| Скачать .docx | Скачать .pdf |
Реферат: Оптимизация организационных решений
КОНТРОЛЬНАЯ РАБОТА
по дисциплине
« ОПТИМИЗАЦИЯ ОРГАНИЗАЦИОННЫХ РЕШЕНИЙ»
Задание №1
Решение задачи об оптимальном направлении капиталовложений в строительную отрасль и оптимизации поставки строительных грузов
Определить наиболее экономичный вариант прироста мощности (строительства или реконструкции) и одновременно рассчитать оптимальный план перевозок строительной продукции до потребителя.

Решение
Составим базисные планы:
а) метод северо-западного угла

Значение целевой функции:
L1 = 160 х 15 + 20 х 3 + 60 х 10 + 180 х 5 + 40 х 16 + 40 х 0 =
= 2 400 + 60 + 600 + 900 + 640 + 0 = 4 600 у. е.
б) метод двойного предпочтения

Значение целевой функции:
L2 = 180 х 3 + 160 х 3 + 60 х 5 + 20 х 0 + 40 х 5 + 20 х 13 + 20 х 0 =
= 540 + 480 + 300 + 0 + 200 + 260 + 0 = 1 780 у. е.
в) метод аппроксимации Фогеля

Значение целевой функции:
L3 = 160 х 3 + 180 х 3 + 20 х 10 + 60 х 5 + 40 х 5 + 40 х 0 =
= 480 + 540 + 200 + 300 + 200 + 0 = 1 720 у. е.
Проведем проверку матрицы на вырождение:
N – число занятых клеток матрицы, N = 6.
N = m + n – 1 = 4 + 4 – 1 = 7.
6 ≠ 7.
Следовательно, матрица – вырожденная, поэтому в одну из свободных ячеек в зоне вырождения вводим условную нулевую поставку груза.

Оптимальный план находим на основании базисного плана, построенного методом аппроксимации Фогеля, так как этот план имеет минимальную целевую функцию.
Проверим матрицу на оптимальность с помощью потенциалов строк u и столбцов v .
Потенциалы определим по занятым клеткам матрицы, тем самым соблюдая условие оптимальности (cij = u ij + vij ).

Произведем проверку свободных клеток базисного плана на оптимальность.
| Коды свободных клеток |
Δ = cij – ( vij + uij ) |
Примечание |
| A-I |
15 – (1 + 0) = 15 |
>0 |
| A-II |
18 – (8 + 0) = 10 |
>0 |
| A-IV |
0 – (-2 + 0) = 2 |
>0 |
| B-I |
12 – (1 – 3) = 14 |
>0 |
| B-III |
16 – (3 – 3) = 16 |
>0 |
| B-IV |
0 – (-2 + 2) = 0 |
=0 |
| Г-I |
17 – (1 + 2) = 14 |
>0 |
| Г-II |
13 – (8 + 2) = 3 |
>0 |
| Г-III |
15 – (3 + 2) = 10 |
>0 |
В данном случае все значения Δ ≥ 0, следовательно, составленный план неоптимален, переходим к улучшенному плану перевозок. В этом случае среди незагруженных клеток, для которых Δ ≥ 0, находим клетку с наибольшей величиной превышения стоимости (B-III).
Строим замкнутый контур, начиная перемещаться из потенциальной клетки.

Контур распределения:

Составим новый план распределения.

Его целевая функция:
L4 = 160 х 3 + 180 х 3 + 60 х 10 + 20 х 5 + 40 х 16 + 40 х 0 =
= 480 + 540 + 600 + 100 + 640 + 0 = 2 360 у. е.
Проверяем полученную матрицу на оптимальность.
| Коды свободных клеток |
Δ = cij – ( vij + uij ) |
Примечание |
| A-I |
15 – (1 + 0) = 15 |
>0 |
| A-II |
18 – (8 + 0) = 10 |
>0 |
| A-IV |
0 – (-2 + 0) = 2 |
>0 |
| B-I |
12 – (1 – 3) = 14 |
>0 |
| B-II |
5 – (8 + 13) = -16 |
<0 |
| B-IV |
0 – (-2 + 13) = -11 |
<0 |
| Г-I |
17 – (1 + 2) = 14 |
>0 |
| Г-II |
13 – (8 + 2) = 3 |
>0 |
| Г-III |
15 – (3 + 2) = 10 |
>0 |
Наибольшее превышение стоимости наблюдаем в клетке А-I.

