| Скачать .docx | Скачать .pdf |
Реферат: Линейное программирование 4
Линейное программирование – направление математики, изучающее методы решения экстремальных задач, которые характеризуются линейной зависимостью между переменными и линейным критерием оптимальности.
Несколько слов о самом термине линейное программирование. Он требует правильного понимания. В данном случае программирование - это, конечно, не составление программ для ЭВМ. Программирование здесь должно интерпретироваться как планирование, формирование планов, разработка программы действий.
К математическим задачам линейного программирования относят исследования конкретных производственно-хозяйственных ситуаций, которые в том или ином виде интерпретируются как задачи об оптимальном использовании ограниченных ресурсов.
Круг задач, решаемых при помощи методов линейного программирования достаточно широк. Это, например:
· задача об оптимальном использовании ресурсов при производственном планировании;
· задача о смесях (планирование состава продукции);
· задача о нахождении оптимальной комбинации различных видов продукции для хранения на складах (управление товарно-материальными запасами или "задача о рюкзаке");
· транспортные задачи (анализ размещения предприятия, перемещение грузов).
Линейное программирование – наиболее разработанный и широко применяемый раздел математического программирования (кроме того, сюда относят: целочисленное, динамическое, нелинейное, параметрическое программирование). Это объясняется следующим:
· математические модели большого числа экономических задач линейны относительно искомых переменных;
· данный тип задач в настоящее время наиболее изучен. Для него разработаны специальные методы, с помощью которых эти задачи решаются, и соответствующие программы для ЭВМ;
· многие задачи линейного программирования, будучи решенными, нашли широкое применение;
· некоторые задачи, которые в первоначальной формулировке не являются линейными, после ряда дополнительных ограничений и допущений могут стать линейными или могут быть приведены к такой форме, что их можно решать методами линейного программирования.
Экономико-математическая модель любой задачи линейного программирования включает: целевую функцию, оптимальное значение которой (максимум или минимум) требуется отыскать; ограничения в виде системы линейных уравнений или неравенств; требование неотрицательности переменных.
В общем виде модель записывается следующим образом:
целевая функция:
F = c1x1 + c2x2 + ... + cnxn → max(min);
ограничения:
a11x1 + a12x2 + ... + a1nxn {≤ = ≥} b1,
a21x1 + a22x2 + ... + a2nxn {≤ = ≥} b2,
...
am1x1 + am2x2 + ... + amnxn {≤ = ≥} bm;
требование неотрицательности:
xj ≥ 0,
Задача состоит в нахождении оптимального значения функции при соблюдении ограничений.
Итак , Линейное программирование – это направление математического программирования, изучающее методы решения экстремальных задач, которые характеризуются линейной зависимостью между переменными и линейным критерием.
Необходимым условием постановки задачи линейного программирования являются ограничения на наличие ресурсов, величину спроса, производственную мощность предприятия и другие производственные факторы.
Сущность линейного программирования состоит в нахождении точек наибольшего или наименьшего значения некоторой функции при определенном наборе ограничений, налагаемых на аргументы и образующих систему ограничений, которая имеет, как правило, бесконечное множество решений. Каждая совокупность значений переменных (аргументов функции F), которые удовлетворяют системе ограничений, называется допустимым планом задачи линейного программирования. Функция F, максимум или минимум которой определяется, называется целевой функцией задачи. Допустимый план, на котором достигается максимум или минимум функции F, называется оптимальным планом задачи.
Система ограничений, определяющая множество планов, диктуется условиями производства. Задачей линейного программирования (ЗЛП) является выбор из множества допустимых планов наиболее выгодного (оптимального).
Симплекс-метод является основным в линейном программировании . Решение задачи начинается с рассмотрений одной из вершин многогранника условий. Если исследуемая вершина не соответствует максимуму (минимуму), то переходят к соседней, увеличивая значение функции цели при решении задачи на максимум и уменьшая при решении задачи на минимум. Таким образом, переход от одной вершины к другой улучшает значение функции цели. Так как число вершин многогранника ограничено, то за конечное число шагов гарантируется нахождение оптимального значения или установление того факта, что задача неразрешима.
