| Скачать .docx | Скачать .pdf |
Реферат: История криптографии
РЕФЕРАТ
по дисциплине: История математики
по теме: История криптографии
Работа выполнена студентом:
Преподаватель:
2010
Содержание.
1. Введение …………………………………………………………………………3
2. Периоды развития и этапы криптографии……………………………………..4
3. Криптография в древние времена ………...................................................……7
4. Криптография от средних веков до нового времени ……..………………......9
5. Криптография Первой мировой войны…………...…………………………..16
6. Современная криптография…...……………………………………………….17
7. Заключение………….…………………………………………………………..19
8. Биографические справки ……………..………………………………………..20
9. Список литературы……………..……………………………………………...24
Введение.
Проблема защиты информации путем ее преобразования, исключающего ее прочтение посторонним лицом, волновала человеческий ум с давних времен. История криптографии - ровесница истории человеческого языка. Более того, первоначально письменность сама по себе была своеобразной криптографической системой, так как в древних обществах ею владели только избранные. Священные книги древнего Египта, древней Индии тому примеры. История человеческой цивилизации стала также историей создания систем безопасной передачи информации. Искусство шифрования и тайной передачи информации было присуще практически всем государствам. Криптография в прошлом использовалась, прежде всего, в военных целях. Однако сейчас, по мере образования информационного общества, криптография становится одним из основных инструментов, обеспечивающих конфиденциальность, доверие, авторизацию, корпоративную безопасность и бесчисленное множество других важных вещей. Практическое применение криптографии стало неотъемлемой частью жизни современного общества — её используют в таких отраслях как электронная коммерция, электронный документооборот (включая цифровые подписи), телекоммуникации и других. Очень быстро после распространения компьютеров в деловой сфере практическая криптография сделала в своем развитии огромный скачок, причем сразу по нескольким направлениям:· во-первых, были разработаны стойкие блочные шифры с секретным ключом, предназначенные для решения классической задачи - обеспечения секретности и целостности передаваемых или хранимых данных, они до сих пор остаются "рабочей лошадкой" криптографии, наиболее часто используемыми средствами криптографической защиты;· во-вторых, были созданы методы решения новых, нетрадиционных задач сферы защиты информации, наиболее известными из которых являются задача подписи цифрового документа и открытого распределения ключей.Исторически первой задачей криптографии была защита передаваемых текстовых сообщений от несанкционированного ознакомления с их содержанием, что нашло отражение в самом названии этой дисциплины, эта защита базируется на использовании "секретного языка", известного только отправителю и получателю, все методы шифрования являются лишь развитием этой философской идеи. С усложнением информационных взаимодействий в человеческом обществе возникли и продолжают возникать новые задачи по их защите, некоторые из них были решены в рамках криптографии, что потребовало развития принципиально новых подходов и методов.
Целью этого реферата является углубленный анализ истории криптографии с древних времен до настоящего времени, и определение ее влияние и место в математике в целом.
Были поставлены следующие задачи: выяснить способы периодизации развития криптографии, проанализировать ее методы в разных периодах истории человечества. Также задачей реферата являлась описания самых значимых шифров и их влияние на развитие криптографии.
В историко-математической литературе данная тема достаточно хорошо проработана, так как изучение истории криптографии необходимо для черпания идей и для ее развития в настоящем. С другой стороны, сама информация всегда обладала некоторой конфиденциальностью, и поэтому не всегда и сразу была доступна интересующему читателю.
Материалом для написания реферата послужила, в первую очередь, книга А.П. Алферова, А.Ю. Зубова А.С. Кузьмина и А.В. Черемушкина «Основы криптографии» [1], в которой дан подробный исторический очерк раннего развития криптографии. Для описания криптографии в нынешнем мире использовалась книга Баричева С.Г., Гончарова В.В. и Серова Р.Е. «Основы современной криптографии» [2]. Статья Жельникова В., «Криптография от папируса до компьютера» [3] послужила источником интересных примеров и неординарного описания проблемы. Биографические справки написаны по электронным ресурсам [5-9].
Периоды развития и этапы криптографии.
История криптографии насчитывает около 4 тысяч лет. В качестве основного критерия периодизации криптографии возможно использовать технологические характеристики используемых методов шифрования. В данном реферате будем придерживаться такой периодизации.
Первый период (приблизительно с 3-го тысячелетия до н.э.) характеризуется господством моноалфавитных шифров (основной принцип – замена алфавита исходного текста другим алфавитом через замену букв другими буквами или символами).
Второй период (хронологические рамки – с IX века на Ближнем Востоке (Ал-Кинди) и с XV века в Европе (Леон Баттиста Альберти) – до начала XX века) ознаменовался введением в обиход полиалфавитных шифров.
Третий период (с начала и до середины XX века) характеризуется внедрением электромеханических устройств в работу шифровальщиков. При этом продолжалось использование полиалфавитных шифров.
Четвёртый период – с середины до 70-х годов XX века – период перехода к математической криптографии. В работе Клода Шеннона появляются строгие математические определения количества информации, передачи данных, энтропии, функций шифрования. Обязательным этапом создания шифра считается изучение его уязвимости к различным известным атакам – линейному и дифференциальному криптоанализу. Однако до 1975 года криптография оставалась «классической», или же, более корректно, криптографией с секретным ключом.
