эффективного средства управления он вскоре будет только дезориентировать исполнителей. В некоторых случаях это происходит на практике, особенно при использовании ручных расчетов графиков: постоянные пересчеты сетей вручную могут потребовать чрезмерных трудовых затрат.
При использовании ЭВМ группа сетевого планирования периодически (еженедельно, ежедневно, а иногда и ежесуточно) в точно установленные сроки получает от исполнителей информацию об отклонениях, эта информация вводится в ЭВМ, машина вычисляет новые числовые характеристики, а при необходимости перестраивает и сам график, составляются уточненные календарные планы-графики и доводятся до исполнителей. Только при таком подходе сетевой график остается практически эффективным в управлении, принятии решений в течение всего срока осуществления проекта.
Список использованной литературы
1. А.С. Пелих, Л.Л. Терехов, Л.А. Терехова «Эконономико-математические методы и модели в управлении производством», Ростов-на-Дону «ФЕНИКС» - 2005г, 243 с.