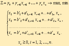
Этот метод является универсальным, применимым к любой задаче линейного программирования в канонической форме . Система ограничений здесь - система линейных уравнений, в которой количество неизвестных больше количества уравнений. Если ранг системы равен r , то мы можем выбрать r неизвестных, которые выразим через остальные неизвестные. Для определенности предположим, что выбраны первые, идущие подряд, неизвестные X 1 , X2 , ..., Xr . Тогда наша система уравнений может быть записана как

К такому виду можно привести любую совместную систему , например, методом Гаусса. Правда, не всегда можно выражать через остальные первые r неизвестных (мы это сделали для определенности записи). Однако такие r неизвестных обязательно найдутся. Эти неизвестные (переменные) называются базисными, остальные свободными.
Придавая определенные значения свободным переменным и вычисляя значения базисных (выраженных через свободные), мы будем получать различные решения нашей системы ограничений. Таким образом, можно получить любое ее решение. Нас будут интересовать особые решения, получаемые в случае, когда свободные переменные равны нулю. Такие решения называются базисными , их столько же, сколько различных базисных видов у данной системы ограничений. Базисное решение называется допустимым базисным решением или опорным решением , если в нем значения переменных неотрицательны. Если в качестве базисных взяты переменные X1 , X2 , ..., Xr , то решение {b1 , b2 ,..., br , 0, ..., 0} будет опорным при условии, что b1 , b2 ,..., br ≥ 0 .
Симплекс-метод основан на теореме, которая называется фундаментальной теоремой симплекс-метода. Среди оптимальных планов задачи линейного программирования в канонической форме обязательно есть опорное решение ее системы ограничений. Если оптимальный план задачи единственен, то он совпадает с некоторым опорным решением. Различных опорных решений системы ограничений конечное число. Поэтому решение задачи в канонической форме можно было бы искать перебором опорных решений и выбором среди них того, для которого значение F самое большое. Но, во-первых, все опорные решения неизвестны и их нужно находить, a, во-вторых, в реальных задачах этих решений очень много и прямой перебор вряд ли возможен. Симплекс-метод представляет собой некоторую процедуру направленного перебора опорных решений. Исходя из некоторого, найденного заранее опорного решения по определенному алгоритму симплекс-метода мы подсчитываем новое опорное решение, на котором значение целевой функции F не меньше, чем на старом. После ряда шагов мы приходим к опорному решению, которое является оптимальным планом.
Итак, симплексный метод вносит определенный порядок как при нахождении первого (исходного) базисного решения, так и при переходе к другим базисным решениям. Его идея состоит в следующем.
Имея систему ограничений , приведенную к общему виду, то есть к системе m линейных уравнений с n переменными (m < n) , находят любое базисное решение этой системы, заботясь только о том, чтобы найти его как можно проще.
Если первое же найденное базисное решение оказалось допустимым , то проверяют его на оптимальность . Если оно не оптимально , то, осуществляется переход к другому, обязательно допустимому базисному решению .
Симплексный метод гарантирует, что при этом новом решении линейная форма, если и не достигнет оптимума, то приблизится к нему. С новым допустимым базисным решением поступают так же, пока не находят решение, которое является оптимальным.
Если первое найденное базисное решение окажется недопустимым , то с помощью симплексного метода осуществляется переход к другим базисным решениям , которые приближают нас к области допустимых решений, пока на каком-то шаге решения либо базисное решение окажется допустимым и к нему применяют алгоритм симплексного метода, либо мы убеждаемся в противоречивости системы ограничений.
Таким образом, применение симплексного метода распадается на два этапа: нахождение допустимого базисного решения системы ограничений или установление факта ее несовместности; нахождение оптимального решения.
При этом каждый этап может включать несколько шагов, соответствующих тому или иному базисному решению. Но так как число базисных решений всегда ограниченно, то ограниченно и число шагов симплексного метода.
Приведенная схема симплексного метода явно выражает его алгоритмический характер (характер четкого предписания о выполнении последовательных операций), что позволяет успешно программировать и реализовать этот метод на ЭВМ. Задачи же с небольшим числом переменных и ограничений могут быть решены симплексным методом вручную.