Современный период развития криптографии (с конца 1970-х годов по настоящее время) отличается зарождением и развитием нового направления – криптография с открытым ключом. Её появление знаменуется не только новыми техническими возможностями, но и сравнительно широким распространением криптографии для использования частными лицами (в предыдущие эпохи использование криптографии было исключительной прерогативой государства). Правовое регулирование использования криптографии частными лицами в разных странах сильно различается – от разрешения до полного запрета.
Историю криптографии условно можно также разделить на 4 этапа [2].
1. Наивная криптография.
2. Формальная криптография
3. Научная криптография
4. Компьютерная криптография
Для наивной криптографии (до нач. XVI века) характерно использование любых (обычно примитивных) способов запутывания противника относительно содержания шифруемых текстов. На начальном этапе для защиты информации использовались методы кодирования и стеганографии, которые родственны, но не тождественны криптографии. Большинство из используемых шифров сводились к перестановке или моноалфавитной подстановке. Одним из первых зафиксированных примеров является шифр Цезаря, состоящий в замене каждой буквы исходного текста на другую, отстоящую от нее в алфавите на определенное число позиций. Другой шифр, полибианский квадрат, авторство которого приписывается греческому писателю Полибию
, является общей моноалфавитной подстановкой, которая проводится с помощью случайно заполненной алфавитом квадратной таблицей (для греческого алфавита размер составляет 5x5). Каждая буква исходного текста заменяется на букву, стоящую в квадрате снизу от нее.
Этап формальной криптографии (кон. XV века - нач. XX века) связан с появлением формализованных и относительно стойких к ручному криптоанализу шифров. В европейских странах это произошло в эпоху Возрождения, когда развитие науки и торговли вызвало спрос на надежные способы защиты информации. Важная роль на этом этапе принадлежит Леону Батисте Альберти
, итальянскому архитектору, который одним из первых предложил многоалфавитную подстановку. Данный шифр, получивший имя дипломата XVI века Блеза Вижинера [4], состоял в последовательном «сложении» букв исходного текста с ключом (процедуру можно облегчить с помощью специальной таблицы). Его работа «Трактат о шифре» считается первой научной работой по криптологии. Одной из первых печатных работ, в которой обобщены и сформулированы известные на тот момент алгоритмы шифрования является труд «Полиграфия» немецкого аббата Иоганна Трисемуса. Ему принадлежат два небольших, но важных открытия: способ заполнения полибианского квадрата (первые позиции заполняются с помощью легко запоминаемого ключевого слова, остальные - оставшимися буквами алфавита) и шифрование пар букв (биграмм). Простым, но стойким способом многоалфавитной замены (подстановки биграмм) является шифр Плейфера, который был открыт в начале XIX века Чарльзом Уитстоном
. Уитстону принадлежит и важное усовершенствование - шифрование ««двойным квадратом». Шифры Плейфера и Уитстона использовались вплоть до первой мировой войны, так как с трудом поддавались ручному криптоанализу. В XIX веке голландец Керкхофф сформулировал главное требование к криптографическим системам, которое остается актуальным и поныне: секретность шифров должна быть основана на секретности ключа, но не алгоритма. Наконец, последним словом в донаучной криптографии, которое обеспечили еще более высокую криптостойкосить, а также позволило автоматизировать (в смысле механизировать) процесс шифрования стали роторные криптосистемы. Одной из первых подобных систем стала изобретенная в 1790 году Томасом Джефферсоном, будущим президентом США механическая машина. Многоалфавитная подстановка с помощью роторной машины реализуется вариацией взаимного положения вращающихся роторов, каждый из которых осуществляет «прошитую» в нем подстановку. Практическое распространение роторные машины получили только в начале XX века. Одной из первых практически используемых машин, стала немецкая Enigma, разработанная в 1917 году Эдвардом Хеберном и усовершенствованная Артуром Кирхом. Роторные машины активно использовались во время второй мировой войны. Помимо немецкой машины Enigma использовались также устройства Sigaba (США), Турех (Великобритания), Red, Orange и Purple2 (Япония). Роторные системы - вершина формальной криптографии так как относительно просто реализовывали очень стойкие шифры. Успешные криптоатаки на роторные системы стали возможны только с появлением ЭВМ в начале 40-х годов.
