| Скачать .docx | Скачать .pdf |
Реферат: Новые формулы для вычисления планковских единиц
Аннотация
Показано, что планковские единицы могут быть определены не только по формулам: mpl=(ћc/G)1/2, tpl=(Gћ/c5)1/2, lpl=(Gћ/c3)1/2. Найдены новые формулы для вычисления планковских единиц. Из формул следует, что константы lpl, tpl, mpl могут быть определены не только с помощью констант G, h, c , но и с применением других фундаментальных физических и космологических констант. В формулы входят универсальные суперконстанты h u, l u, t u, α, π [1,2,3]. Каждая группа формул дает практически одинаковые значения соответствующей константы. Отклонения очень незначительные и наблюдаются в седьмом-восьмом знаках, что связано с различной точностью тех констант, посредством которых представлены планковские единицы. Наиболее точные значения констант, которые следуют из полученных формул, равны:
l pl=1,616081387(45)•10 -35 m
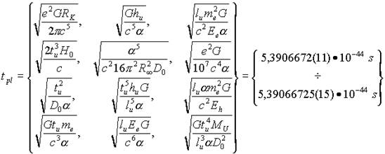
t pl=5,39066725(15)•10 -44 s
m pl=2,17666773(22)•10 -8 kg.
Новые значения константна несколько порядков точнее значений, рекомендованных CODATA 1998.
1. ЭКВИВАЛЕНТНЫЕ ФОРМУЛЫ ДЛЯ ВЫЧИСЛЕНИЯ ПЛАНКОВСКИХ ЕДИНИЦ
Большинство физических констант не поддаются прямому измерению, поэтому их значения определяются косвенно из соотношений, связывающих их с другими константами. Это относится и к планковским константам. После открытия константы h М.Планк, на основе трех констант G, h, c, получил единицы размерности килограмм, метр, секунда. Это планковская длина, планковское время и планковская масса. Формулы для планковских единиц имеют вид:
l pl=(Gћ/c 3) 1/2,
t pl=(Gћ/c 5) 1/2,
m pl=(ћc/G) 1/2.
С учетом того, что значение постоянной h, которое получил М.Планк, равнялось величине h=6,55x10-34 Дж•с [15], а значение G в тот период (с 1892 г.) считалось равным 6,658х10-11 Н м2 кг-2 [16], можно предположить, что формулы позволяли получать такие значения планковских единиц:
l pl~1,61•10 -35 m
t pl~5,35•10 -44 s
m pl~2,16•10 -8 kg
Значения планковских единиц постоянно уточнялись. В 1986 году CODATA предложил наиболее рекордные по точности значения:
l pl=1,61605(10)•10 -35 m
t pl=5,39056(34)•10 -44 s
m pl=2,17671(14)•10 -8 kg
Современные значения планковских единиц, рекомендованные CODATA 1998, имеют меньшую точность и считаются равными:
l pl=1,6160(12)•10 -35 m
t pl=5,3906(40)•10 -44 s
m pl=2,1767(16)•10 -8 kg
Современные значения этих констант значительно уступает по точности другим фундаментальным физическим константам. Ограничение на точность определения планковских единиц накладывала гравитационная константа G. Поскольку с планковскими единицами связывают надежды на создание новой квантовой теории, то важно знать, к каким объектам реального мира они относятся. Недостаточная точность, с которой известны значения этих констант, заставляет искать новые альтернативные способы определения планковских единиц, в том числе путем выявления взаимосвязи этих констант с другими фундаментальными физическими константами и космологическими константами. Автором предпринята попытка [2,5] выяснить, существует ли взаимосвязь планковских единиц с другими фундаментальными физическими константами? В результате установлено, что константы lpl, tpl, mpl можно определить не только с помощью констант G, c, h по формулам lpl=(Gћ/c3)1/2, tpl=(Gћ/c5)1/2, mpl=(ћc/G)1/2.Существуют и другие формулы для их вычисления. Такую особенность планковских единиц позволила выявить группа универсальных суперконстант hu, lu, tu, α, π [1,2,3,6]. С использованием универсальных суперконстант hu, lu, tu, α, π получены новые математические формулы для вычисления констант lpl, tpl, mpl.Ниже приведены три группы новых формул для вычисления планковских констант. Некоторые из этих формул ранее были опубликованы в [2,5,7].