Контур распределения:

Новый план распределения:

Его целевая функция:
L4 = 160 х 15 + 20 х 3 + 60 х 10 + 180 х 5 + 40 х 16 + 40 х 0 =
= 2 400 + 60 + 600 + 900 + 640 + 0 = 4 600 у. е.
Проверяем полученную матрицу на оптимальность.
| Коды свободных клеток |
Δ = cij – ( vij + uij ) |
Примечание |
| A-II |
18 – (22 + 0) = -4 |
<0 |
| A-III |
3 – (17 + 0) = -14 |
<0 |
| A-IV |
0 – (12 + 0) = -12 |
<0 |
| B-I |
12 – (15 + 13) = -16 |
<0 |
| B-II |
5 – (22 + 13) = -30 |
<0 |
| B-IV |
0 – (12 + 13) = -25 |
<0 |
| Г-I |
17 – (15 - 12) = 14 |
>0 |
| Г-II |
13 – (22 - 12) = 3 |
>0 |
| Г-III |
15 – (17 - 12) = 10 |
>0 |
Данный план распределения продукции является наиболее эффективным из представленных, хотя не до конца оптимальным.
Вывод
Поскольку в оптимальном плане прирост мощности 40 тыс. у. е. продукции за счет строительства отнесен на фиктивного потребителя, то строительство нового цеха или пристройку цеха к действующему следует считать нецелесообразным, и капитальные вложения необходимо направить на реконструкцию действующего предприятия.
Задание №2
Применение симплекс-метода для оптимальной организации
ремонтно-строительных работ
Определить максимальное количество квартир в домах кирпичных и крупнопанельных, которые можно отремонтировать из имеющихся ресурсов.
| Ресурсы |
Потребность в ресурсах на одну квартиру |
|||
| Наименование |
Количество |
кирпичный дом |
панельный дом |
|
| Арматура, т |
900 |
0,6 |
1,3 |
|
| Пиломатериалы, м3 |
520 |
0,8 |
0,3 |
|
| Цемент, т |
7 000 |
5 |
9 |
|
| Керамическая плитка, тыс. шт. |
400 |
0,5 |
-- |
|
| Трудозатраты, чел. дн. |
55 000 |
70 |
50 |
|
Решение
Для решения данной задачи применим симплекс-метод.
Обозначим:
Х1 – искомое количество квартир в кирпичном доме;
Х2 – искомое количество квартир в панельном доме.
Целевая функция:
L
= Х1
+ Х2
max
Ограничениями будут неравенства, полученные на основании исходных данных:
1. Арматура 0,6Х1 + 1,3 Х2 ≤ 900 ;
2. Пиломатериалы 0,8Х1 + 0,3 Х2 ≤ 520 ;
3. Цемент 5Х1 + 9Х2 ≤ 7 000 ;
4. Керамическая плитка 0,5Х1 ≤ 400 ;
5. Трудозатраты 70Х1 + 50Х2 ≤ 55 000 ;
6. Х1 ≥ 0 ;
7. Х2 ≥ 0 .
Поскольку имеется только два неизвестных, то применим геометрическое решение. Для удобства построений преобразуем не равенства.
1. 6Х1 + 13 Х2 ≤ 9 000 ;
2. 8Х1 + 3 Х2 ≤ 5 200 ;
3. 5Х1 + 9Х2 ≤ 7 000 ;
4. 5Х1 ≤ 4 000 ;
5. 7Х1 + 5Х2 ≤ 5 500 ;
6. Х1 ≥ 0 ;
7. Х2 ≥ 0 .
Геометрически ограничения неравенств выражаются в виде открытых полуплоскостей, ограниченных осями координат и линиями, описываемыми равенствами, полученными из выражений ограничений:
1. 6Х1 + 13 Х2 = 9 000 ;
2. 8Х1 + 3 Х2 = 5 200 ;
3. 5Х1 + 9Х2 = 7 000 ;
4. 5Х1 = 4 000 ;
5. 7Х1 + 5Х2 = 5 500 .
Нанесем эти линии на график.