Главная отличительная черта научной криптографии (30-е - 60-е годы XX века) - появление криптосистем со строгим математическим обоснованием криптостойкости. К началу 30-х годов окончательно сформировались разделы математики, являющиеся научной основой криптологии: теория вероятностей и математическая статистика, общая алгебра, теория чисел, начали активно развиваться теория алгоритмов, теория информации, кибернетика. Своеобразным водоразделом стала работа Клода Шеннона
«Теория связи в секретных системах», где сформулированы теоретические принципы криптографической защиты информации. Шеннон ввел понятия «рассеивание» и «перемешивание», обосновал возможность создания сколь угодно стойких криптосистем. В 60-х годах ведущие криптографические школы подошли к созданию блочных шифров, еще более стойких по сравнению с роторными криптосистемами, однако допускающие практическую реализацию только в виде цифровых электронных устройств. Компьютерная криптография (с 70-х годов XX века) обязана своим появлением вычислительным средствам с производительностью, достаточной для реализации критосистем, обеспечивающих при большой скорости шифрования на несколько Примерно в 1900 году до н. э. древние египтяне начали видоизменять и искажать иероглифы, чтобы закодировать определенные сообщения. порядков более высокую криптостойкость, чем «ручные» и «механические» шифры. Первым классом криптосистем, практическое применение которых стало возможно с появлением мощных и компактных вычислительных средств, стали блочные шифры. В 70-е годы был разработан американский стандарт шифрования DES (принят в 1978 году). Один из его авторов, Хорст Фейстел (сотрудник IBM), описал модель блочных шифров, на основе которой были построены другие, более стойкие симметричные криптосистемы, в том числе отечественный стандарт шифрования ГОСТ 28147-89. С появлением DES обогатился и криптоанализ, для атак на американский алгоритм был создано несколько новых видов криптоанализа (линейный, дифференциальный и т.д.), практическая реализация которых опять же была возможна только с появлением мощных вычислительных систем. В середине 70-х годов произошел настоящий прорыв в современной криптографии - появление асимметричных криптосистем, которые не требовали передачи секретного ключа между сторонами. Здесь отправной точкой принято считать работу, опубликованную Уитфилдом Диффи и Мартином Хеллманом в 1976 году под названием «Новые направления в современной криптографии». В ней впервые сформулированы принципы обмена шифрованной информацией без обмена секретным ключом. Независимо к идее асимметричных криптосистем подошел Ральф Меркли. Несколькими годами позже Рон Ривест, Ади Шамир и Леонард Адлеман открыли систему RSA, первую практическую асимметричную криптосистему, стойкость которой была основана на проблеме факторизации больших простых чисел. Асимметричная криптография открыла сразу несколько новых прикладных направлений, в частности системы электронной цифровой подписи (ЭЦП) и электронных денег. В 80-90-е годы появились совершенно новые направления криптографии: вероятностное шифрование, квантовая криптография и другие. Осознание их практической ценности еще впереди. Актуальной остается и задача совершенствования симметричных криптосистем. В 80-90-х годах были разработаны нефейстеловские шифры (SAFER, RC6 и др.), а в 2000 году после открытого международного конкурса был принят новый национальный стандарт шифрования США - AES.
Криптография в древние времена.
История криптографии насчитывает не одно тысячелетие. Уже в исторических документах древних цивилизаций – Индии, Египте, Китае, Месопотамии – имеются сведенья о системах и способах составления шифрованного письма. Видимо, первые системы шифрования появились одновременно с письменностью в четвёртом тысячелетии до нашей эры.
В древнеиндийских рукописях приводится более шестидесяти способов письма, среди которых есть и такие, которые можно рассматривать как криптографические. Имеется описание системы замены гласных букв согласными, и наоборот. Один из сохранившихся шифрованных текстов Месопотамии представляют собой табличку, написанную клинописью и содержащую рецепт изготовления глазури для гончарных изделий. В этом тексте использовались редко употребляемые значки, игнорировались некоторые буквы, употреблялись цифры вместо имён. В рукописях Древнего Египта шифровались религиозные тексты и медицинские рецепты. Шифрование использовалось в Библии. Некоторые фрагменты библейских текстов зашифрованы с помощью шифра, который называется атбаш. Правило зашифрования состояло в замене
-й буквы алфавита (n-i+1), где n – число букв в алфавита. Происхождение слова атбаш объясняется принципом замены букв. Это слово составлено из букв Алеф, Тае, Бет и Шин, то есть первой и последней, второй и предпоследней букв древнесемитского алфавита.
В Древней Греции криптография уже широко использовалась в разных областях деятельности, в особенности в государственной сфере. Плутарх сообщает, что жрецы, например, хранили в форме тайнописи свои прорицания. В Спарте в 5-6 вв. до Н.Э. использовалось одно из первых шифровальных приспособлений – Сцитала [1]. Это был жезл цилиндрической формы, на который наматывалась лента из пергамента. Кроме жезла могли использоваться рукоятки мечей, кинжалов, копий, и т.д. Вдоль оси цилиндра на пергамент построчно записывался текст, предназначенный для передачи. После записи текста лента сматывалась с жезла и передавалась адресату, который имел точно такую же Сциталу. Ясно, что такой способ шифрования осуществлял перестановку букв сообщения. Ключом шифра служит диаметр Сциталы. Известен также и метод вскрытия такого шифра, приписываемый Аристотелю. Предлагалось заточить на конус длинный брус и, обернув в него ленту, начать сдвигать её по конусу от малого диаметра до самого большого. В том месте, где диаметр конуса совпадал с диаметром Сциталы, буквы текста сочетались в слоги и слова. После этого оставалось лишь изготовить цилиндр нужного диаметра.
Греческий писатель Полибий
использовал систему сигнализации, которая была широко принята как метод шифрования [1]. Он записывал буквы алфавита в квадратную таблицу и заменял их координатами: парами чисел (i,j), где i – номер строки, j – номер столбца. Применительно к латинскому алфавиту квадрат Полибия имеет следующий вид:
| 1 |
2 |
3 |
4 |
5 |
|
| 1 |
A |
B |
C |
D |
E |
| 2 |
F |
G |
H |
I,J |
K |
| 3 |
L |
M |
N |
O |
P |
| 4 |
Q |
R |
S |
T |
U |
| 5 |
V |
W |
X |
Y |
Z |
Пары (i,j) передавались с помощью факелов. Например, для передачи буквы О нужно было взять 3 факела в правую руку и 4 – в левую.