Не останавливаясь подробнее на сути алгоритма, опишем его вычислительную сторону. Вычисления по симплекс-методу организуются в виде симплекс-таблиц , которые являются сокращенной записью задачи линейного программирования в канонической форме. Перед составлением симплекс-таблицы задача должна быть преобразована , система ограничений приведена к допустимому базисному виду , c помощью которого из целевой функции должны быть исключены базисные переменные. Вопрос об этих предварительных преобразованиях мы рассмотрим ниже. Сейчас же будем считать, что они уже выполнены и задача имеет вид:

Здесь для определенности записи считается, что в качестве базисных переменных можно взять переменные X1 , X2 , ..., Xr и что при этом b1 , b2 ,..., br ≥ 0 (соответствующее базисное решение является опорным).
Для составления симплекс-таблицы во всех равенствах в условии задачи члены, содержащие переменные, переносятся в левую часть, свободные оставляются справа, т.е. задача записывается в виде системы равенств:

Далее эта система оформляется в виде симплекс-таблиц:

Примечание. Названия базисных переменных здесь взяты лишь для определенности записи и в реальной таблице могут оказаться другими.
Порядок работы с симплекс таблицей
Первая симплекс-таблица подвергается преобразованию, суть которого заключается в переходе к новому опорному решению.
Алгоритм перехода к следующей таблице такой:
- просматривается последняя строка
(индексная) таблицы и среди коэффициентов этой строки (исключая столбец свободных членов
) выбирается наименьшее отрицательное число при отысканииmax
, либо наибольшее положительное при задачи на min
. Если такового нет, то исходное базисное решение является оптимальным и данная таблица является последней; - просматривается столбец таблицы , отвечающий выбранному отрицательному (положительному) коэффициенту в последней строке- ключевой столбец, и в этом столбце выбираются положительные коэффициенты . Если таковых нет, то целевая функция неограниченна на области допустимых значений переменных и задача решений не имеет ;
- среди выбранных коэффициентов столбца выбирается тот, для которого абсолютная величина отношения соответствующего свободного члена (находящегося в столбце свободных членов) к этому элементу минимальна. Этот коэффициент называется разрешающим , а строка в которой он находится ключевой ;
- в дальнейшем базисная переменная , отвечающая строке разрешающего элемента, должна быть переведена в разряд свободных , а свободная переменная, отвечающая столбцу разрешающего элемента, вводится в число базисных. Строится новая таблица, содержащая новые названия базисных переменных:
- разделим каждый элемент ключевой строки (исключая столбец свободных членов) на разрешающий элемент и полученные значения запишем в строку с измененной базисной переменной новой симплекс таблицы .
- строка разрешающего элемента делится на этот элемент и полученная строка записывается в новую таблицу на то же место .
- в новой таблице все элементы ключевого столбца = 0 , кроме разрезающего , он всегда равен 1 .
- столбец , у которого в ключевой строке имеется 0 ,в новой таблице будет таким же .
- строка , у которой в ключевом столбце имеется 0 ,в новой таблице будет такой же .
- в остальные клетки новой таблицы записывается результат преобразования элементов старой таблицы :

В результате получают новую симплекс-таблицу, отвечающую новому базисному решению.
Теперь следует просмотреть строку целевой функции
(индексную), если в ней нет отрицательных значений (в задачи на нахождение максимального значения), либо положительных (в задачи на нахождение минимального значения) кроме стоящего на месте
(свободного столбца), то значит, что оптимальное решение получено
. В противном случае, переходим к новой симплекс таблице по выше описанному алгоритму.
Рассмотрим порядок решения задачи с помощью симплекс-таблиц на примере.
Пример 2.4.1
Если в только что рассмотренной задаче первое же полученное без всякого труда базисное решение оказалось допустимым, то в ряде задач исходное базисное решение может иметь одну, две и т. д. отрицательных компонент, т. е. быть недопустимым. В таких задачах надо сначала применить первый этап симплексного метода, т. е. с его помощью найти какое-либо допустимое решение (или установить несовместность системы ограничений), а затем уже искать оптимальное решение (сделать вывод о противоречии условий задачи). При этом надо помнить, что на первом этапе применения симплексного метода, т. е. пока мы ищем допустимое базисное решение, линейная форма не рассматривается, а все преобразования относятся только к системе ограничений.
Пусть задача линейного программирования задана в канонической форме, состоящей из m
независимых уравнений с n
переменными (или же она приведена к такому виду после введения добавочных неотрицательных переменных).