В целом условиям неравенств удовлетворяет заштрихованная область. Оптимальное решение находится на контуре этой фигуры в одной из узловых точек и определяется совместным рассмотрением выражений:
L
= Х1
+ Х2
max
6Х1 + 13 Х2 = 9 000 ;
8Х1 + 3 Х2 = 5 200 ;
5Х1 + 9Х2 = 7 000 ;
5Х1 = 4 000 ;
7Х1 + 5Х2 = 5 500.
Возрастание целевой функции направлено слева вверх под углом 45°, и последней точкой в допустимой области будет точка 1 или 2.
Точка 1 получена пересечением прямых, описываемых равенствами:
6Х1 + 13 Х2 = 9 000;
7Х1 + 5Х2 = 5 500.
Решая эти равенства, найдем координаты точки 1: Х1 = 200; Х2 = 600.
Аналогично найдем координаты точки 2 из выражений:
7Х1 + 5Х2 = 5 500;
8Х1 + 3 Х2 = 5 200.
Координаты точки 2: Х1 = 498; Х2 = 406.
Найдем, какая из указанных точек дает большее значение целевой функции.
L 1 = Х1 + Х2 = 200 + 600 = 800;
L 2 = Х1 + Х2 = 498 + 406 = 904.
Оптимальной является точка 2, дающая 498 квартир в кирпичных домах и 406 в панельных. При этом будут полностью исчерпаны такие ресурсы как пиломатериалы и трудозатраты.
Использование остальных ресурсов найдем, решая вышеуказанные равенства при зафиксированных значениях Х1 = 498; Х2 = 406.
0,6 х 498 + 1,3 х 406 = 299 + 528 = 827 (арматура), неиспользовано 73 т арматуры.
5 х 498 + 9 х 406 = 2 490 + 3 654 = 6 144 (цемент), неиспользовано 856 т.
0,5 х 498 = 249 тыс. шт. (керамическая плитка), неиспользовано 151 тыс. шт.
Полученные результаты занесем в таблицу:
| Ресурсы |
Количество ресурсов |
|||
| Наименование |
в наличии |
использованных |
неиспользованных |
|
| Арматура, т |
900 |
827 |
73 |
|
| Пиломатериалы, м3 |
520 |
520 |
- |
|
| Цемент, т |
7 000 |
6 144 |
856 |
|
| Керамическая плитка, тыс. шт. |
400 |
249 |
151 |
|
| Трудозатраты, чел. дн. |
55 000 |
55 000 |
-- |
|
Вывод : Максимальное количество домов, которые можно отремонтировать, используя данные ресурсы – 498 шт. (кирпичные) и 406 шт. (панельные). При ремонте пиломатериалы и трудозатраты используются полностью, остальные ресурсы – с остатком.
Задание №3
Применение методов динамического программирования
(принципа оптимальности Р. Беллмана)
при календарном планировании в строительстве
Выбрать такую очередность включения объектов в строительный поток, чтобы длина суммарного пути перебазирования оказалась минимальной.
Исходные данные – расстояние между пунктами, км
| Индекс пунктов (объектов) |
А0 |
А1 |
А2 |
А3 |
А4 |
| А0 |
0 |
20 |
5 |
10 |
40 |
| А1 |
20 |
0 |
10 |
25 |
30 |
| А2 |
5 |
10 |
0 |
35 |
15 |
| А3 |
10 |
25 |
35 |
0 |
50 |
| А4 |
40 |
30 |
15 |
50 |
0 |
Составим таблицу вариантов, состоящих лишь из трех участков перебазирования. Сгруппируем эти варианты по одинаковым объектам, стоящим на последнем месте.
| Вариант |
Суммарное расстояние, км |
Вариант |
Суммарное расстояние, км |
| А0 А2 А3 А1 А0 А3 А2 А1 |
5 + 35 + 25 = 65 10 + 35 + 25 = 70 |
А0 А1 А2 А3 А0 А2 А1 А3 |
20 + 10 + 35 = 65 5 + 10 + 25 = 40 |
| А0 А2 А4 А1 А0 А4 А2 А1 |
5 + 15 + 30 = 50 40 + 15 + 10 = 65 |
А0 А1 А4 А3 А0 А4 А1 А3 |
20 + 30 + 50 = 100 40 + 30 + 25 = 95 |
| А0 А3 А4 А1 А0 А4 А3 А1 |
10 + 50 + 30 = 90 40 + 50 + 25 = 115 |
А0 А2 А4 А3 А0 А4 А2 А3 |
5 + 15 + 50 = 70 40 + 15 + 35 = 90 |
| А0 А1 А3 А2 А0 А3 А1 А2 |
20 + 25 + 35 = 80 10 + 25 + 10 = 45 |
А0 А1 А2 А4 А0 А2 А1 А4 |
20 + 10 + 15 = 45 5 + 10 + 30 = 45 |
| А0 А1 А4 А2 А0 А4 А1 А2 |
20 + 30 + 15 = 65 40 + 30 + 10 = 80 |
А0 А1 А3 А4 А0 А3 А1 А4 |
20 + 25 + 50 = 95 10 + 25 + 30 = 65 |
| А0 А3 А4 А2 А0 А4 А3 А2 |
10 + 50 + 15 = 75 40 + 50 + 35 = 125 |
А0 А2 А3 А4 А0 А3 А2 А4 |
5 + 35 + 50 = 90 10 + 35 + 15 = 60 |
Из каждой пары вариантов выберем наиболее перспективные (с меньшим значением). Затем развиваем и сопоставляем лишь перспективные варианты.
| Вариант |
Суммарное расстояние, км |
Вариант |
Суммарное расстояние, км |
| А0 А2 А3 А1 А4 А0 А2 А4 А1 А3 А0 А3 А4 А1 А2 А0 А3 А1 А2 А4 А0 А1 А4 А2 А3 А0 А3 А4 А2 А1 |
65 + 30 = 95 50 + 25 = 75 90 + 10 = 100 45 + 15 = 60 65 + 35 = 110 75 + 10 = 85 |
А0 А2 А1 А3 А4 А0 А4 А1 А3 А2 А0 А2 А4 А3 А1 А0 А2 А1 А4 А3 А0 А3 А1 А4 А2 А0 А3 А2 А4 А1 |
40 + 50 = 90 95 + 35 = 130 70 + 25 = 95 45 + 50 = 95 65 + 15 = 80 60 + 30 = 90 |
Составляем таблицу, в которую внесем перспективные варианты из предыдущей таблицы и добавим к каждому из них А0 (возвращение мехколонны на исходную базу).
| Вариант |
Суммарное расстояние, км |
| А0 А2 А4 А1 А3 А0 А0 А3 А1 А2 А4 А0 А0 А3 А4 А2 А1 А0 А0 А3 А1 А4 А2 А0 |
75 + 10 = 85 60 + 40 = 100 85 + 20 = 105 80 + 5 = 85 |
Таким образом, устанавливаем, что есть два равноценных оптимальных варианта последовательности строительства объектов.
Задание №4
Оптимизация очередности строительства объектов
в неритмичных потоках
Определить оптимальную очередность строительства нескольких объектов, при которой достигается минимальная общая продолжительность строительства, а также величину общей продолжительности строительства при исходной и оптимальной очередности строительства объектов.