Подобные шифровальные приспособления, с небольшими изменениями просуществовали до эпохи военных походов Юлия Цезаря. Положение меняется в эпоху расцвета Рима, который первоначально представлял собой лишь небольшую гражданскую общину, со временем он разросся, подчинив себе Италию, а затем всё Средиземноморье. Чтобы управлять наместниками в многочисленных провинциях, шифрованная связь для римских органов власти стала жизненно необходимой. Особую роль в сохранении тайны сыграл способ шифрования, предложенный Юлием Цезарем и изложенным им в «Записках о галльской войне» (1 век до Н.Э.) Вот что пишет о нём Гай Светоний «…существуют и его письма к Цицерону и письма к близким о домашних делах: в них, если нужно было сообщить что-то негласно, он пользовался тайнописью, то есть менял буквы так, чтобы из них не складывалось ни одного слова. Чтобы разобрать и прочитать их, нужно читать всякий раз четвёртую букву вместо первой, например, D вместо А и так далее». Таким образом, Цезарь заменял буквы в соответствии с подстановкой, нижняя строка которой представляет собой алфавит открытого текста, сдвинутый циклически на 3 буквы влево.
Криптография от средних веков до нового времени.
Ещё один значительный шаг вперёд криптография сделала благодаря труду Леона Альберти
. Известный философ, живописец, архитектор, в 1466 году написал труд о шифрах. В этой работе был предложен шифр, основанный на использовании шифровального диска. Сам Альберти называл его шифром, «достойным королей».
Шифровальный диск представлял собой пару соосных дисков разного диаметра. Больший из них – неподвижный, его окружность разделена на 24 равных сектора, в которые вписаны 20 букв латинского алфавита в их естественном порядке и 4 цифры (от 1 до 4()4 цифрыственном порядке которые вписаны 20 букв латинского алфавитара. о диска. и. __________________________________________). При этом из 24-х буквенного алфавита были удалены 4 буквы, без которых можно обойтись, подобно тому, как в русском языке обходятся без Ъ, Ё, Й. Меньший диск – подвижный, по его окружности, разбитой также на 24 сектора, были вписаны все буквы смешанного латинского алфавита.

Диск Альберти.
Имея два таких прибора, корреспонденты догадывались о первой индексной букве на подвижном диске. При шифровании сообщения отправитель ставил индексную букву против любой буквы большого диска. Он информировал корреспондента о таком положении диска, записывая эту букву внешнего диска в качестве первой буквы шифртекста. Очередная буква открытого текста отыскивалась на неподвижном диске и стоящая против неё буква меньшего диска являлась результатом её зашифрования. После того как были зашифрованы несколько букв текста, положение индексной буквы изменялось, о чём также сообщалось корреспонденту.
Такой шифр имел две особенности, которые делают изобретение Альберти событием в истории криптографии. Во-первых, в отличие от шифров простой замены шифровальный диск использовал не один, а несколько алфавитов для зашифрования. Такие шифры получили название многоалфавитных. Во-вторых, шифровальный диск позволял использовать так называемые коды с перешифрованием, которые получили широкое распространение лишь в конце XIX в., то есть спустя четыре столетия после изобретения Альберти. Для этой цели на внешнем диске имелись цифры. Альберти составил код, состоящий из 336 кодовых групп, занумерованных от 11 до 4444. Каждому кодовому обозначению соответствовала некоторая законченная фраза. Когда такая фраза встречалась в открытом сообщении, она заменялась соответствующим кодовым обозначением, а с помощью диска цифры зашифровывались как обычные знаки открытого текста, превращаясь в буквы.
Богатым на новые идеи в криптографии оказался XVI в. Многоалфавитные шифры получили развитие в вышедшей в 1518 г. первой печатной книге по криптографии под названием "Полиграфия" [1]. Автором книги был один из самых знаменитых ученых того времени аббат Иоганнес Тритемий. В этой книге впервые в криптографии появляется квадратная таблица. Шифралфавиты записаны в строки таблицы один под другим, причем каждый из них сдвинут на одну позицию влево по сравнению с предыдущим (см. табл. 2).
Тритемий предлагал использовать эту таблицу для многоалфавитного зашифрования самым простым из возможных способов: первая буква текста шифруется первым алфавитом, вторая буква — вторым и т. д. В этой таблице не было отдельного алфавита открытого текста, для этой цели служил алфавит первой строки. Таким образом, открытый текст, начинающийся со слов HUNC CAVETO VIRUM ..., приобретал вид HXPF GFBMCZ FUEIB ... .
Преимущество этого метода шифрования по сравнению с методом Альберти состоит в том, что с каждой буквой задействуется новый алфавит. Альберти менял алфавиты лишь после трех или четырех слов. Поэтому его шифртекст состоял из отрезков, каждый из которых обладал закономерностями открытого текста, которые помогали вскрыть криптограмму. Побуквенное зашифрование не дает такого преимущества. Шифр Тритемия является также первым нетривиальным примером периодического шифра. Так называется многоалфавитный шифр, правило зашифрования которого состоит в использовании периодически повторяющейся последовательности простых замен.

В 1553 г. Джованни Баттиста Белазо предложил использовать для многоалфавитного шифра буквенный, легко запоминаемый ключ, который он назвал паролем. Паролем могло служить слово или фраза. Пароль периодически записывался над открытым текстом. Буква пароля, расположенная над буквой текста, указывала на алфавит таблицы, который использовался для зашифрования этой буквы. Например, это мог быть алфавит из таблицы Тритемия, первой буквой которого являлась буква пароля. Однако Белазо, как и Тритемий, использовал в качестве шифралфавитов обычные алфавиты.