12 формул для вычисления планковской длины имеют вид:
l pl =(l u 2 /D o α )1/2
l pl=(2l u 3H 0/c) 1/2
l pl=(Gt u 2m e/l uα) 1/2
l pl=(Gh u/c 3α) 1/2
l pl=(α 5/16π 2R ∞ 2D o) 1/2
l pl=(t u 3h uG/l u 3α) 1/2
l pl=(l uE eG/c 4α) 1/2
l pl=(l um e 2G/E eα) 1/2
l pl=(e 2G/c 210 7α) 1/2
l pl=(l uαm e 2G/E h) 1/2
l pl=(Gt u 2M U/D 0 2l uα) 1/2
l pl=(e 2GR K/2 πc 3) 1/2
12 формул для вычисления планковского времени имеют вид:
t pl =(tu 2 /D o α )1/2
t pl=(2t u 3H 0) 1/2
t pl=(Gt um e/c 3α) 1/2
t pl=(Gh u/c 5α) 1/2
t pl=(α 5/c 216π 2R ∞ 2D o) 1/2
t pl=(t u 5h uG/l u 5α) 1/2
t pl=(l uE eG/c 6α) 1/2
t pl=(l um e 2G/c 2E eα) 1/2
t pl=(e 2G/c 410 7α) 1/2
t pl=(l uαm e 2G/c 2E h) 1/2
t pl=(Gt u 4 M U/D 0 2l u 3 α) 1/2
t pl=(e 2GR K/2 πc 5) 1/2
10 формул для вычисления планковской массы имеют вид:
m pl=h ut u(D o/α) 1/2/l u 2
m pl =m eD o(t u•2 H 0) 1/2
m pl=m e (D o/α) 1/2
m pl=(c 2l u/G) (1/D oα) 1/2
m pl=(E el u/Gα) 1/2
m pl=(2μ B/l u) (α•10 -7/G) 1/2
m pl=(2h ul uD oH 0/G) 1/2
m pl=(2H 0cl u 2/G) (αD 0) 1/2
m pl=(M U 2/D o 3α) 1/2
m pl=(E e α 2/4πR ∞G) 1/2
Из приведенных формул видно, что константы lpl, tpl, mpl выражаются с помощью других фундаментальных констант компактными соотношениями. В числе констант, с помощью которых представлены эти постоянные, использованы такие константы: фундаментальный квант hu, скорость света c, постоянная тонкой структуры α, гравитационная константа G, число π, фундаментальная метрика пространства-времени (lu, tu), элементарная масса me, большое космологическое число Do [5,6], константа Ридберга R∞, магнетон Бора μB, постоянная Хаббла H0, энергия покоя электрона Ee , масса Метагалактики MU, элементарный заряд e, энергия Хартри Eh, константа фон Клитцинга RK.
2. НОВЫЕ ЗНАЧЕНИЯ ПЛАНКОВСКИХ ЕДИНИЦ
Каждая группа математических соотношений, приведенных выше, дает практически одинаковые значения lpl, tpl, mpl.Ниже приведены результаты расчета значений констант lpl, tpl, mpl, полученных по приведенным формулам. При расчетах использовались новые значения гравитационной константы G и константы Хаббла H 0 [5,7], полученные с помощью универсальных суперконстант. Наиболее точные расчетные значения констант lpl, tpl, mpl, которые следуют из полученных формул:
l pl=1,616081387(45)•10 -35 m
t pl=5,39066725(15)•10 -44 s
m pl=2,17666773(22)•10 -8 kg.
Отличия от этих значений очень незначительные и наблюдаются в седьмом-восьмом знаках, что связано с различной точностью тех констант, посредством которых представлены константы lpl, tpl, mpl:



В таблицах 1, 2, 3 приведены значения планковских единиц, полученных по приведенным выше формулам:
Табл.1. Расчетные значения планковской массы.