Выделяем поток №3 как поток наибольшей продолжительности. Затем по каждому объекту находим общее рабочее время, предшествующее потоку наибольшей продолжительности и общее рабочее время, последующее за потоком наибольшей продолжительности.
В третью строку под матрицей записываем со своим знаком разницу между продолжительностью работы на данном объекте последней и первой бригад.

На основе данных дополнительных строк устанавливается рациональная очередность строительства объектов из следующих соображений:
а) на первом месте располагается объект с наибольшим значением Σапос . Остальные объекты располагаются так, чтобы Σапр постепенно возрастало, а Σапос снижалась к концу матрицы;
б) на первом месте располагается объект с наибольшим значением (а m - а1 ) , на последнем – с минимальным значением (а m - а1 ) ; остальные объекты располагаются так, чтобы (а m - а1 ) изменялось постепенно от максимального значения к минимальному.
Принятая очередность строительства объектов по п. а :

Принятая очередность строительства объектов по п. б :

Найдем общую продолжительность строительства комплекса:
а) при исходной очередности объектов
Т1 = (8 + 8 + 5 + 0 + 4) + (6 + 5 + 4) + (5 + 4) = 49;
б) при очередности объектов 5-2-1-4-3
Т2 = (4 + 8 + 8 + 0 + 5) + (5 + 2 + 0) + (2 + 0) = 34;
в) при очередности объектов 4-5-3-2-1
Т3 = (0 + 4 + 5 + 8 + 8) + (2 + 1 + 9) + (1 + 9) = 47.
Наименьшую продолжительность имеет очередность объектов 5-2-1-4-3.
Задание №5
Оптимизация сетевого графика по рабочим ресурсам
и по срокам строительства
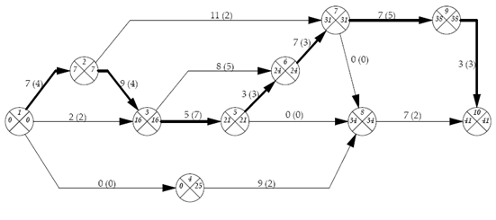
Решить оптимизационные задачи управления строительством по сетевым моделям.

Тобщ = 45 дней
Данную сетевую модель можно оптимизировать. Для этого на критические пути увеличиваем количество рабочих, снимая их с менее загруженных участков. Таким образом, сокращаются сроки выполнения работ.

Тобщ. = 41 день