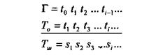
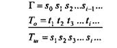
Еще одно важное усовершенствование многоалфавитных систем, состоящее в идее использования в качестве ключа текста самого сообщения или же шифрованного текста, принадлежит Джероламо Кардано и Блезу де Виженеру. Такой шифр был назван самоключом. В книге Виженера 'Трактат о шифрах" самоключ представлен следующим образом. В простейшем случае за основу бралась таблица Тритемия с добавленными к ней в качестве первой строки и первого столбца алфавитами в их естественном порядке. Позже такая таблица стала называться таблицей Виженера. Подчеркнем, что в общем случае таблица Виженера состоит из циклически сдвигаемых алфавитов, причем первая строка может быть произвольным смешанным алфавитом (см. табл. 4).

Первая строка служит алфавитом открытого текста, а первый столбец — алфавитом ключа. Для зашифрования открытого сообщения
Виженер предлагал в качестве ключевой последовательности (Г) использовать само сообщение (Т0
) с добавленной к нему в качестве первой буквы(
), известной отправителю и получателю (этим идея Виженера отличалась от идеи Кардано, у которого не было начальной буквы и система которого не обеспечивала однозначности расшифрования). Последовательности букв подписывались друг под другом:

При этом пара букв, стоящих друг под другом в Г и
, указывала, соответственно, номера строк и столбцов таблицы, на пресечении которых находится знак
шифрованного текста (Тш
). Например, фраза HUNC CAVETO VIRUM ..., использованная в предыдущих примерах, и начальная буква Р дают шифртекст YCHP ECUWZHIDAMG.
Во втором варианте Виженер предлагал в качестве ключевой последовательности использовать шифрованный текст:

Самоключ Виженера был незаслуженно забыт на долгое время, а под шифром Виженера до сих пор понимают самый простой вариант с коротким ключевым словом и с таблицей, состоящей из обычных алфавитов.
В истории криптографии XVII — XVIII в. называют эрой "черных кабинетов". В этот период во многих государствах Европы, в первую очередь во Франции, получили развитие дешифровальные подразделения, названные "черными кабинетами". Первый из них образован по инициативе кардинала Ришелье при дворе короля Людовика XIII. Его возглавил первый профессиональный криптограф Франции Антуан Россиньоль. Следует отметить, что некоторые оригинальные идеи, возникшие в криптографии в этот период, связаны с именем самого Ришелье, который использовал, например, для секретной переписки с королем оригинальный шифр перестановки с переменным ключом.
Много новых идей в криптографии принес XIX в. Изобретение в середине XIX в. телеграфа и других технических видов связи дало новый толчок развитию криптографии. Информация передавалась в виде токовых и бестоковых посылок, то есть представлялась в двоичном виде. Поэтому возникла проблема "рационального" представления информа ции, которая решалась с помощью кодов. Коды позволяли передать длинное слово или целую фразу двумя-тремя знаками. Появилась потребность в высокоскоростных способах шифрования и в корректирующих кодах, необходимых в связи с неизбежными ошибками при передаче сообщений.
Во второй половине XIX в. появился весьма устойчивый способ усложнения числовых кодов — гаммирование. Он заключался в перешифровании закодированного сообщения с помощью некоторого ключевого числа, которое и называлось гаммой. Шифрование с помощью гаммы состояло в сложении всех кодированных групп сообщения с одним и тем же ключевым числом. Эту операцию стали называть "наложением гаммы". Например, результатом наложения гаммы 6413 на кодированный текст 3425 7102 8139 являлась числовая последовательность 9838 3515 4552:

Единицы переноса, появляющиеся при сложении между кодовыми группами, опускались. "Снятие гаммы" являлось обратной операцией:

В 1888 г. француз маркиз де Виари в одной из своих научных статей, посвященных криптографии, обозначил греческой буквой X любую букву шифрованного текста, греческой буквой Г любую букву гаммы и строчной буквой С любую букву открытого текста. Он, по сути, доказал, что алгебраическая формула
![]()
воспроизводит зашифрование по Виженеру при замене букв алфавита числами согласно следующей таблице:

![]()
Тем самым была заложена алгебраическая основа для исследования шифров замены типа шифра Виженера. Используя уравнение шифрования, можно было отказаться от громоздкой таблицы Виженера.
Позже лозунговая гамма стала произвольной последовательностью, а шифр с уравнением шифрования (1) стал называться шифром гаммирования.
Криптография Первой мировой войны .
Первая мировая война оставила свой отпечаток на всех процессах, происходивших в человеческом обществе. Она не могла не сказаться и на развитии криптографии.
В период первой мировой войны в качестве полевых шифров широко использовались ручные шифры, в первую очередь шифры перестановки с различными усложнениями. Это были вертикальные перестановки, усложненные перекодировкой исходного алфавита, а также двойные вертикальные перестановки.
Первая мировая война явилась поворотным пунктом в истории криптографии: если до войны криптография представляла собой достаточно узкую область, то после войны она стала широким полем деятельности. Причина этого состояла в необычайном росте объема шифрпереписки, передаваемой по различным каналам связи. Криптоанализ стал важнейшим элементом разведки.