| Кем и когда получено | Формула | Значение |
| Planck, 1900, | m pl=(ћc/G) 1/2 | ~2,16•10-8 kg |
| CODATA, 1986 | 2,17671(14)•10-8 kg | |
| CODATA, 1998 | 2,1767(16)•10-8 kg | |
| Kosinov, 2000 | m pl=h ut u(D o/α) 1/2/l u 2 | 2,17666773(29)•10-8 kg |
| Kosinov, 2000 | m pl =m eD o(t u•2 H 0) 1/2 | 2,17666773(32)•10-8 kg |
| Kosinov, 2000 | m pl=m e (D o/α) 1/2 | 2,17666773(22)•10 -8 kg |
| Kosinov, 2000 | m pl=(c 2l u/G) (1/D oα) 1/2 | 2,17666773(34)•10-8 kg |
| Kosinov, 2000 | m pl=(E el u/Gα) 1/2 | 2,17666773(24)•10-8 kg |
| Kosinov, 2000 | m pl=(2μ B/l u) (α•10 -7/G) 1/2 | 2,17666773(25)•10-8 kg |
| Kosinov, 2000 | m pl=(2h ul uD oH 0/G) 1/2 | 2,17666773(33)•10-8 kg |
| Kosinov, 2000 | m pl=(2H 0cl u 2 /G) (αD 0) 1/2 | 2,17666773(47)•10-8 kg |
| Kosinov, 2000 | m pl=M U (1/D o 3α) 1/2 | 2,17666773(47)•10-8 kg |
| Kosinov, 2000 | m pl=(E e α 2/4πR ∞G) 1/2 | 2,17666773(23)•10-8 kg |
Табл.2. Расчетные значения планковской длины.
| Кем и когда получено | Формула | Значение |
| Planck, 1900, | l pl=(Gћ/c 3) 1/2 | ~1,61•10-35 m |
| CODATA, 1986 | 1,61605(10)•10-35 m | |
| CODATA, 1998 | 1,6160(12)•10-35 m | |
| Kosinov, 2000 | l pl =(l u 2 /D o α )1/2 | 1,616081387(51)•10-35 m |
| Kosinov, 2000 | l pl=(2l u 3H 0/c) 1/2 | 1,616081387(68)•10-35 m |
| Kosinov, 2000 | l pl=(Gt u 2m e/l u α) 1/2 | 1,61608138(21)•10-35 m |
| Kosinov, 2000 | l pl=(Gh u/c 3α) 1/2 | 1,61608138(18)•10-35 m |
| Kosinov, 2000 | l pl=(α 5/16π 2R ∞ 2D o) 1/2 | 1,616081387(45)•10 -35 m |
| Kosinov, 2000 | l pl=(t u 3h uG/l u 3α) 1/2 | 1,61608138(18)•10-35 m |
| Kosinov, 2000 | l pl=(l uE eG/c 4 α) 1/2 | 1,61608138(21)•10-35 m |
| Kosinov, 2000 | l pl=(l um e 2G/E e α) 1/2 | 1,61608138(31)•10-35 m |
| Kosinov, 2000 | l pl=(e 2G/c 210 7α) 1/2 | 1,61608138(18)•10-35 m |
| Kosinov, 2000 | l pl=(e 2GR K/2 πc 3) 1/2 | 1,61608138(17)•10-35 m |
| Kosinov, 2000 | l pl=(l u αm e 2G/E h) 1/2 | 1,61608138(31)•10-35 m |
| Kosinov, 2000 | l pl=(Gt u 2M U/D 0 2l u α) 1/2 | 1,61608138(32)•10-35 m |
Табл.3. Расчетные значения планковского времени.
| Кем и когда получено | Формула | Значение |
| Planck, 1900, | t pl=(Gћ/c 5) 1/2 | ~5,35•10-44 s |
| CODATA, 1986 | 5,39056(34)•10-44 s | |
| CODATA, 1998 | 5,3906(40)•10-44 s | |
| Kosinov, 2000 | t pl =(tu 2 /D o α )1/2 | 5,39066725(18)•10-44 s |
| Kosinov, 2000 | t pl=(2t u 3H 0) 1/2 | 5,39066725(23)•10-44 s |
| Kosinov, 2000 | t pl=(Gt um e/c 3α) 1/2 | 5,39066725(68)•10-44 s |
| Kosinov, 2000 | t pl=(Gh u/c 5α) 1/2 | 5,39066725(58)•10-44 s |
| Kosinov, 2000 | t pl=(α 5/c 216π 2R ∞ 2D o) 1/2 | 5,39066725(15)•10 -44 s |
| Kosinov, 2000 | t pl=(t u 5h uG/l u 5α) 1/2 | 5,39066725(58)•10-44 s |
| Kosinov, 2000 | t pl=(l uE eG/c 6α) 1/2 | 5,39066725(68)•10-44 s |
| Kosinov, 2000 | t pl=(l um e 2G/c 2E eα) 1/2 | 5,3906672(11)•10-44 s |
| Kosinov, 2000 | t pl=(e 2G/c 410 7α) 1/2 | 5,39066725(58)•10-44 s |
| Kosinov, 2000 | t pl=(e 2GR K/2 πc 5) 1/2 | 5,39066725(55)•10-44 s |
| Kosinov, 2000 | t pl=(l uαm e 2G/c 2E h) 1/2 | 5,3906672(11)•10-44 s |
| Kosinov, 2000 | t pl=(Gt u 4 M U/D 0 2l u 3 α) 1/2 | 5,3906672(11)•10-44 s |
Таким образом, за столетний период своего существования, константы lpl, tpl, mpl прошли несколько этапов, на которых их значения считались то более точными, то менее точными:

Все расчетные значения планковских единиц, полученные по новым формулам, чрезвычайно близки между собой. Все онина несколько порядков точнее значений, рекомендованных и CODATA 1986, и CODATA 1998. Совершенно очевидно, что каждая группа формул должна давать одинаковые значения констант lpl, tpl, mpl. Сближение расчетных значений, полученных по приведенным формулам, будет происходить по мере уточнения значений фундаментальных физических констант.