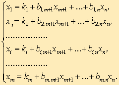
Выберем группу m
основных переменных, которые позволяют найти исходное базисное решение (не нарушая общности, можем считать, что основными переменными являются первые m переменных). Выразив эти основные переменные через неосновные, получим следующую систему ограничений:
![]() |
(2.16) |
Этому способу разбиения переменных на основные и неосновные соответствует базисное решение (k1
, k2
, ... , km
, 0, 0, ... , 0
). Рассмотрим общий случай, когда это решение является недопустимым. От полученного базисного решения следует сначала перейти к какому-нибудь допустимому базисному решению. Причем не обязательно, чтобы этот переход осуществлялся сразу, за один шаг.
По предположению исходное базисное решение недопустимо. Следовательно, среди свободных членов системы ограничений (2.16) имеется хотя бы один отрицательный (число отрицательных свободных членов этой системы совпадает с числом отрицательных компонент исходного базисного решения). Пусть им является свободный член i
-го уравнения ki
, т. е. основная переменная xi
в соответствующем базисном решении отрицательна.
Для перехода к новому базисному решению необходимо: выбрать переменную, которую следует перевести из неосновных в основные; установить, какая основная переменная при этом перейдет в число неосновных переменных. При переводе неосновной переменной в основные ее значение, как правило, возрастает: вместо нуля в исходном базисном решении оно будет положительно в новом базисном решении (исключая случай вырождения). Вернемся к i
-му уравнению системы (2.16), содержащему отрицательный свободный член k1
. Оно показывает, что значение переменной xi растет при возрастании значений тех неосновных переменных, которые в этом уравнении имеют положительные коэффициенты. Отсюда следует, что в основные можно переводить те неосновные переменные, которые в уравнении системы (2.16) с отрицательным свободным членом имеют положительные коэффициенты.
Здесь может быть три исхода:
- в i -м уравнении системы (2.16) нет основных переменных с положительными коэффициентами, т. е. все коэффициенты bi, m+j (как и свободный член ki ) отрицательны. В этом случае система ограничений несовместна, она не имеет ни одного допустимого решения, а следовательно, и оптимального;
- в i -м уравнения имеется одна переменная xm+j , коэффициент b при которой положителен. В этом случае именно эта переменная переводится в основные;
- в i -м уравнении имеется несколько переменных с положительными коэффициентами bi, m+j . В этом случае в основные можно перевести любую из них.
Далее необходимо установить, какая основная переменная должна быть переведена в число неосновных на место переводимой в основные. В неосновные переводится та основная переменная, которая первой обратится в нуль при возрастании от нуля неосновной переменной, переводимой в основные. Иными словами, пользуемся тем же правилом, которое было установлено ранее. Находятся отношения свободных членов к коэффициентам при переменной, переводимой в основные, из всех уравнений, где знаки свободных членов и указанных коэффициентов противоположны, берется абсолютная величина этих отношений и из них выбирается наименьшая (если в некоторых уравнениях знаки свободных членов и указанных коэффициентов совпадают или в каких-то уравнениях переменная, переводимая в основные, отсутствует, то указанное отношение считается равным ).
Уравнение, из которого получено наименьшее отношение, выделяется. Выделенное уравнение и покажет, какая из основных переменных должна быть переведена в неосновные. Выразив новые основные переменные через неосновные, перейдем к следующему базисному решению.
Если выделенным окажется уравнение с отрицательным свободным членом, то в новом базисном решении число отрицательных компонент будет на единицу меньше, чем в исходном. Если же выделенным окажется уравнение с положительным (или равным нулю) свободным членом, то в новом базисном решении число отрицательных компонент сохранится таким же, каким оно было в исходном базисном решении.
Таким образом, при переходе к новому базисному решению выгодно, чтобы выделенным оказалось уравнение с отрицательным свободным членом, и если есть возможность выбора, то предпочтение следует отдать такому обмену переменных, при котором выделенным оказывается уравнение с отрицательным свободным членом.
Итак, мы получим новое, улучшенное базисное решение, которое ближе к области допустимых решений системы ограничений. Если оно недопустимое, то к нему следует применить ту же схему еще раз. В результате через конечное число шагов мы получим допустимое базисное решение. Как только будет найдено допустимое базисное решение, переходят ко второму этапу симплексного метода, сущность которого рассмотрена при решении задачи примера 2.4.1
.
После овладения способом нахождения первого допустимого базисного решения любая задача линейного программирования может иметь трудности лишь вычислительного характера.