Прогресс этой области криптографии характеризовался и изменениями в самом криптоанализе. Эта наука переросла методы индивидуальной работы криптоаналитика над криптограммой. Системы секретной связи перестали быть настолько малочисленными и однородными, что один специалист мог овладеть всеми специализациями. Характер используемых шифров потребовал для их вскрытия скрупулезного анализа переписки, поиска ситуаций, благоприятствующих успешному криптоанализу, знания соответствующей обстановки. Кроме того, криптоанализ обогатился большим опытом использования в годы войны ошибок неопытных или ленивых шифровальщиков. Еще Ф. Бэкон писал, что "в результате неловкости и неискусности тех рук, через которые проходят величайшие секреты, эти секреты во многих случаях оказывались обеспеченными слабейшими шифрами". Этот печальный опыт привел к необходимости введения строгой дисциплины среди шифровальщиков.
Несмотря на указанные последствия, первая мировая война не породила никаких новых научных идей в криптографии. Наоборот, полностью исчерпали свои возможности ручное шифрование, с одной стороны, и техническая сторона криптоанализа, состоявшая в подсчете частот встречаемости знаков, с другой.
В тот период проявились таланты целого ряда ставших впоследствии известными криптографов. В их числе был Г. О. Ярдли, который вскоре после вступления США в войну в 1917 г. убедил военное министерство в необходимости создания криптографической службы. В 27 лет он был назначен начальником криптографического отдела (MI-8) разведки военного министерства. При отделе было создано учебное отделение по подготовке криптоаналитиков для американской армии. Отдел MI-8 добился больших успехов в дешифровании дипломатической переписки многих развитых стран. В 1919 г. отдел был преобразован в "черный кабинет" с совместным финансированием от военного министерства и госдепартамента в объеме 100 тыс. долларов в год. Одной из главных задач "черного кабинета" было раскрытие японских кодов, некоторые из которых содержали до 25 тысяч кодовых величин. В период с 1917 по 1929 г. специалистам "черного кабинета" удалось дешифровать более 45 тысяч криптограмм различных стран, в том числе и Японии.
Ярдли, желая упрочить успехи, подготовил докладную записку Президенту США о мерах по укреплению своей службы. Однако ставший в то время Государственным секретарем Г. Стимсон был шокирован, узнав о существовании "черного кабинета", и полностью осудил его деятельность. Ему принадлежит знаменитая фраза: "Джентльмены не читают писем друг друга". Финансирование "черного кабинета" было прекращено, и Ярдли лишился работы. Он написал книгу "Американский черный кабинет", в которой рассказал о многих успехах по дешифрованию. Книга была издана большими тиражами в ряде стран и произвела эффект разорвавшейся бомбы. Позже он написал книгу "Японские дипломатические секреты", в которой приводились многие японские телеграммы. Рукопись этой книги была конфискована по решению суда. Последние годы жизни Ярдли не занимался криптографией. Он умер в 1958 г. и был похоронен с воинскими почестями на Арлингтонском национальном кладбище. В некрологе он был назван "отцом американской криптографии".
Современная криптография.
В семидесятых годах произошло два события, серьезно повлиявших на дальнейшее развитие криптографии. Во-первых, был принят (и опубликован!) первый стандарт шифрования данных (DES), "легализовавший" принцип Керкгоффса в криптографии. Во-вторых, после работы американских математиков У. Диффи и М. Хеллмана родилась "новая криптография"— криптография с открытым ключом. Оба этих события были рождены потребностями бурно развивающихся средств коммуникаций, в том числе локальных и глобальных компьютерных сетей, для защиты которых потребовались легко доступные и достаточно надежные криптографические средства. Криптография стала широко востребоваться не только в военной, дипломатической, государственной сферах, но также в коммерческой, банковской и других сферах.
Вслед за идеей Диффи и Хеллмана, связанной с гипотетическим понятием однонаправленной (или односторонней) функции с секретом, появились "кандидат" на такую функцию и реально осуществленная шифрсистема RSA с открытым ключом. Такая система была предложена в 1978 г. Райвестом, Шамиром и Адлеманом. Парадоксальным казалось то, что в RSA для зашифрования и расшифрования используются разные ключи, причем ключ зашифрования может быть открытым, то есть всем известным. Вслед за RSA появился целый ряд других систем. В связи с несимметричным использованием ключей стал использоваться термин асимметричная шифрсистема, в то время как традиционные шифрсистемы стали называться симметричными.
Наряду с идеей открытого шифрования Диффи и Хеллман предложили идею открытого распределения ключей, позволяющую избавиться от защищенного канала связи при рассылке криптографических ключей. Их идея основывалась на сложности решения задачи дискретного логарифмировании, то есть задачи, являющейся обратной для задачи возведения в степень в конечном поле большого порядка.
Заключение.