Соотношения вида:
l pl =(lu2/Doα)1/2=(2lu3H0/c)1/2=Gtu2me/luα)1/2=(Ghu/c3α)1/2=(α5/16π2R∞2Do)1/2=(tu3huG/lu3α)1/2= (luEeG/c4α)1/2= (lume2G/Eeα)1/2=(e2G/c2107α)1/2=lume/mplα=(luαme2G/Eh)1/2=(Gtu2 MU/D02luα)1/2,
t pl =(tu2/Do α)1/2=(2tu3H0)1/2=(Gtume/c3α)1/2=(Ghu/c5α)1/2=(α5/c216π2R∞2Do)1/2=(tu5huG/lu5α)1/2=(luEeG/c6α)1/2= (lume2G/c2Eeα)1/2=(e2G/c4107α)1/2=(luαme2G/c2Eh)1/2=(Gtu4 MU/D02lu3α)1/2=(e2GRK/2πc5)1/2,
m pl =hutu(Do/α)1/2/lu2=meDo(tu•2 H0)1/2=me(Do/α)1/2= =(c2lu/G) (1/Doα)1/2=(Eelu/Gα)1/2=(2μB/lu) (α•10-7/G)1/2= (2huluDoH0/G)1/2=(2H0clu2/G) (αD0)1/2=MU (1/Do3α)1/2= (Ee α2/4πR∞G)1/2 можно использовать для согласования значений большого количества физических и астрофизических констант.
ВЫВОДЫ
- Найдены новые формулы для вычисления планковских единиц с помощью фундаментальных физических констант и космологических констант.
- Получены 12 эквивалентных формул для вычисления константы lpl, 12 эквивалентных формул для вычисления константы tpl, 10 эквивалентных формул для вычисления константы mpl.
- Формулы позволили получить расчетные значения констант lpl, tpl, mpl, которые на несколько порядков точнее рекомендованных значений.
- Каждая группа формул дает практически одинаковые значения планковских единиц. Различия очень незначительные и наблюдаются в седьмом-восьмом знаках, что связано с различной точностью тех констант, посредством которых представлены планковские константы lpl, tpl, mpl.
- Наиболее точные расчетные значения планковских единиц:
l pl=1,616081387(45)•10 -35 m
t pl=5,39066725(15)•10 -44 s
m pl=2,17666773(22)•10 -8 kg.
ЛИТЕРАТУРА
1. N. Kosinov. “Five FundamentalConstants of Vacuum, Lying in the Base of allPhysicalLaws, Constants and Formulas”. PhysicalVacuum and Nature, N4, (2000).
2. Косинов Н.В. Пять универсальных суперконстант, лежащих в основе всех фундаментальных констант, законов и формул физики и космологии. Актуальные проблемы естествознания начала века. Материалы международной конференции 21 - 25 августа 2000 г., Санкт-Петербург, Россия. СПб.: "Анатолия", 2001, с. 176 - 179.
3.Косинов Н.В. Универсальные физические суперконстанты. http://piramyd.express.ru
4. Косинов Н.В. Большие числа в физике и космологии.
http://piramyd.express.ru/disput/kosinov/grate/text.htm
5. Н.В. Косинов. “Физический вакуум и гравитация”. Физический вакуум и природа, N4, (2000).
6. Косинов Н.В. Новое о гравитационной константе G. Пятнадцать эквивалентных формул для вычисления константы G.
7.В.Н.Ларин, В.В.Ежела. К столетию открытия кванта действия.
http://WWW.pereplet.ru/pops/larin/larin.html
8. http://faculty.millikin.edu/~jaskill.nsm.faculty.mu/G.html