Появление в середине двадцатого столетия первых электронно-вычислительных машин кардинально изменило ситуацию в области шифрования (криптографии). С проникновением компьютеров в различные сферы жизни возникла принципиально новая отрасль - информационная индустрия.Проблема обеспечения необходимого уровня защиты информации оказалась (и это предметно подтверждено как теоретическими исследованиями, так и опытом практического решения) весьма сложной, требующей для своего решения не просто осуществления некоторой совокупности научных, научно-технических и организационных мероприятий и применения специфических средств и методов, а создания целостной системы организационных мероприятий и применения специфических средств и методов по защите информации.Объем циркулирующей в обществе информации стабильно возрастает. Популярность всемирной сети Интренет в последние годы способствует удваиванию информации каждый год. Фактически, на пороге нового тысячелетия человечество создало информационную цивилизацию, в которой от успешной работы средств обработки информации зависит благополучие и даже выживание человечества в его нынешнем качестве. Произошедшие за этот период изменения можно охарактеризовать следующим образом: объемы обрабатываемой информации возросли за полвека на несколько порядков; доступ к определенным данным позволяет контролировать значительные материальные и финансовые ценности; информация приобрела стоимость, которую даже можно подсчитать; характер обрабатываемых данных стал чрезвычайно многообразным и более не сводится к исключительно текстовым данным; информация полностью "обезличилась", т.е. особенности ее материального представления потеряли свое значение - сравните письмо прошлого века и современное послание по электронной почте; характер информационных взаимодействий чрезвычайно усложнился, и наряду с классической задачей защиты передаваемых текстовых сообщений от несанкционированного прочтения и искажения возникли новые задачи сферы защиты информации, ранее стоявшие и решавшиеся в рамках используемых "бумажных" технологий - например, подпись под электронным документом и вручение электронного документа "под расписку"; субъектами информационных процессов теперь являются не только люди, но и созданные ими автоматические системы, действующие по заложенной в них программе; вычислительные "способности" современных компьютеров подняли на совершенно новый уровень как возможности по реализации шифров, ранее немыслимых из-за своей высокой сложности, так и возможности аналитиков по их взлому.Биографические справки.
1. Полибий (Polybios), из Мегалополя в Аркадии, ок. 200-ок. 118 гг. до н. э., греческий историк [5]. Сын Ликорта, влиятельного политика и главы Ахейского союза, с юности принимал участие в военной и политической жизни. В 169 г. во время III Македонской войны стал гиппархом (предводителем конницы). Ездил с посольством к консулу Манлию. После победы под Пидной (168 г. до н. э.) римляне захватили 1000 заложников из самых знатных ахейских семей, в числе которых был и Полибий. В Риме он подружился с сыновьями Эмилия Паула, победителя под Пидной, а в особенности со Сципионом Младшим. Освобожденный вместе с другими заложниками, в 151 г. возвратился на родину, совершал многочисленные путешествия, часто приезжал в Рим по приглашению Сципиона, который использовал его познания в военном деле. В 146 г. до н. э. стал свидетелем взятия Карфагена. В том же году после взятия римлянами Коринфа и его разрушения Полибий. принял на себя посредническую роль в урегулировании отношений в покоренной Греции. По-видимому, Полибий. участвовал и в осаде Нуманция Сципионом в 133 г. до н. э. Последние годы жизни Полибий. провел на родине, умер в возрасте 82 лет, вероятно, вследствие падения с лошади. - Главное произведение Полибия. - История в 40 книгах - является всемирной историей, в которой автиор показал, как в течение 50 лет, от начала II Пунической войны до конца III Македонской, Рим объединил под своей властью почти весь населенный мир того времени. Из греческих историков дело Полибия продолжили Посидоний и Страбон, его использовали Диодор и Плутарх. В византийскую эпоху вышел пересказ произведения.
2. Альберти Леон Батиста - итальянский архитектор и литератор, один из наиболее ярких представителей культуры Возрождения [6]. Обладал обширными познаниями в самых разных областях: был философом и музыкантом, скульптором и математиком, физиком и лингвистом. На протяжении ряда лет он - итальянский ученый, архитектор, теоретик искусства эпохи Раннего Возрождения. Теоретические трактаты («О статуе», 1435, «О живописи», 1435-36, «О зодчестве»; опубликован в 1485) обобщили опыт современного ему искусства и гуманистической науки в области изучения античного наследия. В архитектуре использовал античную ордерную систему (церковь Сант-Андреа в Мантуе, 1472-94, дворец Ручеллаи во Флоренции, 1446-51). В молодости написал на латыни комедию "Любитель славы" (около 1424). Исследованию природы власти посвящен его сатирический роман (тоже на латыни) "Мом" (между 1443 и 1450). Он выступал горячим защитником литературного "народного" языка и основные его сочинения написаны по-итальянски. Это сонеты, элегии и эклоги. Наиболее известная работа - трактат в 4-х книгах "О семье" (1433-1441). Огромное значение имел знаменитый латинский трактат в 10-ти книгах "О зодчестве" (1450). Один из основополжников проективной геометрии.
3. Чарлз Уитстон (Wheatstone) (6.2.1802, Глостер, Англия, - 19.10.1875, Париж), английский физик и изобретатель, член Лондонского королевского общества (1836) [7]. Занимаясь изготовлением музыкальных инструментов, поставил ряд остроумных акустических опытов. В 1833 году объяснил возникновение фигур Хладни. С 1834 года профессор Королевского колледжа (Лондон). Предложил метод измерения продолжительности разрядной искры (1834); показал, что искровые спектры металлов однозначно характеризуют эти металлы (1835). В 1837 году вместе с У. Ф. Куком получил патент на изобретение электромагнитного телеграфа; в 1858 году создал первый практически пригодный автоматический телеграфный аппарат (телеграфный аппарат Уитстона). В 1867 году независимо от Э. В. Сименса открыл принцип самовозбуждения электрических машин. Сконструировал зеркальный стереоскоп, фотометр, шифровальный аппарат - криптограф, самопишущие метеорологические приборы и др. Предложил мостовой метод измерения сопротивлений.
4. Клод Элвуд Шеннон (Shannon)(1916 — 2001) — американский инженер и математик [8]. Человек, которого называют отцом современных теорий информации и связи. Клод Шеннон родился в 1916 году и вырос в городе Гэйлорде штата Мичиган. Еще в детские годы Клод познакомился как с детальностью технических конструкций, так и с общностью математических принципов. Он постоянно возился с детекторными приемниками и радио-конструкторами, которые приносил ему отец, помощник судьи, и решал математические задачки и головоломки, которыми снабжала его старшая сестра Кэтрин, ставшая впоследствии профессором математики. Клод полюбил эти два мира, столь несхожие между собой, — технику и математику. Будучи студентом Мичиганского университета, который он окончил в 1936 году, Клод специализировался одновременно и в математике, и в электротехнике. Эта двусторонность интересов и образования определила первый крупный успех, которого Клод Шеннон достиг в свои аспирантские годы в Массачусетском технологическом институте. В своей диссертации, защищенной в 1940 году, он доказал, что работу переключателей и реле в электрических схемах можно представить посредством алгебры, изобретенной в середине XIX века английским математиком Джорджем Булем. "Просто случилось так, что никто другой не был знаком с этими обеими областями одновременно!" — так скромно Шеннон объяснил причину своего открытия. В 1941 году 25-летний Клод Шеннон поступил на работу в Bell Laboratories. В годы войны он занимался разработкой криптографических систем, и позже это помогло ему открыть методы кодирования с коррекцией ошибок. А в свободное время он начал развивать идеи, которые потом вылились в теорию информации. Исходная цель Шеннона заключалась в улучшении передачи информации по телеграфному или телефонному каналу, находящемуся под воздействием электрических шумов. Он быстро пришел к выводу, что наилучшее решение проблемы заключается в более эффективной упаковке информации. В своих работах 1948-49 годов он определил количество информации через энтропию — величину, известную в термодинамике и статистической физике как мера разупорядоченности системы, а за единицу информации принял то, что впоследствии окрестили "битом", то есть выбор одного из двух равновероятных вариантов. Позже Шеннон любил рассказывать, что использовать энтропию ему посоветовал знаменитый математик Джон фон Нейман, который мотивировал свой совет тем, что мало кто из математиков и инженеров знает об энтропии, и это обеспечит Шеннону большое преимущество в неизбежных спорах. На прочном фундаменте своего определения количества информации Клод Шеннон доказал удивительную теорему о пропускной способности зашумленных каналов связи. Во всей полноте эта теорема была опубликована в его работах 1957-61 годов и теперь носит его имя. Кроме теории информации, неуемный Шеннон приложился во многих областях. Одним из первых он высказал мысль о том, что машины могут играть в игры и самообучаться. В 1950 году он сделал механическую мышку Тесей, дистанционно управляемую сложной электронной схемой. Эта мышка училась находить выход из лабиринта. В честь его изобретения IEEE учредил международный конкурс "микромышь", в котором до сих пор принимают участие тысячи студентов технических вузов. В те же 50-е годы Шеннон создал машину, которая "читала мысли" при игре в "монетку":человек загадывал "орел" или "решку", а машина отгадывала с вероятностью выше 50%, потому что человек никак не может избежать каких-либо закономерностей, которые машина может использовать. В 1956 году Шеннон покинул Bell Labs и со следующего года стал профессором Массачусетского технологического института, откуда ушел на пенсию в 1978 году. Труды Шеннона, к которым с благоговением относятся деятели науки, столь же интересны и для специалистов, решающих сугубо прикладные задачи. Шеннон заложил основание и для современного кодирования с коррекцией ошибок, без которого не обходится сейчас ни один дисковод для жестких дисков или система потокового видео, и, возможно, многие продукты, которым еще только предстоит увидеть свет. В МТИ и на пенсии им полностью завладело его давнее увлечение жонглированием. Шеннон построил несколько жонглирующих машин и даже создал общую теорию жонглирования, которая, впрочем, не помогла ему побить личный рекорд — жонглирование четырьмя мячиками. Клод Шеннон скончался в 2001 году в массачусетском доме для престарелых от болезни Альцгеймера на 84 году жизни.
Список литературы.
[1]. А.П. Алферов, А.Ю. Зубов, А.С. Кузьмин, А.В. Черемушкин Основы Криптографии. — М.: Гелиос, 2005., с.5 – 53.
[2]. Баричев С.Г., Гончаров В.В., Серов Р.Е. Основы современной криптографии. — М.: Горячая линия — Телеком, 2002., с. 4 – 8.
[3]. Жельников В., Криптография от папируса до компьютера. — М.: ABF, 1996. http://www.fidel-kastro.ru/crypto/zhelnik.htm
[4]. http://www.uran.donetsk.ua/~masters/2005/feht/chernenkaya/ind/history.html
[5]. http://persona.rin.ru/view/fall//31397/polibij-polybios
[6]. http://www.tonnel.ru/?l=kniga&273
[7]. http://www.c-cafe.ru/days/bio/5/085.php
[8]. http://persona.rin.ru/view/f/0/35276/shennon-klod-elvud
[9]. http://www.enlight.ru/crypto/articles/shannon/__shann.htm